Home Physical Sciences Optimization of chromatographic systems for analysis of selected psychotropic drugs and their metabolites in serum and saliva by HPLC in order to monitor therapeutic drugs
Article Open Access

Optimization of chromatographic systems for analysis of selected psychotropic drugs and their metabolites in serum and saliva by HPLC in order to monitor therapeutic drugs

  • K. Wróblewski , A. Petruczynik EMAIL logo , T. Tuzimski EMAIL logo , K. Prajsnar , D. Przygodzka , G. Buszewicz , H. Karakuła-Juchnowicz , J. Róg , J. Morylowska-Topolska and M. Waksmundzka-Hajnos
Published/Copyright: December 31, 2019

Abstract

Retention, separation selectivity and system efficiency of selected basic psychotropic drugs (clozapine, aripiprazole, vortioxetine and zolpidem) and drug metabolites (desmethylclozapine, clozapine N-oxide and dehydroaripiprazole) on Hydro RP, Phenyl-Hexyl and Polar RP columns were studied. Mobile phases containing methanol or acetonitrile as organic modifiers, acetate buffer at pH 3.5 and addition of diethylamine (DEA) as a silanol blocker were applied. Significant differences in the retention, peak shapes and systems’ efficiency of the investigated compounds were obtained depending on the tested chemically bonded stationary phases with various ligands. Based on the obtained results the Phenyl-Hexyl column was selected for analysis of the drugs and their metabolites in human serum and saliva samples. Solid phase extraction (SPE) was applied for sample pre-treatment. The best SPE-HPLC-DAD procedure was used for simultaneous analysis of clozapine, aripiprazole and their metabolites in body fluids. Liquid chromatography coupled with tandem mass spectrometry (LC-MS/MS) method was applied for confirmation of the presence of the investigated compounds in biological samples. The lower limit of quantification (LLOQ) of clozapine obtained using the proposed method was 10 ng/mL. The validated method for determining the presence of clozapine and its main metabolite was successfully applied in therapeutic drug monitoring.

Graphical Abstract

1 Introduction

Monitoring of psychotropic drugs in clinical studies is significant and establishing methodologies for analysing these drugs in biological matrices is essential for patients’ safety. To determine the concentrations of psychotropic drugs and their metabolites several methods have been developed. The majority of methods for analysing psychotropic drugs in different biological samples are based on combining a very efficient separation technique, for example high-performance liquid chromatography (HPLC), gas chromatography (GC) and capillary electrophoresis (CE), with a sensitive detection method. HPLC is one of the most efficient and robust separation techniques due to its convenience, simple operation, strong separation ability and wide sample application. HPLC with Ultraviolet-Visible (UV-VIS) [1], fluorescence [2], diode array (DAD) [3] mass spectrometry (LC-MS) [4] or tandem mass spectrometry (LC–MS/MS) [3, 5, 6, 7, 8, 9, 10] detection methods were often applied for analysis of different psychotropic drugs in various biological samples such as: serum [5, 6], plasma [4], urine [2], saliva [3], breast milk [7]. Most often HPLC analysis of psychotropic drugs was performed on octadecyl (C18) or octyl (C8) columns with mobile phases containing a mixture of organic modifier, water with addition of formic or acetic acid [5, 11, 12], acidic buffer [1, 6, 8], basic buffer [4], ammonium salts (acetate or formate) [13, 14] or amine [15]. Sometimes psychotropic drugs were analyzed on various columns, e.g., phenyl column [3].

Most of the published methods allow quantification of a single compound and sometimes with their related metabolite. Simultaneous quantification of various psychotropic drugs have also been published especially for the determination of drugs from the same therapeutic class. Rarely methods for simultaneous determination of drugs from different therapeutic classes were described. For example aripiprazole, atomoxetine, duloxetine, clozapine, olanzapine, sertindole, venlafaxine and their active metabolites dehydroaripiprazole, norclozapine, dehydrosertindole and O-desmethylvenlafaxinen were determined in human plasma [4], agomelatine, asenapine, amisulpride, iloperidone, zotepine, melperone, ziprasidone, vilazodone, aripiprazole and its metabolite dehydro-aripiprazole were quantified in human serum [6]. Simultaneous analysis of olanzapine, fluoxetine, and norfluoxetine in human plasma was also performed by HPLC-MS [16].

Aripiprazole, (7-{4-[4-(2,3-dichlorophenyl)piperazin-1-yl] butoxy}-3,4-dihydroquinolin-2(1H)-one), is a D2/5-HT1A/5- HT2C partial agonist and a D3/4/5-HT2A/5-HT7 antagonist, with moderate serotonin transporter inhibitory, antihistaminic H1, and adrenolytic a1 activities [17].

Aripiprazole is mainly metabolized in the liver through the cytochrome 450 (CYP) 3A4 and 2D6 isoenzymes to dehydroaripiprazole, an active metabolite possessing the same affinity for dopamine receptors but a lower antipsychotic activity than the parent drug.

Clozapine, as a newer atypical antipsychotic drug with distinct curative effect, is commonly used to treat schizophrenia and was determined by HPLC with UV detection in plasma and urine samples [12], in serum by HPLC with UV detection [15] and in hair and nails was quantified by UHPLC-MS/MS [18].

The aim of this work was to investigate selected psychotropic drugs and their metabolites on C18, Phenyl-Hexyl and Polar RP columns using aqueous eluents containing methanol (MeOH) or acetonitrile (MeCN) and diethylamine as silanol blocker to obtain sufficient selectivity of separation, system efficiency, and peak symmetry. The use of the double protection (use of stationary phase with π-π ligands and mobile phase containing addition of silanol blocker against interaction between aromatic basic solutes and residual silanol groups) allows symmetrical peaks and good system efficiency. The effect of using MeOH or MeCN as an organic modifier of mobile phases and the influence of different types of chemically bonded stationary phase on chromatographic parameters of investigated drugs were examined. Most selective chromatographic systems were used for qualitative and quantitative determination of clozapine and aripiprazole and their metabolites: desmethylclozapine, clozapine N-oxide and dehydroariprazol in human plasma and saliva samples. To the best of our knowledge for the first time the simultaneous quantification of clozapine, aripiprazole and their metabolites in human saliva is described. Our method was also successfully applied in therapeutic drug monitoring.

2 Materials and Methods

2.1 Chemicals

Standards of clozapine, zolpidem, vortioxetine, aripiprazole, drug metabolites (desmethylclozapine, clozapine N-oxide and dehydroaripiprazole) were purchased from EGIS Pharmaceuticals PLC (Budapest, Hungary), Polpharma (Starogard Gdański, Poland), Lundbeck (Copenhagen, Denmark), Otsuka Pharmaceutical Europe Ltd. (Wexham, Great Britain) and Sigma Aldrich (Saint Louis, USA) respectively. Zolpidem and vortioxetine were used as internal standards in methods for quantification of clozapine, aripiprazole and their metabolites in biological samples. Methanol (MeOH) and acetonitrile (MeCN) HPLC-grade and diethylamine (DEA), acetic acid, sodium acetate, ammonia (25%) and ammonium chloride were purchased from Merck (Darmstadt, Germany). Water used for preparation of mobile phases was double distilled.

2.2 Apparatus and HPLC conditions

The HPLC system (LaChrom Elite, Merck) was equipped with an autosampler, column oven L-7350, solvent degasser L-7612 and DAD detector. The chromatographic analyses were performed at 22°C with an eluent flow rate of 1.0 mL min-1. The chromatographic separations were carried out on Hydro RP 150 mm × 4.6 mm, 4 μm particle (Phenomenex), XSELECT Phenyl-Hexyl (150 mm x 4.6 mm, 5 μm) and Polar RP 80A 150 mm × 4.6 mm, 4 μm particle (Phenomenex) columns. Mobile phase compositions and gradient programs applied for HPLC-DAD analysis are shown in Table 1. The DAD detector was set in the 200–400 nm range. Data acquisition and processing were carried out with an EZchrom Elite software.

Table 1

HPLC-DAD and HPLC-MS/MS conditions.

