Abstract
Aims
In cancer biology, the aberrant overexpression of eukaryotic translation initiation factor 5A2 (EIF5A2) has been correlative with an ominous prognosis, thereby underscoring its pivotal role in fostering metastatic progression. Consequently, EIF5A2 has garnered significant attention as a compelling prognostic biomarker for various malignancies. Our research endeavors were thus aimed at elucidating the utility and significance of EIF5A2 as a robust indicator of cancer outcome prediction.
Method
An exhaustive search of the PubMed, EMBASE, and Web of Science databases found relevant studies. The link between EIF5A2 and survival prognosis was examined using hazard ratios and 95% confidence intervals. Subsequently, The Cancer Genome Atlas (TCGA) and the Gene Expression Profiling Interactive Analysis (GEPIA) databases were employed to validate EIF5A2 expression across various cancer types.
Results
Through pooled analysis, we found that increased EIF5A2 expression was significantly associated with decreased overall survival (OS) and disease-free survival/progression-free survival/relapse-free survival (DFS/PFS/RFS). Moreover, TCGA analysis revealed that EIF5A2 was significantly upregulated in 27 types of cancer, with overexpression being linked to shorter OS in three, worse DFS in two, and worse PFS in six types of cancer. GEPIA showed that patients with EIF5A2 overexpression had reduced OS and DFS.
Conclusions
In solid tumors, EIF5A2 emerges as a reliable prognostic marker. Our meta-analysis comprehensively analyzed the prognostic value of EIF5A2 in solid tumors and assessed its efficacy as a predictive marker.
1 Introduction
Eukaryotic translation initiation factor 5A (EIF5A), an essential protein, plays a vital role in maintaining cellular polyamine homeostasis and influencing ribosomal peptidyl-transferase [1]. Eukaryotic translation initiation factor 5A2 (EIF5A2), a variant of EIF5A, enhances signal transducer and activator of transcription 3 (STAT3) entry into the nucleus. This, in turn, increases STAT3 enrichment on the promoter of transforming growth factor-β1 (TGF-β1), resulting in upregulated TGF-β1 expression and facilitating the epithelial–mesenchymal transition (EMT) [2]. EMT enables tumor cells to transition between epithelial and mesenchymal states, which is critical for cancer metastasis [3]. Elevated EIF5A2 levels have been detected in various cancers, where it promotes cancer spread and presents as a promising target for cancer treatment [4]. Inhibition of EIF5A2 has been shown to suppress tumor development and metastasis, while also overcoming chemotherapy resistance [5].
Previous studies suggest that high levels of EIF5A2 are associated with poor prognosis [6]. EIF5A2 was identified in a primary ovarian cancer cell line, and its overexpression in ovarian tumor predicts poor prognosis [7]. Similar outcomes were observed in patients with bladder urothelial cancer (BUC) [8,9], upper tract urothelial carcinoma (UTUC) [10,11], and prostate cancer [12]. In gastrointestinal tumors such as oral squamous cell carcinoma (OSCC) [13], esophageal squamous cell carcinoma (ESCC) [14], gastric cancer (GC) [15,16], hepatocellular carcinoma (HCC) [17,18], gallbladder cancer (GBC) [19], intrahepatic cholangiocarcinoma (ICC) [2], pancreatic adenocarcinoma [20], and colorectal carcinoma (CRC) [21], overexpression of EIF5A2 is also a predictor of poor prognosis. Additionally, overexpression of EIF5A2 is associated with poor prognosis in melanoma [22], nasopharyngeal carcinoma (NPC) [23], cervical cancer [24], and non-small-cell lung cancer (NSCLC) [25] patients.
As scientific knowledge continues to expand, we gain a better understanding of the complex mechanisms underlying cancer metastasis. However, some aspects of these mechanisms remain elusive, underscoring the urgent need for continued research aimed at elucidating them and identifying novel biomarkers for cancer treatment. EIF5A2 is a promising candidate as a prognostic marker for cancer, but the findings from previous studies have not been consistent, making it difficult to establish its predictive significance definitively. To address this issue, in this study, we conducted a meta-analysis to evaluate the predictive value of EIF5A2 in solid tumors and assess its potential as a reliable predictive marker.
2 Materials & methods
2.1 Search strategy
We conducted a systematic search of the PubMed, Web of Science, and EMBASE databases to retrieve relevant publications up until February 10, 2023. The search utilized the keywords “EIF5A2” and “cancer” OR “carcinoma” OR “neoplasm” OR “tumor” OR “tumour,” along with “prognosis” OR “prognostic” OR “survival” OR “outcome.” No language restrictions were applied to the search. We reviewed titles, abstracts, full-text manuscripts, and references to identify relevant studies. As this study did not involve human participants, informed consent was not required (Table 1).
Search strings
Database | Search string | Number of studies |
---|---|---|
Web of Science | (“EIF5A2”) and (“cancer” OR “carcinoma” OR “neoplasm” OR “tumor” OR “tumour”) and (“prognosis” OR “prognostic” OR “survival” OR “outcome”) | 83 |
PubMed | (“EIF5A2”) and (“cancer” OR “carcinoma” OR “neoplasm” OR “tumor” OR “tumour”) and (“prognosis” OR “prognostic” OR “survival” OR “outcome”) | 66 |
Embase | (“EIF5A2”) and (“cancer” OR “carcinoma” OR “neoplasm” OR “tumor” OR “tumour”) and (“prognosis” OR “prognostic” OR “survival” OR “outcome”) | 75 |
Total | 224 |
EIF5A2: eukaryotic translation initiation factor 5A2.
2.2 Study selection
We included publications that investigated the relationship between EIF5A2 and survival prognosis in solid tumors, reported measurements of EIF5A2 expression in tissue or blood, and provided sufficient data to calculate hazard ratios (HRs) and 95% confidence intervals (CIs). Our study encompasses a variety of detection methods, ensuring that a broad spectrum of research is included. While real-time PCR is acknowledged as a common method, other detection techniques were also considered, enhancing the diversity of the literature reviewed. Studies that did not provide enough information to estimate HRs and 95% CIs, as well as reviews, case reports, letters, abstracts, animal studies, public database datasets, and duplicated or overlapped research, were excluded from our analysis. Literature in languages other than English or Chinese was excluded due to limitations in linguistic proficiency. Our study prioritized articles that explicitly reported HRs in their findings. Articles relying solely on Kaplan–Meier curves for survival analysis were intentionally excluded from our study.
2.3 Data extraction & quality assessment
We extracted relevant data from each eligible study, including author name, publication year, and country of sample origin. Additionally, we collected information on the type of tumor samples, sample size, detection methods, and other characteristics. We also obtained overall survival (OS), disease-free survival/progression-free survival/relapse-free survival (DFS/PFS/RFS), HRs, and their corresponding 95% CIs. When available, multivariate analysis was preferred over univariate analysis for increased precision. The quality of each study was assessed using the Newcastle–Ottawa Quality Assessment Scale to evaluate its effectiveness.
2.4 Statistical analysis
We used HRs and their corresponding 95% CIs to calculate the pooled data in our analysis, directly utilizing the values reported in each study. To assess heterogeneity, I 2 or p-value was used. When I 2 was less than 50% or p-value was larger than 0.05, a fixed-effects model was employed, and when I 2 was greater than 50% or p-value was less than 0.05, a random-effects model was employed. Sensitivity analysis was conducted to assess the reliability of the results. To assess publication bias, funnel plots and Egger’s test were used. STATA 17.0 software was used for all data analyses (Stata Corporation, TX, USA). P-values lower than 0.05 were deemed statistically significant.
2.5 Bioinformatics analysis
We collected RNA-sequencing expression (level 3) profiles and corresponding clinical information from The Cancer Genome Atlas (TCGA) database (https://portal.gdc.cancer.gov/) for 10,030 patients with various types of cancer. Additionally, we obtained mRNA expression data from paired normal tissue samples in these tumors. Normal tissue samples were also retrieved from the GTEx V8 release version (https://gtexportal.org/home/datasets) for comparison. We used univariate Cox regression analysis and the “forestplot” R package in R version 4.0.3 to display p-values, HRs, and their respective 95% CIs for each variable. The Gene Expression Profiling Interactive Analysis (GEPIA) tool (http://gepia.cancer-pku.cn/), based on TCGA and GTEx data, was used to evaluate abnormal EIF5A2 expression in cancer tissues. We then obtained survival plots in the form of Kaplan–Meier curves for the association between EIF5A2 expression and OS or DFS. P-values less than 0.05 were considered statistically significant.
3 Results
3.1 Search results
Our search strategy yielded a total of 224 articles from the designated databases. After removing 19 duplicates, we screened 205 articles for additional information using our selection criteria, resulting in the elimination of 184 articles and leaving 21 articles for further screening. Of these, two articles did not provide sufficient data, and two others used data obtained from public databases. Ultimately, our meta-analysis included 17 articles published between 2009 and 2022. Figure 1 illustrates the search strategy flowchart.

Literature search process flowchart.
3.2 Study characteristics
A total of 3,554 samples were included in our meta-analysis, with sample sizes ranging from 72 to 436 per study. Various malignancies were investigated, including ovarian cancer, BUC, UTUC, melanoma, prostate cancer, OSCC, ESCC, GC, HCC, GBC, ICC, pancreatic adenocarcinoma, CRC, NPC, cervical cancer, and NSCLC. In 20 studies, the overexpression of EIF5A2 was detected in tissue samples using immunohistochemistry. Table 2 provides fundamental information regarding the included literature.
Elements of relevant studies
Study | Year | Country | Race | Sample size | Tumor type | Detected method | Detected sample | Survival analysis | NOS score |
---|---|---|---|---|---|---|---|---|---|
Chen et al. [8] | 2009 | China | Asian | 86 | Bladder urothelial carcinoma | IHC | Tissue | OS | 7 |
Fang et al. [11] | 2019 | China | Asian | 101 | Upper urinary tract urothelial carcinoma | IHC | Tissue | OS, PFS | 7 |
He et al. [25] | 2011 | China | Asian | 224 | Non-small-cell lung cancer | IHC | Tissue | OS | 6 |
Huang et al. [10] | 2018 | China | Asian | 109 | Upper urinary tract urothelial carcinoma | IHC | Tissue | RFS | 7 |
Huang et al. [23] | 2016 | China | Asian | 123 | NPC | IHC | Tissue | OS | 7 |
Khosravi et al. [22] | 2016 | Canada | Caucasian | 382 | Melanoma | IHC | Tissue | OS | 6 |
Lin et al. [13] | 2020 | China | Asian | 272 | OSCC | IHC | Tissue | OS | 6 |
Luo et al. [9] | 2009 | China | Asian | 112 | Bladder urothelial carcinoma | IHC | Tissue | PFS, RFS | 6 |
Meng et al. [16] | 2015 | China | Asian | 160/145 | GC | IHC | Tissue | OS, DFS | 5 |
Wang et al. [17] | 2014 | China | Asian | 212 | Hepatocellular carcinoma | IHC | Tissue | OS | 7 |
Wei et al. [20] | 2013 | China | Asian | 73 | Pancreatic adenocarcinoma | IHC | Tissue | OS | 5 |
Wei et al. [26] | 2014 | China | Asian | 154 | Bladder cancer | IHC | Tissue | OS | 6 |
Yang et al. [7] | 2009 | China | Asian | 110 | Ovarian tumor | IHC | Tissue | OS | 6 |
Yang et al. [15] | 2016A | China | Asian | 436 | GC | IHC | Tissue | OS | 6 |
Yang et al. [24] | 2016B | China | Asian | 314 | Cervical cancer | IHC | Tissue | OS, DFS | 7 |
Zheng et al. [19] | 2020 | China | Asian | 80 | GBC | IHC | Tissue | OS | 7 |
Zhu et al. [21] | 2011 | China | Asian | 229 | CRC | IHC | Tissue | OS | 7 |
IHC: immunohistochemistry; OS: overall survival; DFS: disease-free survival; PFS: progression-free survival; RFS: relapse-free survival.
