Home Physical Sciences Solar photodegradation of carbamazepine from aqueous solutions using a compound parabolic concentrator equipped with a sun tracking system
Article Open Access

Solar photodegradation of carbamazepine from aqueous solutions using a compound parabolic concentrator equipped with a sun tracking system

  • Ahmadreza Yazdanbakhsh , Reza Nemati EMAIL logo , Mohamadreza Massoudinejad , Mohamadjavad Jafari and Masoomeh Dashtdar
Published/Copyright: August 27, 2019

Abstract

The primary purpose of this study was to investigate the efficiency of a Compound Parabolic Concentrator (CPC) equipped with a sun tracking system in the photolysis of carbamazepine as a refractory organic compound. The natural sunlight experiments were accomplished during the period May–July 2017 in Tehran, Iran. The intermediate by-products of the process of solar photodegradation of carbamazepine (CBZ) were characterized using LC–MS. The results showed that increasing the reactor temperature did not significantly change CBZ degradation efficiency. However, the solution pH played a comparatively important role in CBZ solar photo degradation: removal efficiency increased considerably with pH from about 49% at pH 7 to almost 61% at pH 9. According to our findings, using a CPC reactor equipped with a sun tracker system promotes the solar photo-transformation rate of CBZ by 2-3 fold. In addition, LC/MS analysis showed that eight main intermediates were formed in the treated solution after solar photodegradation of CBZ. Therefore, complete mineralization of CBZ was not accomplished.

1 Introduction

Pharmaceutical residues in bodies of water are a serious concern due to their abundance, recalcitrance, and chronic effects [1]. Treated wastewater effluents are significant sources of pharmaceuticals residues in bodies of water, because most of these compounds are refractory to conventional wastewater treatment [2, 3, 4, 5]. Due to the generally lower concentrations and cost, it is technically impossible to monitor all of these compounds in water and wastewater. Thus, the use of some pharmaceuticals as indicators has become popular [6]. Carbamazepine (CBZ), an antiepileptic pharmaceutical compound, is usually used as an indicator to confirm the presence of drugs in aqueous environments [7]. It is commonly detected in receiving waters and bodies of water and is one of the most recalcitrant pharmaceutical compounds to biodegradation (less than 10% is typically removed during wastewater treatment) [5]. This compound also is exceptionally resistant to photodegradation (with a half-life of more than 100 days) [8, 9].

Recent studies have attempted to develop simple, reliable, high-throughput and inexpensive treatment methods for the removal of pharmaceutical residues from aqueous environments. In many new advanced wastewater treatment processes, artificial UV radiation plays a key role in the removal of micropollutants, especially in combination with other chemical agents. It was largely used because of its great oxidation potential which could degrade refractory organic pollutants to biodegradable products or carbon dioxide directly or indirectly [10, 11, 12, 13]. However, the energy and safety requirements severely limit the use of artificial UV irradiation. These restrictions could be partially overcome by using solar radiation instead of artificial UV.

Solar photodegradation has been known as one of the most effectual treatment methods for emerging pollutants [14]. Solar irradiation is a broadly available renewable energy source [15]. At the current energy consumption rate, the solar energy received by Earth in one hour can supply the world’s energy requirements for more than a year [16]. The situation is even better in sunny countries like Iran, which experiences approximately 300 cloudless days in a year and an average 2200 kWh/m2 solar radiation per year [17]. Using the sun as an energy source is a good option for the reduction of conventional energy consumption costs of wastewater treatment and is environmentally attractive [18, 19]. But solar radiation bands contains low UV light and are not constant in the natural environment due to fluctuations of diurnal and seasonal cycles; therefore, direct and uncorrected use of solar irradiation would not be successful in water and wastewater treatments processes [20].

Although some studies have been done to reduce these limitations, few studies have focused on the use of Compound Parabolic Concentrator reactors (CPCs) with or without equipped solar tracking systems in water and wastewater treatment [21, 22]. Some of these reactors can concentrate sunlight between 5 and 50 times [23]. CPC reactors equipped with solar tracking systems can continuously concentrate sunlight into the focal line. Collecting solar radiation from all directions in the atmosphere with high efficiency and simple construction and operation are important advantages of these reactors [18]. It is reported that this method can be very effective for the treatment of emerging pollutants as well as for disinfection [24]. Lam and Mabury [25] report that CBZ photodegradation is an important removal process in surface waters and photolysis products were less recalcitrant than mother compound.

With this background, the main purpose of this work was to study the efficiency of a Compound Parabolic Concentrator (CPC) equipped with a two-axis (horizontal and vertical) tracking system in the photolysis of carbamazepine (CBZ) as a pharmaceutical residues indicator.

2 Materials and Methods

2.1 Materials

Carbamazepine (CBZ ≥ 99%) was acquired from Arasto Pharmaceutical Chemicals Inc. (Tehran, Iran). The chemical structure and specification of CBZ are shown in Figure 1. All other used chemicals in this study, such as hydrochloric acid and sodium hydroxide, was purchased from Merck, Darmstadt, Germany.

Figure 1 Chemical structure and specifications of Carbamazepine.
Figure 1

Chemical structure and specifications of Carbamazepine.

2.2 Installation and Experimental procedure

A schematic diagram of the experimental pilot CPC reactor equipped with sun tracker system is shown in Figure 2. The pilot consisted of a quartz tube (number 1 in Figure 2) with a length of 80 cm, an outside diameter of 3.2 cm and inside diameter of 2.8 cm; a compound parabolic collector (CPC) (number 2 in Figure 2); and a dual axis solar tracker system. The CPC aperture area was 0.38 m2. The tracking system pursues the angular height position of the sun in the sky in addition to pursuing the sun’s east-west motion by rotating the CPC reactor. As shown in Figure 2, the solar tracker system has a photo sensor (number 3 in Figure 2), a vertical rotator (number 4 in Figure 2), a horizontal rotator (number 5 in Figure 2), anda controller (number 6 in Figure 2). The rotators are principally conducting the action of sun tracking. The horizontal rotator tracks the east-west movement of the sun, and the vertical rotator tracks the sun’s up-down motion. These rotators and the photo sensor are interfaced with a controller, which is controlling the rotators according to the sensor’s input. The photo sensor uses a light-dependent resistor (LDR) to acquire the sun’s position. The LDR sensor senses the light intensity and sends a signal to the controller. The controller compares the signals received from the photo sensor and decides the rotation direction of the rotators according to the stored program.

