Home Physical Sciences Theoretical Diagnostics of Second and Third-order Hyperpolarizabilities of Several Acid Derivatives
Article Open Access

Theoretical Diagnostics of Second and Third-order Hyperpolarizabilities of Several Acid Derivatives

  • A. Karakas , Y. Ceylan , M. Karakaya , M. Taser , B. B. Terlemez , N. Eren EMAIL logo , Y. El Kouari , M. Lougdali , A. K. Arof and B. Sahraoui
Published/Copyright: April 10, 2019

Abstract

The density functional theory (DFT) at B3LYP/6-31G(d) level has been utilized to achieve the electric dipole moment (μ),static dipole polarizability (α)and first hyperpolarizability (β)values for ferulic acid (1) and chenodeoxycholic acid (2). The time-dependent Hartree-Fock (TDHF) technique as a powerful quantum chemical method has been implemented to reveal the dynamic α,βand third-order hyperpolarizabilities (γ)of the examined compounds. Our computational conclusions have been compared with the results of similar materials in the literature. The first and second frontier molecular orbitals (MOs) and their band gaps have also been investigated by means of DFT.

Graphical Abstract

1 Introduction

To determine the magnitudes of first hyperpolarizabilities is quite important for the devices provided the second-harmonic generation (SHG) and quadratic electro-optic responses. So, the push-pull type π-electronarrangements associated with aromatic chains and unsaturated bonds and also unsymmetrically substituted donors and acceptors have been especially designed to obtain the SHG processes [1]. It has been also shown that the molecules with octupolar symmetries are among the efficient molecular materials [2]. The third-order macroscopic NLO susceptibilities are directly related to their corresponding microscopic cubic responses. The images of biological structures are provided by the third-harmonic generation (THG) technique indicating the variations on the third-order NLO susceptibilities [3].

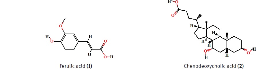
In this work, one of our aims is to focus on theoretically evaluating the second and third-order NLO behaviour of the title molecules in Figure 1. The μ,dispersion-free αand β values have been produced using DFT calculations. The dynamic dipole polarizabilities, quadratic and cubic hyperpolarizabilities have been also computed by means of ab-initio quantum mechanical approach (TDHF). Besides, the highest occupied molecular orbitals (HOMOs) and the lowest unoccupied molecular orbitals (LUMOs) have been defined by DFT/B3LYP.

Figure 1 Bond-line formulas of Ferulic acid (1) and Chenodeoxycholic acid (2).
Figure 1

Bond-line formulas of Ferulic acid (1) and Chenodeoxycholic acid (2).

2 Theoretical Calculations

We have firstly performed the optimization studies on the examined structures. After the geometry optimizations, we have calculated the μ,static αandβfor 1-2 utilizing the finite field (FF) procedure [4]. The GAUSSIAN03W [5] package program using DFT method at B3LYP/ 6-31G(d) level has carried out the computations of optimization, μ,static αandβ.To build the molecular models of examined compounds shown in Figure 2, GaussView [6] program has been utilized as the interface program for GAUSSIAN03W [5]. The total electric dipole moments in terms of electric dipole moment components (μx,μy,μz),the orientationally averaged (isotropic) dipole polarizabilities αand the magnitudes of βtot (total first static hyperpolarizability) are evaluated as follows, respectively [7,8]:

(1)μ=[μx2+μy2+μz2]1/2
(2)α=(αxx+αyy+αzz)/3
(3)βtot=[(βxxx+βxyy+βxzz)2+(βyyy+βyzz++βyxx)2+(βzzz+βzxx+βzyy)2]1/2

The TDHF procedure of the GAMESS [9] package program has obtained the γ(0;0,0,0)at ω=0andα(ω;ω),β(2ω;ω,ω),γ(3ω;ω,ω,ω)values at ω=0.04282atomic units (a.u.) (λ = 1064 nm) with 6-31G(d) basis set. The dispersion-free second hyperpolarizabilities are expressed as γ(0;0,0,0).The SHG and THG groups, respectively, in TDHF method have generated the β(2ω;ω,ω)and γ(3ω;ω,ω,ω)calculations at the studied ω frequencies.

Figure 2 Molecular models of Ferulic acid (1) and Chenodeoxycholic acid (2).Ethical approval: The conducted research is not related to either human or animal use.
Figure 2

Molecular models of Ferulic acid (1) and Chenodeoxycholic acid (2).

Ethical approval: The conducted research is not related to either human or animal use.

