Abstract
Recently, enormous research passion has been devoted to reduce air pollution caused by vehicle emissions. Effective vehicle emission control method is to convert exhaust pollutants by placing catalyst in the exhaust pipe. However, the major stumbling block is that a large portion of emission occurs in the initial 20–30 s during the engine cold-start stage, before catalyst can reach its operating temperature. To address the challenge, herein we developed a catalyst utilizing Pd and Rh as active components, Ce-Zr solid solution as assistant, γ-Al2O3 as coating and Fe-Cr-Al as supporter. The catalyst component was optimized (atom ratio of Ce:Zr is 6:4, mass ratio of Pd:Rh is 8:2, total weight of Pd and Rh is 1.2 g/L, pore density is 700 pores/inch2) and high-frequency electrical heating technique was employed to decrease operating temperature from 400°C to 350°C and improve exhaust conversion efficiency by 78%.
1 Introduction
Hydrocarbons (HCs), nitrogen oxides (NOx), carbon oxides (CO), which result from vehicle exhaust and industrial combustion of fossil fuels, are major air pollutants [1,2]. They contribute to a variety of harmful environmental effects, such as smog and acid rain [3,4], and threaten people’s life [5]. It is reported that 90% of the pollutant in nine Chinese cities comes from vehicle exhaust, industrial manufacture, coal burning, and vehicle exhaust is the primary pollution source [6]. The reduction of vehicle exhaust has become one of the greatest challenges in environmental protection [7,8,9,10,11,12].
To date, scientists have developed several traditional vehicle exhaust control methods: electrical heating catalyst, second air injection system, exhaust gas recirculation and upstream catalyst [13,14], to simultaneously convert CO, HCs and NOx into CO2, H2O and N2, respectively. Among these methods, catalysts require 20–30 s to reach operating temperature (400°C), which causes the emission of 60–80% of HCs and CO [15]. Therefore, it is crucial to find a practical and effective method to shorten the time difference between engine cold-start and exhaust conversion.
Herein, we developed a catalyst utilizing Pd and Rh as active components, Ce-Zr solid solution as assistant, γ-Al2O3 as coating and Fe-Cr-Al as supporter, to decrease operating temperature and increase exhaust conversion efficiency. With the optimization of catalyst component and the employment of a high-frequency electrical heating method, the exhaust conversion efficiency was improved by 78%.
2 Experimental
2.1 Materials
Materials included Pd(NO3)2, Rh(NO3)3, HNO3, CexZr(1–x) O2, γ-Al2O3 (Sinopharm Chemical Reagent Co., Ltd, AR); Al2O3·H2O (Jiangyan Chemicals Co., Ltd, AR); Fe-Cr-Al supporter (Corning Inc.); 10% C3H8/N2, 5000 ppm NO/N2, 50% CO/N2 (Shanghai Pujiang Special Gas Industry Co., Ltd.).
Instruments included evaluation device, vacuum extraction unit (East China University of Science and Technology); induction heater (MacDZ-10/380, Shanghai OG Electrical Co., Ltd); thermal imager (Fluke Ti2, Fluke Corporation); NOx analyzer (Model 42i-HL, Thermo Fisher Scientific); gas chromatography (9790, Fuli Analytical Instrument Co., Ltd); ball miller (QM-WX04, Nanjing University); drying oven (LC-223, Shanghai Environmental Equipment Corp.); muffle furnace (KS60-63-160, Shanghai Yifeng Co., Ltd).
2.2 Methods
2.2.1 Preparation
To prepare Pd slurry, Pd(NO3)2 solution (19.2 g, in concentration of 10%), Al2O3·H2O (l8.8 g), γ-Al2O3 (115.2 g) and Ce-Zr solid solution (28.8 g) were mixed in water (100 g) and stirred (800 rpm, 30 min). HNO3 (7.4 g, in concentration of 65–68%) was slowly added to the solution until the pH reached 3–4. After adding 30.6 g water, the mixture was milled (1200 rpm, 2 h), in which the content of oxides and Pd in the slurry was 50% and 0.6%, respectively.
To prepare the Rh slurry, Rh(NO3)3 solution (9.6 g, in concentration of 10%), Al2O3·H2O (9.4 g), γ-Al2O3 (57.6 g) and Ce-Zr solid solution (14.4 g) were mixed in water (50 g) and stirred (800 rpm, 30 min). HNO3 (3.7 g) was slowly added to the solution until pH reached 3–4. After adding 15.3 g water, the mixture was milled (1200 rpm, 2 h), in which the content of the oxides and Rh was 50% and 0.6%, respectively.