Figure 2 Schematic diagram of pilot scale CPC with tracking system reactor; 1- quartz tube (with inlet and outlet valves), 2 - CPC, 3 - photo sensor, 4 - Vertical rotator, 5 - Horizontal rotator, 6 - Controller , 7 - Thermometer, 8 - Copper rod
Figure 2

Schematic diagram of pilot scale CPC with tracking system reactor; 1- quartz tube (with inlet and outlet valves), 2 - CPC, 3 - photo sensor, 4 - Vertical rotator, 5 - Horizontal rotator, 6 - Controller , 7 - Thermometer, 8 - Copper rod

The reactor temperature was recorded at the beginning and end of the reaction using a mercury thermometer (number 7 in Figure 2) placed inside the quartz tube. To determine the role of temperature in the removal of carbamazepine, a black copper rod (number 8 in Figure 2) was placed inside the quartz tube. The reactor without the black copper tube was called CPC1, while the reactor with the tube was called CPC2. The CPC (1 and 2) experiments were replicated with the same CPC and tracking system but one different days and with different quartz tubes (with or without the copper rod). The conditions on the different days were similar (sunny and calm). As a negative control for the effect of CPC on CBZ removal, a simple quartz tube without CPC or copper rod was used (this situation is termed the “blank”). Natural sunlight experiments were carried out during three consecutive weeks during the period of May–July 2017 at the University of Shahid Beheshti University of Medical Sciences in Iran, local latitude 35° 47’ 50’’ N, longitude 51° 23’ 50’’ E.

2.3 Solar radiation dose

In this study, the solar light intensity and the reactor’s temperature changes were measured and recorded. Solar irradiance was measured with a global radiometer (Model HAGNER, Sweden).To estimate the solar radiation dose, the cumulative solar radiation dose (CSRD) into the reactor over the period of experiment per unit time and volume was calculated. The CSRD was calculated by integrating the average of measured solar irradiance (Q) during the different exposure times using following equation:

(1)CSRD=C1000AVtstarttendQdt

where CSRD is cumulative solar radiation dose (kWh/L), C is reflection coefficient (typically 0.8), A is the CPC aperture area (m2), V is the volume of treated wastewater (L) and Q is the measured solar irradiance (W/m2).

2.4 CBZ-contaminated water preparation

A standard stock solution of CBZ (150mg/L) was prepared from analytical grade CBZ powder and methanol/ deionized water (20% volume/volume). This solution was stored in the refrigerator at 7°C for further use and refreshed at 5-day intervals. The stock solution of CBZ was spiked into the reaction solution in a 500 mL volumetric flask to yield a selected concentration from 0 (control) to 5 mg/L with intervals of 0.5 mg/L. Generally, the volumetric percentage of methanol present in reaction solutions was less than 0.1% (v/v). The solution pH was adjusted with 0.01N H2SO4 and 0.01N NaOH. CBZ removal experiments were carried out according to the following approaches: (1) Blank reactor (quartz tube without CPC, tracking system and copper rod, (2) CPC1 reactor (quartz tube in the focal axis of CPC) and (3) CPC2 reactor (CPC1 plus copper rod to quartz tube). All experiments were performed in duplicate.

2.5 Analytical methods

CBZ concentration measurements were carried out by HPLC (Knauer) equipped with an Eclipse plus C18 column (3.5 ×4.6×100 mm) and a UV detector at λ= 280 nm. Its retention time (RT) was 7.2 ± 0.1 min. A mixture of methanol/water solution (60/40 %v/v) was used as the mobile phase at a flow rate of 0.8 mL/min, and the injection volume was 20 μL. The lowest detection and quantification limits were estimated to be approximately 50μg/L and 100 μg/L respectively. CBZ products in photochemical reactions were also monitored by liquid chromatography mass spectrometry (LC-MS, Quartro Micro API micro-mass Waters 2695) with a Thermo Quest Finnigan LCQ Duo mass spectrometer system.

Ethical approval: The conducted research is not related to either human or animal use.

3 Results and Discussion

Results were classified into four main sections: (1) Solar radiation, (2) Effect of initial CBZ concentrations, (3) Effect of pH and Temperature, and (4) CBZ transformation products and pathway.

3.1 Solar radiation

The cumulative solar radiation doses (CSRD) over the period of experiments are shown in Figure 3. The CSRD values were calculated using equation (1). As shown in this Figure, the solar radiation doses fell within the range of 0.5 to 4 kWh/L.

Figure 3 Estimated cumulative solar radiation dose (CSRD) in the period of experiments into the reactor per unit of time and volume.
Figure 3

Estimated cumulative solar radiation dose (CSRD) in the period of experiments into the reactor per unit of time and volume.

3.2 Effect of initial CBZ concentrations

FigureThe efficiency of removal of CBZ during exposure to three hours of sunlight (10:30-13:30) at pH 7±0.01 is shown in Figure 4. As can be seen in this Figure, there was no significant change in the phototransformation rate of CBZ with the initial concentrations of 0.5 mg/L to 2 mg/L. When the initial concentration was increased from 2 to 4 mg/L, the phototransformation rate of CBZ has increased remarkably in all three reactors (blank, CPC1, and CPC2), after which the trend was invariant. These results suggest that the CBZ phototransformation reactions follow pseudo-first-order kinetics. Also, these observations may be explained by the exposure of specific binding sites of CBZ at higher concentrations, assuming that binding sites were limiting. It is also seen in Figure 4 that conversion rates in CPC1 and CPC2 reactors are about twice as high as that for the blank reactor. Therefore, it can be concluded that concentrating solar radiation and use of the sun tracking system could dramatically increase CBZ removal efficiency. However, there is no significant difference in CBZ removal between CPC1 and CPC2, despite the higher temperature induced by the presence of the copper rod in CPC2. It thus seems that temperature has little effect on CBZ removal.

Figure 4 Effect of initial CBZ concentrations on removal efficiency in three reactors (solar irradiation time 3 hours (10:30-13:30 pH = 7±0.01).
Figure 4

Effect of initial CBZ concentrations on removal efficiency in three reactors (solar irradiation time 3 hours (10:30-13:30 pH = 7±0.01).