Using the following equations, we have computed the βV(βvector)which is the vector part of the second-order hyperpolarizability and the averaged (isotropic) second hyperpolarizability γ :

(4)βV=(βx2+βy2+βz2)1/2

where βi(i=x,y,z)is given by:

(5)βi=(1/3)j=x,y,z(βijj+βjij+βjji)
(6)γ=(1/5)[γxxxx+γyyyy+γzzzz+2(γxxyy+γxxzz+γyyzz)]

The GAUSSIAN03W [5] package program at DFT/ B3LYP level with 6-31G(d) basis set has also derived the HOMOs, LUMOs and HOMO-LUMO energy band gaps. The HOMO-LUMO energy gaps ( Eg ) are achieved by the following expression:

(7)Eg=ELUMOEHOMO

3 Computational Results And Discussion

Table 1 lists the electric dipole moments of the title molecules. It has been found that the μ values of 1-2 are almost same for both studied acids (Table 1). The μ value for 1 has been calculated (μ=4.583D)by Sebastian et al. utilizing ab-initio quantum mechanical techniques [10]. Our computed data on μ of 1 (Table 1) is almost 1.6 times lower than the estimated value in Ref. [10]. The μ value of 1 was calculated utilizing DFT technique by Kumar et al. as μ =3.22 D [11]. The reported μ of 3.22 D by Ref. [11] is in good agreement with our calculated value of 2.807 D (Table 1). Calaminici et al. calculated the dipole moment ( μ =3 D) with DFT method of a phosphonic acid stilbene derivative containing the conjugated stilbene backbone, which is p-substituted by a methoxy electron donor group and p′ -substituted by a phosphonic acid electron acceptor moiety [12]. Our computed data on μ for 1-2 (Table 1) are quite close to the evaluated result by Ref. [12]. It has been found that the DFT results on μ values of 1-2 have given rather consistent results with the computed DFT data for similar structures in Refs. [11,12], while the other technique (ab-initio method) used in Ref. [10] yield a numerical diversity.

Table 1

The calculated electric dipole moments μ (Debye) and dipole moment components for 1-2 using DFT method at B3LYP/6-31G(d) level.

Compoundμxμyμzμ
12.5591.1550.0002.807
2-1.642-1.5631.5072.722

Tables 2-4, respectively, show a few important computed components for the static dipole polarizabilities, first and second hyperpolarizabilities of 1-2. The dispersion-free 〈α〉 values in Table 2 have an apparent reduction in sort order 2 > 1. The static 〈α〉 value of a

Table 2

Some selected components of the static α(0;0)andα(0;0)(×1024esu)values for 1-2 computed by DFT method at B3LYP/6-31G(d) level.

Compoundαxαyαzα
133.40118.6617.08419.715
247.73334.70930.25337.565
Table 3

Some selected components of the static β(0;00) and βtot(0;00)(×10-30esu)values for 1-2 computed by DFT method at B3LYP/ 6-31G(d) level.

Compoundβxxxβyyyβyyzβxzzβzzzβtot
1-20.295-0.423-0.008-0.014-0.004 21.272
20.567-0.045-0.105-0.2390.380 0.709
Table 4

All static γ(0;0,0,0)components and γ(0;0,0,0)(×10-37esu)values for 1-2 computed by TDHF method with 6-31G(d) basis set.

γxxxxγyyyyγzzzzγxxyyγxxzzγvvzzγ
1407.4204.716-0.23311.5921.4430.76187.899
233.0032.9670.3233.8580.5980.1069.084

phosphonic acid stilbene derivative with a conjugated stilbene backbone was computed by DFT with a triple zeta valence basis set (TZVP) to be 41.854× 10-24 esu [12]. The calculated static αvalue reported by Calaminici et al. [12] are about 2 and 1.1 times, respectively, higher than that of 1 and 2 in Table 2. The static first hyperpolarizability of a phosphonic acid stilbene derivative containing a conjugated stilbene backbone was reported at DFT/TZVP level to be 44.075× 10-30 esu by Ref. [12]. Our result on βtotfor 1 (Table 3) is almost a factor of 2 lower than the presented data by Calaminici et al. [12]. To change the basis sets (TZVP) in the same method (DFT) for a similar acid reported by Ref. [12] has found out numerically discrepancies with the static αandβresults of 1-2 (DFT method and 6-31G(d) basis set). It is seen from Table 4 that the dispersion-free γvalues show a reduction in sort order 1>2.

Tables 5-7, respectively, give a few important calculated components for dynamic dipole polarizabilities, second and third-order hyperpolarizabilities of 1-2. The dynamic αandγvalues display the same reduction in sort order 2 > 1 (for αvalues) and 1 > 2 (for γvalues) as their corresponding static ones (see Tables 2,4,5,7). Song et al obtained the dynamic βvalue of 35×10-30esu using Hyper-Rayleigh scattering (HRS) technique at 532 nm for 5-(3,4-dimethoxybenzylidene) barbituric acid [13]. The quadratic hyperpolarizability of non-aromatic amino acid lysine was measured by means of HRS at 800 nm to be 0.3×10-30 esu [14]. The theoretical βVvalues for 1(βV=32.428×10-30esu)and 2(βV=0.196×10-30esu),respectively, in Table 6 are in accordance with the experimental results of similar acids in the literature reported by Refs. [13,14]. Our computed results on dynamic first hyperpolarizabilities could be compared with the result of urea which is well-known an efficiency standard in order to find out second-order NLO characterization. The βVvalues for 1 and 2, respectively, have been obtained 72 times higher (for 1) and 2.3 times lower (for

Table 5

Some selected components of the frequency-dependent α(ω;ω)and absolute values of α(ω;ω)(×10-24esu)at ω =0.04282 a.u. for 1-2 computed by TDHF method with 6-31G(d) basis set.

