Abstract
Wet precipitation (WP) is a diffusion-controlled synthesis method, which is often used for synthesizing such compounds as hydroxyapatite (HAp). Since the process is limited by diffusion, the choice of a diffusion model becomes a critical aspect. In this simplistic assessment for a preliminary evaluation of the diffusion model applicability, the Ginstling-Brounstein (GB) equation is chosen and analyzed for the case of spherical particles. The nominal kinetic constant K is a parameter in GB model which describes diffusion and is related to the effective molecular diffusivity. When the value of K is known, it becomes possible to predict the required time to achieve desired conversion and design the synthesis accordingly. The GB model is assessed mathematically using simulations, a parametric study and Yates analysis (2n factorial design). Parameters chosen for a preliminary study are in the range of characteristic values for a laboratory-scale WP synthesis of HAp and are thus representative for the application of the model to practice. It should be noted that the analysis is simplistic and is meant to provide only preliminary information for future research, requiring experimental validation.
1 Introduction
The Ginstling-Brounstein (GB) model is applicable for describing diffusion-controlled processes, and its practical use has been investigated and reported for a wide range of applications [1, 2, 3, 4, 5, 6, 7, 8, 9, 10, 11, 12, 13, 14, 15, 16, 18]. Known applications that mention the GB model for describing the kinetics include the hydration of the portland cement particles [1], solid-state synthesis of lanthanum manganite controlled by the three-dimensional solid-ionic diffusion [2], solid-state synthesis of the compound Zn2.5VMoO8 [3], formation of magnesium ferrites [4], dehydration of the iron(III) phosphate dihydrate [5, 6], thermal degradation of carbohydrate polymers [7], oxidation and decomposition of three-dimensional braided carbon fibers [8], alkaline hydrolytic decomposition of the uncolored chromium leather wastes [9], thermal stability evaluation of silver sulfathiazole-epoxy resin networks [10], oxidation of boron powder [11], wollastonite fibre dissolution in acetic acid aqueous solution [12], xylan pyrolysis [13], thermal degradation of DGEBA epoxy crosslinked with natural hydroxy acids [14], and pyrolysis mechanisms of lignin-PVA blends [15]. The model has also been applied to some extent in the study of thermal modes of heterogeneous exothermic reactions [16] and the study of inclusion complexes in supramolecular host-guest architectures [17], as well as a methodological study on determination of kinetics from DTA and TG curves [18].
Wet precipitation (WP) is one of the most widely used hydroxyapatite (HAp) synthesis methods and is based on the reaction of calcium hydroxide with the orthophosphoric acid diffusing into the particle. Hydroxyapatite is the main mineral constituent of bones and teeth, and has found its application in various fields such as tissue engineering, orthopedics, prosthetics, drug transport and environmental remediation [19, 20, 21, 22, 23]. The orthophosphoric acid is added dropwise into the suspension. The reaction can be written as in the reaction Equation 1.
In this work, the diffusion model is analyzed in the context of diffusion of orthophosphoric acid into the calcium hydroxide particle in a water suspension. However, it has to be noted, that in the studied case, the chemical reaction is much faster than the diffusion, thus, the orthophosphoric acid is diffusing into the reaction product (hydroxyapatite) [24] in reality. The model is somewhat simplified, since it does not account for the presence of byproducts which are normally created in the case of hydroxyapatite synthesis [25].
Another important assumption is that particles can be considered as spherical, which is often only an approximation. The coefficient D is the effective diffusivity. It describes the diffusion in the porous material, and is macroscopic in its nature, e.g., describes not the individual pores, but all the available pores in total [26].
It is related to the molecular diffusivity DAB as shown in Equation 2 [27].
where τ is tortuosity; ϕ is available porosity; σ is a contraction factor.
The available porosity is equal to the total porosity excluding pores, which are not accessible to the diffusant due to geometrical dimension restrictions, and excluding pores, which are not connected with the rest of the pore system and thus are closed. The contraction factor describes the decrease in the diffusion rate due to the increase of viscosity in the close proximity of pore walls (Renkin’s effect) [28, 29].
Since the diffusant reacts and diffuses into the particle, the resulting differential equation in the spherical coordinates in the steady state conditions can be written as in Equation 3 [27]. The diffusant’s concentration at the particle’s surface (r = 0) is CAS.
where n is the reaction order; kn is the reaction rate constant.
Solving Equation 3 for the standard boundary conditions, Tile’s modulus always appears as shown in Equation 4 [27].
Based on the Equation 4, it can be deduced that the solution structure does not allow to separately obtain kn and D, simultaneously, but rather only the ratio. Taking this into account the simplest model is chosen and is further described. In this work, GB diffusion model is chosen, which is based on earlier Jander’s work [30, 31].
Diffusion in the spherical particles is a limiting stage in various chemical processes, including the heterogeneous reaction of orthophosphoric acid with the calcium hydroxide. Describing such processes in a general sense, a compound A reacts with a compound B, resulting in a compound AB, whose layer thickness continuously grows during the process. Furthermore, the compound A diffuses into the compound’s B surface through the layer of compound AB with such rate that is much lesser than the chemical reaction rate of the A with the B [30].
Since the outer resistance to diffusion is significantly less than the inner resistance of AB, compound’s A concentration in the plane dividing A and AB can be considered constant. In the plane dividing AB and B, the concentration of compound A is always equal to zero due to much higher chemical reaction rate between A and B than that of diffusion [30].
As the starting point in GB model a classical diffusion equation for spherical particles is used, represented by Equation 5.
The initial and boundary conditions are shown in Equations 6 - 9.
where the
As one of the solutions intermediate forms to this model the Equation 10 is obtained.
Equation 10 describes the relationship between the thickness of the reacted layer x and the elapsed time τ. It can be deduced that the rate of the change in layer thickness of compound’s AB continuously decreases in time at
Since it is extremely challenging or even close to impossible to experimentally determine the thickness of the reacted layer in time, Brounstein and Ginstling proposed to use the conversion G in place of x, where G varies from 0 to 1.
In the G – τ coordinates, model can be represented by the Equation 11.
where K is the nominal kinetic constant, and is related to the effective diffusivity as represented by Equation 12.
where Φ(y) is the error integral defined as in Equation 13.
Equation 12 can be solved numerically and the value of D can be obtained. However, in this work, from the practical standpoint, it is more efficient to look into the ways of experimentally evaluating the nominal kinetic constant, since effective diffusivity includes both the diffusivity and reaction kinetic terms, separate evaluation of which is an unnecessary complication in this case and thus to be avoided.
The final GB model is given by Equation 14.
where G is conversion (-); K is nominal kinetic constant (m2/s); τ is time (s); R is particle radius (m).
The nominal kinetic constant K is a parameter in GB model which describes diffusion and is related to the effective molecular diffusivity. When the value of K is known, it becomes possible to predict the required time to achieve the desired conversion and design the synthesis accordingly.
2 Experimental
2.1 Methods
Experiment simulations and analysis methods. The heterogenous reaction occurs at the Ca(OH)2 particle surface. The diffusion model is assessed using the aforementioned GB model. The mathematical model is assessed using experiment simulations. The full output generated during the simulations is available in the Appendix of this work. The particle radius is assumed to be in the range of 0.5 – 1.5 μm. It is known, that in practice it is common for the wet precipitation (WP) synthesis of hydroxyapatite to long for about 5 to 7 hours. It is then reasonable to assume that at this elapsed time the reaction is close to a completion and the conversion can be assumed to be in the range of 0.90 – 0.95. Using the GB model, it is then possible to estimate the value of K.
The experiments are simulated, and the effect of K and R on conversion G is analyzed, as well as the effect of parameters G, R, τ on the value of K in calculations, with the help of statistical methods. 45 simulations were performed in total and are reported in the Appendix of this work. The data is analyzed using 2n factorial design using Yates Algorithm, also known as Yates Analysis, in order to identify the percentile effect of parameters on the value of K in the model. The model in the form of Equation 12 is used.
Ethical approval: The conducted research is not related to either human or animals use.
3 Results and discussion
3.1 Experimental simulations
Numerical simulations of 18 experiments were performed, that is for the all possible combinations of extreme cases and also a few medium cases for particle radius and elapsed time within the boundaries of the first assumption as represented by the Equation 15. Values chosen for a preliminary study are in characteristic range for a laboratory-scale WP synthesis of HAp.
The algorithm of the simulations is as follows: the input parameters (particle radius, conversion and elapsed time) are inserted in the model. The value of K is obtained. Knowing the value of K, and setting G to a value from 0 up to 1 with a step of 0.05, it is then possible to calculate the time required for obtaining the respective conversion.
