Home Physical Sciences Kinetics and Mechanistic Study of Hydrolysis of Adenosine Monophosphate Disodium Salt (AMPNa2) in Acidic and Alkaline Media
Article Open Access

Kinetics and Mechanistic Study of Hydrolysis of Adenosine Monophosphate Disodium Salt (AMPNa2) in Acidic and Alkaline Media

  • Yoke-Leng Sim EMAIL logo and Beljit Kaur
Published/Copyright: August 24, 2019

Abstract

Phosphate ester hydrolysis is essential in signal transduction, energy storage and production, information storage and DNA repair. In this investigation, hydrolysis of adenosine monophosphate disodium salt (AMPNa2) was carried out in acidic, neutral and alkaline conditions of pH ranging between 0.30-12.71 at 60°C. The reaction was monitored spectrophotometrically. The rate ranged between (1.20 ± 0.10) × 10-7 s-1 to (4.44 ± 0.05) × 10-6 s-1 at [NaOH] from 0.0008 M to 1.00M recorded a second-order base-catalyzed rate constant, kOH as 4.32 × 10-6 M-1 s-1. In acidic conditions, the rate ranged between (1.32 ± 0.06) × 10-7 s-1 to (1.67 ± 0.10) × 10-6 s-1 at [HCl] from 0.01 M to 1.00 M. Second-order acid-catalyzed rate constant, kH obtained was 1.62 × 10-6 M-1 s-1. Rate of reaction for neutral region, k0 was obtained from graphical method to be 10-7 s-1. Mechanisms were proposed to involve P-O bond cleavage in basic medium while competition between P-O bond and N-glycosidic cleavage was observed in acidic medium. In conclusion, this study has provided comprehensive information on the kinetic parameters and mechanism of cleavage of AMPNa2 which mimicked natural AMP cleavage and the action of enzymes that facilitate its cleavage.

1 Introduction

Phosphate esters are the most common chemical functional group in our body as it involves many processes in the human body. Among some of the important processes are the production of cellular energy which involves ATP and phosphenol pyruvate, essential part of nucleic acids, as an important component of cell membrane, and most importantly storage of genetic information [1]. It is often very hard for scientists to study the mechanism of phosphate esters such as monoesters, diesters or triesters, as the cleavage rates are extremely slow in neutral conditions and also due to its complicated mechanism [1]. These phosphate esters are highly stable as they have an estimated half-life of 3 × 109 years at pH 6.8 and 25°C and only selected nucleases and phosphatases can accelerate the cleavage rate by factors up to 1016 and 1021 [2].

To understand their cleavage activity, non-natural substrates have often been employed as mimics of phosphate ester linkages [2]. Among other non-natural mimics of phosphate ester linkages include bis (4-nitrophenyl) phosphate (BNPP), 2-hydroxypropyl-4-nitrophenyl phosphate and so on [2,3]. In this study, adenosine monophosphate disodium salt (AMPNa2) was chosen as a model substrate to mimic the phosphate ester bond in phosphate monoesters. There is extensive research in the recent years on adenosine and its corresponding nucleotides as they are biomolecules that are involved in energy production and substrates for various cellular biochemical processes [4]. Adenosine Monophosphate (AMP) is also known as 5’-adenylic acid. AMP is a nucleotide and performs the role of a monomer in RNA. The structures of AMP and adenosine are shown in Figure 1 and Figure 2 respectively.

Figure 1 Structure of adenosine monophosphate(AMP).
Figure 1

Structure of adenosine monophosphate(AMP).

Figure 2 Structure of adenosine.
Figure 2

Structure of adenosine.

Adenosine monophosphate is present in the human body and it is broken down to adenosine by Alkaline Phosphatase and ecto-5’-AMPases and endo-5’-AMPases. Natural adenosine monophosphate can also be hydrolysed into adenine and ribose 5-phosphate by adenosine monophosphate nucleosidase [5]. Carrying out studies on the adenosine monophosphate disodium salt provides useful knowledge on how this enzyme carries out its function in terms of mechanism. Kinetic studies on the adenosine monophosphate disodium salt using acid-base catalysis also allows the confirmation of the principles used by these enzymes in breaking down adenosine monophosphate and therefore allowing the development of synthetic enzymes in the future to mimic the actions of these enzymes. The enzymatic cleavage of phosphate esters always employs general acid-base catalysis or metal-ion assisted catalysis where protons are accepted and donated by enzyme functional groups [2,6]. General acid-base catalysis stabilizes unfavorable changes that develop in the structure during the transition state, activates weak nucleophiles and stabilizes poor leaving groups [6].

In light of this, it was decided to investigate the hydrolysis of adenosine monophosphate disodium salt (AMPNa2) (Figure 3) in alkaline and acidic conditions to study the relationship between pH and the bond cleavage reaction of the adenosine monophosphate disodium salt. This study is expected to provide insights on the effect of pH on the kinetics and the mechanism of the phosphate monoester bond cleavage.

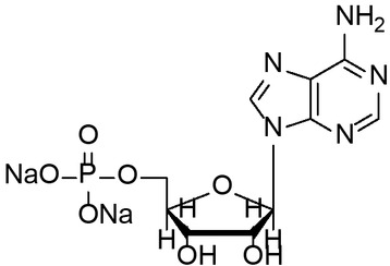
Figure 3 Structure of AMPNa2.
Figure 3

Structure of AMPNa2.

2 Materials and Methods

2.1 Part 1: Chemicals

Adenosine 5’-monophosphate disodium salt of ≥ 99.0% was purchased from Sigma Aldrich. NaCl and NaOH of the highest available purity were obtained from QRëc. TRIS and glycine of highest available purity were obtained from Fisher Scientific and R&M Chemicals, respectively. NaCl served to control the ionic strength of the solutions. NaOH, HCl, TRIS, and glycine were used to vary the pH of the solutions. Infrared spectrum of AMPNa2 was obtained to ensure the purity of AMPNa2 before the investigation as well as to identify the structure of hydrolytic product during the kinetic studies.

2.2 Part 2: Kinetic Study of Nucleotide Analogue, AMPNa2

0.01M AMPNa2 was prepared in distilled water for the kinetic studies. Sample solutions of 20 mL each consisting of NaCl (to maintain ionic strength) under different buffer conditions were prepared and thermostated at 60°C prior to kinetic runs. A small amount of AMPNa2 (0.0001M) was injected into the reaction mixture and it was immediately measured by UV-Vis Spectrophotometer. Subsequent samplings were taken until the reaction went into completion of more than eight half-lives. The pH value of each sample solution was taken before and after the reaction completion with an EL20-Mettler Toledo pH meter. In the kinetic runs in alkaline region, the ionic strength was maintained at 0.2M for [NaOH] less than 0.2M, while for [NaOH] more than 0.2M, ionic strength was increased to 1.0M. The rate of reaction was calculated according to Equation 1 or Equation 2 depending on the increase or decrease in absorbance against time for all the sample solutions. In Equation 1 or Equation 2, Eapp is apparent molar extinction coefficient of the reaction mixture, A is absorbance at reaction time, t = ∞, A0 is absorbance at reaction time, t = 0, kobs is pseudo-first-order rate constant and [X0] represents the initial concentration of substrate, AMPNa2. Product characterization was carried out by using Fourier Transform Infrared Spectroscopy (Perkin Elmer Spectrum ex1) and Liquid Chromatography Mass Spectrometry.

(1)Aobs=Eapp[X0]exp(kobst)+A
(2)Aobs=EappX01expkobst+A0

Ethical approval: The conducted research is not related to either human or animal use.

3 Results and Discussion

3.1 Part 1: Hydrolysis of AMPNa2 in Alkaline Conditions at 60°C

The hydrolysis of AMPNa2 was carried out in alkaline solutions ranging from pH 9.95-12.71 at 60°C. The reaction was monitored spectrophotometrically at different time intervals until the reaction proceeded for more than 8 half-lives. Figure 4 shows typical absorption spectra of alkaline hydrolysis of AMPNa2 at [NaOH] 1.0 M and 60°C. AMPNa2 in basic solution displayed a maximum absorption peak at 260 nm which is responsible for the absorption of adenosine [7]. A reduction in the absorbance value was observed along the reaction indicating the decrease in the concentration of the reactant with time (Figure 5).