Compoundαxxαyyαzzα
121.93612.3182.39212.215
225.93320.37417.62821.311
Table 6

Some selected components of the frequency-dependent β(2ω;ω,ω)andβV(×10-30esu)values at ω=0.04282a.u.for1-2 computed by TDHF method with 6-31G(d) basis set.

Compoundβxxxβyyyβzzzβxβyβzβ-V
110.401-0.4210.00031.7186.746-0.00032.428
20.0360.0210.0710.023-0.1440.1300.196
Table 7

Some selected components of the frequency-dependent γ(3ω;ω,ω,ω)and absolute values of γ(3ω;ω,ω,ω)(×10-35esu) at ω=0.04282a.u. for 1-2 computed by TDHF method with 6-31G(d) basis set.

Compoundγxxxxγyyyyγzzzzγxxyyγxxzzγyyzzγ
17.5090.062-0.0020.1450.0200.0081.601
20.3590.0320.0040.0410.0060.0010.099

2) than the quadratic hyperpolarizability of urea (βurea=0.45× 10-30 esu) reported by Ledoux et al. [15]. The dynamic γvalues for the title molecules are about factors of 1.25 higher (for 1) and factors of 12.8 lower (for 2) than the cubic hyperpolarizability of para-nitroaniline (p-NA) (γp-NA=1.271×10-35esu)given in [16] which is one of the reference materials utilized in third-order NLO area. Since the NLO parameters, their magnitudes and frequency dependences for 1-2 are determined by ab-initio and DFT levels of theory, these levels of understanding and such theoretical insights make viable computer-aided molecular design of new NLO materials in the future. It is shown that the non-zero μvalues for 1-2 might cause microscopic quadratic and cubic hyperpolarizabilities with non-zero values derived by the numerical second-derivatives of the electric dipole moments to extent the implemented field. The presented data on dynamic βVandγwith non-zero values predict that the title compounds might acquire microscopic second and third-order NLO responses. As was to be expected from the comparisons with the urea standard, compound 1 might also possess macroscopic second-order NLO responses with non-zero

values in NLO measurements. So, compound 1 could be a promising material having quadratic electro-optic responses in second-order NLO applications, such as SHG experiments. Hence, compared with compound 2, compound 1 may fulfill many of quadratic optical nonlinearity requirements and could have potential applications in NLO and electro-optic devices.

Table 8 presents the computed first and second frontier MO energies and also band gaps for 1-2. Figure 3 shows the first and second frontier MOs. Since the charge transfer stimulations containing HOMO and LUMO affect the second and third-order optical nonlinearities, the lower HOMO-LUMO energy band gaps should generate the higher first and second hyperpolarizability values. In this work, the HOMO-LUMO and (HOMO-1)-(LUMO+1) energy band gaps have a reduction in sort order 2 > 1, while the calculated values of dynamic βVandγshow an inverse reduction in sort order 1 > 2 (see Tables 6-8). It is obvious that the HOMO-LUMO energy band gaps and hyperpolarizabilities introduce an opposite correlation [17]. The LUMO for 1 is localized on almost the whole molecule, while the HOMO is mainly localized on methoxy and hydroxyl groups, consequently the HOMO ➝ LUMO transition implies an electron density transfer to aromatic part and propenoic acid of π -conjugated system from methoxy and hydroxyl group (Figure 3). The HOMO, HOMO-1, LUMO+1 for 2 are located over the benzene rings. By contrast, the LUMO of 2 is mainly located over the side chain (Figure 3).

Table 8

The calculated HOMO-LUMO energy (a.u.) and HOMO-LUMO band gap Eg values for 1-2 using DFT method at B3LYP/ 6-31G(d) level.

12
HOMO-0.20926-0.25174
LUMO-0.058590.01445
Eg[HOMO–LUMO]0.150670.26619
HOMO–1-0.24793-0.25346
LUMO +1-0.002070.06196
Eg[(HOMO–1)–(LUMO+1)]0.245860.31542
Figure 3 The frontier and second frontier molecular orbitals of Ferulic acid (1) and Chenodeoxycholic acid (2).
Figure 3

The frontier and second frontier molecular orbitals of Ferulic acid (1) and Chenodeoxycholic acid (2).

