Home Physical Sciences Spectral properties and biological activity of La(III) and Nd(III) Monensinates
Article Open Access

Spectral properties and biological activity of La(III) and Nd(III) Monensinates

  • I. Pantcheva EMAIL logo , R. Dimitrova , V. Ivanova , A. Nedzhib , P. Dorkov , D. Dinev , R. Spasov and R. Alexandrova
Published/Copyright: December 31, 2019

Abstract

The present research is focused on evaluation of complexation ability of Monensic acid (MonH) towards La3+ and Nd3+ ions.

Changes in the SRCD spectrum of Monensinate anion were monitored upon addition of lanthanide(III) ions. The antibiotic undergoes formation of one neutral ([Ln(Mon)3(H2O)3]) and two positively charged complex species of composition [Ln(Mon)2(H2O)2]+ and [Ln(Mon) (H2O)]2+, respectively (Ln = La3+, Nd3+). Neutral complexes were isolated as fine powders and were characterized by IR, FAB-MS and ESI-MS. It is assumed that Monensin acts in bidentate coordination mode via monodentate carboxylate moiety and hydroxyl group, both located at the opposite ends of antibiotic molecule.

Activity of Monensic acid and [Ln(Mon)3(H2O)3] to decrease visible bacteria growth of B. subtilis, S. Lutea and B. mycoides was evaluated by agar hole diffusion method. Results showed that complexation of lanthanide(III) ions to Monensin enhances the activity of non-coordinated ligand.

Antitumor efficacy of compounds was assayed on human triple negative breast cancer and transplantable sarcoma in rat. The cytotoxicity was accessed by MTT test, NR uptake, CV assay and double AO/PI staining. Experimental data revealed that Monensic acid and [Ln(Mon)3(H2O)3] possess concentration- and time-dependent activity, and express promising cytotoxic properties against human and rat permanent cancer cell lines.

Graphical Abstract

1 Introduction

Polyether ionophores (PI) as Monensin, Salinomycin, Maduramycin, Narasin, Lasalocid, etc., represent a large group of natural biologically active compounds, produced by Streptomyces spp. They show an outstanding potency for the control of coccidiosis caused by protozoan Eimeria parasites - a disease, which has been for a long time the major cause of poor performance and lost productivity in poultry and other farm animals. Since discovery of Monensin in 1967, PI are applied as therapeutics in poultry, game birds, sheep, and cattle. An overview of their properties revealed that more animals have been medicated with ionophores for control of disease than any other medicinal agents in the history of veterinary medicine [1]. Apart from antiparasitic efficacy, PI show a broad-spectrum activity as antibacterial, antifungal, herbicidal, antiviral, anti-inflammatory [2, 3, 4, 5]. In the last decade it was also found that PI and their derivatives might be promising chemotherapeutic agents for the treatment of cancer [6, 7, 8, 9, 10].

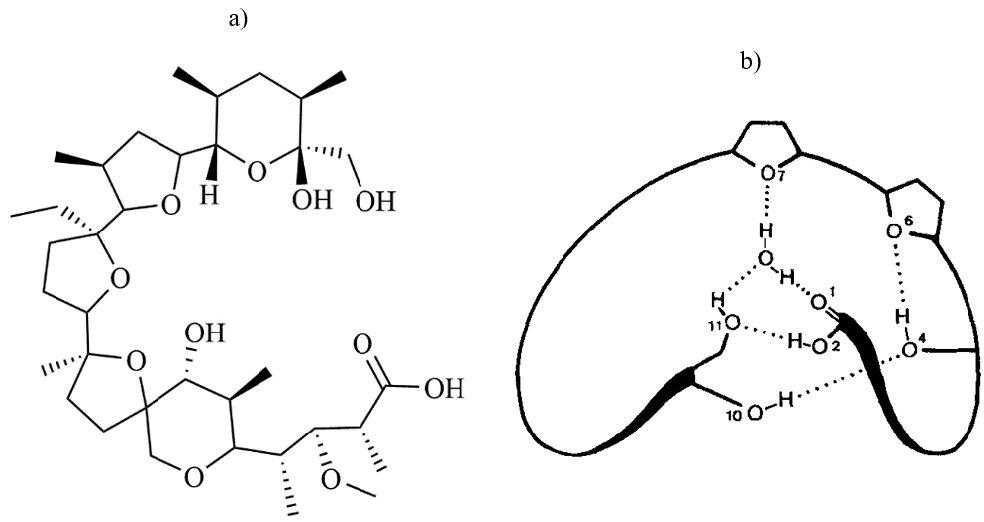
Chemically speaking, PI are a unique class of polyketides which reversibly binds metal ions. The structure of Monensin (MonH, Scheme 1a) and related compounds consists of a carboxylic acid, functionalized by multiple tetrahydrofuran and tetrahydropyran rings. In acidic form PI exist as a pseudo-cycle, stabilized by “head-to tail” hydrogen bonds. Crystallographic data revealed, that oxygen atoms of the polyether skeleton are internally orientated forming a hydrophilic cavity able to host water molecule or monovalent metal ions, respectively (Scheme 1b). On the other hand, alkyl substituents of the polyether chain are orientated externally, ensuring the overall lipophilic character of the ligands and their ability to cross cell membranes. The reversible binding and liberation of monovalent metal ions into the intracellular space induce metal homeostasis disturbance, which leads to activation of various energy-dependent processes and ultimate parasite / bacteria death.

PI possess broad similarities in the fundamental mode of action and biology despite of their unique structure and characteristic physicochemical properties. For example, Monensin readily complexes alkali ions with an affinity decreasing in the order of Na+ > K+ > Rb+ > Li+ > Cs+, while Salinomycin is known as a potassium ionophore.

Binding monovalent metal ions, PI transfer them across cell membranes as neutral compounds. The structure of monovalent metal complexes of Monensin, [MonM] (M = Na+, K+, Li+, Cs+, Ag+), was proved by X-ray crystallographic analysis on monocrystals. Metal ions are placed into the hydrophilic cavity of the ligand and are coordinated by internal oxygen atoms of the polyether chain. The carboxylic group is deprotonated and participates in H-bond formation with hydroxyl moieties located at the opposite end of the ligand. The only example where the carboxyl group is not deprotonated, is the complex [MonHNa+]Br- with bromide ion serving as a counter-ion to form the corresponding neutral species [11, 12, 13, 14, 15, 16, 17, 18, 19].

Since 2008, broad research on potential ability of polyether ionophores to bind metal ions of higher oxidation state has been performed at Sofia University [2027]. It was found that Monensin forms various complexes depending on the ligand form and origin of the metal ions. The reaction of sodium Monensin (MonNa) with divalent metal ions undergoes the formation of heteronuclear complexes of composition [M(MonNa)2Cl2] (M = Mn2+, Co2+, Cu2+). Complexation of Monensic acid monohydrate leads to the isolation of mononuclear compounds such as [M(Mon)2(H2O)2] (M = Mn2+, Co2+, Mg2+, Ca2+, Ni2+, Zn2+, Cd2+) and [M(Mon)(H2O)] (M = Hg2+).

Biological assays revealed that the inclusion of divalent biometal ions into the structure of Monensin potentiates its antibacterial properties against Gram(+)-microorganisms. The antitumor activity of the ligand and [M(Mon)2(H2O)2] complexes was evaluated against cell lines established from some of the most common and invasive human cancers, drug sensitive and drug resistant squamous cell carcinoma, retrovirus-induced transplantable sarcoma in rat and chicken hepatoma.

Monensic acid was found to be less active than metal complexes. The isostructural metal(II) compounds exert enhanced antitumor activity as compared to the non-coordinated ligand and their efficacy seems to depend both on the nature of the metal ions and on the cell lines tested [28, 29, 30].

Diversity of Monensinate complex species accompanied by pronounced in vitro efficacy provoked us to continue our studies in the field of chemistry and biology of PI. Recently we evaluated the ability of Monensin to bind threevalent metal ions. The present paper reports new data on the coordination of Monensic acid with ions of La3+ and Nd3+, spectral characterization of corresponding metal(III) complexes and their antimicrobial / antitumor properties.

