Home Improved thermally stable oligoetherols from 6-aminouracil, ethylene carbonate and boric acid
Article Open Access

Improved thermally stable oligoetherols from 6-aminouracil, ethylene carbonate and boric acid

  • Elżbieta Chmiel-Szukiewicz EMAIL logo
Published/Copyright: December 10, 2019

Abstract

Syntheses of oligoetherols with a 1,3-pyrimidine ring and boron atoms using 6-aminouracil, ethylene carbonate and boric acid has been proposed. The structure of the obtained products were determined by instrumental methods (IR, 1H-NMR and MALDI-ToF spectra). The physicochemical and thermal properties of oligoetherols were examined. The products were characterized by high thermal stability. Based on the tests performed, it was found that oligoetherols obtained from 6-aminouracil, boric acid and ethylene carbonate are suitable for the manufacturing of polyurethane foams with improved thermal stability and reduced flammability.

1 Introduction

Thermal resistance and the flammability of polyurethane foams were considered as the most important problems concerning the applications of these foams as insulating materials. The thermal stability of foams can be improved by using a polyol component containing heat-resistant heterocyclic rings, e.g. 1,3-pyrimidine ring, in their structure [1, 2, 3, 4].

Oligoetherols with 1,3-pirymidyne ring (I) were obtained in a reaction of 6-aminouracil (AU) with oxiranes or alkylene carbonates [5, 6, 7].

where: 4 ≤ x +y + w + z ≤ 12

In our previous work [5], the synthesis of oligoetherols with AU and oxiranes, such as ethylene oxide (EO) or propylene oxide (PO) were described. The reactions were carried out for 78-194 hrs, under higher pressure, in a temperature range of 50-70°C, with triethylamine (TEA) as a catalyst and dimethyl sulfoxide (DMSO) as solvent [5]. We have shown [6, 7], that reactions of AU with alkylene carbonates were conducted without solvent, since AU dissolves in ethylene carbonate (EC) or propylene carbonate (PC) and reacts with them. Synthesis was carried out for 5.5-15.5 hrs, in a temperature range 160-180°C, with potassium carbonate or potassium carbonate and 1,4-diazabicyclo[2.2.2]octane [6, 7].

Oligoetherols with a 1,3-pyrimidine ring were previously obtained [3] also in a reaction of AU with EC, and next with PO. The first stage was carried out for 18.5-22 hrs at a temperature of 140°C and with potassium carbonate as a catalyst, while the second stage - in the pressure reactor at a temperature of 70°C, with TEA for 12.5-38 hrs [3].

Oligoetherols obtained by the aforementioned methods can be applied for synthesis of polyurethane foams. Thermal resistance of the foams was very good [1, 2, 3], but unfortunately, they were flammable.

The flammability of foams can be reduced by introducing atoms, such as: chlorine, bromine, phosphorus, silicon or boron, into their structure [8, 9, 10]. One of the boron compounds that can be incorporated into the structure of oligoetherols, e.g. in esterification reactions is boric acid. Such studies, initiated by Czupryński et al., have shown that organic boron compounds can be beneficial as reactive flame retardants [11, 12, 13, 14]. The purpose of this work was to reduce the flammability of polyurethane foams by using oligoetherols with 1,3-pyrimidine ring and boron atoms for their synthesis. With this aim, oligoetherols with boron atoms and 1,3-pyrimidine rings using AU, EC and boric acid (BA) - one of the cheapest flame retardants - have been obtained. The structure and thermal properties of the obtained products were determined. The oligoetherols as polyol agents for synthesis of the foams have also been used. Thermal stability and flammability of the foams were tested.

2 Experimental

2.1 Oligoetherol synthesis

To a three-neck round bottom flask equipped with a reflux condenser, thermometer, and mechanical stirrer 6.36 g (0.05 mol) of AU (pure, Sigma-Aldrich, Steinheim, Germany), 17.61 (0.2 mol) of EC (pure, Fluka, Buchs, Switzerland) and 0.2 g of potassium carbonate (pure, POCH, Gliwice, Poland) as a catalyst were added. After the substrates were melted (50°C), a mechanical stirrer was turned on and the mixture was heated for 4 hours at 160°C [5]. Next the reaction mixture was cooled, an appropriate amount of BA (pure, POCH, Gliwice, Poland) and EC was added (9.28 g (0.15 mol) BA and 52.84 g (0.6 mol) EC or 12.37 g (0.2 mol) BA and 61.64 g (0.7 mol) EC), and the mixture was heated with continuous stirring for 4 hours at 120°C. After this time, 0.8 g potassium carbonate (catalyst) was added and the temperature was increased to 160°C. The end of the reaction was determined by analyzing the IR spectrum (the disappearance of the band at 1800 cm-1 of valence vibrations of carbonyl group C=O of unreacted EC was used as the indicator). The time of this synthesis step was 17.5 or 32.5 hours.

2.2 Foams synthesis

A 10 g quantity of oligoetherol was introduced into a 500 cm3 polypropylene cup, then 3% distillate water, 3.89-5.84% silicon L-6900 (pure, Houdry Hülls, USA) as a surfactant, and 3.36-3.77% TEA (pure, POCH, Poland) as a catalyst were added. The mixture was vigorously stirred and then polymeric 4,4’-diphenylmethane diisocyanate (pMDI, mixture of di- and triisocyanates (30%) for synthesis; Merck-Schuchardt, Hohenbrunn, Germany) was added. The mixture was vigorously stirred until creaming started.