Gradient I
ColumnXSELECT Phenyl-Hexyl (150 mm x 4.6 mm, 5 μm)
Injection volume20 μl
Temperature22 °C
Components of the mobile phaseA – Methanol + 0.025 M DEA
B– Water + 0.025 M DEA
C– acetate buffer pH 3.5 + 0.025 M DEA
Gradient profileTime (minute)%A%B%C
0404020
15453520
35602020
50602020
Gradient II
ColumnXSELECT Phenyl-Hexyl (150 mm x 4.6 mm, 5 μm)
Injection volume55 μl
Temperature22 °C
Components of the mobile phaseA – Methanol + 0.025 M DEA
B– Water + 0.025 M DEA
C– acetate buffer pH 3.5 + 0.025 M DEA
Gradient profileTime (minute)% A% B%C
0404020
15404020
35651520
45651520
Gradient III
ColumnHypersil Gold, 3.0 x 125 mm; 5 µm
Injection volume10 μl
Temperature40 °C
Components of the mobile phaseA – acetonitrile
B– 25 mM ammonium formate in water, pH 4.5
Gradient profileTime (minute)% A% BTime (minute)
05950
15951
16703016
17.5100017.5
19.5100019.5
21.059521.0
24.559524.5

2.3 LC-MS/MS conditions

The confirmation of the identity of the compound of interest has been performed by UHPLC-MS/MS experiments using a HPLC system (Dionex UltiMate 3000 UHPLC) equipped with the Hypersil Gold analytical column (Thermo Scientific). The column was thermostated at 40 °C. 10 μl of samples were injected into the LC-MS/MS system.

Mass spectrometry was carried out on linear ion trap mass spectrometer (Thermo Scientific Velos Pro) equipped with an atmospheric pressure chemical ionization (APCI) source operating in positive ion mode under the following conditions: source heater temperature of 400°C, capillary temperature of 260°C, collision energy was 35V, current corona discharge of 5 μA, the flow of gases (N2) surrounding– 50 ARB, auxiliary gas – 5 ARB. MS full scan (m/z 50–650) was used. APCI-MS/MS precursor ions parameters and retention time for analysed compounds are summarised in Table 2.

Table 2

APCI-MS/MS parameters and retention time for selected compounds.

Compound namePrecursor ionRetention time [minute]
Clozapine32712.65
Desmethylclozapine31312.18
Clozapine N-oxide34313.82
Aripiprazole44814.04
Dehydroaripiprazole44613.65

The mobile phase consisted of acetonitrile (eluent A) and 25 mM ammonium formate in water, pH 4.5 (eluent B). The gradient profile is as shown in Table 1. Elution was performed at flow rate of 0.4 mL/ min.

2.4 Serum and saliva sample collection

Serum and saliva samples were collected from psychiatric patients at Clinical Hospital No. 1 in Lublin (Poland). Samples of 5 ml venous blood were collected from patients treated by clozapine, and simultaneously by clozapine and aripiprazole. The samples were collected in steady state in the morning before the next dose. After blood coagulation the samples were centrifuged for 10 minutes at 1500 × g. The serum was separated and stored at −20°C until analysis. The saliva samples were collected using Salivette kit (Sarstedt, Nümbrecht, Germany). After centrifugation the saliva samples were separated and stored at −20°C until analysis. The study was approved by Bioethical Commission at Medical University of Lublin No KE-0254/254/2017.

2.5 Sample pre-treatment

Samples were prepared by solid phase extraction on BAKERBONDTM SPE Octadecyl (C18) J.T. Baker (Phillipsburg, USA) cartridges (100 mg m-1). Extraction was carried out in a SPE chamber – Baker SPE – 12 G J.T. Baker (Philipsburg, USA).

The sample pre-treatment SPE methods are described in our earlier work [3] as well as appropriate modified procedures developed and used in the comparative analysis in this work were applied, as described below.

2.5.1 Preparation of serum samples

2.5.1.1 Procedure I

1mL of the serum sample was diluted with 1 mL of ammonium buffer at pH 8.6. C18 SPE columns were initially activated using 1 mL of methanol and then conditioned using 1 mL of a mixture containing water and ammonium buffer at pH 8.6 (5:1, v/v). The ammonium buffer at pH 8.6 was used to suppress the dissociation of basic analytes allowing stronger retention on the C18 SPE columns. After washing and conditioning steps, the serum sample was introduced to the SPE columns at a speed of 1 mL/min. The columns were prewashed with 1 mL of a solution containing MeOH and water (20:80, v/v) and the dried by applying vacuum for 3 minutes. Next, the extracted compounds were eluted twice with 1 mL of solution of MeOH and acetic acid (98:2, v/v). The sample was then evaporated to dryness and dissolved in 0.5 mL of HPLC mobile phase (Table 1). 20 μL of the sample was injected directly into the HPLC system.

2.5.1.2 Procedure II

1mL of the serum sample was diluted with 1 mL of water. C18 SPE columns were activated with 1 mL of methanol and conditioned using 1 mL of water. After loading at speed 1 mL/min, the columns were prewashed with 1 mL of solution containing MeOH and water (20:80, v/v) and dried by applying vacuum for 3 minutes. Then, the analytes were eluted with 1 mL of a mixture containing methanol and acetic acid (98:2, v/v). The sample was evaporated to dryness and dissolved in 0.5 mL of HPLC mobile phase (Table 1). 20 μL of the eluate was injected directly into the HPLC system.

2.5.2 Preparation of saliva samples

2.5.2.1 Procedure I

0.2 mL of ammonium buffer at pH 8.6 was added to 1 mL of saliva sample. Before loading the sample at speed 1 mL/min the SPE C18 extraction column was activated with 1 mL of methanol and conditioned with 1 mL of a mixture containing water and ammonium buffer at pH 8.6 (5:1, v/v). The sample was passed through the SPE column and then the column was prewashed with 1 mL of solution containing MeOH and water (20:80, v/v). The SPE column was dried for 3 minutes (under vacuum). The analytes were eluted twice with 1 mL of mixture containing methanol and acetic acid (98:2, v/v). The sample was evaporated to dryness and dissolved in 0.5 mL of HPLC mobile phase (Table 1). 20 μL of the final sample was injected into the HPLC system.

2.5.2.2 Procedure II

In this procedure, the C18 extraction column was activated with 1 mL of methanol and conditioned with 1 mL of water. The saliva sample was then passed through the SPE column at a speed 1 mL/min. After sample loading, the column was prewashed with 1 mL of solution containing MeOH and water (20:80, v/v) and dried by applying vacuum for 3 minutes. The extracted compounds were eluted twice with 1 mL of mixture containing methanol and acetic acid (98:2, v/v). The sample was evaporated to dryness. The dry residue was reconstituted in 0.5 mL of mobile phase (Table 1). 20 μL of the sample was injected into the HPLC system.

2.6 Method validation

Before quantitative analysis the methods were validated taking into account evaluating the linearity, limit of detection (LOD), lower limit of quantification (LLOQ), selectivity, matrix effects, extraction recovery, process efficiency, precision and accuracy.

The limit of detection (LOD) is the lowest concentration of an analyte in a sample that can be detected, but not necessarily quantified under the stated experimental conditions and was defined as the lowest concentration of the calibration curve based on the signal-to-noise ratio of 3.

The lower limit of quantification (LLOQ) value is the lowest concentration of calibration standard used in the daily calibration curve which meets the acceptance criteria of 20% precision and accuracy.

The matrix effect was also examined (Table 2). No significant matrix effect ≤ 10% was observed for the investigated compounds. The matrix effect was in the range from 102.83 to 108.19% for investigated compounds. The higher matrix effect at 20 ng/mL was 106.58 and 108.19% for Clozapine and N-desmethylclozapine respectively. The lower matrix effect at 800 ng/mL was 103.58 and 102.83% for Clozapine and N-desmethylclozapine respectively.

2.6.1 Intraday precision and accuracy

Intraday precision and accuracy of the method were determined by analyzing six replicates at three concentrations: 20 ng/mL, 200 ng/mL and 800 ng/mL in the same day. Investigation of the potential interferences with the analyte peaks was performed by analyzing the saliva and serum samples from different sources.

