Startseite Naturwissenschaften Composite Material Consisting of HKUST-1 and Indonesian Activated Natural Zeolite and its Application in CO2 Capture
Artikel Open Access

Composite Material Consisting of HKUST-1 and Indonesian Activated Natural Zeolite and its Application in CO2 Capture

  • Witri Wahyu Lestari EMAIL logo , Irwinsyah , Teguh Endah Saraswati , Yuni Krisyuningsih Krisnandi , Ubed Sonai Fahrudin Arrozi , Eddy Heraldy und Grandprix T. M. Kadja
Veröffentlicht/Copyright: 31. Dezember 2019

Abstract

In this study, composite materials consisting in HKUST-1 [Cu3(BTC)2] (BTC: benzene 1, 3, 5-tricarboxylate) and an Indonesian activated natural zeolite (ANZ) from Klaten, Central Java, were successfully prepared and characterized. The purpose of this research was to determine the effect of the combination of these two materials on the characteristics of the composite as well as to determine its CO2 gas adsorption ability. The composite HKUST-1-ANZ (ANZ@HKUST-1) was synthesized in two different techniques, i.e., solvothermal and sonication method. The obtained materials exhibited X-ray diffractogram characteristics of both HKUST-1 and ANZ. Fourier-transform infrared (FTIR) analysis showed a combination of peaks from HKUST-1 and ANZ, i.e. peaks assigned to carboxylate groups and bonds between Cu-O from HKUST-1, as well as N-H bending and SiO from ANZ. The addition of ANZ to HKUST-1 decreased its surface area and nitrogen sorption capacity. Application of the composites as CO2 capture materials shows their CO2 adsorption capacity is increased (ca. 12%) comparing to the initial materials.

Graphical Abstract

1 Introduction

Global warming is a major environmental issue faced by our planet. According to the Intergovernmental Panel on Climate Change (IPCC) data, in the 21st century, the earth’s temperature will increase between 1.4 and 6.4oC [1]. One of the reasons for the earth’s temperature increase is overabundance of CO2 gas. Currently, around 80% of the world’s gas emissions are originated from CO2, and this will continue to increase in line with developments in the transportation and industrial sectors [2, 3]. Several methods have been developed to reduce CO2 emissions, one of which is adsorption with porous materials such as metal-organic frameworks (MOFs), zeolites, activated carbon, and mesoporous silica [4, 5, 6].

As a class of hybrid porous materials constructed from metal ions or clusters and organic linkers, MOFs have been applied to gas storage and capture, including CO2 [2]. Some MOFs, such as MOF-177 [Zn4O(BTB)2] (BTB: benzene 1,3,5 tribenzoate) [7], MIL-101 [Cr3(O)-X(BDC)3(H2O)2] (X : F or OH depending on synthesis condition, BDC: 1,4 benzenedicarboxylate), MIL-100(Fe) [FeIII3O(H2O)2F. {C6H3(CO2)3}2.nH2O] [8], HKUST-1 [Cu3(BTC)2] (BTC: benzene 1,3,5-tricarboxylate) [9], and MgMOF-74 [Mg(dobdc)]

(dobdc: 2,5 dioxide 1,4-benzenedicarboxylate), have been reported as CO2 gas adsorbents [10]. However, MOFs possess some disadvantages such as having weak interactions with CO2, high sensitivity to water and moisture in some cases, leading to the active sites of MOFs to be able to connect easily to water [11,12]. This phenomenon reduces the adsorption capacity of CO2. Therefore, it is necessary to combine MOFs with other materials (including porous materials) to increase their stability and create additional binding sites. Zhu et al. synthesized HKUST-1/MCF (mesocellular foam) to be employed as CO2 adsorbents. This composite can increase the adsorption capacity of CO2 gas up to 3.89 mmol/g at a pressure of 1 bar [13]. HKUST-1 was also combined with graphene oxide (GO) by Liu et al. and applied as an adsorbent of CO2 and CH 4 gases where the CO2 gas adsorption capacity reached 8.26 mmol/g at 273 K and 1 atm [14]. Another MOF composite, Cu-BDC with MCM-41, has a Si-O group similar to zeolite; the CO2 adsorption of Cu-BDC with MCM-41 composite reached 5.5 mmol/g at a pressure of 20 bar [15].

Natural zeolite, with resource capacity of 447,490,160 tons, is, possibly, the largest mineral commodity in Indonesia. The abundance of this material is due to volcanic slabs located from Sumatra to Sulawesi. On the island of Java, the distribution of zeolites has reached 285,595,000 tons in 2008 [16]. According to Kusdarto et al., natural zeolites can be used as CO2 gas adsorbents, therefore the utilization of local materials will enhance the efficacy of natural zeolites in Indonesia [16,17]. The incorporation of zeolites into MOFs results in a new material feature that is expected to enhance gas adsorption capability due to suitable pore size arrangement, surface area, and the incorporation of the additional active sites of zeolites and MOFs. The presence of an open metal site on HKUST-1 is attractive for gas-binding. Moreover, active zeolites also contain active groups of ammonium (NH4+)and hydroxyl (-OH) groups that potentially bind to gases. To the best of our knowledge, there have been no reports on composite materials fabricated from activated natural zeolite from Indonesia and MOFs to date. Therefore, in this study, we have investigated the influence of various percent additions (compositions) of active natural zeolite (ANZ) to HKUST-1, synthesized by both solvothermal and sonication methods to form the composite material ANZ@HKUST-1, on the material’s physical and chemical properties and on its application in CO2 gas capture.

2 Materials and Methods

2.1 Materials

All chemicals and reagents used were of analytical grade and were used as purchased without any further purification. Natural zeolite was obtained from Klaten, Central Java, Indonesia (particle size 170/240 mesh). Benzene-1,3,5-tricarboxylic acid (95%) and Cu(NO3)2·3H2O 99% were commercially obtained from Sigma Aldrich, Germany. Ethanol (p.a.) 96%, NaOH and NH4Cl (p.a.) (98%) were purchased from Emsure. HCl 37% (Mallinckrodt) was used as received.

2.2 Procedures

2.2.1 Synthesis of HKUST-1 [Cu3(BTC)2 (H2O)3], C18H6Cu3O12, (BTC: benzene 1, 3, 5-tricarboxylate)

The solvothermal method was used to synthesize HKUST-1 according to a previously reported procedure [18]; HKUST-1 was activated at 473 K for 2 h before the CO2 adsorption test.

2.2.2 Preparation of Activated Natural Zeolite (ANZ)

The activation of natural zeolite was performed according to a modified literature procedure [19]. Natural zeolite (10 g) was heated under reflux with HCl (250 mL, 6 M) for 30 minutes at 323 K. The mixture was subsequently filtered and neutralized. The treated zeolite was then dried at room temperature for 12 h and was allowed to dry in an oven at 403 K for 3 h. Thereafter, the dried zeolite was further heated under reflux with NH4Cl (250 mL, 1 M) for one week at 363 K. After completion, the mixture was filtered and neutralized with purified water, resulting in the active natural zeolite (ANZ), which was further activated at 403 K for three hours.