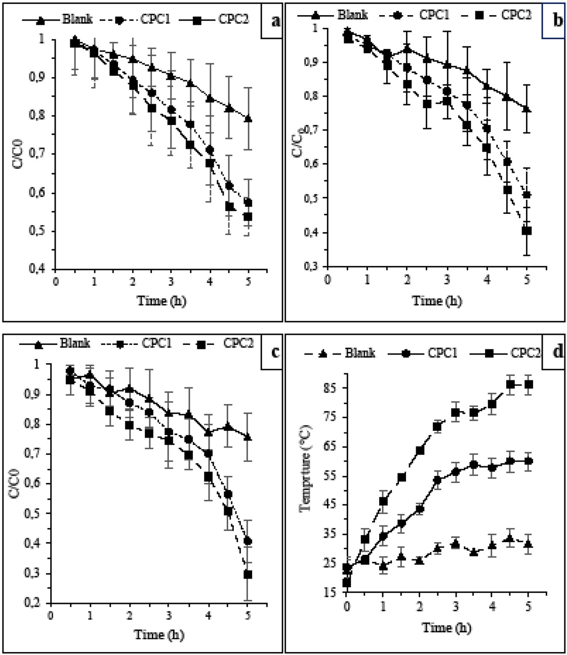
3.3 Effect of pH and Temperature

Solution pH significantly affects the photolysis of organic contaminants, including the nature of photoproducts as well as reaction kinetics [26, 27]. The effects of pH and temperature variation during CBZ solar photolysis by CPC1, CPC2, and blank reactors are shown in Figure 5. As shown in Figure 5a, in all three reactors, the CBZ removal rate is low at low pH. However, there is a significant difference in the removal efficiency of CPC1 and CPC2 reactors relative to the blank reactor under all three pH conditions. This

Figure 5 Comparison of the Efficiency of Blank, CPC1 and CPC2 reactors in removal of Carbamazepine (Mean ± SD) at contact Time of 0.5 to 5 hours - start time: 9:30 a.m., end time 2:30 p.m. Initial CBZ concentration = 3 mg/L (a) pH= 4± 0.1; (b) pH=7± 0.1; (c) pH= 9± 0.1 and (d) Temperature variations in these reactors.
Figure 5

Comparison of the Efficiency of Blank, CPC1 and CPC2 reactors in removal of Carbamazepine (Mean ± SD) at contact Time of 0.5 to 5 hours - start time: 9:30 a.m., end time 2:30 p.m. Initial CBZ concentration = 3 mg/L (a) pH= 4± 0.1; (b) pH=7± 0.1; (c) pH= 9± 0.1 and (d) Temperature variations in these reactors.

further shows that the concentration of solar radiation by CPC reflectors dramatically increases the effectiveness of CBZ removal. However, the efficiency of the blank reactor in CBZ removal is higher than that previously reported for similar conditions (see refs. [28] and [29]). This difference is likely due to the different initial CBZ concentrations and differences in solar radiation angles. Upon increasing the pH to neutral and basic, the efficiency of CBZ removal was enhanced in all three reactors (see Figure 5b and c). Thus, solution pH played an important role in CBZ photodegradation, as removal efficiency increased slightly with pH from about 49% at pH 7 to almost 61% at pH 9.

Although temperature differences between CPC1 and CPC2 reactors were significant (Figure 4 d), there is no meaningful difference in removal efficiency between the two reactors. From the results above, it seems that the temperature has a minor effect on CBZ removal efficiency. This is consistent with other published findings [30, 31].

As can be seen in Figure 5, using a CPC reactor equipped with sun tracking system promote CBZ transformation by 2-3 folds higher than without CPC and sun tracking system.

3.4 CBZ transformation products and pathway

Solar photodegradation reactions can occur directly or indirectly. In direct photodegradation, solar radiation received by the compound itself leads to phototransformations; in indirect photodegradation, highly reactive radicals, such as atomic oxygen and hydroxyl radicals (HO), are generated using catalysts [32, 4].

The direct solar photodegradation of CBZ starts after absorption of photons from solar radiation by the compound. The interaction between sunlight and CBZ leads to the generation of hydroxyl radicals (HO) [33]. The proposed pathway for HO generation is presented in Equations 2 and 3 [3, 34].

(2)CBZ+hvCBZ+e
(3)CBZ+H2OHO+H+

CBZ radicals may be generated by direct photolysis, and then the CBZ radical becomes able to oxidize water to generate HO (Equation 2). Hydroxyl radicals then participate in CBZ hydroxylation.

In this study, the main intermediates of CBZ were monitored by LC/MS followed by detection via UPLC (Synapt G2-S HDMS in positive ion mode). To investigate the by-products formed by solar photo-degradation of CBZ in the CPC2 reactor, photo-transformation of CBZ (3 mg/L) was accomplished at a solar irradiation time of 3 h and initial pH value of 9. In Figure 6 a scan LC/MS analysis of CBZ intermediates is shown. CBZ photo-transformation intermediate molecular weights were assigned on the basis of the m/z quantity of the protonated molecule [M + H] +. Generally, eight intermediates of CBZ were recognized. The proposed structures and pathways of the main photodegradation intermediates were shown in Figure 7. For simplification in this Figure and further, the detected intermediates (DI) are numbered from 1 to 8 in Figure 7.

Figure 6 Scan LC/MS analysis of CBZ intermediates in the CPC2 (initial CBZ concentration 3 mg/L, the solar irradiation time of 3 h and initial pH value of 9).
Figure 6

Scan LC/MS analysis of CBZ intermediates in the CPC2 (initial CBZ concentration 3 mg/L, the solar irradiation time of 3 h and initial pH value of 9).

CBZ photo-transformation under solar irradiation is likely to progress with photoionization (facilitated by dissolved oxygen to generate the radical cation of CBZ) and hydration of the double bond on the central heterocyclic ring of CBZ [34]. The potential structures of reaction products were tentatively proposed based on the accurate masses and similar studies [34, 35, 36, 37]. Hence, an extensive description of MS data analysis is not provided here. Hydration of the double bond on the central heterocyclic ring is a minor route leading to 10, 11-Dihydro-10-Hydroxy Carbamazepine (DI1). This hydration can occur in the

Figure 7 The proposed structures and pathways of the main photo-transformation detected intermediates (DI) (based on LC/MS scan of CBZ intermediates and Chiron et al. [34]).
Figure 7

The proposed structures and pathways of the main photo-transformation detected intermediates (DI) (based on LC/MS scan of CBZ intermediates and Chiron et al. [34]).

absence of light at near-neutral pH [34]. The photo ring expansion reaction was suggested to be the main pathway for the other detected intermediates (DI2 - DI8) [38]. A photo ring expansion reaction likely participates in the formation of carbamazepine-9-carboxaldehyde (DI2) resulting from a hydroxylation. Complementary hydroxylation of DI2 with loss of the side chain (CH2NO) yielding hydroxyacridine-9-carboxaldehyde (DI6), Acridone (DI7) and Acridine-9-carbaldehyde (DI8). The concurrent loss of the carboxyaldehyde group and the side chain (CONH2) leads to DI5 (acridine). Also, Acridine (DI5) oxidation can yield Acridone (DI7).