4 Conclusions

We have determined the dispersion-free and frequency-dependent dipole polarizabilities, quadratic and cubic hyperpolarizabilities utilizing DFT and TDHF approaches, respectively. The microscopic second and third-order optical nonlinearity behaviour for 1-2 have been confirmed by the non-zero hyperpolarizability values computed in this work. We have also made the comparisons for μ,static and dynamic α,β,γresults of the title compounds with the corresponding NLO parameters of similar structures previously reported in the literature. The applied computational techniques (DFT and TDHF) in this paper presented quite comparable results with the reported data in the literature. It has been shown that some numerical discrepancies between our results and the obtained data in the literature for similar acid derivatives could originate from different methods or basis sets preferred in the computations. One can also see from the comparisons on NLO efficiencies of 1-2 related to reference compounds (urea and p-NA) that compound 1 with quite high βVresult offers a successful quadratic NLO behaviour. Both various chemical reactions and also resonance phenomena belonging to the structural properties for 1-2 could be understood with information of the HOMOs, LUMOs and HOMO-LUMO band gaps. To investigate the charge transfer properties of the examined structures, the HOMO and LUMO energies have been found out by means of DFT. One can benefit from the first and second frontier MOs determined here for the title compounds to explain their molecular structures and reactivities. Besides, since the better hyperpolarizability responses are attained by the systems with rather low HOMO-LUMO band gaps, in this work, HOMOs, LUMOs and HOMO-LUMO band gaps for 1-2 have been obtained to define their NLO properties. Our computational results on first and second frontier MOs for 1-2 justify the relationship between HOMO-LUMO band gaps and NLO responses, supporting an inverse behaviour.

  1. Conflict of interest: Authors declare no conflict of interest.

References

[1] Campagnola P.J., Wei M.D., Lewis A., Loew L.M., High-resolution nonlinear optical imaging of live cells by second harmonic generation, Biophys. J., 1999, 77(6), 3341-3349. 10.1016/S0006-3495(99)77165-1Search in Google Scholar

[2] Zyss J., Ledoux I., Nonlinear optics in multipolar media: theory and experiments, Chem. Rev., 1994, 94, 77-105. 10.1021/cr00025a003Search in Google Scholar

[3] Cisek R., Spencer L., Prent N., Zigmantas D., Espie G.S., Barzda V., Optical microscopy in photosynthesis, Photosynth. Res., 2009, 102, 111-141. 10.1007/s11120-009-9500-9Search in Google Scholar

[4] Kurtz H.A., Stewart J.P.P., Dieter K.M., Calculation of the nonlinear optical properties of molecules, J. Comput. Chem., 1990, 11, 82-87. 10.1002/jcc.540110110Search in Google Scholar

[5] Frisch M.J., Trucks G.W., Schlegel H.B., Scuseria G.E., Robb M.A., Cheeseman J.R., et. al., Gaussian 03, Revision E.01, Gaussian, Inc., Wallingford CT, 2004.Search in Google Scholar

[6] Dennington R., Keith T., Millam J., GaussView, Version 5.0.9, Semichem Inc., Shawnee Mission, KS, 2009.Search in Google Scholar

[7] Bogaard M.P., Orr B.J., MTP International Review of Science, ed. By Buckingham A.D. (Butterworths, London, 1975, Vol. 2, p. 149.Search in Google Scholar

[8] Thanthiriwatte K.S., De Silva K.M.N, Non-linear optical properties of novel fluorenyl derivatives-ab initio quantum chemical calculations, J. Mol. Struct. (Theochem), 2002, 617, 169-175. 10.1016/S0166-1280(02)00419-0Search in Google Scholar

[9] Intel× 86 (win32, Linux, OS/2, DOS) version. PC GAMESS version 6.2, build number 2068. This version of GAMESS is described in: Schmidt M.W., et. al., General atomic and molecular electronic structure system, J. Comput. Chem., 1993, 14, 1347-1363. 10.1002/jcc.540141112Search in Google Scholar

[10] Sebastian S., Sundaraganesan N., Manoharan S., Molecular structure, spectroscopic studies and first-order molecular hyperpolarizabilities of ferulic acid by density functional study, Spectrochim. Acta A, 2009, 74(2), 312-323. 10.1016/j.saa.2009.06.011Search in Google Scholar PubMed

[11] Kumar N., Pruthi V., Structural elucidation and molecular docking of ferulic acid from Partheniumhysterophorus possessing COX-2 inhibition activity, 3 Biotech, 2015, 5(4), 541. 10.1007/s13205-014-0253-6Search in Google Scholar PubMed PubMed Central

[12] Calaminici P., Jug K., Köster A.M., Arbez-Gindre C., Screttas C.G., Mechanism for large first hyperpolarizabilities of phosphonic acid stilbene derivatives, J. Comput. Chem., 2002, 23, 291-297. 10.1002/jcc.10006Search in Google Scholar PubMed

[13] Song O.K., Wang C.H., Cho B.R., Je J.T., Measurement of first-order hyperpolarizability of several barbituric acid derivatives in solution by Hyper-Rayleigh scattering, J. Phys. Chem., 1995, 99, 6808-6811. 10.1021/j100018a009Search in Google Scholar

[14] Duboisset J., Matar G., Russier-Antoine I., Benichou E., Bachelier G., Jonin Ch., et al., First hyperpolarizability of the natural aromatic amino acids tryptophan, tyrosine, and phenylalanine and the tripeptide lysine-tryptophan-lysine determined by Hyper-Rayleigh scattering, J. Phys. Chem. B, 2010, 114, 13861-13865. 10.1021/jp105554sSearch in Google Scholar

[15] Ledoux I., Zyss J., Influence of the molecular environment in solution measurements of the second-order optical susceptibility for urea and derivatives, Chem. Phys., 1982, 73, 203-213. 10.1016/0301-0104(82)85161-6Search in Google Scholar

[16] Nalwa H.S., Miyata S., Nonlinear Optics of Organic Molecules and Polymers, CRC Press, New York, 1997.10.1117/1.601490Search in Google Scholar

[17] Liyanage P.S., De Silva R.M., De Silva K.M.N., Nonlinear optical (NLO) properties of novel organometallic complexes: high accuracy density functional theory (DFT) calculations, J. Mol. Struct. (Theochem), 2003, 639, 195-201. 10.1016/j.theochem.2003.08.009Search in Google Scholar

Received: 2018-01-25
Accepted: 2018-09-21
Published Online: 2019-04-10

© 2019 A. Karakas et al., published by De Gruyter

This work is licensed under the Creative Commons Attribution 4.0 Public License.