2.2.3 Preparation of the Composite ANZ@HKUST-1

The ANZ@HKUST-1 composite was synthesized in situ based on a modified procedure [20]. During HKUST-1 synthesis, Cu(NO3)2·3H2O and H3BTC ligand were added to zeolite in percentages of 2, 5, 20, and 50 wt% (in this case, ANZ acts as a filler). Meanwhile, ex-situ synthesis of ANZ@ HKUST-1 was conducted based on a modified procedure [21]. The ANZ@HKUST-1 composite was synthesized using the sonication method in which ANZ was added to pre-synthesized HKUST-1 in the proportion of 80, 95, and 98 wt% (in this case HKUST-1 served as filler), and then ethanol (20 mL) was added, and the mixture was sonicated for 1 hour at room temperature.

2.3 Materials Characterization

The HKUST-1, natural zeolite (NZ), activated natural zeolite (ANZ), and ANZ@HKUST-1 composites were analyzed by X-ray diffraction (XRD; Rigaku Miniflex 600 Benchtop) to observe the crystallinity and phase purity of the materials. Differential thermal/thermogravimetric analysis (DT/TGA; STA Linseis PT-1600) with a heating rate of 20°C/min to a temperature of 900°C under nitrogen flow was used to analyze the thermal stability of the materials. The morphologies and particle sizes of the materials were measured using scanning electron microscopy (SEM; FEI Inspect-S50) equipped with an energy dispersive X-ray (EDX) analyzer. The surface area, porosity, and pore distribution were estimated from nitrogen sorption isotherm measured by Quadrasorb Evo, Quantachrome Instruments at 77K. The sample was activated for 12 h prior to measurement. The functional groups of the materials were analyzed using Fourier-transform infrared (FTIR) spectroscopy (Shimadzu IR Prestige-21) with a KBr background at wavenumber 400–4000 cm-1 in the air.

2.4 CO2 Adsorption Tests on HKUST-1, ANZ, and ANZ@HKUST-1

CO2 adsorption was measured using the volumetric method according to a literature procedure [22, 23] based on the acidimetric titration principle using NaOH. CO2 gas was flowed to the sample through a flow meter at 50 mL/min within 10 minutes at gas pressure of 2 bars. CO2 gas is an acid oxide that is not adsorbed by the sample and will react with the base solution to form salt and water, as shown in equation 1.

(1)CO2(g)+2NaOH(aq)---------->Na2CO3(aq)+H2O(1)

The resulting carbonate salt was then titrated with HCl solution. In our previous work [23], phenolphthalein indicator was added into the carbonate solution followed by titration using HCl solution; then continued by addition of methyl orange indicator and again titrated with HCl solution. The required HCl titration volumes in the first and second stages were recorded. The amount of residual CO2 was determined from the conversion of the difference in the amount of HCl required for the titration of Na2CO3 in the first and second stages. The remaining CO2 of the sample was then compared with the remaining CO2 of the blank to determine the amount of CO2 adsorbed. The adsorption test for the CO2 blank was determined without the sample (adsorbent).

Ethical approval: The conducted research is not related to either human or animal use.

3 Results and Discussion

3.1 Materials Characterization

The X-ray diffractograms of the HKUST-1 and ANZ@HKUST-1 composites were compared with standard XRD patterns of HKUST-1 (CCDC No. 112954) [24] and ANZ. The XRD pattern of ANZ was simultaneously compared with mordenite (ICSD No. 9632) and Clinoptilolite (JCPDS No. 39-1383) as shown in ESI Figure S1. The natural zeolite from Klaten is typically composed of mordenite and clinoptilolite [25], however, after the activation process, the mordenite phase becomes dominant [26]. The diffraction pattern of the solvothermal synthesized ANZ@HKUST-1 shows the characteristic peaks of HKUST-1 CCDC No. 112954 (Figure 1) at 2 theta 9.45° (hkl 2 2 0); 11.64° (hkl 2 2 2); and 13.45° (hkl 4 0 0). The resulting characteristic peaks of HKUST-1 have a high intensity which indicates that the solvothermally synthesized HKUST-1 has good crystallinity. The ANZ@ HKUST-1 diffraction pattern also shows diffraction peaks corresponding to the characteristic peaks of ANZ, which has a characteristic diffraction pattern at 2 theta of 19.5° (hkl 3 3 0); 22.2° (hkl 1 5 0); 25.6° (hkl 2 0 2); 26,5° (hkl 3 5 0); and 27.6° (hkl 5 1 1), in which the two highest peaks were being observed at 2 theta 25.6° and 26.5°.

Figure 1 The diffractograms of HKUST-1, ANZ, and composite ANZ@ HKUST-1 (left) in situ, (right) ex-situ with various ANZ additions.
Figure 1

The diffractograms of HKUST-1, ANZ, and composite ANZ@ HKUST-1 (left) in situ, (right) ex-situ with various ANZ additions.

A small peak was observed at 2 theta 18.07° in the in situ synthesized ANZ@HKUST-1 composite. Based on the refinement results, this peak indicates the residual remains of the benzene-1,3,5-tricarboxylate ligand (BTC) (JCPDS 451880) derived from the solvothermally synthesized ANZ@HKUST-1. As a comparison, there was no peak in the ex-situ ANZ@HKUST-1 composite synthesized under ultrasonic irradiation indicating no remaining BTC ligands. It can be seen that the in situ method of synthesized ANZ@HKUST-1 composites slightly inhibited the formation of HKUST-1, therefore a few remaining ligands uncoordinated to Cu(II) metal ions can still be observed.

The FTIR spectrum of the ANZ@HKUST-1 composite was then compared with the spectra of HKUST-1 and ANZ. In Figure 2, ANZ@HKUST-1 shows compatibility with the FTIR spectrum of HKUST-1 in which the peaks at wavenumbers of 1621 and 1367 cm-1 indicate a stretching vibration of C=O and C-O from the carboxylate group of HKUST-1. The composite material also shows compatibility with the ANZ FTIR spectrum due to the absorption peak at 1058 cm-1 and 447 cm-1 which are attributed to the T-O (T = Si or Al) stretching and bending vibration mode, respectively. In the FTIR spectra of the in situ synthesized ANZ@HKUST-1 composites, there is still a C=O peak at 1700 cm-1 with a somewhat higher intensity, indicating the residual H3BTC ligand from the HKUST-1 as a consequence of the presence of zeolite which slightly blocked the formation of HKUST-1.

Figure 2 FTIR spectra of HKUST-1, ANZ, and ANZ@ HKUST-1 composites with various ANZ additions.
Figure 2

FTIR spectra of HKUST-1, ANZ, and ANZ@ HKUST-1 composites with various ANZ additions.