DI2 (carbamazepine-9-carboxaldehyde) dimerization and reduction of the CHO side chain lead to DI3 and more reduction of the CHON side chain of DI3, yielding DI4[34]. According to this analysis of CBZ transformation by-products, it seems that complete mineralization of drug did not occur. However, the use of a CPC reactor equipped with a tracking system had a significant effect on the photo-transformation of CBZ.

4 Conclusions

Solar degradation and the effectiveness of CPC equipped with a sun tracker were examined using three different reactors: tube reactor (blank), CPC1 and CPC2. According to the results, neither experimental reactor was completely effective alone, but the use of a CPC reactor equipped with a tracking system has a significant effect on CBZ degradation. The results also showed that increasing the reactor temperature with a copper rod (CPC2) did not significantly change CBZ degradation efficiency. Therefore, it seems likely that the role of temperature is less important than solar irradiation in CBZ degradation. It seems that the drug complete mineralization did not occur in these reactors. However, the use of a CPC reactor equipped with a tracking system has a significant synergistic effect on the photo-transformation of CBZ. It would be of importance to investigate the efficiency of this technique on solar photocatalytic degradation of water and wastewater contaminants.

Acknowledgments

This work was supported by Shahid Beheshti University of Medical Sciences (grant code number: 9290). The authors would like to thank the Shahid Beheshti University of Medical Sciences for all of the support provided.

  1. Conflict of interest

    Authors state no conflict of interest.

References

[1] Jarvis A.L., Bernot M.J, Bernot R.J., Relationships between the psychiatric drug carbamazepine and freshwater macroinvertebrate community structure, Sci. Total Environ., 2014, 496, 499-509.10.1016/j.scitotenv.2014.07.086Search in Google Scholar

[2] Petrović M., Gonzalez S., Barceló D., Analysis and removal of emerging contaminants in wastewater and drinking water, TrAC, Trends Anal. Chem., 2003, 22(10), 685-696.10.1016/S0165-9936(03)01105-1Search in Google Scholar

[3] Löffler D., Römbke J., Meller M., Ternes T.A., Environmental Fate of Pharmaceuticals in Water/Sediment Systems, Environ. Sci. Technol., 2005, 39(14), 5209-5218.10.1021/es0484146Search in Google Scholar PubMed

[4] Fatta-Kassinos D., Vasquez M.I., Kümmerer K., Transformation products of pharmaceuticals in surface waters and wastewater formed during photolysis and advanced oxidation processes – Degradation, elucidation of byproducts and assessment of their biological potency, Chemosphere, 2011, 85(5), 693-709.10.1016/j.chemosphere.2011.06.082Search in Google Scholar PubMed

[5] Mohapatra D., Brar S., Tyagi R., Picard P., Surampalli R., Analysis and advanced oxidation treatment of a persistent pharmaceutical compound in wastewater and wastewater sludge-carbamazepine, Sci. Total Environ., 2014, 470, 58-75.10.1016/j.scitotenv.2013.09.034Search in Google Scholar PubMed

[6] Ghauch A., Baydoun H., Dermesropian P., Degradation of aqueous carbamazepine in ultrasonic/Fe0/H2O2 systems, Chem. Eng. J., 2011, 172(1), 18-27.10.1016/j.cej.2011.04.002Search in Google Scholar

[7] Kosjek T., Andersen H.R., Kompare B., Ledin A., Heath E., Fate of carbamazepine during water treatment, Environ. Sci. Technol., 2009, 43(16), 6256-6261.10.1021/es900070hSearch in Google Scholar PubMed

[8] Doll T.E., Frimmel F.H., Photocatalytic degradation of carbamazepine, clofibric acid and iomeprol with P25 and Hombikat UV100 in the presence of natural organic matter (NOM) and other organic water constituents, Water Res., 2005, 39(2), 403-411.10.1016/j.watres.2004.09.016Search in Google Scholar PubMed

[9] García G.C., Drogui P., Seyhi B., Gortáres M.P., Buelna G., Estrada A.M.I., et al., Combined membrane bioreactor and electrochemical oxidation using Ti/PbO2 anode for the removal of carbamazepine, J. Taiwan Inst. Chem. Eng., 2016, 64, 211-219.10.1016/j.jtice.2016.04.024Search in Google Scholar

[10] Beltrán F.J., García‐Araya J.F., Rivas J., Álvarez P.M., Rodriguez E., Kinetics of simazine advanced oxidation in water, J. Environ. Sci. Health., Part B, 2000, 35(4), 439-454.10.1080/03601230009373281Search in Google Scholar PubMed

[11] Dąbrowska D., Kot-Wasik A., Namieśnik J., The Importance of Degradation in the Fate of Selected Organic Compounds in the Environment. Part II. Photodegradation and Biodegradation, Pol. J. Environ. Stud., 2004, 13(6), 617-626.Search in Google Scholar

[12] Faiyaz V.H.M., Zahid S., Faiyaz A., Qadeer K., Gul W., Anwar, Z., et al., Photolysis of methylcobalamin in aqueous solution: A kinetic study, J. Photochem. Photobiol., A, 2018, 362, 40-48.10.1016/j.jphotochem.2018.05.011Search in Google Scholar

[13] Wang L., Lu F., Liu Y., Wu Y.,Wu Z., Photocatalytic degradation of organic dyes and antimicrobial activity of silver nanoparticles fast synthesized by flavonoids fraction of Psidium guajava L. leaves, J. Mol. Liq., 2018, 263, 187-192.10.1016/j.molliq.2018.04.151Search in Google Scholar

[14] Carlos L., Mártire D.O., Gonzalez M.C., Gomis J., Bernabeu A., Amat A. M., et al., Photochemical fate of a mixture of emerging pollutants in the presence of humic substances, Water Res., 2012, 46(15), 4732-4740.10.1016/j.watres.2012.06.022Search in Google Scholar PubMed

[15] Panwar N.L., Kaushik S. C.Kothari S., Role of renewable energy sources in environmental protection: A review, Renewable Sustainable Energy Rev., 2011, 15(3), 1513-1524.10.1016/j.rser.2010.11.037Search in Google Scholar

[16] Lewis N.S., Toward cost-effective solar energy use, Sci. Total Environ., 2007, 315, 798-801.10.1126/science.1137014Search in Google Scholar PubMed

[17] Najafi G., Ghobadian B., Mamat R., Yusaf T.Azmi W. H., Solar energy in Iran: Current state and outlook, Renewable Sustainable Energy Rev., 2015, 49, 931-942.10.1016/j.rser.2015.04.056Search in Google Scholar