3.3 High EIF5A2 expression & OS
Fourteen studies examined the association between high EIF5A2 expression and prognosis using OS. As there was no significant heterogeneity observed in this analysis (I 2 = 0), a fixed-effects model was used to estimate the pooled HR with a 95% CI. The results showed that high EIF5A2 expression was substantially linked with shorter OS (HR: 1.97; 95% CI: 1.73–2.22), as depicted in Figure 2.

Forest plot of the relationship between overexpression of EIF5A2 and OS.
3.4 Subgroup analysis for OS
Subgroup analyses were conducted according to tumor type, race, and sample size. The findings of these subgroup analyses are presented in Table 3. In terms of tumor types, high EIF5A2 expression was associated with poor OS in digestive system tumors, with an HR of 1.89 (95% CI: 1.57–2.27). Similarly, gynecological and reproductive system tumors had an HR of 1.72 (95% CI: 2.21–2.45). Head and neck cancers exhibited an HR of 1.85 (95% CI: 1.26–2.71), and melanoma had an HR of 2.26 (95% CI: 1.57–3.26). Respiratory system tumors had an HR of 2.10 (95% CI: 1.16–3.79), and urinary system tumors had an HR of 2.52 (95% CI: 1.58–4.03). When considering race, both Asian and Caucasian populations showed statistically significant HRs. Asian individuals had an HR of 1.93 (95% CI: 1.68–2.21), while Caucasians had an HR of 2.26 (95% CI: 1.57–3.26). Finally, the analysis of sample sizes revealed that studies with less than 200 participants had an HR of 2.16 (95% CI: 1.62–2.89), while those with more than 200 participants had an HR of 1.92 (95% CI: 1.66–2.23).
Subgroup analysis for OS
Clinical features | Studies (n) | Pooled HR (95% CI) | p-value | Heterogeneity | ||
---|---|---|---|---|---|---|
I 2 (%) | p-value | Model | ||||
Tumor type | ||||||
Digestive system | 6 | 1.89 (1.57–2.27) | <0.001 | 0 | 0.506 | Random |
Gynecological and Reproductive systems | 2 | 1.72 (2.21–2.45) | 0.003 | 0 | 0.573 | Random |
Head and neck cancers | 2 | 1.85 (1.26–2.71) | 0.002 | 0 | 0.340 | Random |
Melanoma | 1 | 2.26 (1.57–3.26) | <0.001 | |||
Respiratory system | 1 | 2.10 (1.16–3.79) | 0.014 | |||
Urinary system | 3 | 2.52 (1.58–4.03) | <0.001 | 31.9 | 0.230 | Random |
Race | ||||||
Asian | 14 | 1.93 (1.68–2.21) | <0.001 | 0 | 0.671 | Random |
Caucasian | 1 | 2.26 (1.57–3.26) | <0.001 | |||
Sample size | ||||||
<200 | 7 | 2.16 (1.62–2.89) | <0.001 | 17.7 | 0.295 | Random |
≥200 | 8 | 1.92 (1.66–2.23) | <0.001 | 0 | 0.855 | Random |
HR: Hazard ratio.
3.5 High EIF5A2 expression & DFS/PFS/RFS
Six studies examined the connection between overexpression of EIF5A2 and prognosis using DFS/PFS/RFS. Using the fixed-effects model (I 2 = 0), a comprehensive analysis revealed that increased EIF5A2 expression was substantially related to decreased DFS/PFS/RFS (HR: 2.31; 95% CI: 1.80–2.98) (Figure 3). Additionally, we independently analyzed DFS, PFS and RFS results. High EIF5A2 expression was connected with decreased DFS (HR: 1.93; 95% CI: 1.36–2.72), PFS (HR: 3.51; 95% CI: 1.94–6.35), and RFS (HR: 2.50; 95% CI: 1.55–4.03).

Forest plot of the relationship between overexpression of EIF5A2 and DFS/PFS/RFS.
3.6 High EIF5A2 expression & lymph node metastasis
To further explore the association between EIF5A2 and lymph node metastasis, we performed a thorough analysis by compiling data on high EIF5A2 expression and lymph node (LN) metastasis status. The findings indicated there is no association between elevated EIF5A2 expression and LN status (LN positive vs LN negative), as evidenced by an odds ratio (OR) of 1.14 (95% CI: 0.76–1.52) (Figure 4).

Forest plot of the relationship between expression of EIF5A2 and lymph node metastasis: LN, lymph node.
3.7 Sensitivity analysis
To assess the robustness of the findings, a sensitivity analysis was conducted by removing each study individually. The results, as depicted in Figures 5 and 6, did not show any significant alteration from the overall analysis, indicating the stability of the results.

Sensitivity analysis for OS.

Sensitivity analysis for DFS/PFS/RFS.
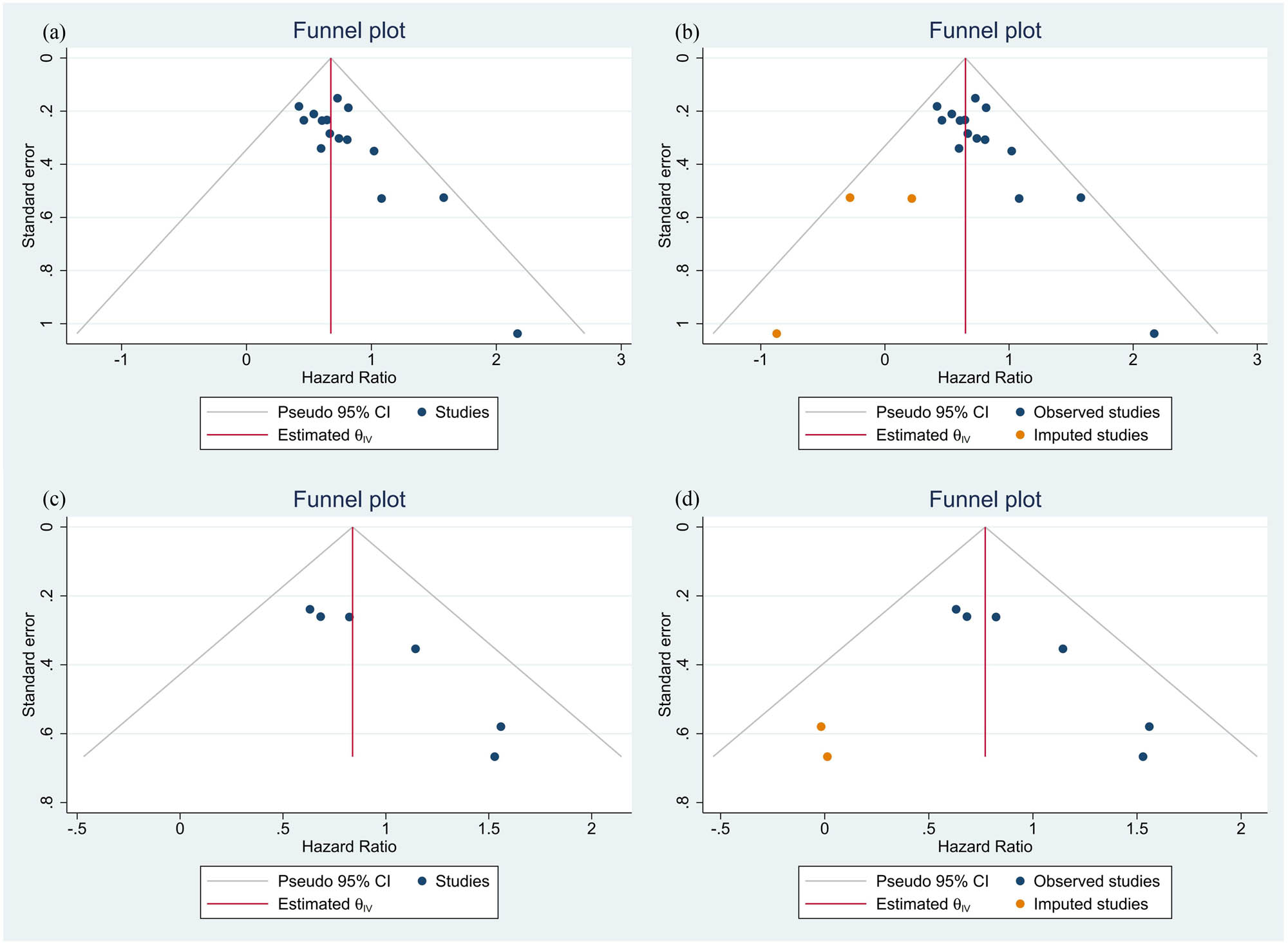
3.8 Publication bias
To assess publication bias for OS or DFS/PFS/RFS, the study used funnel plots and Egger’s test to generate statistical evidence (Figure 7). The results indicated a significant publication bias, with Egger’s test p-values of 0.011 for OS (Figure 8a) and 0.006 for DFS/PFS/RFS (Figure 8b). To further examine publication bias, the study employed the trim-and-fill strategy. It was found that the pooled HRs for OS and DFS/PFS/RFS were 1.914 (95% CI: 1.689–2.168) and 2.162 (95% CI: 1.697–2.755), respectively, which demonstrated that the meta-analysis results remained robust despite the presence of publication bias.

Funnel plots for publication bias: (a) funnel plots for OS; (b) filled funnel plot for OS; (c) funnel plots for DFS/PFS/RFS; (d) filled funnel plot for DFS/PFS/RFS.

(a) Egger’s test for OS data, and (b) Egger’s test for DFS/PFS/RFS data.
3.9 Verification in bioinformatics databases
To further confirm our findings, we investigated if EIF5A2 could serve as a prognostic biomarker across various types of cancer. Our results demonstrated that the expression of EIF5A2 was significantly different in 27 types of cancers (p < 0.05; Figure 9) compared to healthy tissues. Additionally, univariate Cox regression analyses were conducted to evaluate the prognostic value of EIF5A2 in a wide range of malignancies. The results showed that the overexpression of EIF5A2 was associated with poor OS in three types of cancer (p < 0.05; Figure 10a) and worse DFS and PFS in two and six cancer types (p < 0.05; Figure 10b and c). Furthermore, we used the GEPIA online tool to assess EIF5A2 expression across 31 types of cancers. The patients were divided into EIF5A2 high and low expression groups based on the median value, and the results (Figure 11) confirmed that EIF5A2 overexpression was linked to shorter OS and DFS in patients with cancer. These findings, which were consistent with the conclusions of our meta-analysis, suggest that EIF5A2 could be a promising prognostic biomarker for various types of cancer.