The SEM image of HKUST-1 (Figure 3) shows that HKUST-1 has an octahedral shape with an average particle diameter of ca. 15.64 ± 4.2 μm, as reported in a previous paper [27]. The SEM image of ANZ@HKUST-1 (Figure 3 (c-d)) clearly shows that zeolite flakes were deposited onto the surface of HKUST-1, which is in agreement with the work reported in a related paper [13]. Furthermore, Figure 3 (c-d) depicts that the decrement of HKUST-1 particle diameter and the distortion of its octahedral morphology as the amount of ANZ is increased. This is supported by the fact that the addition of ANZ (crystallite size 5.77 ± 1.09 μm) leads to the crystalline damage in HKUST-1 as shown in XRD patterns (Figure 1) and SEM images (Figure 3, and ESI Figure S2).

Figure 3 SEM images of (a) HKUST-1; (b) ANZ; ANZ@HKUST-1: (c) ANZ 20%, (d) ANZ 50%, and (e) ANZ 80% (provided in 20,000 magnification).
Figure 3

SEM images of (a) HKUST-1; (b) ANZ; ANZ@HKUST-1: (c) ANZ 20%, (d) ANZ 50%, and (e) ANZ 80% (provided in 20,000 magnification).

According to the content of Si and Al elements analyzed by EDX, ANZ@HKUST-1 composites in various composition (20, 50, and 80%) were successfully prepared. The element Si, which is one of the main constituents of the zeolite composite of HKUST-1, was found in the region of ± 1.8 keV. The Al element found in ANZ@HKUST-1 (Table 1) had lower wt% content than Si. This is because, some Al was leached from the structure in the form of Al(OH)3 during zeolite activation, which has also been reported previously [28]. The wt% of the Si and Al content in the composite material did not match the theoretical estimation, possibly because of ANZ penetration into the structure of HKUST-1, or due to the non-homogeneous distribution of ANZ in the HKUST-1 composite. Anyhow, the composition of HKUST-1 was insignificantly altered.

Table 1

Percentage of elements on the composite ANZ@HKUST-1.

Elemental composition (%)
COCuSiAl
ANZ 20%29.0820.4148.831.240.45
ANZ 50%38.0729.3831.041.150.36
ANZ 80%26.3525.835.347.161.67
ANZ-44.69-46.568.19
HKUST-129.1920.0350.78--

Nitrogen sorption isotherm analysis (Figure 4) shows that both starting materials HKUST-1 and ANZ exhibited isotherm type I and pseudo-Langmuir isotherm and, therefore, could be classified as a microporous material [29]. After composites formed, with ANZ as a filler, the type of adsorption-desorption curves of ANZ-HKUST-1 20% and ANZ-HKUST-1 50% were changed to type IV with hysteresis loop, indicating the introduction of mesoporous character [29]. However, when ANZ is 80%, the adsorption-desorption profile of ANZ-HKUST-1 80% is similar to that of parent ANZ. It is seen that HKUST-1 has the highest N2 adsorption-desorption capacity whereas the ANZ@HKUST-1 composite had a smaller nitrogen sorption isotherm than HKUST-1 because ANZ had the smallest N2 adsorption value. In the observation of the pore size distribution analyzed using Barrett, Joyner, and Halenda (BJH) method, the average pore size of HKUST-1 was 1.87 nm and its pore distribution was in the microporous region (less than 2 nm). The pore distribution of the ANZ@HKUST-1 composite increased with increasing ANZ composition. This is because ANZ has a pore distribution in the micro- and meso regions of 1.9 nm, and 4.9 nm, respectively. The pore distribution analysis also shows that the mesopore size in zeolite did not appear when combined with HKUST-1. This indicates that ANZ covers HKUST-1, thus increasing the degree of microporosity of the ANZ@HKUST-1 composite. This fact is in accordance with literature reference [13] which discussed the HKUST-1 pore distribution increasing after combining with MCF to form a composite material.

The surface area of the composite material ANZ@ HKUST-1 gradually decreased with the increase of weight % of ANZ since ANZ possessed a much lower surface area than HKUST-1 (Table 2). However, another reason could be that ANZ covered the surface of HKUST-1, and consequently, the surface area decreased as the addition of ANZ increased.

Figure 4 Nitrogen sorption isotherm (a) and BJH pore size distribution (b) of HKUST-1, ANZ, and the composite ANZ@HKUST-1.
Figure 4

Nitrogen sorption isotherm (a) and BJH pore size distribution (b) of HKUST-1, ANZ, and the composite ANZ@HKUST-1.

Table 2

Surface area analysis of composite ANZ@HKUST-1.

SampleLangmuir surface area (m2/g)
HKUST-1958.859
ANZ 20%775.954
ANZ 50%540.343
ANZ 80%153.069
ANZ144.807

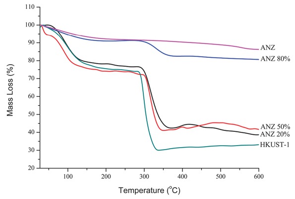
Three mass change steps were observed in the HKUST-1 thermogram (Figure 5). In the first step, a mass drop occurred for HKUST-1 (20.41%) at the temperature range of 98 – 132°C, indicating the possible loss of 8 water molecules from the surface and pores of HKUST-1. Then, at the temperature range of 132–283°C, a second mass loss of 5.72% was observed, indicating the possible loss of 2 water molecules that bind to Cu2+ metal ions. Furthermore, a third mass loss corresponded to the fracture of the HKUST-1 structure above 293°C, resulting in a mass decrease of 42.8%. The mass changes began to stabilize above 331°C, which indicated the formation of CuO oxide with a residue of 31.09%. This result is consistent with a study conducted by Lin et al.[27] who synthesized HKUST-1 in solvothermal method with a final residue of 33 wt%.

Figure 5 Thermograms of HKUST-1, ANZ, and the ANZ@HKUST-1 composites.
Figure 5

Thermograms of HKUST-1, ANZ, and the ANZ@HKUST-1 composites.

In the ANZ thermogram, a decrease in mass of 16.56% was observed at the temperature range of 34 - 107°C, estimated to be the loss of water molecules attached to ANZ. The second decrease in mass of 13.44% occurred at 107 - 600°C, was estimated to be the loss of hydroxyl and NH3 in the ANZ structure. ANZ had a mass decrease of 30% at the temperature range of 34 – 600oC. According to Mansouri et al., TGA on zeolite shows dehydration or a loss of water molecules at temperatures of 38 – 120°C [30]. According to Botto et al., there is a decrease of ANZ mass at 380°C, indicating the loss of NH3 from the NH+ions present in ANZ, thus leaving the H + cations on ANZ [31].