2.3 Analytical methods

The infrared spectra were registered on ALPHA FT-IR spectrometer (Bruker, Germany) or FT-IR Nicolet 8700 spectrometer (Thermo Electron Corp., USA) in ATR technique. The 1H-NMR spectra of products were recorded with a 500 MHz Bruker UltraShield spectrometer. The solvent was d6-DMSO with HMDSO internal standard. Elemental analysis for C, H, N, were done with EA 1108, Carlo-Erba Analyzer. MALDI-ToF spectra were obtained on a Bruker Autoflex Speed reflectron time-of-flight mass spectrometer (Bruker, Germany), equipped with a SmartBeam II laser (352 nm) in 80-2000 m/z range. The laser impulse energy was approximately 60-120 μJ, the laser repetition rate was 1000 Hz, and the deflection value was set on m/z < 80 Da. The first accelerating voltage was held at 19 kV, and the second ion-source voltage was held at 16.7 kV. The reflector voltages used were 21 kV (first) and 9.55 kV (second). The data were recorded and analyzed using the software provided with the Autoflex instrument (FlexAnalysis version 3.3). Mass calibration (typically cubic calibration based on five to seven points) was performed using internal standards (gold ions and clusters from Au+ to Au10+ depending on m/z range). The sample solution (ca. 5 mg/ml in H2O) was placed on AuNPET [15] (0.5 μL) with a 0.5 μL standard α-cyano-4-hydroxycinnamic acid solution (1:1 water:acetonitrile with 0.2% TFA). The sum of ca. 7000 scans was collected for each sample. The thermal analysis of oligoetherols and foams was conducted with a thermogravimetric analyzer TGA/DSC 1 (Mettler Toledo, Spain); the recording conditions were as follows: sample weight 1-2 mg, temperature range 20-600℃, recording time 60 min, and nitrogen atmosphere. Some other properties of the oligoetherols were evaluated, such as density (pycnometrically), viscosity (Höpler viscometer, type BHZ, VEB Prüfgerate - Werk Medingen Sitz Freital, Germany) [16], and surface tension, by the detaching ring method [17].

The following properties of the foams were determined: apparent density [18], water absorption [19], stability of dimensions [20], thermal stability as the mass loss after heating at 150, 175, and 200℃ for month, thermal conductivity coefficient [21], oxygen index [22] and horizontal burning tests [23].

Ethical approval: The conducted research is not related to either human or animal use.

3 Results

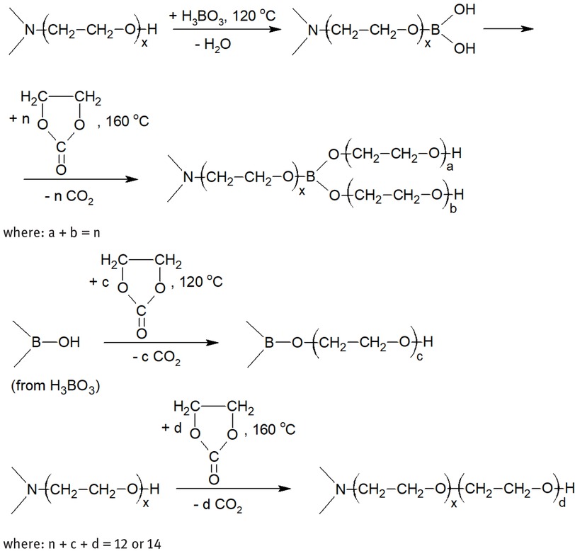
Dark brown resin-like products were obtained in one-pot reactions of AU with EC and BA (scheme 1, 2).

Scheme 1 First stage of oligoetherols synthesis – reaction of 6-aminouracil (AU) with ethylene carbonate (EC).
Scheme 1

First stage of oligoetherols synthesis – reaction of 6-aminouracil (AU) with ethylene carbonate (EC).

Scheme 2 Second stage of oligoetherols synthesis - reactions of hydroxyethyl derivative of 6-aminouracil (AU) with boric acid (BA) and ethylene carbonate (EC) presented on structural fragments.
Scheme 2

Second stage of oligoetherols synthesis - reactions of hydroxyethyl derivative of 6-aminouracil (AU) with boric acid (BA) and ethylene carbonate (EC) presented on structural fragments.

The structure of the products was determined by instrumental methods, using IR spectra (Figure 1), 1H-NMR spectra (Supplementary material), elemental analysis (Table 1) and MALDI-ToF spectra (Supplementary material). Spectrum analysis confirmed the assumed structure of oligoetherols. MALDI -ToF spectra show that the product is a mixture of oligols with various degrees of substitution with oxyethylene groups (Supplementary material).

Figure 1 IR spectrum of the oligoetherol obtained from 1 mol of 6-aminouracil (AU), 16 (4+12) moles of ethylene carbonate (EC) and 3 moles of boric acid (BA).
Figure 1

IR spectrum of the oligoetherol obtained from 1 mol of 6-aminouracil (AU), 16 (4+12) moles of ethylene carbonate (EC) and 3 moles of boric acid (BA).

Table 1

Elemental analysis of oligoetherols.

Product of reactionElemental analysis [wt%]
calculatedfound
CHNCHN
(AU:EC):BA:EC42.57.734.1341.258.214.18
(1:4) : 3 : 12
(AU:EC):BA:EC41.167.683.6040.627.953.82
(1:4) : 4 : 14

The physicochemical and thermal properties of oligoetherols were examined (Table 2). Thermal analysis of obtained oligoetherols confirms that they are characterized by good thermal resistance.

Table 2

The physicochemical and thermal properties of oligoetherols.

Product of reactionDensity [g/cm3]ViscositySurface tensionThermal analysis
[N·s/m2] ·103[N·/m] ·103T5% [℃]T10% [℃]T25% [℃]T50% [℃]
(AU:EC):BA:EC1.28031262949.98102135185270
(1:4) : 3 : 12
(AU:EC):BA:EC1.25781889161.04108135180258
(1:4) : 4 : 14
AU:EC*1.2132160046.20100130210280
1 : 12
  1. * Data from work [5]

Foaming tests were carried out using the obtained oligoetherols as polyol components (Supplementary material).

The physical properties of selected polyurethane foams, like apparent density, water uptake, dimension stability and thermal conductivity coefficient were studied (Table 3).

Table 3

Some properties of selected polyurethane foams.