[18] Maya-Trevino M.L., Villanueva-Rodriguez M., Guzman-Mar J. L., Hinojosa-Reyes L.Hernandez-Ramirez A., Comparison of the solar photocatalytic activity of ZnO-Fe2O3 and ZnO-Fe0 on 2,4-D degradation in a CPC reactor, Photochem. Photobiol. Sci., 2015, 14, (3), 543-549.10.1039/C4PP00274ASearch in Google Scholar

[19] Expósito A.J., Patterson D.A., Monteagudo J. M.Durán A., Sono-photo-degradation of carbamazepine in a thin falling film reactor: Operation costs in pilot plant, Ultrason. Sonochem., 2017, 34, 496-503.10.1016/j.ultsonch.2016.06.029Search in Google Scholar PubMed

[20] Vione D., Fabbri D., Minella M.Canonica S., Effects of the antioxidant moieties of dissolved organic matter on triplet-sensitized phototransformation processes: Implications for the photochemical modeling of sulfadiazine, Water Res., 2018, 128, 38-48.10.1016/j.watres.2017.10.020Search in Google Scholar PubMed

[21] Spasiano D., Marotta R., Malato S., Fernandez-Ibañez P.Di Somma I., Solar photocatalysis: Materials, reactors, some commercial, and pre-industrialized applications. A comprehensive approach, Appl. Catal., B, 2015, 170-171, 90-123.10.1016/j.apcatb.2014.12.050Search in Google Scholar

[22] Yazdanbakhsh A., Rahmani A., Massoudinejad M., Jafari M., Dashtdar M., Accelerating the solar disinfection process of water using modified compound parabolic concentrators (CPCs) mirror, Desalin. Water Treat., 2016, 57(50), 23719-23727.10.1080/19443994.2016.1138147Search in Google Scholar

[23] Malato R.S., Blanco G. J., Maldonado R.M.I., Fernández I. P., Alarcón P.D., Collares P. M., et al., Engineering of solar photocatalytic collectors, Sol. Energy, 2004, 77(5), 513-524.10.1016/j.solener.2004.03.020Search in Google Scholar

[24] Sichel C., Blanco J., Malato S., Fernández I.P., Effects of experimental conditions on E. coli survival during solar photocatalytic water disinfection, J. Photochem. Photobiol. A, 2007, 189(2), 239-246.10.1016/j.jphotochem.2007.02.004Search in Google Scholar

[25] Lam M. W., Mabury S. A., Photodegradation of the pharmaceuticals atorvastatin, carbamazepine, levofloxacin, and sulfamethoxazole in natural waters, Aquat. Sci., 2004, 67, 177-188.10.1007/s00027-004-0768-8Search in Google Scholar

[26] Fasani E., Mella M., Monti S., Albini A., Unexpected Photoreactions of Some 7‐Amino‐6‐fluoroquinolones in Phosphate Buffer, Eur. J. Org. Chem., 2000, 2001(2), 391-397.10.1002/1099-0690(200101)2001:2<391::AID-EJOC391>3.0.CO;2-RSearch in Google Scholar

[27] Prabhakaran D., et al., Photolysis of difloxacin and sarafloxacin in aqueous systems, Chemosphere, 2009, 77(6), 739-746.10.1016/j.chemosphere.2009.08.031Search in Google Scholar

[28] Wang L., Lu W., Ni D., Xu T., Li N., Zhu Z., et al., Solar-initiated photocatalytic degradation of carbamazepine on excited-state hexadecachlorophthalocyanine in the presence of peroxymonosulfate, Chem. Eng. J., 2017, 330, 625-634.10.1016/j.cej.2017.07.172Search in Google Scholar

[29] Andreozzi R., Marotta R., Pinto G, Pollio A., Carbamazepine in water: persistence in the environment, ozonation treatment and preliminary assessment on algal toxicity, Water Res., 2002, 36(11), 2869-2877.10.1016/S0043-1354(01)00500-0Search in Google Scholar

[30] Zhang Y., Geißen S.U., In vitro degradation of carbamazepine and diclofenac by crude lignin peroxidase, J. Hazard. Mater., 2010, 176(1), 1089-1092.10.1016/j.jhazmat.2009.10.133Search in Google Scholar

[31] Yang B., Kookana R. S., Williams M., Du J., Doan H.Kumar A., Removal of carbamazepine in aqueous solutions through solar photolysis of free available chlorine, Water Res., 2016, 100, 413-420.10.1016/j.watres.2016.05.048Search in Google Scholar

[32] Dai M., Zhai W., Cai W.-J., Callahan J., Huang B., Shang S., et al., Effects of an estuarine plume-associated bloom on the carbonate system in the lower reaches of the Pearl River estuary and the coastal zone of the northern South China Sea, Cont. Shelf Res., 2008, 28(12), 1416-1423.10.1016/j.csr.2007.04.018Search in Google Scholar

[33] Martínez-Zapata M., Aristizábal C., Peñuela G., Photodegradation of the endocrine-disrupting chemicals 4n-nonylphenol and triclosan by simulated solar UV irradiation in aqueous solutions with Fe(III) and in the absence/presence of humic acids, J. Photochem. Photobiol., A, 2013, 251, 41-49.10.1016/j.jphotochem.2012.10.009Search in Google Scholar

[34] Chiron S., Minero C., Vione D., Photodegradation Processes of the Antiepileptic Drug Carbamazepine, Relevant To Estuarine Waters, Environ. Sci. Technol., 2006, 40 (19), 5977-5983.10.1021/es060502ySearch in Google Scholar

[35] De Laurentiis E., Chiron S., Kouras-Hadef S., Richard C., Minella M., Maurino V., et al., Photochemical Fate of Carbamazepine in Surface Freshwaters: Laboratory Measures and Modeling, Environ. Sci. Technol., 2012, 46 (15), 8164-8173.10.1021/es3015887Search in Google Scholar

[36] Ahmed M. M., Chiron S., Solar photo-Fenton like using persulphate for carbamazepine removal from domestic wastewater, Water Res., 2014, 48, 229-236.10.1016/j.watres.2013.09.033Search in Google Scholar

[37] Zhou S., Xia Y., Li T., Yao T., Shi Z., Zhu S., et al., Degradation of carbamazepine by UV/chlorine advanced oxidation process and formation of disinfection by-products, Environ. Sci. Pollut. Res., 2016, 23(16), 16448-16455.10.1007/s11356-016-6823-xSearch in Google Scholar

[38] Vogna D., Marotta R., Andreozzi R., Napolitano A., D’ischia M., Kinetic and chemical assessment of the UV/H2O2 treatment of antiepileptic drug carbamazepine, Chemosphere, 2004, 54(4), 497-505.10.1016/S0045-6535(03)00757-4Search in Google Scholar

Received: 2018-10-16
Accepted: 2019-01-28
Published Online: 2019-08-27

© 2019 Ahmadreza Yazdanbakhsh et al., published by De Gruyter

This work is licensed under the Creative Commons Attribution 4.0 Public License.