2 Experimental

2.1 Materials

Sodium Monensin was cordially supplied by Biovet Ltd. (Peshtera, Bulgaria). Metal salts (La(CF3SO3)3×H2O, Nd(CF3SO3)3) were purchased from Merck and Et4NOH (40% in water) from Fluka. All reagents were of analytical grade, and distilled water (18.2 МΩ•cm) was used in the experiments.

Dulbecco’s modified Eagle’s medium (D-MEM) and fetal bovine serum were obtained from Gibco-Invitrogen (UK). Dimethyl sulfoxide (DMSO), crystal violet, propidium iodide (PI), acridine orange (AO) and trypsin were purchased from AppliChem (Darmstadt, Germany). Thiazolyl blue tetrazolium bromide (MTT) and 3-amino-7-dimethylamino-2-methylphenazine hydrochloride (Neutral red) were obtained from Sigma-Aldrich Chemie GmbH (Germany). The antibiotics (Penicillin and Streptomycin) for cell cultures were from Lonza (Belgium). All sterile plastic ware was purchased from Orange Scientific (Belgium).

2.2 Methods

Elemental analysis data (C, H) were obtained with a Vario EL-III Elemental Analyzer, and complexometric titration was used to determine the metal content. Samples of the complexes were decomposed using conc. HNO3, and the obtained soluble metal nitrates were treated with an excess of Na2EDTA (standard solution). Unreacted Complexon III was titrated with standard solution of Zn(NO3)2. All titrations were performed in an acetate buffer (1 M, pH 5.5) using xylenol orange as an indicator.

IR spectra of compounds were recorded on Nikolet 6700 FT-IR spectrophotometer, Thermo Scientific (4000-400 cm-1), in KBr pellets. FAB-MS and ESI-MS spectra were obtained using Fisons VG Autospec and Bruker-micrOTOF-Q II spectrometers, respectively.

SRCD spectra were recorded at the AU-CD beam line SRCD facility, part of the ASTRID2 storage ring at the Institute for Storage Ring Facilities (ISA), University of Aarhus, Denmark. Compounds were dissolved in methanol, and all spectra were recorded in cuvettes at a 0.014 mm optical pathlength, in 1 nm steps with a dwell time of 2 s per step, with a wavelength range of 170-300 nm and with a resolution of 0.5 nm. A solution of corresponding metal(III) salt was added to MeOH solutions containing an equivalent amount of Monensic acid (MonH×H2O) and Et4NOH (1:1 molar ratio) to obtain a series of mixtures at a metal-to-ligand molar ratio of 1-9 to 3-1 (at total 20 mM concentration of the ligand).

2.3 Synthesis of La3+ and Nd3+ complexes of Monensin

Monensic acid monohydrate (MonH×H2O) was prepared as previously described [23].

Lanthanide(III) salt (0.1 mmol) was added to the acetonitrile solution containing MonH×H2O (0.3 mmol, 206.7 mg) and Et4NOH (0.3 mmol, 110.4 μL). The reaction mixture was stirred for 1h at r.t.; the precipitates that formed were filtered off, were washed with MeCN and dried over P2O5. The suggested composition of complexes isolated is [Ln(Mon)3(H2O)3] (Ln = La (1, 115 mg, 52% yield), Nd (2, 164 mg, 74% yield)). The complexes were soluble in MeOH.

Isolated species of La3+- and Nd3+-containing Monensin derivatives were analyzed by FAB-MS and ESI-MS spectrometries. Due to the limitations of the FAB-MS technique (we can observe ions of m/z up to 2000), the obtained spectra consisted of limited number of signals, mainly assigned to the formation of [Ln(C36H60O11)]+ and [Ln(C36H61O11)2]+ ions. ESI-MS allowed the observation of more complex spectra, where the presence of various ions was detected due to the association / dissociation processes as well as to the subtraction of water molecules and anion ligands, or abstraction of metal ions (Na+ / Ln3+). Details on ESI-MS data are presented in Section 3.1 and in Supplementary material.

2.4 Antibacterial activity

Antimicrobial properties of Monensic acid, metal(III) complexes, as well as corresponding metal(III) salts, were studied against Gram(+)-bacteria using a double layer agar hole diffusion method [31]. Microorganisms Bacillus subtilis (ATCC 6633), Bacillus cereus spp. and Micrococcus luteus (ATCC 10054, Sarcina lutea) were obtained from the National Bank for Industrial Microorganisms and Cell Cultures (NBIMCC, Bulgaria).

2.5 Cytotoxicity assays

Permanent cell lines established from human triple negative breast cancer (MDA-MB-231) and transplantable rat sarcoma induced by the Rous sarcoma virus strain Schmidt-Rupin (LSR-SF-SR) were used as model systems in cytotoxicity assays. The cells were grown as monolayer cultures in D-MEM medium, supplemented with 5-10% fetal bovine serum and antibiotics (100 U/mL penicillin and 100 µg/mL streptomycin) at 37°C in humidified CO2 incubator (Thermo scientific, Hepa class 100).

Compounds tested (Monensic acid and complexes 1-2) were prepared as stock solutions in DMSO (1 mg/mL) due to their low solubility in water. During the experiments all substances were applied at final concentrations of 1, 5, 10 and 20 μg/mL (working solutions) after the appropriate dilution with D-MEM medium [28, 29].

The effect of compounds on the viability and proliferation of the treated cells was evaluated using MTT (thiazolyl blue tetrazolium bromide) test after 24, 48 and 72h of incubation [32]. In some cases, neutral red (NR) uptake cytotoxicity assay [33] and crystal violet (CV) staining [34] were also performed.

The optical density was measured at 540 nm (MTT, NR) and at 620 nm (CV), respectively, using an automatic microplate reader (TECAN, SunriseTM, Austria). Relative cell viability, expressed as a percentage of the untreated control (100% viability), was calculated for each concentration. “Concentration – response” curves were prepared, and the effective cytotoxic concentration of the compounds as compared to the control - CC50 and CC90 (μM), causing 50% or 90% reduction of cell viability, respectively, was estimated from these curves. All data points represent an average of three independent assays.

The ability of compounds to induce cytopathological changes was assessed using double staining with acridine orange (AO) and propidium iodide (PI) according to the standard procedures using fluorescence microscope (Leika DM 500B, Wetzlar, Germany). The degree of apoptosis was evaluated by the formation of bright green nucleus with chromatin condensation (dense green areas) and/ or of orange nucleus (showing condensation of chromatin) indicating early or late apoptotic cell death, respectively.

2.6 Statistical analysis

The data are presented as mean ± standard error of the mean. Statistical differences between control and treated groups were assessed using one-way analysis of variance (ANOVA) followed by Dunnett post-hoc test.

Ethical approval: The conducted research is not related to either human or animal use.

3 Results and discussion

3.1 Spectral properties of Monensinate complexes

The coordination of Monensin towards ions of La3+ and Nd3+ was evaluated at different reaction conditions. Complexation took place in acetonitrile solutions after the deprotonation of Monensic acid using Et4NOH. It was observed that at a metal-to-ligand molar ratio of 1:3 a solid phase forms, but it gradually dissolves as the increased concentration of the metal(III) ion was added. The composition of the solid phase was suggested to belong to the neutral species of general formula of [Ln(Mon)3(H2O)3] (Ln = La3+ (1), Nd3+ (2)) based on our previous studies of ligand reactivity towards divalent metal ions [20, 21, 22, 23, 24, 25, 26, 27] and Gd3+ [35]. Elemental analysis data (Table 1) align with the proposed composition of metal(III) complexes.

Table 1

Elemental analysis data of lanthanide(III) Monensinates 1-2.