EIF5A2 expression in different types of cancers. The expression distribution of EIF5A2 in tumor tissues and normal tissues. The abscissa represents different tumor tissues, the ordinate represents the expression distribution of EIF5A2, and different colors represent different groups. *p< 0.05, **p< 0.01,***p< 0.001, asterisks (*) stand for significance levels. The statistical difference of two groups was compared through the Wilcox test. ACC: adrenocortical carcinoma; BLCA: bladder urothelial carcinoma; BRCA: breast invasive carcinoma; CESC: cervical squamous cell carcinoma and endocervical adenocarcinoma; CHOL: cholangiocarcinoma; COAD: colon adenocarcinoma; ESCA: esophageal carcinoma; GBM: glioblastoma multiforme; HNSC: head and neck squamous cell carcinoma; KICH: kidney chromophobe; KIRC: kidney renal clear cell carcinoma; KIRP: kidney renal papillary cell carcinoma; LGG: brain lower-grade glioma; LIHC: liver hepatocellular carcinoma; LUAD: lung adenocarcinoma; LUSC: lung squamous cell carcinoma; MESO: mesothelioma; OV: ovarian serous cystadenocarcinoma; PAAD: pancreatic adenocarcinoma; PCPG: pheochromocytoma and paraganglioma; PRAD: prostate adenocarcinoma; READ: rectum adenocarcinoma; SARC: sarcoma; SKCM: skin cutaneous melanoma; STAD: stomach adenocarcinoma; TGCT: testicular germ cell tumors; THCA: thyroid carcinoma; THYM: thymoma; UCEC: uterine corpus endometrial carcinoma; UCS: uterine carcinosarcoma; UVM: uveal melanoma.

Forest plot for OS (a), DFS (b), and PFS (c). The p-value, risk coefficient (HR), and CI of EIF5A2 in multiple tumors are analyzed by univariate cox regression. ACC: adrenocortical carcinoma; BLCA: bladder urothelial carcinoma; BRCA: breast invasive carcinoma; CESC: cervical squamous cell carcinoma and endocervical adenocarcinoma; CHOL: cholangiocarcinoma; COAD: colon adenocarcinoma; ESCA: esophageal carcinoma; GBM: glioblastoma multiforme; HNSC: head and neck squamous cell carcinoma; KICH: kidney chromophobe; KIRC: kidney renal clear cell carcinoma; KIRP: kidney renal papillary cell carcinoma; LGG: brain lower-grade glioma; LIHC: liver hepatocellular carcinoma; LUAD: lung adenocarcinoma; LUSC: lung squamous cell carcinoma; MESO: mesothelioma; OV: ovarian serous cystadenocarcinoma; PAAD: pancreatic adenocarcinoma; PCPG: pheochromocytoma and paraganglioma; PRAD: prostate adenocarcinoma; READ: rectum adenocarcinoma; SARC: sarcoma; SKCM: skin cutaneous melanoma; STAD: stomach adenocarcinoma; TGCT: testicular germ cell tumors; THCA: thyroid carcinoma; THYM: thymoma; UCEC: uterine corpus endometrial carcinoma; UCS: uterine carcinosarcoma; UVM: uveal melanoma.

Kaplan–Meier curves for OS (a) and DFS (b). The prognostic value of EIF5A2 for the OS and DFS of patients with cancer using the GEPIA database. HR: hazard ratio; OS: overall survival; DFS: disease-free survival.
4 Discussion
Metastasis, the most deleterious hallmark of cancer, remains responsible for a substantial proportion of cancer-related deaths [27]. The interplay between autophagy and EMT, two critical processes that govern cellular behavior, has emerged as an underlying molecular mechanism driving tumorigenesis and metastasis [28]. Notably, androgen receptor (AR) signaling governs the expression of EIF5A2 in androgen-dependent cells, promoting prostate cancer metastasis by inducing EMT and elevating EIF5A2 expression [29]. Autophagy, an adaptive stress response that degrades unwanted organelles and biomolecules, contributes to the immunosuppressive environment that facilitates tumor initiation and progression [30].
Drug resistance in cancer cells reduces the effectiveness of current treatments for many types of malignancy, including chemotherapy and targeted therapies [31]. Many studies have studied the function of EMT in tumor drug resistance, and various EMT-mediated signaling pathways are involved in drug resistance [32]. EIF5A2 has been implicated in promoting drug resistance in various malignancies. In HCC, for instance, elevated EIF5A2 levels mediate chemo-resistance by suppressing autophagy-mediated cell death [18]. Hypoxia further amplifies EIF5A2 expression in NSCLC, thereby promoting cisplatin resistance via autophagy induction [33]. Similarly, in breast cancer cells, overexpression of EIF5A2 correlates with lower sensitivity to doxorubicin [34]. In addition, recent studies suggest that EIF5A2 might regulate cellular aging by modulating transcriptional activity, adding another layer of complexity to its diverse roles in various biological processes [35].
Given the critical involvement of EIF5A2 in tumor-specific mechanisms such as EMT, autophagy, and drug resistance, it represents a promising target for developing novel therapeutic approaches. A meta-analysis conducted in our study corroborates the association between EIF5A2 overexpression and poor prognosis in solid tumors, underscoring the potential of EIF5A2 as a reliable and informative biomarker of malignancy outcome.
This meta-analysis is subject to several limitations. First, the sample sizes of all included studies were relatively small, and hence, the accuracy of their data may be compromised. Second, clinical characteristics of the studies were not made available. Third, there exists a notable publication bias for survival outcomes, potentially resulting from variations in research methodologies, clinical experience of authors, statistical analysis, and adjustment factors. Finally, most of the retrospective investigations were conducted in Asia, thereby limiting the generalizability of the outcomes to other regions.
As previously discussed, EIF5A2 has been implicated in tumor initiation, progression, metastasis, and chemotherapy resistance, making it a promising prognostic marker for solid malignancies. Robust prognostic markers not only enable personalized treatment for each patient by allowing for the early identification of high- and low-risk individuals, but also improve overall clinical outcomes. Despite the potential significance of EIF5A2 as a prognostic biomarker, its clinical relevance in solid tumors is still not well established. Thus, our meta-analysis aimed to comprehensively explore the potential clinical utility of EIF5A2 in solid malignancies.
-
Funding information: This study was supported by the National Natural Science Foundation of China (No. 82172770).
-
Author contributions: Peifen Fu provided direction for this work and revised the manuscript. Jianwen Fang and Yu Tianze contributed to the conception of the study. Jianwen Fang, Yuexin Lu and Xiaocong Jiang drafted the original manuscript. Jianwen Fang, Xi Shang and Haixing Shen illustrated the figures for the manuscript. Jianwen Fang, Yue Lu, and Jingyan Zheng collected the relevant research. All authors approved the final manuscript.
-
Conflict of interest: The authors declare that they have no competing interests.
-
Data availability statement: All data can be obtained from the corresponding author. The raw data from the TCGA database used in our investigation are accessible through Genomic Data Commons (GDC) Data Portal of TCGA repository (https://portal.gdc.cancer.gov/) and GTEx (https://gtexportal.org/home/datasets).
References
[1] Jenkins ZA, Hååg PG, Johansson HE. Human eIF5A2 on chromosome 3q25-q27 is a phylogenetically conserved vertebrate variant of eukaryotic translation initiation factor 5A with tissue-specific expression. Genomics. 2001;71(1):101–9. 10.1006/geno.2000.6418.Search in Google Scholar PubMed
[2] Yang SH, Hu S, Kang Q, Liu LX, Wei Q, Song ZM, et al. EIF5A2 promotes proliferation and invasion of intrahepatic cholangiocarcinoma cells. Clin Res Hepatol Gastroenterol. 2022;46(7):101991. 10.1016/j.clinre.2022.101991.Search in Google Scholar PubMed
[3] Gundamaraju R, Lu W, Paul MK, Jha NK, Gupta PK, Ojha S, et al. Autophagy and EMT in cancer and metastasis: Who controls whom? Biochim Biophys Acta Mol Basis Dis. 2022;1868(9):166431. 10.1016/j.bbadis.2022.166431.Search in Google Scholar PubMed
[4] Zhao G, Zhang W, Dong P, Watari H, Guo Y, Pfeffer LM, et al. EIF5A2 controls ovarian tumor growth and metastasis by promoting epithelial to mesenchymal transition via the TGFβ pathway. Cell Biosci. 2021;11(1):70. 10.1186/s13578-021-00578-5.Search in Google Scholar PubMed PubMed Central
[5] Zhong X, Xiu H, Bi Y, Zhang H, Chang L, Diao H. Targeting eIF5A2 inhibits prostate carcinogenesis, migration, invasion and metastasis in vitro and in vivo. Bioengineered. 2020;11(1):619–27. 10.1080/21655979.2020.1774993.Search in Google Scholar PubMed PubMed Central