Composition numberDensity [kg/m3]Absorption of water [wt%]Linear dimensions stability at temperature 150°CThermal conductivity
Length increaseWidth increaseDepth increasecoefficient
[%][%][%]λ [W/m∙K]
afterafterafterafterafterafterafterafterafter
5 min3 h24 h20 h40 h20 h40 h20 h40 h
298.519.4422.4530.860.671.311.381.871.011.970.0396
592.1711.6821.0626.780.760.970.670.970.011.130.0410

Thermal resistance and flammability of selected polyurethane foams were also studied (Table 4). The tests confirmed the obtaining of foams with good thermal resistance and reduced flammability.

Table 4

Thermal resistance, horizontal burning tests and oxygen index of selected polyurethane foams.

Composition numberThe mass loss after 30 days heating at temperature [wt %]Thermal analysisHorizontal burning testsOxygen index [vol%]
150℃175℃200℃T5%

[℃]
T10%

[℃]
T25%

[℃]
T50%

[℃]
Linear burning rate

[mm/s]
Distance burnt

[mm]
Mass loss during burning

[% mas.]
215.0635.0337.451702142603180.4420.37.9421.8
515.0334.2742.3912020624531000022.4

4 Discussion

In the first stage, the reaction of AU with EC (Scheme 1) was carried out for four hours at 160°C in the presence of potassium carbonate as a catalyst [5]. EC was employed as both reagent and solvent. 4 moles of EC per mole of AU was used - it was the minimum amount of carbonate needed to block the reactive groups of AU (nitrogen atoms in the ring, an amino group) and to produce hydroxyethyl groups that can react with BA. Next the reaction mixture was cooled, the BA (3 or 4 moles) and EC (12 or 14 moles) were added to the obtained hydroxyethyl derivative of AU and the reaction mixture was heated at 120°C for four hours (Scheme 2). This temperature allows the start of the esterification of the hydroxyethyl derivative of AU with BA and the reaction of BA with EC [24]. The yield of the side reaction of BA dehydration to metaboric acid is very small in this conditions. After this time, the catalyst (potassium carbonate) was added and the temperature was increased to 160°C, to allow for the reaction of EC with hydroxyethyl and hydroborate groups (Scheme 2). It was observed, that the foams with a larger number of 1,3-pyrimidine rings (obtained from oligoetherols of shorter length of etherol chains) show better thermal resistance [1, 2, 3], while foams with a larger amount of boron exhibit reduced flammability [8, 10]. Additionally, oligoetherols have to be in a liquid state at room temperature to be easily miscible with isocyanate. This condition was met by oligoetherols synthesized from 1 mol of AU, 3 moles of BA and 16 (4+12) moles of EC, as well as 4 moles of BA and 18 (4+14) moles of EC. If a smaller amount of EC was added, oligoetherols of large density at room temperature were obtained. In turn, the addition of a larger amount of BA needs a larger amount of EC and results in longer etherol chains.

Based on the spectrums analysis it was observed that the substrate reacted to oligoetherols. The signals of protons connected to nitrogen atoms in the AU-ring (10.1 ppm) and amine group (6.1 ppm) are not observed in the 1H-NMR spectra (Supplementary material). It can be inferred from the spectra that hydrogen atoms were substituted by hydroxyethyl groups. Instead, there are observed signals of methylene protons, connected with nitrogen atoms (in the ring and amine group –N–CH2–) and oxygen atoms (in oxyethylene groups –O–CH2– CH2–O– and borate groups –CH2–O–B–) at a chemical shift of 3.0-4.0 ppm (Supplementary material). Signals of hydroxyl protons appear in the range of 3.6-4.9 ppm and overlap with the signals of protons of carbon C(5) in the ring (4.2-4.3 ppm), which is confirmed by the spectra with D2O (Supplementary material). The splitting of the signal of proton of carbon C(5) in the ring is associated with various atomic surrounding of the proton. Since, after D2O addition the signals in the range of 4.5-4.8 ppm (Supplementary material) do not disappear completely, it can be concluded that unsaturated bonds are present in the products. Unsaturated bonds are formed at the ends of chains as a result of water elimination in the high-temperature process (160℃). Their amount is not significant. In the 1H-NMR spectra small signals of boric acid at 8.15 ppm and hydroborate groups at 7.12 ppm are observed (these signals disappear after D2O addition, Supplementary material). The analysis of the IR spectra of the products also confirms formation of oligoetherols. The spectra (Figure 1) include the stretching vibration bands of hydroxyl groups (3340 cm-1), the asymmetric and symmetric stretching vibration bands and the deformation vibration bands of methylene groups at 2936, 2872 and 1460 cm-1, respectively, stretching vibration bands of B–O bonds at 1407 and 1326 cm-1, stretching vibration bands of C–O–C groups at 1123 cm-1 and C–O groups in primary alcohols at 1050 cm-1. Stretching vibration bands of carbonyl groups and of a double bond in the ring are present at 1690 and 1640 cm-1, respectively, while vibration bands of 1,3-pyrimidine ring can be observed at 924, 883 and 776 cm-1. Elemental analysis of oligoetherols does not show any significant differences between calculated and found values (Table 1). In MALDI-ToF spectra for products of reactions of AU with EC and BA (Supplementary material) the peaks of molecular ions differing by M/z=44.05 (oxyethylene sub-units) can be observed. It indicates that oligoetherols different by length of oxyethylene chain are formed. The peaks of molecular ions confirm the occurrence of the reactions presented in scheme 2. Moreover, molecular ion masses increased by the mass of potassium cation (from catalyst) are recorded. The MALDI-ToF spectra show that unsaturated structures are formed (Supplementary material). Many of the unsaturated structures are generated in the conditions of registration of the spectrum (high temperature favors the elimination of water from the hydroxyethyl groups). The 1H-NMR spectra with D2O show that the small number of unsaturated structures in oligoetherols is present.

Measured density, viscosity and surface tension values of the obtained oligoetherols (Table 2) show that these compounds are suitable substrates for obtaining polyurethane foams.