2.6.2 Extraction recoveries

Extraction recoveries, extraction efficiencies and matrix effects were calculated at three concentration levels (20 ng/mL, 200 ng/mL and 800 ng/mL) based on the following formulas:

(1)Recovery(%)=CB×100
(2)ExtractionEfficiency(%)=CA×100
(3)Matrixeffect(%)=BA×100

where: A = external solution peak area, B = post-extraction sample peak area, C = extracted matrix peak area.

2.7 Practical application

The various chromatographic systems have been applied for the separation and analysis of various combinations of selected drugs and their metabolites in the serum and saliva samples obtained from psychiatric patients using the HPLC-DAD and LC-MS/MS methods. The optimal SPE procedure and chromatographic system was chosen for the determination of clozapine, aripiprazole and their active metabolites in human serum and saliva samples by HPLC-DAD. Optimal conditions for sample preparation and LC-MS/MS analysis was also applied for determination of clozapine and its active metabolite N-desmethylclozapine in the serum collected from patients treated with clozapine and aripiprazole for therapeutic drug monitoring.

Quantification of clozapine and its active metabolite N-desmethylclozapine was performed in the serum collected from patients treated with clozapine and aripiprazole based on the previously published method applied for determination of clozapine [3] after appropriate modification. Currently, the method allows determination of N-desmethylclozapine with the required accuracy and precision. This analytical method was successfully applied in routine therapeutic drug monitoring.

3 Results and discussion

3.1 Optimization of SPE procedure

This work is focused on the development of HPLC analytical method to achieve an efficient separation of selected psychotropic drugs and metabolites for the purpose of their analysis in human serum and saliva samples. Method development started with the optimization of sample preparation conditions. Psychotropic drugs and their metabolites from serum and saliva samples were extracted by SPE. In order to maximize extraction recovery and sample purification, the loading, washing, elution, evaporation and reconstitution steps of the sample preparation used during the SPE process were optimized and two optimum procedures in terms of extraction efficiency and sample purification were selected for the preparation of samples from patients.

The comparison of extraction efficiency obtained using the two selected extraction procedures of investigated drugs and metabolites from saliva samples is presented in Figure 1A. Both procedures were performed by SPE on Octadecyl C18 columns. In procedure I the SPE columns were conditioned by methanol followed by an ammonium buffer and in procedure II columns were conditioned by methanol followed by water. The remaining steps of the procedures were the same and as detailed in the Experimental section. For all investigated compounds higher extraction efficiency from saliva samples were obtained when procedure II was applied and therefore it was selected for the extraction of drugs from saliva samples from patients. The obtained results indicated that the composition of solvents applied for conditioning the SPE columns have a significant influence on extraction efficiency.

Figure 1A Comparison of extraction efficiency obtained for saliva samples by SPE procedures I or II (Details see section 2.5.1).
Figure 1A

Comparison of extraction efficiency obtained for saliva samples by SPE procedures I or II (Details see section 2.5.1).

The two sample preparation procedures were also successfully applied for extraction of the investigated compounds from human serum samples. For dehydroaripiprazole and vortioxetine a higher extraction efficiency for serum was obtained using procedure I, whereas for aripiprazole, clozapine, clozapine N-oxide and zolpidem a higher extraction efficiency was found for procedure II (Figure 1B). Similar extraction efficiencies were obtained for procedures for N-desmethylclozapine. On the basis of these experiments procedure II (without alkalization) was also used for extraction of drugs and their metabolites from serum samples, with the exception of samples containing only clozapine and its metabolite for which procedure I was applied.

Figure 1B Comparison of extraction efficiency obtained for serum samples by SPE procedures I or II (Details see section 2.5.1).
Figure 1B

Comparison of extraction efficiency obtained for serum samples by SPE procedures I or II (Details see section 2.5.1).

3.2 Optimization of chromatographic condition

In the next step of investigation, the chromatographic conditions were optimized through several steps in order to achieve good separation selectivity of analytes and matrix components. The optimization was performed for clozapine, aripiprazole and their metabolites: desmethylclozapine, clozapine N-oxide and dehydroaripiprazole and also for zolpidem and vortioxetine applied as internal standards. Symmetry of analyte peaks and systems efficiency were also taken into account. Octadecyl (C18) reversed phase columns are frequently used for analysis of basic compounds in biological samples but the residual silanols on the silica-based bonded stationary phases provide ion exchange sites. This results in excessive retention and peak tailing of basic compounds through a mixed-mode retention mechanism thus affecting the reproducibility and accuracy of the analytical results. Many approaches have been developed to mitigate the adverse effects of the residual silanols, one of them is the simultaneous application of stationary phases with preferable π-π interactions and mobile phases with addition of silanol blocking reagents. In order to determine the optimum HPLC-DAD and HPLC-MS/MS conditions, HPLC columns: C18 with alkyl bonded stationary phase and Polar RP or Phenyl-Hexyl columns with stationary phases containing phenyl substituents were tested. Various elution conditions with methanol or acetonitrile as organic modifier and different concentrations of DEA were examined for the determination of the investigated drugs and metabolites. The mobile phase composition in addition to the kind of stationary phase is one of the most important variables in the control of retention and system efficiency in HPLC. In the present study, the mobile phases containing methanol or acetonitrile, acetic buffer at pH 3.5 and 0.025 M DEA were selected. Comparison of the retention, the peak shape and the theoretical plate number per meter (N/m) representing the chromatographic column efficiency obtained for the investigated compounds on all applied columns was performed.

The strongest retention for most of the investigated analytes was observed on the Polar RP column and the weakest on the Phenyl-Hexyl column in both eluent systems (Table 3). For the octadecyl column for all investigated compounds stronger retention was obtained in eluent system with acetonitrile. Similar results were observed for the Phenyl-Hexyl column – strongest retention for all compounds was obtained in the eluent containing acetonitrile, whereas on Polar RP column dehydroaripiprazole and zolpidem were more strongly retained in the system with methanol. The best separation selectivity for the majority of investigated compounds was achieved on the Polar RP column in both eluent systems.

Table 3

tR (min) and As values for drugs and metabolites obtained on Hydro RP, Phenyl-Hexyl and Polar RP columns in eluent: 60% MeOH, acetic buffer at pH 3.5 and 0.025M DEA or 30% MeCN, acetic buffer at pH 3.5 and 0.025M DEA.

Name of compoundC18 stationary phasePhenyl stationary phases
Hydro RP columnPhenyl-Hexyl columnPolar RP column
MeOHMeCNMeOHMeCNMeOHMeCN
tRAstRAstRAstRAstRAstRAs
Arypiprazol24.211.6531.31.8620.481.2428.121.3535.451.2534.171.4
± 0.08± 0.03± 0.04± 0.06± 0.11± 0.02± 0.09± 0.05± 0.10± 0.01± 0.08± 0.02
Dehydroarypiprazol25.06±1.56±26.12 ±2.92 ±18.91 ±1.20 ±20.52 ±1.49 ±26.39 ±1.26 ±30.52 ±1.64 ±
0.070.060.100.110.090.020.110.060.100.030.120.07
Clozapine6.88 ±1.54 ±8.54 ±1.81 ±6.85 ±1.42 ±8.88 ±1.87 ±10.97 ±1.42 ±8.79 ±1.52 ±
0.020.050.050.090.060.030.090.070.120.030.090.04
N-desmethylclozapine3.98±1.05. ±5.08 ±1.52 ±5.84 ±1.70 ±7.05 ±1.48 ±8.21 ±1.31 ±5.84 ±1.59 ±
0.010.010.080.050.100.060.090.030.100.020.070.03
Clozapine N-oxide7.07± ±1.73±14.78 ±3.53 ±6.68 ±1.28 ±9.44 ±2.44 ±16.02 ±1.89 ±10.58 ±2.49 ±
0.020.080.100.120.080.030.100.120.110.100.040.08
Vortioxetine14.36±1.94 ±27.9 ±1.25 ±13.15 ±1.37 ±27.96 ±1.61 ±32.66 ±1.36 ±15.56 ±1.97 ±
0.100.080.140.010.120.030.110.070.150.010.080.05
Zolpidem5.61 ±1.02 ±8.54 ±1.19 ±5.54 ±1.1 ±6.64 ±1.26 ±10.02 ±1.03 ±12.59 ±1.28 ±
0.050.020.050.010.030.010.060.020.050.010.040.02

The symmetry of the peaks changed on all tested columns (Table 3). Better peak shape for most of the compounds was achieved in the system with the mobile phase containing methanol on phenyl stationary phases. For the Polar RP and Phenyl-Hexyl columns six out of seven compounds had values in the acceptable range. For the Phenyl-Hexyl column in the system with acetonitrile four compounds with symmetrical peaks were obtained. In the other systems only two compounds had values that were in the acceptable range. Taking into account the results obtained on all applied columns more symmetrical peaks were obtained in systems containing methanol as the organic modifier.