The results of these 18 simulations (S1 – S18) can be found in the Appendix of this work. The example of the simulation output with the input parameters being R = 1.0 μm, G = 0.9, τ = 7 h is shown in Table 1.
Example of the numerical simulation output.
| S17 | ||
|---|---|---|
| R = | 0.000001 | m |
| G = | 0,9 | |
| τ = | 7 | h |
| τ = | 25200 | s |
| K = | 7.324⋅10’-18 | m2/s |
| 1 - (2/3)G - (1-G)^(2/3) = K*τ/R^2 | ||
| G | τ, S | τ, h |
| 0 | 0 | 0.00 |
| 0.05 | 39 | 0.01 |
| 0.1 | 159 | 0.04 |
| 0.15 | 366 | 0.10 |
| 0.2 | 668 | 0.19 |
| 0.25 | 1072 | 0.30 |
| 0.3 | 1588 | 0.44 |
| 0.35 | 2225 | 0.62 |
| 0.4 | 2998 | 0.83 |
| 0.45 | 3921 | 1.09 |
| 0.5 | 5012 | 1.39 |
| 0.55 | 6295 | 1.75 |
| 0.6 | 7799 | 2.17 |
| 0.65 | 9561 | 2.66 |
| 0.7 | 11633 | 3.23 |
| 0.75 | 14084 | 3.91 |
| 0.8 | 17023 | 4.73 |
| 0.85 | 20621 | 5.73 |
| 0.9 | 25200 | 7.00 |
| 0.95 | 31534 | 8.76 |
| 1 | 45515 | 12.64 |
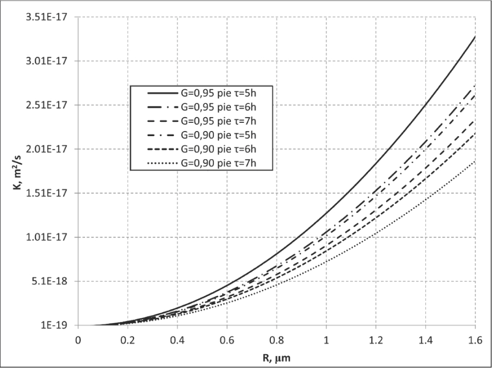
Obtained values of the nominal kinetic constant K are summarized in Figure 1.

Simulation output showing the dependence of K on input parameters G, R and τ.
As shown in the Figure 1, it can be deduced that the expected value of K is in the range of about 1∙10-19 to 3∙10-17 m2/s. It should also be noted, that the larger the R, the larger the scatter of possible K values. Based on the 18 simulations, the results are analyzed via descriptive statistics and the average value of K in the expected range is reported in Table 2. Based on the aforementioned assumption (Equation 15), the expected value of K in the practical conditions of wet precipitation synthesis of hydroxyapatite is 1.14∙10-17 ± 4.33∙10-18 m2/s (95% probability), which results in 37.87% uncertainty.
Descriptive statistics results of simulation output K values.
| K, m2/s | |
|---|---|
| Average | 1.143⋅10-17 |
| Median | 9.709⋅10-18 |
| Standard Deviation | 8.707⋅10-18 |
| Excess | -0.877 |
| Skewing | 0.579 |
| Scatter Range | 2.704⋅10-17 |
| Minimum Value | 1.831⋅10-18 |
| Maximum Value | 2.887⋅10-17 |
3.1.1 Influence of the particle size and nominal kinetic constant on the conversion
Analyzed particle radius influence on the conversion change in time, using the obtained average value of K = 1.14∙10-17 m2/s from the aforementioned 18 simulations (S1 – S18). Additional 6 simulations (R1 – R6) are performed, where the value of K is fixed, and 6 different R values are chosen: 0.5, 1.0, 1.5, 2.0, 2.5, 3.0 μm. Note, that radii higher than 1.5 μm are also used here, in order to obtain more data points and thus a fuller picture of the particle radius influence. Elapsed time in order to reach a specific value of conversion for particles of varying size is shown in Table 3.
Elapsed time in order to reach a specific value of conversion (K = 1.143⋅10-17 m2/s).
| R | 0.5 μm | 1.0 μm | 1.5 μm | 2.0 μm | 2.5 μm | 3.0 μm |
|---|---|---|---|---|---|---|
| G | τ, s | τ, s | τ, s | τ, s | τ, s | τ, s |
| 0 | 0 | 0 | 0 | 0 | 0 | 0 |
| 0.05 | 6 | 25 | 56 | 99 | 155 | 224 |
| 0.1 | 25 | 102 | 229 | 407 | 636 | 916 |
| 0.15 | 59 | 235 | 528 | 938 | 1466 | 2112 |
| 0.2 | 107 | 428 | 963 | 1712 | 2674 | 3851 |
| 0.25 | 172 | 687 | 1545 | 2747 | 4291 | 6180 |
| 0.3 | 254 | 1017 | 2288 | 4067 | 6355 | 9151 |
| 0.35 | 356 | 1425 | 3207 | 5701 | 8907 | 12826 |
| 0.4 | 480 | 1920 | 4320 | 7680 | 12000 | 17280 |
| 0.45 | 628 | 2511 | 5650 | 10044 | 15694 | 22599 |
| 0.5 | 803 | 3210 | 7223 | 12840 | 20063 | 28890 |
| 0.55 | 1008 | 4032 | 9072 | 16127 | 25199 | 36286 |
| 0.6 | 1249 | 4995 | 11239 | 19980 | 31218 | 44954 |
| 0.65 | 1531 | 6124 | 13778 | 24494 | 38272 | 55112 |
| 0.7 | 1863 | 7450 | 16763 | 29801 | 46564 | 67052 |
| 0.75 | 2255 | 9021 | 20296 | 36083 | 56379 | 81186 |
| 0.8 | 2726 | 10903 | 24531 | 43611 | 68142 | 98125 |
| 0.85 | 3302 | 13207 | 29716 | 52829 | 82545 | 118865 |
| 0.9 | 4035 | 16140 | 36315 | 64559 | 100874 | 145258 |
| 0.95 | 5049 | 20197 | 45442 | 80787 | 126229 | 181770 |
| 1 | 7288 | 29151 | 65589 | 116602 | 182191 | 262356 |
Simulations R1 – R6 can be found in the Appendix of this work. The effect of particle radius on the required time to reach the desired conversion is shown in Figure 2.

The effect of particle radius on the required time to reach the desired conversion (K = 1.143⋅10-17 m2/s).
Looking at the model (Equation 12) and Figure 2, it is obvious that a twofold increase in particle radius results in a fourfold increase in the required elapsed time to reach the same conversion, if all other conditions are unchanged.
The effect of K on the conversion is assessed in the additional 3 simulations (K1 – K3) – in each of these, K is set to a constant value – respectively, in the expected range the minimum, arithmetic mean and the maximum value is used here, based on the results of the S1 – S18 simulations. In all of these simulations the particle radius is fixed and is 1 μm. Simulations K1 – K3 can be found in the Appendix of this work.
The G = f(τ) relationship is shown in Figure 3, and is a clear representation of how nominal kinetic constant K influences the time required to reach a desired conversion, and is a graphic representation of which is also clear from the model Equation 12. Looking at the model (Equation 12) and Figure 3, it is clear that a twofold increase in nominal kinetic constant results in a twofold decrease in the required elapsed time to reach the same conversion, if all other conditions are unchanged.

The effect of the nominal kinetic constant on conversion change in time (R = 1 μm).
In order to evaluate the mathematical model and to determine the effect of factors R and K on the conversion, the combined analysis is necessary, using descriptive statistics and dispersion analysis ANOVA, two-factor without replication [32].
The analyzed particle radius R and nominal kinetic coefficient K effect on conversion G = 0.90, using results of aforementioned simulations S1 – S18 and of the additional 18 simulations S19 – S36 in order to obtain a fuller picture of the influence. Results of these additional simulations can also be found in the Appendix.
Based on the results of the dispersion analysis shown in Table 6 it is deduced that the percentile effect of factor R is 95.38%, of factor K is only 2.80%, and the error scatter (unexplained dispersion) is 1.82%. However, based on the Fisher’s criterion at α = 0.05, the effect of both factors is significant, since FR = 105.040 > F0.05 = 3.326 and FK = 7.712 > F0.05 = 4.103. Since the effect of both factors R and K is significant and the numbers of residual degrees of freedom are νe, R = 5 < 10 and νe, K = 2 < 10, the dispersion analysis can be stopped here. Based on the analysis it is thus possible to conclude that the effect of the particle size on conversion is significantly larger than that of the nominal kinetic constant. These results indicate that the synthesis time during wet precipitation can be significantly decreased by decreasing the particle size.
