Home Free Radical Scavenging Activity of Essential Oil of Eugenia caryophylata from Amboina Island and Derivatives of Eugenol
Article Open Access

Free Radical Scavenging Activity of Essential Oil of Eugenia caryophylata from Amboina Island and Derivatives of Eugenol

  • Hanoch Julianus Sohilait EMAIL logo and Healthy Kainama
Published/Copyright: July 8, 2019

Abstract

Essential oil from Eugenia caryophylata was normally used to heal many different deseaces. Various chemical compositions of essential oil distilled and steamed of Moluccas Eugenia caryophylata has been investigated by many different researchers. Even though an intensive research has been carried out of the local chemotypes, a very detail study has not been fully investigated to find out the complete chemical compounds from the plant essential oil and its content associated with their biological activities. In present paper, we assess the free radical scavenging of E. caryophylata collected from Moluccas islands, Indonesia. Essential oil was extracted from leaves, buds, and stems of plant by steam distillation and analyzed using GC-FID and GC-MS. The result showed that free radical activity of essential oil, main constituent and its derivatives were analized using in vitro method. Essential oil activity from stem obtained as (0.82±0.15 μg/mL) was higher than that from bud and leaf possessing both 1,1-diphenyl-2-picrylhydrazyl (DPPH) and (2,2’-azino-bis-3-ethylbenzthizoline-6-sulphonic acid (ABTS) radical scavenging assays by sinergism of eugenol, eugenyl acetate, β-caryophylene and humulene. The activity of isoeugenol (2) (3.59±0.54 μM) and (5.0±0.53 µM) scavenging DPPH and ABTS, respectively, as derivatives eugenol was higher than (3), (4) and (5). Although (6) was active originally, it was inactive after conversion of the ester. While the change of the double bond of location to conjungation structure caused more activity scavenging radicals than the starting molecule.

1 Introduction

Natural product compounds, including essential oils (EOs) distilled from Eugenia caryophylata have various chemical contents depending on local distribution of the plants. There are three parts of clove tree in famous Moluccas islands of Indonesia such as buds, leaves, and stems can produce clove oil by using steam distillation. Indonesia, Tanzania, Sri Lanka, Madagascar are world largest clove-producing countries on earth. While, India had a limited scale of clove product [1]. The primary contents of clove oil are eugenol, β-caryophylene, α-humulene, eugenyl acetate, and humulene epoxide [2, 3]. Even though there were many compounds found in clove oil closely related to geographical location, and the plant tissue, eugenol remains the primary constituent of clove oil [4, 5]. In 2018 [6], Da Silva et al., found that by modifiying the molecular structure of an active subtance it can be used as an anti tumor and anti infective drug.

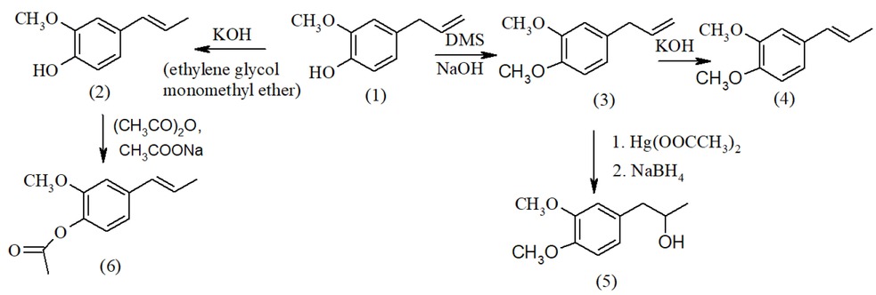
Eugenol, a major compound inside clove oil, is generally isolated by using a distillation process with a reduced pressure. Moreover, the eugenol hydroxyl and allyl groups can be changed to other functional groups. On the other hand, eugenol as one of phenolic compounds can easily be converted into methyl eugenol by the use of a methylation reaction of eugenol with DMS [7, 8]. While another method to produce methyl eugenol is by the process of eugenol with dimehyl carbonate (DMC) with the help of Phase transfer catalyst (PTC) [9, 10, 11, 12, 13, 14]. The reaction of isoeugenol with acetic anhydride forms isoeugenol acetate [15, 16]. Isomerization of alkenyl-alkoxybenzenes, especially, linked to a migration process of a double bond in the alkenyl group of alkenyl-alkoxybenzenes from a not conjugated position with the benzene ring to a conjugated position with the benzene ring by the use of a base catalyst. Eugenol and methyleugenol, which have an allyl group can be converted into an isomer by using KOH-alcoholic, or without the use of an alcoholic solvent in order to yield isoeugenol and isomethyl eugenol, respectively [17, 18, 19]. While the synthesis of secondary alcohols that changes the double bond to be a hydroxyl group shown in scheme 1 can be conducted using few types of techniques of oxymercuration-demercuration of olefin by adding mercury acetate and NaBH4 based on in situ according to ref. [20, 21]. The other method to produce a secondary alcohol was by changing the allyl group of methyl eugenol through additional formic acid, and then followed by hydrolysis treatment [22].

Scheme 1 Derivatives of Eugenol.
Scheme 1

Derivatives of Eugenol.

Free radicals existance produced in plants are very important to initiate chain reactions that heal damage cells, and cause a death cell alive. In general, many deathly diseases such as cardiovascular and neurodegenerative diseases were because of damage cells. The free radicals in plants can fight against the such effects due to antioxidant subtances [23]. Eugenol as one of antioxidant compounds is powerful to fight oxidative stress for a better health. Therefore, the broad spectra of biological activities of eugenol in this research work was to find out its derivatives by chemical proceses of isomerization, subtitution and addition reactions, respectively. We present this novel work that connects between the specific compounds found in E. caryophylata from Amboina island, and its EOs.