The effect of various columns with the same mobile phases was also compared in terms of efficiency (N/m values). As it can be seen in Figure 2 differences were observed in values of efficiency. In the system with methanol for five of the investigated compounds had the highest N/m values for the Polar RP column, for aripiprazole on Phenyl-Hexyl and for vortioxetine on Hydro RP column.

Figure 2 Comparison of N/m values obtained on C18, Polar RP and Phenyl-Hexyl columns with mobile phase containing 60% MeOH, acetic buffer at pH 3.5 and 0.025 M DEA.
Figure 2

Comparison of N/m values obtained on C18, Polar RP and Phenyl-Hexyl columns with mobile phase containing 60% MeOH, acetic buffer at pH 3.5 and 0.025 M DEA.

3.3 Qualitative analysis of clozapine, aripiprazole and their metabolites in serum and saliva samples

Currently, polytherapy is often used to treat schizophrenic patients. Therefore, there is a need to develop methods for the simultaneous determination of two or more drugs and their metabolites in samples from patients. The method optimization summarised in the previous section allows a choice in the chromatographic conditions for analysis of clozapine, aripiprazole and their metabolites in serum and saliva samples from psychiatric patients. Taking into account the results in terms of separation, selectivity of analytes, selectivity of separation in relation to the matrix components, peaks symmetry and system efficiency, the Phenyl-Hexyl column with mobile phase containing methanol, an acetate buffer pH 3.5 and DEA was selected for determining the analytes in biological samples. The gradient elution program is presented in Table 1 (program I). Metabolic pathways of aripiprazole and clozapine leading to the formation of their major metabolites are shown in Figure 3. An example showing a chromatogram obtained from serum from a patient treated with clozapine and aripiprazole is presented in Figure 4. Analytes were fully separated, and no interference was observed with the blank serum samples.

Figure 3 Metabolic pathways of aripiprazole and clozapine leading to the formation of their major metabolites [19].
Figure 3

Metabolic pathways of aripiprazole and clozapine leading to the formation of their major metabolites [19].

Figure 4 HPLC-DAD chromatogram obtained for serum sample received from patient treated with clozapine (CL) and aripiprazole (A) on Phenyl-Hexyl column with mobile phase containing MeOH, acetate buffer pH 3.5 (20%), DEA (0.025 M/L) using gradient I (see Table 1); DCL: N-desmethylclozapine, OCL: clozapine n-oxide, DA-dehydraripiprazole, IS1 zolpidem, IS2 –vortioxetine.
Figure 4

HPLC-DAD chromatogram obtained for serum sample received from patient treated with clozapine (CL) and aripiprazole (A) on Phenyl-Hexyl column with mobile phase containing MeOH, acetate buffer pH 3.5 (20%), DEA (0.025 M/L) using gradient I (see Table 1); DCL: N-desmethylclozapine, OCL: clozapine n-oxide, DA-dehydraripiprazole, IS1 zolpidem, IS2 –vortioxetine.

Saliva samples obtained from the same patient treated by clozapine and aripiprazole were also analysed. Both drugs and their metabolites were also determined in saliva samples. The presence of clozapine and aripiprazole and their metabolites in serum and saliva samples from patients were confirmed by interpretation of their MS spectra (Figure 5). The gradient elution program is presented in Table 1 (program III). It confirms that saliva is a potential material that can be used for determination of investigated compounds, including therapeutic drug monitoring as an alternative to a blood draw, with the primary advantage being the ease of sample acquisition following adequate patient instruction.

Figure 5 MS spectra obtained for selected drugs and their metabolites in serum and saliva samples on Hypersil Gold column with mobile phase containing acetonitrile and 25 mM ammonium formate in water, pH 4.5 using gradient III (see Table 1); 1) clozapine, 2) desmethylclozapine, 3) clozapine N-oxide, 4) aripiprazole, 5) dehydroaripiprazole.
Figure 5

MS spectra obtained for selected drugs and their metabolites in serum and saliva samples on Hypersil Gold column with mobile phase containing acetonitrile and 25 mM ammonium formate in water, pH 4.5 using gradient III (see Table 1); 1) clozapine, 2) desmethylclozapine, 3) clozapine N-oxide, 4) aripiprazole, 5) dehydroaripiprazole.

3.4 Quantitative analysis of clozapine, and their main metabolites in serum and saliva samples

Following the optimization of chromatographic systems we proposed a method using the Phenyl-Hexyl column and gradient elution program II (see Table 1) for analysis of clozapine and its active metabolite in body fluids due to the best selectivity of separation in relation to the matrix components, good peak shape and high system efficiency.

The method allows the determination of clozapine and N-desmethylclozapine with the required accuracy and precision. No significant interfering peaks were detected at similar retention times of the tested compounds when blank samples were evaluated (Figure 6A). For quantitative determination of clozapine in human serum a calibration curve was constructed by analyzing serum samples at six concentrations, ranging from 10 to 1000 ng/mL (r>0.9993). The analytical wavelength was 250 nm and the LLOQ was set at 10 ng/mL. The extraction recoveries were above 95% with precision below 8% CV. Validation parameters for clozapine and its main metabolite, N-desmethylclozapine, identified in samples from patients are presented in Table 4. Although HPLC-DAD provides valuable information for the separation and quantification of compounds present in biological samples, the use of conventional approaches based on absorption spectra and retention time is often limited when samples contain very similar compounds. Modern high-performance chromatographic techniques combined with other detectors are applied for the structural profiling and elucidation of active compounds. These techniques (such as MS) are often necessary for structure identification. For this purpose the presence of drugs and metabolites in samples from patients was confirmed by HPLC-MS/MS (Figure 6B). Detection conditions in mass spectrometer were also optimized to gain a better abundance of all analytes (Table 2).

Figure 6 Chromatograms obtained using the HPLC-DAD (A) and HPLC-MS (B) methods for serum sample obtained from a patient treated with clozapine in chromatographic systems: A) Phenyl-Hexyl column; mobile phase containing MeOH, acetate buffer pH 3.5 (20%), DEA (0.025 M/L); gradient II (see Table 1); B) Hypersil Gold column; mobile phase containing acetonitrile and 25 mM ammonium formate in water, pH 4.5; gradient III (see Table 1).
Figure 6

Chromatograms obtained using the HPLC-DAD (A) and HPLC-MS (B) methods for serum sample obtained from a patient treated with clozapine in chromatographic systems: A) Phenyl-Hexyl column; mobile phase containing MeOH, acetate buffer pH 3.5 (20%), DEA (0.025 M/L); gradient II (see Table 1); B) Hypersil Gold column; mobile phase containing acetonitrile and 25 mM ammonium formate in water, pH 4.5; gradient III (see Table 1).

Table 4

Validation parameters obtained for Clozapine and N-desmethylclozapine.