3.1.2 Effect of conversion, particle size and time on the nominal kinetic constant value in the model
In the analysis a 2n factorial design, or Yates Analysis, is used. Complete factorial design (CFD) – a set of multiple measurements or simulations, which satisfies the following conditions: (1) The number of measurements or simulations is 2n, where n is the number of factors; (2) Each factor has only 2 values, the lowest and the highest; (3) During the measurement or simulation the lowest and the highest values are combined in all possible combinations. The advantage of such a design is the ease of parameter evaluation [33].
The influence of G, R and τ on the resulting value of K in the model is analyzed. 23=8 simulations are required in order to satisfy the aforementioned condition. The parameter configuration for the respective simulations is reported in Table 7, where „-” and „+” stands for the lowest and highest value, respectively.
Based on the earlier described value range the input parameter values are the following: Rmin = 0.5 μm, Gmin = 0.90, τmin = 18000 s, Rmax = 1.5 μm, Gmax = 0.95, τmax = 25200 s. Additional 8 simulations are performed (FD1 – FD8), based on the model equation in the form of Equation 16.
Results of the simulations can be found in the Appendix of this work. The results of the simulations are shown in the form of a matrix as represented in Table 7 according to the Yates analysis condition.
All 8 combinations and simulations are reported in the specific order as shown in Table 7. All responses are sorted as shown in Table 8. The values of the first column are then calculated – first 4 values are obtained by summing response pairs. For instance, the first value of the first column is the sum of a mean value and the effect’s response of R; the second value is obtained by summing G and R∙G responses. The last 4 values in the first column are calculated in an analogous fashion, but with the detraction of the responses. For example, the fifth value of the first column is found by detracting response mean from the effect’s response of R; the sixth value is found by detracting the G response value from the R∙G response.
Input data for the dispersion analysis
| Gradation classes | K, m2/s, if τ = 5 h | K, m2/s, if τ = 6 h | K, m2/s, if τ = 7 h |
|---|---|---|---|
| R = 0.5 μm | 2.563⋅10-18 | 2.136⋅10-18 | 1.831⋅10-18 |
| R = 1.0 μm | 1.025⋅10-17 | 8.544⋅10-18 | 7.324⋅10-18 |
| R = 1.5 μm | 2.307⋅10-17 | 1.923⋅10-17 | 1.648⋅10-17 |
| R = 2.0 μm | 4.101⋅10-17 | 3.418⋅10-17 | 2.930⋅10-17 |
| R = 2.5 μm | 6.408⋅10-17 | 5.340⋅10-17 | 4.577⋅10-17 |
| R = 3.0 μm | 9.228⋅10-17 | 7.690⋅10-17 | 6.591⋅10-17 |
Dispersion analysis.
| Number | Sum | Mean | Dispersion | |
|---|---|---|---|---|
| R = 0,5 μm | 3 | 6.53⋅10-18 | 2.18⋅10-18 | 1.35⋅10-37 |
| R = 1,0 μm | 3 | 2.61⋅10-17 | 8.71⋅10-18 | 2.17⋅10-36 |
| R = 1,5 μm | 3 | 5.88⋅10-17 | 1.96⋅10-17 | 1.10⋅10-35 |
| R = 2,0 μm | 3 | 1.04⋅10-16 | 3.48⋅10-17 | 3.46⋅10-35 |
| R = 2,5 μm | 3 | 1.63⋅10-16 | 5.44⋅10-17 | 8.46⋅10-35 |
| R = 3,0 μm | 3 | 2.35⋅10-16 | 7.84⋅10-17 | 1.75⋅10-34 |
| K, m2/s, τ = 5 h | 6 | 2.33⋅10-16 | 3.89⋅10-17 | 1.18⋅10-33 |
| K, m2/s, τ = 6 h | 6 | 1.94⋅10-16 | 3.24⋅10-17 | 8.17⋅10-34 |
| K, m2/s, τ = 7 h | 6 | 1.67⋅10-16 | 2.78⋅10-17 | 6.00⋅10-34 |
The effect of the factors; the results of the dispersion analysis.
| Scatter | Sum of Squares | Percentile effect | Degree of Freedom | Dispersion | Fisher’s criterion | p–value | F0.05,v,vZ |
|---|---|---|---|---|---|---|---|
| Effect of R | 1.27⋅10-32 | 95.38 | 5 | 2.54⋅10-33 | 105.040 | 2.61⋅10-8 | 3.326 |
| Effect of K | 3.74⋅10-34 | 2.80 | 2 | 1.87⋅10-34 | 7.712 | 0.00941 | 4.103 |
| Error Scatter | 2.42⋅10-34 | 1.82 | 10 | 2.42⋅10-35 | |||
| Total | 1.33⋅10-32 | 17 |
Input data for the Yates Analysis method.
| Simulation | R | G | τ | Response (K) |
|---|---|---|---|---|
| FD1 | - | - | - | 2.563⋅10-18 |
| FD2 | + | - | - | 2.307⋅10-17 |
| FD3 | - | + | - | 3.208⋅10-18 |
| FD5 | + | + | - | 2.887⋅10-17 |
| FD4 | - | - | + | 1.831⋅10-18 |
| FD7 | + | - | + | 1.648⋅10-17 |
| FD6 | - | + | + | 2.291⋅10-18 |
| FD8 | + | + | + | 2.062⋅10-17 |
Yates Analysis.
| Effect | Response | 1st Column | 2nd Column | 3rd Column | Response Squares | Effect Value | Percentile Effect % | Effect’s (correlation) sign |
|---|---|---|---|---|---|---|---|---|
| Mean | 2.563⋅10-18 | 2.563⋅10-17 | 5.771⋅10-17 | 9.893⋅10-17 | 6.570⋅10-36 | 1.237⋅10-17 | ||
| R | 2.307⋅10-17 | 3.208⋅10-17 | 4.122⋅10-17 | 7.914⋅10-17 | 5.322⋅10-34 | 9.893⋅10-18 | 59.95 | + |
| G | 3.208⋅10-18 | 1.831⋅10-17 | 4.617⋅10-17 | 1.105⋅10-17 | 1.029⋅10-35 | 1.381⋅10-18 | 8.37 | + |
| R-G | 2.887⋅10-17 | 2.291⋅10-17 | 3.298⋅10-17 | 8.836⋅10-18 | 8.334⋅10-34 | 1.105⋅10-18 | 6.69 | + |
| T | 1.831⋅10-18 | 2.051⋅10-17 | 6.443⋅10-18 | -1.649⋅10-17 | 3.352⋅10-36 | -2.061⋅10-18 | 12.49 | - |
| R-τ | 1.648⋅10-17 | 2.566⋅10-17 | 4.602⋅10-18 | -1.319⋅10-17 | 2.715⋅10-34 | -1.649⋅10-18 | 9.99 | - |
| G-τ | 2.291⋅10-18 | 1.465⋅10-17 | 5.154⋅10-18 | -1.841⋅10-18 | 5.249⋅10-36 | -2.301⋅10-19 | 1.39 | - |
| R-G-τ | 2.062⋅10-17 | 1.833⋅10-17 | 3.682⋅10-18 | -1.473⋅10-18 | 4.252⋅10-34 | -1.841⋅10-19 | 1.12 | - |
The second and third column is calculated in the similar manner as the first column, but in the place of responses first and second column values are used, respectively. This algorithm is then continued until the number of numbered columns is the same as the number of factors, which in this case is equal to 3. Values of the effect are then obtained by diving last column’s values with the number of simulation, meaning by 8 in this case. If the value is positive or negative, then the correlation sign is „+” and „-”, respectively. The values of effect are relative, but they allow to evaluate the percentile effect of parameters on the value of K. Percentile values are then obtained by dividing the modulus of effect values by the modulus of the sum of values [33].
Furthermore, it is possible to evaluate the effect sign; if a sign is „+” or „-”, then by increasing the parameter, the response increases or decreases, respectively. It can be concluded that the highest effect on the calculated value of the nominal kinetic constant K is the particle radius R, and is 59.95% as can be seen in Figure 4 and Table 8. The analysis also shows the coupled effect of parameters, which is most significant for the particle radius coupled with time. Thus, in order to obtain K values with a higher precision using the GB model, the highest attention has to be given to the measurements of the particle radius R.

The percentile effect of parameters on the value of K in the model.
4 Conclusion
In this short and simplistic preliminary study, a mathematical assessment of the Ginstling-Brounstein (GB) model showed that it can be potentially useful in describing the diffusion-controlled synthesis as in the case of wet precipitation (WP) of hydroxyapatite (HAp) using values of the parameters characteristic to the laboratory-scale synthesis of HAp. Particle size determination has the most significant effect (59.95%) on the kinetic coefficient value calculations and thus the highest attention has to be given to the careful measurements of the particle size in order to obtain K values with a high precision. It should also be noted, that reducing particle radius can significantly reduce diffusion-controlled reaction time in order to reach a desired conversion, even operating within the characteristic range of WP parameters in practice, and thus the overall synthesis time can be significantly reduced. An experimental validation of the model will follow.