Furthermore, composite materials with ANZ compositions of 20 and 50 wt% have similar thermograms with HKUST-1, which indicate the mass changes in the three regions. The first change likely results from the loss of water molecules from HKUST-1 and ANZ. The second mass loss is attributed to the loss of water molecules binding to Cu2+ metal ions on HKUST-1, and a third loss in mass might be due to structural damage of HKUST-1. According to the thermogram of ANZ@HKUST-1 composites, it is suggested that the addition of ANZ to HKUST-1 improved the thermal stability of HKUST-1 at temperatures from 283°C to 305°C. This result is in agreement with the results of a previous study [15] concluding that the thermal stability of MOF composite is higher than that of the initial MOF material. The thermal profile of ANZ-HKUST-1 80 wt% seems to follow a similar trend, in which the mass loss due to water molecule release is the lowest (ca. 5%), and the third mass loss corresponded to the fracture of the HKUST-1 structure took place in the wider temperature range (298 - 350oC). It was expected to be confirmed that the smaller quantity of HKUST-1 possibly led to release few water molecules. Therefore, ANZ-HKUST-1 80 wt% has higher thermal stability than ANZ-HKUST-1 20 and 50 wt% due to more ANZ content, and the materials remain stable at 600°C.

3.2 CO2 Adsorption Test

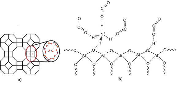
The CO2 adsorption test (Figure 6) shows that there was an increase in CO2 adsorption capacity when ANZ was added to HKUST-1 at 2, 5, 95, and 98 wt%. In the 2% and 5% ANZ composites, there was an increase in adsorption capacity of 12.1% and 12%, respectively, in comparison with the adsorption capacity of HKUST-1. This is because the ANZ that was added to HKUST-1 did not block the pores of HKUST-1 itself, thus increasing the amount of porosity in the ANZ@HKUST-1 composite. Moreover, ANZ has additional active sides, O-H+, and NH4+,which can bind CO2 through hydrogen bonds, leading to the increasing of the adsorption capacity of CO2 (see Figure 7). The ANZ 95 and 98% composites also have higher adsorption capacity of 12.2% and 5.6%, respectively, than the initial adsorption capacity of HKUST-1 and ANZ. Similarly, the reason for this could be that HKUST-1 did not block the micropores of ANZ, consequently increasing the number of micropores on the composite ANZ@ HKUST-1.

Figure 6 The CO2 adsorption capacity of HKUST-1, ANZ, and the composite ANZ@ HKUST-1.
Figure 6

The CO2 adsorption capacity of HKUST-1, ANZ, and the composite ANZ@ HKUST-1.

Figure 7 (a) Illustration of CO2 adsorption on pore and ANZ surfaces, (b) CO2 adsorption on the active side of ANZ.
Figure 7

(a) Illustration of CO2 adsorption on pore and ANZ surfaces, (b) CO2 adsorption on the active side of ANZ.

However in other variations, a more balanced composition of ANZ and HKUST-1 tend to decrease the CO2 adsorption capacity of the material, as evidenced by ANZ composites 20, 50 and 80 wt%. In these three composites, it was estimated that a higher weight percentage ratio, meaning more ANZ would cover the pores of HKUST-1 therefore the ANZ@HKUST-1 composite could not maximally adsorb CO2. This CO2 gas adsorption result correlated to the nitrogen sorption isotherm analysis shows that the combination of HKUST-1 and ANZ has narrowed the pore size distribution from 5.0 nm to < 2.0 nm. Because CO2 gas has a molecule size of 0.33 nm, it was likely to be adsorbed on the micropores (1.87–1.9 nm) of the ANZ@HKUST-1 composite. Therefore, one of the reasons for the increase of CO2 gas adsorption capacity is caused by the pore size of material that corresponds well to the size of the CO2 gas molecule, as shown by the composite of ANZ 2, 5, 95, and 98 wt%. An increase in CO2 adsorption capacity shown by the composites in this study is in accordance with a previous report [13], in which a synthesized composite of HKUST-1#MCF-NH2 therein, showed an increase in the adsorption capacity from 3.35 mmol/g to 3.89 mmol/g at 1 bar and 25°C.

4 Conclusions

In this study, we successfully prepared a composite material, ANZ@HKUST-1. The incorporation of HKUST-1 with ANZ improves thermal stability although it decreases the surface area and porosity of HKUST-1. The CO2 gas adsorption results show that the addition of ANZ 2, 5, 95, and 98 wt% increase the CO2 gas adsorption capacity up to 12% over the initial materials. The method of the composites synthesis (whether in situ or ex-situ) does not significantly affect the adsorption result; the main factors affecting CO2 adsorption are the surface area, the pores, and the active sides of both materials. To conclude, the potential use of the ANZ@HKUST-1 composites in CO2 capture and separation for example as filler in mixed matrix membrane (MMMs) area should be explored further.

Acknowledgments

This work was supported by the Indonesian Ministry of Research, Technology and Higher Education (Kemenristek DIKTI) under the scheme PDUPT 2018-2019 grant project number 474/UN 27.21/PP/2018 and 718/UN27.21/PN/2019. We would also like to thank MSc. Wahyu Prasetyo Utomo from ITS Surabaya for assisting with the XRD measurements.

  1. Conflict of interest: Authors declare no conflict of interest.

References

[1] Pachauri R.K., Reisinger A., IPCC Fourth Assessment Report, Intergovernmental Panel on Climate Change, 2007.Suche in Google Scholar

[2] Sumida K., Rogow D.L., Mason J.A., McDonald T.M., Bloch E.D., Herm Z.R., Bae T.H., Long J.R., Carbon dioxide capture in metal-organic frameworks, Chem. Rev., 2012, 112 724-781.10.1021/cr2003272Suche in Google Scholar PubMed

[3] Quadrelli R., Peterson S., The energy–climate challenge: Recent trends in CO2 emissions from fuel combustion, Energy Policy, 2007, 35, 5938-5952.10.1016/j.enpol.2007.07.001Suche in Google Scholar

[4] Cheng Y., Huang Q., Eic M., Balcom B.J., CO2 dynamic adsoprtion/desorption on Zeolite 5A Studied by 13C Magnetic Resonance Imaging, Langmuir, 2005, 21, 4376-4381.10.1021/la047302pSuche in Google Scholar PubMed

[5] Rao A.B., Rubin E.S., A Technical, Economic, and Environmental Assessment of Amine-Based CO2 Capture Technology for Power Plant Greenhouse Gas Control, Environ. Sci. Technol., 2002, 36, 4467-4475.10.1021/es0158861Suche in Google Scholar PubMed

[6] Salmasi M., Fatemi S., Rad M.D., Jadidi F., Study of carbon dioxide and methane equilibrium adsorption on silicoaluminophosphate-34 zeotype and T-type zeolite as adsorbent, Int. J. Environ. Sci. Technol., 2013, 10, 1067-1074.10.1007/s13762-013-0334-9Suche in Google Scholar

[7] Millward A.R., Yaghi O.M., Metal−Organic Frameworks with Exceptionally High Capacity for Storage of Carbon Dioxide at Room Temperature, J. Am. Chem. Soc., 2005, 127, 17998-17999.10.1021/ja0570032Suche in Google Scholar PubMed