Figure 4 UV-Vis absorption spectra of alkaline hydrolysis of AMPNa2 at [NaOH] 1M at 60°C.
Figure 4

UV-Vis absorption spectra of alkaline hydrolysis of AMPNa2 at [NaOH] 1M at 60°C.

Figure 5 Alkaline hydrolysis of AMPNa2 in the presence of [NaOH] 1.0 M at 60°C. The solid line was drawn through the calculated data points using Equation (1) with kobs = 4.44 × 10-6 s-1, Eapp = 8466 ± 44 M-1 cm-1, and A∞ = 0.294 ± 0.003.
Figure 5

Alkaline hydrolysis of AMPNa2 in the presence of [NaOH] 1.0 M at 60°C. The solid line was drawn through the calculated data points using Equation (1) with kobs = 4.44 × 10-6 s-1, Eapp = 8466 ± 44 M-1 cm-1, and A = 0.294 ± 0.003.

The alkaline hydrolysis of AMPNa2 is following a pseudo-first-order kinetic model. Absorbance change with time was observed and the three parameters: kobs,Eapp and A were calculated using Equation 1 for all the sample solutions covering pH 9.95-12.71. Rate constants of alkaline hydrolysis of AMPNa2 in 60°C were determined where the rate ranged from (1.20 ± 0.10) × 10-7 s-1 to (4.44 ± 0.05) × 10-6 s-1 at [NaOH] from 0.0008 M to 1.0000 M. A table consisting of [NaOH], pH, and all the kinetic parameters (kobs, Eapp, A and Σdi2) of this investigation is provided in SI-1 of Supporting Information.

The pseudo-first-order rate constants, kobs were plotted against [NaOH] as shown in Figure 6. The solid line is drawn though the calculated data points using Equation 3 with the kb and k0 obtained were 4.32 × 10-6 M-1s -1 and 6.30 × 10-8 s-1, respectively. In Equation 3, kobs is the observed pseudo-first-order rate constant of the reaction, kb represents second-order base-catalyzed rate constant and k0 represents uncatalyzed rate constant for the cleavage of P-O bond in AMPNa2.

Figure 6 Pseudo-first-order rate constant, kobsversus [NaOH] for alkaline hydrolysis of 0.0001M AMPNa2 at 60°C. The solid line is drawn through the calculated data points using Equation 3.
Figure 6

Pseudo-first-order rate constant, kobsversus [NaOH] for alkaline hydrolysis of 0.0001M AMPNa2 at 60°C. The solid line is drawn through the calculated data points using Equation 3.

(3)kobs=kbOH+k0

Equation 3 allows estimation on the contribution of specific base catalysis on the P-O bond hydrolysis of AMPNa2 in basic condition. The linear relationship between kobs and [OH-] will also allow us to determine the theoretical rate constants of AMPNa2 hydrolysis due to extremely slow rate of reaction at lower pH. It was observed that the rate constant, kobs increased with the increase of pH under basic conditions. As the pH increases, the concentration of hydroxide ion increases as well. The hydrolysis of AMPNa2 was catalyzed by hydroxide ions, whereby hydroxide ion acts as a nucleophile to attack the phosphorus center. The base-catalyzed hydrolysis of the phosphate ester proceeds through a BP2 reaction, which is a base-catalyzed, phosphoryl-oxygen fission, bimolecular reaction analogous to an SN2 reaction. The attack of hydroxide ion on the phosphorus atom is known as the rate-limiting step of this hydrolysis [8]. As happens in most SN2 reactions, increasing concentration of the nucleophile increases the rate of the reaction [9]. This explains the pH dependency in the hydrolysis of AMPNa2.

Table 1 summarizes the second-order base catalyzed rate constant, kb for diesters and triesters at 25°C for phosphate ester bond cleavage that have been previously reported as a comparison to the kb of AMPNa2 at 60°C and 25oC in the current study. As can be seen in Table 1, the rate of P-O hydrolysis is the slowest for AMPNa2 at 25oC.

Table 1

Second-order base-catalyzed rate constant values of phosphate ester hydrolysis in previous study [10,11] and present study.

Esterkb at 25°C, M-1 s-1
bis-3-(4-carboxyphenyl)-neopentyl phosphate1.00 × 10-6
Trimethylphosphate1.60 × 10-4
Triethylphosphate8.20 × 10-6
Triphenylphosphate2.5 × 10-1
Benzoyl Methyl Phosphate3.4 × 10-1
AMPNa2 (this study)4.32 × 10-6 (60oC)
2.81 × 10-8 (25oC)

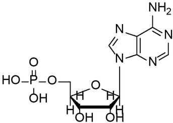
The mechanism of hydrolysis of AMPNa2 in basic conditions is shown in Scheme 1. The hydroxide ion serves as a nucleophile to attack the phosphorus center. This provides an insight into the role of hydroxide ion in catalyzing the reaction and phosphate ester cleavage proceed through specific base catalysis. The role of hydroxide ion as a nucleophile was proposed by previous studies involving p-nitrophenyl phosphate and benzoyl methyl phosphate [12, 13, 14]. The mechanism of AMPNa2 cleavage in the presence of specific base catalyst is proposed to be initiated with a nucleophilic attack on the phosphorus center as depicted in Scheme 1. This in turn results in the cleavage of P-O bond followed by the production of Na2PO4H and deprotonated adenosine. The adenosine undergoes further deprotonation, due to the presence of OH- and Cl- which act as deprotonating agents and forms a deprotonated adenosine product [15,16]. Abstraction of a hydrogen atom from adenosine is favourable as the lone pair electrons of oxygen in the aromatic ring can be delocalized. Hydrogen atoms can also be abstracted from C-H bonds [17].

Scheme 1(a) Proposed mechanism of alkaline-hydrolysis of AMPNa2 under basic condition with OH- acting as a nucleophile [12,18,19].
Scheme 1(a)

Proposed mechanism of alkaline-hydrolysis of AMPNa2 under basic condition with OH- acting as a nucleophile [12,18,19].

Scheme 1(b) Proposed mechanism for the formation of the final product in the concerted BP2 reaction [15, 16, 17].
Scheme 1(b)

Proposed mechanism for the formation of the final product in the concerted BP2 reaction [15, 16, 17].

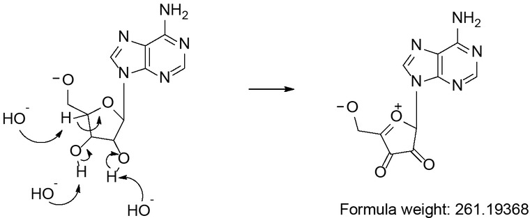
Positive ion LC-MS spectra of the product of hydrolysis was obtained as shown in Figure 7, which helped to verify the proposed mechanism. From the mechanism in Scheme 1, the peaks corresponded to the products were expected to have m/z 141.9588+1 and m/z 261.1937+1. The peaks in the positive-ion LC-MS spectrum (Figure 7) that correspond to these values are m/z = 142.9658 and m/z = 262.9397. The peak with m/z =262 corresponds to adenosine that has gone through hydrogen abstraction in the presence of hydroxide [20,21] as its theoretical m/z is 268.2.

Figure 7 Positive-ion LC-MS spectrum of the final product of alkaline hydrolysis of 0.0001 M AMPNa2 in at 60°C.
Figure 7

Positive-ion LC-MS spectrum of the final product of alkaline hydrolysis of 0.0001 M AMPNa2 in at 60°C.