[6] Hao F, Zhu Q, Lu L, Sun S, Huang Y, Zhang J, et al. EIF5A2 is highly expressed in anaplastic thyroid carcinoma and is associated with tumor growth by modulating TGF- signals. Oncol Res. 2020;28(4):345–55. 10.3727/096504020X15834065061807.Search in Google Scholar PubMed PubMed Central
[7] Yang GF, Xie D, Liu JH, Luo JH, Li LJ, Hua WF, et al. Expression and amplification of eIF-5A2 in human epithelial ovarian tumors and overexpression of EIF-5A2 is a new independent predictor of outcome in patients with ovarian carcinoma. Gynecol Oncol. 2009;112(2):314–8. 10.1016/j.ygyno.2008.10.024.Search in Google Scholar PubMed
[8] Chen W, Luo JH, Hua WF, Zhou FJ, Lin MC, Kung HF, et al. Overexpression of EIF-5A2 is an independent predictor of outcome in patients of urothelial carcinoma of the bladder treated with radical cystectomy. Cancer Epidemiol Biomarkers Prev. 2009;18(2):400–8. 10.1158/1055-9965.EPI-08-0754.Search in Google Scholar PubMed
[9] Luo JH, Hua WF, Rao HL, Liao YJ, Kung HF, Zeng YX, et al. Overexpression of EIF-5A2 predicts tumor recurrence and progression in pTa/pT1 urothelial carcinoma of the bladder. Cancer Sci. 2009;100(5):896–902. 10.1111/j.1349-7006.2009.01126.x.Search in Google Scholar PubMed
[10] Huang Y, Wei J, Fang Y, Chen Z, Cen J, Feng Z, et al. Prognostic value of AIB1 and EIF5A2 in intravesical recurrence after surgery for upper tract urothelial carcinoma. Cancer Manag Res. 2018;10:6997–7011. 10.2147/CMAR.S185392.Search in Google Scholar PubMed PubMed Central
[11] Fang Y, Cen JJ, Cao JZ, Huang Y, Feng ZH, Lu J, et al. Overexpression of EIF5A2 in upper urinary tract urothelial carcinoma is a new independent prognostic marker of survival. Future Oncol. 2019;15(17):2009–18. 10.2217/fon-2018-0748.Search in Google Scholar PubMed
[12] Lu J, Zhao HW, Chen Y, Wei JH, Chen ZH, Feng ZH, et al. Eukaryotic translation initiation factor 5A2 is highly expressed in prostate cancer and predicts poor prognosis. Exp Ther Med. 2019;17(5):3741–7. 10.3892/etm.2019.7331.Search in Google Scholar PubMed PubMed Central
[13] Lin YM, Chen ML, Chen CL, Yeh CM, Sung WW. Overexpression of EIF5A2 predicts poor prognosis in patients with oral squamous cell carcinoma. Diagnostics (Basel). 2020;10(7):436. 10.3390/diagnostics10070436.Search in Google Scholar PubMed PubMed Central
[14] Yang H, Li XD, Zhou Y, Ban X, Zeng TT, Li L, et al. Stemness and chemotherapeutic drug resistance induced by EIF5A2 overexpression in esophageal squamous cell carcinoma. Oncotarget. 2015;6(28):26079–89. 10.18632/oncotarget.4581.Search in Google Scholar PubMed PubMed Central
[15] Yang Q, Ye Z, Zhang Q, Zhao Z, Yuan H. Expression of eukaryotic translation initiation factor 5A-2 (eIF5A-2) associated with poor survival in gastric cancer. Tumour Biol. 2016;37(1):1189–95. 10.1007/s13277-015-3894-0.Search in Google Scholar PubMed
[16] Meng QB, Kang WM, Yu JC, Liu YQ, Ma ZQ, Zhou L, et al. Overexpression of eukaryotic translation initiation factor 5A2 (EIF5A2) correlates with cell aggressiveness and poor survival in gastric cancer. PLoS One. 2015;10(3):e0119229. 10.1371/journal.pone.0119229.Search in Google Scholar PubMed PubMed Central
[17] Wang FW, Cai MY, Mai SJ, Chen JW, Bai HY, Li Y, et al. Ablation of EIF5A2 induces tumor vasculature remodeling and improves tumor response to chemotherapy via regulation of matrix metalloproteinase 2 expression. Oncotarget. 2014;5(16):6716–33. 10.18632/oncotarget.2236.Search in Google Scholar PubMed PubMed Central
[18] Tang Y, Chen K, Luan X, Zhang J, Liu R, Zheng X, et al. Knockdown of eukaryotic translation initiation factor 5A2 enhances the therapeutic efficiency of doxorubicin in hepatocellular carcinoma cells by triggering lethal autophagy. Int J Oncol. 2020;57(6):1368–80. 10.3892/ijo.2020.5143.Search in Google Scholar PubMed PubMed Central
[19] Zheng X, Gao L, Wang BT, Shen P, Yuan XF, Zhang LQ, et al. Overexpression of EIF5A2 is associated with poor survival and aggressive tumor biology in gallbladder cancer. Histol Histopathol. 2020;35(6):579–87. 10.14670/HH-18-186.Search in Google Scholar PubMed
[20] Wei YX, Chen G, You L, Zhao YP. [Expression of eukaryotic translation initiation factor 5A2 in pancreatic adenocarcinoma and its correlation with the prognosis]. Zhongguo yi xue ke xue yuan xue bao. 2013;35(6):634–8. 10.3881/j.issn.1000-503X.2013.06.009.Search in Google Scholar PubMed
[21] Zhu W, Cai MY, Tong ZT, Dong SS, Mai SJ, Liao YJ, et al. Overexpression of EIF5A2 promotes colorectal carcinoma cell aggressiveness by upregulating MTA1 through C-myc to induce epithelial-mesenchymal transition. Gut. 2012;61(4):562–75. 10.1136/gutjnl-2011-300207.Search in Google Scholar PubMed
[22] Khosravi S, Martinka M, Zhou Y, Ong CJ. Prognostic significance of the expression of nuclear eukaryotic translation initiation factor 5A2 in human melanoma. Oncol Lett. 2016;12(5):3089–3100. 10.3892/ol.2016.5057.Search in Google Scholar PubMed PubMed Central
[23] Huang PY, Zeng TT, Ban X, Li MQ, Zhang BZ, Zhu YH, et al. Expression of EIF5A2 associates with poor survival of nasopharyngeal carcinoma patients treated with induction chemotherapy. BMC Cancer. 2016;16(1):669. 10.1186/s12885-016-2714-2.Search in Google Scholar PubMed PubMed Central
[24] Yang SS, Gao Y, Wang DY, Xia BR, Liu YD, Qin Y, et al. Overexpression of eukaryotic initiation factor 5A2 (EIF5A2) is associated with cancer progression and poor prognosis in patients with early-stage cervical cancer. Histopathology. 2016;69(2):276–87. 10.1111/his.12933.Search in Google Scholar PubMed
[25] He LR, Zhao HY, Li BK, Liu YH, Liu MZ, Guan XY, et al. Overexpression of eIF5A-2 is an adverse prognostic marker of survival in stage I non-small cell lung cancer patients. Int J Cancer. 2011;129(1):143–50. 10.1002/ijc.25669.Search in Google Scholar PubMed
[26] Wei JH, Cao JZ, Zhang D, Liao B, Zhong WM, Lu J, et al. EIF5A2 predicts outcome in localised invasive bladder cancer and promotes bladder cancer cell aggressiveness in vitro and in vivo. Br J Cancer. 2014;110(7):1767–77. 10.1038/bjc.2014.52.Search in Google Scholar PubMed PubMed Central
[27] Fares J, Fares MY, Khachfe HH, Salhab HA, Fares Y. Molecular principles of metastasis: a hallmark of cancer revisited. Signal Transduct Target Ther. 2020;5(1):28. 10.1038/s41392-020-0134-x.Search in Google Scholar PubMed PubMed Central
[28] Babaei G, Aziz SG, Jaghi NZZ. EMT, cancer stem cells and autophagy; The three main axes of metastasis. Biomed Pharmacother. 2021;133:110909. 10.1016/j.biopha.2020.110909.Search in Google Scholar PubMed
[29] Zheng Y, Li P, Huang H, Ye X, Chen W, Xu G, et al. Androgen receptor regulates eIF5A2 expression and promotes prostate cancer metastasis via EMT. Cell Death Discov. 2021;7(1):373. 10.1038/s41420-021-00764-x.Search in Google Scholar PubMed PubMed Central
[30] Lei Y, Zhang E, Bai L, Li Y. Autophagy in cancer immunotherapy. Cells. 2022;11(19):2996. Published 2022 Sep 26. 10.3390/cells11192996.Search in Google Scholar PubMed PubMed Central
[31] Khaled J, Kopsida M, Lennernäs H, Heindryckx F. Drug resistance and endoplasmic reticulum stress in hepatocellular carcinoma. Cells. 2022;11(4):632. 10.3390/cells11040632.Search in Google Scholar PubMed PubMed Central
[32] Mashouri L, Yousefi H, Aref AR, Ahadi AM, Molaei F, Alahari SK. Exosomes: composition, biogenesis, and mechanisms in cancer metastasis and drug resistance. Mol Cancer. 2019;18(1):75. 10.1186/s12943-019-0991-5.Search in Google Scholar PubMed PubMed Central
[33] Xu G, Chen H, Wu S, Chen J, Zhang S, Shao G, et al. Eukaryotic initiation factor 5A2 mediates hypoxia-induced autophagy and cisplatin resistance. Cell Death Dis. 2022;13(8):683. Published 2022 Aug 5. 10.1038/s41419-022-05033-y.Search in Google Scholar PubMed PubMed Central
[34] Liu Y, Du F, Chen W, Yao M, Lv K, Fu P. EIF5A2 is a novel chemoresistance gene in breast cancer. Breast Cancer. 2015;22(6):602–7. 10.1007/s12282-014-0526-2.Search in Google Scholar PubMed
[35] Liu Y, Peng L, Chen J, Chen L, Wu Y, Cheng M, et al. EIF5A2 specifically regulates the transcription of aging-related genes in human neuroblastoma cells. BMC Geriatr. 2023;23(1):83. Published 2023 Feb 7. 10.1186/s12877-023-03793-6.Search in Google Scholar PubMed PubMed Central
© 2024 the author(s), published by De Gruyter
This work is licensed under the Creative Commons Attribution 4.0 International License.