Name of compoundConcentration added (ng/mL)Recovery (%)Matrix effect (%)Proces efficiency (%)Accurency (%)Precision (%CV)
Clozapine2098.50106.58104.9892.547.92
± 1.94± 3.06±2.06
20095.07102.9597.88100.027.61
± 5.65± 4.39± 5.82
80098.74103.58102.2897.334.73
± 4.36±2.05± 4.51
N-desmethylclozapine2095.09108.19102.87111.997.85
± 1.96± 3.1± 2.12
20096.04103.9799.85107.026.59
± 5.71± 2.1±5.93
80096.27102.8398.9996.013.81
± 4.25± 1.74± 4.37

3.5 Application of the method in therapeutic drug monitoring

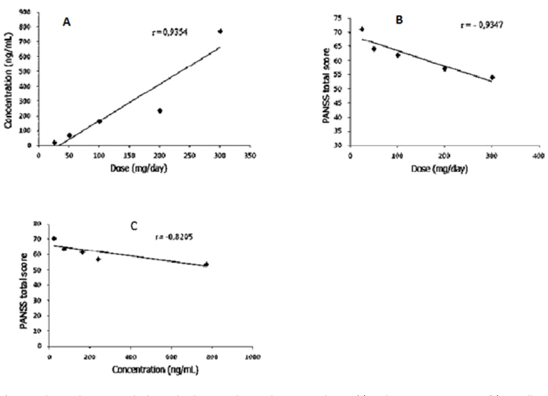
The developed method was also applied in therapeutic drug monitoring. An example of application of the method for monitoring the concentration of clozapine and the therapeutic effect is presented below. Blood samples were collected from patients at various time intervals (within approximately 5 weeks) at steady state prior to the next dose of the drug. A good correlation between the dose and the drug concentration in serum was obtained. The therapeutic effect was assessed with the Positive and Negative Syndrome Scale (PANSS). The relationships between dose, serum concentration of the drug and the therapeutic effect were also determined. An example of the obtained results is shown in Figure 7. The samples were collected from a woman (22 years old, weight: 74 kg, high: 179 cm) suffering from paranoid schizophrenia who had no liver and kidney problems (appropriate laboratory tests have been carried out). The patient was treated with clozapine. Good correlation between serum drug concentration, applied dose and decreasing number of points on the PANSS scale was observed which indicates a linear dependence of the dose - therapeutic effect in this patient. The results indicate that by controlling the drug concentration in the serum the appropriate therapeutic dose can be easily selected. In the sample obtained from the patient after administration of the 300 mg per day dose the highest serum concentration of clozapine was determined as 196 ng/mL. The active metabolite N-desmethylclozapine was also determined in serum samples obtained from the patient. The procedure allows having results for clinical decisions in a short period of time.

Figure 7 The graphs presented relationship between dose and PANSS total score (A) or clozapine concentration (B) as well as correlation between clozapine concentration and PANSS total score (C).
Figure 7

The graphs presented relationship between dose and PANSS total score (A) or clozapine concentration (B) as well as correlation between clozapine concentration and PANSS total score (C).

4 Conclusions

Significant differences in retention, peak shapes and system efficiency of the investigated psychotropic drugs and their metabolites were obtained on chemically bonded stationary phases with alkyl and phenyl ligands. In mobile phases containing methanol or acetonitrile the highest N/m values for nearly all compounds were obtained on the Polar RP column while the most symmetrical peaks were obtained on Phenyl-Hexyl and C18 columns.

The most symmetrical peaks were obtained on all tested columns in eluent systems containing methanol as organic modifier, but higher system efficiency was found for all columns and the target compounds in mobile phases containing acetonitrile.

In the current study the HPLC analytical quantification method was developed, validated and demonstrated to be selective, linear, precise, accurate and robust, being useful for analysis of aripiprazole, clozapine and their metabolites in human serum and saliva samples. The Phenyl-Hexyl column was selected for analysis of the clozapine, aripiprazole and their metabolites in body fluids due to the best selectivity of separation from the matrix components and high system efficiency.

The SPE process effectively removes interfering substances from the matrix and the optimal HPLC procedure allows the analysis of clozapine, aripiprazole and their metabolites in serum and saliva samples from psychiatric patients. The comparison of two SPE procedures indicated that SPE column conditioning is significant for recoveries of investigated drugs and metabolites.

The proposed method has been successfully applied for determining the presence of the investigated drugs and their metabolites in serum and saliva samples obtained from patients.

Aripiprazole and its metabolites were previously determined in serum [5, 6], serum and saliva samples [3]. Clozapine was determined in human plasma [1,4,14], human serum [15], urine [14], hair and nail [18]. This is the first report describing simultaneous quantification of clozapine, aripiprazole and their metabolites in human saliva. The use of saliva compared to serum or plasma for determination of psychotropic drugs has been shown to be an attractive alternative for therapeutic drug monitoring in psychiatric patients because its collection is simpler, non-invasive and painless.

The HPLC method for determining clozapine and its main metabolite was successfully applied in therapeutic drug monitoring and demonstrated a good correlation between applied dose, serum drug concentration, and number of points on the PANSS scale obtained in a patient for whom this relationship was studied. The method can be applied for routine human serum therapeutic drug monitoring.

Implementation of monitoring therapy for patients medicated with clozapine and their active metabolite can facilitate the treatment objective which is to establish and maintain in individual patients the minimum concentration of the drug, which ensures effectiveness of the treatment while causing the least expressed side-effects. Monitoring therapeutic concentrations of clozapine and its active metabolite can significantly contribute to personalized drug therapies in psychiatry. The method follows new trends in the treatment of psychological diseases and it is an interesting tool for monitoring drugs, which is important in clinical practice.

  1. Conflict of interest All authors declare that there is no conflict of interest.

  2. Ethical statement All procedures involving humans in this study were approved by the Bioethical Commission at Medical University of Lublin No KE-0254/254/2017 and confirm to the Declaration of Helsinki. Serum and saliva samples were provided by the Department of Clinical Neuropsychiatry Medical University of Lublin. Informed consent was obtained from all individual participants included in the study.

References

[1] Asghari A., Fahimi E., Bazregar M., Rajabi M., Boutorabi L., Rapid determination of some psychotropic drugs in complex matrices by tandem dispersive liquid–liquid microextraction followed by high performance liquid chromatography. J. Chromatogr. B, 2017, 1052, 51–59.10.1016/j.jchromb.2017.03.012Search in Google Scholar PubMed

[2] Rodríguez J., Castaneda G., Munoz L., Rapid determination of letrozole, citalopram and their metabolites by high performance liquid chromatography-fluorescence detection in urine: Method validation and application to real samples, J. Chromatogr. B, 2013, 913– 914, 12– 18.10.1016/j.jchromb.2012.11.015Search in Google Scholar PubMed

[3] Petruczynik A., Wróblewski K., Szultka-Młynska M., Buszewski B., Karakuła-Juchnowicz H., Gajewski J., Morylowska-Topolska J., Waksmundzka-Hajnos M., Determination of some psychotropic drugs in serum and saliva samples by HPLC-DAD and HPLC-MS, J. Pharm. Biomed. Anal., 2016, 127, 68–80.10.1016/j.jpba.2016.01.004Search in Google Scholar PubMed

[4] Choong E., Rudaz S., Kottelat A., Guillarme D., Veuthey J.-L., Eap C.B., Therapeutic drug monitoring of seven psychotropic drugs and four metabolites in human plasma by HPLC–MS, J. Pharm. Biomed. Anal., 2009, 50, 1000–1008.10.1016/j.jpba.2009.07.007Search in Google Scholar PubMed

[5] Caloro M., Lionetto L., Cuomo I., Simonettia A., Puccia D., De Persis S., Casolla B., Kotzalidis G.D., Sciarretta A., De Filippis S., Simmaco, M., Girardi P., An improved simple LC–MS/MS method for the measurement of serum aripiprazole and its major metabolite, J. Pharm. Biomed. Anal., 2012, 62, 135– 139.10.1016/j.jpba.2012.01.003Search in Google Scholar PubMed

[6] Sistik P., Urinovska R., Brozmanova H., Kacirova I., Silhan P., Lemr K., Fast simultaneous LC/MS/MS determination of 10 active compounds in human serum for therapeutic drug monitoring in psychiatric medication, Biomed. Chromatogr., 2016, 30, 217–224.10.1002/bmc.3538Search in Google Scholar PubMed