ComplexCompositionMWH, %C, %M, %
[La(Mon)3(H2O)3], 1C108H189LaO362202.68.65a58.89a6.31a
7.76b55.07b6.10b
[Nd(Mon)3(H2O)3], 2C108H189NdO362207.98.63a58.75a6.53a
8.24b57.52b6.36b
  1. acalculated; bfound

Properties of Monensic acid and complexes 1-2 in solid state were studied by IR spectroscopy (Figure 1). Bands at 3530 cm-1 and 3340 cm-1, observed in the spectrum of MonH×H2O, were attributed to the stretching vibrations (νOH) of water molecule and hydroxyl groups, respectively, both participating in the formation of H-bonds. These two signals appear as a broad band within the 3550-3400 cm-1 range in the IR spectra of complexes 1-2 due to their coordination with the metal(III) center. A characteristic single band within the Monensic acid spectrum, was observed at 1700cm-1, and originated from the presence of the carboxylic group. In the spectra of metal(III) derivatives it was replaced by two bands at 1560 cm-1 and 1420 cm-1 due to the stretching asymmetric and symmetric vibrations of deprotonated carboxylic moiety, respectively. A monodentate coordination mode of carboxylate anion to Ln(III) center was proposed by the difference between positions of its asymmetric and symmetric stretching vibrations (Δν ~ 140 cm-1) [36]. The assignment of IR data revealed that ligand complexes metal(III) ions through monodentate deprotonated COOH-moiety and a hydroxyl group; in addition, the presence of water molecules into the structure of metal(III) Monensin derivatives was also assumed [35].

Scheme 1 Structure of Monensin A (a) and folding of PI skeleton due to the formation of H-bonds (b).
Scheme 1

Structure of Monensin A (a) and folding of PI skeleton due to the formation of H-bonds (b).

Figure 1 IR spectra of Monensic acid and complexes 1-2.
Figure 1

IR spectra of Monensic acid and complexes 1-2.

ESI-MS spectra of [La(Mon)3(H2O)3] and [Nd(Mon)3(H2O)3] in the gas phase are presented in Figures 2-3. The molecular fragmentation of both complexes is shown in Scheme 2, the assignment of the most peaks observed s described in detail in Table S1. The

Figure 2 ESI-MS spectrum of complex 1.
Figure 2

ESI-MS spectrum of complex 1.

Figure 3 ESI-MS spectrum of complex 2.
Figure 3

ESI-MS spectrum of complex 2.

[Ln(Mon)3Na]+ fragment of the complexes was confirmed to exist, which is in accordance with the composition suggested for the neutral lanthanide(III) derivatives of the ligand. The high affinity of Monensin to bind Na+, originating from the glassware and the matrix, leads to the signals at 693.4 and 1385.8 m/z, attributed to the formation of [C36H62O11Na]+ and [(C36H62O11)(C36H61O11Na) Na]+, respectively.

Isolation of [La(Mon)3(H2O)3], 1, and [Nd(Mon)3(H2O)3], 2, in solid state is reasonable due to the formation of neutral species, which preferably precipitate in acetonitrile solutions. On the other hand, it was a matter of interest to monitor the spectral changes of chiral Monensin in solution upon addition of the increasing amount of lanthanide ions to verify if any other species exist at different reaction conditions. The ability of Monensin to bind metal(III) ions in methanolic solutions was monitored using Synhrotron Radiation Circluar Dichroism (SRCD) spectroscopy.

Based on our SRCD experimental results it can be concluded that Monensinate anion forms at least three complex species depending on the metal-to-ligand molar ratio. Neutral complexes 1 and 2 exist in the presence of high excess of the ligand. Further addition of metal(III) ions leads to the formation of two positively charged complex ions of composition [Ln(Mon)2(H2O)2]+ and [Ln(Mon)(H2O)]2+, respectively [35]. These species were

Scheme 2 Molecular fragmentation of 1 (above) and 2 (bottom).
Scheme 2

Molecular fragmentation of 1 (above) and 2 (bottom).

observed only in solution, due to their positive charge and high solubility in common solvents. Presently, we were not able to isolate (and characterize) them in solid state. SRCD spectra of Monensinate anion and its complexes in methanolic solutions are placed in Figure 4.

Figure 4 SRCD spectra of observed complex species at certain metal-to-ligand molar ratio.
Figure 4

SRCD spectra of observed complex species at certain metal-to-ligand molar ratio.

3.2 Biological activity of Monensic acid and complexes 1-2

Antibacterial activity of Monensic acid and neutral complexes 1-2 against the test-strains of Gram-positive bacteria was evaluated in terms of their minimum inhibitory concentration (MIC). Results showed that Monensic acid is effective against B. subtilis and S. Lutea when applied at 23.9 μM, and possesses stronger toxicity against B. mycoides at MIC = 11.8 μM. Incorporation of La3+ or Nd3+ ions into the structure of Monensin improves the bactericidal activity of the antibiotic, showing c.a. four- and twofold enhanced effect towards B. subtilis and S. lutea, respectively (1: MIC = 7 μM, 2: MIC = 14 μM). It was observed that the Nd(III) complex is more active than the isostructural La(III) Monensinate against B. mycoides (1: MIC = 7 μM, 2: MIC = 3.5 μM), but more experiments are required to explain such a difference in behavior of structurally similar metal(III) complex species. On the other hand, metal(III) salts are ineffective towards microorganisms even when applied at high concentration levels (MIC > 1.67 mM).

The bacteria strain of B. mycoides is generally more sensitive to the action of Monensic acid and its metal complexes than B. subtilis and S. lutea. The comparison between antimicrobial efficacy of the ligand and corresponding coordination compounds with di- and three-valent metal ions revealed the following hierarchy order of increasing activity depending on the metal center [21, 23, 24]:

B.Subtilis:Mon H<La3+,Nd3+<Mn2+<Co2+<Ca2+,Mg2+,Ni2+,Zn2+;S.lutea:Ni2+,Zn2+<MonH<La3+,Nd3+<Mn2+<Co2+<Ca2+,Mg2+;B.mycoides:MonH<La3+<Mn2+<Nd3+<Co2+<Ca2+,Mg2+,Ni2+,Zn2+.

Current results show that the complexation of Monensin is an efficient strategy to enhance its antibacterial activity towards Gram(+)-microorganisms. The specific mechanism(s) by which metal ions tested affect bacteria life-cycle has not been completely studied. It is likely that Monensin serves as a carrier to transfer them through cell membranes and thus to induce metal homeostasis alterations, which leads to their growth inhibition.

The cytotoxicity of Monensic acid and [Ln(Mon)3(H2O)3] was also evaluated in cultured human (MDA-MB-231) and rat (LSR-SF-SR) tumor cells. These permanent cell lines were used as model systems in our study as follows:

i) The cell line MDA-MB-231 was established from a human triple negative breast cancer (TNBC). As a result, TNBC remains a challenging subtype of breast cancer to treat since the cells do not express estrogen / progesterone receptors and human epidermal receptor 2 (HER2), and there is no targeted therapy specifically approved against this malignancy. The treatment of TNBC currently relies on chemotherapy, albeit often with limited efficacy and poor survival outcomes [37, 38].

ii) The transplantable sarcoma in rats from which the LSR-SF-SR cell line was originated, was induced by the Rous sarcoma virus strain Schmidt-Ruppin (SR-RSV). The virus and the cells that were transformed by it express (viral) v-src oncogene. Src and Src-family protein kinases are proto-oncogenes that are important for cell morphology, motility, proliferation, and survival. The dysregulation of their functioning is involved in the pathogenesis of a wide variety of animal and human cancers [39, 40].

The anticancer activity of compounds on the viability and proliferation of tumor cells was assessed by several methods that varied in cell targets and in the mechanisms of action: i) MTT test (evaluates the ability of mitochondrial enzyme succinate dehydrogeanase to reduce 3-(4,5-dimethylthiazol-2-yl)-2,5-diphenyltetrazolium bromide into formazan); ii) NR uptake (neutral red is a weak cationic dye that readily penetrates cell membranes and distributes to the acidic compartments in the cell, therefore acting as a marker for the integrity of lysosomes); iii) CV assay (crystal violet dye binds to proteins and DNA); iv) double AO/PI staining (AO and PI are DNA intercalating agents, PI cannot cross the membrane of viable cells).

The cells were treated for 24h, 48h and 72h, respectively. The determination of cytotoxic activity of the substances after such short treatment intervals is important because in clinical practice, cancer cells should be rapidly destroyed or physically removed from the body to reduce the risk of selecting drug resistant tumor cells, their metastatic potential, etc.