Pd and Rh slurries were then mixed in a designed ratio to prepare the catalyst. Fe-Cr-Al supporter was cut into 2 cm × 2 cm × 2 cm cubes, washed with a cleaning agent, rinsed with water, annealed in air (750°C, 3 h), and then immersed in the mixed slurry (5 min, under vacuum). The slurry-supporter composite was dried (120°C, 24 h) and calcined (550°C, 3 h). The standard mass of the catalyst should be 810 ± 20 mg, and the content of oxides and metal should be ca. 100 g/L and 1.2 g/L, respectively. If mass was lower than the standard value, a second immersion was necessary. If higher, the catalyst should be discarded.
2.2.2 Instrumentation
The properties of obtained catalysts were evaluated using the instruments shown in Figure 1 (thermocouple was settled at the center of catalysts). A seal test on the pipeline joint was conducted using soap solution before the mix gas was pumped in. The exhaust gas during the engine cold-start stage is composed of CO (1%), C3H8 (1000 ppm), NOx (1000 ppm), O2 (determined based on the theoretical air-fuel ratio of 14.6), and N2 (as a supplement), with a total gas flow of 1000 mL/(min·g).

Evaluation device.
In the normal evaluation, the reactor was heated to the setting temperature by an electric furnace (5 °C/min). The catalyst was rapidly heated via magnetic heating or via electrical heating. The reactants and products were taken after the reactor and remained at a settled temperature for 20 min. The concentration of NO and NO2 was read out from NOx analyser, and the concentration of other gases could be calculated from the gas chromatography.
Ethical approval: The conducted research is not related to either human or animals use.
3 Results and discussion
3.1 Catalyst Optimization
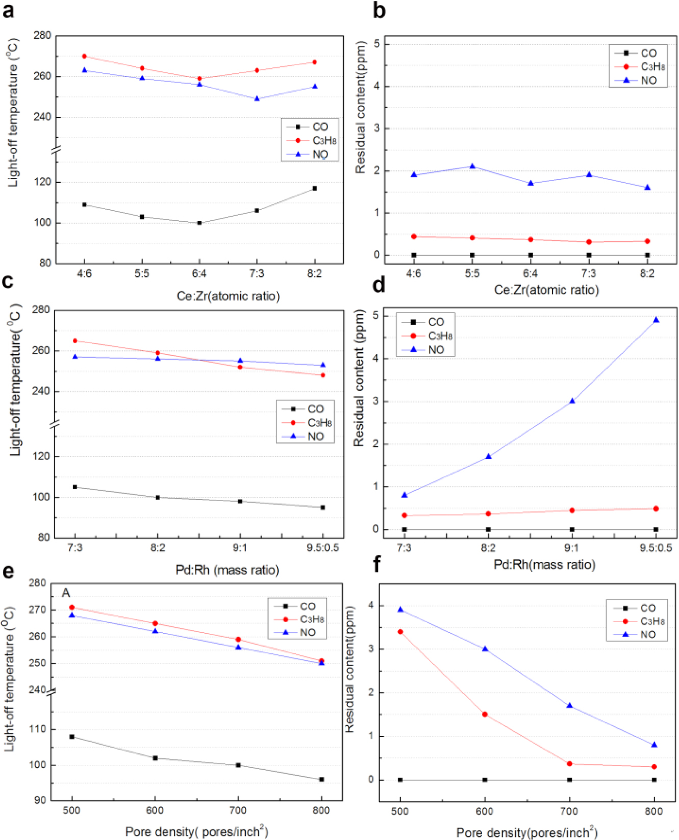
The simulation exhaust gas during the engine cold-start stage is composed of CO (1%), C3H8 (1000 ppm), NOx (1000 ppm), O2 (determined based on the theoretical air-fuel ratio of 14.6), and N2 (as a supplement), with a total gas flow of 1000 mL/(min·g). The atom ratio of Ce:Zr, mass ratio of Pd:Rh, pore density of supporter and light-off temperature (where half of a component was transformed) was utilized to evaluate catalytic properties at low temperature (Figure 2).

Effect of (a, b) Ce:Zr atom ratio, (c, d) Pd:Rh mass ratio, (e, f) pore density on light-off temperature and residual content.