Articles in the same Issue
- Research Articles
- EDNRB inhibits the growth and migration of prostate cancer cells by activating the cGMP-PKG pathway
- STK11 (LKB1) mutation suppresses ferroptosis in lung adenocarcinoma by facilitating monounsaturated fatty acid synthesis
- Association of SOX6 gene polymorphisms with Kashin-Beck disease risk in the Chinese Han population
- The pyroptosis-related signature predicts prognosis and influences the tumor immune microenvironment in dedifferentiated liposarcoma
- METTL3 attenuates ferroptosis sensitivity in lung cancer via modulating TFRC
- Identification and validation of molecular subtypes and prognostic signature for stage I and stage II gastric cancer based on neutrophil extracellular traps
- Novel lumbar plexus block versus femoral nerve block for analgesia and motor recovery after total knee arthroplasty
- Correlation between ABCB1 and OLIG2 polymorphisms and the severity and prognosis of patients with cerebral infarction
- Study on the radiotherapy effect and serum neutral granulocyte lymphocyte ratio and inflammatory factor expression of nasopharyngeal carcinoma
- Transcriptome analysis of effects of Tecrl deficiency on cardiometabolic and calcium regulation in cardiac tissue
- Aflatoxin B1 induces infertility, fetal deformities, and potential therapies
- Serum levels of HMW adiponectin and its receptors are associated with cytokine levels and clinical characteristics in chronic obstructive pulmonary disease
- METTL3-mediated methylation of CYP2C19 mRNA may aggravate clopidogrel resistance in ischemic stroke patients
- Understand how machine learning impact lung cancer research from 2010 to 2021: A bibliometric analysis
- Pressure ulcers in German hospitals: Analysis of reimbursement and length of stay
- Metformin plus L-carnitine enhances brown/beige adipose tissue activity via Nrf2/HO-1 signaling to reduce lipid accumulation and inflammation in murine obesity
- Downregulation of carbonic anhydrase IX expression in mouse xenograft nasopharyngeal carcinoma model via doxorubicin nanobubble combined with ultrasound
- Feasibility of 3-dimensional printed models in simulated training and teaching of transcatheter aortic valve replacement
- miR-335-3p improves type II diabetes mellitus by IGF-1 regulating macrophage polarization
- The analyses of human MCPH1 DNA repair machinery and genetic variations
- Activation of Piezo1 increases the sensitivity of breast cancer to hyperthermia therapy
- Comprehensive analysis based on the disulfidptosis-related genes identifies hub genes and immune infiltration for pancreatic adenocarcinoma
- Changes of serum CA125 and PGE2 before and after high-intensity focused ultrasound combined with GnRH-a in treatment of patients with adenomyosis
- The clinical value of the hepatic venous pressure gradient in patients undergoing hepatic resection for hepatocellular carcinoma with or without liver cirrhosis
- Development and validation of a novel model to predict pulmonary embolism in cardiology suspected patients: A 10-year retrospective analysis
- Downregulation of lncRNA XLOC_032768 in diabetic patients predicts the occurrence of diabetic nephropathy
- Circ_0051428 targeting miR-885-3p/MMP2 axis enhances the malignancy of cervical cancer
- Effectiveness of ginkgo diterpene lactone meglumine on cognitive function in patients with acute ischemic stroke
- The construction of a novel prognostic prediction model for glioma based on GWAS-identified prognostic-related risk loci
- Evaluating the impact of childhood BMI on the risk of coronavirus disease 2019: A Mendelian randomization study
- Lactate dehydrogenase to albumin ratio is associated with in-hospital mortality in patients with acute heart failure: Data from the MIMIC-III database
- CD36-mediated podocyte lipotoxicity promotes foot process effacement
- Efficacy of etonogestrel subcutaneous implants versus the levonorgestrel-releasing intrauterine system in the conservative treatment of adenomyosis
- FLRT2 mediates chondrogenesis of nasal septal cartilage and mandibular condyle cartilage
- Challenges in treating primary immune thrombocytopenia patients undergoing COVID-19 vaccination: A retrospective study
- Let-7 family regulates HaCaT cell proliferation and apoptosis via the ΔNp63/PI3K/AKT pathway
- Phospholipid transfer protein ameliorates sepsis-induced cardiac dysfunction through NLRP3 inflammasome inhibition
- Postoperative cognitive dysfunction in elderly patients with colorectal cancer: A randomized controlled study comparing goal-directed and conventional fluid therapy
- Long-pulsed ultrasound-mediated microbubble thrombolysis in a rat model of microvascular obstruction
- High SEC61A1 expression predicts poor outcome of acute myeloid leukemia
- Comparison of polymerase chain reaction and next-generation sequencing with conventional urine culture for the diagnosis of urinary tract infections: A meta-analysis
- Secreted frizzled-related protein 5 protects against renal fibrosis by inhibiting Wnt/β-catenin pathway
- Pan-cancer and single-cell analysis of actin cytoskeleton genes related to disulfidptosis
- Overexpression of miR-532-5p restrains oxidative stress response of chondrocytes in nontraumatic osteonecrosis of the femoral head by inhibiting ABL1
- Autologous liver transplantation for unresectable hepatobiliary malignancies in enhanced recovery after surgery model
- Clinical analysis of incomplete rupture of the uterus secondary to previous cesarean section
- Abnormal sleep duration is associated with sarcopenia in older Chinese people: A large retrospective cross-sectional study
- No genetic causality between obesity and benign paroxysmal vertigo: A two-sample Mendelian randomization study
- Identification and validation of autophagy-related genes in SSc
- Long non-coding RNA SRA1 suppresses radiotherapy resistance in esophageal squamous cell carcinoma by modulating glycolytic reprogramming
- Evaluation of quality of life in patients with schizophrenia: An inpatient social welfare institution-based cross-sectional study
- The possible role of oxidative stress marker glutathione in the assessment of cognitive impairment in multiple sclerosis
- Compilation of a self-management assessment scale for postoperative patients with aortic dissection
- Left atrial appendage closure in conjunction with radiofrequency ablation: Effects on left atrial functioning in patients with paroxysmal atrial fibrillation
- Effect of anterior femoral cortical notch grade on postoperative function and complications during TKA surgery: A multicenter, retrospective study
- Clinical characteristics and assessment of risk factors in patients with influenza A-induced severe pneumonia after the prevalence of SARS-CoV-2
- Analgesia nociception index is an indicator of laparoscopic trocar insertion-induced transient nociceptive stimuli
- High STAT4 expression correlates with poor prognosis in acute myeloid leukemia and facilitates disease progression by upregulating VEGFA expression
- Factors influencing cardiovascular system-related post-COVID-19 sequelae: A single-center cohort study
- HOXD10 regulates intestinal permeability and inhibits inflammation of dextran sulfate sodium-induced ulcerative colitis through the inactivation of the Rho/ROCK/MMPs axis
- Mesenchymal stem cell-derived exosomal miR-26a induces ferroptosis, suppresses hepatic stellate cell activation, and ameliorates liver fibrosis by modulating SLC7A11
- Endovascular thrombectomy versus intravenous thrombolysis for primary distal, medium vessel occlusion in acute ischemic stroke
- ANO6 (TMEM16F) inhibits gastrointestinal stromal tumor growth and induces ferroptosis
- Prognostic value of EIF5A2 in solid tumors: A meta-analysis and bioinformatics analysis
- The role of enhanced expression of Cx43 in patients with ulcerative colitis
- Choosing a COVID-19 vaccination site might be driven by anxiety and body vigilance
- Role of ICAM-1 in triple-negative breast cancer
- Cost-effectiveness of ambroxol in the treatment of Gaucher disease type 2
- HLA-DRB5 promotes immune thrombocytopenia via activating CD8+ T cells
- Efficacy and factors of myofascial release therapy combined with electrical and magnetic stimulation in the treatment of chronic pelvic pain syndrome
- Efficacy of tacrolimus monotherapy in primary membranous nephropathy
- Mechanisms of Tripterygium wilfordii Hook F on treating rheumatoid arthritis explored by network pharmacology analysis and molecular docking
- FBXO45 levels regulated ferroptosis renal tubular epithelial cells in a model of diabetic nephropathy by PLK1
- Optimizing anesthesia strategies to NSCLC patients in VATS procedures: Insights from drug requirements and patient recovery patterns
- Alpha-lipoic acid upregulates the PPARγ/NRF2/GPX4 signal pathway to inhibit ferroptosis in the pathogenesis of unexplained recurrent pregnancy loss
- Correlation between fat-soluble vitamin levels and inflammatory factors in paediatric community-acquired pneumonia: A prospective study
- CD1d affects the proliferation, migration, and apoptosis of human papillary thyroid carcinoma TPC-1 cells via regulating MAPK/NF-κB signaling pathway
- miR-let-7a inhibits sympathetic nerve remodeling after myocardial infarction by downregulating the expression of nerve growth factor
- Immune response analysis of solid organ transplantation recipients inoculated with inactivated COVID-19 vaccine: A retrospective analysis
- The H2Valdien derivatives regulate the epithelial–mesenchymal transition of hepatoma carcinoma cells through the Hedgehog signaling pathway
- Clinical efficacy of dexamethasone combined with isoniazid in the treatment of tuberculous meningitis and its effect on peripheral blood T cell subsets
- Comparison of short-segment and long-segment fixation in treatment of degenerative scoliosis and analysis of factors associated with adjacent spondylolisthesis
- Lycopene inhibits pyroptosis of endothelial progenitor cells induced by ox-LDL through the AMPK/mTOR/NLRP3 pathway
- Methylation regulation for FUNDC1 stability in childhood leukemia was up-regulated and facilitates metastasis and reduces ferroptosis of leukemia through mitochondrial damage by FBXL2
- Correlation of single-fiber electromyography studies and functional status in patients with amyotrophic lateral sclerosis
- Risk factors of postoperative airway obstruction complications in children with oral floor mass
- Expression levels and clinical significance of serum miR-19a/CCL20 in patients with acute cerebral infarction
- Physical activity and mental health trends in Korean adolescents: Analyzing the impact of the COVID-19 pandemic from 2018 to 2022
- Evaluating anemia in HIV-infected patients using chest CT
- Ponticulus posticus and skeletal malocclusion: A pilot study in a Southern Italian pre-orthodontic court
- Causal association of circulating immune cells and lymphoma: A Mendelian randomization study
- Assessment of the renal function and fibrosis indexes of conventional western medicine with Chinese medicine for dredging collaterals on treating renal fibrosis: A systematic review and meta-analysis
- Comprehensive landscape of integrator complex subunits and their association with prognosis and tumor microenvironment in gastric cancer
- New target-HMGCR inhibitors for the treatment of primary sclerosing cholangitis: A drug Mendelian randomization study
- Population pharmacokinetics of meropenem in critically ill patients
- Comparison of the ability of newly inflammatory markers to predict complicated appendicitis
- Comparative morphology of the cruciate ligaments: A radiological study
- Immune landscape of hepatocellular carcinoma: The central role of TP53-inducible glycolysis and apoptosis regulator
- Serum SIRT3 levels in epilepsy patients and its association with clinical outcomes and severity: A prospective observational study
- SHP-1 mediates cigarette smoke extract-induced epithelial–mesenchymal transformation and inflammation in 16HBE cells
- Acute hyper-hypoxia accelerates the development of depression in mice via the IL-6/PGC1α/MFN2 signaling pathway
- The GJB3 correlates with the prognosis, immune cell infiltration, and therapeutic responses in lung adenocarcinoma
- Physical fitness and blood parameters outcomes of breast cancer survivor in a low-intensity circuit resistance exercise program
- Exploring anesthetic-induced gene expression changes and immune cell dynamics in atrial tissue post-coronary artery bypass graft surgery
- Empagliflozin improves aortic injury in obese mice by regulating fatty acid metabolism
- Analysis of the risk factors of the radiation-induced encephalopathy in nasopharyngeal carcinoma: A retrospective cohort study