Acknowledgments
The first author (Andrey) is thankful to doc. Ilo Dreijers (Ilo Dreyer) for continuous intellectual and moral support, as well as often highly exciting discussions on the topic and related subjects.
Conflict of interest: Authors state no conflict of interest.
References
[1] Shi C., Roy D., Krivenko P., Alkali-activated cements and concretes, CRC Press, London, 2005.10.4324/9780203390672Suche in Google Scholar
[2] Qifeng S., Jiayun Z., Baijun Y., Jianhua L., Phase formation mechanism and kinetics in solid-state synthesis of undoped and calcium-doped lanthanum manganite, Mater. Res. Bull., 2009, 44(3), 649-653.10.1016/j.materresbull.2008.06.022Suche in Google Scholar
[3] Tabero P., Bosacka M., Kurzawa M., The reaction mechanism and kinetics of the Zn2.5VMoO8 phase synthesis in the solid state, J. Therm. Anal. Calorim., 2001, 65(3), 865-869.10.1023/A:1011940502316Suche in Google Scholar
[4] Paik J.-G., Lee M.-J., Hyun S.-H., Reaction kinetics and formation mechanism of magnesium ferrites, Thermochim Acta, 2005, 425(1-2), 131-136.10.1016/j.tca.2004.06.012Suche in Google Scholar
[5] Boonchom B., Puttawong S., Thermodynamics and kinetics of the dehydration reaction of FePO4·2H2O, Physica B: Condens. Matter, 2010, 405(9), 2350-2355.10.1016/j.physb.2010.02.046Suche in Google Scholar
[6] Khachani M., El Hamidi A., Kacimi M., Halim M., Arsalane S., Kinetic approach of multi-step thermal decomposition processes of iron(III) phosphate dihydrate FePO4•2H2O, Thermochim Acta, 2015, 610, 29-36.10.1016/j.tca.2015.04.020Suche in Google Scholar
[7] Akbar J., Iqbal M.S., Massey S., Masih R., Kinetics and mechanism of thermal degradation of pentose- and hexose-based carbohydrate polymers, Carbohydr. Polym., 2012, 90(3), 1386-1393.10.1016/j.carbpol.2012.07.008Suche in Google Scholar PubMed
[8] Gao P., Wang H., Jin Z., Study of oxidation properties and decomposition kinetics of three-dimensional (3-D) braided carbon fiber, Thermochim Acta, 2004, 414(1), 59-63.10.1016/j.tca.2003.11.017Suche in Google Scholar
[9] Wionczyk B., Apostoluk W., Charewicz W.A., Adamski Z., Recovery of chromium(III) from wastes of uncolored chromium leathers. Part I. Kinetic studies on alkaline hydrolytic decomposition of the wastes, Sep. Purif. Technol., 2011, 81(2), 223-236.10.1016/j.seppur.2011.07.036Suche in Google Scholar
[10] Rosu D., Rosu L., Brebu M., Thermal stability of silver sulfathiazole–epoxy resin network, J. Anal. Appl. Pyrolysis, 2011, 92(1), 10-18.10.1016/j.jaap.2011.04.001Suche in Google Scholar
[11] Jain A., Joseph K., Anthonysamy S., Gupta G.S., Kinetics of oxidation of boron powder, Thermochim Acta, 2011, 514(1-2), 67-73.10.1016/j.tca.2010.12.004Suche in Google Scholar
[12] Ptáček P., Nosková M., Brandštetr J., Šoukal F., Opravil T., Mechanism and kinetics of wollastonite fibre dissolution in the aqueous solution of acetic acid, Powder Technol., 2011, 206(3), 338-344.10.1016/j.powtec.2010.09.040Suche in Google Scholar
[13] Bar-Gadda R., The kinetics of xylan pyrolysis, Thermochim Acta, 1980, 42(2), 153-163.10.1016/0040-6031(80)87099-7Suche in Google Scholar
[14] Tudorachi N., Mustata F., Curing and thermal degradation of diglycidyl ether of bisphenol A epoxy resin crosslinked with natural hydroxy acids as environmentally friendly hardeners, Arabian J. Chem., (in press), 10.1016/j.arabjc.2017.07.008.Suche in Google Scholar
[15] Corradini E., Pineda E.A.G., Hechenleitner A.A.W., Lignin-poly (vinyl alcohol) blends studied by thermal analysis, Polym. Degrad. Stab., 1999, 66(2), 199-208.10.1016/S0141-3910(99)00066-XSuche in Google Scholar
[16] Filimonov V.Yu., Koshelev K.B., Sytnikov A.A., Thermal modes of heterogeneous exothermic reactions. Solid-phase interaction, Combust. Flame, 2017, 185, 93-104.10.1016/j.combustflame.2017.06.020Suche in Google Scholar
[17] Varganici C.-D., Marangoci N., Rosu L., Barbu-Mic C., Rosu D., Pinteala M., Simionescu B.C., TGA/DTA–FTIR–MS coupling as analytical tool for confirming inclusion complexes occurrence in supramolecular host–guest architectures, J. Anal. Appl. Pyrolysis, 2015, 115, 132-142.10.1016/j.jaap.2015.07.006Suche in Google Scholar
[18] Blečić D., Ẑivković Ẑ.D., Martinović M.A, New method for the determination of reaction kinetics from DTA and TG curves. Part I. Definition of the method, Thermochim Acta, 1983, 60, 61-68.10.1016/0040-6031(93)85006-USuche in Google Scholar
[19] Ozola R., Krauklis A., Burlakovs J., Vincevica-Gaile Z., Rudovica V., Trubaca-Boginska A., Borovikova D., Bhatnagar A., Vircava I., Klavins M., Illite clay modified with hydroxyapatite– innovative perspectives for soil remediation from lead (II), Int. J.Agric. Environ. Res. (IJAER), 2017, 3(2), 177-189.Suche in Google Scholar
[20] Sadat-Shojai M., Khorasani M.-T., Dinpanah-Khoshdargi E., Jamshidi A., Synthesis methods for nanosized hydroxyapatite with diverse structures, Acta Biomater., 2013, 9(8), 7591-7621.10.1016/j.actbio.2013.04.012Suche in Google Scholar PubMed
[21] Hench L.L., Jones J.R., Biomaterials, artificial organs and tissue engineering, 1st ed., Woodhead Publishing, Cambridge, 2005.10.1533/9781845690861.1Suche in Google Scholar
[22] Meski S., Ziani S., Khireddine H., Removal of lead ions by hydroxyapatite prepared from the egg shell, J. Chem. Eng. Data, 2010, 55(9), 3923-3928.10.1021/je901070eSuche in Google Scholar
[23] Dong L., Zhu Z., Qiu Y., Zhao J., Removal of lead from aqueous solution by hydroxyapatite/magnetite composite adsorbent, Chem. Eng. J., 2010, 165(3), 827-834.10.1016/j.cej.2010.10.027Suche in Google Scholar
[24] Kanehira S., Kanamori S., Nagashima K., Saeki T., Visbal H., Fukui T., Hirao K., Controllable hydrogen release via aluminum powder corrosion in calcium hydroxide solutions, JAsCerS, 2013, 1(3), 296-303.10.1016/j.jascer.2013.08.001Suche in Google Scholar
[25] Bērzina-Cimdina L., Dreijers I., Kreicbergs I., Hypothesis of Ca(OH)2 and H3PO4 reaction mechanism on solid particle surface, International Forum of Young Researchers “Topical Issues of Subsoil Usage”, St. Petersburg, Russia, 2011.Suche in Google Scholar
[26] Grathwohl P., Diffusion in natural porous media: contaminant transport, sorption/desorption and dissolution kinetics, Kluwer Academic, Boston, 1998.10.1007/978-1-4615-5683-1Suche in Google Scholar
[27] Fogler H.S., Elements of chemical reaction engineering, 4th ed., Pearson Education, Westford, 2005.Suche in Google Scholar
[28] Renkin E.M., Filtration diffusion and molecular sieving through porous cellulose membranes, J. Gen. Physiol., 1954, 38(2), 225-243.Suche in Google Scholar
[29] Thambynayagam R.K.M., The diffusion handbook: applied solutions for engineers, McGraw-Hill Professional, New York, 2011.Suche in Google Scholar
[30] Ginstling A.M, Brounstein B.I., О диффузионной кинкTике реакций в сферических частицах, Журнал прикладной хмии, 1950, 23(12), 1249-1259, (In Russian).Suche in Google Scholar
[31] Jander W., Reaktionen im festen Zustande bei höheren Temperaturen. Reaktionsgeschwindigkeiten endotherm verlaufender Umsetzungen, Zeitschr. für anorgan. und allgem. Chem., 1927, 163(1), 1-30, (In German).10.1002/zaac.19271630102Suche in Google Scholar
[32] Arhipova I., Bālina S., Statistika ekonomikā. Risinājumi ar SPSS un Microsoft Excel. Mācību līdzeklis, 2nd ed., Datorzinību Centrs, Rīga, 2006, (In Latvian).Suche in Google Scholar
[33] Box G.E.P., Hunter W.G., Hunter J.S., Statistics for experimenters: design, innovation, and discovery, 2nd ed., Wiley, Hoboken, 2005.Suche in Google Scholar
© 2018 Andrey E.Krauklis, Ilo Dreyer, published by De Gruyter
This work is licensed under the Creative Commons Attribution-NonCommercial-NoDerivatives 4.0 License.