2 Experimental

2.1 Equipment

The equipment used in this research consisted of three groups of apparatuses. The first group was from fractional distillation under reduced pressure, electric heaters, evaporators and tools of Buchii laboratory glassware. The second ones were spectroscopy instruments of Spectrophotometer PD-303S, Apel, Japan, Infra Red spectrophotometer (FTIR-8400S, Shimadzu), and 1H-NMR Spectrophotometer (JEOL-MY 400). Finally, Gas Chromatography 2010 Shimadzu (GC), and Mass Spectrophotometer QP 2010 Plus (MS), Shimadzu (GC-MS) were employed to identify the compounds.

2.2 Materials

There were bud, leaf, stem as parts of E.caryophylata taken from local garden in Amboina Island as row materials.

2.3 The Essential Oil Isolation and Synthesis Derivatives of Eugenol

The volatile oils of clove were obtained by conventional distillation [24]. The dried materials (1.00 kg) of bud, leaf (1.00 kg) and stem (0.60 kg) were treated by steam distillation for 6 hours. The composition of essential oil was analysed using GC. The isolation of eugenol (1) from stem clove oil was done by using a sodium hydroxide (NaOH) solution to obtain sodium eugenolate, followed by acidification with 20% hydrochloric acid (HCl), and then distilled under pressure reduction at 1200oC/10 mmHg yielding eugenol (1) as large as 74.09% [19,24]. The spectral data corresponded with the earlier reports [17,18]. The isomerization of eugenol (1) with KOH in a solvent ethylene glycol monomethyl ether was refluxed at 140oC for 4 hours, followed by distillation under the pressure of 10 mmHg at 120-122oC yielding isoeugenol (2) with the content of 69.72% [18]. The methylation of eugenol (1) was carried out using DMS at the 103oC for 90 minutes, followed by distilling under pressure at 140oC/20 mmHg which yielded methyl eugenol with the amount of 62.08% [8,22].

The spectral data was fitted with that given in previous reports [8,16,17,22]. The isomerization of methyleugenol (3) with KOH, and without any solvent at the 140oC for 4 hours yields isomethyleugenol (4) (66.68%). The compound was then identified using GC yielding cis-isomethyleugenol (9.80%) and trans-isomethyleugenol (90.20%) [16, 17]. The oxymercuration-demercuration of methyl eugenol (3) was carried out with Hg(OAc)2-NaBH4, followed by distillation process with reduced pressure reduction at 146oC/10 mmHg to obtain methyleugenyl alcohol (5) (78.03%) [20, 21]. The spectral data was comparable with that in ref. [8,22]. The isoeugenyl acetate was synthesized from isoeugenol (2) and acetate anhydrous using sodium acetate as a catalyst. The mixture was refluxed at 120oC for 90 min, followed by recrystallization in methanol to obtain isoeugenyl acetate (6) with yield as high as 63.08% at b.p 65oC [15].

2.4 DPPH and ABTS Free Radical Scavenging Assays

2.4.1 DPPH free radical scavenging assay

The DPPH activity was investigated with the method described in Ref. [25]. The test sample (10 mg) was dissolved in 1 mL methanol. The reaction mixture consisted of 1 mL of DPPH 6 x 10-5 M and 33 μL sample solution in methanol. After 20 min incubation at 37°C, the absorbance values of the sample caused by the reaction in the prepared mixture were measured at a wavelength of 515 nm using a spectrophotometer PD-303S, Apel, Japan. The blank samples comprised of 33 mL of methanol in a DPPH solution was also measured at the same wavelength. The experiment was performed in triplicate. While the percentage of inhibition was calculated using equation:

(1)Percentage of inhibition=-Abstest/Abscontrol×100

In Eq. (1), the Abscontrol was absorbance of blank, while the Abstest were absorbance of all the samples. A lower absorbance in the sample was indicated as a higher DPPH scavenging activity. The concentration dependence of IC50 value was determined from EOs and its derivatives prepared with the DPPH radical to 50% of the control. Ascorbic acid was used as a standard.

2.4.2 ABTS free radical scavenging assay

The ABTS radical scavenging assay was carried out according to the method described by Fitriana et al. [26]. By oxidating ABTS with potasium persulfate, the ABTS radial was obtained. In order to form ABTS cation solution, 5 mL ABTS (7 mm) was mixed with 100 μL of potassium persulphate, and then incubated for 12 hours. Furthermore, the working solution was prepared with a certain amount of the former solution following by adding the phosphate buffer saline solution until the absorbance as large as (0.70 ± 0.001) at 734 nm. The freshly prepared working solution was then kept in the dark for 30 minutes. A volume of 1 mL of different concentrations of plant extract was mixed thoroughly with 1 mL of working solution, and kept in the dark for 10 minutes. The absorbance of the test sample was measured at the same wave length of 734 nm. of the control sample. The percentages of inhibition were calculated using Eq. (1) in which the Abscontrol was absorbance of blank, while the Abstest were absorbance of all the samples. A lower absorbance in the sample was indicated as a higher ABTS scavenging activity. The concentration dependence of IC50 value was determined from EOs and its derivatives prepared with the ABTS radical to 50% of the control. Ascorbic acid was used as a standard.

Ethical approval: The conducted research is not related to either human or animal use.

3 Results and Discussion

3.1 Chemistry

The starting material eugenol (1) was isolated from clove stem oil. The isomerization of (1) with KOH in ethylene glycol monomethyl ether produced (2). Methylation of eugenol (1) with dimethyl sulphate (DMS) produces methyleugenol (3) and isomerization of (3) with KOH without solvent produced isomethyleugenol (4).

Oxymercuration-demercuration of methyleugenol with Hg(OAc)2-NaBH4, produced methyleugenyl alcohol (5) and esterification of (2) with anhydrous acetate produces isoeugenyl acetate (6) as shown in Scheme 1.

3.2 Free Radical Scavenging Activities

To evaluate the antioxidant properties of essential oil, eugenol and derivatives, two methods of DPPH and ABTS were employed. The possitive control used in this research was ascorbic acid. The inhibition concentration, IC50 was measured for the antioxidant activity and the compounds, respectively. The results of scavenging activities are listed in Table 1. The sample amount needed in order to decrease the absorption of DPPH and ABTS by 50% was then calculated graphically by plotting % of inhibition against the concentration in μg/mL.