Thermal analysis of oligoetherols (Table 2) confirms that they are characterized by good thermal resistance. However, it is slightly worse than the resistance of oligoetherols without boron atoms in the structure. A 50% mass loss of oligoetherols synthetized from AU, EC and BA occurs at lower temperature (258 and 270°C) than 50% mass loss of oligoetherols based on AU and EC (280-290°C) [5].

Foaming tests were carried out using the obtained oligoetherols as polyol components. Foaming was carried out in a laboratory scale. The composition of foaming samples was selected experimentally, taking into account one of the formerly obtained foams with a 1,3-pyrimidine ring [1, 2, 3]. Polymeric MDI was used as an isocyanate agent, and water was a foaming agent. TEA was used as a catalyst and silicone was applied as a surfactant (Supplementary material).

A significant exothermic effect (up to temperature 80°C) was observed during the foaming of polyuretane foams. The best foams of regular pores correspond to compositions 2 and 5 (Supplementary material) and they were accepted for further investigations.

The apparent density of the foams was in the range of 92.17-98.51 kg/m3 (Table 3), so they are classified as rigid materials. The foams have a larger density than those obtained from the products of AU reaction with EC as the sole coreactant (30.5-59.9 kg/m3) [2].

Investigations of water uptake indicate that the absorbability of the obtained foams is significantly larger than the one of the foams without boron incorporated (Table 3). Water absorption after 24 h of exposition was between 26.78-30.86 wt%, while absorption of the foams obtained from the products of AU reaction with EC as the sole reactant was no more than 15.2 wt% [2].

Dimensional stability tests show that shrinkage of the foams is very small (Table 3). A change of dimensions of the foams after 40 hours of exposition at temperature 150°C was less than 2% (Table 3). A slightly larger change of dimensions was observed for the foams obtained from oligoetherol with a lower amount of boron incorporated.

The thermal conductivity of the obtained materials (Table 3) is comparable with the thermal conductivity of Styrofoam (0.04 W/m∙K).

The thermal resistance tests of the foams by static method were carried out. The samples were exposed to thermal treatment for 30 days at 150°C, 175°C and 200°C and mass loss was measured (Table 4). The results indicate that the foams made from oligoetherols obtained from AU, EC and BA show a larger mass loss than the foams obtained from oligoetherols which do not contain boron atoms. The foams obtained from oligoetherol with initial molar ratio of AU:EC equal to 1:6 showed the mass loss 6.9 wt.% at 150°C, 23.1 wt.% at 175°C and 33.1 wt.% at 200°C [2]. Dynamic thermal analysis (Table 4) indicates, that the foams have a 50% mass loss at a significantly lower temperature than those obtained from the products of AU reaction with the EC as the sole coreactant (430-550°C) [2].

Flammability of the foams were studied as follows: horizontal burning tests were made and oxygen index was measured (Table 4). The foam obtained from oligoetherol synthesized at molar ratio (AU:EC):BA:EC = (1 :4) : 4 : 14 (composition 5) in the test did not flame, for this reason its low oxygen index (22.4%) is rather surprising. The foam produced from oligoetherol synthesized at molar ratio (AU:EC):BA:EC = (1 :4) : 3 : 12 (composition 2) is a self-extinguishing one; the flame did not reach the 150 mm line from the point of inflammation [25]. The flammability tests indicate that the obtained materials are self-extinguishing and flame-retardant [22, 23, 25] ones, in contrast to the foams synthesized from the products of the AU reaction with EC as the sole coreactant.

The research carried out confirmed the assumptions presented in the opening of the article. The introduction of boron atoms into the structure of oligoetherols causes a reduction in the flammability of the obtained polyurethane foams, without significant detrimental effects on their thermal resistance.

5 Conclusions

Oligoetherols obtained in the reaction of AU with EC and BA are characterized by high thermal resistance and can be used as a polyol component for the production of rigid polyurethane foams with improved thermal stability and reduced flammability. Polyurethane foams obtained from these oligoetherols show better thermal resistance than the resistance of classical polyurethane foams and can be applied up to 200°C. The obtained materials are flame-retardant and self-extinguishing under normal atmospheric conditions, in contrast to the foams obtained from oligoetherols synthetized from AU and EC.

  1. Conflict of interest: Authors declare no conflict of interest.

References

[1] Chmiel-Szukiewicz E., Polyurethane foams with 1,3-pyrimidine ring, J. Appl. Polym. Sci., 2008, 109, 1708–1713.10.1002/app.27159Search in Google Scholar

[2] Chmiel-Szukiewicz E., Polyurethane foams based on polyetherols obtained from 6-aminouracil and alkylene carbonates, Polimery, 2010, 55(11/12), 817–824.10.14314/polimery.2010.817Search in Google Scholar

[3] Chmiel-Szukiewicz E., New foamed plastic based polyetherols obtained from 6-aminouracil, ethylene carbonate and propylene oxide, J. Appl. Polym. Sci., 2013, 127, 1595–1600.10.1002/app.37521Search in Google Scholar

[4] Kania E., Lubczak J., Polyurethane foams with pyrimidine rings, Pol. J. Chem. Tech., 2014, 16(3), 1–6.10.2478/pjct-2014-0041Search in Google Scholar

[5] Chmiel-Szukiewicz E., Polyetherols obtained from 6-aminouracil and oxiranes, J. Appl. Polym. Sci., 2007, 103, 1466–147210.1002/app.25100Search in Google Scholar

[6] Chmiel-Szukiewicz E., Polyetherols obtained from 6-aminouracil and ethylene carbonate, J. Appl. Polym. Sci., 2007, 106, 3703–3709.10.1002/app.26912Search in Google Scholar

[7] Chmiel-Szukiewicz E., Preparation of polyetherols with pyrimidine rings by reaction of 6-aminouracil with excess of propylene carbonate, Polimery, 2010, 55(1), 20–28.10.14314/polimery.2010.020Search in Google Scholar

[8] Hilado C.J., Flammability Handbook for Plastics. Technomic Publishing C, Company, Inc., 1998.10.1201/9780585248684Search in Google Scholar