The hydrolysis of AMPNa2 in 1.0 M [NaOH] produced an insoluble white precipitate which was isolated and analyzed by FTIR in support of the proposed products formation. The IR spectra of AMPNa2, the filtrate and the residue (powder) were obtained and compared as shown in Figure 8. Specific peak assignments of IR spectra given to AMPNa2, the filtrate, as well as the residue from alkaline hydrolysis of AMPNa2 are presented in Table 2. The LCMS spectra of the alkaline hydrolysis products can be obtained in Supporting Information as SI-4

Figure 8 Comparison of FTIR spectra of the substrate, residue and the filtrate for alkaline hydrolysis of 0.0001 M AMPNa2 in the presence of [NaOH] 1.0 M at 60°C.
Figure 8

Comparison of FTIR spectra of the substrate, residue and the filtrate for alkaline hydrolysis of 0.0001 M AMPNa2 in the presence of [NaOH] 1.0 M at 60°C.

Table 2

Peak assignments of IR absorbance spectra for the substrate, residue and the filtrate obtained in alkaline hydrolysis of AMPNa2 at 60°C.

Absorption (cm-1)Assignment
FiltrateResidueAdenosine 5’-Monophosphate disodium salt, AMPNa2
323834563424Hydroxy group [23,24]
163516541649Adenine [23,24]
10161093Phosphate [22]
978Phosphate ester, ribose phosphate skeletal motions [22,23]

As we can see from Table 2, hydroxy, adenine, phosphate and phosphate ester group presence can be confirmed from the alkaline hydrolysis of AMPNa2. In previous studies, where the FTIR spectra of adenosine monophosphate disodium salt was obtained, the presence of phosphate group was justified by the presence of absorption band at 1091 cm-1 [22]. Absorption band at 976 cm-1 corresponds to phosphate ester or the ribose phosphate skeletal motions [22,23]. These absorption bands are similar to the ones obtained for AMPNa2 in this investigation. The FTIR spectra of AMPNa2 obtained in this investigation had absorption bands at 978 cm-1 and 1093 cm-1 representing phosphate ester band and phosphate group band respectively. In the filtrate and the residue, there was no absorption at around 970 cm-1, indicating disappearance of reactant after hydrolysis. This confirms that phosphate ester bond was cleaved producing a phosphate salt (residue) and an adenosine salt (filtrate). The filtrate had absorption bands at 3238 cm-1 and1635 cm-1 representing a hydroxy group and an adenine group respectively, which indicates the presence of adenosine [23,24]. The spectrum of the filtrate was also compared with a literature spectrum of adenosine and similarity was noticed [25]. An absorption band at 1396 cm-1 indicated that N-glycosidic bond was still present in the product [26] to show that N-glycosidic bond cleavage did not take place in the alkaline hydrolysis of AMPNa2.

In a previous investigation of UV-photodissociation of AMP, similar products were obtained whereby phosphate-based fragments were found in high abundance especially PO3-. Marcum and his co-workers proposed a mechanism whereby the phosphate ester bond was broken and producing PO3- and adenosine [19]. A metal complex study aiming to cleave AMP also resulted in the formation of adenosine [18]. Enzymatic hydrolysis of AMP by enzymes such as alkaline phosphatase (AP) also produced the same products as proposed in the mechanism in Scheme 1 [27].

3.2 Part 2: Hydrolysis of AMPNa2 in Acidic Conditions at 60°C

Acidic hydrolysis of AMPNa2 was also carried out at pH ranged between 0.30 to 1.83 with 0.01-1.00 M [HCl]. The UV-Vis absorption spectrum of acidic hydrolysis of AMPNa2 at [HCl] 1.0 M at 60°C as shown in Figure 9 indicated the existence of a transition state in the acidic hydrolysis of AMPNa2. There is a shift of absorption maximum to the right from 259.5 nm to 260.5 nm due to the breakdown of adenosine and the production of adenine [7]. This shift to the right was also demonstrated by Stockbridge [28].

Figure 9 UV-Vis absorption spectra of acidic hydrolysis of AMPNa2 at [HCl] 1M at 60°C.
Figure 9

UV-Vis absorption spectra of acidic hydrolysis of AMPNa2 at [HCl] 1M at 60°C.

The increase in absorbance with time was observed and the three kinetic parameters: kobs,Eapp and A were calculated using Equation 2 for all the sample solutions covering pH 0.30-1.83. The rate constants of hydrolysis of AMPNa2 in acidic medium at 60°C were determined where the rate ranged from (1.32 ± 0.06) 10-7 s-1 to (16.7 ± 1.0) × 10-7 s-1 at [HCl] from 0.01 M to 1.00 M. SI-2 in Supporting Information consists of [HCl], pH, and all the kinetic parameters of this investigation.

The pseudo-first-order rate constants, k obs were plotted against [HCl] as shown in Figure 10. The solid line is drawn though the calculated data points using Equation 4. From Equation 4, the ka and k0 obtained were 1.62 × 10-6 M-1 s -1 and 1.03 × 10-8 s-1 respectively, where, kobs represents pseudo-first-order rate constant of the reaction, ka and k0 are second-order acid catalyzed-rate constant and uncatalyzed rate constant for the cleavage of P-O bond in AMPNa2.

Figure 10 Pseudo-first-order rate constant, kobs versus [HCl] for acidic hydrolysis of 0.0001 M AMPNa2 at 60°C. The solid line is drawn through the calculated data points following Equation 4.
Figure 10

Pseudo-first-order rate constant, kobs versus [HCl] for acidic hydrolysis of 0.0001 M AMPNa2 at 60°C. The solid line is drawn through the calculated data points following Equation 4.

(4)kobs=ka[H+]+k0

It was observed that the rate constant, kobs increased with the decrease of pH under acidic conditions. In specific acid catalysis, the H + ion enhanced the rate of the reaction by providing an alternative mechanism, which was more favourable energetically. A hydronium ion did this by withdrawing electron density from the phosphorus atom that held the adenosine leaving group making the phosphorus atom more susceptible to nucleophilic attack by the chloride ion during the phosphate ester cleavage [29]. The mechanism of hydrolysis of AMPNa2 in acidic conditions is shown in Scheme 2 and Scheme 3 respectively.

Scheme 2 Proposed mechanism of acidic hydrolysis of AMPNa2 under acidic condition with H+ ion acting as a protonating agent [8,30,31].
Scheme 2

Proposed mechanism of acidic hydrolysis of AMPNa2 under acidic condition with H+ ion acting as a protonating agent [8,30,31].

Scheme 3 The mechanism of N-glycosidic bond cleavage of AMPNa2 in acidic conditions at 60°C [32,33].
Scheme 3

The mechanism of N-glycosidic bond cleavage of AMPNa2 in acidic conditions at 60°C [32,33].

AMPNa2 undergoes two different cleavage reactions in acidic medium, a phosphate ester cleavage and followed by N-glycosidic bond cleavage. The phosphate ester cleavage begins with protonation of the oxygen from the leaving group due to high concentration of H + ions in acidic medium. Cl- acts as a nucleophile and attacks the phosphorus center. This results in the cleavage of the phosphate ester bond [29,34,35]. The evidence of the phosphate ester cleavage can be obtained from the comparison of the infrared spectra of AMPNa2 and product of acidic hydrolysis as shown in Figure 11. The LCMS Spectra of AMPNa2 and the acidic hydrolysis products are attached in Supporting Information as SI-5.

Figure 11 Comparison of FTIR spectra of AMPNa2 and product of acidic hydrolysis of 0.0001 M AMPNa2 in the presence of [HCl] 1.0 M at 60°C.
Figure 11

Comparison of FTIR spectra of AMPNa2 and product of acidic hydrolysis of 0.0001 M AMPNa2 in the presence of [HCl] 1.0 M at 60°C.