[8] Llewellyn P.L., Bourrelly S., Serre C., Vimont A., Daturi M., Hamon L., De Weireld G., Chang J.S., Hong D.Y., Kyu Hwang Y., Hwa Jhung S., High Uptakes of CO2 and CH4 in Mesoporous Metal-Organic Frameworks MIL-100 and MIL-101, Langmuir, 2008, 24, 7245-7250.10.1021/la800227xSuche in Google Scholar PubMed

[9] Yan X., Komarneni S., Zhang Z., Yan Z., Extremely enhanced CO2 uptake by HKUST-1 metal–organic framework via a simple chemical treatment, Micro. Meso. Mater., 2014, 183, 69-73.10.1016/j.micromeso.2013.09.009Suche in Google Scholar

[10] Adhikari A.K., Lin K.S., Improving CO2 adsorption capacities and CO2/N2 separation efficiencies of MOF-74(Ni,Co) by doping palladium-containing activated carbon, Chem. Eng. J., 2016, 284, 1348-1360.10.1016/j.cej.2015.09.086Suche in Google Scholar

[11] Petit C., Burress J., Bandosz T.J., The synthesis and characterization of copper-based metal-organic framework/graphite oxide composites, Carbon, 2011, 49, 563-572.10.1016/j.carbon.2010.09.059Suche in Google Scholar

[12] Liu X.W., Sun T.J., Hu J.L., Wang S.D., Composites of metal– organic frameworks and carbon-based materials: preparations, functionalities and applications , J. Mater. Chem. A, 2016, 4, 3584-3616.10.1039/C5TA09924BSuche in Google Scholar

[13] Zhu C., Zhang Z., Wang B., Chen Y., Wang H., Chen X., Zhang H., Sun N., Wei W., Sun Y., Synthesis of HKUST-1#MCF compositing materials for CO2 adsorption, Micro. Meso. Mater., 2016, 226, 476-481.10.1016/j.micromeso.2016.02.029Suche in Google Scholar

[14] Liu S., Sun L., Xu F., Zhang J., Jiao C., Li F., Li S., Wang Z., Wang S., Jiang X., Zhou H., Yang L., Schick C., Nanosized Cu-MOFs induced by graphene oxide and enhanced gas storage capacity, Energy Environ. Sci., 2013, 6, 818-823.10.1039/c3ee23421eSuche in Google Scholar

[15] Tari N.E., Tadjarodi A., Tamnanloo J., Fatemi S., Synthesis and Property Modification of MCM-41 Composited with Cu(BDC) MOF for Improvement of CO2 Adsorption Selectivity, J. CO2 Util., 2016, 14, 126-134.10.1016/j.jcou.2016.04.008Suche in Google Scholar

[16] Kusdarto, The Potential of Zeolites in Indonesia (Potensi Zeolit di Indonesia), J. Zeolit Indonesia, 2008, 7, 1411-6723.Suche in Google Scholar

[17] Liang Z., Marshall M., Chaffee A.L., CO2 Adsorption-Based Separation By Metal-Organic Framework (Cu-BTC) Versus Zeolit (13X), Energy Fuels, 2009, 23, 2785-2789.10.1021/ef800938eSuche in Google Scholar

[18] Schlichte K., Kratzke T., Kaskel S., Improved Synthesis, Thermal Stability And Catalytic Properties Of The Metal-Organic Framework Compound Cu3(BTC)2 Micro. Meso. Mater., 2004, 73, 81-88.10.1016/j.micromeso.2003.12.027Suche in Google Scholar

[19] Trisunaryanti W., Syoufian A., Purwono S., Characterization And Modification of Indonesian Natural Zeolite For Hydrocracking Of Waste Lubricant Oil Into Liquid Fuel Fraction, J. Chem. Chem. Eng., 2013, 7, 175-180.Suche in Google Scholar

[20] Li W., Zhang Y., Li Q., Zhang G., Metal-Organic Framework Composite Membranes: Synthesis And Separation Applications, Chem. Eng. Sci., 2015, 135, 232-257.10.1016/j.ces.2015.04.011Suche in Google Scholar

[21] Lee J.Y., She Q., Huo F., Tang C.Y., Metal-Organic Framework-Based Porous Matrix Membranes For Improving Mass Transfer In Forward Osmosis Membranes, J. Membr. Sci., 2015, 492, 392-399.10.1016/j.memsci.2015.06.003Suche in Google Scholar

[22] Kizzie A.C., Wong-Foy A.G., Matzger A.J., Effect Of Humidity On The Performance of Microporous Coordination Polymers As Adsorbents For CO2 Capture, Langmuir, 2011, 27, 6368-6373.10.1021/la200547kSuche in Google Scholar PubMed

[23] Lestari W.W., Wibowo A.H., Astuti S., Irwinsyah, Pamungkas A.Z., Krisnandi Y.K., Fabrication of hybrid coating material of polypropylene itaconate containing MOF-5 for CO2 capture, Prog.Org. Coat., 2018, 115, 49-55.10.1016/j.porgcoat.2017.11.006Suche in Google Scholar

[24] Chui S.S.Y., Lo S.M.F., Charmant J.P., Orpen A.G., Williams I.D., A Chemically Functionalizable Nanoporous Material [Cu3(TMA)2(H2O)3n Science, 1999, 283, 1148-1150.10.1126/science.283.5405.1148Suche in Google Scholar PubMed

[25] Hasanah D.N., Transformasi Zeolit Alam Wonosari menjadi Fasa Mordenit Murni dengan Metode Dealuminasi dan Seed Assisted Synthesis secara Hidrotermal. Bachelor project, Sebelas Maret University, Surakarta, 2017, (in Indonesian).Suche in Google Scholar

[26] Saputra O.A., Prameswari M.D., Kinanti V.T.D., Mayasari O.D., Sutarni Y.D., Apriany K., Lestari W.W., IOP Conf. Ser.: Mater. Sci., 2017, 172, 012039, 1-10.10.1088/1757-899X/172/1/012039Suche in Google Scholar

[27] Lin K.S., Adhikari A.K., Ku C.N., Chiang C.L., Kuo H., Synthesis And Characterization of Porous HKUST-1 Metal Organic Frameworks For Hydrogen Storage, Int. J. Hydrogen Energy, 2012, 37, 13865-13871.10.1016/j.ijhydene.2012.04.105Suche in Google Scholar

[28] Aprianto L., Konversi Polietilena dari Sampah Plastik Mejadi Hidrokarbon Cair dengan Bantuan Katalis Zeolit Alam, Bachelor project, Dipenogoro University, Semarang, Indonesia, 2003, (in Indonesian).Suche in Google Scholar

[29] Sing K.S.W., Everett D.H., Haul R.A.W., Moscou L., Pierotti R.A., Rouquerol J., Siemieniewska T., Reporting Physisorption Data For Gas/Solid Systems with special Reference to the Deterermination of Surface Area and Porosity, Pure Appl. Chem., 1985, 57, 603-619.10.1351/pac198557040603Suche in Google Scholar