[7] Schoretsanitis G., Augustin M., Saßmannshausen H., Franz C., Gründer G., Paulzen M., Antidepressants in breast milk; comparative analysis of excretion ratios, Arch. Women Ment. Hlth., 2019, 22, 83–390.10.1007/s00737-018-0905-3Search in Google Scholar PubMed

[8] Szafarz M., Wencel A., Pociecha K., Fedak F.A., Wlaź P., Wyska E., Pharmacokinetic study of tianeptine and its active metabolite MC5 in rats following different routes of administration using a novel liquid chromatography tandem mass spectrometry analytical method, N-S Arch. Pharmacol., 2018, 391, 185–196.10.1007/s00210-017-1448-2Search in Google Scholar PubMed PubMed Central

[9] Tuzimski T., HPLC-MS (MS/MS) as a Method of Identification and Quantification of Drugs and Veterinary Drug Residues in Food, Feed, Environmental and Biological Samples, in: Tuzimski, T.; Sherma, J. (Eds.), Determination of Target Xenobiotics and Unknown Compound Residues in Food, Environmental, and Biological Samples, CRC Press, 2019.10.1201/9780429446900Search in Google Scholar

[10] Tuzimski T., Ultra-performance Liquid Chromatography (UPLC) Applied to Analysis of Drugs and Veterinary Drug Residues in Food, Environmental and Biological Samples, in: Tuzimski, T.; Sherma, J. (Eds.), Determination of Target Xenobiotics and Unknown Compound Residues in Food, Environmental, and Biological Samples, CRC Press, 2019.10.1201/9780429446900Search in Google Scholar

[11] Andreassen T.N., Falch B.M.H., Spigset O.A., UPLC–MSMS method for the analysis of olanzapine in serum—with particular emphasis on drug stability testing, J. Chromatogr, B, 2015, 1006, 112–120.10.1016/j.jchromb.2015.10.029Search in Google Scholar PubMed

[12] Bonde S.L., Bhadane R.P., Gaikwad A., Gavali S.R., Katale D.U., Narendiran A.S., Simultaneous determination of Olanzapine and Fluoxetine in human plasma by LC–MS/MS: Its pharmacokinetic application, J. Pharm. Biomed. Anal., 2014, 90, 64–71.10.1016/j.jpba.2013.10.033Search in Google Scholar PubMed

[13] Xiong C., Ruan J., Cai Y., Tang Y., Extraction and determination of some psychotropic drugs in urine samples using dispersive liquid–liquid microextraction followed by high-performance liquid chromatography, J. Pharm. Biomed. Anal., 2009, 49, 572–578.10.1016/j.jpba.2008.11.036Search in Google Scholar PubMed

[14] Li D., Zou J, Cai P.-S., Xiong C.-M., Ruan J.-L., Preparation of magnetic ODS-PAN thin-films for microextraction of quetiapine and clozapine in plasma and urine samples followed by HPLC-UV detection, J. Pharm. Biomed. Anal. 2016, 125, 319–328.10.1016/j.jpba.2016.04.006Search in Google Scholar PubMed

[15] Piwowarska J., Radziwon-Zaleska M., Dmochowska M., Szepietowska E., Matsumoto H., Sygitowicz G., Pilc A., Łukaszkiewicz J., The usefulness of monitored therapy using Clozapine concentration in the blood serum for determining drug dose in Polish schizophrenic patients, Pharmacol. Rep., 2016, 68, 1120–1125.10.1016/j.pharep.2016.06.016Search in Google Scholar PubMed

[16] Ni X.-J., Wang Z.-Z., Shang D.-W., Lu H.-Y., Zhang M., Wen Y.-G., Simultaneous analysis of olanzapine, fluoxetine, and norfluoxetine in human plasma using liquid chromatography-mass spectrometry and its application to a pharmacokinetic study, J. Chromatogr. B, 2018, 1092, 506–514.10.1016/j.jchromb.2018.05.026Search in Google Scholar PubMed

[17] Sharif Z.A., Lieberman J.A., Aripiprazole, in: Schatzberg, A.F.; Nemeroff C.B. (Eds.), The American Psychiatric Publishing Textbook of Psychopharmacology, fourth ed., American Psychiatric Pub., Inc., Washington, DC, 2009.10.1176/appi.books.9781585623860.as31Search in Google Scholar

[18] Chen H., Xiang P., Shen M., Determination of clozapine in hair and nail: The role of keratinous biological materials in the identification of a bloated cadaver case, J. Forensic Leg. Med., 2014, 22, 62-67.10.1016/j.jflm.2013.12.009Search in Google Scholar PubMed

Received: 2019-07-27
Accepted: 2019-10-29
Published Online: 2019-12-31

© 2019 K. Wróblewski et al., published by De Gruyter

This work is licensed under the Creative Commons Attribution 4.0 Public License.