In the infrared spectrum of AMPNa2, an absorption band at 978 cm-1 represents ribose phosphate skeletal motions and this absorption band is not present in the acidic product [22, 23]. This indicates phosphate ester bond cleavage has occurred in AMPNa2 under acidic conditions. Next, acid-catalyzed depurination of adenosine begins with the attack of H + on N7 of adenine and this leads to the formation of a monoprotonated intermediate due to high concentration of H + under highly acidic conditions. This causes a series of charge redistribution and in turn causes N-glycosidic bond cleavage of the C’1 from the ribose ring and N7 of the adenine ring. This provides an insight into the role of the hydrogen ion in catalyzing the depurination of adenosine as H + protonated the leaving group as depicted in Scheme 4. This resulted in the formation of protonated ribose compound and double protonated adenine (C5H7N5) [32,33]. At highly strong acidic conditions, it is possible that the double protonation of the adenine had accelerated the hydrolysis. This double protonation occurs at N3, where hydrogen ions are abstracted towards nitrogen and results in the formation of a double protonated adenine as shown in Scheme 4 [32]. Positive-ion LC-MS spectrum of the product has been carried out to support the proposed mechanisms in Scheme 3 and Scheme 4, as shown in Figure 12.

Scheme 4 The possible mechanism of anomerization of adenosine at pH 7.
Scheme 4

The possible mechanism of anomerization of adenosine at pH 7.

Figure 12 Positive-ion LC-MS spectrum of the product of acidic hydrolysis of 0.0001 M AMPNa2 in [HCl] 1.0 M at 60°C.
Figure 12

Positive-ion LC-MS spectrum of the product of acidic hydrolysis of 0.0001 M AMPNa2 in [HCl] 1.0 M at 60°C.

The m/z = 136.0622 and m/z = 138.9065 values both correspond to protonated ribose (m/z = 135.1379 +1) and protonated adenine (m/z = 137.1426+1) respectively. Theoretically, adenine corresponds to m/z =136.1 and according to a previous study, protonated adenine corresponds to a peak with m/z =137 [20]. Since in the present study, due to high concentration of H+ ions, adenine gets double protonated, therefore the peak can be expected around m/z =138.1426 [36]. The appearance of adenine in the LC-MS spectrum indicates N-glycosidic bond cleavage. This proposal is in agreement with the UV-Vis absorption spectrum of hydrolysis of AMPNa2 throughout the reaction with a shift of absorption towards the right as shown in Figure 9, in accordance with absorption maximum values of adenosine and adenine at 259.5 nm and 260.5 nm, respectively [7]. As the reaction progressed, more adenosine was broken down to produce more adenine.

3.3 Part 3: General Acid and Base Hydrolysis of AMPNa2 at 60 °C and pH rate profile

In order to study the effect of general acid and base catalysis on the rate of hydrolysis of adenosine monophosphate disodium salt, glycine and TRIS buffers were prepared to cover pH from 1.82-2.00 and from 8.03-8.42. A table consisting of [TRIS], [glycine], pH, and all the kinetic parameters (kobs, Eapp, A and Σdi2) of this investigation is provided in SI-3 of Supporting Information. Therefore, theoretical values for the rate constant close to neutral pH (around pH 6) were determined by extrapolating the lines from the acidic and the basic region. Figure 13 depicts the log kobs against pH for the hydrolysis of AMPNa2.

Figure 13 A plot of log kobs against pH for the hydrolysis of AMPNa2 at 60°C.
Figure 13

A plot of log kobs against pH for the hydrolysis of AMPNa2 at 60°C.

A linear relationship was observed from specific base catalysis (pH 11.81-12.71) and specific acid catalysis (pH 0.30-1.83) respectively. Unfortunately, experimental determination of kobs from pH 2-10 does not fit to the linear lines. The rates of reaction from pH in this region were pH independent, which are scattered along the dotted line with an uncatalyzed rate constant around 10-7 s-1. As can be seen from Figure 13, theoretical value for the rate constant for close to neutral pH can be determined by extrapolating the lines from the acidic and the basic regions [28]. These two lines intersect each other to obtain a theoretical uncatalyzed rate constant, k0, at about 10-11 s-1. Therefore, there was a rate enhancement of 104 s-1 from the theoretical rate constant at neutral region of hydrolysis of AMPNa2. The rate enhancement is mostly attributed tothe buffer catalysis provided by glycine and TRIS buffers. TRIS buffer usually acts as a nucleophile, which attacks the phosphorus center while glycine acts as a protonating agent for the leaving group [37, 38, 39]. These rate enhancements provided by TRIS and glycine have been noticed in previous cleavage of P-O bonds in phosphate monoesters in the presence of alkaline phosphatase [37].

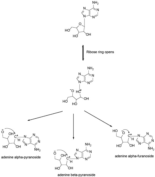
The rates of reaction at pH close to physiological rates were not able to be determined from pH 3 and pH 8. At these pH values, the ribose ring of the adenosine could open and re-close to yield other adenosine anomers such as furanoside and pyranosides namely adenine α-ribofuranoside, adenine β-ribopyranoside and adenine α-ribopyranoside. These ribose ring openings were not observed in acidic or basic hydrolysis. The opening and closing of the ribose ring forms anomers and also could form adenine making it difficult to determine the rates of the reaction at neutral conditions. This anomerization was also reported in previous studies [28]. Scheme 4 shows the mechanism for the possible mechanism of adenosine anomerization at pH 7.

4 Conclusion

It was found that phosphate ester bond cleavage can occur in specific, as well as, general acid-base conditions. A pH dependency of the rate of hydrolysis of AMPNa2 was observed in highly alkaline and highly acidic environments. This correlation is due to the increasing concentration of hydroxide and hydronium ions at these pH values. It was noticed that the rate of reaction increased linearly with the increase of [NaOH] and [HCl]. This shows that acid and base catalysis can accelerate the AMPNa2 hydrolysis. A second-order base-catalyzed rate constant, kOH and acid-catalyzed rate constant, kH obtained were 4.32 × 10-6 M-1 s-1 and 1.62 × 10-6 M-1 s-1, respectively. Competition between P-O cleavage and N-glycosidic cleavage was noticed in acidic hydrolysis of AMPNa2. A rate constant at neutral pH was determined by extrapolating from acidic and alkaline regions, which was determined to be k0 as 10-7 s-1.

This nucleotide analogue has gained attention mainly due to their importance in clinical and food analyses [40,41]. The AMPNa2 used as subject in this research could be further studied for its use as a cancer markers, adiagnostic marker for human immunodeficiency virus (HIV), and a therapeutic agent due to its antiviral, antitumoral, and antiimmunostimulatory properties [42,43]. In order to employ these analogues in clinical analysis, the kinetics and mechanism of hydrolysis of these analogues has to be extensively studied to further understand how these analogues work in our body. AMPNa2 can be employed for future kinetic and mechanistic studies as a phosphate ester model, as well as, in enzymatic and non-enzymatic studies. Information on the adenosine production will also benefit to create artificial enzymes that are capable of catabolizing natural AMP to adenosine [44].

Supporting Information

SI-1: Table consisting of [NaOH], pH, and the kinetic parameters (kobs, Eapp, A and Σdi2) for alkaline hydrolysis of AMPNa2 of this investigation.

SI-2: Table consisting of [HCl], pH, and the kinetic parameters (kobs, Eapp, A and Σdi2) for acidic hydrolysis of AMPNa2 of this investigation.

SI-3: Table consisting of [TRIS], [glycine], pH, and the kinetic parameters (kobs, Eapp, A and Σdi2) for hydrolysis of AMPNa2 of this investigation.

SI-4: LCMS Spectrum of the alkaline hydrolysis productsof AMPNa2 in 1.0 MNaOH.

SI-5: LCMS Spectrum of the acidic hydrolysis products of AMPNa2 in 1.0 M HCl.

This material is available free of charge via the Internet at http:/____

Acknowledgments

This work was supported by Universiti Tunku Abdul Rahman Research Fund 6200/S27. The authors would like to acknowledge Foo-Win Yip for valuable suggestions throughout the product characterization of the work.