[30] Mansouri N., Rikhtegar N., Panahi H.A., Atabi F., Shahraki B.K., Porosity, Characterization And Structural Properties of Natural Zeolite-Clinoptilolite-As A Sorbent, Environ. Prot. Eng., 2013, 39, 139-152.10.37190/epe130111Suche in Google Scholar

[31] Botto I.L., Canafoglia M.E., Lick I.D., Cabello C.I., Schalamuk I.B., Minelli G., Ferraris G., Environmental Application of Natural Microporous Aluminosilicates: NOx Reduction by Propane Over Modified Clinoptilolite Zeolite., In Anales de la Asociación Química Argentina, 2004, 92, 139-153.Suche in Google Scholar

Received: 2018-09-19
Accepted: 2019-07-29
Published Online: 2019-12-31

© 2019 Witri Wahyu Lestari et al., published by De Gruyter

This work is licensed under the Creative Commons Attribution 4.0 Public License.

Artikel in diesem Heft

  1. Regular Articles
  2. Research on correlation of compositions with oestrogenic activity of Cistanche based on LC/Q-TOF-MS/MS technology
  3. Efficacy of Pyrus elaeagnifolia subsp. elaeagnifolia in acetic acid–induced colitis model
  4. Anti-inflammatory and antinociceptive features of Bryonia alba L.: As a possible alternative in treating rheumatism
  5. High efficiency liposome fusion induced by reducing undesired membrane peptides interaction
  6. Prediction of the Blood-Brain Barrier Permeability Using RP-18 Thin Layer Chromatography
  7. Phytic Acid Extracted from Rice Bran as a Growth Promoter for Euglena gracilis
  8. Development of a validated spectrofluorimetric method for assay of sotalol hydrochloride in tablets and human plasma: application for stability-indicating studies
  9. Topological Indices of Hyaluronic Acid-Paclitaxel Conjugates’ Molecular Structure in Cancer Treatment
  10. Thermodynamic properties of the bubble growth process in a pool boiling of water-ethanol mixture two-component system
  11. Critical Roles of the PI3K-Akt-mTOR Signaling Pathway in Apoptosis and Autophagy of Astrocytes Induced by Methamphetamine
  12. Characteristics of Stable Hydrogen and Oxygen Isotopes of Soil Moisture under Different Land Use in Dry Hot Valley of Yuanmou
  13. Specific, highly sensitive and simple spectrofluorimetric method for quantification of daclatasvir in HCV human plasma patients and in tablets dosage form
  14. Chromium-modified cobalt molybdenum nitrides as catalysts for ammonia synthesis
  15. Langerhans cell-like dendritic cells treated with ginsenoside Rh2 regulate the differentiation of Th1 and Th2 cells in vivo
  16. Identification of Powdery Mildew Blumeria graminis f. sp. tritici Resistance Genes in Selected Wheat Varieties and Development of Multiplex PCR
  17. Computational Analysis of new Degree-based descriptors of oxide networks
  18. The Use Of Chemical Composition And Additives To Classify Petrol And Diesel Using Gas Chromatography–Mass Spectrometry And Chemometric Analysis: A Uk Study
  19. Minimal Energy Tree with 4 Branched Vertices
  20. Jatropha seed oil derived poly(esteramide-urethane)/ fumed silica nanocomposite coatings for corrosion protection
  21. Calculating topological indices of certain OTIS interconnection networks
  22. Energy storage analysis of R125 in UIO-66 and MOF-5 nanoparticles: A molecular simulation study
  23. Velvet Antler compounds targeting major cell signaling pathways in osteosarcoma - a new insight into mediating the process of invasion and metastasis in OS
  24. Effects of Azadirachta Indica Leaf Extract, Capping Agents, on the Synthesis of Pure And Cu Doped ZnO-Nanoparticles: A Green Approach and Microbial Activity
  25. Aqueous Micro-hydration of Na+(H2O)n=1-7 Clusters: DFT Study
  26. A proposed image-based detection of methamidophos pesticide using peroxyoxalate chemiluminescence system
  27. Phytochemical screening and estrogenic activity of total glycosides of Cistanche deserticola
  28. Biological evaluation of a series of benzothiazole derivatives as mosquitocidal agents
  29. Chemical pretreatments of Trapa bispinosa's peel (TBP) biosorbent to enhance adsorption capacity for Pb(ll)
  30. Dynamic Changes in MMP1 and TIMP1 in the Antifibrotic Process of Dahuang Zhechong Pill in Rats with Liver Fibrosis
  31. The Optimization and Production of Ginkgolide B Lipid Microemulsion
  32. Photodynamic Therapy Enhanced the Antitumor Effects of Berberine on HeLa Cells
  33. Chiral and Achiral Enantiomeric Separation of (±)-Alprenolol
  34. Correlation of Water Fluoride with Body Fluids, Dental Fluorosis and FT4, FT3 –TSH Disruption among Children in an Endemic Fluorosis area in Pakistan
  35. A one-step incubation ELISA kit for rapid determination of dibutyl phthalate in water, beverage and liquor
  36. Free Radical Scavenging Activity of Essential Oil of Eugenia caryophylata from Amboina Island and Derivatives of Eugenol
  37. Effects of Blue and Red Light On Growth And Nitrate Metabolism In Pakchoi
  38. miRNA-199a-5p functions as a tumor suppressor in prolactinomas
  39. Solar photodegradation of carbamazepine from aqueous solutions using a compound parabolic concentrator equipped with a sun tracking system
  40. Influence of sub-inhibitory concentration of selected plant essential oils on the physical and biochemical properties of Pseudomonas orientalis
  41. Preparation and spectroscopic studies of Fe(II), Ru(II), Pd(II) and Zn(II) complexes of Schiff base containing terephthalaldehyde and their transfer hydrogenation and Suzuki-Miyaura coupling reaction
  42. Complex formation in a liquid-liquid extraction-chromogenic system for vanadium(IV)
  43. Synthesis, characterization (IR, 1H, 13C & 31P NMR), fungicidal, herbicidal and molecular docking evaluation of steroid phosphorus compounds
  44. Analysis and Biological Evaluation of Arisaema Amuremse Maxim Essential Oil
  45. A preliminary assessment of potential ecological risk and soil contamination by heavy metals around a cement factory, western Saudi Arabia
  46. Anti- inflammatory effect of Prunus tomentosa Thunb total flavones in LPS-induced RAW264.7 cells
  47. Collaborative Influence of Elevated CO2 Concentration and High Temperature on Potato Biomass Accumulation and Characteristics
  48. Methods of extraction, physicochemical properties of alginates and their applications in biomedical field – a review
  49. Characteristics of liposomes derived from egg yolk
  50. Preparation of ternary ZnO/Ag/cellulose and its enhanced photocatalytic degradation property on phenol and benzene in VOCs
  51. Influence of Human Serum Albumin Glycation on the Binding Affinities for Natural Flavonoids