Articles in the same Issue

  1. Regular Articles
  2. Research on correlation of compositions with oestrogenic activity of Cistanche based on LC/Q-TOF-MS/MS technology
  3. Efficacy of Pyrus elaeagnifolia subsp. elaeagnifolia in acetic acid–induced colitis model
  4. Anti-inflammatory and antinociceptive features of Bryonia alba L.: As a possible alternative in treating rheumatism
  5. High efficiency liposome fusion induced by reducing undesired membrane peptides interaction
  6. Prediction of the Blood-Brain Barrier Permeability Using RP-18 Thin Layer Chromatography
  7. Phytic Acid Extracted from Rice Bran as a Growth Promoter for Euglena gracilis
  8. Development of a validated spectrofluorimetric method for assay of sotalol hydrochloride in tablets and human plasma: application for stability-indicating studies
  9. Topological Indices of Hyaluronic Acid-Paclitaxel Conjugates’ Molecular Structure in Cancer Treatment
  10. Thermodynamic properties of the bubble growth process in a pool boiling of water-ethanol mixture two-component system
  11. Critical Roles of the PI3K-Akt-mTOR Signaling Pathway in Apoptosis and Autophagy of Astrocytes Induced by Methamphetamine
  12. Characteristics of Stable Hydrogen and Oxygen Isotopes of Soil Moisture under Different Land Use in Dry Hot Valley of Yuanmou
  13. Specific, highly sensitive and simple spectrofluorimetric method for quantification of daclatasvir in HCV human plasma patients and in tablets dosage form
  14. Chromium-modified cobalt molybdenum nitrides as catalysts for ammonia synthesis
  15. Langerhans cell-like dendritic cells treated with ginsenoside Rh2 regulate the differentiation of Th1 and Th2 cells in vivo
  16. Identification of Powdery Mildew Blumeria graminis f. sp. tritici Resistance Genes in Selected Wheat Varieties and Development of Multiplex PCR
  17. Computational Analysis of new Degree-based descriptors of oxide networks
  18. The Use Of Chemical Composition And Additives To Classify Petrol And Diesel Using Gas Chromatography–Mass Spectrometry And Chemometric Analysis: A Uk Study
  19. Minimal Energy Tree with 4 Branched Vertices
  20. Jatropha seed oil derived poly(esteramide-urethane)/ fumed silica nanocomposite coatings for corrosion protection
  21. Calculating topological indices of certain OTIS interconnection networks
  22. Energy storage analysis of R125 in UIO-66 and MOF-5 nanoparticles: A molecular simulation study
  23. Velvet Antler compounds targeting major cell signaling pathways in osteosarcoma - a new insight into mediating the process of invasion and metastasis in OS
  24. Effects of Azadirachta Indica Leaf Extract, Capping Agents, on the Synthesis of Pure And Cu Doped ZnO-Nanoparticles: A Green Approach and Microbial Activity
  25. Aqueous Micro-hydration of Na+(H2O)n=1-7 Clusters: DFT Study
  26. A proposed image-based detection of methamidophos pesticide using peroxyoxalate chemiluminescence system
  27. Phytochemical screening and estrogenic activity of total glycosides of Cistanche deserticola
  28. Biological evaluation of a series of benzothiazole derivatives as mosquitocidal agents
  29. Chemical pretreatments of Trapa bispinosa's peel (TBP) biosorbent to enhance adsorption capacity for Pb(ll)
  30. Dynamic Changes in MMP1 and TIMP1 in the Antifibrotic Process of Dahuang Zhechong Pill in Rats with Liver Fibrosis
  31. The Optimization and Production of Ginkgolide B Lipid Microemulsion
  32. Photodynamic Therapy Enhanced the Antitumor Effects of Berberine on HeLa Cells
  33. Chiral and Achiral Enantiomeric Separation of (±)-Alprenolol
  34. Correlation of Water Fluoride with Body Fluids, Dental Fluorosis and FT4, FT3 –TSH Disruption among Children in an Endemic Fluorosis area in Pakistan
  35. A one-step incubation ELISA kit for rapid determination of dibutyl phthalate in water, beverage and liquor
  36. Free Radical Scavenging Activity of Essential Oil of Eugenia caryophylata from Amboina Island and Derivatives of Eugenol
  37. Effects of Blue and Red Light On Growth And Nitrate Metabolism In Pakchoi
  38. miRNA-199a-5p functions as a tumor suppressor in prolactinomas
  39. Solar photodegradation of carbamazepine from aqueous solutions using a compound parabolic concentrator equipped with a sun tracking system
  40. Influence of sub-inhibitory concentration of selected plant essential oils on the physical and biochemical properties of Pseudomonas orientalis
  41. Preparation and spectroscopic studies of Fe(II), Ru(II), Pd(II) and Zn(II) complexes of Schiff base containing terephthalaldehyde and their transfer hydrogenation and Suzuki-Miyaura coupling reaction
  42. Complex formation in a liquid-liquid extraction-chromogenic system for vanadium(IV)
  43. Synthesis, characterization (IR, 1H, 13C & 31P NMR), fungicidal, herbicidal and molecular docking evaluation of steroid phosphorus compounds
  44. Analysis and Biological Evaluation of Arisaema Amuremse Maxim Essential Oil
  45. A preliminary assessment of potential ecological risk and soil contamination by heavy metals around a cement factory, western Saudi Arabia
  46. Anti- inflammatory effect of Prunus tomentosa Thunb total flavones in LPS-induced RAW264.7 cells
  47. Collaborative Influence of Elevated CO2 Concentration and High Temperature on Potato Biomass Accumulation and Characteristics
  48. Methods of extraction, physicochemical properties of alginates and their applications in biomedical field – a review
  49. Characteristics of liposomes derived from egg yolk
  50. Preparation of ternary ZnO/Ag/cellulose and its enhanced photocatalytic degradation property on phenol and benzene in VOCs
  51. Influence of Human Serum Albumin Glycation on the Binding Affinities for Natural Flavonoids
  52. Synthesis and antioxidant activity of 2-methylthio-pyrido[3,2-e][1,2,4] triazolo[1,5-a]pyrimidines
  53. Comparative study on the antioxidant activities of ten common flower teas from China
  54. Molecular Properties of Symmetrical Networks Using Topological Polynomials
  55. Synthesis of Co3O4 Nano Aggregates by Co-precipitation Method and its Catalytic and Fuel Additive Applications
  56. Phytochemical analysis, Antioxidant and Antiprotoscolices potential of ethanol extracts of selected plants species against Echinococcus granulosus: In-vitro study