  1. Conflict of interest: Authors declare no conflict of interest.

5

5 References

[1] Banaszczyk M.G., Artificial Hydrolytic Enzymes: Part 1 Hydrolysis of phosphate esters catalyzed by cobalt(III) complexes. PhD thesis, McGill University, Canada, 1989.Search in Google Scholar

[2] Desbouis D., Troitsky I.P., Belousoff M.J., Spiccia L., Graham B., Copper(II), zinc(II) and nickel(II) complexes as nuclease mimetics. Coordination Chemistry Reviews, 2012, 256, 897-937.10.1016/j.ccr.2011.12.005Search in Google Scholar

[3] O’Brien P.J., Herschlag D., Alkaline Phosphatase revisited: Hydrolysis of alkyl phosphates. Biochemistry, 2002, 41(9), 3207-3225.10.1021/bi012166ySearch in Google Scholar

[4] Qian T., Cai Z., Yang M.S., Determination of adenosine nucleotides in cultured cells by ion-pairing liquid chromatography-electrospray ionization mass spectrometry. Analytical Biochemistry, 2004, 325(1), 77-84.10.1016/j.ab.2003.10.028Search in Google Scholar

[5] Skoog M.T., Mechanism and activation for allosteric adenosine 5’-monophosphate nucleotidase. The Journal of Biological Chemistry, 1986, 261(10), 4451-4459.10.1016/S0021-9258(17)38521-6Search in Google Scholar

[6] Bevilacqua P.C., Mechanistic considerations for general acid-base catalysis by RNA: Revisiting the mechanism of the hairpin ribozyme. Biochemistry, 2003, 42(8), 2259-2265.10.1021/bi027273mSearch in Google Scholar PubMed

[7] Tuan V., Biomedical photonics handbook: Fundamentals, devices and techniques, 2nd ed., Tennessee: CRC Press, 2014.Search in Google Scholar

[8] Hilal S. H., Estimation of hydrolysis rate constants of carboxylic acid ester and phosphate ester compounds in aqueous systems from molecular structure by SPARC. Ecosystems Research Division National Exposure Research Laboratory, United States Environmental Protection Agency, Athens, Georgia, 2006.Search in Google Scholar

[9] Singh M. S., Advanced Organic Chemistry: Reactions and Mechanisms. India: Dorling Kindersley, 2004, pp. 106.Search in Google Scholar

[10] Schroeder G.K., Lad C., Wyman P., Williams N.H., Wolfenden R., The time required for water attack at the phosphorus atom of simple phosphodiesters and of DNA, Proceedings of the National Academy of Sciences of the United States of America, 2006,103(11), 4052-4055.10.1073/pnas.0510879103Search in Google Scholar PubMed PubMed Central

[11] Schwarzenbach R.P., Gschwend P.M., Imboden D.M., Environmental Organic Chemistry, 2nd ed. New Jersey: John Wiley & Sons Inc., 2005.Search in Google Scholar

[12] Duarte F., Åqvist J., Williams, Kamerlin S.C.L., Resolving Apparent Conflicts between Theoretical and Experimental Models of Phosphate Monoester Hydrolysis. Journal of American Chemical Society, 2015, 137, 1801-1093.10.1021/ja5082712Search in Google Scholar PubMed PubMed Central

[13] Spillane W.J., Reactions of carboxylic, phosphoric and sulfonic acids and their derivatives. In: Knipe, A.C, (eds.). Organic Reaction Mechanisms 2000: An annual survey covering the literature dated December 1999 to December 2000. John Wiley & Sons, 2014.Search in Google Scholar

[14] Kluger R., Cameron L.L., Activation of acyl phosphate monoesters by lanthanide ions: enhanced reactivity of benzoyl methyl phosphate. Journal of the American Chemical Society, 2002, 124 (13), 3303-3308.10.1021/ja016600vSearch in Google Scholar PubMed

[15] Pavia D.L., Lampman G.M., Kriz G.M., Engel R.G., Introduction to organic laboratory techniques: A small scale approach, 2nd ed. California: Thomson Learning, 2005, pp. 718.Search in Google Scholar

[16] Hon D.N.S., (eds.), Chemical Modification of Lignocellulosic Materials, New York: Marcel Dekker, 1996, pp. 142Search in Google Scholar

[17] Nibbering N.M.M., Fourier-transform ion cyclotron resonance. In: Rose, M.E. (ed.). Specialist Periodical Reports: Mass Spectrometry. 8, London: Royal Society of Chemistry, 1985.Search in Google Scholar

[18] Chin J., Banaszxzyk M., Highly efficient hydrolytic cleavage of adenosine monophosphate resulting in a binuclear Co(III) complex with a novel doubly bidendate μ4-phosphato bridge. Journal of the American Chemical Society, 1989, 111(11), 4103-4105.10.1021/ja00193a053Search in Google Scholar

[19] Marcum J.C., Kaufman S.H., Weber J.M., UV-photodissociation of non-cyclic and cyclic mononucleotides. International Journal of Mass Spectrometry, 2011, 303, 129-136.10.1016/j.ijms.2011.01.021Search in Google Scholar

[20] Zhao H., Wang X., Li H., Yang B., Yang H., Huang L., Characterization of Nucleosides and Nucleobases in Natural Cordyceps by HILIC–ESI/TOF/MS and HILIC–ESI/MS. Molecules, 2013, 18, 9755-9769.10.3390/molecules18089755Search in Google Scholar PubMed PubMed Central

[21] Zhong H., Zhang J., Tang X., Zhang W., Jiang R., Chen D., et al., Mass spectrometric monitoring of interfacial photoelectron transfer and imaging of active crystalline facets of semiconductors. Nature Communications, 2017, 8, doi. 10.1038/ncomms14524.10.1038/ncomms14524Search in Google Scholar PubMed PubMed Central

[22] Theophanides T., Sandorfy C., (eds.) Spectroscopy of biological molecules: Theory and applications-Chemistry, Physics, Biology and Medicine. Quebec: D. Reidel Publishing Company, 2012, pp. 147.Search in Google Scholar

[23] Stuart B. H., Infrared spectroscopy: Fundamental and applications. Sydney: John Wiley and Sons Ltd, 2004, pp. 72-152.10.1002/0470011149Search in Google Scholar

[24] Mello M.L.S., Vidal B.C., Changes in the infrared microspectroscopic characteristics of DNA caused by cationic elements, different base richness and single-stranded form. PLoS ONE, 2012, 7(8): e43169. doi:10.1371/journal. pone.0043169.10.1371/journalSearch in Google Scholar

[25] Spectral Database for Compounds SDBS, n.d. Infrared spectra of adenosine [Online].Available at: http://sdbs.db.aist.go.jp/sdbs/cgibin/direct_frame_disp.cgi?sdbsno=828 [Accessed: 28 November 2016].Search in Google Scholar

[26] Agarwal S., Jangir D.K., Mehrotra R., Lohani N., Rajeswari M.R., A Structural Insight into Major Groove Directed Binding of Nitrosourea Derivative Nimustine with DNA: A Spectroscopic Study. PLoS ONE, 2014, 9(8): e104115. doi: 10.1371/journal. pone.0104115.10.1371/journal.pone.0104115Search in Google Scholar PubMed PubMed Central

[27] Millán J.L., Alkaline Phosphatases: Structure, substrate specificity and functional relatedness to other members of a large superfamily of enzymes. Purinergic Signalling, 2006, 2(2), pp. 335-341.10.1007/s11302-005-5435-6Search in Google Scholar PubMed PubMed Central

[28] Stockbridge R.B., Schroeder G., Wolfenden R., The rate of spontaneous cleavage of the glycosidic bond of adenosine. Bioorganic Chemistry, 2010, 38(5), 224-228.10.1016/j.bioorg.2010.05.003Search in Google Scholar PubMed PubMed Central

[29] Larson R.A., Weber E.J., Reaction mechanism in environmental organic chemistry. Boca Raton: Lewis Publishers, CRC Press, 1994, pp. 103-147.Search in Google Scholar

[30] Tiwari B.K., Kadam R., Dixit V.K., Agarwal A., Parihar P.S., Kinetics and mechanism of the hydrolysis of 4-bromo-2,6-dimethylphenyl phosphate monoester. Asian Journal of Chemistry, 2005, 17(1), 109-116.Search in Google Scholar