Monensic acid and complexes 1-2 were studied in the concentration range from 1 to 20 µg/mL [28, 29] and from the corresponding “concentration - response” curves their cytotoxic concentration was estimated. Examples using MTT test are presented in Figures 5-6 and Tables S2-S3.

Figure 5 Effect of Monensin (Δ), DMSO (○) and complexes 1-2 (■, ♦) on viability and proliferation of human breast cancer MDA-MB-231 cells (control ▲), MTT test.
Figure 5

Effect of Monensin (Δ), DMSO (○) and complexes 1-2 (■, ♦) on viability and proliferation of human breast cancer MDA-MB-231 cells (control ▲), MTT test.

Figure 6 Effect of DMSO (○) and complexes 1-2 (■, ♦) on viability and proliferation of rat sarcoma LSF-SR-SR cells (control ▲), MTT test.
Figure 6

Effect of DMSO (○) and complexes 1-2 (■, ♦) on viability and proliferation of rat sarcoma LSF-SR-SR cells (control ▲), MTT test.

It should be pointed out that the “concentration - response” curves possess a similar profile for all tested compounds if the experimental data are presented in mg/mL units. The molecular weight of Monensic acid is in fact about 3 times lower than that of compounds 1-2. More precise information was retrieved that analyzed the effective molar cytotoxic concentration values (CC50 and CC90, respectively; Tables 2-3).

Table 2

Cytotoxic effect of Monensic acid and complexes 1-2 on MDA-MB-231 cell line.

Compound24 h48 h72 h
MTTMTTCVNRMTT
CC50[μM]
MonH×H2O> 30 а> 30 а6.22.4< 0.75 b
Complex 1> 9 а1.51.91.9< 0.23 b
Complex 2> 9 а1.41.32.5< 0.23 b
CC90[μM]
MonH×H2O> 30 c> 30 c> 30 c2.11
[La(Mon)3(H2O)3]> 9 c4.4> 9 c> 9 c3.3
[Nd(Mon)3(H2O)3]> 9 c4.2> 9 c> 9 c3.1
  1. Corresponding CC value was not defined since the cell viability was: a) higher than 50%, b) lower than 50%, c) higher than 10%, d) lower than 10%.

Table 3

Cytotoxic effect of Monensic acid and complexes 1-2 on LSR-SF-SR cell line.

Compound24 h48 h72 h
МТТМТТМТТCV
CC50[μM]
MonH×H2O> 30 а< 0.75 b< 0.75 b1.00
[La(Mon)3(H2O)3]> 9 а0.45< 0.23 b0.39
[Nd(Mon)3(H2O)3]7.70.98< 0.23 b0.38
CC90[μM]
MonH×H2O> 30 c< 0.75 d< 0.75 d4.0
[La(Mon)3(H2O)3]> 9 c5.61.80> 9 с
[Nd(Mon)3(H2O)3]> 9 c6.4< 0.23 d> 9 с
  1. Corresponding CC value was not defined since the cell viability was: a) higher than 50%, b) lower than 50%, c) higher than 10%, d) lower than 10%.

A limited set of reliable data relating to CC50 and CC90 values was obtained applying the compounds in the concentration range studied. Nonetheless, the present results outline the general tendency that metal(III) ions enhance the anticancer activity of the non-coordinated ligand. To fulfill the gaps, one has to increase the number of working solutions, but we designed this experiment according to the available information on cytotoxicity of Monensin and its divalent metal complexes against human and animal tumor cell lines of various origin [28, 29].

The cytopathological changes caused by Monensic acid and complexes 1-2 applied at 5 mg/mL, are presented in Figure 7. The following changes were observed in LSR-SF-SR cells upon the treatment: a) Monolayer from untreated cells, similar in size and morphology. The presence of a large number of cells with mitotic activity; b) Reduced by about 30% of the control cell composition. The cells are heterogeneous in shape, with increased dimensions and swelling of the cytoplasm. Nuclei show

Figure 7 Rat sarcoma cell line (LSR-SF-SR) after double staining with AO/PI: a) untreated cells, b) MonH×H2O, c) complex 1; d) complex 2 (cultivation for 48 h with compounds tested at 5 μg/mL, magnification × 20).
Figure 7

Rat sarcoma cell line (LSR-SF-SR) after double staining with AO/PI: a) untreated cells, b) MonH×H2O, c) complex 1; d) complex 2 (cultivation for 48 h with compounds tested at 5 μg/mL, magnification × 20).

mild to moderately pronounced nuclear atypism, a dense grain chromatin. Approximately 20% of the cells detect 1-3 optically dense vacuoles of approximately the size of the cell nucleus. These cells have integrity of the cell membrane and show no signs of cell death. Small cell clusters filled with fragments of cytoplasmic organelles and destroyed nuclei with PI-permeabilized membrane, non-vital, no signs of apoptosis were observed; c) About 15% of the cells are present relative to the control, proportionally increased cell and nuclei sizes. Some cells lack cellular organelles and nuclear fragments. There are shaped apoptotic bodies; d) Cellular composition is reduced to 50%. The cells are heterogeneous in size and shape. There is pronounced nuclear atypism, with nuclear membrane integrity and high cell membrane permeability for PI. Single giant cells with cytoplasmic swelling and signs of necrosis as well as small cell groups with apoptotic bodies are observed.

The data obtained in our study revealed that Monensic acid and its La3+ / Nd3+ complexes express promising cytotoxic properties against permanent cell lines established from human triple negative breast cancer and retrovirus-induced rat sarcoma (expressing v-src gene). These results are not surprising and could be explained, at least partially, by the ability of the ligand to induce significant alterations in the treated cells such as changes in the pH level and ATP content; cell cycle arrest (in G1/G1-M phase); early mitochondrial damage and energy deficit; apoptosis (associated with changes in Bax, caspase-3, caspase-8 and mitochondrial transmembrane potential) and/ or necrosis [41, 42, 43, 44]. Additional experiments are underway to characterize the cellular and molecular mechanism(s) of action of the tested compounds.

4 Conclusion

The complexation ability of Monensin towards La3+ and Nd3+ ions was studied in different phases by using techniques seen in IR and SRCD spectroscopies, FAB-MS / ESI-MS spectrometries and elemental analysis. Experimental data revealed that the ligand forms at least one neutral and two positively charged complex species of composition [Ln(Mon)3(H2O)3], [Ln(Mon)2(H2O)2]+ and [Ln(Mon)(H2O)]2+ (Ln = La3+, Nd3+). Antibacterial and antitumor ability of neutral complex species [Ln(Mon)3(H2O)3] was evaluated against selected Gram-positive bacteria strains and tumor cell lines originating from human triple negative breast cancer and virus-induced transplantable rat sarcoma. The cytotoxicity of compounds tested is concentration-and time-dependent, with metal(III) complexes being generally more effective than non-coordinated Monensic acid.

Acknowledgements

RD acknowledges the sponsorship by the operational program “Science and Education for Smart Growth”, project BG05M2OP001-2.009-0028. IP and RA are thankful for partial support by the National Science Fund, Bulgarian Ministry of Education and Science (contracts № KP-06-H29/3 and № DFNI B02-30/2014, respectively). TÁMOP-4.2.4.A/2, John von Neumann International Scholarship for senior foreign teachers-researchers and CALIPSOplus (EU Framework Program for Research and Innovation HORIZON 2020, grant no. 730872) are also greatly acknowledged.