[9] Uhlig, K., Discovering Polyurethanes, Hanser Publishers, Monachium, 1999.Search in Google Scholar

[10] Lu S.Y., Hamerton I., Recent developments in the chemistry of halogenfree flame retardant polymers, Prog. Polym. Sci., 2002, 27, 1661-1712.10.1016/S0079-6700(02)00018-7Search in Google Scholar

[11] Czupryński B., Paciorek-Sadowska J., Liszkowska J., Modifications of the rigid polyurethane–polyisocyanurate foams, J. Appl. Polym. Sci., 2006, 100, 2020–2029.10.1002/app.22604Search in Google Scholar

[12] Paciorek-Sadowska J., Czupryński B., New Compounds for Production of Polyurethane Foams, J. Appl. Polym. Sci., 2006, 102, 5918–5926.10.1002/app.25093Search in Google Scholar

[13] Paciorek-Sadowska J., Czupryński B., Liszkowska J., New polyol for production of rigid polyurethane-polyisocyanurate foams. Part 2: Preparation of rigid polyurethane-poly-isocyanurate foams with the new polyol, J. Appl. Polym. Sci., 2010, 118, 2250–2256.10.1002/app.29998Search in Google Scholar

[14] Paciorek-Sadowska J., Czupryński B., Liszkowska J., Boron-containing fire retardant rigid polyurethane-polyisocyanurate foams: Part II - Preparation and evaluation, Journal of Fire Sciences, 2015, 33, 48-68.10.1177/0734904114554385Search in Google Scholar

[15] Sekuła J., Nizioł J., Rode W., Ruman T., Gold nanoparticle-enhanced target (AuNPET) as universal solution for laser desorption/ionization mass spectrometry analysis and imaging of low molecular weight compounds, Analytica Chimica Acta, 2015, 875, 61–72.10.1016/j.aca.2015.01.046Search in Google Scholar PubMed

[16] Broniewski T., Iwasiewicz A., Kapko J., Płaczek W., Test methods and evaluation of plastics properties, WNT, Warsaw, 1967 (in Polish).Search in Google Scholar

[17] Dryński T., Laboratory exercises in physics, PWN, Warsaw, 1967 (in Polish).Search in Google Scholar

[18] Cellular Plastics and Rubbers. Determination of apparent (bulk) density, Polish (European) Standards PN-EN ISO 845:2010, Ed. Polish Committee for Standardization.Search in Google Scholar

[19] Cellular Plastics, rigid. Determination of water absorption, Polish (European) Standards PN-EN ISO 2896:1986, Ed. Polish Committee for Standardization.Search in Google Scholar

[20] Cellular Plastics, rigid. Test of dimensional stability, Polish (European) Standards PN-EN ISO 2796:1986, Ed. Polish Committee for Standardization.Search in Google Scholar

[21] Thermal insulation products for buildings - Factory made rigid polyurethane foam (PU) products – Specification, Polish (European) Standards PN-EN 13165:2009, Ed. Polish Committee for Standardization.Search in Google Scholar

[22] Plastics. Determination of burning behaviour by oxygen index. Ambient-temperature test, Polish (European) Standards PN ISO 4589 – 2:1999, Ed. Polish Committee for Standardization.Search in Google Scholar

[23] Cellular plastics. Determination of horizontal burning characteristics of small specimens subjected to a small flame, European Standards ISO 9772:2012.Search in Google Scholar

[24] Lubczak J., Łukasiewicz B., Myśliwiec B., Synthesis and applications of oligoetherols with perhydro-1,3,5-triazine ring and boron, J. Appl. Polym. Sci, 2013, 127, 2057–2066.10.1002/app.37738Search in Google Scholar

[25] Flexible Cellular polymeric Materials – Laboratory Characteristics of small specimens Subject to a small Flame, Polish (European) Standards PN-EN ISO 3582-2002. Ed. Polish Committee for Standardization (in Polish).Search in Google Scholar

Received: 2018-09-16
Accepted: 2019-09-04
Published Online: 2019-12-10

© 2019 Elżbieta Chmiel-Szukiewicz, published by De Gruyter

This work is licensed under the Creative Commons Attribution 4.0 Public License.