Properties of catalysts with different atom ratios of Ce:Zr are depicted in Figure 2a and 2b. The light-off temperatures of CO, C3H8 and NO decrease initially and then increase when atom ratio of Ce:Zr increases from 4:6 to 8:2. The light-off temperatures of CO and C3H8 reach the lowest point at atom ratio of 6:4 while that of NO reaches its minimum at the atom ratio of 7:3. The results indicate that atom ratio of Ce:Zr should be around 6:4 for the catalyst with a low light-off temperature.
Figure 2c and 2d indicate influence of the mass ratio of Pd:Rh on the catalytic properties while keeping the total weight of Pd and Rh at 1.2 g/L. The light-off temperatures of the catalysts for CO, C3H8 and NO decrease when Pd content increase. This is beneficial for catalytic effect at low temperature, but the excessive increase in Pd content will reduce Rh content of the catalyst and make the concentration of residual NO exceed the legal emission limit. Therefore, the mass ratio of Pd:Rh should be in the range of 8:2 to 9:1 to both lower the light-off temperature and residual gas concentration.
Figure 2e and 2f show the effect of pore density of supporter on the catalytic property in which the mass ratio of Pd:Rh is 8:2, atom ratio of Ce:Zr is 6:4, and total weight of Pd and Rh is 1.2 g/L. The light-off temperatures of catalysts and the concentration of residual gases decrease with the increase of pore density of supporter. The increased efficiency of exhaust conversion is attributed to the increase of contact surface area between catalyst and exhaust. However, if pore density increases excessively, pores will be too small and easily blocked by soot particles. The engine consequently cannot work stably due to the high emissions resistance in the exhaust pipe. Thus, an optimal supporter is a compromise between its pore density and its light-off temperature.
With these data in hand, we managed to determine the optimized catalyst component: atom ratio of Ce:Zr is 6:4, mass ratio of Pd:Rh is 8:2, total weight of Pd and Rh is 1.2 g/L, pore density is 700 pores/inch2.
3.2 Transformation behaviour
We sought to probe the transformation behaviour of simulation exhaust gas over the optimized catalyst. Results were recorded in Table 1. The operating temperature is 350°C, lower than commercial emission control catalyst with an operating temperature of 400°C [13]. The residual concentration is CO (0 ppm), C3H8 (0.37 ppm), NO (1.7 ppm) and NO2 (1.4 ppm), which meets the strict emission requirement.
Residual concentration of simulated exhaust gases over optimized catalyst.
| Time/min | t/°C | CO/ppm | C3H8/ppm | NO/ppm | NO2/ppm |
|---|---|---|---|---|---|
| 0 | 25 | 10000.00 | 1000.00 | 1000.00 | 0.00 |
| 40 | 100 | 10000.00 | 1000.00 | 870.21 | 14.01 |
| 178 | 2.57 | 1022.74 | 642.07 | 7.11 | |
| 215 | 1.52 | 1015.85 | 698.02 | 11.01 | |
| 250 | 0.00 | 973.92 | 657.20 | 8.01 | |
| 300 | 0.00 | 98.04 | 410.30 | 6.10 | |
| 177 | 350 | 0.00 | 0.37 | 1.70 | 1.40 |
3.3 Fast heating method
While the optimization of the catalyst can, to some extent, lower the light-off temperature, it is still necessary to shorten the time difference between engine cold-start and the time when catalyst reaches its operating temperature. Therefore, we took a step further to investigate two fast heating methods: magnetic heating and electrical heating.
Magnetic heating was first employed, and the catalyst could reach 350°C within 10 s (under the current of 20 A), but there was a large temperature difference between the outer (350°C) and center (185°C) of the catalyst, due to the magnetic shielding effect. Thus, we utilized high-frequency electrical heating method instead. The heating experiment was conducted with a gas flow (setting temperature of 350°C, current of 20 A, current frequency of 21.9 KHz and air flow rate of 6000 mL/min). Results indicate that both outer and center temperatures reach 350°C in 5 s with an even distribution.
The experiment of simulated exhaust gas over optimized catalyst with high-frequency electrical heating was conducted (Table 2). Compared with Table 1, conversion time (5 s vs. 2 h 57 min) and residual concentration of harmful nitrogen oxides, NO (0.9 ppm vs. 1.7 ppm) and NO2 (1.2 ppm vs. 1.4 ppm), were significantly decreased, indicating that high-frequency electrical heating of catalyst could indeed improve exhaust conversion efficiency at engine cold-start stage. The residual concentration of NO is plotted to retention time (Figure 3), which shows that conversion efficiency increases by 78% compared with traditional techniques.