  57. Silver nanoparticles enhanced fluorescence for sensitive determination of fluoroquinolones in water solutions
  58. Simultaneous Quantification of the New Psychoactive Substances 3-FMC, 3-FPM, 4-CEC, and 4-BMC in Human Blood using GC-MS
  59. Biodiesel Production by Lipids From Indonesian strain of Microalgae Chlorella vulgaris
  60. Miscibility studies of polystyrene/polyvinyl chloride blend in presence of organoclay
  61. Antibacterial Activities of Transition Metal complexes of Mesocyclic Amidine 1,4-diazacycloheptane (DACH)
  62. Novel 1,8-Naphthyridine Derivatives: Design, Synthesis and in vitro screening of their cytotoxic activity against MCF7 cell line
  63. Investigation of Stress Corrosion Cracking Behaviour of Mg-Al-Zn Alloys in Different pH Environments by SSRT Method
  64. Various Combinations of Flame Retardants for Poly (vinyl chloride)
  65. Phenolic compounds and biological activities of rye (Secale cereale L.) grains
  66. Oxidative degradation of gentamicin present in water by an electro-Fenton process and biodegradability improvement
  67. Optimizing Suitable Conditions for the Removal of Ammonium Nitrogen by a Microbe Isolated from Chicken Manure
  68. Anti-inflammatory, antipyretic, analgesic, and antioxidant activities of Haloxylon salicornicum aqueous fraction
  69. The anti-corrosion behaviour of Satureja montana L. extract on iron in NaCl solution
  70. Interleukin-4, hemopexin, and lipoprotein-associated phospholipase A2 are significantly increased in patients with unstable carotid plaque
  71. A comparative study of the crystal structures of 2-(4-(2-(4-(3-chlorophenyl)pipera -zinyl)ethyl) benzyl)isoindoline-1,3-dione by synchrotron radiation X-ray powder diffraction and single-crystal X-ray diffraction
  72. Conceptual DFT as a Novel Chemoinformatics Tool for Studying the Chemical Reactivity Properties of the Amatoxin Family of Fungal Peptides
  73. Occurrence of Aflatoxin M1 in Milk-based Mithae samples from Pakistan
  74. Kinetics of Iron Removal From Ti-Extraction Blast Furnace Slag by Chlorination Calcination
  75. Increasing the activity of DNAzyme based on the telomeric sequence: 2’-OMe-RNA and LNA modifications
  76. Exploring the optoelectronic properties of a chromene-appended pyrimidone derivative for photovoltaic applications
  77. Effect of He Qi San on DNA Methylation in Type 2 Diabetes Mellitus Patients with Phlegm-blood Stasis Syndrome
  78. Cyclodextrin potentiometric sensors based on selective recognition sites for procainamide: Comparative and theoretical study
  79. Greener synthesis of dimethyl carbonate from carbon dioxide and methanol using a tunable ionic liquid catalyst
  80. Nonisothermal Cold Crystallization Kinetics of Poly(lactic acid)/Bacterial Poly(hydroxyoctanoate) (PHO)/Talc
  81. Enhanced adsorption of sulfonamide antibiotics in water by modified biochar derived from bagasse
  82. Study on the Mechanism of Shugan Xiaozhi Fang on Cells with Non-alcoholic Fatty Liver Disease
  83. Comparative Effects of Salt and Alkali Stress on Antioxidant System in Cotton (Gossypium Hirsutum L.) Leaves
  84. Optimization of chromatographic systems for analysis of selected psychotropic drugs and their metabolites in serum and saliva by HPLC in order to monitor therapeutic drugs
  85. Electrocatalytic Properties of Ni-Doped BaFe12O19 for Oxygen Evolution in Alkaline Solution
  86. Study on the removal of high contents of ammonium from piggery wastewater by clinoptilolite and the corresponding mechanisms
  87. Phytochemistry and toxicological assessment of Bryonia dioica roots used in north-African alternative medicine
  88. The essential oil composition of selected Hemerocallis cultivars and their biological activity
  89. Mechanical Properties of Carbon Fiber Reinforced Nanocrystalline Nickel Composite Electroforming Deposit
  90. Anti-c-myc efficacy block EGFL7 induced prolactinoma tumorigenesis
  91. Topical Issue on Applications of Mathematics in Chemistry
  92. Zagreb Connection Number Index of Nanotubes and Regular Hexagonal Lattice
  93. The Sanskruti index of trees and unicyclic graphs
  94. Valency-based molecular descriptors of Bakelite network BNmn
  95. Computing Topological Indices for Para-Line Graphs of Anthracene
  96. Zagreb Polynomials and redefined Zagreb indices of Dendrimers and Polyomino Chains
  97. Topological Descriptor of 2-Dimensional Silicon Carbons and Their Applications
  98. Topological invariants for the line graphs of some classes of graphs
  99. Words for maximal Subgroups of Fi24
  100. Generators of Maximal Subgroups of Harada-Norton and some Linear Groups
  101. Special Issue on POKOCHA 2018
  102. Influence of Production Parameters on the Content of Polyphenolic Compounds in Extruded Porridge Enriched with Chokeberry Fruit (Aronia melanocarpa (Michx.) Elliott)
  103. Effects of Supercritical Carbon Dioxide Extraction (SC-CO2) on the content of tiliroside in the extracts from Tilia L. flowers
  104. Impact of xanthan gum addition on phenolic acids composition and selected properties of new gluten-free maize-field bean pasta
  105. Impact of storage temperature and time on Moldavian dragonhead oil – spectroscopic and chemometric analysis
  106. The effect of selected substances on the stability of standard solutions in voltammetric analysis of ascorbic acid in fruit juices
  107. Determination of the content of Pb, Cd, Cu, Zn in dairy products from various regions of Poland
  108. Special Issue on IC3PE 2018 Conference
  109. The Photocatalytic Activity of Zns-TiO2 on a Carbon Fiber Prepared by Chemical Bath Deposition
  110. N-octyl chitosan derivatives as amphiphilic carrier agents for herbicide formulations
  111. Kinetics and Mechanistic Study of Hydrolysis of Adenosine Monophosphate Disodium Salt (AMPNa2) in Acidic and Alkaline Media
  112. Antimalarial Activity of Andrographis Paniculata Ness‘s N-hexane Extract and Its Major Compounds
  113. Special Issue on ABB2018 Conference
  114. Special Issue on ICCESEN 2017
  115. Theoretical Diagnostics of Second and Third-order Hyperpolarizabilities of Several Acid Derivatives
  116. Determination of Gamma Rays Efficiency Against Rhizoctonia solani in Potatoes