  1. Conflict of interest: Authors declare no conflict of interest.

References

[1] Chapman H.D., Jeffers T.K., Williams R.B., Forty years of monensin for the control of coccidiosis in poultry, Poultry Sci., 2010, 89, 1788-1801.10.3382/ps.2010-00931Search in Google Scholar

[2] Rajendran V., Ilamathi H.S., Dutt S., Lakshminarayana T.S., Ghosh P.C., Chemotherapeutic potential of monensin as an anti-microbial agent, Curr. Topisc Med. Chem., 2018, 18, 1976-1986.10.2174/1568026619666181129141151Search in Google Scholar

[3] Rutkowski J., Brzezinski B., Structures and properties of naturally occurring polyether antibiotics, BioMed Res. Intern. 2013, art. no. 162513.10.1155/2013/162513Search in Google Scholar

[4] Butaye P., Devriese L.A., Haesebrouck F., Antimicrobial growth promoters used in animal feed: effects of less well known antibiotics on gram-positive bacteria, Clin. Microbiol. Rev., 2003, 16, 175-188.10.1128/CMR.16.2.175-188.2003Search in Google Scholar

[5] Kevin II D.A., Meujo D.A.F., Hamann M.T., Polyether ionophores: Broad-spectrum and promising biologically active molecules for the control of drug-resistant bacteria and parasites, Expert Opin. Drug Discov., 2009, 4, 109-146.10.1517/17460440802661443Search in Google Scholar

[6] Antoszczak M., A comprehensive review of salinomycin derivatives as potent anticancer and anti-CSCs agents, Eur. J. Med. Chem., 2019, 48-64.10.1016/j.ejmech.2019.01.034Search in Google Scholar

[7] Kaushik V., Yakisich J.S., Kumar A., Azad N., Iyer A.K.V., Ionophores: Potential use as anticancer drugs and chemosensitizers, Cancers, 2018, 10, art. no. 360.10.3390/cancers10100360Search in Google Scholar

[8] Huczyński A., Klejborowska G., Antoszczak M., Maj E., Wietrzyk J., Anti-proliferative activity of monensin and its tertiary amide derivatives, Bioorg. Med. Chem.Lett., 2015, 25, 4539-4543.10.1016/j.bmcl.2015.08.067Search in Google Scholar

[9] Piperno A., Marrazzo A., Scala A., Rescifina A., Chemistry and biology of salinomycin and its analogues, Targ. Heterocycl. Chem., 2015, 19, 177-213.Search in Google Scholar

[10] Naujokat C., Steinhart R., Salinomycin as a drug for targeting human cancer stem cells, J. Biomed. Biotechn., 2012, art. no. 950658.10.1155/2012/950658Search in Google Scholar

[11] Pinkerton M., Steinrauf L.K., Molecular structure of monovalent metal cation complexes of monensin, J. Mol. Biol., 1970, 49, 533-546.10.1016/0022-2836(70)90279-2Search in Google Scholar

[12] Lutz W.K., Winkler F.K., Dunitz J.D., Crystal structure of the antibiotic monensin. Smililarities and differences betwenn free acid and metal complex, Helv. Chim. Acta, 1971, 54, 1103-1107.10.1002/hlca.19710540419Search in Google Scholar PubMed

[13] Duax W.L., Smith G.D., Strong P.D., Complexation of metal ions by monensin. Crystal and molecular structure of hydrated and anhydrous crysla forms of sodium monensin, JACS, 1980, 102, 6725-6729.10.1021/ja00542a010Search in Google Scholar

[14] Walba D.M., Hermsmeier M., Haltiwanger R.C., Noordik J.H., Crystal structures of Monensin B lithium and silver salts, J. Org. Chem., 1986, 51, 245-247.10.1021/jo00352a023Search in Google Scholar

[15] Ward D.R., Wei K.T., Hoogerheide J.G., Popov A.I., The crystal and molecular structure of the sodium bromide complex of monensin, C36H62O11.Na+Br, Acta Cryst., 1978, B34, 110–115.10.1107/S056774087800240XSearch in Google Scholar

[16] Barrans P.Y., Alleaume M., Jeminet G., Complexe de sodium de l’ionophore monensine B monohydraté, Acta Crystallogr., 1982, B38, 1144-1149.10.1107/S0567740882005172Search in Google Scholar

[17] Huczynski A., Ratajczak-Sitarz M., Katrusiak A., Brzezinski B, Molecular structure of the 1:1 inclusion complex of monensin A sodium salt with acetonitrile, J. Mol. Struct., 2007, 832, 84-89.10.1016/j.molstruc.2006.07.043Search in Google Scholar

[18] Yildirim S.O., McKee V., Khardli F.Z., Mimouni M., Hadda T.B., Rubidium(I) monensinate dehydrate, Acta Cryst., 2007, E 64, m154–m155.10.1107/S1600536807065221Search in Google Scholar PubMed PubMed Central

[19] Huczynski A., Ratajczak-Sitarz M., KatrusiakA., Brzezinski B., Molecular structure of rubidium six-coordinated dihydrate complex with monensin A, J. Mol. Struct., 2008, 888, 224-229.10.1016/j.molstruc.2007.12.005Search in Google Scholar

[20] Dorkov P., Pantcheva I.N., Sheldrick W.S., Mayer-Figge H., Petrova R., Mitewa M., Synthesis, structure and antimicrobial activity of manganese(II) and cobalt(II) Complexes of the polyether ionophore antibiotic sodium monensin A, J. Inorg. Biochem. 2008, 102, 26-32.10.1016/j.jinorgbio.2007.06.033Search in Google Scholar PubMed

[21] Pantcheva I.N., Mitewa M., Sheldrick W.S., Oppel I.M., Zhorova R., Dorkov P., First divalent metal complexes of the polyether ionophore Monensin A: X-ray structures of [Co(Mon)2(H2O)2] and [Mn(Mon)2(H2O)2] and their properties, Curr. Drug Techn., 2008, 5, 154-161.10.2174/157016308784746247Search in Google Scholar PubMed

[22] Pantcheva I.N., Dorkov P., Atanasov V., Mitewa M., Shivachev B.L., Nikolova R.P. et al., Crystal structure and properties of the copper(II) complex of sodium monensin A, J. Inorg. Biochem., 2009, 103, 1419-1424.10.1016/j.jinorgbio.2009.08.007Search in Google Scholar

[23] Pantcheva I.N., Zhorova R., Mitewa M., Simova S., Mayer-Figge H,; Sheldrick W.S., First solid state alkaline-earth complexes of monensic A acid: X-ray crystal structure of [M(Mon)2(H2O)2] (M = Mg, Ca), spectral properties and cytotoxicity against Gram-positive bacteria, BioMetals, 2010, 23, 59-70.10.1007/s10534-009-9269-5Search in Google Scholar

[24] Pantcheva I.N., Ivanova J., Zhorova R., Mitewa M., Simova S., Mayer-Figge H. et al., Nickel(II) and zinc(II) dimonensinates: crystal structure, spectral properties and bactericidal activity, Inorg. Chim. Acta, 2010, 363, 1879-1886.10.1016/j.ica.2010.02.009Search in Google Scholar

[25] Ivanova J., Pantcheva I.N., Mitewa M., SimovaS., Mayer-Figge H., Sheldrick W.S., Crystal structures and spectral properties of new Cd(II) and Hg(II) complexes of monensic acid with different coordination modes of the ligand, Centr. Eur. J. Chem., 2010, 8, 852-860.10.2478/s11532-010-0067-2Search in Google Scholar

[26] Ivanova J., Pantcheva I.N., Mitewa M., Simova S., Tanabe M., Osakada K., Cd(II) and Pb(II) complexes of the polyether ionophorous antibiotic salinomycin, Chem. Centr. J., 2011, 5, 52.10.1186/1752-153X-5-52Search in Google Scholar

[27] Ivanova J., Pantcheva I.N., Zhorova R., Momekov G., Simova S., Stoyanova R., et al., Synthesis, Spectral properties, antibacterial and antitumor activity of aalinomycin complexes with the transition metal ions Co(II), Ni(II), Cu(II) and Zn(II), J. Chem. Chem. Eng. David Publ., 2012, 6, 551-562.Search in Google Scholar

[28] Alexandrova R.I., Zhivkova T., Alexandrov M., Miloshev G., Georgieva M., Pantcheva I.N., et al., Cytostatic and cytotoxic properties of monensic acid and its biometal(II) complexes against human tumor / non-tumor cell lines, Cent. Eur. J. Chem., 2012, 10, 1464-1474.10.2478/s11532-012-0071-9Search in Google Scholar