- Reproductive outcomes in women with BRCA 1/2 germline mutations: A retrospective observational study and literature review
- Evaluation of upper airway ultrasonographic measurements in predicting difficult intubation: A cross-section of the Turkish population
- Prognostic and diagnostic value of circulating IGFBP2 in pancreatic cancer
- Postural stability after operative reconstruction of the AFTL in chronic ankle instability comparing three different surgical techniques
- Research trends related to emergence agitation in the post-anaesthesia care unit from 2001 to 2023: A bibliometric analysis
- Frequency and clinicopathological correlation of gastrointestinal polyps: A six-year single center experience
- ACSL4 mediates inflammatory bowel disease and contributes to LPS-induced intestinal epithelial cell dysfunction by activating ferroptosis and inflammation
- Affibody-based molecular probe 99mTc-(HE)3ZHER2:V2 for non-invasive HER2 detection in ovarian and breast cancer xenografts
- Effectiveness of nutritional support for clinical outcomes in gastric cancer patients: A meta-analysis of randomized controlled trials
- The relationship between IFN-γ, IL-10, IL-6 cytokines, and severity of the condition with serum zinc and Fe in children infected with Mycoplasma pneumoniae
- Paraquat disrupts the blood–brain barrier by increasing IL-6 expression and oxidative stress through the activation of PI3K/AKT signaling pathway
- Sleep quality associate with the increased prevalence of cognitive impairment in coronary artery disease patients: A retrospective case–control study
- Dioscin protects against chronic prostatitis through the TLR4/NF-κB pathway
- Association of polymorphisms in FBN1, MYH11, and TGF-β signaling-related genes with susceptibility of sporadic thoracic aortic aneurysm and dissection in the Zhejiang Han population
- Application value of multi-parameter magnetic resonance image-transrectal ultrasound cognitive fusion in prostate biopsy
- Laboratory variables‐based artificial neural network models for predicting fatty liver disease: A retrospective study
- Decreased BIRC5-206 promotes epithelial–mesenchymal transition in nasopharyngeal carcinoma through sponging miR-145-5p
- Sepsis induces the cardiomyocyte apoptosis and cardiac dysfunction through activation of YAP1/Serpine1/caspase-3 pathway
- Assessment of iron metabolism and iron deficiency in incident patients on incident continuous ambulatory peritoneal dialysis
- Tibial periosteum flap combined with autologous bone grafting in the treatment of Gustilo-IIIB/IIIC open tibial fractures
- The application of intravenous general anesthesia under nasopharyngeal airway assisted ventilation undergoing ureteroscopic holmium laser lithotripsy: A prospective, single-center, controlled trial
- Long intergenic noncoding RNA for IGF2BP2 stability suppresses gastric cancer cell apoptosis by inhibiting the maturation of microRNA-34a
- Role of FOXM1 and AURKB in regulating keratinocyte function in psoriasis
- Parental control attitudes over their pre-school children’s diet
- The role of auto-HSCT in extranodal natural killer/T cell lymphoma
- Significance of negative cervical cytology and positive HPV in the diagnosis of cervical lesions by colposcopy
- Echinacoside inhibits PASMCs calcium overload to prevent hypoxic pulmonary artery remodeling by regulating TRPC1/4/6 and calmodulin
- ADAR1 plays a protective role in proximal tubular cells under high glucose conditions by attenuating the PI3K/AKT/mTOR signaling pathway
- The risk of cancer among insulin glargine users in Lithuania: A retrospective population-based study
- The unusual location of primary hydatid cyst: A case series study
- Intraoperative changes in electrophysiological monitoring can be used to predict clinical outcomes in patients with spinal cavernous malformation
- Obesity and risk of placenta accreta spectrum: A meta-analysis
- Shikonin alleviates asthma phenotypes in mice via an airway epithelial STAT3-dependent mechanism
- NSUN6 and HTR7 disturbed the stability of carotid atherosclerotic plaques by regulating the immune responses of macrophages
- The effect of COVID-19 lockdown on admission rates in Maternity Hospital
- Temporal muscle thickness is not a prognostic predictor in patients with high-grade glioma, an experience at two centers in China
- Luteolin alleviates cerebral ischemia/reperfusion injury by regulating cell pyroptosis
- Therapeutic role of respiratory exercise in patients with tuberculous pleurisy
- Effects of CFTR-ENaC on spinal cord edema after spinal cord injury
- Irisin-regulated lncRNAs and their potential regulatory functions in chondrogenic differentiation of human mesenchymal stem cells
- DMD mutations in pediatric patients with phenotypes of Duchenne/Becker muscular dystrophy
- Combination of C-reactive protein and fibrinogen-to-albumin ratio as a novel predictor of all-cause mortality in heart failure patients
- Significant role and the underly mechanism of cullin-1 in chronic obstructive pulmonary disease
- Ferroptosis-related prognostic model of mantle cell lymphoma
- Observation of choking reaction and other related indexes in elderly painless fiberoptic bronchoscopy with transnasal high-flow humidification oxygen therapy
- A bibliometric analysis of Prader-Willi syndrome from 2002 to 2022
- The causal effects of childhood sunburn occasions on melanoma: A univariable and multivariable Mendelian randomization study
- Oxidative stress regulates glycogen synthase kinase-3 in lymphocytes of diabetes mellitus patients complicated with cerebral infarction
- Role of COX6C and NDUFB3 in septic shock and stroke
- Trends in disease burden of type 2 diabetes, stroke, and hypertensive heart disease attributable to high BMI in China: 1990–2019
- Purinergic P2X7 receptor mediates hyperoxia-induced injury in pulmonary microvascular endothelial cells via NLRP3-mediated pyroptotic pathway
- Investigating the role of oviductal mucosa–endometrial co-culture in modulating factors relevant to embryo implantation
- Analgesic effect of external oblique intercostal block in laparoscopic cholecystectomy: A retrospective study
- Elevated serum miR-142-5p correlates with ischemic lesions and both NSE and S100β in ischemic stroke patients
- Correlation between the mechanism of arteriopathy in IgA nephropathy and blood stasis syndrome: A cohort study
- Risk factors for progressive kyphosis after percutaneous kyphoplasty in osteoporotic vertebral compression fracture
- Predictive role of neuron-specific enolase and S100-β in early neurological deterioration and unfavorable prognosis in patients with ischemic stroke
- The potential risk factors of postoperative cognitive dysfunction for endovascular therapy in acute ischemic stroke with general anesthesia
- Fluoxetine inhibited RANKL-induced osteoclastic differentiation in vitro
- Detection of serum FOXM1 and IGF2 in patients with ARDS and their correlation with disease and prognosis
- Rhein promotes skin wound healing by activating the PI3K/AKT signaling pathway
- Differences in mortality risk by levels of physical activity among persons with disabilities in South Korea
- Review Articles
- Cutaneous signs of selected cardiovascular disorders: A narrative review
- XRCC1 and hOGG1 polymorphisms and endometrial carcinoma: A meta-analysis
- A narrative review on adverse drug reactions of COVID-19 treatments on the kidney
- Emerging role and function of SPDL1 in human health and diseases
- Adverse reactions of piperacillin: A literature review of case reports
- Molecular mechanism and intervention measures of microvascular complications in diabetes
- Regulation of mesenchymal stem cell differentiation by autophagy
- Molecular landscape of borderline ovarian tumours: A systematic review
- Advances in synthetic lethality modalities for glioblastoma multiforme
- Investigating hormesis, aging, and neurodegeneration: From bench to clinics
- Frankincense: A neuronutrient to approach Parkinson’s disease treatment
- Sox9: A potential regulator of cancer stem cells in osteosarcoma
- Early detection of cardiovascular risk markers through non-invasive ultrasound methodologies in periodontitis patients
- Advanced neuroimaging and criminal interrogation in lie detection
- Maternal factors for neural tube defects in offspring: An umbrella review
- The chemoprotective hormetic effects of rosmarinic acid
- CBD’s potential impact on Parkinson’s disease: An updated overview
- Progress in cytokine research for ARDS: A comprehensive review
- Utilizing reactive oxygen species-scavenging nanoparticles for targeting oxidative stress in the treatment of ischemic stroke: A review
- NRXN1-related disorders, attempt to better define clinical assessment
- Lidocaine infusion for the treatment of complex regional pain syndrome: Case series and literature review
- Trends and future directions of autophagy in osteosarcoma: A bibliometric analysis
- Iron in ventricular remodeling and aneurysms post-myocardial infarction
- Case Reports
- Sirolimus potentiated angioedema: A case report and review of the literature
- Identification of mixed anaerobic infections after inguinal hernia repair based on metagenomic next-generation sequencing: A case report
- Successful treatment with bortezomib in combination with dexamethasone in a middle-aged male with idiopathic multicentric Castleman’s disease: A case report
- Complete heart block associated with hepatitis A infection in a female child with fatal outcome
- Elevation of D-dimer in eosinophilic gastrointestinal diseases in the absence of venous thrombosis: A case series and literature review
- Four years of natural progressive course: A rare case report of juvenile Xp11.2 translocations renal cell carcinoma with TFE3 gene fusion
- Advancing prenatal diagnosis: Echocardiographic detection of Scimitar syndrome in China – A case series
- Outcomes and complications of hemodialysis in patients with renal cancer following bilateral nephrectomy
- Anti-HMGCR myopathy mimicking facioscapulohumeral muscular dystrophy
- Recurrent opportunistic infections in a HIV-negative patient with combined C6 and NFKB1 mutations: A case report, pedigree analysis, and literature review
- Letter to the Editor
- Letter to the Editor: Total parenteral nutrition-induced Wernicke’s encephalopathy after oncologic gastrointestinal surgery
- Erratum
- Erratum to “Bladder-embedded ectopic intrauterine device with calculus”
- Retraction
- Retraction of “XRCC1 and hOGG1 polymorphisms and endometrial carcinoma: A meta-analysis”
- Corrigendum
- Corrigendum to “Investigating hormesis, aging, and neurodegeneration: From bench to clinics”
- Corrigendum to “Frankincense: A neuronutrient to approach Parkinson’s disease treatment”
- Special Issue The evolving saga of RNAs from bench to bedside - Part II
- Machine-learning-based prediction of a diagnostic model using autophagy-related genes based on RNA sequencing for patients with papillary thyroid carcinoma
- Unlocking the future of hepatocellular carcinoma treatment: A comprehensive analysis of disulfidptosis-related lncRNAs for prognosis and drug screening
- Elevated mRNA level indicates FSIP1 promotes EMT and gastric cancer progression by regulating fibroblasts in tumor microenvironment
- Special Issue Advancements in oncology: bridging clinical and experimental research - Part I
- Ultrasound-guided transperineal vs transrectal prostate biopsy: A meta-analysis of diagnostic accuracy and complication rates
- Assessment of diagnostic value of unilateral systematic biopsy combined with targeted biopsy in detecting clinically significant prostate cancer
- SENP7 inhibits glioblastoma metastasis and invasion by dissociating SUMO2/3 binding to specific target proteins
- MARK1 suppress malignant progression of hepatocellular carcinoma and improves sorafenib resistance through negatively regulating POTEE
- Analysis of postoperative complications in bladder cancer patients
- Carboplatin combined with arsenic trioxide versus carboplatin combined with docetaxel treatment for LACC: A randomized, open-label, phase II clinical study
- Special Issue Exploring the biological mechanism of human diseases based on MultiOmics Technology - Part I
- Comprehensive pan-cancer investigation of carnosine dipeptidase 1 and its prospective prognostic significance in hepatocellular carcinoma
- Identification of signatures associated with microsatellite instability and immune characteristics to predict the prognostic risk of colon cancer
- Single-cell analysis identified key macrophage subpopulations associated with atherosclerosis