Table 1

IC50 value free radical scavenging of essential oil.

DPPH (μg/mL)ABTS (μg/mL)
Essential oil from stem (EOS)0.82±0.150.81±0.16
Essential oil from bud (EOB)1.18±0.560.54±0.77
Essential oil from leaf (EOL)1.16±0.740.66±0.67
Ascorbic acid (positive control)1.38±0.650.74±0.54

The free radical scavenging activity of the essential oil on the DPPH scavenging was observed at 319.45 μg/ mL to 9.98 μg/mL concentration. All of the essential oils, regardless of distilation steam method, showed DPPH scavenging activity that increased in a concentration dependent manner. As shown in Figure 1A, all the essential oils, including the reference ascorbic acid (AA), exhibit intense DPPH radical scavenging activity at low concentration 9.98 μg/mL. The percentage of inhibition of DPPH from stem essential oil was high (99.00±1.05%), followed by bud (98.80±0.96%), and leaf (98.10±0.76%). The value of IC50 value showing high activity of DPPH was (0.82±0.15), (1.18±0.56) and (1.16±0.65), for stem, bud, leaf, respectively.

Figure 1 Scavenging effect of different essential oils and ascorbic acid (A) DPPH, (B) ABTS assays at concentration 319.45 μg/mL and 99.00 μg/mL. Mean values are significantly average SD± n =3.
Figure 1

Scavenging effect of different essential oils and ascorbic acid (A) DPPH, (B) ABTS assays at concentration 319.45 μg/mL and 99.00 μg/mL. Mean values are significantly average SD± n =3.

As shown in Figure 1B, the free radical scavenging activity of the essential oil on the ABTS scavenging were observed at concentration of 99.00 μg/mL to 0.77 μg/ mL. The percentage of inhibition of ABTS from bud essential oil was high (93.53±0.68%), followed by leaf (92.33±0.34%) and stem (91.94±0.68%). The value of IC50 showing high activity of ABTS was (0.54±0.77), (0.66±0.67) and (0.81±0.16), for bud, leaf, stem, respectively.

The higher antioxidant activity of oil of E. caryophylata EOS could be related to the synergistic property associated with the high content of eugenol (97.75%) with other constituents viz., β-caryophylene (0.90%), eugenyl acetate (0.76%) and caryophylene oxide (0.59%) reported previously (Sohilait et al, 2018). The presence of eugenyl acetate (20.93%) synergic with eugenol (75.30%), β-caryophylene (3.0%), humulene (0.37%) and caryophylene oxide (0.40%) in EOB makes its ABTS activity higher than EOL’s. On the other hand, the absence of eugenyl acetate in EOB could cause higher antioxidant activity of scavenging ABTS than EOL’s. Humulene in EOS had no indicator of the presence of antioxidant activity, which may be due to the absence of participating electron delocalization group or protons. The presence of β-caryophylene, caryophylene oxide and humulene from the EOs could show no effect of antioxidant activity [27, 28]. The essential oils of eugenol were compared to a known synthetic antioxidant ascorbic acid (Table 1). The oil of E. caryophylata showed better antioxidant property than pure eugenol. The important facts found are the nonspecific responses and synergistic effects of the compounds from essential oil. For this reason, a bioassay-direct fractionation of an active extract was not always contribute to the isolation of active compouds. An apparent loss of activity on separation of synergistically acting components of low part potency cannot be easily distinguished from the loss of activity resulting from the chemical changes induced by particular isolation technique. In this work, we summarized that stem, bud and leaf of E.caryophylata from Amboina Island can be used as a source for use as a food additive, preservative, and as an antiseptic.

Figure 2 Inhibition of eugenol and it’s derivatives at DPPH and ABTS. Values were performed in triplicate and represented as mean ± SD. Abbreviation: AA, ascorbic acid.
Figure 2

Inhibition of eugenol and it’s derivatives at DPPH and ABTS. Values were performed in triplicate and represented as mean ± SD. Abbreviation: AA, ascorbic acid.

The free radical scavenging activity of the eugenol was then measured using a DPPH assay reported in the literature [6]. When the scavenging activity of each compound was quantified by the colorization of DPPH at 515 nm after 20 min-incubation at 37oC, compound isoeugenol exhibited radical scavenging activity, even though its activity was higher than that of derivatives compounds (Table 2). Secondary alcohols generally have little scavenging effects. The result showed that isoeugenyl acetate 6 has no activity, indicating that the radical scavenging effect was caused by the hydroxyl attack of the benzene ring of compound (1).

Table 2

Radical scavenging activity of eugenol and it’s derivatives.

CompoundsDPPH (μM)ABTS (μM)
Eugenol (1)6.34±0.796.76±3.13
Isoeugenol (2)3.59±0.545.0 ±0.53
Methyl eugenol (3)7.80±1.346.79±1.05
Isomethyl eugenol (4)8.53±1.289.88±0.86
Methyl eugenyl hydroxy (5)>100>100
Isoeugenyl acetate (6)--
Ascorbic acid (positive control)4.71±1.054.65±1.64

The antioxidant activity of eugenol derivatives was investigated with DPPH and ABTS. One of the best methods for screening the antioxidant activity of a substance was radical scavenging activity. The capture capability of free radicals induced by eugenol derivatives (3-5) against DPPH and ABTS were analized in parameter IC50, which represents the concentration required to capture 50% of the radicals in the medium. Phenolic compounds, such as eugenol, have the ability of transfering electron or hydrogen atoms by neutralizing free radicals which can block the oxidative process [29, 30]. The results depicted in Table 2 showed that all the derivatives (3-6) presented higher IC50 than eugenol. Such cause was due to the structural modification resulted in subtances with lower DPPH scavenging effects. Compound (2) was produced by isomerization of compund (1).