Articles in the same Issue

  1. Regular Articles
  2. Research on correlation of compositions with oestrogenic activity of Cistanche based on LC/Q-TOF-MS/MS technology
  3. Efficacy of Pyrus elaeagnifolia subsp. elaeagnifolia in acetic acid–induced colitis model
  4. Anti-inflammatory and antinociceptive features of Bryonia alba L.: As a possible alternative in treating rheumatism
  5. High efficiency liposome fusion induced by reducing undesired membrane peptides interaction
  6. Prediction of the Blood-Brain Barrier Permeability Using RP-18 Thin Layer Chromatography
  7. Phytic Acid Extracted from Rice Bran as a Growth Promoter for Euglena gracilis
  8. Development of a validated spectrofluorimetric method for assay of sotalol hydrochloride in tablets and human plasma: application for stability-indicating studies
  9. Topological Indices of Hyaluronic Acid-Paclitaxel Conjugates’ Molecular Structure in Cancer Treatment
  10. Thermodynamic properties of the bubble growth process in a pool boiling of water-ethanol mixture two-component system
  11. Critical Roles of the PI3K-Akt-mTOR Signaling Pathway in Apoptosis and Autophagy of Astrocytes Induced by Methamphetamine
  12. Characteristics of Stable Hydrogen and Oxygen Isotopes of Soil Moisture under Different Land Use in Dry Hot Valley of Yuanmou
  13. Specific, highly sensitive and simple spectrofluorimetric method for quantification of daclatasvir in HCV human plasma patients and in tablets dosage form
  14. Chromium-modified cobalt molybdenum nitrides as catalysts for ammonia synthesis
  15. Langerhans cell-like dendritic cells treated with ginsenoside Rh2 regulate the differentiation of Th1 and Th2 cells in vivo
  16. Identification of Powdery Mildew Blumeria graminis f. sp. tritici Resistance Genes in Selected Wheat Varieties and Development of Multiplex PCR
  17. Computational Analysis of new Degree-based descriptors of oxide networks
  18. The Use Of Chemical Composition And Additives To Classify Petrol And Diesel Using Gas Chromatography–Mass Spectrometry And Chemometric Analysis: A Uk Study
  19. Minimal Energy Tree with 4 Branched Vertices
  20. Jatropha seed oil derived poly(esteramide-urethane)/ fumed silica nanocomposite coatings for corrosion protection
  21. Calculating topological indices of certain OTIS interconnection networks
  22. Energy storage analysis of R125 in UIO-66 and MOF-5 nanoparticles: A molecular simulation study
  23. Velvet Antler compounds targeting major cell signaling pathways in osteosarcoma - a new insight into mediating the process of invasion and metastasis in OS
  24. Effects of Azadirachta Indica Leaf Extract, Capping Agents, on the Synthesis of Pure And Cu Doped ZnO-Nanoparticles: A Green Approach and Microbial Activity
  25. Aqueous Micro-hydration of Na+(H2O)n=1-7 Clusters: DFT Study
  26. A proposed image-based detection of methamidophos pesticide using peroxyoxalate chemiluminescence system
  27. Phytochemical screening and estrogenic activity of total glycosides of Cistanche deserticola
  28. Biological evaluation of a series of benzothiazole derivatives as mosquitocidal agents
  29. Chemical pretreatments of Trapa bispinosa's peel (TBP) biosorbent to enhance adsorption capacity for Pb(ll)
  30. Dynamic Changes in MMP1 and TIMP1 in the Antifibrotic Process of Dahuang Zhechong Pill in Rats with Liver Fibrosis
  31. The Optimization and Production of Ginkgolide B Lipid Microemulsion
  32. Photodynamic Therapy Enhanced the Antitumor Effects of Berberine on HeLa Cells
  33. Chiral and Achiral Enantiomeric Separation of (±)-Alprenolol
  34. Correlation of Water Fluoride with Body Fluids, Dental Fluorosis and FT4, FT3 –TSH Disruption among Children in an Endemic Fluorosis area in Pakistan
  35. A one-step incubation ELISA kit for rapid determination of dibutyl phthalate in water, beverage and liquor
  36. Free Radical Scavenging Activity of Essential Oil of Eugenia caryophylata from Amboina Island and Derivatives of Eugenol
  37. Effects of Blue and Red Light On Growth And Nitrate Metabolism In Pakchoi
  38. miRNA-199a-5p functions as a tumor suppressor in prolactinomas
  39. Solar photodegradation of carbamazepine from aqueous solutions using a compound parabolic concentrator equipped with a sun tracking system
  40. Influence of sub-inhibitory concentration of selected plant essential oils on the physical and biochemical properties of Pseudomonas orientalis
  41. Preparation and spectroscopic studies of Fe(II), Ru(II), Pd(II) and Zn(II) complexes of Schiff base containing terephthalaldehyde and their transfer hydrogenation and Suzuki-Miyaura coupling reaction
  42. Complex formation in a liquid-liquid extraction-chromogenic system for vanadium(IV)
  43. Synthesis, characterization (IR, 1H, 13C & 31P NMR), fungicidal, herbicidal and molecular docking evaluation of steroid phosphorus compounds
  44. Analysis and Biological Evaluation of Arisaema Amuremse Maxim Essential Oil
  45. A preliminary assessment of potential ecological risk and soil contamination by heavy metals around a cement factory, western Saudi Arabia
  46. Anti- inflammatory effect of Prunus tomentosa Thunb total flavones in LPS-induced RAW264.7 cells
  47. Collaborative Influence of Elevated CO2 Concentration and High Temperature on Potato Biomass Accumulation and Characteristics
  48. Methods of extraction, physicochemical properties of alginates and their applications in biomedical field – a review
  49. Characteristics of liposomes derived from egg yolk
  50. Preparation of ternary ZnO/Ag/cellulose and its enhanced photocatalytic degradation property on phenol and benzene in VOCs
  51. Influence of Human Serum Albumin Glycation on the Binding Affinities for Natural Flavonoids
  52. Synthesis and antioxidant activity of 2-methylthio-pyrido[3,2-e][1,2,4] triazolo[1,5-a]pyrimidines
  53. Comparative study on the antioxidant activities of ten common flower teas from China
  54. Molecular Properties of Symmetrical Networks Using Topological Polynomials
  55. Synthesis of Co3O4 Nano Aggregates by Co-precipitation Method and its Catalytic and Fuel Additive Applications
  56. Phytochemical analysis, Antioxidant and Antiprotoscolices potential of ethanol extracts of selected plants species against Echinococcus granulosus: In-vitro study