Articles in the same Issue

  1. Regular Articles
  2. Research on correlation of compositions with oestrogenic activity of Cistanche based on LC/Q-TOF-MS/MS technology
  3. Efficacy of Pyrus elaeagnifolia subsp. elaeagnifolia in acetic acid–induced colitis model
  4. Anti-inflammatory and antinociceptive features of Bryonia alba L.: As a possible alternative in treating rheumatism
  5. High efficiency liposome fusion induced by reducing undesired membrane peptides interaction
  6. Prediction of the Blood-Brain Barrier Permeability Using RP-18 Thin Layer Chromatography
  7. Phytic Acid Extracted from Rice Bran as a Growth Promoter for Euglena gracilis
  8. Development of a validated spectrofluorimetric method for assay of sotalol hydrochloride in tablets and human plasma: application for stability-indicating studies
  9. Topological Indices of Hyaluronic Acid-Paclitaxel Conjugates’ Molecular Structure in Cancer Treatment
  10. Thermodynamic properties of the bubble growth process in a pool boiling of water-ethanol mixture two-component system
  11. Critical Roles of the PI3K-Akt-mTOR Signaling Pathway in Apoptosis and Autophagy of Astrocytes Induced by Methamphetamine
  12. Characteristics of Stable Hydrogen and Oxygen Isotopes of Soil Moisture under Different Land Use in Dry Hot Valley of Yuanmou
  13. Specific, highly sensitive and simple spectrofluorimetric method for quantification of daclatasvir in HCV human plasma patients and in tablets dosage form
  14. Chromium-modified cobalt molybdenum nitrides as catalysts for ammonia synthesis
  15. Langerhans cell-like dendritic cells treated with ginsenoside Rh2 regulate the differentiation of Th1 and Th2 cells in vivo
  16. Identification of Powdery Mildew Blumeria graminis f. sp. tritici Resistance Genes in Selected Wheat Varieties and Development of Multiplex PCR
  17. Computational Analysis of new Degree-based descriptors of oxide networks
  18. The Use Of Chemical Composition And Additives To Classify Petrol And Diesel Using Gas Chromatography–Mass Spectrometry And Chemometric Analysis: A Uk Study
  19. Minimal Energy Tree with 4 Branched Vertices
  20. Jatropha seed oil derived poly(esteramide-urethane)/ fumed silica nanocomposite coatings for corrosion protection
  21. Calculating topological indices of certain OTIS interconnection networks
  22. Energy storage analysis of R125 in UIO-66 and MOF-5 nanoparticles: A molecular simulation study
  23. Velvet Antler compounds targeting major cell signaling pathways in osteosarcoma - a new insight into mediating the process of invasion and metastasis in OS
  24. Effects of Azadirachta Indica Leaf Extract, Capping Agents, on the Synthesis of Pure And Cu Doped ZnO-Nanoparticles: A Green Approach and Microbial Activity
  25. Aqueous Micro-hydration of Na+(H2O)n=1-7 Clusters: DFT Study
  26. A proposed image-based detection of methamidophos pesticide using peroxyoxalate chemiluminescence system
  27. Phytochemical screening and estrogenic activity of total glycosides of Cistanche deserticola
  28. Biological evaluation of a series of benzothiazole derivatives as mosquitocidal agents
  29. Chemical pretreatments of Trapa bispinosa's peel (TBP) biosorbent to enhance adsorption capacity for Pb(ll)
  30. Dynamic Changes in MMP1 and TIMP1 in the Antifibrotic Process of Dahuang Zhechong Pill in Rats with Liver Fibrosis
  31. The Optimization and Production of Ginkgolide B Lipid Microemulsion
  32. Photodynamic Therapy Enhanced the Antitumor Effects of Berberine on HeLa Cells
  33. Chiral and Achiral Enantiomeric Separation of (±)-Alprenolol
  34. Correlation of Water Fluoride with Body Fluids, Dental Fluorosis and FT4, FT3 –TSH Disruption among Children in an Endemic Fluorosis area in Pakistan
  35. A one-step incubation ELISA kit for rapid determination of dibutyl phthalate in water, beverage and liquor
  36. Free Radical Scavenging Activity of Essential Oil of Eugenia caryophylata from Amboina Island and Derivatives of Eugenol
  37. Effects of Blue and Red Light On Growth And Nitrate Metabolism In Pakchoi
  38. miRNA-199a-5p functions as a tumor suppressor in prolactinomas
  39. Solar photodegradation of carbamazepine from aqueous solutions using a compound parabolic concentrator equipped with a sun tracking system
  40. Influence of sub-inhibitory concentration of selected plant essential oils on the physical and biochemical properties of Pseudomonas orientalis
  41. Preparation and spectroscopic studies of Fe(II), Ru(II), Pd(II) and Zn(II) complexes of Schiff base containing terephthalaldehyde and their transfer hydrogenation and Suzuki-Miyaura coupling reaction
  42. Complex formation in a liquid-liquid extraction-chromogenic system for vanadium(IV)