The result of DPPH and ABS assays for compound (1) showed higher antioxidant properties compared to that of compounds (3-6). The highest antioxidant properties in inhibition ABTS of compound (2) is possibly due to the resonance with the aromatic ring to produce the stabilization of phenoxyl radicals. On other hand, chemical modification of the hydroxyl group resulted in subtances with lower antioxidant effects. Compound (6) was fabricated by an esterification reaction on the hydroxyl group, and resulted in a strong reduction in antioxidant activity to be an inactive compound [23, 31-32]. The secondary alcohol compound was produced by the oxymercuration-demercuration reaction of methyl eugenol, and is also low in antioxidant activity. In a particular manner of eugenol, the relationship between the hydroxyl group and the antioxidant action was observed in compound (2), in which this presented IC50 value of ABTS inhibition is lower than eugenol.

4 Conclusions

The results of both free radical scavenging assays demonstrated that structural modifications in the eugenol molecule produced a reduction in antioxidant activity. Compounds (1) and (2) have the greatest activity as free radical scavengers because of the existance of hydroxyl group in the aromatic ring related to the essential of antioxidant activity.

Acknowledgement

The authors are thankful to the Mininstry Research, Technology and Higher Education,Indonesia for financial support under Excellent Research Grant in 2018.

  1. Conflict of interest: Authors declare that there is no conflict of interest among.

References

[1] Thankumari C.K., Shivaraman K., Kandianum K et al., Bud and leaf essential oil composition of Syzygium aromaticum from India and Madagascar J. Spices Arom Crops, 1994, 3, 105-123.Search in Google Scholar

[2] Jirovetz L., Buchbauer G., Stoilova I et al., Chemical composition and antioxidant properties of clove leaf essential oil, J. Agric. Food chem., 2006, 54, 6303- 6307.10.1021/jf060608cSearch in Google Scholar

[3] Gupta M., Singh D., Gularia P et al., GCMS analysis and identifications of chemical constituents of Syzigium aromaticum, Brassica compestris and cow ghee, J. Chem. Pharm. Res., 2015, 7(1), 568-572.Search in Google Scholar

[4] Srivastava A.K., Srivastava S.K., Syamsudar K.V., Bud and leaf essential oil composition of Syzygium aromaticum from India and Madagascar, Flavour Frag. J 2005, 20, 51-53.10.1002/ffj.1364Search in Google Scholar

[5] Kumar A., Shukla R., Singh P et al., Chemical composition, antifungal and antiaflatoxigenic activities of Ocimum sanctum L. essential oil and its safety assessment as plant based antimicrobial, Food and Chemical Toxicology, 2010, 48 , 539-543.10.1016/j.fct.2009.11.028Search in Google Scholar

[6] Da Silva F.F.M., Monte F.J.Q., de Lemos T.L.G et al., Eugenol derivatives: synthesis, characterization, and evaluation of antibacterial and antooxidant activities, Chemistry Central Journal, 2018, 12, 34-42.10.1186/s13065-018-0407-4Search in Google Scholar

[7] Guenther E., The Essential Oils Vol. II IV B, Universitas Indonesia Publishing, Jakarta, 1990.Search in Google Scholar

[8] Sohilait H.J., Sastrohamidjojo H., Sabirin M., et al., Synthesis of analog L-α-methyl DOPA from eugenol, Indo. J. Chem 2005, 5(3), 198-202.10.22146/ijc.21788Search in Google Scholar

[9] Lamoureux G., Agüero Ch., A comparison of several modern alkylating agents, Arkivoc, 2009, 1, 251-26410.3998/ark.5550190.0010.108Search in Google Scholar

[10] Tundo P., New developments in dimethyl carbonate chemistry, Pure Appl. Chem 2001, 73, 7, 1117-24.10.1351/pac200173071117Search in Google Scholar

[11] Ono Y., Dimethyl carbonate for environmentally benign reactions, Pure and Appl. Chem 1996, 68(2), 367-375.10.1351/pac199668020367Search in Google Scholar

[12] Ouk S., Thiebaud S., Borredon E., et al., O-Methylation of phenolic compounds with dimethyl carbonate under solid/ liquid phase transfer system, Tetrahedron Letters, 2002, 43, 2661-266310.1016/S0040-4039(02)00201-0Search in Google Scholar

[13] Wen-Chung S.W.Ch., Dell St., Repic O.,1,8-Diazabicyclo[5.4.0] undec-7-ene (DBU) and Microwave-Accelerated Green Chemistry in Methylation of Phenols, Indoles, and Benzimidazoles with Dimethyl Carbonate, Organic Letter, 2001, 3(26), 4279-428110.1021/ol016949nSearch in Google Scholar PubMed

[14] Tundo P. and Selva M., The Chemistry of Dimethyl Carbonate Carbonate, Acc. Chem. Res. 2002, 35, 706-716.10.1021/ar010076fSearch in Google Scholar PubMed

[15] Lampman G.M., Sharpe S.D., A Phase Transfer Catalyzed Permanganate Oxidation. J. Chem. Educ., 1983, 60, 503-504.10.1021/ed060p503Search in Google Scholar

[16] Xuan Th, Luu Th., Lam T. et al., Fast and Green Microwave-Assisted Conversion of .Essential Oil Allylbenzenes into the Corresponding Aldehydes via Alkene Isomerization and Subsequent Potassium Permanganate Promoted Oxidative Alkene Group Cleavage, Moleecules, 2009, 14 3411-342410.3390/molecules14093411Search in Google Scholar PubMed PubMed Central

[17] Nagase Ts., Suzukamo G, Fukao M, Isomerization of alkenyl-alkoxybenzenes, US patent 3,852,305, Dec, 3, 1974.Search in Google Scholar

[18] Baby Ch., Microwave Isomerization of Safrole and Eugenol., Syn. Comm.,1977, 27(24), 4335-4340.Search in Google Scholar

[19] Sohilait M.R, Sohilait H.J, Francina E, Synthesis of 3,4-methyleedioxy isoamyl cinnamic as the sunscreen compound from culilawan oil, Ind. J. Chem. Res., 2013, 1, 1-5.Search in Google Scholar