  117. Studies On Compatibilization Of Recycled Polyethylene/Thermoplastic Starch Blends By Using Different Compatibilizer
  118. Liquid−Liquid Extraction of Linalool from Methyl Eugenol with 1-Ethyl-3-methylimidazolium Hydrogen Sulfate [EMIM][HSO4] Ionic Liquid
  119. Synthesis of Graphene Oxide Through Ultrasonic Assisted Electrochemical Exfoliation
  120. Special Issue on ISCMP 2018
  121. Synthesis and antiproliferative evaluation of some 1,4-naphthoquinone derivatives against human cervical cancer cells
  122. The influence of the grafted aryl groups on the solvation properties of the graphyne and graphdiyne - a MD study
  123. Electrochemical modification of platinum and glassy carbon surfaces with pyridine layers and their use as complexing agents for copper (II) ions
  124. Effect of Electrospinning Process on Total Antioxidant Activity of Electrospun Nanofibers Containing Grape Seed Extract
  125. Effect Of Thermal Treatment Of Trepel At Temperature Range 800-1200˚C
  126. Topical Issue on Agriculture
  127. The effect of Cladophora glomerata exudates on the amino acid composition of Cladophora fracta and Rhizoclonium sp.
  128. Influence of the Static Magnetic Field and Algal Extract on the Germination of Soybean Seeds
  129. The use of UV-induced fluorescence for the assessment of homogeneity of granular mixtures
  130. The use of microorganisms as bio-fertilizers in the cultivation of white lupine
  131. Lyophilized apples on flax oil and ethyl esters of flax oil - stability and antioxidant evaluation
  132. Production of phosphorus biofertilizer based on the renewable materials in large laboratory scale
  133. Human health risk assessment of potential toxic elements in paddy soil and rice (Oryza sativa) from Ugbawka fields, Enugu, Nigeria
  134. Recovery of phosphates(V) from wastewaters of different chemical composition
  135. Special Issue on the 4th Green Chemistry 2018
  136. Dead zone for hydrogenation of propylene reaction carried out on commercial catalyst pellets
  137. Improved thermally stable oligoetherols from 6-aminouracil, ethylene carbonate and boric acid
  138. The role of a chemical loop in removal of hazardous contaminants from coke oven wastewater during its treatment
  139. Combating paraben pollution in surface waters with a variety of photocatalyzed systems: Looking for the most efficient technology
  140. Special Issue on Chemistry Today for Tomorrow 2019
  141. Applying Discriminant and Cluster Analyses to Separate Allergenic from Non-allergenic Proteins
  142. Chemometric Expertise Of Clinical Monitoring Data Of Prolactinoma Patients
  143. Chemomertic Risk Assessment of Soil Pollution
  144. New composite sorbent for speciation analysis of soluble chromium in textiles
  145. Photocatalytic activity of NiFe2O4 and Zn0.5Ni0.5Fe2O4 modified by Eu(III) and Tb(III) for decomposition of Malachite Green
  146. Photophysical and antibacterial activity of light-activated quaternary eosin Y
  147. Spectral properties and biological activity of La(III) and Nd(III) Monensinates
  148. Special Issue on Monitoring, Risk Assessment and Sustainable Management for the Exposure to Environmental Toxins
  149. Soil organic carbon mineralization in relation to microbial dynamics in subtropical red soils dominated by differently sized aggregates
  150. A potential reusable fluorescent aptasensor based on magnetic nanoparticles for ochratoxin A analysis
  151. Special Issue on 13th JCC 2018
  152. Fluorescence study of 5-nitroisatin Schiff base immobilized on SBA-15 for sensing Fe3+
  153. Thermal and Morphology Properties of Cellulose Nanofiber from TEMPO-oxidized Lower part of Empty Fruit Bunches (LEFB)
  154. Encapsulation of Vitamin C in Sesame Liposomes: Computational and Experimental Studies
  155. A comparative study of the utilization of synthetic foaming agent and aluminum powder as pore-forming agents in lightweight geopolymer synthesis
  156. Synthesis of high surface area mesoporous silica SBA-15 by adjusting hydrothermal treatment time and the amount of polyvinyl alcohol
  157. Review of large-pore mesostructured cellular foam (MCF) silica and its applications
  158. Ion Exchange of Benzoate in Ni-Al-Benzoate Layered Double Hydroxide by Amoxicillin
  159. Synthesis And Characterization Of CoMo/Mordenite Catalyst For Hydrotreatment Of Lignin Compound Models
  160. Production of Biodiesel from Nyamplung (Calophyllum inophyllum L.) using Microwave with CaO Catalyst from Eggshell Waste: Optimization of Transesterification Process Parameters
  161. The Study of the Optical Properties of C60 Fullerene in Different Organic Solvents
  162. Composite Material Consisting of HKUST-1 and Indonesian Activated Natural Zeolite and its Application in CO2 Capture
  163. Topical Issue on Environmental Chemistry
  164. Ionic liquids modified cobalt/ZSM-5 as a highly efficient catalyst for enhancing the selectivity towards KA oil in the aerobic oxidation of cyclohexane
  165. Application of Thermal Resistant Gemini Surfactants in Highly Thixotropic Water-in-oil Drilling Fluid System
  166. Screening Study on Rheological Behavior and Phase Transition Point of Polymer-containing Fluids produced under the Oil Freezing Point Temperature
  167. The Chemical Softening Effect and Mechanism of Low Rank Coal Soaked in Alkaline Solution
  168. The Influence Of NO/O2 On The NOx Storage Properties Over A Pt-Ba-Ce/γ-Al2O3 Catalyst
  169. Special Issue on the International conference CosCI 2018
  170. Design of SiO2/TiO2 that Synergistically Increases The Hydrophobicity of Methyltrimethoxysilane Coated Glass
  171. Antidiabetes and Antioxidant agents from Clausena excavata root as medicinal plant of Myanmar
  172. Development of a Gold Immunochromatographic Assay Method Using Candida Biofilm Antigen as a Bioreceptor for Candidiasis in Rats
  173. Special Issue on Applied Biochemistry and Biotechnology 2019
  174. Adsorption of copper ions on Magnolia officinalis residues after solid-phase fermentation with Phanerochaete chrysosporium
  175. Erratum
  176. Erratum to: Sand Dune Characterization For Preparing Metallurgical Grade Silicon
Downloaded on 20.1.2026 from https://www.degruyterbrill.com/document/doi/10.1515/chem-2019-0060/html
Scroll to top button