  43. Synthesis, characterization (IR, 1H, 13C & 31P NMR), fungicidal, herbicidal and molecular docking evaluation of steroid phosphorus compounds
  44. Analysis and Biological Evaluation of Arisaema Amuremse Maxim Essential Oil
  45. A preliminary assessment of potential ecological risk and soil contamination by heavy metals around a cement factory, western Saudi Arabia
  46. Anti- inflammatory effect of Prunus tomentosa Thunb total flavones in LPS-induced RAW264.7 cells
  47. Collaborative Influence of Elevated CO2 Concentration and High Temperature on Potato Biomass Accumulation and Characteristics
  48. Methods of extraction, physicochemical properties of alginates and their applications in biomedical field – a review
  49. Characteristics of liposomes derived from egg yolk
  50. Preparation of ternary ZnO/Ag/cellulose and its enhanced photocatalytic degradation property on phenol and benzene in VOCs
  51. Influence of Human Serum Albumin Glycation on the Binding Affinities for Natural Flavonoids
  52. Synthesis and antioxidant activity of 2-methylthio-pyrido[3,2-e][1,2,4] triazolo[1,5-a]pyrimidines
  53. Comparative study on the antioxidant activities of ten common flower teas from China
  54. Molecular Properties of Symmetrical Networks Using Topological Polynomials
  55. Synthesis of Co3O4 Nano Aggregates by Co-precipitation Method and its Catalytic and Fuel Additive Applications
  56. Phytochemical analysis, Antioxidant and Antiprotoscolices potential of ethanol extracts of selected plants species against Echinococcus granulosus: In-vitro study
  57. Silver nanoparticles enhanced fluorescence for sensitive determination of fluoroquinolones in water solutions
  58. Simultaneous Quantification of the New Psychoactive Substances 3-FMC, 3-FPM, 4-CEC, and 4-BMC in Human Blood using GC-MS
  59. Biodiesel Production by Lipids From Indonesian strain of Microalgae Chlorella vulgaris
  60. Miscibility studies of polystyrene/polyvinyl chloride blend in presence of organoclay
  61. Antibacterial Activities of Transition Metal complexes of Mesocyclic Amidine 1,4-diazacycloheptane (DACH)
  62. Novel 1,8-Naphthyridine Derivatives: Design, Synthesis and in vitro screening of their cytotoxic activity against MCF7 cell line
  63. Investigation of Stress Corrosion Cracking Behaviour of Mg-Al-Zn Alloys in Different pH Environments by SSRT Method
  64. Various Combinations of Flame Retardants for Poly (vinyl chloride)
  65. Phenolic compounds and biological activities of rye (Secale cereale L.) grains
  66. Oxidative degradation of gentamicin present in water by an electro-Fenton process and biodegradability improvement
  67. Optimizing Suitable Conditions for the Removal of Ammonium Nitrogen by a Microbe Isolated from Chicken Manure
  68. Anti-inflammatory, antipyretic, analgesic, and antioxidant activities of Haloxylon salicornicum aqueous fraction
  69. The anti-corrosion behaviour of Satureja montana L. extract on iron in NaCl solution
  70. Interleukin-4, hemopexin, and lipoprotein-associated phospholipase A2 are significantly increased in patients with unstable carotid plaque
  71. A comparative study of the crystal structures of 2-(4-(2-(4-(3-chlorophenyl)pipera -zinyl)ethyl) benzyl)isoindoline-1,3-dione by synchrotron radiation X-ray powder diffraction and single-crystal X-ray diffraction
  72. Conceptual DFT as a Novel Chemoinformatics Tool for Studying the Chemical Reactivity Properties of the Amatoxin Family of Fungal Peptides
  73. Occurrence of Aflatoxin M1 in Milk-based Mithae samples from Pakistan
  74. Kinetics of Iron Removal From Ti-Extraction Blast Furnace Slag by Chlorination Calcination
  75. Increasing the activity of DNAzyme based on the telomeric sequence: 2’-OMe-RNA and LNA modifications
  76. Exploring the optoelectronic properties of a chromene-appended pyrimidone derivative for photovoltaic applications
  77. Effect of He Qi San on DNA Methylation in Type 2 Diabetes Mellitus Patients with Phlegm-blood Stasis Syndrome
  78. Cyclodextrin potentiometric sensors based on selective recognition sites for procainamide: Comparative and theoretical study
  79. Greener synthesis of dimethyl carbonate from carbon dioxide and methanol using a tunable ionic liquid catalyst
  80. Nonisothermal Cold Crystallization Kinetics of Poly(lactic acid)/Bacterial Poly(hydroxyoctanoate) (PHO)/Talc
  81. Enhanced adsorption of sulfonamide antibiotics in water by modified biochar derived from bagasse
  82. Study on the Mechanism of Shugan Xiaozhi Fang on Cells with Non-alcoholic Fatty Liver Disease
  83. Comparative Effects of Salt and Alkali Stress on Antioxidant System in Cotton (Gossypium Hirsutum L.) Leaves