[20] Brown H.C., Geoghegen J.P.J., The Oxymercuration-Demercuration of Representative Olefins in an Aqueous System. A Convenient Mild Procedure for Markonikov Hydration of the Carbon-Carbon Double Bond, J.Org.Chem, 1970, 6, 1844-1850.10.1021/jo00831a028Search in Google Scholar

[21] Brown, H.C., Lynch, G.J., Oxymercuration-Demercuration of Methoxy, Hydroxy and Acetoxy-Substitued Alkenes, J. Org. Chem., 1981, 6(3), 531-538.10.1021/jo00316a011Search in Google Scholar

[22] Sohilait, H. J., Sastrohamidjojo, H., Sabirin, M et al., Synthesis of Secondary Alcohol Compounds from Methyleugenol, Indo. J. Chem., 2003, 3(3), 176 -17810.22146/ijc.21885Search in Google Scholar

[23] Wang J., Xia F., Wen-Bin J et al., Efficient synthesis and antioxidant activities of N-heterocyclyl substituted Coenzyme Q analogues, Bio-Organic Chem., 2016, 68, 214-218.10.1016/j.bioorg.2016.08.008Search in Google Scholar PubMed

[24] Sohilait H.J, Kainama H., GC/GC-MS Analysis, Isolation and Identification of Bark Essential Oil Components from Cinnamomum culilawan Blume, Am. J. App. Chem., 2016; 4(4), 157- 16010.11648/j.ajac.20160404.16Search in Google Scholar

[25] Singh R.S.G., Negi P.S., Radha C., J. of functional Foods., Phenolic composition, antioxidant and antimicrobial activities of free and bound phenolic extracts of Moringa oleifera seed flour, J. of functional Foods, 2013, 5, 1883-1891.10.1016/j.jff.2013.09.009Search in Google Scholar

[26] Fitriana W., Ersam, T., Koniyoshi S et al.,Antioxidant Activity of Moringa oleifera extracts, Indones. J. Chem., 2016, 16, 297-301.10.22146/ijc.21145Search in Google Scholar

[27] Hammami S., Mokni R.E., Faidi K et al., Chemical composition and antioxidant activity of essential oil from aerial parts of Teucrium flavum L. subsp. flavum growing spontaneously in Tunisia, Nat. Prod. Res., 2015, 29(24), 2336-2340.10.1080/14786419.2015.1010162Search in Google Scholar PubMed

[28] Cote H., Boucher M., Pichette A et al., Anti-Inflammatory, Antioxidant, Antibiotic, and Cytotoxic Activities of Tanacetum vulgare L. Essential Oil and Its Constituents, Medicines, 2017, 4(2), 34-43.10.3390/medicines4020034Search in Google Scholar PubMed PubMed Central

[29] Hindalgo M.E., Rosa C., Antioxidant capacity of eugenol derivatives, Quim Nova, 2009, 32(6), 1467- 1470.10.1590/S0100-40422009000600020Search in Google Scholar

[30] Findik E., Ceylan M, Elmastas M., Isoeugenol-based novel potent antioxidants: Chemistry Synthesis and reactivity, Eur. J. of Med., 2011, 46, 4618-4624.10.1016/j.ejmech.2011.07.041Search in Google Scholar PubMed

[31] Baroso MR., Ramalhosa M.J., Alves R.C et al., Total antioxidant capacity of plant infusions: Assessment using electrochemical DNAbased biosensor and spectrophotometric methods, Food control., 2016, 68, 153-161.10.1016/j.foodcont.2016.03.029Search in Google Scholar

[32] Lasha-Benamrouchea S., Madania K., Phenolic contents and antioxidant activity of orange varietiesCitrus sinensis L. and Citrus aurantium L.) cultivated in Algeria: Peels and leaves, Industrial Corps and prod., 2013, 50, 723- 730.10.1016/j.indcrop.2013.07.048Search in Google Scholar

Received: 2018-10-23
Accepted: 2019-01-27
Published Online: 2019-07-08

© 2019 Hanoch Julianus Sohilait, Healthy Kainama, published by De Gruyter

This work is licensed under the Creative Commons Attribution 4.0 Public License.