  52. Synthesis and antioxidant activity of 2-methylthio-pyrido[3,2-e][1,2,4] triazolo[1,5-a]pyrimidines
  53. Comparative study on the antioxidant activities of ten common flower teas from China
  54. Molecular Properties of Symmetrical Networks Using Topological Polynomials
  55. Synthesis of Co3O4 Nano Aggregates by Co-precipitation Method and its Catalytic and Fuel Additive Applications
  56. Phytochemical analysis, Antioxidant and Antiprotoscolices potential of ethanol extracts of selected plants species against Echinococcus granulosus: In-vitro study
  57. Silver nanoparticles enhanced fluorescence for sensitive determination of fluoroquinolones in water solutions
  58. Simultaneous Quantification of the New Psychoactive Substances 3-FMC, 3-FPM, 4-CEC, and 4-BMC in Human Blood using GC-MS
  59. Biodiesel Production by Lipids From Indonesian strain of Microalgae Chlorella vulgaris
  60. Miscibility studies of polystyrene/polyvinyl chloride blend in presence of organoclay
  61. Antibacterial Activities of Transition Metal complexes of Mesocyclic Amidine 1,4-diazacycloheptane (DACH)
  62. Novel 1,8-Naphthyridine Derivatives: Design, Synthesis and in vitro screening of their cytotoxic activity against MCF7 cell line
  63. Investigation of Stress Corrosion Cracking Behaviour of Mg-Al-Zn Alloys in Different pH Environments by SSRT Method
  64. Various Combinations of Flame Retardants for Poly (vinyl chloride)
  65. Phenolic compounds and biological activities of rye (Secale cereale L.) grains
  66. Oxidative degradation of gentamicin present in water by an electro-Fenton process and biodegradability improvement
  67. Optimizing Suitable Conditions for the Removal of Ammonium Nitrogen by a Microbe Isolated from Chicken Manure
  68. Anti-inflammatory, antipyretic, analgesic, and antioxidant activities of Haloxylon salicornicum aqueous fraction
  69. The anti-corrosion behaviour of Satureja montana L. extract on iron in NaCl solution
  70. Interleukin-4, hemopexin, and lipoprotein-associated phospholipase A2 are significantly increased in patients with unstable carotid plaque
  71. A comparative study of the crystal structures of 2-(4-(2-(4-(3-chlorophenyl)pipera -zinyl)ethyl) benzyl)isoindoline-1,3-dione by synchrotron radiation X-ray powder diffraction and single-crystal X-ray diffraction
  72. Conceptual DFT as a Novel Chemoinformatics Tool for Studying the Chemical Reactivity Properties of the Amatoxin Family of Fungal Peptides
  73. Occurrence of Aflatoxin M1 in Milk-based Mithae samples from Pakistan
  74. Kinetics of Iron Removal From Ti-Extraction Blast Furnace Slag by Chlorination Calcination
  75. Increasing the activity of DNAzyme based on the telomeric sequence: 2’-OMe-RNA and LNA modifications
  76. Exploring the optoelectronic properties of a chromene-appended pyrimidone derivative for photovoltaic applications
  77. Effect of He Qi San on DNA Methylation in Type 2 Diabetes Mellitus Patients with Phlegm-blood Stasis Syndrome
  78. Cyclodextrin potentiometric sensors based on selective recognition sites for procainamide: Comparative and theoretical study
  79. Greener synthesis of dimethyl carbonate from carbon dioxide and methanol using a tunable ionic liquid catalyst
  80. Nonisothermal Cold Crystallization Kinetics of Poly(lactic acid)/Bacterial Poly(hydroxyoctanoate) (PHO)/Talc
  81. Enhanced adsorption of sulfonamide antibiotics in water by modified biochar derived from bagasse
  82. Study on the Mechanism of Shugan Xiaozhi Fang on Cells with Non-alcoholic Fatty Liver Disease
  83. Comparative Effects of Salt and Alkali Stress on Antioxidant System in Cotton (Gossypium Hirsutum L.) Leaves
  84. Optimization of chromatographic systems for analysis of selected psychotropic drugs and their metabolites in serum and saliva by HPLC in order to monitor therapeutic drugs
  85. Electrocatalytic Properties of Ni-Doped BaFe12O19 for Oxygen Evolution in Alkaline Solution
  86. Study on the removal of high contents of ammonium from piggery wastewater by clinoptilolite and the corresponding mechanisms
  87. Phytochemistry and toxicological assessment of Bryonia dioica roots used in north-African alternative medicine
  88. The essential oil composition of selected Hemerocallis cultivars and their biological activity
  89. Mechanical Properties of Carbon Fiber Reinforced Nanocrystalline Nickel Composite Electroforming Deposit
  90. Anti-c-myc efficacy block EGFL7 induced prolactinoma tumorigenesis
  91. Topical Issue on Applications of Mathematics in Chemistry
  92. Zagreb Connection Number Index of Nanotubes and Regular Hexagonal Lattice
  93. The Sanskruti index of trees and unicyclic graphs
  94. Valency-based molecular descriptors of Bakelite network BNmn
  95. Computing Topological Indices for Para-Line Graphs of Anthracene
  96. Zagreb Polynomials and redefined Zagreb indices of Dendrimers and Polyomino Chains
  97. Topological Descriptor of 2-Dimensional Silicon Carbons and Their Applications
  98. Topological invariants for the line graphs of some classes of graphs
  99. Words for maximal Subgroups of Fi24
  100. Generators of Maximal Subgroups of Harada-Norton and some Linear Groups
  101. Special Issue on POKOCHA 2018
  102. Influence of Production Parameters on the Content of Polyphenolic Compounds in Extruded Porridge Enriched with Chokeberry Fruit (Aronia melanocarpa (Michx.) Elliott)
  103. Effects of Supercritical Carbon Dioxide Extraction (SC-CO2) on the content of tiliroside in the extracts from Tilia L. flowers
  104. Impact of xanthan gum addition on phenolic acids composition and selected properties of new gluten-free maize-field bean pasta
  105. Impact of storage temperature and time on Moldavian dragonhead oil – spectroscopic and chemometric analysis
  106. The effect of selected substances on the stability of standard solutions in voltammetric analysis of ascorbic acid in fruit juices
  107. Determination of the content of Pb, Cd, Cu, Zn in dairy products from various regions of Poland
  108. Special Issue on IC3PE 2018 Conference
  109. The Photocatalytic Activity of Zns-TiO2 on a Carbon Fiber Prepared by Chemical Bath Deposition
  110. N-octyl chitosan derivatives as amphiphilic carrier agents for herbicide formulations
  111. Kinetics and Mechanistic Study of Hydrolysis of Adenosine Monophosphate Disodium Salt (AMPNa2) in Acidic and Alkaline Media
  112. Antimalarial Activity of Andrographis Paniculata Ness‘s N-hexane Extract and Its Major Compounds
  113. Special Issue on ABB2018 Conference