  84. Optimization of chromatographic systems for analysis of selected psychotropic drugs and their metabolites in serum and saliva by HPLC in order to monitor therapeutic drugs
  85. Electrocatalytic Properties of Ni-Doped BaFe12O19 for Oxygen Evolution in Alkaline Solution
  86. Study on the removal of high contents of ammonium from piggery wastewater by clinoptilolite and the corresponding mechanisms
  87. Phytochemistry and toxicological assessment of Bryonia dioica roots used in north-African alternative medicine
  88. The essential oil composition of selected Hemerocallis cultivars and their biological activity
  89. Mechanical Properties of Carbon Fiber Reinforced Nanocrystalline Nickel Composite Electroforming Deposit
  90. Anti-c-myc efficacy block EGFL7 induced prolactinoma tumorigenesis
  91. Topical Issue on Applications of Mathematics in Chemistry
  92. Zagreb Connection Number Index of Nanotubes and Regular Hexagonal Lattice
  93. The Sanskruti index of trees and unicyclic graphs
  94. Valency-based molecular descriptors of Bakelite network BNmn
  95. Computing Topological Indices for Para-Line Graphs of Anthracene
  96. Zagreb Polynomials and redefined Zagreb indices of Dendrimers and Polyomino Chains
  97. Topological Descriptor of 2-Dimensional Silicon Carbons and Their Applications
  98. Topological invariants for the line graphs of some classes of graphs
  99. Words for maximal Subgroups of Fi24
  100. Generators of Maximal Subgroups of Harada-Norton and some Linear Groups
  101. Special Issue on POKOCHA 2018
  102. Influence of Production Parameters on the Content of Polyphenolic Compounds in Extruded Porridge Enriched with Chokeberry Fruit (Aronia melanocarpa (Michx.) Elliott)
  103. Effects of Supercritical Carbon Dioxide Extraction (SC-CO2) on the content of tiliroside in the extracts from Tilia L. flowers
  104. Impact of xanthan gum addition on phenolic acids composition and selected properties of new gluten-free maize-field bean pasta
  105. Impact of storage temperature and time on Moldavian dragonhead oil – spectroscopic and chemometric analysis
  106. The effect of selected substances on the stability of standard solutions in voltammetric analysis of ascorbic acid in fruit juices
  107. Determination of the content of Pb, Cd, Cu, Zn in dairy products from various regions of Poland
  108. Special Issue on IC3PE 2018 Conference
  109. The Photocatalytic Activity of Zns-TiO2 on a Carbon Fiber Prepared by Chemical Bath Deposition
  110. N-octyl chitosan derivatives as amphiphilic carrier agents for herbicide formulations
  111. Kinetics and Mechanistic Study of Hydrolysis of Adenosine Monophosphate Disodium Salt (AMPNa2) in Acidic and Alkaline Media
  112. Antimalarial Activity of Andrographis Paniculata Ness‘s N-hexane Extract and Its Major Compounds
  113. Special Issue on ABB2018 Conference
  114. Special Issue on ICCESEN 2017
  115. Theoretical Diagnostics of Second and Third-order Hyperpolarizabilities of Several Acid Derivatives
  116. Determination of Gamma Rays Efficiency Against Rhizoctonia solani in Potatoes
  117. Studies On Compatibilization Of Recycled Polyethylene/Thermoplastic Starch Blends By Using Different Compatibilizer
  118. Liquid−Liquid Extraction of Linalool from Methyl Eugenol with 1-Ethyl-3-methylimidazolium Hydrogen Sulfate [EMIM][HSO4] Ionic Liquid
  119. Synthesis of Graphene Oxide Through Ultrasonic Assisted Electrochemical Exfoliation
  120. Special Issue on ISCMP 2018
  121. Synthesis and antiproliferative evaluation of some 1,4-naphthoquinone derivatives against human cervical cancer cells
  122. The influence of the grafted aryl groups on the solvation properties of the graphyne and graphdiyne - a MD study
  123. Electrochemical modification of platinum and glassy carbon surfaces with pyridine layers and their use as complexing agents for copper (II) ions
  124. Effect of Electrospinning Process on Total Antioxidant Activity of Electrospun Nanofibers Containing Grape Seed Extract
  125. Effect Of Thermal Treatment Of Trepel At Temperature Range 800-1200˚C
  126. Topical Issue on Agriculture
  127. The effect of Cladophora glomerata exudates on the amino acid composition of Cladophora fracta and Rhizoclonium sp.
  128. Influence of the Static Magnetic Field and Algal Extract on the Germination of Soybean Seeds
  129. The use of UV-induced fluorescence for the assessment of homogeneity of granular mixtures
  130. The use of microorganisms as bio-fertilizers in the cultivation of white lupine
  131. Lyophilized apples on flax oil and ethyl esters of flax oil - stability and antioxidant evaluation