Articles in the same Issue

  1. Regular Articles
  2. Research on correlation of compositions with oestrogenic activity of Cistanche based on LC/Q-TOF-MS/MS technology
  3. Efficacy of Pyrus elaeagnifolia subsp. elaeagnifolia in acetic acid–induced colitis model
  4. Anti-inflammatory and antinociceptive features of Bryonia alba L.: As a possible alternative in treating rheumatism
  5. High efficiency liposome fusion induced by reducing undesired membrane peptides interaction
  6. Prediction of the Blood-Brain Barrier Permeability Using RP-18 Thin Layer Chromatography
  7. Phytic Acid Extracted from Rice Bran as a Growth Promoter for Euglena gracilis
  8. Development of a validated spectrofluorimetric method for assay of sotalol hydrochloride in tablets and human plasma: application for stability-indicating studies
  9. Topological Indices of Hyaluronic Acid-Paclitaxel Conjugates’ Molecular Structure in Cancer Treatment
  10. Thermodynamic properties of the bubble growth process in a pool boiling of water-ethanol mixture two-component system
  11. Critical Roles of the PI3K-Akt-mTOR Signaling Pathway in Apoptosis and Autophagy of Astrocytes Induced by Methamphetamine
  12. Characteristics of Stable Hydrogen and Oxygen Isotopes of Soil Moisture under Different Land Use in Dry Hot Valley of Yuanmou
  13. Specific, highly sensitive and simple spectrofluorimetric method for quantification of daclatasvir in HCV human plasma patients and in tablets dosage form
  14. Chromium-modified cobalt molybdenum nitrides as catalysts for ammonia synthesis
  15. Langerhans cell-like dendritic cells treated with ginsenoside Rh2 regulate the differentiation of Th1 and Th2 cells in vivo
  16. Identification of Powdery Mildew Blumeria graminis f. sp. tritici Resistance Genes in Selected Wheat Varieties and Development of Multiplex PCR
  17. Computational Analysis of new Degree-based descriptors of oxide networks
  18. The Use Of Chemical Composition And Additives To Classify Petrol And Diesel Using Gas Chromatography–Mass Spectrometry And Chemometric Analysis: A Uk Study
  19. Minimal Energy Tree with 4 Branched Vertices
  20. Jatropha seed oil derived poly(esteramide-urethane)/ fumed silica nanocomposite coatings for corrosion protection
  21. Calculating topological indices of certain OTIS interconnection networks
  22. Energy storage analysis of R125 in UIO-66 and MOF-5 nanoparticles: A molecular simulation study
  23. Velvet Antler compounds targeting major cell signaling pathways in osteosarcoma - a new insight into mediating the process of invasion and metastasis in OS
  24. Effects of Azadirachta Indica Leaf Extract, Capping Agents, on the Synthesis of Pure And Cu Doped ZnO-Nanoparticles: A Green Approach and Microbial Activity
  25. Aqueous Micro-hydration of Na+(H2O)n=1-7 Clusters: DFT Study
  26. A proposed image-based detection of methamidophos pesticide using peroxyoxalate chemiluminescence system
  27. Phytochemical screening and estrogenic activity of total glycosides of Cistanche deserticola
  28. Biological evaluation of a series of benzothiazole derivatives as mosquitocidal agents
  29. Chemical pretreatments of Trapa bispinosa's peel (TBP) biosorbent to enhance adsorption capacity for Pb(ll)
  30. Dynamic Changes in MMP1 and TIMP1 in the Antifibrotic Process of Dahuang Zhechong Pill in Rats with Liver Fibrosis
  31. The Optimization and Production of Ginkgolide B Lipid Microemulsion
  32. Photodynamic Therapy Enhanced the Antitumor Effects of Berberine on HeLa Cells
  33. Chiral and Achiral Enantiomeric Separation of (±)-Alprenolol
  34. Correlation of Water Fluoride with Body Fluids, Dental Fluorosis and FT4, FT3 –TSH Disruption among Children in an Endemic Fluorosis area in Pakistan
  35. A one-step incubation ELISA kit for rapid determination of dibutyl phthalate in water, beverage and liquor
  36. Free Radical Scavenging Activity of Essential Oil of Eugenia caryophylata from Amboina Island and Derivatives of Eugenol
  37. Effects of Blue and Red Light On Growth And Nitrate Metabolism In Pakchoi
  38. miRNA-199a-5p functions as a tumor suppressor in prolactinomas
  39. Solar photodegradation of carbamazepine from aqueous solutions using a compound parabolic concentrator equipped with a sun tracking system
  40. Influence of sub-inhibitory concentration of selected plant essential oils on the physical and biochemical properties of Pseudomonas orientalis
  41. Preparation and spectroscopic studies of Fe(II), Ru(II), Pd(II) and Zn(II) complexes of Schiff base containing terephthalaldehyde and their transfer hydrogenation and Suzuki-Miyaura coupling reaction
  42. Complex formation in a liquid-liquid extraction-chromogenic system for vanadium(IV)
  43. Synthesis, characterization (IR, 1H, 13C & 31P NMR), fungicidal, herbicidal and molecular docking evaluation of steroid phosphorus compounds
  44. Analysis and Biological Evaluation of Arisaema Amuremse Maxim Essential Oil
  45. A preliminary assessment of potential ecological risk and soil contamination by heavy metals around a cement factory, western Saudi Arabia
  46. Anti- inflammatory effect of Prunus tomentosa Thunb total flavones in LPS-induced RAW264.7 cells
  47. Collaborative Influence of Elevated CO2 Concentration and High Temperature on Potato Biomass Accumulation and Characteristics
  48. Methods of extraction, physicochemical properties of alginates and their applications in biomedical field – a review
  49. Characteristics of liposomes derived from egg yolk
  50. Preparation of ternary ZnO/Ag/cellulose and its enhanced photocatalytic degradation property on phenol and benzene in VOCs
  51. Influence of Human Serum Albumin Glycation on the Binding Affinities for Natural Flavonoids
  52. Synthesis and antioxidant activity of 2-methylthio-pyrido[3,2-e][1,2,4] triazolo[1,5-a]pyrimidines
  53. Comparative study on the antioxidant activities of ten common flower teas from China
  54. Molecular Properties of Symmetrical Networks Using Topological Polynomials
  55. Synthesis of Co3O4 Nano Aggregates by Co-precipitation Method and its Catalytic and Fuel Additive Applications
  56. Phytochemical analysis, Antioxidant and Antiprotoscolices potential of ethanol extracts of selected plants species against Echinococcus granulosus: In-vitro study