[29] Pantcheva I.N., Alexandrova R.I., Zhivkova T., Mitewa M.Io., In vitro activity of biometal(II) complexes of monensin against virus-induced transplantable animal tumors, Biotechn. & Biotechn. Equipmn., 2013, 27, 3703-3708.10.5504/BBEQ.2012.0088Search in Google Scholar

[30] Zhorova R., Marina M., Radeva A., Mitewa M., Pantcheva I., Cytotoxicity of monensic acid and its biometal(II) complexes against anaerobic bacterial strain Clostridium perfringens spp., Biotechnol. Biotechnol. Eq., 2013, 27, 4308-4310.10.5504/BBEQ.2013.0093Search in Google Scholar

[31] Andrews J. M., Determination of minimum inhibitory concentrations, J. Antimicrob. Ther., 2001, 48, 5-16.10.1093/jac/48.suppl_1.5Search in Google Scholar

[32] Mosmann T., Rapid colorimetric assay for cellular growth and survival: application to proliferation and cytotoxicity assays, J. Immunol. Meth., 1983, 65, 55-63.10.1016/0022-1759(83)90303-4Search in Google Scholar

[33] Borenfreund E., Puerner J.A., Toxicity determined in vitro by morphological alterations and neutral red absorption, Toxicol. Lett., 1985, 24, 119-124.10.1016/0378-4274(85)90046-3Search in Google Scholar

[34] Saotome K., Morita H., Umeda M., Cytotoxicity test with simplified crystal violet staining method using microtitre plates and its application to injection drugs, Toxicol. In Vitro, 1989, 3, 317-321.10.1016/0887-2333(89)90039-8Search in Google Scholar

[35] Pantcheva I., Dimitrova R., Nedzhib A., Dorkov P., Stoyanova R., Zhecheva E., Coordination compounds of polyether ionophore monensin with gadolinium(III) ions, In: Balabanova E., Mileva, E. (Eds.), Nanoscience & Nanotechnology: Nanostructured materials, applications and innovation transfer, 19th issue, BAS Press, 2019.Search in Google Scholar

[36] Nakamoto K. (Ed.), Infrared and Raman Spectroscopy of Inorganic and Coordination Compounds, 5th Ed.,Wiley, Toronto, 1997.Search in Google Scholar

[37] Marmé F., Schneeweiss A., Targeted Therapies in Triple-Negative Breast Cancer, Breast Care (Basel), 2015, 10, 159-166.10.1159/000433622Search in Google Scholar PubMed PubMed Central

[38] Vidula N., Bardia A., Targeted therapy for metastatic triple negative breast cancer: The next frontier in precision oncology, Oncotarget., 2017, 8, 106167-106168.10.18632/oncotarget.22580Search in Google Scholar PubMed PubMed Central

[39] Roskoski R. Jr., Src protein-tyrosine kinase structure and regulation, Biochem Biophys Res Commun., 2004, 324, 1155-1164.10.1016/j.bbrc.2004.09.171Search in Google Scholar PubMed

[40] Martin G.S., The road to Src. Oncogene, 2004, 23, 7910-7917.10.1038/sj.onc.1208077Search in Google Scholar PubMed

[41] Park W.H., Kim E.S., Jung C.W., Kim B.K., Lee Y.Y., Monensin-mediated growth inhibition of SNU-C1 colon cancer cells via cell cycle arrest and apoptosis, Intern. J. Oncol., 2003, 22, 377-382.10.3892/ijo.22.2.377Search in Google Scholar

[42] Park W.H., Jung C.W., Park J.O., Kim K., Kim, S.K., Im Y.H., et al. Monensin inhibits the growth of renal cell carcinoma cells via cell cycle arrest or apoptosis, Intern. J. Oncol., 2003, 22, 855-860.10.3892/ijo.22.4.855Search in Google Scholar

[43] Park W.H., Kim E.S., Kim B.K., Lee Y.Y., Monensin-mediated growth inhibition in NCI-H929 myeloma cells via cell cycle arrest and apoptosis, Intern. J. Oncology, 2003, 23, 197-204.10.3892/ijo.23.1.197Search in Google Scholar

[44] Souza A.C., Machado F.S., Celes M.R.N., Faria G., Rosha B.A., Silva J.S., et al., Mitochondrial damage as an early event of monensin‐induced cell Injury in cultured fibroblasts L929, J. Vet. Med. A - Physiol. Pathol. Clin. Med., 2005, 52, 230-237.10.1111/j.1439-0442.2005.00728.xSearch in Google Scholar PubMed

Received: 2019-01-20
Accepted: 2019-09-29
Published Online: 2019-12-31

© 2019 I. Pantcheva et al., published by De Gruyter

This work is licensed under the Creative Commons Attribution 4.0 Public License.