Residual concentration of simulated exhaust gases over optimized catalyst with high-frequency electrical heating.
| Time /s | touter/°C | tcenter/°C | CO/ppm | C3H8/ppm | NO/ppm | NO2/ppm |
|---|---|---|---|---|---|---|
| 0 | 9 | 9 | 10000 | 1000 | 1001 | 0 |
| 1 | 228 | 227 | — | — | 763 | 9 |
| 3 | 349 | 347 | — | — | 131 | 11 |
| 5 | 350 | 350 | 0 | 0.56 | 0.9 | 1.2 |
touter – the outer temperature of catalyst, tcenter – the center temperature of catalyst

Comparison of NO removal effect between traditional and novel catalyst at engine cold-start stage.
4 Conclusions
To summarize, we developed a novel catalyst for fast removal of pollutants from engine cold-start stage. The catalyst was optimized to the following component: atom ratio of Ce:Zr is 6:4, mass ratio of Pd:Rh is 8:2, total weight of Pd and Rh is 1.2 g/L, pore density is 700 pores/inch2 with Pd and Rh as active components, Ce-Zr solid solution as assistant, γ-Al2O3 as coating and Fe-Cr-Al as supporter. It is corroborated that modified catalyst starts to convert pollutants in 1 s, much faster than traditional catalyst which needs 20–30 s. Moreover, it can decrease operating temperature from 400°C to 350°C and improve exhaust conversion efficiency by 78% with the application of high-frequency electrical heating method. This novel catalyst is reliable and widely applicable, which provides a promising future in the advancement of exhaust conversion technique at engine cold-start stage.
Conflict of interest: Authors state no conflict of interest.
References
[1] Zhu J., Zhang L., Deng Y., Liu B., Dong L., Gao F., et al., Influence of preparation method on the catalytic activities of CuO/Ce0.67Zr0.33O2 catalysts in CO + O2 reaction, Appl. Catal. B-Environ., 2010, 96, 449–457.10.1016/j.apcatb.2010.03.003Search in Google Scholar
[2] Twigg M.V., Progress and future challenges in controlling automotive exhaust gas emissions, Appl. Catal. B-Environ., 2007, 70, 2–15.10.1016/j.apcatb.2006.02.029Search in Google Scholar
[3] Cheng Y., Liu Y., Huo M., Sun Q., Wang H., Chen Z., et al., Chemical characteristics of precipitation at Nanping Mangdang Mountain in eastern China during spring, J. Environ. Sci-China, 2011, 23, 1350–1358.10.1016/S1001-0742(10)60560-8Search in Google Scholar
[4] Chen N., Hong H., Huang Q., Wu J., Atmospheric nitrogen deposition and its long-term dynamics in a southeast China coastal area, J. Environ. Manage., 2011, 92, 1663–1667.10.1016/j.jenvman.2011.01.026Search in Google Scholar PubMed
[5] Tang E., Peng C., How does pollutant emission in waste gas impact on human mortality rates in Chinese geographical provinces level? Environ. Earth Sci., 2016, 75, 1259.10.1007/s12665-016-6064-9Search in Google Scholar
[6] He L.Y., Qiu L.Y., Transport demand, harmful emissions, environment and health co-benefits in China, Energ. Policy, 2016, 97, 267–275.10.1016/j.enpol.2016.07.037Search in Google Scholar
[7] Fan Z., Wang X., Qian Y., Liu X., Preparation and purifying efficiency of a new silicon carbide porous ceramics in auto exhaust emission control, Environ. Pollut. Control., 2009, 31, 63–66.Search in Google Scholar
[8] Chu R., Zhang G., Xie H., The research of application of nanotechnology in purification automobile exhaust, Environ. Sci. Manage., 2007, 32, 111–113.Search in Google Scholar
[9] Wang J., Chen H., Hu Z., Yao M., Li Y., A review on the Pd-based three-way catalyst, Catal. Rev., 2015, 57, 79–144.10.1080/01614940.2014.977059Search in Google Scholar
[10] Guo Y., Lu G., Zhang Z., Zhang S., Qi Y., Liu Y., Preparation of CexZr1–x(O2 (x = 0.75, 0.62) solid solution and its application in Pd-only three-way catalysts, Catal. Today, 2007, 126, 296–302.10.1016/j.cattod.2007.06.033Search in Google Scholar
[11] He H., Yu Y., Selective catalytic reduction of NOx over Ag/Al2O3 catalyst: from reaction mechanism to diesel engine test, Catal. Today, 2005, 100, 37–47.10.1016/j.cattod.2004.11.006Search in Google Scholar
[12] He X., The study of low-temperature light-off catalysts for exhaust gas emission control, PhD thesis, Kunming University of Science and Technology, Yunnan, China, 2011.Search in Google Scholar
[13] Jiang Z., Reflections on energy issues in China, J. Shanghai Jiaotong Univ. (Sci.), 2008, 13, 257–274.10.1007/s12204-008-0257-7Search in Google Scholar
[14] Heo I., Choung J.W., Kim P.S., Nam I.S., Song Y.I., In C.B., et al., The alteration of the performance of field-aged Pd-based TWCs towards CO and C3H6 oxidation, Appl. Catal. B-Environ., 2009, 92, 114–125.10.1016/j.apcatb.2009.07.016Search in Google Scholar
[15] Aparicio M.S.L., Canafoglia M.E., Ocsachoque M.A., Lick I.D., Botto I.L., Co-Rh modified natural zeolites as new catalytic materials to oxidize propane and naphthalene from emission sources, Open Chem., 2016, 14, 335–342.10.1515/chem-2016-0036Search in Google Scholar
© 2018 Ran Wang et al., published by De Gruyter
This work is licensed under the Creative Commons Attribution-NonCommercial-NoDerivatives 4.0 License.