  57. Silver nanoparticles enhanced fluorescence for sensitive determination of fluoroquinolones in water solutions
  58. Simultaneous Quantification of the New Psychoactive Substances 3-FMC, 3-FPM, 4-CEC, and 4-BMC in Human Blood using GC-MS
  59. Biodiesel Production by Lipids From Indonesian strain of Microalgae Chlorella vulgaris
  60. Miscibility studies of polystyrene/polyvinyl chloride blend in presence of organoclay
  61. Antibacterial Activities of Transition Metal complexes of Mesocyclic Amidine 1,4-diazacycloheptane (DACH)
  62. Novel 1,8-Naphthyridine Derivatives: Design, Synthesis and in vitro screening of their cytotoxic activity against MCF7 cell line
  63. Investigation of Stress Corrosion Cracking Behaviour of Mg-Al-Zn Alloys in Different pH Environments by SSRT Method
  64. Various Combinations of Flame Retardants for Poly (vinyl chloride)
  65. Phenolic compounds and biological activities of rye (Secale cereale L.) grains
  66. Oxidative degradation of gentamicin present in water by an electro-Fenton process and biodegradability improvement
  67. Optimizing Suitable Conditions for the Removal of Ammonium Nitrogen by a Microbe Isolated from Chicken Manure
  68. Anti-inflammatory, antipyretic, analgesic, and antioxidant activities of Haloxylon salicornicum aqueous fraction
  69. The anti-corrosion behaviour of Satureja montana L. extract on iron in NaCl solution
  70. Interleukin-4, hemopexin, and lipoprotein-associated phospholipase A2 are significantly increased in patients with unstable carotid plaque
  71. A comparative study of the crystal structures of 2-(4-(2-(4-(3-chlorophenyl)pipera -zinyl)ethyl) benzyl)isoindoline-1,3-dione by synchrotron radiation X-ray powder diffraction and single-crystal X-ray diffraction
  72. Conceptual DFT as a Novel Chemoinformatics Tool for Studying the Chemical Reactivity Properties of the Amatoxin Family of Fungal Peptides
  73. Occurrence of Aflatoxin M1 in Milk-based Mithae samples from Pakistan
  74. Kinetics of Iron Removal From Ti-Extraction Blast Furnace Slag by Chlorination Calcination
  75. Increasing the activity of DNAzyme based on the telomeric sequence: 2’-OMe-RNA and LNA modifications
  76. Exploring the optoelectronic properties of a chromene-appended pyrimidone derivative for photovoltaic applications
  77. Effect of He Qi San on DNA Methylation in Type 2 Diabetes Mellitus Patients with Phlegm-blood Stasis Syndrome
  78. Cyclodextrin potentiometric sensors based on selective recognition sites for procainamide: Comparative and theoretical study
  79. Greener synthesis of dimethyl carbonate from carbon dioxide and methanol using a tunable ionic liquid catalyst
  80. Nonisothermal Cold Crystallization Kinetics of Poly(lactic acid)/Bacterial Poly(hydroxyoctanoate) (PHO)/Talc
  81. Enhanced adsorption of sulfonamide antibiotics in water by modified biochar derived from bagasse
  82. Study on the Mechanism of Shugan Xiaozhi Fang on Cells with Non-alcoholic Fatty Liver Disease
  83. Comparative Effects of Salt and Alkali Stress on Antioxidant System in Cotton (Gossypium Hirsutum L.) Leaves
  84. Optimization of chromatographic systems for analysis of selected psychotropic drugs and their metabolites in serum and saliva by HPLC in order to monitor therapeutic drugs
  85. Electrocatalytic Properties of Ni-Doped BaFe12O19 for Oxygen Evolution in Alkaline Solution
  86. Study on the removal of high contents of ammonium from piggery wastewater by clinoptilolite and the corresponding mechanisms
  87. Phytochemistry and toxicological assessment of Bryonia dioica roots used in north-African alternative medicine
  88. The essential oil composition of selected Hemerocallis cultivars and their biological activity
  89. Mechanical Properties of Carbon Fiber Reinforced Nanocrystalline Nickel Composite Electroforming Deposit
  90. Anti-c-myc efficacy block EGFL7 induced prolactinoma tumorigenesis
  91. Topical Issue on Applications of Mathematics in Chemistry
  92. Zagreb Connection Number Index of Nanotubes and Regular Hexagonal Lattice
  93. The Sanskruti index of trees and unicyclic graphs
  94. Valency-based molecular descriptors of Bakelite network BNmn
  95. Computing Topological Indices for Para-Line Graphs of Anthracene
  96. Zagreb Polynomials and redefined Zagreb indices of Dendrimers and Polyomino Chains
  97. Topological Descriptor of 2-Dimensional Silicon Carbons and Their Applications
  98. Topological invariants for the line graphs of some classes of graphs
  99. Words for maximal Subgroups of Fi24
  100. Generators of Maximal Subgroups of Harada-Norton and some Linear Groups
  101. Special Issue on POKOCHA 2018
  102. Influence of Production Parameters on the Content of Polyphenolic Compounds in Extruded Porridge Enriched with Chokeberry Fruit (Aronia melanocarpa (Michx.) Elliott)
  103. Effects of Supercritical Carbon Dioxide Extraction (SC-CO2) on the content of tiliroside in the extracts from Tilia L. flowers
  104. Impact of xanthan gum addition on phenolic acids composition and selected properties of new gluten-free maize-field bean pasta
  105. Impact of storage temperature and time on Moldavian dragonhead oil – spectroscopic and chemometric analysis
  106. The effect of selected substances on the stability of standard solutions in voltammetric analysis of ascorbic acid in fruit juices
  107. Determination of the content of Pb, Cd, Cu, Zn in dairy products from various regions of Poland
  108. Special Issue on IC3PE 2018 Conference
  109. The Photocatalytic Activity of Zns-TiO2 on a Carbon Fiber Prepared by Chemical Bath Deposition
  110. N-octyl chitosan derivatives as amphiphilic carrier agents for herbicide formulations
  111. Kinetics and Mechanistic Study of Hydrolysis of Adenosine Monophosphate Disodium Salt (AMPNa2) in Acidic and Alkaline Media
  112. Antimalarial Activity of Andrographis Paniculata Ness‘s N-hexane Extract and Its Major Compounds
  113. Special Issue on ABB2018 Conference
  114. Special Issue on ICCESEN 2017
  115. Theoretical Diagnostics of Second and Third-order Hyperpolarizabilities of Several Acid Derivatives
  116. Determination of Gamma Rays Efficiency Against Rhizoctonia solani in Potatoes