Articles in the same Issue

  1. Regular Articles
  2. Research on correlation of compositions with oestrogenic activity of Cistanche based on LC/Q-TOF-MS/MS technology
  3. Efficacy of Pyrus elaeagnifolia subsp. elaeagnifolia in acetic acid–induced colitis model
  4. Anti-inflammatory and antinociceptive features of Bryonia alba L.: As a possible alternative in treating rheumatism
  5. High efficiency liposome fusion induced by reducing undesired membrane peptides interaction
  6. Prediction of the Blood-Brain Barrier Permeability Using RP-18 Thin Layer Chromatography
  7. Phytic Acid Extracted from Rice Bran as a Growth Promoter for Euglena gracilis
  8. Development of a validated spectrofluorimetric method for assay of sotalol hydrochloride in tablets and human plasma: application for stability-indicating studies
  9. Topological Indices of Hyaluronic Acid-Paclitaxel Conjugates’ Molecular Structure in Cancer Treatment
  10. Thermodynamic properties of the bubble growth process in a pool boiling of water-ethanol mixture two-component system
  11. Critical Roles of the PI3K-Akt-mTOR Signaling Pathway in Apoptosis and Autophagy of Astrocytes Induced by Methamphetamine
  12. Characteristics of Stable Hydrogen and Oxygen Isotopes of Soil Moisture under Different Land Use in Dry Hot Valley of Yuanmou
  13. Specific, highly sensitive and simple spectrofluorimetric method for quantification of daclatasvir in HCV human plasma patients and in tablets dosage form
  14. Chromium-modified cobalt molybdenum nitrides as catalysts for ammonia synthesis
  15. Langerhans cell-like dendritic cells treated with ginsenoside Rh2 regulate the differentiation of Th1 and Th2 cells in vivo
  16. Identification of Powdery Mildew Blumeria graminis f. sp. tritici Resistance Genes in Selected Wheat Varieties and Development of Multiplex PCR
  17. Computational Analysis of new Degree-based descriptors of oxide networks
  18. The Use Of Chemical Composition And Additives To Classify Petrol And Diesel Using Gas Chromatography–Mass Spectrometry And Chemometric Analysis: A Uk Study
  19. Minimal Energy Tree with 4 Branched Vertices
  20. Jatropha seed oil derived poly(esteramide-urethane)/ fumed silica nanocomposite coatings for corrosion protection
  21. Calculating topological indices of certain OTIS interconnection networks
  22. Energy storage analysis of R125 in UIO-66 and MOF-5 nanoparticles: A molecular simulation study
  23. Velvet Antler compounds targeting major cell signaling pathways in osteosarcoma - a new insight into mediating the process of invasion and metastasis in OS
  24. Effects of Azadirachta Indica Leaf Extract, Capping Agents, on the Synthesis of Pure And Cu Doped ZnO-Nanoparticles: A Green Approach and Microbial Activity
  25. Aqueous Micro-hydration of Na+(H2O)n=1-7 Clusters: DFT Study
  26. A proposed image-based detection of methamidophos pesticide using peroxyoxalate chemiluminescence system
  27. Phytochemical screening and estrogenic activity of total glycosides of Cistanche deserticola
  28. Biological evaluation of a series of benzothiazole derivatives as mosquitocidal agents
  29. Chemical pretreatments of Trapa bispinosa's peel (TBP) biosorbent to enhance adsorption capacity for Pb(ll)
  30. Dynamic Changes in MMP1 and TIMP1 in the Antifibrotic Process of Dahuang Zhechong Pill in Rats with Liver Fibrosis
  31. The Optimization and Production of Ginkgolide B Lipid Microemulsion
  32. Photodynamic Therapy Enhanced the Antitumor Effects of Berberine on HeLa Cells
  33. Chiral and Achiral Enantiomeric Separation of (±)-Alprenolol
  34. Correlation of Water Fluoride with Body Fluids, Dental Fluorosis and FT4, FT3 –TSH Disruption among Children in an Endemic Fluorosis area in Pakistan
  35. A one-step incubation ELISA kit for rapid determination of dibutyl phthalate in water, beverage and liquor
  36. Free Radical Scavenging Activity of Essential Oil of Eugenia caryophylata from Amboina Island and Derivatives of Eugenol
  37. Effects of Blue and Red Light On Growth And Nitrate Metabolism In Pakchoi
  38. miRNA-199a-5p functions as a tumor suppressor in prolactinomas
  39. Solar photodegradation of carbamazepine from aqueous solutions using a compound parabolic concentrator equipped with a sun tracking system
  40. Influence of sub-inhibitory concentration of selected plant essential oils on the physical and biochemical properties of Pseudomonas orientalis
  41. Preparation and spectroscopic studies of Fe(II), Ru(II), Pd(II) and Zn(II) complexes of Schiff base containing terephthalaldehyde and their transfer hydrogenation and Suzuki-Miyaura coupling reaction
  42. Complex formation in a liquid-liquid extraction-chromogenic system for vanadium(IV)
  43. Synthesis, characterization (IR, 1H, 13C & 31P NMR), fungicidal, herbicidal and molecular docking evaluation of steroid phosphorus compounds
  44. Analysis and Biological Evaluation of Arisaema Amuremse Maxim Essential Oil
  45. A preliminary assessment of potential ecological risk and soil contamination by heavy metals around a cement factory, western Saudi Arabia
  46. Anti- inflammatory effect of Prunus tomentosa Thunb total flavones in LPS-induced RAW264.7 cells
  47. Collaborative Influence of Elevated CO2 Concentration and High Temperature on Potato Biomass Accumulation and Characteristics
  48. Methods of extraction, physicochemical properties of alginates and their applications in biomedical field – a review
  49. Characteristics of liposomes derived from egg yolk
  50. Preparation of ternary ZnO/Ag/cellulose and its enhanced photocatalytic degradation property on phenol and benzene in VOCs
  51. Influence of Human Serum Albumin Glycation on the Binding Affinities for Natural Flavonoids
  52. Synthesis and antioxidant activity of 2-methylthio-pyrido[3,2-e][1,2,4] triazolo[1,5-a]pyrimidines
  53. Comparative study on the antioxidant activities of ten common flower teas from China
  54. Molecular Properties of Symmetrical Networks Using Topological Polynomials
  55. Synthesis of Co3O4 Nano Aggregates by Co-precipitation Method and its Catalytic and Fuel Additive Applications
  56. Phytochemical analysis, Antioxidant and Antiprotoscolices potential of ethanol extracts of selected plants species against Echinococcus granulosus: In-vitro study
  57. Silver nanoparticles enhanced fluorescence for sensitive determination of fluoroquinolones in water solutions
  58. Simultaneous Quantification of the New Psychoactive Substances 3-FMC, 3-FPM, 4-CEC, and 4-BMC in Human Blood using GC-MS
  59. Biodiesel Production by Lipids From Indonesian strain of Microalgae Chlorella vulgaris
  60. Miscibility studies of polystyrene/polyvinyl chloride blend in presence of organoclay
  61. Antibacterial Activities of Transition Metal complexes of Mesocyclic Amidine 1,4-diazacycloheptane (DACH)
  62. Novel 1,8-Naphthyridine Derivatives: Design, Synthesis and in vitro screening of their cytotoxic activity against MCF7 cell line
  63. Investigation of Stress Corrosion Cracking Behaviour of Mg-Al-Zn Alloys in Different pH Environments by SSRT Method
  64. Various Combinations of Flame Retardants for Poly (vinyl chloride)
  65. Phenolic compounds and biological activities of rye (Secale cereale L.) grains
  66. Oxidative degradation of gentamicin present in water by an electro-Fenton process and biodegradability improvement
  67. Optimizing Suitable Conditions for the Removal of Ammonium Nitrogen by a Microbe Isolated from Chicken Manure
  68. Anti-inflammatory, antipyretic, analgesic, and antioxidant activities of Haloxylon salicornicum aqueous fraction
  69. The anti-corrosion behaviour of Satureja montana L. extract on iron in NaCl solution
  70. Interleukin-4, hemopexin, and lipoprotein-associated phospholipase A2 are significantly increased in patients with unstable carotid plaque
  71. A comparative study of the crystal structures of 2-(4-(2-(4-(3-chlorophenyl)pipera -zinyl)ethyl) benzyl)isoindoline-1,3-dione by synchrotron radiation X-ray powder diffraction and single-crystal X-ray diffraction
  72. Conceptual DFT as a Novel Chemoinformatics Tool for Studying the Chemical Reactivity Properties of the Amatoxin Family of Fungal Peptides
  73. Occurrence of Aflatoxin M1 in Milk-based Mithae samples from Pakistan
  74. Kinetics of Iron Removal From Ti-Extraction Blast Furnace Slag by Chlorination Calcination
  75. Increasing the activity of DNAzyme based on the telomeric sequence: 2’-OMe-RNA and LNA modifications
  76. Exploring the optoelectronic properties of a chromene-appended pyrimidone derivative for photovoltaic applications
  77. Effect of He Qi San on DNA Methylation in Type 2 Diabetes Mellitus Patients with Phlegm-blood Stasis Syndrome
  78. Cyclodextrin potentiometric sensors based on selective recognition sites for procainamide: Comparative and theoretical study
  79. Greener synthesis of dimethyl carbonate from carbon dioxide and methanol using a tunable ionic liquid catalyst
  80. Nonisothermal Cold Crystallization Kinetics of Poly(lactic acid)/Bacterial Poly(hydroxyoctanoate) (PHO)/Talc
  81. Enhanced adsorption of sulfonamide antibiotics in water by modified biochar derived from bagasse
  82. Study on the Mechanism of Shugan Xiaozhi Fang on Cells with Non-alcoholic Fatty Liver Disease
  83. Comparative Effects of Salt and Alkali Stress on Antioxidant System in Cotton (Gossypium Hirsutum L.) Leaves