  57. Silver nanoparticles enhanced fluorescence for sensitive determination of fluoroquinolones in water solutions
  58. Simultaneous Quantification of the New Psychoactive Substances 3-FMC, 3-FPM, 4-CEC, and 4-BMC in Human Blood using GC-MS
  59. Biodiesel Production by Lipids From Indonesian strain of Microalgae Chlorella vulgaris
  60. Miscibility studies of polystyrene/polyvinyl chloride blend in presence of organoclay
  61. Antibacterial Activities of Transition Metal complexes of Mesocyclic Amidine 1,4-diazacycloheptane (DACH)
  62. Novel 1,8-Naphthyridine Derivatives: Design, Synthesis and in vitro screening of their cytotoxic activity against MCF7 cell line
  63. Investigation of Stress Corrosion Cracking Behaviour of Mg-Al-Zn Alloys in Different pH Environments by SSRT Method
  64. Various Combinations of Flame Retardants for Poly (vinyl chloride)
  65. Phenolic compounds and biological activities of rye (Secale cereale L.) grains
  66. Oxidative degradation of gentamicin present in water by an electro-Fenton process and biodegradability improvement
  67. Optimizing Suitable Conditions for the Removal of Ammonium Nitrogen by a Microbe Isolated from Chicken Manure
  68. Anti-inflammatory, antipyretic, analgesic, and antioxidant activities of Haloxylon salicornicum aqueous fraction
  69. The anti-corrosion behaviour of Satureja montana L. extract on iron in NaCl solution
  70. Interleukin-4, hemopexin, and lipoprotein-associated phospholipase A2 are significantly increased in patients with unstable carotid plaque
  71. A comparative study of the crystal structures of 2-(4-(2-(4-(3-chlorophenyl)pipera -zinyl)ethyl) benzyl)isoindoline-1,3-dione by synchrotron radiation X-ray powder diffraction and single-crystal X-ray diffraction
  72. Conceptual DFT as a Novel Chemoinformatics Tool for Studying the Chemical Reactivity Properties of the Amatoxin Family of Fungal Peptides
  73. Occurrence of Aflatoxin M1 in Milk-based Mithae samples from Pakistan
  74. Kinetics of Iron Removal From Ti-Extraction Blast Furnace Slag by Chlorination Calcination
  75. Increasing the activity of DNAzyme based on the telomeric sequence: 2’-OMe-RNA and LNA modifications
  76. Exploring the optoelectronic properties of a chromene-appended pyrimidone derivative for photovoltaic applications
  77. Effect of He Qi San on DNA Methylation in Type 2 Diabetes Mellitus Patients with Phlegm-blood Stasis Syndrome
  78. Cyclodextrin potentiometric sensors based on selective recognition sites for procainamide: Comparative and theoretical study
  79. Greener synthesis of dimethyl carbonate from carbon dioxide and methanol using a tunable ionic liquid catalyst
  80. Nonisothermal Cold Crystallization Kinetics of Poly(lactic acid)/Bacterial Poly(hydroxyoctanoate) (PHO)/Talc
  81. Enhanced adsorption of sulfonamide antibiotics in water by modified biochar derived from bagasse
  82. Study on the Mechanism of Shugan Xiaozhi Fang on Cells with Non-alcoholic Fatty Liver Disease
  83. Comparative Effects of Salt and Alkali Stress on Antioxidant System in Cotton (Gossypium Hirsutum L.) Leaves
  84. Optimization of chromatographic systems for analysis of selected psychotropic drugs and their metabolites in serum and saliva by HPLC in order to monitor therapeutic drugs
  85. Electrocatalytic Properties of Ni-Doped BaFe12O19 for Oxygen Evolution in Alkaline Solution
  86. Study on the removal of high contents of ammonium from piggery wastewater by clinoptilolite and the corresponding mechanisms
  87. Phytochemistry and toxicological assessment of Bryonia dioica roots used in north-African alternative medicine
  88. The essential oil composition of selected Hemerocallis cultivars and their biological activity
  89. Mechanical Properties of Carbon Fiber Reinforced Nanocrystalline Nickel Composite Electroforming Deposit
  90. Anti-c-myc efficacy block EGFL7 induced prolactinoma tumorigenesis
  91. Topical Issue on Applications of Mathematics in Chemistry
  92. Zagreb Connection Number Index of Nanotubes and Regular Hexagonal Lattice
  93. The Sanskruti index of trees and unicyclic graphs
  94. Valency-based molecular descriptors of Bakelite network BNmn
  95. Computing Topological Indices for Para-Line Graphs of Anthracene
  96. Zagreb Polynomials and redefined Zagreb indices of Dendrimers and Polyomino Chains
  97. Topological Descriptor of 2-Dimensional Silicon Carbons and Their Applications
  98. Topological invariants for the line graphs of some classes of graphs
  99. Words for maximal Subgroups of Fi24
  100. Generators of Maximal Subgroups of Harada-Norton and some Linear Groups
  101. Special Issue on POKOCHA 2018
  102. Influence of Production Parameters on the Content of Polyphenolic Compounds in Extruded Porridge Enriched with Chokeberry Fruit (Aronia melanocarpa (Michx.) Elliott)
  103. Effects of Supercritical Carbon Dioxide Extraction (SC-CO2) on the content of tiliroside in the extracts from Tilia L. flowers
  104. Impact of xanthan gum addition on phenolic acids composition and selected properties of new gluten-free maize-field bean pasta
  105. Impact of storage temperature and time on Moldavian dragonhead oil – spectroscopic and chemometric analysis
  106. The effect of selected substances on the stability of standard solutions in voltammetric analysis of ascorbic acid in fruit juices
  107. Determination of the content of Pb, Cd, Cu, Zn in dairy products from various regions of Poland
  108. Special Issue on IC3PE 2018 Conference
  109. The Photocatalytic Activity of Zns-TiO2 on a Carbon Fiber Prepared by Chemical Bath Deposition
  110. N-octyl chitosan derivatives as amphiphilic carrier agents for herbicide formulations
  111. Kinetics and Mechanistic Study of Hydrolysis of Adenosine Monophosphate Disodium Salt (AMPNa2) in Acidic and Alkaline Media
  112. Antimalarial Activity of Andrographis Paniculata Ness‘s N-hexane Extract and Its Major Compounds
  113. Special Issue on ABB2018 Conference
  114. Special Issue on ICCESEN 2017
  115. Theoretical Diagnostics of Second and Third-order Hyperpolarizabilities of Several Acid Derivatives
  116. Determination of Gamma Rays Efficiency Against Rhizoctonia solani in Potatoes