Articles in the same Issue

  1. Regular Articles
  2. Research on correlation of compositions with oestrogenic activity of Cistanche based on LC/Q-TOF-MS/MS technology
  3. Efficacy of Pyrus elaeagnifolia subsp. elaeagnifolia in acetic acid–induced colitis model
  4. Anti-inflammatory and antinociceptive features of Bryonia alba L.: As a possible alternative in treating rheumatism
  5. High efficiency liposome fusion induced by reducing undesired membrane peptides interaction
  6. Prediction of the Blood-Brain Barrier Permeability Using RP-18 Thin Layer Chromatography
  7. Phytic Acid Extracted from Rice Bran as a Growth Promoter for Euglena gracilis
  8. Development of a validated spectrofluorimetric method for assay of sotalol hydrochloride in tablets and human plasma: application for stability-indicating studies
  9. Topological Indices of Hyaluronic Acid-Paclitaxel Conjugates’ Molecular Structure in Cancer Treatment
  10. Thermodynamic properties of the bubble growth process in a pool boiling of water-ethanol mixture two-component system
  11. Critical Roles of the PI3K-Akt-mTOR Signaling Pathway in Apoptosis and Autophagy of Astrocytes Induced by Methamphetamine
  12. Characteristics of Stable Hydrogen and Oxygen Isotopes of Soil Moisture under Different Land Use in Dry Hot Valley of Yuanmou
  13. Specific, highly sensitive and simple spectrofluorimetric method for quantification of daclatasvir in HCV human plasma patients and in tablets dosage form
  14. Chromium-modified cobalt molybdenum nitrides as catalysts for ammonia synthesis
  15. Langerhans cell-like dendritic cells treated with ginsenoside Rh2 regulate the differentiation of Th1 and Th2 cells in vivo
  16. Identification of Powdery Mildew Blumeria graminis f. sp. tritici Resistance Genes in Selected Wheat Varieties and Development of Multiplex PCR
  17. Computational Analysis of new Degree-based descriptors of oxide networks
  18. The Use Of Chemical Composition And Additives To Classify Petrol And Diesel Using Gas Chromatography–Mass Spectrometry And Chemometric Analysis: A Uk Study
  19. Minimal Energy Tree with 4 Branched Vertices
  20. Jatropha seed oil derived poly(esteramide-urethane)/ fumed silica nanocomposite coatings for corrosion protection
  21. Calculating topological indices of certain OTIS interconnection networks
  22. Energy storage analysis of R125 in UIO-66 and MOF-5 nanoparticles: A molecular simulation study
  23. Velvet Antler compounds targeting major cell signaling pathways in osteosarcoma - a new insight into mediating the process of invasion and metastasis in OS
  24. Effects of Azadirachta Indica Leaf Extract, Capping Agents, on the Synthesis of Pure And Cu Doped ZnO-Nanoparticles: A Green Approach and Microbial Activity
  25. Aqueous Micro-hydration of Na+(H2O)n=1-7 Clusters: DFT Study
  26. A proposed image-based detection of methamidophos pesticide using peroxyoxalate chemiluminescence system
  27. Phytochemical screening and estrogenic activity of total glycosides of Cistanche deserticola
  28. Biological evaluation of a series of benzothiazole derivatives as mosquitocidal agents
  29. Chemical pretreatments of Trapa bispinosa's peel (TBP) biosorbent to enhance adsorption capacity for Pb(ll)
  30. Dynamic Changes in MMP1 and TIMP1 in the Antifibrotic Process of Dahuang Zhechong Pill in Rats with Liver Fibrosis
  31. The Optimization and Production of Ginkgolide B Lipid Microemulsion
  32. Photodynamic Therapy Enhanced the Antitumor Effects of Berberine on HeLa Cells
  33. Chiral and Achiral Enantiomeric Separation of (±)-Alprenolol
  34. Correlation of Water Fluoride with Body Fluids, Dental Fluorosis and FT4, FT3 –TSH Disruption among Children in an Endemic Fluorosis area in Pakistan
  35. A one-step incubation ELISA kit for rapid determination of dibutyl phthalate in water, beverage and liquor
  36. Free Radical Scavenging Activity of Essential Oil of Eugenia caryophylata from Amboina Island and Derivatives of Eugenol
  37. Effects of Blue and Red Light On Growth And Nitrate Metabolism In Pakchoi
  38. miRNA-199a-5p functions as a tumor suppressor in prolactinomas
  39. Solar photodegradation of carbamazepine from aqueous solutions using a compound parabolic concentrator equipped with a sun tracking system
  40. Influence of sub-inhibitory concentration of selected plant essential oils on the physical and biochemical properties of Pseudomonas orientalis
  41. Preparation and spectroscopic studies of Fe(II), Ru(II), Pd(II) and Zn(II) complexes of Schiff base containing terephthalaldehyde and their transfer hydrogenation and Suzuki-Miyaura coupling reaction
  42. Complex formation in a liquid-liquid extraction-chromogenic system for vanadium(IV)
  43. Synthesis, characterization (IR, 1H, 13C & 31P NMR), fungicidal, herbicidal and molecular docking evaluation of steroid phosphorus compounds
  44. Analysis and Biological Evaluation of Arisaema Amuremse Maxim Essential Oil
  45. A preliminary assessment of potential ecological risk and soil contamination by heavy metals around a cement factory, western Saudi Arabia
  46. Anti- inflammatory effect of Prunus tomentosa Thunb total flavones in LPS-induced RAW264.7 cells
  47. Collaborative Influence of Elevated CO2 Concentration and High Temperature on Potato Biomass Accumulation and Characteristics
  48. Methods of extraction, physicochemical properties of alginates and their applications in biomedical field – a review
  49. Characteristics of liposomes derived from egg yolk
  50. Preparation of ternary ZnO/Ag/cellulose and its enhanced photocatalytic degradation property on phenol and benzene in VOCs
  51. Influence of Human Serum Albumin Glycation on the Binding Affinities for Natural Flavonoids
  52. Synthesis and antioxidant activity of 2-methylthio-pyrido[3,2-e][1,2,4] triazolo[1,5-a]pyrimidines
  53. Comparative study on the antioxidant activities of ten common flower teas from China
  54. Molecular Properties of Symmetrical Networks Using Topological Polynomials
  55. Synthesis of Co3O4 Nano Aggregates by Co-precipitation Method and its Catalytic and Fuel Additive Applications
  56. Phytochemical analysis, Antioxidant and Antiprotoscolices potential of ethanol extracts of selected plants species against Echinococcus granulosus: In-vitro study
  57. Silver nanoparticles enhanced fluorescence for sensitive determination of fluoroquinolones in water solutions
  58. Simultaneous Quantification of the New Psychoactive Substances 3-FMC, 3-FPM, 4-CEC, and 4-BMC in Human Blood using GC-MS
  59. Biodiesel Production by Lipids From Indonesian strain of Microalgae Chlorella vulgaris
  60. Miscibility studies of polystyrene/polyvinyl chloride blend in presence of organoclay
  61. Antibacterial Activities of Transition Metal complexes of Mesocyclic Amidine 1,4-diazacycloheptane (DACH)
  62. Novel 1,8-Naphthyridine Derivatives: Design, Synthesis and in vitro screening of their cytotoxic activity against MCF7 cell line
  63. Investigation of Stress Corrosion Cracking Behaviour of Mg-Al-Zn Alloys in Different pH Environments by SSRT Method
  64. Various Combinations of Flame Retardants for Poly (vinyl chloride)
  65. Phenolic compounds and biological activities of rye (Secale cereale L.) grains
  66. Oxidative degradation of gentamicin present in water by an electro-Fenton process and biodegradability improvement
  67. Optimizing Suitable Conditions for the Removal of Ammonium Nitrogen by a Microbe Isolated from Chicken Manure
  68. Anti-inflammatory, antipyretic, analgesic, and antioxidant activities of Haloxylon salicornicum aqueous fraction
  69. The anti-corrosion behaviour of Satureja montana L. extract on iron in NaCl solution
  70. Interleukin-4, hemopexin, and lipoprotein-associated phospholipase A2 are significantly increased in patients with unstable carotid plaque
  71. A comparative study of the crystal structures of 2-(4-(2-(4-(3-chlorophenyl)pipera -zinyl)ethyl) benzyl)isoindoline-1,3-dione by synchrotron radiation X-ray powder diffraction and single-crystal X-ray diffraction
  72. Conceptual DFT as a Novel Chemoinformatics Tool for Studying the Chemical Reactivity Properties of the Amatoxin Family of Fungal Peptides
  73. Occurrence of Aflatoxin M1 in Milk-based Mithae samples from Pakistan
  74. Kinetics of Iron Removal From Ti-Extraction Blast Furnace Slag by Chlorination Calcination
  75. Increasing the activity of DNAzyme based on the telomeric sequence: 2’-OMe-RNA and LNA modifications
  76. Exploring the optoelectronic properties of a chromene-appended pyrimidone derivative for photovoltaic applications
  77. Effect of He Qi San on DNA Methylation in Type 2 Diabetes Mellitus Patients with Phlegm-blood Stasis Syndrome
  78. Cyclodextrin potentiometric sensors based on selective recognition sites for procainamide: Comparative and theoretical study
  79. Greener synthesis of dimethyl carbonate from carbon dioxide and methanol using a tunable ionic liquid catalyst
  80. Nonisothermal Cold Crystallization Kinetics of Poly(lactic acid)/Bacterial Poly(hydroxyoctanoate) (PHO)/Talc
  81. Enhanced adsorption of sulfonamide antibiotics in water by modified biochar derived from bagasse
  82. Study on the Mechanism of Shugan Xiaozhi Fang on Cells with Non-alcoholic Fatty Liver Disease
  83. Comparative Effects of Salt and Alkali Stress on Antioxidant System in Cotton (Gossypium Hirsutum L.) Leaves