[31] Kwan E.E., Factors affecting the relative efficiency of general acid catalysis. Journal of Chemical Education, 2005, 82(7), 1026-1030.10.1021/ed082p1026Search in Google Scholar

[32] An R., Jia Y., Zhang Y., Dong P., Li J., Liang X., Non-enzymatic depurination of nucleic acids: Factors and mechanisms. PLoS ONE, 2014, 9(12): e115950. doi: 10.1371/journal.pone.0115950.10.1371/journal.pone.0115950Search in Google Scholar PubMed PubMed Central

[33] Jobst K.A., Klenov A., Neller K.C.M., Hudak K.A., Effect of depurination on cellular and viral RNA. In: Jurga, S., Erdmann, V.A. and Barciszewski, J. (eds.). Modified Nucleic Acids in Biology and Medicine, Switzerland: Springer International Publishing, 2016, pp. 273-292.10.1007/978-3-319-34175-0_12Search in Google Scholar

[34] Allen D.W., Walker B.J., Organophosphorus Chemistry, Volume 25.Cambridge: The Royal Society of Chemistry, 1994, pp. 93.10.1039/9781847554451Search in Google Scholar

[35] Fish C., Green M., Kilby R.J., Lynam J.M., McGrady J.E., Pantazis D.A., et al., A New Reaction Pathway in Organophosphorus Chemistry: Competing SN2 and AE’ Pathways for Nucleophilic Attack at a Phosphorus–Carbon Cage Compound. AngewandteChemie International Edition, 2006, 45, 3628-3631.10.1002/anie.200504546Search in Google Scholar

[36] Dwivedi P., Schultz A. J., Hill Jr., H.H. Metabolic Profiling of Human Blood by High Resolution Ion Mobility Mass Spectrometry (IM-MS). International Journal of Mass Spectrometry, 2010, 298(1-3), 78-90.10.1016/j.ijms.2010.02.007Search in Google Scholar

[37] Hethey J., Lai J., Loutet S., Martin M., Tang V., Effects of Tricine, Glycine and TRIS buffers on Alkaline Phosphatase activity. Journal of Experimental Microbiology and Immunology, 2002, 2, 33-38.Search in Google Scholar

[38] Kirby A.J., Lima M.F., Silva D., Nome F., Nucleophilic attack by oxyanions on a phosphate monoester dianion: The positive effect of a cationic general acid. Journal of the American Chemical Society, 2004, 126(5), 1350-1351.10.1021/ja038428wSearch in Google Scholar

[39] Kirby A. J., Varvoglis A.G. The reactivity of phosphate esters. Monoester hydrolysis. Journal of the American Chemical Society, 1996, 89(2), 415-423.10.1021/ja00978a044Search in Google Scholar

[40] Landers J.P., (ed.) Handbook of capillary and microchip electrophoresis and associated microtechniques, 3rd ed. Boca Rotan: CRC Press, 2007.10.1201/9781420004953Search in Google Scholar

[41] Wiens A., Lenzi L.,Venson R.,Correr C.J.,Rotta I., Pedroso M.L.,Pontarolo R., Comparative efficacy of oral nucleoside or nucleotide analog monotherapy used in chronic hepatitis B: a mixed-treatment comparison meta-analysis, Pharmacotherapy, 2013, 33(2), 144-151.10.1002/phar.1188Search in Google Scholar

[42] Paleček E., Bartošik M., Electrochemistry of nucleic acids, Chemical Reviews, 2012, 112, 3427-3481.10.1016/S1871-0069(05)01003-7Search in Google Scholar

[43] Hunsucker S.A., Mitchell B.S., Spychala J., The 5’-nucleotidases as regulators of nucleotide and drug metabolism. Pharmacology & Therapeutics, 2005, 107, 1-30.10.1016/j.pharmthera.2005.01.003Search in Google Scholar PubMed

[44] Picher M., Burch L.H., Hirsh A.J., Spychala J., Boucher R.C., Ecto 5_-nucleotidase and nonspecific alkaline phosphatase: Two AMP-hydrolyzing ectoenzymes with distinct role in human airways. The Journal of Biological Chemistry, 2003, 278(15), 13468-13479.10.1074/jbc.M300569200Search in Google Scholar PubMed

Received: 2018-04-23
Accepted: 2018-10-22
Published Online: 2019-08-24

© 2019 Yoke-Leng Sim, Beljit Kaur, published by De Gruyter

This work is licensed under the Creative Commons Attribution 4.0 Public License.