  84. Optimization of chromatographic systems for analysis of selected psychotropic drugs and their metabolites in serum and saliva by HPLC in order to monitor therapeutic drugs
  85. Electrocatalytic Properties of Ni-Doped BaFe12O19 for Oxygen Evolution in Alkaline Solution
  86. Study on the removal of high contents of ammonium from piggery wastewater by clinoptilolite and the corresponding mechanisms
  87. Phytochemistry and toxicological assessment of Bryonia dioica roots used in north-African alternative medicine
  88. The essential oil composition of selected Hemerocallis cultivars and their biological activity
  89. Mechanical Properties of Carbon Fiber Reinforced Nanocrystalline Nickel Composite Electroforming Deposit
  90. Anti-c-myc efficacy block EGFL7 induced prolactinoma tumorigenesis
  91. Topical Issue on Applications of Mathematics in Chemistry
  92. Zagreb Connection Number Index of Nanotubes and Regular Hexagonal Lattice
  93. The Sanskruti index of trees and unicyclic graphs
  94. Valency-based molecular descriptors of Bakelite network BNmn
  95. Computing Topological Indices for Para-Line Graphs of Anthracene
  96. Zagreb Polynomials and redefined Zagreb indices of Dendrimers and Polyomino Chains
  97. Topological Descriptor of 2-Dimensional Silicon Carbons and Their Applications
  98. Topological invariants for the line graphs of some classes of graphs
  99. Words for maximal Subgroups of Fi24
  100. Generators of Maximal Subgroups of Harada-Norton and some Linear Groups
  101. Special Issue on POKOCHA 2018
  102. Influence of Production Parameters on the Content of Polyphenolic Compounds in Extruded Porridge Enriched with Chokeberry Fruit (Aronia melanocarpa (Michx.) Elliott)
  103. Effects of Supercritical Carbon Dioxide Extraction (SC-CO2) on the content of tiliroside in the extracts from Tilia L. flowers
  104. Impact of xanthan gum addition on phenolic acids composition and selected properties of new gluten-free maize-field bean pasta
  105. Impact of storage temperature and time on Moldavian dragonhead oil – spectroscopic and chemometric analysis
  106. The effect of selected substances on the stability of standard solutions in voltammetric analysis of ascorbic acid in fruit juices
  107. Determination of the content of Pb, Cd, Cu, Zn in dairy products from various regions of Poland
  108. Special Issue on IC3PE 2018 Conference
  109. The Photocatalytic Activity of Zns-TiO2 on a Carbon Fiber Prepared by Chemical Bath Deposition
  110. N-octyl chitosan derivatives as amphiphilic carrier agents for herbicide formulations
  111. Kinetics and Mechanistic Study of Hydrolysis of Adenosine Monophosphate Disodium Salt (AMPNa2) in Acidic and Alkaline Media
  112. Antimalarial Activity of Andrographis Paniculata Ness‘s N-hexane Extract and Its Major Compounds
  113. Special Issue on ABB2018 Conference
  114. Special Issue on ICCESEN 2017
  115. Theoretical Diagnostics of Second and Third-order Hyperpolarizabilities of Several Acid Derivatives
  116. Determination of Gamma Rays Efficiency Against Rhizoctonia solani in Potatoes
  117. Studies On Compatibilization Of Recycled Polyethylene/Thermoplastic Starch Blends By Using Different Compatibilizer
  118. Liquid−Liquid Extraction of Linalool from Methyl Eugenol with 1-Ethyl-3-methylimidazolium Hydrogen Sulfate [EMIM][HSO4] Ionic Liquid
  119. Synthesis of Graphene Oxide Through Ultrasonic Assisted Electrochemical Exfoliation
  120. Special Issue on ISCMP 2018
  121. Synthesis and antiproliferative evaluation of some 1,4-naphthoquinone derivatives against human cervical cancer cells
  122. The influence of the grafted aryl groups on the solvation properties of the graphyne and graphdiyne - a MD study
  123. Electrochemical modification of platinum and glassy carbon surfaces with pyridine layers and their use as complexing agents for copper (II) ions
  124. Effect of Electrospinning Process on Total Antioxidant Activity of Electrospun Nanofibers Containing Grape Seed Extract
  125. Effect Of Thermal Treatment Of Trepel At Temperature Range 800-1200˚C
  126. Topical Issue on Agriculture
  127. The effect of Cladophora glomerata exudates on the amino acid composition of Cladophora fracta and Rhizoclonium sp.
  128. Influence of the Static Magnetic Field and Algal Extract on the Germination of Soybean Seeds
  129. The use of UV-induced fluorescence for the assessment of homogeneity of granular mixtures
  130. The use of microorganisms as bio-fertilizers in the cultivation of white lupine
  131. Lyophilized apples on flax oil and ethyl esters of flax oil - stability and antioxidant evaluation
  132. Production of phosphorus biofertilizer based on the renewable materials in large laboratory scale
  133. Human health risk assessment of potential toxic elements in paddy soil and rice (Oryza sativa) from Ugbawka fields, Enugu, Nigeria
  134. Recovery of phosphates(V) from wastewaters of different chemical composition
  135. Special Issue on the 4th Green Chemistry 2018
  136. Dead zone for hydrogenation of propylene reaction carried out on commercial catalyst pellets
  137. Improved thermally stable oligoetherols from 6-aminouracil, ethylene carbonate and boric acid
  138. The role of a chemical loop in removal of hazardous contaminants from coke oven wastewater during its treatment
  139. Combating paraben pollution in surface waters with a variety of photocatalyzed systems: Looking for the most efficient technology
  140. Special Issue on Chemistry Today for Tomorrow 2019
  141. Applying Discriminant and Cluster Analyses to Separate Allergenic from Non-allergenic Proteins
  142. Chemometric Expertise Of Clinical Monitoring Data Of Prolactinoma Patients
  143. Chemomertic Risk Assessment of Soil Pollution
  144. New composite sorbent for speciation analysis of soluble chromium in textiles
  145. Photocatalytic activity of NiFe2O4 and Zn0.5Ni0.5Fe2O4 modified by Eu(III) and Tb(III) for decomposition of Malachite Green
  146. Photophysical and antibacterial activity of light-activated quaternary eosin Y
  147. Spectral properties and biological activity of La(III) and Nd(III) Monensinates
  148. Special Issue on Monitoring, Risk Assessment and Sustainable Management for the Exposure to Environmental Toxins
  149. Soil organic carbon mineralization in relation to microbial dynamics in subtropical red soils dominated by differently sized aggregates
  150. A potential reusable fluorescent aptasensor based on magnetic nanoparticles for ochratoxin A analysis
  151. Special Issue on 13th JCC 2018
  152. Fluorescence study of 5-nitroisatin Schiff base immobilized on SBA-15 for sensing Fe3+
  153. Thermal and Morphology Properties of Cellulose Nanofiber from TEMPO-oxidized Lower part of Empty Fruit Bunches (LEFB)
  154. Encapsulation of Vitamin C in Sesame Liposomes: Computational and Experimental Studies
  155. A comparative study of the utilization of synthetic foaming agent and aluminum powder as pore-forming agents in lightweight geopolymer synthesis
  156. Synthesis of high surface area mesoporous silica SBA-15 by adjusting hydrothermal treatment time and the amount of polyvinyl alcohol
  157. Review of large-pore mesostructured cellular foam (MCF) silica and its applications
  158. Ion Exchange of Benzoate in Ni-Al-Benzoate Layered Double Hydroxide by Amoxicillin
  159. Synthesis And Characterization Of CoMo/Mordenite Catalyst For Hydrotreatment Of Lignin Compound Models
  160. Production of Biodiesel from Nyamplung (Calophyllum inophyllum L.) using Microwave with CaO Catalyst from Eggshell Waste: Optimization of Transesterification Process Parameters
  161. The Study of the Optical Properties of C60 Fullerene in Different Organic Solvents
  162. Composite Material Consisting of HKUST-1 and Indonesian Activated Natural Zeolite and its Application in CO2 Capture
  163. Topical Issue on Environmental Chemistry
  164. Ionic liquids modified cobalt/ZSM-5 as a highly efficient catalyst for enhancing the selectivity towards KA oil in the aerobic oxidation of cyclohexane
  165. Application of Thermal Resistant Gemini Surfactants in Highly Thixotropic Water-in-oil Drilling Fluid System
  166. Screening Study on Rheological Behavior and Phase Transition Point of Polymer-containing Fluids produced under the Oil Freezing Point Temperature
  167. The Chemical Softening Effect and Mechanism of Low Rank Coal Soaked in Alkaline Solution
  168. The Influence Of NO/O2 On The NOx Storage Properties Over A Pt-Ba-Ce/γ-Al2O3 Catalyst
  169. Special Issue on the International conference CosCI 2018
  170. Design of SiO2/TiO2 that Synergistically Increases The Hydrophobicity of Methyltrimethoxysilane Coated Glass
  171. Antidiabetes and Antioxidant agents from Clausena excavata root as medicinal plant of Myanmar
  172. Development of a Gold Immunochromatographic Assay Method Using Candida Biofilm Antigen as a Bioreceptor for Candidiasis in Rats
  173. Special Issue on Applied Biochemistry and Biotechnology 2019
  174. Adsorption of copper ions on Magnolia officinalis residues after solid-phase fermentation with Phanerochaete chrysosporium
  175. Erratum
  176. Erratum to: Sand Dune Characterization For Preparing Metallurgical Grade Silicon
Downloaded on 20.12.2025 from https://www.degruyterbrill.com/document/doi/10.1515/chem-2019-0134/html
Scroll to top button