Articles in the same Issue
- Research Articles
- EDNRB inhibits the growth and migration of prostate cancer cells by activating the cGMP-PKG pathway
- STK11 (LKB1) mutation suppresses ferroptosis in lung adenocarcinoma by facilitating monounsaturated fatty acid synthesis
- Association of SOX6 gene polymorphisms with Kashin-Beck disease risk in the Chinese Han population
- The pyroptosis-related signature predicts prognosis and influences the tumor immune microenvironment in dedifferentiated liposarcoma
- METTL3 attenuates ferroptosis sensitivity in lung cancer via modulating TFRC
- Identification and validation of molecular subtypes and prognostic signature for stage I and stage II gastric cancer based on neutrophil extracellular traps
- Novel lumbar plexus block versus femoral nerve block for analgesia and motor recovery after total knee arthroplasty
- Correlation between ABCB1 and OLIG2 polymorphisms and the severity and prognosis of patients with cerebral infarction
- Study on the radiotherapy effect and serum neutral granulocyte lymphocyte ratio and inflammatory factor expression of nasopharyngeal carcinoma
- Transcriptome analysis of effects of Tecrl deficiency on cardiometabolic and calcium regulation in cardiac tissue
- Aflatoxin B1 induces infertility, fetal deformities, and potential therapies
- Serum levels of HMW adiponectin and its receptors are associated with cytokine levels and clinical characteristics in chronic obstructive pulmonary disease
- METTL3-mediated methylation of CYP2C19 mRNA may aggravate clopidogrel resistance in ischemic stroke patients
- Understand how machine learning impact lung cancer research from 2010 to 2021: A bibliometric analysis
- Pressure ulcers in German hospitals: Analysis of reimbursement and length of stay
- Metformin plus L-carnitine enhances brown/beige adipose tissue activity via Nrf2/HO-1 signaling to reduce lipid accumulation and inflammation in murine obesity
- Downregulation of carbonic anhydrase IX expression in mouse xenograft nasopharyngeal carcinoma model via doxorubicin nanobubble combined with ultrasound
- Feasibility of 3-dimensional printed models in simulated training and teaching of transcatheter aortic valve replacement
- miR-335-3p improves type II diabetes mellitus by IGF-1 regulating macrophage polarization
- The analyses of human MCPH1 DNA repair machinery and genetic variations
- Activation of Piezo1 increases the sensitivity of breast cancer to hyperthermia therapy
- Comprehensive analysis based on the disulfidptosis-related genes identifies hub genes and immune infiltration for pancreatic adenocarcinoma
- Changes of serum CA125 and PGE2 before and after high-intensity focused ultrasound combined with GnRH-a in treatment of patients with adenomyosis
- The clinical value of the hepatic venous pressure gradient in patients undergoing hepatic resection for hepatocellular carcinoma with or without liver cirrhosis
- Development and validation of a novel model to predict pulmonary embolism in cardiology suspected patients: A 10-year retrospective analysis
- Downregulation of lncRNA XLOC_032768 in diabetic patients predicts the occurrence of diabetic nephropathy
- Circ_0051428 targeting miR-885-3p/MMP2 axis enhances the malignancy of cervical cancer
- Effectiveness of ginkgo diterpene lactone meglumine on cognitive function in patients with acute ischemic stroke
- The construction of a novel prognostic prediction model for glioma based on GWAS-identified prognostic-related risk loci
- Evaluating the impact of childhood BMI on the risk of coronavirus disease 2019: A Mendelian randomization study
- Lactate dehydrogenase to albumin ratio is associated with in-hospital mortality in patients with acute heart failure: Data from the MIMIC-III database
- CD36-mediated podocyte lipotoxicity promotes foot process effacement
- Efficacy of etonogestrel subcutaneous implants versus the levonorgestrel-releasing intrauterine system in the conservative treatment of adenomyosis
- FLRT2 mediates chondrogenesis of nasal septal cartilage and mandibular condyle cartilage
- Challenges in treating primary immune thrombocytopenia patients undergoing COVID-19 vaccination: A retrospective study
- Let-7 family regulates HaCaT cell proliferation and apoptosis via the ΔNp63/PI3K/AKT pathway
- Phospholipid transfer protein ameliorates sepsis-induced cardiac dysfunction through NLRP3 inflammasome inhibition
- Postoperative cognitive dysfunction in elderly patients with colorectal cancer: A randomized controlled study comparing goal-directed and conventional fluid therapy
- Long-pulsed ultrasound-mediated microbubble thrombolysis in a rat model of microvascular obstruction
- High SEC61A1 expression predicts poor outcome of acute myeloid leukemia
- Comparison of polymerase chain reaction and next-generation sequencing with conventional urine culture for the diagnosis of urinary tract infections: A meta-analysis
- Secreted frizzled-related protein 5 protects against renal fibrosis by inhibiting Wnt/β-catenin pathway
- Pan-cancer and single-cell analysis of actin cytoskeleton genes related to disulfidptosis
- Overexpression of miR-532-5p restrains oxidative stress response of chondrocytes in nontraumatic osteonecrosis of the femoral head by inhibiting ABL1
- Autologous liver transplantation for unresectable hepatobiliary malignancies in enhanced recovery after surgery model
- Clinical analysis of incomplete rupture of the uterus secondary to previous cesarean section
- Abnormal sleep duration is associated with sarcopenia in older Chinese people: A large retrospective cross-sectional study
- No genetic causality between obesity and benign paroxysmal vertigo: A two-sample Mendelian randomization study
- Identification and validation of autophagy-related genes in SSc
- Long non-coding RNA SRA1 suppresses radiotherapy resistance in esophageal squamous cell carcinoma by modulating glycolytic reprogramming
- Evaluation of quality of life in patients with schizophrenia: An inpatient social welfare institution-based cross-sectional study
- The possible role of oxidative stress marker glutathione in the assessment of cognitive impairment in multiple sclerosis
- Compilation of a self-management assessment scale for postoperative patients with aortic dissection
- Left atrial appendage closure in conjunction with radiofrequency ablation: Effects on left atrial functioning in patients with paroxysmal atrial fibrillation
- Effect of anterior femoral cortical notch grade on postoperative function and complications during TKA surgery: A multicenter, retrospective study
- Clinical characteristics and assessment of risk factors in patients with influenza A-induced severe pneumonia after the prevalence of SARS-CoV-2
- Analgesia nociception index is an indicator of laparoscopic trocar insertion-induced transient nociceptive stimuli
- High STAT4 expression correlates with poor prognosis in acute myeloid leukemia and facilitates disease progression by upregulating VEGFA expression
- Factors influencing cardiovascular system-related post-COVID-19 sequelae: A single-center cohort study
- HOXD10 regulates intestinal permeability and inhibits inflammation of dextran sulfate sodium-induced ulcerative colitis through the inactivation of the Rho/ROCK/MMPs axis
- Mesenchymal stem cell-derived exosomal miR-26a induces ferroptosis, suppresses hepatic stellate cell activation, and ameliorates liver fibrosis by modulating SLC7A11
- Endovascular thrombectomy versus intravenous thrombolysis for primary distal, medium vessel occlusion in acute ischemic stroke
- ANO6 (TMEM16F) inhibits gastrointestinal stromal tumor growth and induces ferroptosis
- Prognostic value of EIF5A2 in solid tumors: A meta-analysis and bioinformatics analysis
- The role of enhanced expression of Cx43 in patients with ulcerative colitis
- Choosing a COVID-19 vaccination site might be driven by anxiety and body vigilance
- Role of ICAM-1 in triple-negative breast cancer
- Cost-effectiveness of ambroxol in the treatment of Gaucher disease type 2
- HLA-DRB5 promotes immune thrombocytopenia via activating CD8+ T cells
- Efficacy and factors of myofascial release therapy combined with electrical and magnetic stimulation in the treatment of chronic pelvic pain syndrome
- Efficacy of tacrolimus monotherapy in primary membranous nephropathy
- Mechanisms of Tripterygium wilfordii Hook F on treating rheumatoid arthritis explored by network pharmacology analysis and molecular docking
- FBXO45 levels regulated ferroptosis renal tubular epithelial cells in a model of diabetic nephropathy by PLK1
- Optimizing anesthesia strategies to NSCLC patients in VATS procedures: Insights from drug requirements and patient recovery patterns
- Alpha-lipoic acid upregulates the PPARγ/NRF2/GPX4 signal pathway to inhibit ferroptosis in the pathogenesis of unexplained recurrent pregnancy loss
- Correlation between fat-soluble vitamin levels and inflammatory factors in paediatric community-acquired pneumonia: A prospective study
- CD1d affects the proliferation, migration, and apoptosis of human papillary thyroid carcinoma TPC-1 cells via regulating MAPK/NF-κB signaling pathway
- miR-let-7a inhibits sympathetic nerve remodeling after myocardial infarction by downregulating the expression of nerve growth factor
- Immune response analysis of solid organ transplantation recipients inoculated with inactivated COVID-19 vaccine: A retrospective analysis
- The H2Valdien derivatives regulate the epithelial–mesenchymal transition of hepatoma carcinoma cells through the Hedgehog signaling pathway
- Clinical efficacy of dexamethasone combined with isoniazid in the treatment of tuberculous meningitis and its effect on peripheral blood T cell subsets
- Comparison of short-segment and long-segment fixation in treatment of degenerative scoliosis and analysis of factors associated with adjacent spondylolisthesis
- Lycopene inhibits pyroptosis of endothelial progenitor cells induced by ox-LDL through the AMPK/mTOR/NLRP3 pathway
- Methylation regulation for FUNDC1 stability in childhood leukemia was up-regulated and facilitates metastasis and reduces ferroptosis of leukemia through mitochondrial damage by FBXL2
- Correlation of single-fiber electromyography studies and functional status in patients with amyotrophic lateral sclerosis
- Risk factors of postoperative airway obstruction complications in children with oral floor mass
- Expression levels and clinical significance of serum miR-19a/CCL20 in patients with acute cerebral infarction
- Physical activity and mental health trends in Korean adolescents: Analyzing the impact of the COVID-19 pandemic from 2018 to 2022
- Evaluating anemia in HIV-infected patients using chest CT
- Ponticulus posticus and skeletal malocclusion: A pilot study in a Southern Italian pre-orthodontic court
- Causal association of circulating immune cells and lymphoma: A Mendelian randomization study
- Assessment of the renal function and fibrosis indexes of conventional western medicine with Chinese medicine for dredging collaterals on treating renal fibrosis: A systematic review and meta-analysis
- Comprehensive landscape of integrator complex subunits and their association with prognosis and tumor microenvironment in gastric cancer
- New target-HMGCR inhibitors for the treatment of primary sclerosing cholangitis: A drug Mendelian randomization study
- Population pharmacokinetics of meropenem in critically ill patients
- Comparison of the ability of newly inflammatory markers to predict complicated appendicitis
- Comparative morphology of the cruciate ligaments: A radiological study
- Immune landscape of hepatocellular carcinoma: The central role of TP53-inducible glycolysis and apoptosis regulator
- Serum SIRT3 levels in epilepsy patients and its association with clinical outcomes and severity: A prospective observational study
- SHP-1 mediates cigarette smoke extract-induced epithelial–mesenchymal transformation and inflammation in 16HBE cells
- Acute hyper-hypoxia accelerates the development of depression in mice via the IL-6/PGC1α/MFN2 signaling pathway
- The GJB3 correlates with the prognosis, immune cell infiltration, and therapeutic responses in lung adenocarcinoma
- Physical fitness and blood parameters outcomes of breast cancer survivor in a low-intensity circuit resistance exercise program
- Exploring anesthetic-induced gene expression changes and immune cell dynamics in atrial tissue post-coronary artery bypass graft surgery
- Empagliflozin improves aortic injury in obese mice by regulating fatty acid metabolism
- Analysis of the risk factors of the radiation-induced encephalopathy in nasopharyngeal carcinoma: A retrospective cohort study