  117. Studies On Compatibilization Of Recycled Polyethylene/Thermoplastic Starch Blends By Using Different Compatibilizer
  118. Liquid−Liquid Extraction of Linalool from Methyl Eugenol with 1-Ethyl-3-methylimidazolium Hydrogen Sulfate [EMIM][HSO4] Ionic Liquid
  119. Synthesis of Graphene Oxide Through Ultrasonic Assisted Electrochemical Exfoliation
  120. Special Issue on ISCMP 2018
  121. Synthesis and antiproliferative evaluation of some 1,4-naphthoquinone derivatives against human cervical cancer cells
  122. The influence of the grafted aryl groups on the solvation properties of the graphyne and graphdiyne - a MD study
  123. Electrochemical modification of platinum and glassy carbon surfaces with pyridine layers and their use as complexing agents for copper (II) ions
  124. Effect of Electrospinning Process on Total Antioxidant Activity of Electrospun Nanofibers Containing Grape Seed Extract
  125. Effect Of Thermal Treatment Of Trepel At Temperature Range 800-1200˚C
  126. Topical Issue on Agriculture
  127. The effect of Cladophora glomerata exudates on the amino acid composition of Cladophora fracta and Rhizoclonium sp.
  128. Influence of the Static Magnetic Field and Algal Extract on the Germination of Soybean Seeds
  129. The use of UV-induced fluorescence for the assessment of homogeneity of granular mixtures
  130. The use of microorganisms as bio-fertilizers in the cultivation of white lupine
  131. Lyophilized apples on flax oil and ethyl esters of flax oil - stability and antioxidant evaluation
  132. Production of phosphorus biofertilizer based on the renewable materials in large laboratory scale
  133. Human health risk assessment of potential toxic elements in paddy soil and rice (Oryza sativa) from Ugbawka fields, Enugu, Nigeria
  134. Recovery of phosphates(V) from wastewaters of different chemical composition
  135. Special Issue on the 4th Green Chemistry 2018
  136. Dead zone for hydrogenation of propylene reaction carried out on commercial catalyst pellets
  137. Improved thermally stable oligoetherols from 6-aminouracil, ethylene carbonate and boric acid
  138. The role of a chemical loop in removal of hazardous contaminants from coke oven wastewater during its treatment
  139. Combating paraben pollution in surface waters with a variety of photocatalyzed systems: Looking for the most efficient technology
  140. Special Issue on Chemistry Today for Tomorrow 2019
  141. Applying Discriminant and Cluster Analyses to Separate Allergenic from Non-allergenic Proteins
  142. Chemometric Expertise Of Clinical Monitoring Data Of Prolactinoma Patients
  143. Chemomertic Risk Assessment of Soil Pollution
  144. New composite sorbent for speciation analysis of soluble chromium in textiles
  145. Photocatalytic activity of NiFe2O4 and Zn0.5Ni0.5Fe2O4 modified by Eu(III) and Tb(III) for decomposition of Malachite Green
  146. Photophysical and antibacterial activity of light-activated quaternary eosin Y
  147. Spectral properties and biological activity of La(III) and Nd(III) Monensinates
  148. Special Issue on Monitoring, Risk Assessment and Sustainable Management for the Exposure to Environmental Toxins
  149. Soil organic carbon mineralization in relation to microbial dynamics in subtropical red soils dominated by differently sized aggregates
  150. A potential reusable fluorescent aptasensor based on magnetic nanoparticles for ochratoxin A analysis
  151. Special Issue on 13th JCC 2018
  152. Fluorescence study of 5-nitroisatin Schiff base immobilized on SBA-15 for sensing Fe3+
  153. Thermal and Morphology Properties of Cellulose Nanofiber from TEMPO-oxidized Lower part of Empty Fruit Bunches (LEFB)
  154. Encapsulation of Vitamin C in Sesame Liposomes: Computational and Experimental Studies
  155. A comparative study of the utilization of synthetic foaming agent and aluminum powder as pore-forming agents in lightweight geopolymer synthesis
  156. Synthesis of high surface area mesoporous silica SBA-15 by adjusting hydrothermal treatment time and the amount of polyvinyl alcohol
  157. Review of large-pore mesostructured cellular foam (MCF) silica and its applications
  158. Ion Exchange of Benzoate in Ni-Al-Benzoate Layered Double Hydroxide by Amoxicillin
  159. Synthesis And Characterization Of CoMo/Mordenite Catalyst For Hydrotreatment Of Lignin Compound Models
  160. Production of Biodiesel from Nyamplung (Calophyllum inophyllum L.) using Microwave with CaO Catalyst from Eggshell Waste: Optimization of Transesterification Process Parameters
  161. The Study of the Optical Properties of C60 Fullerene in Different Organic Solvents
  162. Composite Material Consisting of HKUST-1 and Indonesian Activated Natural Zeolite and its Application in CO2 Capture
  163. Topical Issue on Environmental Chemistry
  164. Ionic liquids modified cobalt/ZSM-5 as a highly efficient catalyst for enhancing the selectivity towards KA oil in the aerobic oxidation of cyclohexane
  165. Application of Thermal Resistant Gemini Surfactants in Highly Thixotropic Water-in-oil Drilling Fluid System
  166. Screening Study on Rheological Behavior and Phase Transition Point of Polymer-containing Fluids produced under the Oil Freezing Point Temperature
  167. The Chemical Softening Effect and Mechanism of Low Rank Coal Soaked in Alkaline Solution
  168. The Influence Of NO/O2 On The NOx Storage Properties Over A Pt-Ba-Ce/γ-Al2O3 Catalyst
  169. Special Issue on the International conference CosCI 2018
  170. Design of SiO2/TiO2 that Synergistically Increases The Hydrophobicity of Methyltrimethoxysilane Coated Glass
  171. Antidiabetes and Antioxidant agents from Clausena excavata root as medicinal plant of Myanmar
  172. Development of a Gold Immunochromatographic Assay Method Using Candida Biofilm Antigen as a Bioreceptor for Candidiasis in Rats
  173. Special Issue on Applied Biochemistry and Biotechnology 2019
  174. Adsorption of copper ions on Magnolia officinalis residues after solid-phase fermentation with Phanerochaete chrysosporium
  175. Erratum
  176. Erratum to: Sand Dune Characterization For Preparing Metallurgical Grade Silicon
Downloaded on 17.11.2025 from https://www.degruyterbrill.com/document/doi/10.1515/chem-2019-0047/html
Scroll to top button