  114. Special Issue on ICCESEN 2017
  115. Theoretical Diagnostics of Second and Third-order Hyperpolarizabilities of Several Acid Derivatives
  116. Determination of Gamma Rays Efficiency Against Rhizoctonia solani in Potatoes
  117. Studies On Compatibilization Of Recycled Polyethylene/Thermoplastic Starch Blends By Using Different Compatibilizer
  118. Liquid−Liquid Extraction of Linalool from Methyl Eugenol with 1-Ethyl-3-methylimidazolium Hydrogen Sulfate [EMIM][HSO4] Ionic Liquid
  119. Synthesis of Graphene Oxide Through Ultrasonic Assisted Electrochemical Exfoliation
  120. Special Issue on ISCMP 2018
  121. Synthesis and antiproliferative evaluation of some 1,4-naphthoquinone derivatives against human cervical cancer cells
  122. The influence of the grafted aryl groups on the solvation properties of the graphyne and graphdiyne - a MD study
  123. Electrochemical modification of platinum and glassy carbon surfaces with pyridine layers and their use as complexing agents for copper (II) ions
  124. Effect of Electrospinning Process on Total Antioxidant Activity of Electrospun Nanofibers Containing Grape Seed Extract
  125. Effect Of Thermal Treatment Of Trepel At Temperature Range 800-1200˚C
  126. Topical Issue on Agriculture
  127. The effect of Cladophora glomerata exudates on the amino acid composition of Cladophora fracta and Rhizoclonium sp.
  128. Influence of the Static Magnetic Field and Algal Extract on the Germination of Soybean Seeds
  129. The use of UV-induced fluorescence for the assessment of homogeneity of granular mixtures
  130. The use of microorganisms as bio-fertilizers in the cultivation of white lupine
  131. Lyophilized apples on flax oil and ethyl esters of flax oil - stability and antioxidant evaluation
  132. Production of phosphorus biofertilizer based on the renewable materials in large laboratory scale
  133. Human health risk assessment of potential toxic elements in paddy soil and rice (Oryza sativa) from Ugbawka fields, Enugu, Nigeria
  134. Recovery of phosphates(V) from wastewaters of different chemical composition
  135. Special Issue on the 4th Green Chemistry 2018
  136. Dead zone for hydrogenation of propylene reaction carried out on commercial catalyst pellets
  137. Improved thermally stable oligoetherols from 6-aminouracil, ethylene carbonate and boric acid
  138. The role of a chemical loop in removal of hazardous contaminants from coke oven wastewater during its treatment
  139. Combating paraben pollution in surface waters with a variety of photocatalyzed systems: Looking for the most efficient technology
  140. Special Issue on Chemistry Today for Tomorrow 2019
  141. Applying Discriminant and Cluster Analyses to Separate Allergenic from Non-allergenic Proteins
  142. Chemometric Expertise Of Clinical Monitoring Data Of Prolactinoma Patients
  143. Chemomertic Risk Assessment of Soil Pollution
  144. New composite sorbent for speciation analysis of soluble chromium in textiles
  145. Photocatalytic activity of NiFe2O4 and Zn0.5Ni0.5Fe2O4 modified by Eu(III) and Tb(III) for decomposition of Malachite Green
  146. Photophysical and antibacterial activity of light-activated quaternary eosin Y
  147. Spectral properties and biological activity of La(III) and Nd(III) Monensinates
  148. Special Issue on Monitoring, Risk Assessment and Sustainable Management for the Exposure to Environmental Toxins
  149. Soil organic carbon mineralization in relation to microbial dynamics in subtropical red soils dominated by differently sized aggregates
  150. A potential reusable fluorescent aptasensor based on magnetic nanoparticles for ochratoxin A analysis
  151. Special Issue on 13th JCC 2018
  152. Fluorescence study of 5-nitroisatin Schiff base immobilized on SBA-15 for sensing Fe3+
  153. Thermal and Morphology Properties of Cellulose Nanofiber from TEMPO-oxidized Lower part of Empty Fruit Bunches (LEFB)
  154. Encapsulation of Vitamin C in Sesame Liposomes: Computational and Experimental Studies
  155. A comparative study of the utilization of synthetic foaming agent and aluminum powder as pore-forming agents in lightweight geopolymer synthesis
  156. Synthesis of high surface area mesoporous silica SBA-15 by adjusting hydrothermal treatment time and the amount of polyvinyl alcohol
  157. Review of large-pore mesostructured cellular foam (MCF) silica and its applications
  158. Ion Exchange of Benzoate in Ni-Al-Benzoate Layered Double Hydroxide by Amoxicillin
  159. Synthesis And Characterization Of CoMo/Mordenite Catalyst For Hydrotreatment Of Lignin Compound Models
  160. Production of Biodiesel from Nyamplung (Calophyllum inophyllum L.) using Microwave with CaO Catalyst from Eggshell Waste: Optimization of Transesterification Process Parameters
  161. The Study of the Optical Properties of C60 Fullerene in Different Organic Solvents
  162. Composite Material Consisting of HKUST-1 and Indonesian Activated Natural Zeolite and its Application in CO2 Capture
  163. Topical Issue on Environmental Chemistry
  164. Ionic liquids modified cobalt/ZSM-5 as a highly efficient catalyst for enhancing the selectivity towards KA oil in the aerobic oxidation of cyclohexane
  165. Application of Thermal Resistant Gemini Surfactants in Highly Thixotropic Water-in-oil Drilling Fluid System
  166. Screening Study on Rheological Behavior and Phase Transition Point of Polymer-containing Fluids produced under the Oil Freezing Point Temperature
  167. The Chemical Softening Effect and Mechanism of Low Rank Coal Soaked in Alkaline Solution
  168. The Influence Of NO/O2 On The NOx Storage Properties Over A Pt-Ba-Ce/γ-Al2O3 Catalyst
  169. Special Issue on the International conference CosCI 2018
  170. Design of SiO2/TiO2 that Synergistically Increases The Hydrophobicity of Methyltrimethoxysilane Coated Glass
  171. Antidiabetes and Antioxidant agents from Clausena excavata root as medicinal plant of Myanmar
  172. Development of a Gold Immunochromatographic Assay Method Using Candida Biofilm Antigen as a Bioreceptor for Candidiasis in Rats
  173. Special Issue on Applied Biochemistry and Biotechnology 2019
  174. Adsorption of copper ions on Magnolia officinalis residues after solid-phase fermentation with Phanerochaete chrysosporium
  175. Erratum
  176. Erratum to: Sand Dune Characterization For Preparing Metallurgical Grade Silicon
Heruntergeladen am 20.12.2025 von https://www.degruyterbrill.com/document/doi/10.1515/chem-2019-0136/html
Button zum nach oben scrollen