  132. Production of phosphorus biofertilizer based on the renewable materials in large laboratory scale
  133. Human health risk assessment of potential toxic elements in paddy soil and rice (Oryza sativa) from Ugbawka fields, Enugu, Nigeria
  134. Recovery of phosphates(V) from wastewaters of different chemical composition
  135. Special Issue on the 4th Green Chemistry 2018
  136. Dead zone for hydrogenation of propylene reaction carried out on commercial catalyst pellets
  137. Improved thermally stable oligoetherols from 6-aminouracil, ethylene carbonate and boric acid
  138. The role of a chemical loop in removal of hazardous contaminants from coke oven wastewater during its treatment
  139. Combating paraben pollution in surface waters with a variety of photocatalyzed systems: Looking for the most efficient technology
  140. Special Issue on Chemistry Today for Tomorrow 2019
  141. Applying Discriminant and Cluster Analyses to Separate Allergenic from Non-allergenic Proteins
  142. Chemometric Expertise Of Clinical Monitoring Data Of Prolactinoma Patients
  143. Chemomertic Risk Assessment of Soil Pollution
  144. New composite sorbent for speciation analysis of soluble chromium in textiles
  145. Photocatalytic activity of NiFe2O4 and Zn0.5Ni0.5Fe2O4 modified by Eu(III) and Tb(III) for decomposition of Malachite Green
  146. Photophysical and antibacterial activity of light-activated quaternary eosin Y
  147. Spectral properties and biological activity of La(III) and Nd(III) Monensinates
  148. Special Issue on Monitoring, Risk Assessment and Sustainable Management for the Exposure to Environmental Toxins
  149. Soil organic carbon mineralization in relation to microbial dynamics in subtropical red soils dominated by differently sized aggregates
  150. A potential reusable fluorescent aptasensor based on magnetic nanoparticles for ochratoxin A analysis
  151. Special Issue on 13th JCC 2018
  152. Fluorescence study of 5-nitroisatin Schiff base immobilized on SBA-15 for sensing Fe3+
  153. Thermal and Morphology Properties of Cellulose Nanofiber from TEMPO-oxidized Lower part of Empty Fruit Bunches (LEFB)
  154. Encapsulation of Vitamin C in Sesame Liposomes: Computational and Experimental Studies
  155. A comparative study of the utilization of synthetic foaming agent and aluminum powder as pore-forming agents in lightweight geopolymer synthesis
  156. Synthesis of high surface area mesoporous silica SBA-15 by adjusting hydrothermal treatment time and the amount of polyvinyl alcohol
  157. Review of large-pore mesostructured cellular foam (MCF) silica and its applications
  158. Ion Exchange of Benzoate in Ni-Al-Benzoate Layered Double Hydroxide by Amoxicillin
  159. Synthesis And Characterization Of CoMo/Mordenite Catalyst For Hydrotreatment Of Lignin Compound Models
  160. Production of Biodiesel from Nyamplung (Calophyllum inophyllum L.) using Microwave with CaO Catalyst from Eggshell Waste: Optimization of Transesterification Process Parameters
  161. The Study of the Optical Properties of C60 Fullerene in Different Organic Solvents
  162. Composite Material Consisting of HKUST-1 and Indonesian Activated Natural Zeolite and its Application in CO2 Capture
  163. Topical Issue on Environmental Chemistry
  164. Ionic liquids modified cobalt/ZSM-5 as a highly efficient catalyst for enhancing the selectivity towards KA oil in the aerobic oxidation of cyclohexane
  165. Application of Thermal Resistant Gemini Surfactants in Highly Thixotropic Water-in-oil Drilling Fluid System
  166. Screening Study on Rheological Behavior and Phase Transition Point of Polymer-containing Fluids produced under the Oil Freezing Point Temperature
  167. The Chemical Softening Effect and Mechanism of Low Rank Coal Soaked in Alkaline Solution
  168. The Influence Of NO/O2 On The NOx Storage Properties Over A Pt-Ba-Ce/γ-Al2O3 Catalyst
  169. Special Issue on the International conference CosCI 2018
  170. Design of SiO2/TiO2 that Synergistically Increases The Hydrophobicity of Methyltrimethoxysilane Coated Glass
  171. Antidiabetes and Antioxidant agents from Clausena excavata root as medicinal plant of Myanmar
  172. Development of a Gold Immunochromatographic Assay Method Using Candida Biofilm Antigen as a Bioreceptor for Candidiasis in Rats
  173. Special Issue on Applied Biochemistry and Biotechnology 2019
  174. Adsorption of copper ions on Magnolia officinalis residues after solid-phase fermentation with Phanerochaete chrysosporium
  175. Erratum
  176. Erratum to: Sand Dune Characterization For Preparing Metallurgical Grade Silicon
Downloaded on 20.12.2025 from https://www.degruyterbrill.com/document/doi/10.1515/chem-2019-0020/html
Scroll to top button