Artikel in diesem Heft
- Regular Articles
- The effect of CuO modification for a TiO2 nanotube confined CeO2 catalyst on the catalytic combustion of butane
- The preparation and antibacterial activity of cellulose/ZnO composite: a review
- Linde Type A and nano magnetite/NaA zeolites: cytotoxicity and doxorubicin loading efficiency
- Performance and thermal decomposition analysis of foaming agent NPL-10 for use in heavy oil recovery by steam injection
- Spectroscopic (FT-IR, FT-Raman, UV, 1H and 13C NMR) insights, electronic profiling and DFT computations on ({(E)-[3-(1H-imidazol-1-yl)-1-phenylpropylidene] amino}oxy)(4-nitrophenyl)methanone, an imidazole-bearing anti-Candida agent
- A Simplistic Preliminary Assessment of Ginstling-Brounstein Model for Solid Spherical Particles in the Context of a Diffusion-Controlled Synthesis
- M-Polynomials And Topological Indices Of Zigzag And Rhombic Benzenoid Systems
- Photochemical Transformation of some 3-benzyloxy-2-(benzo[b]thiophen-2-yl)-4Hchromen-4-ones: A Remote Substituent Effect
- Dynamic Changes of Secondary Metabolites and Antioxidant Activity of Ligustrum lucidum During Fruit Growth
- Studies on the flammability of polypropylene/ammonium polyphosphate and montmorillonite by using the cone calorimeter test
- DSC, FT-IR, NIR, NIR-PCA and NIR-ANOVA for determination of chemical stability of diuretic drugs: impact of excipients
- Antioxidant and Hepatoprotective Effects of Methanolic Extracts of Zilla spinosa and Hammada elegans Against Carbon Tetrachlorideinduced Hepatotoxicity in Rats
- Prunus cerasifera Ehrh. fabricated ZnO nano falcates and its photocatalytic and dose dependent in vitro bio-activity
- Organic biocides hosted in layered double hydroxides: enhancing antimicrobial activity
- Experimental study on the regulation of the cholinergic pathway in renal macrophages by microRNA-132 to alleviate inflammatory response
- Synthesis, characterization, in-vitro antimicrobial properties, molecular docking and DFT studies of 3-{(E)-[(4,6-dimethylpyrimidin-2-yl)imino]methyl} naphthalen-2-ol and Heteroleptic Mn(II), Co(II), Ni(II) and Zn(II) complexes
- M-Polynomials and Topological Indices of Dominating David Derived Networks
- Human Health Risk Assessment of Trace Metals in Surface Water Due to Leachate from the Municipal Dumpsite by Pollution Index: A Case Study from Ndawuse River, Abuja, Nigeria
- Analysis of Bowel Diseases from Blood Serum by Autofluorescence and Atomic Force Microscopy Techniques
- Hydrographic parameters and distribution of dissolved Cu, Ni, Zn and nutrients near Jeddah desalination plant
- Relationships between diatoms and environmental variables in industrial water biotopes of Trzuskawica S.A. (Poland)
- Optimum Conversion of Major Ginsenoside Rb1 to Minor Ginsenoside Rg3(S) by Pulsed Electric Field-Assisted Acid Hydrolysis Treatment
- Antioxidant, Anti-microbial Properties and Chemical Composition of Cumin Essential Oils Extracted by Three Methods
- Regulatory mechanism of ulinastatin on autophagy of macrophages and renal tubular epithelial cells
- Investigation of the sustained-release mechanism of hydroxypropyl methyl cellulose skeleton type Acipimox tablets
- Bio-accumulation of Polycyclic Aromatic Hydrocarbons in the Grey Mangrove (Avicennia marina) along Arabian Gulf, Saudi Coast
- Dynamic Change of Secondary Metabolites and spectrum-effect relationship of Malus halliana Koehne flowers during blooming
- Lipids constituents from Gardenia aqualla Stapf & Hutch
- Effect of using microwaves for catalysts preparation on the catalytic acetalization of glycerol with furfural to obtain fuel additives
- Effect of Humic Acid on the Degradation of Methylene Blue by Peroxymonosulfate
- Serum containing drugs of Gua Lou Xie Bai decoction (GLXB-D) can inhibit TGF-β1-Induced Epithelial to Mesenchymal Transition (EMT) in A549 Cells
- Antiulcer Activity of Different Extracts of Anvillea garcinii and Isolation of Two New Secondary Metabolites
- Analysis of Metabolites in Cabernet Sauvignon and Shiraz Dry Red Wines from Shanxi by 1H NMR Spectroscopy Combined with Pattern Recognition Analysis
- Can water temperature impact litter decomposition under pollution of copper and zinc mixture
- Released from ZrO2/SiO2 coating resveratrol inhibits senescence and oxidative stress of human adipose-derived stem cells (ASC)
- Validated thin-layer chromatographic method for alternative and simultaneous determination of two anti-gout agents in their fixed dose combinations
- Fast removal of pollutants from vehicle emissions during cold-start stage
- Review Article
- Catalytic activities of heterogeneous catalysts obtained by copolymerization of metal-containing 2-(acetoacetoxy)ethyl methacrylate
- Antibiotic Residue in the Aquatic Environment: Status in Africa
- Regular Articles
- Mercury fractionation in gypsum using temperature desorption and mass spectrometric detection
- Phytosynthetic Ag doped ZnO nanoparticles: Semiconducting green remediators
- Epithelial–Mesenchymal Transition Induced by SMAD4 Activation in Invasive Growth Hormone-Secreting Adenomas
- Physicochemical properties of stabilized sewage sludge admixtures by modified steel slag
- In Vitro Cytotoxic and Antiproliferative Activity of Cydonia oblonga flower petals, leaf and fruit pellet ethanolic extracts. Docking simulation of the active flavonoids on anti-apoptotic protein Bcl-2
- Synthesis and Characterization of Pd exchanged MMT Clay for Mizoroki-Heck Reaction
- A new selective, and sensitive method for the determination of lixivaptan, a vasopressin 2 (V2)-receptor antagonist, in mouse plasma and its application in a pharmacokinetic study
- Anti-EGFL7 antibodies inhibit rat prolactinoma MMQ cells proliferation and PRL secretion
- Density functional theory calculations, vibration spectral analysis and molecular docking of the antimicrobial agent 6-(1,3-benzodioxol-5-ylmethyl)-5-ethyl-2-{[2-(morpholin-4-yl)ethyl] sulfanyl}pyrimidin-4(3H)-one
- Effect of Nano Zeolite on the Transformation of Cadmium Speciation and Its Uptake by Tobacco in Cadmium-contaminated Soil
- Effects and Mechanisms of Jinniu Capsule on Methamphetamine-Induced Conditioned Place Preference in Rats
- Calculating the Degree-based Topological Indices of Dendrimers
- Efficient optimization and mineralization of UV absorbers: A comparative investigation with Fenton and UV/H2O2
- Metabolites of Tryptophane and Phenylalanine as Markers of Small Bowel Ischemia-Reperfusion Injury
- Adsorption and determination of polycyclic aromatic hydrocarbons in water through the aggregation of graphene oxide
- The role of NR2C2 in the prolactinomas
- Chromium removal from industrial wastewater using Phyllostachys pubescens biomass loaded Cu-S nanospheres
- Hydrotalcite Anchored Ruthenium Catalyst for CO2 Hydrogenation Reaction
- Preparation of Calcium Fluoride using Phosphogypsum by Orthogonal Experiment
- The mechanism of antibacterial activity of corylifolinin against three clinical bacteria from Psoralen corylifolia L
- 2-formyl-3,6-bis(hydroxymethyl)phenyl benzoate in Electrochemical Dry Cell
- Electro-photocatalytic degradation of amoxicillin using calcium titanate
- Effect of Malus halliana Koehne Polysaccharides on Functional Constipation
- Structural Properties and Nonlinear Optical Responses of Halogenated Compounds: A DFT Investigation on Molecular Modelling
- DMFDMA catalyzed synthesis of 2-((Dimethylamino)methylene)-3,4-dihydro-9-arylacridin-1(2H)-ones and their derivatives: in-vitro antifungal, antibacterial and antioxidant evaluations
- Production of Methanol as a Fuel Energy from CO2 Present in Polluted Seawater - A Photocatalytic Outlook
- Study of different extraction methods on finger print and fatty acid of raw beef fat using fourier transform infrared and gas chromatography-mass spectrometry
- Determination of trace fluoroquinolones in water solutions and in medicinal preparations by conventional and synchronous fluorescence spectrometry
- Extraction and determination of flavonoids in Carthamus tinctorius
- Therapeutic Application of Zinc and Vanadium Complexes against Diabetes Mellitus a Coronary Disease: A review