Articles in the same Issue

  1. Regular Articles
  2. Research on correlation of compositions with oestrogenic activity of Cistanche based on LC/Q-TOF-MS/MS technology
  3. Efficacy of Pyrus elaeagnifolia subsp. elaeagnifolia in acetic acid–induced colitis model
  4. Anti-inflammatory and antinociceptive features of Bryonia alba L.: As a possible alternative in treating rheumatism
  5. High efficiency liposome fusion induced by reducing undesired membrane peptides interaction
  6. Prediction of the Blood-Brain Barrier Permeability Using RP-18 Thin Layer Chromatography
  7. Phytic Acid Extracted from Rice Bran as a Growth Promoter for Euglena gracilis
  8. Development of a validated spectrofluorimetric method for assay of sotalol hydrochloride in tablets and human plasma: application for stability-indicating studies
  9. Topological Indices of Hyaluronic Acid-Paclitaxel Conjugates’ Molecular Structure in Cancer Treatment
  10. Thermodynamic properties of the bubble growth process in a pool boiling of water-ethanol mixture two-component system
  11. Critical Roles of the PI3K-Akt-mTOR Signaling Pathway in Apoptosis and Autophagy of Astrocytes Induced by Methamphetamine
  12. Characteristics of Stable Hydrogen and Oxygen Isotopes of Soil Moisture under Different Land Use in Dry Hot Valley of Yuanmou
  13. Specific, highly sensitive and simple spectrofluorimetric method for quantification of daclatasvir in HCV human plasma patients and in tablets dosage form
  14. Chromium-modified cobalt molybdenum nitrides as catalysts for ammonia synthesis
  15. Langerhans cell-like dendritic cells treated with ginsenoside Rh2 regulate the differentiation of Th1 and Th2 cells in vivo
  16. Identification of Powdery Mildew Blumeria graminis f. sp. tritici Resistance Genes in Selected Wheat Varieties and Development of Multiplex PCR
  17. Computational Analysis of new Degree-based descriptors of oxide networks
  18. The Use Of Chemical Composition And Additives To Classify Petrol And Diesel Using Gas Chromatography–Mass Spectrometry And Chemometric Analysis: A Uk Study
  19. Minimal Energy Tree with 4 Branched Vertices
  20. Jatropha seed oil derived poly(esteramide-urethane)/ fumed silica nanocomposite coatings for corrosion protection
  21. Calculating topological indices of certain OTIS interconnection networks
  22. Energy storage analysis of R125 in UIO-66 and MOF-5 nanoparticles: A molecular simulation study
  23. Velvet Antler compounds targeting major cell signaling pathways in osteosarcoma - a new insight into mediating the process of invasion and metastasis in OS
  24. Effects of Azadirachta Indica Leaf Extract, Capping Agents, on the Synthesis of Pure And Cu Doped ZnO-Nanoparticles: A Green Approach and Microbial Activity
  25. Aqueous Micro-hydration of Na+(H2O)n=1-7 Clusters: DFT Study
  26. A proposed image-based detection of methamidophos pesticide using peroxyoxalate chemiluminescence system
  27. Phytochemical screening and estrogenic activity of total glycosides of Cistanche deserticola
  28. Biological evaluation of a series of benzothiazole derivatives as mosquitocidal agents
  29. Chemical pretreatments of Trapa bispinosa's peel (TBP) biosorbent to enhance adsorption capacity for Pb(ll)
  30. Dynamic Changes in MMP1 and TIMP1 in the Antifibrotic Process of Dahuang Zhechong Pill in Rats with Liver Fibrosis
  31. The Optimization and Production of Ginkgolide B Lipid Microemulsion
  32. Photodynamic Therapy Enhanced the Antitumor Effects of Berberine on HeLa Cells
  33. Chiral and Achiral Enantiomeric Separation of (±)-Alprenolol
  34. Correlation of Water Fluoride with Body Fluids, Dental Fluorosis and FT4, FT3 –TSH Disruption among Children in an Endemic Fluorosis area in Pakistan
  35. A one-step incubation ELISA kit for rapid determination of dibutyl phthalate in water, beverage and liquor
  36. Free Radical Scavenging Activity of Essential Oil of Eugenia caryophylata from Amboina Island and Derivatives of Eugenol
  37. Effects of Blue and Red Light On Growth And Nitrate Metabolism In Pakchoi
  38. miRNA-199a-5p functions as a tumor suppressor in prolactinomas
  39. Solar photodegradation of carbamazepine from aqueous solutions using a compound parabolic concentrator equipped with a sun tracking system
  40. Influence of sub-inhibitory concentration of selected plant essential oils on the physical and biochemical properties of Pseudomonas orientalis
  41. Preparation and spectroscopic studies of Fe(II), Ru(II), Pd(II) and Zn(II) complexes of Schiff base containing terephthalaldehyde and their transfer hydrogenation and Suzuki-Miyaura coupling reaction
  42. Complex formation in a liquid-liquid extraction-chromogenic system for vanadium(IV)
  43. Synthesis, characterization (IR, 1H, 13C & 31P NMR), fungicidal, herbicidal and molecular docking evaluation of steroid phosphorus compounds
  44. Analysis and Biological Evaluation of Arisaema Amuremse Maxim Essential Oil
  45. A preliminary assessment of potential ecological risk and soil contamination by heavy metals around a cement factory, western Saudi Arabia
  46. Anti- inflammatory effect of Prunus tomentosa Thunb total flavones in LPS-induced RAW264.7 cells
  47. Collaborative Influence of Elevated CO2 Concentration and High Temperature on Potato Biomass Accumulation and Characteristics
  48. Methods of extraction, physicochemical properties of alginates and their applications in biomedical field – a review
  49. Characteristics of liposomes derived from egg yolk
  50. Preparation of ternary ZnO/Ag/cellulose and its enhanced photocatalytic degradation property on phenol and benzene in VOCs
  51. Influence of Human Serum Albumin Glycation on the Binding Affinities for Natural Flavonoids
  52. Synthesis and antioxidant activity of 2-methylthio-pyrido[3,2-e][1,2,4] triazolo[1,5-a]pyrimidines
  53. Comparative study on the antioxidant activities of ten common flower teas from China
  54. Molecular Properties of Symmetrical Networks Using Topological Polynomials
  55. Synthesis of Co3O4 Nano Aggregates by Co-precipitation Method and its Catalytic and Fuel Additive Applications
  56. Phytochemical analysis, Antioxidant and Antiprotoscolices potential of ethanol extracts of selected plants species against Echinococcus granulosus: In-vitro study
  57. Silver nanoparticles enhanced fluorescence for sensitive determination of fluoroquinolones in water solutions
  58. Simultaneous Quantification of the New Psychoactive Substances 3-FMC, 3-FPM, 4-CEC, and 4-BMC in Human Blood using GC-MS
  59. Biodiesel Production by Lipids From Indonesian strain of Microalgae Chlorella vulgaris
  60. Miscibility studies of polystyrene/polyvinyl chloride blend in presence of organoclay
  61. Antibacterial Activities of Transition Metal complexes of Mesocyclic Amidine 1,4-diazacycloheptane (DACH)
  62. Novel 1,8-Naphthyridine Derivatives: Design, Synthesis and in vitro screening of their cytotoxic activity against MCF7 cell line
  63. Investigation of Stress Corrosion Cracking Behaviour of Mg-Al-Zn Alloys in Different pH Environments by SSRT Method
  64. Various Combinations of Flame Retardants for Poly (vinyl chloride)
  65. Phenolic compounds and biological activities of rye (Secale cereale L.) grains
  66. Oxidative degradation of gentamicin present in water by an electro-Fenton process and biodegradability improvement
  67. Optimizing Suitable Conditions for the Removal of Ammonium Nitrogen by a Microbe Isolated from Chicken Manure
  68. Anti-inflammatory, antipyretic, analgesic, and antioxidant activities of Haloxylon salicornicum aqueous fraction
  69. The anti-corrosion behaviour of Satureja montana L. extract on iron in NaCl solution
  70. Interleukin-4, hemopexin, and lipoprotein-associated phospholipase A2 are significantly increased in patients with unstable carotid plaque
  71. A comparative study of the crystal structures of 2-(4-(2-(4-(3-chlorophenyl)pipera -zinyl)ethyl) benzyl)isoindoline-1,3-dione by synchrotron radiation X-ray powder diffraction and single-crystal X-ray diffraction
  72. Conceptual DFT as a Novel Chemoinformatics Tool for Studying the Chemical Reactivity Properties of the Amatoxin Family of Fungal Peptides
  73. Occurrence of Aflatoxin M1 in Milk-based Mithae samples from Pakistan
  74. Kinetics of Iron Removal From Ti-Extraction Blast Furnace Slag by Chlorination Calcination
  75. Increasing the activity of DNAzyme based on the telomeric sequence: 2’-OMe-RNA and LNA modifications
  76. Exploring the optoelectronic properties of a chromene-appended pyrimidone derivative for photovoltaic applications
  77. Effect of He Qi San on DNA Methylation in Type 2 Diabetes Mellitus Patients with Phlegm-blood Stasis Syndrome
  78. Cyclodextrin potentiometric sensors based on selective recognition sites for procainamide: Comparative and theoretical study
  79. Greener synthesis of dimethyl carbonate from carbon dioxide and methanol using a tunable ionic liquid catalyst
  80. Nonisothermal Cold Crystallization Kinetics of Poly(lactic acid)/Bacterial Poly(hydroxyoctanoate) (PHO)/Talc
  81. Enhanced adsorption of sulfonamide antibiotics in water by modified biochar derived from bagasse
  82. Study on the Mechanism of Shugan Xiaozhi Fang on Cells with Non-alcoholic Fatty Liver Disease
  83. Comparative Effects of Salt and Alkali Stress on Antioxidant System in Cotton (Gossypium Hirsutum L.) Leaves