Articles in the same Issue
- Regular Articles
- The effect of CuO modification for a TiO2 nanotube confined CeO2 catalyst on the catalytic combustion of butane
- The preparation and antibacterial activity of cellulose/ZnO composite: a review
- Linde Type A and nano magnetite/NaA zeolites: cytotoxicity and doxorubicin loading efficiency
- Performance and thermal decomposition analysis of foaming agent NPL-10 for use in heavy oil recovery by steam injection
- Spectroscopic (FT-IR, FT-Raman, UV, 1H and 13C NMR) insights, electronic profiling and DFT computations on ({(E)-[3-(1H-imidazol-1-yl)-1-phenylpropylidene] amino}oxy)(4-nitrophenyl)methanone, an imidazole-bearing anti-Candida agent
- A Simplistic Preliminary Assessment of Ginstling-Brounstein Model for Solid Spherical Particles in the Context of a Diffusion-Controlled Synthesis
- M-Polynomials And Topological Indices Of Zigzag And Rhombic Benzenoid Systems
- Photochemical Transformation of some 3-benzyloxy-2-(benzo[b]thiophen-2-yl)-4Hchromen-4-ones: A Remote Substituent Effect
- Dynamic Changes of Secondary Metabolites and Antioxidant Activity of Ligustrum lucidum During Fruit Growth
- Studies on the flammability of polypropylene/ammonium polyphosphate and montmorillonite by using the cone calorimeter test
- DSC, FT-IR, NIR, NIR-PCA and NIR-ANOVA for determination of chemical stability of diuretic drugs: impact of excipients
- Antioxidant and Hepatoprotective Effects of Methanolic Extracts of Zilla spinosa and Hammada elegans Against Carbon Tetrachlorideinduced Hepatotoxicity in Rats
- Prunus cerasifera Ehrh. fabricated ZnO nano falcates and its photocatalytic and dose dependent in vitro bio-activity
- Organic biocides hosted in layered double hydroxides: enhancing antimicrobial activity
- Experimental study on the regulation of the cholinergic pathway in renal macrophages by microRNA-132 to alleviate inflammatory response
- Synthesis, characterization, in-vitro antimicrobial properties, molecular docking and DFT studies of 3-{(E)-[(4,6-dimethylpyrimidin-2-yl)imino]methyl} naphthalen-2-ol and Heteroleptic Mn(II), Co(II), Ni(II) and Zn(II) complexes
- M-Polynomials and Topological Indices of Dominating David Derived Networks
- Human Health Risk Assessment of Trace Metals in Surface Water Due to Leachate from the Municipal Dumpsite by Pollution Index: A Case Study from Ndawuse River, Abuja, Nigeria
- Analysis of Bowel Diseases from Blood Serum by Autofluorescence and Atomic Force Microscopy Techniques
- Hydrographic parameters and distribution of dissolved Cu, Ni, Zn and nutrients near Jeddah desalination plant
- Relationships between diatoms and environmental variables in industrial water biotopes of Trzuskawica S.A. (Poland)
- Optimum Conversion of Major Ginsenoside Rb1 to Minor Ginsenoside Rg3(S) by Pulsed Electric Field-Assisted Acid Hydrolysis Treatment
- Antioxidant, Anti-microbial Properties and Chemical Composition of Cumin Essential Oils Extracted by Three Methods
- Regulatory mechanism of ulinastatin on autophagy of macrophages and renal tubular epithelial cells
- Investigation of the sustained-release mechanism of hydroxypropyl methyl cellulose skeleton type Acipimox tablets
- Bio-accumulation of Polycyclic Aromatic Hydrocarbons in the Grey Mangrove (Avicennia marina) along Arabian Gulf, Saudi Coast
- Dynamic Change of Secondary Metabolites and spectrum-effect relationship of Malus halliana Koehne flowers during blooming
- Lipids constituents from Gardenia aqualla Stapf & Hutch
- Effect of using microwaves for catalysts preparation on the catalytic acetalization of glycerol with furfural to obtain fuel additives