  84. Optimization of chromatographic systems for analysis of selected psychotropic drugs and their metabolites in serum and saliva by HPLC in order to monitor therapeutic drugs
  85. Electrocatalytic Properties of Ni-Doped BaFe12O19 for Oxygen Evolution in Alkaline Solution
  86. Study on the removal of high contents of ammonium from piggery wastewater by clinoptilolite and the corresponding mechanisms
  87. Phytochemistry and toxicological assessment of Bryonia dioica roots used in north-African alternative medicine
  88. The essential oil composition of selected Hemerocallis cultivars and their biological activity
  89. Mechanical Properties of Carbon Fiber Reinforced Nanocrystalline Nickel Composite Electroforming Deposit
  90. Anti-c-myc efficacy block EGFL7 induced prolactinoma tumorigenesis
  91. Topical Issue on Applications of Mathematics in Chemistry
  92. Zagreb Connection Number Index of Nanotubes and Regular Hexagonal Lattice
  93. The Sanskruti index of trees and unicyclic graphs
  94. Valency-based molecular descriptors of Bakelite network BNmn
  95. Computing Topological Indices for Para-Line Graphs of Anthracene
  96. Zagreb Polynomials and redefined Zagreb indices of Dendrimers and Polyomino Chains
  97. Topological Descriptor of 2-Dimensional Silicon Carbons and Their Applications
  98. Topological invariants for the line graphs of some classes of graphs
  99. Words for maximal Subgroups of Fi24
  100. Generators of Maximal Subgroups of Harada-Norton and some Linear Groups
  101. Special Issue on POKOCHA 2018
  102. Influence of Production Parameters on the Content of Polyphenolic Compounds in Extruded Porridge Enriched with Chokeberry Fruit (Aronia melanocarpa (Michx.) Elliott)
  103. Effects of Supercritical Carbon Dioxide Extraction (SC-CO2) on the content of tiliroside in the extracts from Tilia L. flowers
  104. Impact of xanthan gum addition on phenolic acids composition and selected properties of new gluten-free maize-field bean pasta
  105. Impact of storage temperature and time on Moldavian dragonhead oil – spectroscopic and chemometric analysis
  106. The effect of selected substances on the stability of standard solutions in voltammetric analysis of ascorbic acid in fruit juices
  107. Determination of the content of Pb, Cd, Cu, Zn in dairy products from various regions of Poland
  108. Special Issue on IC3PE 2018 Conference
  109. The Photocatalytic Activity of Zns-TiO2 on a Carbon Fiber Prepared by Chemical Bath Deposition
  110. N-octyl chitosan derivatives as amphiphilic carrier agents for herbicide formulations
  111. Kinetics and Mechanistic Study of Hydrolysis of Adenosine Monophosphate Disodium Salt (AMPNa2) in Acidic and Alkaline Media
  112. Antimalarial Activity of Andrographis Paniculata Ness‘s N-hexane Extract and Its Major Compounds
  113. Special Issue on ABB2018 Conference
  114. Special Issue on ICCESEN 2017
  115. Theoretical Diagnostics of Second and Third-order Hyperpolarizabilities of Several Acid Derivatives
  116. Determination of Gamma Rays Efficiency Against Rhizoctonia solani in Potatoes
  117. Studies On Compatibilization Of Recycled Polyethylene/Thermoplastic Starch Blends By Using Different Compatibilizer
  118. Liquid−Liquid Extraction of Linalool from Methyl Eugenol with 1-Ethyl-3-methylimidazolium Hydrogen Sulfate [EMIM][HSO4] Ionic Liquid
  119. Synthesis of Graphene Oxide Through Ultrasonic Assisted Electrochemical Exfoliation
  120. Special Issue on ISCMP 2018
  121. Synthesis and antiproliferative evaluation of some 1,4-naphthoquinone derivatives against human cervical cancer cells
  122. The influence of the grafted aryl groups on the solvation properties of the graphyne and graphdiyne - a MD study
  123. Electrochemical modification of platinum and glassy carbon surfaces with pyridine layers and their use as complexing agents for copper (II) ions
  124. Effect of Electrospinning Process on Total Antioxidant Activity of Electrospun Nanofibers Containing Grape Seed Extract
  125. Effect Of Thermal Treatment Of Trepel At Temperature Range 800-1200˚C
  126. Topical Issue on Agriculture
  127. The effect of Cladophora glomerata exudates on the amino acid composition of Cladophora fracta and Rhizoclonium sp.
  128. Influence of the Static Magnetic Field and Algal Extract on the Germination of Soybean Seeds
  129. The use of UV-induced fluorescence for the assessment of homogeneity of granular mixtures
  130. The use of microorganisms as bio-fertilizers in the cultivation of white lupine
  131. Lyophilized apples on flax oil and ethyl esters of flax oil - stability and antioxidant evaluation
  132. Production of phosphorus biofertilizer based on the renewable materials in large laboratory scale
  133. Human health risk assessment of potential toxic elements in paddy soil and rice (Oryza sativa) from Ugbawka fields, Enugu, Nigeria
  134. Recovery of phosphates(V) from wastewaters of different chemical composition
  135. Special Issue on the 4th Green Chemistry 2018
  136. Dead zone for hydrogenation of propylene reaction carried out on commercial catalyst pellets
  137. Improved thermally stable oligoetherols from 6-aminouracil, ethylene carbonate and boric acid
  138. The role of a chemical loop in removal of hazardous contaminants from coke oven wastewater during its treatment
  139. Combating paraben pollution in surface waters with a variety of photocatalyzed systems: Looking for the most efficient technology
  140. Special Issue on Chemistry Today for Tomorrow 2019
  141. Applying Discriminant and Cluster Analyses to Separate Allergenic from Non-allergenic Proteins
  142. Chemometric Expertise Of Clinical Monitoring Data Of Prolactinoma Patients
  143. Chemomertic Risk Assessment of Soil Pollution
  144. New composite sorbent for speciation analysis of soluble chromium in textiles
  145. Photocatalytic activity of NiFe2O4 and Zn0.5Ni0.5Fe2O4 modified by Eu(III) and Tb(III) for decomposition of Malachite Green
  146. Photophysical and antibacterial activity of light-activated quaternary eosin Y
  147. Spectral properties and biological activity of La(III) and Nd(III) Monensinates
  148. Special Issue on Monitoring, Risk Assessment and Sustainable Management for the Exposure to Environmental Toxins
  149. Soil organic carbon mineralization in relation to microbial dynamics in subtropical red soils dominated by differently sized aggregates
  150. A potential reusable fluorescent aptasensor based on magnetic nanoparticles for ochratoxin A analysis
  151. Special Issue on 13th JCC 2018
  152. Fluorescence study of 5-nitroisatin Schiff base immobilized on SBA-15 for sensing Fe3+
  153. Thermal and Morphology Properties of Cellulose Nanofiber from TEMPO-oxidized Lower part of Empty Fruit Bunches (LEFB)
  154. Encapsulation of Vitamin C in Sesame Liposomes: Computational and Experimental Studies
  155. A comparative study of the utilization of synthetic foaming agent and aluminum powder as pore-forming agents in lightweight geopolymer synthesis
  156. Synthesis of high surface area mesoporous silica SBA-15 by adjusting hydrothermal treatment time and the amount of polyvinyl alcohol
  157. Review of large-pore mesostructured cellular foam (MCF) silica and its applications
  158. Ion Exchange of Benzoate in Ni-Al-Benzoate Layered Double Hydroxide by Amoxicillin
  159. Synthesis And Characterization Of CoMo/Mordenite Catalyst For Hydrotreatment Of Lignin Compound Models
  160. Production of Biodiesel from Nyamplung (Calophyllum inophyllum L.) using Microwave with CaO Catalyst from Eggshell Waste: Optimization of Transesterification Process Parameters
  161. The Study of the Optical Properties of C60 Fullerene in Different Organic Solvents
  162. Composite Material Consisting of HKUST-1 and Indonesian Activated Natural Zeolite and its Application in CO2 Capture
  163. Topical Issue on Environmental Chemistry
  164. Ionic liquids modified cobalt/ZSM-5 as a highly efficient catalyst for enhancing the selectivity towards KA oil in the aerobic oxidation of cyclohexane
  165. Application of Thermal Resistant Gemini Surfactants in Highly Thixotropic Water-in-oil Drilling Fluid System
  166. Screening Study on Rheological Behavior and Phase Transition Point of Polymer-containing Fluids produced under the Oil Freezing Point Temperature
  167. The Chemical Softening Effect and Mechanism of Low Rank Coal Soaked in Alkaline Solution
  168. The Influence Of NO/O2 On The NOx Storage Properties Over A Pt-Ba-Ce/γ-Al2O3 Catalyst
  169. Special Issue on the International conference CosCI 2018
  170. Design of SiO2/TiO2 that Synergistically Increases The Hydrophobicity of Methyltrimethoxysilane Coated Glass
  171. Antidiabetes and Antioxidant agents from Clausena excavata root as medicinal plant of Myanmar
  172. Development of a Gold Immunochromatographic Assay Method Using Candida Biofilm Antigen as a Bioreceptor for Candidiasis in Rats
  173. Special Issue on Applied Biochemistry and Biotechnology 2019
  174. Adsorption of copper ions on Magnolia officinalis residues after solid-phase fermentation with Phanerochaete chrysosporium
  175. Erratum
  176. Erratum to: Sand Dune Characterization For Preparing Metallurgical Grade Silicon
Downloaded on 20.12.2025 from https://www.degruyterbrill.com/document/doi/10.1515/chem-2019-0152/html
Scroll to top button