- Reproductive outcomes in women with BRCA 1/2 germline mutations: A retrospective observational study and literature review
- Evaluation of upper airway ultrasonographic measurements in predicting difficult intubation: A cross-section of the Turkish population
- Prognostic and diagnostic value of circulating IGFBP2 in pancreatic cancer
- Postural stability after operative reconstruction of the AFTL in chronic ankle instability comparing three different surgical techniques
- Research trends related to emergence agitation in the post-anaesthesia care unit from 2001 to 2023: A bibliometric analysis
- Frequency and clinicopathological correlation of gastrointestinal polyps: A six-year single center experience
- ACSL4 mediates inflammatory bowel disease and contributes to LPS-induced intestinal epithelial cell dysfunction by activating ferroptosis and inflammation
- Affibody-based molecular probe 99mTc-(HE)3ZHER2:V2 for non-invasive HER2 detection in ovarian and breast cancer xenografts
- Effectiveness of nutritional support for clinical outcomes in gastric cancer patients: A meta-analysis of randomized controlled trials
- The relationship between IFN-γ, IL-10, IL-6 cytokines, and severity of the condition with serum zinc and Fe in children infected with Mycoplasma pneumoniae
- Paraquat disrupts the blood–brain barrier by increasing IL-6 expression and oxidative stress through the activation of PI3K/AKT signaling pathway
- Sleep quality associate with the increased prevalence of cognitive impairment in coronary artery disease patients: A retrospective case–control study
- Dioscin protects against chronic prostatitis through the TLR4/NF-κB pathway
- Association of polymorphisms in FBN1, MYH11, and TGF-β signaling-related genes with susceptibility of sporadic thoracic aortic aneurysm and dissection in the Zhejiang Han population
- Application value of multi-parameter magnetic resonance image-transrectal ultrasound cognitive fusion in prostate biopsy
- Laboratory variables‐based artificial neural network models for predicting fatty liver disease: A retrospective study
- Decreased BIRC5-206 promotes epithelial–mesenchymal transition in nasopharyngeal carcinoma through sponging miR-145-5p
- Sepsis induces the cardiomyocyte apoptosis and cardiac dysfunction through activation of YAP1/Serpine1/caspase-3 pathway
- Assessment of iron metabolism and iron deficiency in incident patients on incident continuous ambulatory peritoneal dialysis
- Tibial periosteum flap combined with autologous bone grafting in the treatment of Gustilo-IIIB/IIIC open tibial fractures
- The application of intravenous general anesthesia under nasopharyngeal airway assisted ventilation undergoing ureteroscopic holmium laser lithotripsy: A prospective, single-center, controlled trial
- Long intergenic noncoding RNA for IGF2BP2 stability suppresses gastric cancer cell apoptosis by inhibiting the maturation of microRNA-34a
- Role of FOXM1 and AURKB in regulating keratinocyte function in psoriasis
- Parental control attitudes over their pre-school children’s diet
- The role of auto-HSCT in extranodal natural killer/T cell lymphoma
- Significance of negative cervical cytology and positive HPV in the diagnosis of cervical lesions by colposcopy
- Echinacoside inhibits PASMCs calcium overload to prevent hypoxic pulmonary artery remodeling by regulating TRPC1/4/6 and calmodulin
- ADAR1 plays a protective role in proximal tubular cells under high glucose conditions by attenuating the PI3K/AKT/mTOR signaling pathway
- The risk of cancer among insulin glargine users in Lithuania: A retrospective population-based study
- The unusual location of primary hydatid cyst: A case series study
- Intraoperative changes in electrophysiological monitoring can be used to predict clinical outcomes in patients with spinal cavernous malformation
- Obesity and risk of placenta accreta spectrum: A meta-analysis
- Shikonin alleviates asthma phenotypes in mice via an airway epithelial STAT3-dependent mechanism
- NSUN6 and HTR7 disturbed the stability of carotid atherosclerotic plaques by regulating the immune responses of macrophages
- The effect of COVID-19 lockdown on admission rates in Maternity Hospital
- Temporal muscle thickness is not a prognostic predictor in patients with high-grade glioma, an experience at two centers in China
- Luteolin alleviates cerebral ischemia/reperfusion injury by regulating cell pyroptosis
- Therapeutic role of respiratory exercise in patients with tuberculous pleurisy
- Effects of CFTR-ENaC on spinal cord edema after spinal cord injury
- Irisin-regulated lncRNAs and their potential regulatory functions in chondrogenic differentiation of human mesenchymal stem cells
- DMD mutations in pediatric patients with phenotypes of Duchenne/Becker muscular dystrophy
- Combination of C-reactive protein and fibrinogen-to-albumin ratio as a novel predictor of all-cause mortality in heart failure patients
- Significant role and the underly mechanism of cullin-1 in chronic obstructive pulmonary disease
- Ferroptosis-related prognostic model of mantle cell lymphoma
- Observation of choking reaction and other related indexes in elderly painless fiberoptic bronchoscopy with transnasal high-flow humidification oxygen therapy
- A bibliometric analysis of Prader-Willi syndrome from 2002 to 2022
- The causal effects of childhood sunburn occasions on melanoma: A univariable and multivariable Mendelian randomization study
- Oxidative stress regulates glycogen synthase kinase-3 in lymphocytes of diabetes mellitus patients complicated with cerebral infarction
- Role of COX6C and NDUFB3 in septic shock and stroke
- Trends in disease burden of type 2 diabetes, stroke, and hypertensive heart disease attributable to high BMI in China: 1990–2019
- Purinergic P2X7 receptor mediates hyperoxia-induced injury in pulmonary microvascular endothelial cells via NLRP3-mediated pyroptotic pathway
- Investigating the role of oviductal mucosa–endometrial co-culture in modulating factors relevant to embryo implantation
- Analgesic effect of external oblique intercostal block in laparoscopic cholecystectomy: A retrospective study
- Elevated serum miR-142-5p correlates with ischemic lesions and both NSE and S100β in ischemic stroke patients
- Correlation between the mechanism of arteriopathy in IgA nephropathy and blood stasis syndrome: A cohort study
- Risk factors for progressive kyphosis after percutaneous kyphoplasty in osteoporotic vertebral compression fracture
- Predictive role of neuron-specific enolase and S100-β in early neurological deterioration and unfavorable prognosis in patients with ischemic stroke
- The potential risk factors of postoperative cognitive dysfunction for endovascular therapy in acute ischemic stroke with general anesthesia
- Fluoxetine inhibited RANKL-induced osteoclastic differentiation in vitro
- Detection of serum FOXM1 and IGF2 in patients with ARDS and their correlation with disease and prognosis
- Rhein promotes skin wound healing by activating the PI3K/AKT signaling pathway
- Differences in mortality risk by levels of physical activity among persons with disabilities in South Korea
- Review Articles
- Cutaneous signs of selected cardiovascular disorders: A narrative review
- XRCC1 and hOGG1 polymorphisms and endometrial carcinoma: A meta-analysis
- A narrative review on adverse drug reactions of COVID-19 treatments on the kidney
- Emerging role and function of SPDL1 in human health and diseases
- Adverse reactions of piperacillin: A literature review of case reports
- Molecular mechanism and intervention measures of microvascular complications in diabetes
- Regulation of mesenchymal stem cell differentiation by autophagy
- Molecular landscape of borderline ovarian tumours: A systematic review
- Advances in synthetic lethality modalities for glioblastoma multiforme
- Investigating hormesis, aging, and neurodegeneration: From bench to clinics
- Frankincense: A neuronutrient to approach Parkinson’s disease treatment
- Sox9: A potential regulator of cancer stem cells in osteosarcoma
- Early detection of cardiovascular risk markers through non-invasive ultrasound methodologies in periodontitis patients
- Advanced neuroimaging and criminal interrogation in lie detection
- Maternal factors for neural tube defects in offspring: An umbrella review
- The chemoprotective hormetic effects of rosmarinic acid
- CBD’s potential impact on Parkinson’s disease: An updated overview
- Progress in cytokine research for ARDS: A comprehensive review
- Utilizing reactive oxygen species-scavenging nanoparticles for targeting oxidative stress in the treatment of ischemic stroke: A review
- NRXN1-related disorders, attempt to better define clinical assessment
- Lidocaine infusion for the treatment of complex regional pain syndrome: Case series and literature review
- Trends and future directions of autophagy in osteosarcoma: A bibliometric analysis
- Iron in ventricular remodeling and aneurysms post-myocardial infarction
- Case Reports
- Sirolimus potentiated angioedema: A case report and review of the literature
- Identification of mixed anaerobic infections after inguinal hernia repair based on metagenomic next-generation sequencing: A case report
- Successful treatment with bortezomib in combination with dexamethasone in a middle-aged male with idiopathic multicentric Castleman’s disease: A case report
- Complete heart block associated with hepatitis A infection in a female child with fatal outcome
- Elevation of D-dimer in eosinophilic gastrointestinal diseases in the absence of venous thrombosis: A case series and literature review
- Four years of natural progressive course: A rare case report of juvenile Xp11.2 translocations renal cell carcinoma with TFE3 gene fusion
- Advancing prenatal diagnosis: Echocardiographic detection of Scimitar syndrome in China – A case series
- Outcomes and complications of hemodialysis in patients with renal cancer following bilateral nephrectomy
- Anti-HMGCR myopathy mimicking facioscapulohumeral muscular dystrophy
- Recurrent opportunistic infections in a HIV-negative patient with combined C6 and NFKB1 mutations: A case report, pedigree analysis, and literature review
- Letter to the Editor
- Letter to the Editor: Total parenteral nutrition-induced Wernicke’s encephalopathy after oncologic gastrointestinal surgery
- Erratum
- Erratum to “Bladder-embedded ectopic intrauterine device with calculus”
- Retraction
- Retraction of “XRCC1 and hOGG1 polymorphisms and endometrial carcinoma: A meta-analysis”
- Corrigendum
- Corrigendum to “Investigating hormesis, aging, and neurodegeneration: From bench to clinics”
- Corrigendum to “Frankincense: A neuronutrient to approach Parkinson’s disease treatment”
- Special Issue The evolving saga of RNAs from bench to bedside - Part II
- Machine-learning-based prediction of a diagnostic model using autophagy-related genes based on RNA sequencing for patients with papillary thyroid carcinoma
- Unlocking the future of hepatocellular carcinoma treatment: A comprehensive analysis of disulfidptosis-related lncRNAs for prognosis and drug screening
- Elevated mRNA level indicates FSIP1 promotes EMT and gastric cancer progression by regulating fibroblasts in tumor microenvironment
- Special Issue Advancements in oncology: bridging clinical and experimental research - Part I
- Ultrasound-guided transperineal vs transrectal prostate biopsy: A meta-analysis of diagnostic accuracy and complication rates
- Assessment of diagnostic value of unilateral systematic biopsy combined with targeted biopsy in detecting clinically significant prostate cancer
- SENP7 inhibits glioblastoma metastasis and invasion by dissociating SUMO2/3 binding to specific target proteins
- MARK1 suppress malignant progression of hepatocellular carcinoma and improves sorafenib resistance through negatively regulating POTEE
- Analysis of postoperative complications in bladder cancer patients
- Carboplatin combined with arsenic trioxide versus carboplatin combined with docetaxel treatment for LACC: A randomized, open-label, phase II clinical study
- Special Issue Exploring the biological mechanism of human diseases based on MultiOmics Technology - Part I
- Comprehensive pan-cancer investigation of carnosine dipeptidase 1 and its prospective prognostic significance in hepatocellular carcinoma
- Identification of signatures associated with microsatellite instability and immune characteristics to predict the prognostic risk of colon cancer
- Single-cell analysis identified key macrophage subpopulations associated with atherosclerosis