- Study of calcined eggshell as potential catalyst for biodiesel formation using used cooking oil
- Manganese oxalates - structure-based Insights
- Topological Indices of H-Naphtalenic Nanosheet
- Long-Term Dissolution of Glass Fibers in Water Described by Dissolving Cylinder Zero-Order Kinetic Model: Mass Loss and Radius Reduction
- Topological study of the para-line graphs of certain pentacene via topological indices
- A brief insight into the prediction of water vapor transmissibility in highly impermeable hybrid nanocomposites based on bromobutyl/epichlorohydrin rubber blends
- Comparative sulfite assay by voltammetry using Pt electrodes, photometry and titrimetry: Application to cider, vinegar and sugar analysis
- MicroRNA delivery mediated by PEGylated polyethylenimine for prostate cancer therapy
- Reversible Fluorescent Turn-on Sensors for Fe3+ based on a Receptor Composed of Tri-oxygen Atoms of Amide Groups in Water
- Sonocatalytic degradation of methyl orange in aqueous solution using Fe-doped TiO2 nanoparticles under mechanical agitation
- Hydrotalcite Anchored Ruthenium Catalyst for CO2 Hydrogenation Reaction
- Production and Analysis of Recycled Ammonium Perrhenate from CMSX-4 superalloys
- Topical Issue on Agriculture
- New phosphorus biofertilizers from renewable raw materials in the aspect of cadmium and lead contents in soil and plants
- Survey of content of cadmium, calcium, chromium, copper, iron, lead, magnesium, manganese, mercury, sodium and zinc in chamomile and green tea leaves by electrothermal or flame atomizer atomic absorption spectrometry
- Biogas digestate – benefits and risks for soil fertility and crop quality – an evaluation of grain maize response
- A numerical analysis of heat transfer in a cross-current heat exchanger with controlled and newly designed air flows
- Freshwater green macroalgae as a biosorbent of Cr(III) ions
- The main influencing factors of soil mechanical characteristics of the gravity erosion environment in the dry-hot valley of Jinsha river
- Free amino acids in Viola tricolor in relation to different habitat conditions
- The influence of filler amount on selected properties of new experimental resin dental composite
- Effect of poultry wastewater irrigation on nitrogen, phosphorus and carbon contents in farmland soil
- Response of spring wheat to NPK and S fertilization. The content and uptake of macronutrients and the value of ionic ratios
- The Effect of Macroalgal Extracts and Near Infrared Radiation on Germination of Soybean Seedlings: Preliminary Research Results
- Content of Zn, Cd and Pb in purple moor-grass in soils heavily contaminated with heavy metals around a zinc and lead ore tailing landfill
- Topical Issue on Research for Natural Bioactive Products
- Synthesis of (±)-3,4-dimethoxybenzyl-4-methyloctanoate as a novel internal standard for capsinoid determination by HPLC-ESI-MS/MS(QTOF)
- Repellent activity of monoterpenoid esters with neurotransmitter amino acids against yellow fever mosquito, Aedes aegypti
- Effect of Flammulina velutipes (golden needle mushroom, eno-kitake) polysaccharides on constipation
- Bioassay-directed fractionation of a blood coagulation factor Xa inhibitor, betulinic acid from Lycopus lucidus
- Antifungal and repellent activities of the essential oils from three aromatic herbs from western Himalaya
- Chemical composition and microbiological evaluation of essential oil from Hyssopus officinalis L. with white and pink flowers
- Bioassay-guided isolation and identification of Aedes aegypti larvicidal and biting deterrent compounds from Veratrum lobelianum
- α-Terpineol, a natural monoterpene: A review of its biological properties
- Utility of essential oils for development of host-based lures for Xyleborus glabratus (Coleoptera: Curculionidae: Scolytinae), vector of laurel wilt
- Phenolic composition and antioxidant potential of different organs of Kazakh Crataegus almaatensis Pojark: A comparison with the European Crataegus oxyacantha L. flowers
- Isolation of eudesmane type sesquiterpene ketone from Prangos heyniae H.Duman & M.F.Watson essential oil and mosquitocidal activity of the essential oils
- Comparative analysis of the polyphenols profiles and the antioxidant and cytotoxicity properties of various blue honeysuckle varieties
- Special Issue on ICCESEN 2017
- Modelling world energy security data from multinomial distribution by generalized linear model under different cumulative link functions
- Pine Cone and Boron Compounds Effect as Reinforcement on Mechanical and Flammability Properties of Polyester Composites
- Artificial Neural Network Modelling for Prediction of SNR Effected by Probe Properties on Ultrasonic Inspection of Austenitic Stainless Steel Weldments
- Calculation and 3D analyses of ERR in the band crack front contained in a rectangular plate made of multilayered material
- Improvement of fuel properties of biodiesel with bioadditive ethyl levulinate
- Properties of AlSi9Cu3 metal matrix micro and nano composites produced via stir casting
- Investigation of Antibacterial Properties of Ag Doped TiO2 Nanofibers Prepared by Electrospinning Process
- Modeling of Total Phenolic contents in Various Tea samples by Experimental Design Methods
- Nickel doping effect on the structural and optical properties of indium sulfide thin films by SILAR
- The effect mechanism of Ginnalin A as a homeopathic agent on various cancer cell lines
- Excitation functions of proton induced reactions of some radioisotopes used in medicine
- Oxide ionic conductivity and microstructures of Pr and Sm co-doped CeO2-based systems
- Rapid Synthesis of Metallic Reinforced in Situ Intermetallic Composites in Ti-Al-Nb System via Resistive Sintering
- Oxidation Behavior of NiCr/YSZ Thermal Barrier Coatings (TBCs)
- Clustering Analysis of Normal Strength Concretes Produced with Different Aggregate Types
- Magnetic Nano-Sized Solid Acid Catalyst Bearing Sulfonic Acid Groups for Biodiesel Synthesis
- The biological activities of Arabis alpina L. subsp. brevifolia (DC.) Cullen against food pathogens
- Humidity properties of Schiff base polymers
- Free Vibration Analysis of Fiber Metal Laminated Straight Beam
- Comparative study of in vitro antioxidant, acetylcholinesterase and butyrylcholinesterase activity of alfalfa (Medicago sativa L.) collected during different growth stages
- Isothermal Oxidation Behavior of Gadolinium Zirconate (Gd2Zr2O7) Thermal Barrier Coatings (TBCs) produced by Electron Beam Physical Vapor Deposition (EB-PVD) technique
- Optimization of Adsorption Parameters for Ultra-Fine Calcite Using a Box-Behnken Experimental Design
- The Microstructural Investigation of Vermiculite-Infiltrated Electron Beam Physical Vapor Deposition Thermal Barrier Coatings
- Modelling Porosity Permeability of Ceramic Tiles using Fuzzy Taguchi Method
- Experimental and theoretical study of a novel naphthoquinone Schiff base
- Physicochemical properties of heat treated sille stone for ceramic industry
- Sand Dune Characterization for Preparing Metallurgical Grade Silicon
- Catalytic Applications of Large Pore Sulfonic Acid-Functionalized SBA-15 Mesoporous Silica for Esterification
- One-photon Absorption Characterizations, Dipole Polarizabilities and Second Hyperpolarizabilities of Chlorophyll a and Crocin
- The Optical and Crystallite Characterization of Bilayer TiO2 Films Coated on Different ITO layers
- Topical Issue on Bond Activation
- Metal-mediated reactions towards the synthesis of a novel deaminolysed bisurea, dicarbamolyamine
- The structure of ortho-(trifluoromethyl)phenol in comparison to its homologues – A combined experimental and theoretical study
- Heterogeneous catalysis with encapsulated haem and other synthetic porphyrins: Harnessing the power of porphyrins for oxidation reactions
- Recent Advances on Mechanistic Studies on C–H Activation Catalyzed by Base Metals
- Reactions of the organoplatinum complex [Pt(cod) (neoSi)Cl] (neoSi = trimethylsilylmethyl) with the non-coordinating anions SbF6– and BPh4–
- Erratum
- Investigation on Two Compounds of O, O’-dithiophosphate Derivatives as Corrosion Inhibitors for Q235 Steel in Hydrochloric Acid Solution