  84. Optimization of chromatographic systems for analysis of selected psychotropic drugs and their metabolites in serum and saliva by HPLC in order to monitor therapeutic drugs
  85. Electrocatalytic Properties of Ni-Doped BaFe12O19 for Oxygen Evolution in Alkaline Solution
  86. Study on the removal of high contents of ammonium from piggery wastewater by clinoptilolite and the corresponding mechanisms
  87. Phytochemistry and toxicological assessment of Bryonia dioica roots used in north-African alternative medicine
  88. The essential oil composition of selected Hemerocallis cultivars and their biological activity
  89. Mechanical Properties of Carbon Fiber Reinforced Nanocrystalline Nickel Composite Electroforming Deposit
  90. Anti-c-myc efficacy block EGFL7 induced prolactinoma tumorigenesis
  91. Topical Issue on Applications of Mathematics in Chemistry
  92. Zagreb Connection Number Index of Nanotubes and Regular Hexagonal Lattice
  93. The Sanskruti index of trees and unicyclic graphs
  94. Valency-based molecular descriptors of Bakelite network BNmn
  95. Computing Topological Indices for Para-Line Graphs of Anthracene
  96. Zagreb Polynomials and redefined Zagreb indices of Dendrimers and Polyomino Chains
  97. Topological Descriptor of 2-Dimensional Silicon Carbons and Their Applications
  98. Topological invariants for the line graphs of some classes of graphs
  99. Words for maximal Subgroups of Fi24
  100. Generators of Maximal Subgroups of Harada-Norton and some Linear Groups
  101. Special Issue on POKOCHA 2018
  102. Influence of Production Parameters on the Content of Polyphenolic Compounds in Extruded Porridge Enriched with Chokeberry Fruit (Aronia melanocarpa (Michx.) Elliott)
  103. Effects of Supercritical Carbon Dioxide Extraction (SC-CO2) on the content of tiliroside in the extracts from Tilia L. flowers
  104. Impact of xanthan gum addition on phenolic acids composition and selected properties of new gluten-free maize-field bean pasta
  105. Impact of storage temperature and time on Moldavian dragonhead oil – spectroscopic and chemometric analysis
  106. The effect of selected substances on the stability of standard solutions in voltammetric analysis of ascorbic acid in fruit juices
  107. Determination of the content of Pb, Cd, Cu, Zn in dairy products from various regions of Poland
  108. Special Issue on IC3PE 2018 Conference
  109. The Photocatalytic Activity of Zns-TiO2 on a Carbon Fiber Prepared by Chemical Bath Deposition
  110. N-octyl chitosan derivatives as amphiphilic carrier agents for herbicide formulations
  111. Kinetics and Mechanistic Study of Hydrolysis of Adenosine Monophosphate Disodium Salt (AMPNa2) in Acidic and Alkaline Media
  112. Antimalarial Activity of Andrographis Paniculata Ness‘s N-hexane Extract and Its Major Compounds
  113. Special Issue on ABB2018 Conference
  114. Special Issue on ICCESEN 2017
  115. Theoretical Diagnostics of Second and Third-order Hyperpolarizabilities of Several Acid Derivatives
  116. Determination of Gamma Rays Efficiency Against Rhizoctonia solani in Potatoes
  117. Studies On Compatibilization Of Recycled Polyethylene/Thermoplastic Starch Blends By Using Different Compatibilizer
  118. Liquid−Liquid Extraction of Linalool from Methyl Eugenol with 1-Ethyl-3-methylimidazolium Hydrogen Sulfate [EMIM][HSO4] Ionic Liquid
  119. Synthesis of Graphene Oxide Through Ultrasonic Assisted Electrochemical Exfoliation
  120. Special Issue on ISCMP 2018
  121. Synthesis and antiproliferative evaluation of some 1,4-naphthoquinone derivatives against human cervical cancer cells
  122. The influence of the grafted aryl groups on the solvation properties of the graphyne and graphdiyne - a MD study
  123. Electrochemical modification of platinum and glassy carbon surfaces with pyridine layers and their use as complexing agents for copper (II) ions
  124. Effect of Electrospinning Process on Total Antioxidant Activity of Electrospun Nanofibers Containing Grape Seed Extract
  125. Effect Of Thermal Treatment Of Trepel At Temperature Range 800-1200˚C
  126. Topical Issue on Agriculture
  127. The effect of Cladophora glomerata exudates on the amino acid composition of Cladophora fracta and Rhizoclonium sp.
  128. Influence of the Static Magnetic Field and Algal Extract on the Germination of Soybean Seeds
  129. The use of UV-induced fluorescence for the assessment of homogeneity of granular mixtures
  130. The use of microorganisms as bio-fertilizers in the cultivation of white lupine
  131. Lyophilized apples on flax oil and ethyl esters of flax oil - stability and antioxidant evaluation
  132. Production of phosphorus biofertilizer based on the renewable materials in large laboratory scale
  133. Human health risk assessment of potential toxic elements in paddy soil and rice (Oryza sativa) from Ugbawka fields, Enugu, Nigeria
  134. Recovery of phosphates(V) from wastewaters of different chemical composition
  135. Special Issue on the 4th Green Chemistry 2018
  136. Dead zone for hydrogenation of propylene reaction carried out on commercial catalyst pellets
  137. Improved thermally stable oligoetherols from 6-aminouracil, ethylene carbonate and boric acid
  138. The role of a chemical loop in removal of hazardous contaminants from coke oven wastewater during its treatment
  139. Combating paraben pollution in surface waters with a variety of photocatalyzed systems: Looking for the most efficient technology
  140. Special Issue on Chemistry Today for Tomorrow 2019
  141. Applying Discriminant and Cluster Analyses to Separate Allergenic from Non-allergenic Proteins
  142. Chemometric Expertise Of Clinical Monitoring Data Of Prolactinoma Patients
  143. Chemomertic Risk Assessment of Soil Pollution
  144. New composite sorbent for speciation analysis of soluble chromium in textiles
  145. Photocatalytic activity of NiFe2O4 and Zn0.5Ni0.5Fe2O4 modified by Eu(III) and Tb(III) for decomposition of Malachite Green
  146. Photophysical and antibacterial activity of light-activated quaternary eosin Y
  147. Spectral properties and biological activity of La(III) and Nd(III) Monensinates
  148. Special Issue on Monitoring, Risk Assessment and Sustainable Management for the Exposure to Environmental Toxins
  149. Soil organic carbon mineralization in relation to microbial dynamics in subtropical red soils dominated by differently sized aggregates
  150. A potential reusable fluorescent aptasensor based on magnetic nanoparticles for ochratoxin A analysis
  151. Special Issue on 13th JCC 2018
  152. Fluorescence study of 5-nitroisatin Schiff base immobilized on SBA-15 for sensing Fe3+
  153. Thermal and Morphology Properties of Cellulose Nanofiber from TEMPO-oxidized Lower part of Empty Fruit Bunches (LEFB)
  154. Encapsulation of Vitamin C in Sesame Liposomes: Computational and Experimental Studies
  155. A comparative study of the utilization of synthetic foaming agent and aluminum powder as pore-forming agents in lightweight geopolymer synthesis
  156. Synthesis of high surface area mesoporous silica SBA-15 by adjusting hydrothermal treatment time and the amount of polyvinyl alcohol
  157. Review of large-pore mesostructured cellular foam (MCF) silica and its applications
  158. Ion Exchange of Benzoate in Ni-Al-Benzoate Layered Double Hydroxide by Amoxicillin
  159. Synthesis And Characterization Of CoMo/Mordenite Catalyst For Hydrotreatment Of Lignin Compound Models
  160. Production of Biodiesel from Nyamplung (Calophyllum inophyllum L.) using Microwave with CaO Catalyst from Eggshell Waste: Optimization of Transesterification Process Parameters
  161. The Study of the Optical Properties of C60 Fullerene in Different Organic Solvents
  162. Composite Material Consisting of HKUST-1 and Indonesian Activated Natural Zeolite and its Application in CO2 Capture
  163. Topical Issue on Environmental Chemistry
  164. Ionic liquids modified cobalt/ZSM-5 as a highly efficient catalyst for enhancing the selectivity towards KA oil in the aerobic oxidation of cyclohexane
  165. Application of Thermal Resistant Gemini Surfactants in Highly Thixotropic Water-in-oil Drilling Fluid System
  166. Screening Study on Rheological Behavior and Phase Transition Point of Polymer-containing Fluids produced under the Oil Freezing Point Temperature
  167. The Chemical Softening Effect and Mechanism of Low Rank Coal Soaked in Alkaline Solution
  168. The Influence Of NO/O2 On The NOx Storage Properties Over A Pt-Ba-Ce/γ-Al2O3 Catalyst
  169. Special Issue on the International conference CosCI 2018
  170. Design of SiO2/TiO2 that Synergistically Increases The Hydrophobicity of Methyltrimethoxysilane Coated Glass
  171. Antidiabetes and Antioxidant agents from Clausena excavata root as medicinal plant of Myanmar
  172. Development of a Gold Immunochromatographic Assay Method Using Candida Biofilm Antigen as a Bioreceptor for Candidiasis in Rats
  173. Special Issue on Applied Biochemistry and Biotechnology 2019
  174. Adsorption of copper ions on Magnolia officinalis residues after solid-phase fermentation with Phanerochaete chrysosporium
  175. Erratum
  176. Erratum to: Sand Dune Characterization For Preparing Metallurgical Grade Silicon
Downloaded on 20.12.2025 from https://www.degruyterbrill.com/document/doi/10.1515/chem-2019-0044/html
Scroll to top button