  117. Studies On Compatibilization Of Recycled Polyethylene/Thermoplastic Starch Blends By Using Different Compatibilizer
  118. Liquid−Liquid Extraction of Linalool from Methyl Eugenol with 1-Ethyl-3-methylimidazolium Hydrogen Sulfate [EMIM][HSO4] Ionic Liquid
  119. Synthesis of Graphene Oxide Through Ultrasonic Assisted Electrochemical Exfoliation
  120. Special Issue on ISCMP 2018
  121. Synthesis and antiproliferative evaluation of some 1,4-naphthoquinone derivatives against human cervical cancer cells
  122. The influence of the grafted aryl groups on the solvation properties of the graphyne and graphdiyne - a MD study
  123. Electrochemical modification of platinum and glassy carbon surfaces with pyridine layers and their use as complexing agents for copper (II) ions
  124. Effect of Electrospinning Process on Total Antioxidant Activity of Electrospun Nanofibers Containing Grape Seed Extract
  125. Effect Of Thermal Treatment Of Trepel At Temperature Range 800-1200˚C
  126. Topical Issue on Agriculture
  127. The effect of Cladophora glomerata exudates on the amino acid composition of Cladophora fracta and Rhizoclonium sp.
  128. Influence of the Static Magnetic Field and Algal Extract on the Germination of Soybean Seeds
  129. The use of UV-induced fluorescence for the assessment of homogeneity of granular mixtures
  130. The use of microorganisms as bio-fertilizers in the cultivation of white lupine
  131. Lyophilized apples on flax oil and ethyl esters of flax oil - stability and antioxidant evaluation
  132. Production of phosphorus biofertilizer based on the renewable materials in large laboratory scale
  133. Human health risk assessment of potential toxic elements in paddy soil and rice (Oryza sativa) from Ugbawka fields, Enugu, Nigeria
  134. Recovery of phosphates(V) from wastewaters of different chemical composition
  135. Special Issue on the 4th Green Chemistry 2018
  136. Dead zone for hydrogenation of propylene reaction carried out on commercial catalyst pellets
  137. Improved thermally stable oligoetherols from 6-aminouracil, ethylene carbonate and boric acid
  138. The role of a chemical loop in removal of hazardous contaminants from coke oven wastewater during its treatment
  139. Combating paraben pollution in surface waters with a variety of photocatalyzed systems: Looking for the most efficient technology
  140. Special Issue on Chemistry Today for Tomorrow 2019
  141. Applying Discriminant and Cluster Analyses to Separate Allergenic from Non-allergenic Proteins
  142. Chemometric Expertise Of Clinical Monitoring Data Of Prolactinoma Patients
  143. Chemomertic Risk Assessment of Soil Pollution
  144. New composite sorbent for speciation analysis of soluble chromium in textiles
  145. Photocatalytic activity of NiFe2O4 and Zn0.5Ni0.5Fe2O4 modified by Eu(III) and Tb(III) for decomposition of Malachite Green
  146. Photophysical and antibacterial activity of light-activated quaternary eosin Y
  147. Spectral properties and biological activity of La(III) and Nd(III) Monensinates
  148. Special Issue on Monitoring, Risk Assessment and Sustainable Management for the Exposure to Environmental Toxins
  149. Soil organic carbon mineralization in relation to microbial dynamics in subtropical red soils dominated by differently sized aggregates
  150. A potential reusable fluorescent aptasensor based on magnetic nanoparticles for ochratoxin A analysis
  151. Special Issue on 13th JCC 2018
  152. Fluorescence study of 5-nitroisatin Schiff base immobilized on SBA-15 for sensing Fe3+
  153. Thermal and Morphology Properties of Cellulose Nanofiber from TEMPO-oxidized Lower part of Empty Fruit Bunches (LEFB)
  154. Encapsulation of Vitamin C in Sesame Liposomes: Computational and Experimental Studies
  155. A comparative study of the utilization of synthetic foaming agent and aluminum powder as pore-forming agents in lightweight geopolymer synthesis
  156. Synthesis of high surface area mesoporous silica SBA-15 by adjusting hydrothermal treatment time and the amount of polyvinyl alcohol
  157. Review of large-pore mesostructured cellular foam (MCF) silica and its applications
  158. Ion Exchange of Benzoate in Ni-Al-Benzoate Layered Double Hydroxide by Amoxicillin
  159. Synthesis And Characterization Of CoMo/Mordenite Catalyst For Hydrotreatment Of Lignin Compound Models
  160. Production of Biodiesel from Nyamplung (Calophyllum inophyllum L.) using Microwave with CaO Catalyst from Eggshell Waste: Optimization of Transesterification Process Parameters
  161. The Study of the Optical Properties of C60 Fullerene in Different Organic Solvents
  162. Composite Material Consisting of HKUST-1 and Indonesian Activated Natural Zeolite and its Application in CO2 Capture
  163. Topical Issue on Environmental Chemistry
  164. Ionic liquids modified cobalt/ZSM-5 as a highly efficient catalyst for enhancing the selectivity towards KA oil in the aerobic oxidation of cyclohexane
  165. Application of Thermal Resistant Gemini Surfactants in Highly Thixotropic Water-in-oil Drilling Fluid System
  166. Screening Study on Rheological Behavior and Phase Transition Point of Polymer-containing Fluids produced under the Oil Freezing Point Temperature
  167. The Chemical Softening Effect and Mechanism of Low Rank Coal Soaked in Alkaline Solution
  168. The Influence Of NO/O2 On The NOx Storage Properties Over A Pt-Ba-Ce/γ-Al2O3 Catalyst
  169. Special Issue on the International conference CosCI 2018
  170. Design of SiO2/TiO2 that Synergistically Increases The Hydrophobicity of Methyltrimethoxysilane Coated Glass
  171. Antidiabetes and Antioxidant agents from Clausena excavata root as medicinal plant of Myanmar
  172. Development of a Gold Immunochromatographic Assay Method Using Candida Biofilm Antigen as a Bioreceptor for Candidiasis in Rats
  173. Special Issue on Applied Biochemistry and Biotechnology 2019
  174. Adsorption of copper ions on Magnolia officinalis residues after solid-phase fermentation with Phanerochaete chrysosporium
  175. Erratum
  176. Erratum to: Sand Dune Characterization For Preparing Metallurgical Grade Silicon
Downloaded on 15.10.2025 from https://www.degruyterbrill.com/document/doi/10.1515/chem-2019-0118/html?lang=en
Scroll to top button