Artikel in diesem Heft
- Regular Articles
- The effect of CuO modification for a TiO2 nanotube confined CeO2 catalyst on the catalytic combustion of butane
- The preparation and antibacterial activity of cellulose/ZnO composite: a review
- Linde Type A and nano magnetite/NaA zeolites: cytotoxicity and doxorubicin loading efficiency
- Performance and thermal decomposition analysis of foaming agent NPL-10 for use in heavy oil recovery by steam injection
- Spectroscopic (FT-IR, FT-Raman, UV, 1H and 13C NMR) insights, electronic profiling and DFT computations on ({(E)-[3-(1H-imidazol-1-yl)-1-phenylpropylidene] amino}oxy)(4-nitrophenyl)methanone, an imidazole-bearing anti-Candida agent
- A Simplistic Preliminary Assessment of Ginstling-Brounstein Model for Solid Spherical Particles in the Context of a Diffusion-Controlled Synthesis
- M-Polynomials And Topological Indices Of Zigzag And Rhombic Benzenoid Systems
- Photochemical Transformation of some 3-benzyloxy-2-(benzo[b]thiophen-2-yl)-4Hchromen-4-ones: A Remote Substituent Effect
- Dynamic Changes of Secondary Metabolites and Antioxidant Activity of Ligustrum lucidum During Fruit Growth
- Studies on the flammability of polypropylene/ammonium polyphosphate and montmorillonite by using the cone calorimeter test
- DSC, FT-IR, NIR, NIR-PCA and NIR-ANOVA for determination of chemical stability of diuretic drugs: impact of excipients
- Antioxidant and Hepatoprotective Effects of Methanolic Extracts of Zilla spinosa and Hammada elegans Against Carbon Tetrachlorideinduced Hepatotoxicity in Rats
- Prunus cerasifera Ehrh. fabricated ZnO nano falcates and its photocatalytic and dose dependent in vitro bio-activity
- Organic biocides hosted in layered double hydroxides: enhancing antimicrobial activity
- Experimental study on the regulation of the cholinergic pathway in renal macrophages by microRNA-132 to alleviate inflammatory response
- Synthesis, characterization, in-vitro antimicrobial properties, molecular docking and DFT studies of 3-{(E)-[(4,6-dimethylpyrimidin-2-yl)imino]methyl} naphthalen-2-ol and Heteroleptic Mn(II), Co(II), Ni(II) and Zn(II) complexes
- M-Polynomials and Topological Indices of Dominating David Derived Networks
- Human Health Risk Assessment of Trace Metals in Surface Water Due to Leachate from the Municipal Dumpsite by Pollution Index: A Case Study from Ndawuse River, Abuja, Nigeria
- Analysis of Bowel Diseases from Blood Serum by Autofluorescence and Atomic Force Microscopy Techniques
- Hydrographic parameters and distribution of dissolved Cu, Ni, Zn and nutrients near Jeddah desalination plant
- Relationships between diatoms and environmental variables in industrial water biotopes of Trzuskawica S.A. (Poland)
- Optimum Conversion of Major Ginsenoside Rb1 to Minor Ginsenoside Rg3(S) by Pulsed Electric Field-Assisted Acid Hydrolysis Treatment
- Antioxidant, Anti-microbial Properties and Chemical Composition of Cumin Essential Oils Extracted by Three Methods
- Regulatory mechanism of ulinastatin on autophagy of macrophages and renal tubular epithelial cells
- Investigation of the sustained-release mechanism of hydroxypropyl methyl cellulose skeleton type Acipimox tablets
- Bio-accumulation of Polycyclic Aromatic Hydrocarbons in the Grey Mangrove (Avicennia marina) along Arabian Gulf, Saudi Coast
- Dynamic Change of Secondary Metabolites and spectrum-effect relationship of Malus halliana Koehne flowers during blooming
- Lipids constituents from Gardenia aqualla Stapf & Hutch
- Effect of using microwaves for catalysts preparation on the catalytic acetalization of glycerol with furfural to obtain fuel additives
- Effect of Humic Acid on the Degradation of Methylene Blue by Peroxymonosulfate
- Serum containing drugs of Gua Lou Xie Bai decoction (GLXB-D) can inhibit TGF-β1-Induced Epithelial to Mesenchymal Transition (EMT) in A549 Cells
- Antiulcer Activity of Different Extracts of Anvillea garcinii and Isolation of Two New Secondary Metabolites
- Analysis of Metabolites in Cabernet Sauvignon and Shiraz Dry Red Wines from Shanxi by 1H NMR Spectroscopy Combined with Pattern Recognition Analysis
- Can water temperature impact litter decomposition under pollution of copper and zinc mixture
- Released from ZrO2/SiO2 coating resveratrol inhibits senescence and oxidative stress of human adipose-derived stem cells (ASC)
- Validated thin-layer chromatographic method for alternative and simultaneous determination of two anti-gout agents in their fixed dose combinations
- Fast removal of pollutants from vehicle emissions during cold-start stage
- Review Article
- Catalytic activities of heterogeneous catalysts obtained by copolymerization of metal-containing 2-(acetoacetoxy)ethyl methacrylate
- Antibiotic Residue in the Aquatic Environment: Status in Africa
- Regular Articles
- Mercury fractionation in gypsum using temperature desorption and mass spectrometric detection
- Phytosynthetic Ag doped ZnO nanoparticles: Semiconducting green remediators
- Epithelial–Mesenchymal Transition Induced by SMAD4 Activation in Invasive Growth Hormone-Secreting Adenomas
- Physicochemical properties of stabilized sewage sludge admixtures by modified steel slag
- In Vitro Cytotoxic and Antiproliferative Activity of Cydonia oblonga flower petals, leaf and fruit pellet ethanolic extracts. Docking simulation of the active flavonoids on anti-apoptotic protein Bcl-2
- Synthesis and Characterization of Pd exchanged MMT Clay for Mizoroki-Heck Reaction
- A new selective, and sensitive method for the determination of lixivaptan, a vasopressin 2 (V2)-receptor antagonist, in mouse plasma and its application in a pharmacokinetic study
- Anti-EGFL7 antibodies inhibit rat prolactinoma MMQ cells proliferation and PRL secretion
- Density functional theory calculations, vibration spectral analysis and molecular docking of the antimicrobial agent 6-(1,3-benzodioxol-5-ylmethyl)-5-ethyl-2-{[2-(morpholin-4-yl)ethyl] sulfanyl}pyrimidin-4(3H)-one
- Effect of Nano Zeolite on the Transformation of Cadmium Speciation and Its Uptake by Tobacco in Cadmium-contaminated Soil
- Effects and Mechanisms of Jinniu Capsule on Methamphetamine-Induced Conditioned Place Preference in Rats
- Calculating the Degree-based Topological Indices of Dendrimers
- Efficient optimization and mineralization of UV absorbers: A comparative investigation with Fenton and UV/H2O2
- Metabolites of Tryptophane and Phenylalanine as Markers of Small Bowel Ischemia-Reperfusion Injury
- Adsorption and determination of polycyclic aromatic hydrocarbons in water through the aggregation of graphene oxide
- The role of NR2C2 in the prolactinomas
- Chromium removal from industrial wastewater using Phyllostachys pubescens biomass loaded Cu-S nanospheres
- Hydrotalcite Anchored Ruthenium Catalyst for CO2 Hydrogenation Reaction
- Preparation of Calcium Fluoride using Phosphogypsum by Orthogonal Experiment
- The mechanism of antibacterial activity of corylifolinin against three clinical bacteria from Psoralen corylifolia L
- 2-formyl-3,6-bis(hydroxymethyl)phenyl benzoate in Electrochemical Dry Cell
- Electro-photocatalytic degradation of amoxicillin using calcium titanate
- Effect of Malus halliana Koehne Polysaccharides on Functional Constipation
- Structural Properties and Nonlinear Optical Responses of Halogenated Compounds: A DFT Investigation on Molecular Modelling
- DMFDMA catalyzed synthesis of 2-((Dimethylamino)methylene)-3,4-dihydro-9-arylacridin-1(2H)-ones and their derivatives: in-vitro antifungal, antibacterial and antioxidant evaluations
- Production of Methanol as a Fuel Energy from CO2 Present in Polluted Seawater - A Photocatalytic Outlook
- Study of different extraction methods on finger print and fatty acid of raw beef fat using fourier transform infrared and gas chromatography-mass spectrometry
- Determination of trace fluoroquinolones in water solutions and in medicinal preparations by conventional and synchronous fluorescence spectrometry
- Extraction and determination of flavonoids in Carthamus tinctorius
- Therapeutic Application of Zinc and Vanadium Complexes against Diabetes Mellitus a Coronary Disease: A review
- Study of calcined eggshell as potential catalyst for biodiesel formation using used cooking oil
- Manganese oxalates - structure-based Insights
- Topological Indices of H-Naphtalenic Nanosheet
- Long-Term Dissolution of Glass Fibers in Water Described by Dissolving Cylinder Zero-Order Kinetic Model: Mass Loss and Radius Reduction
- Topological study of the para-line graphs of certain pentacene via topological indices
- A brief insight into the prediction of water vapor transmissibility in highly impermeable hybrid nanocomposites based on bromobutyl/epichlorohydrin rubber blends
- Comparative sulfite assay by voltammetry using Pt electrodes, photometry and titrimetry: Application to cider, vinegar and sugar analysis
- MicroRNA delivery mediated by PEGylated polyethylenimine for prostate cancer therapy
- Reversible Fluorescent Turn-on Sensors for Fe3+ based on a Receptor Composed of Tri-oxygen Atoms of Amide Groups in Water
- Sonocatalytic degradation of methyl orange in aqueous solution using Fe-doped TiO2 nanoparticles under mechanical agitation
- Hydrotalcite Anchored Ruthenium Catalyst for CO2 Hydrogenation Reaction
- Production and Analysis of Recycled Ammonium Perrhenate from CMSX-4 superalloys
- Topical Issue on Agriculture
- New phosphorus biofertilizers from renewable raw materials in the aspect of cadmium and lead contents in soil and plants
- Survey of content of cadmium, calcium, chromium, copper, iron, lead, magnesium, manganese, mercury, sodium and zinc in chamomile and green tea leaves by electrothermal or flame atomizer atomic absorption spectrometry
- Biogas digestate – benefits and risks for soil fertility and crop quality – an evaluation of grain maize response
- A numerical analysis of heat transfer in a cross-current heat exchanger with controlled and newly designed air flows
- Freshwater green macroalgae as a biosorbent of Cr(III) ions
- The main influencing factors of soil mechanical characteristics of the gravity erosion environment in the dry-hot valley of Jinsha river
- Free amino acids in Viola tricolor in relation to different habitat conditions
- The influence of filler amount on selected properties of new experimental resin dental composite
- Effect of poultry wastewater irrigation on nitrogen, phosphorus and carbon contents in farmland soil
- Response of spring wheat to NPK and S fertilization. The content and uptake of macronutrients and the value of ionic ratios
- The Effect of Macroalgal Extracts and Near Infrared Radiation on Germination of Soybean Seedlings: Preliminary Research Results
- Content of Zn, Cd and Pb in purple moor-grass in soils heavily contaminated with heavy metals around a zinc and lead ore tailing landfill
- Topical Issue on Research for Natural Bioactive Products
- Synthesis of (±)-3,4-dimethoxybenzyl-4-methyloctanoate as a novel internal standard for capsinoid determination by HPLC-ESI-MS/MS(QTOF)
- Repellent activity of monoterpenoid esters with neurotransmitter amino acids against yellow fever mosquito, Aedes aegypti
- Effect of Flammulina velutipes (golden needle mushroom, eno-kitake) polysaccharides on constipation
- Bioassay-directed fractionation of a blood coagulation factor Xa inhibitor, betulinic acid from Lycopus lucidus
- Antifungal and repellent activities of the essential oils from three aromatic herbs from western Himalaya
- Chemical composition and microbiological evaluation of essential oil from Hyssopus officinalis L. with white and pink flowers
- Bioassay-guided isolation and identification of Aedes aegypti larvicidal and biting deterrent compounds from Veratrum lobelianum
- α-Terpineol, a natural monoterpene: A review of its biological properties
- Utility of essential oils for development of host-based lures for Xyleborus glabratus (Coleoptera: Curculionidae: Scolytinae), vector of laurel wilt
- Phenolic composition and antioxidant potential of different organs of Kazakh Crataegus almaatensis Pojark: A comparison with the European Crataegus oxyacantha L. flowers
- Isolation of eudesmane type sesquiterpene ketone from Prangos heyniae H.Duman & M.F.Watson essential oil and mosquitocidal activity of the essential oils
- Comparative analysis of the polyphenols profiles and the antioxidant and cytotoxicity properties of various blue honeysuckle varieties
- Special Issue on ICCESEN 2017
- Modelling world energy security data from multinomial distribution by generalized linear model under different cumulative link functions
- Pine Cone and Boron Compounds Effect as Reinforcement on Mechanical and Flammability Properties of Polyester Composites
- Artificial Neural Network Modelling for Prediction of SNR Effected by Probe Properties on Ultrasonic Inspection of Austenitic Stainless Steel Weldments
- Calculation and 3D analyses of ERR in the band crack front contained in a rectangular plate made of multilayered material
- Improvement of fuel properties of biodiesel with bioadditive ethyl levulinate
- Properties of AlSi9Cu3 metal matrix micro and nano composites produced via stir casting
- Investigation of Antibacterial Properties of Ag Doped TiO2 Nanofibers Prepared by Electrospinning Process
- Modeling of Total Phenolic contents in Various Tea samples by Experimental Design Methods
- Nickel doping effect on the structural and optical properties of indium sulfide thin films by SILAR
- The effect mechanism of Ginnalin A as a homeopathic agent on various cancer cell lines
- Excitation functions of proton induced reactions of some radioisotopes used in medicine
- Oxide ionic conductivity and microstructures of Pr and Sm co-doped CeO2-based systems
- Rapid Synthesis of Metallic Reinforced in Situ Intermetallic Composites in Ti-Al-Nb System via Resistive Sintering
- Oxidation Behavior of NiCr/YSZ Thermal Barrier Coatings (TBCs)
- Clustering Analysis of Normal Strength Concretes Produced with Different Aggregate Types
- Magnetic Nano-Sized Solid Acid Catalyst Bearing Sulfonic Acid Groups for Biodiesel Synthesis
- The biological activities of Arabis alpina L. subsp. brevifolia (DC.) Cullen against food pathogens
- Humidity properties of Schiff base polymers
- Free Vibration Analysis of Fiber Metal Laminated Straight Beam
- Comparative study of in vitro antioxidant, acetylcholinesterase and butyrylcholinesterase activity of alfalfa (Medicago sativa L.) collected during different growth stages
- Isothermal Oxidation Behavior of Gadolinium Zirconate (Gd2Zr2O7) Thermal Barrier Coatings (TBCs) produced by Electron Beam Physical Vapor Deposition (EB-PVD) technique
- Optimization of Adsorption Parameters for Ultra-Fine Calcite Using a Box-Behnken Experimental Design
- The Microstructural Investigation of Vermiculite-Infiltrated Electron Beam Physical Vapor Deposition Thermal Barrier Coatings
- Modelling Porosity Permeability of Ceramic Tiles using Fuzzy Taguchi Method
- Experimental and theoretical study of a novel naphthoquinone Schiff base
- Physicochemical properties of heat treated sille stone for ceramic industry
- Sand Dune Characterization for Preparing Metallurgical Grade Silicon
- Catalytic Applications of Large Pore Sulfonic Acid-Functionalized SBA-15 Mesoporous Silica for Esterification
- One-photon Absorption Characterizations, Dipole Polarizabilities and Second Hyperpolarizabilities of Chlorophyll a and Crocin
- The Optical and Crystallite Characterization of Bilayer TiO2 Films Coated on Different ITO layers
- Topical Issue on Bond Activation
- Metal-mediated reactions towards the synthesis of a novel deaminolysed bisurea, dicarbamolyamine
- The structure of ortho-(trifluoromethyl)phenol in comparison to its homologues – A combined experimental and theoretical study
- Heterogeneous catalysis with encapsulated haem and other synthetic porphyrins: Harnessing the power of porphyrins for oxidation reactions
- Recent Advances on Mechanistic Studies on C–H Activation Catalyzed by Base Metals
- Reactions of the organoplatinum complex [Pt(cod) (neoSi)Cl] (neoSi = trimethylsilylmethyl) with the non-coordinating anions SbF6– and BPh4–
- Erratum
- Investigation on Two Compounds of O, O’-dithiophosphate Derivatives as Corrosion Inhibitors for Q235 Steel in Hydrochloric Acid Solution