- Effect of Humic Acid on the Degradation of Methylene Blue by Peroxymonosulfate
- Serum containing drugs of Gua Lou Xie Bai decoction (GLXB-D) can inhibit TGF-β1-Induced Epithelial to Mesenchymal Transition (EMT) in A549 Cells
- Antiulcer Activity of Different Extracts of Anvillea garcinii and Isolation of Two New Secondary Metabolites
- Analysis of Metabolites in Cabernet Sauvignon and Shiraz Dry Red Wines from Shanxi by 1H NMR Spectroscopy Combined with Pattern Recognition Analysis
- Can water temperature impact litter decomposition under pollution of copper and zinc mixture
- Released from ZrO2/SiO2 coating resveratrol inhibits senescence and oxidative stress of human adipose-derived stem cells (ASC)
- Validated thin-layer chromatographic method for alternative and simultaneous determination of two anti-gout agents in their fixed dose combinations
- Fast removal of pollutants from vehicle emissions during cold-start stage
- Review Article
- Catalytic activities of heterogeneous catalysts obtained by copolymerization of metal-containing 2-(acetoacetoxy)ethyl methacrylate
- Antibiotic Residue in the Aquatic Environment: Status in Africa
- Regular Articles
- Mercury fractionation in gypsum using temperature desorption and mass spectrometric detection
- Phytosynthetic Ag doped ZnO nanoparticles: Semiconducting green remediators
- Epithelial–Mesenchymal Transition Induced by SMAD4 Activation in Invasive Growth Hormone-Secreting Adenomas
- Physicochemical properties of stabilized sewage sludge admixtures by modified steel slag
- In Vitro Cytotoxic and Antiproliferative Activity of Cydonia oblonga flower petals, leaf and fruit pellet ethanolic extracts. Docking simulation of the active flavonoids on anti-apoptotic protein Bcl-2
- Synthesis and Characterization of Pd exchanged MMT Clay for Mizoroki-Heck Reaction
- A new selective, and sensitive method for the determination of lixivaptan, a vasopressin 2 (V2)-receptor antagonist, in mouse plasma and its application in a pharmacokinetic study
- Anti-EGFL7 antibodies inhibit rat prolactinoma MMQ cells proliferation and PRL secretion
- Density functional theory calculations, vibration spectral analysis and molecular docking of the antimicrobial agent 6-(1,3-benzodioxol-5-ylmethyl)-5-ethyl-2-{[2-(morpholin-4-yl)ethyl] sulfanyl}pyrimidin-4(3H)-one
- Effect of Nano Zeolite on the Transformation of Cadmium Speciation and Its Uptake by Tobacco in Cadmium-contaminated Soil
- Effects and Mechanisms of Jinniu Capsule on Methamphetamine-Induced Conditioned Place Preference in Rats
- Calculating the Degree-based Topological Indices of Dendrimers
- Efficient optimization and mineralization of UV absorbers: A comparative investigation with Fenton and UV/H2O2
- Metabolites of Tryptophane and Phenylalanine as Markers of Small Bowel Ischemia-Reperfusion Injury
- Adsorption and determination of polycyclic aromatic hydrocarbons in water through the aggregation of graphene oxide
- The role of NR2C2 in the prolactinomas
- Chromium removal from industrial wastewater using Phyllostachys pubescens biomass loaded Cu-S nanospheres
- Hydrotalcite Anchored Ruthenium Catalyst for CO2 Hydrogenation Reaction
- Preparation of Calcium Fluoride using Phosphogypsum by Orthogonal Experiment
- The mechanism of antibacterial activity of corylifolinin against three clinical bacteria from Psoralen corylifolia L
- 2-formyl-3,6-bis(hydroxymethyl)phenyl benzoate in Electrochemical Dry Cell
- Electro-photocatalytic degradation of amoxicillin using calcium titanate
- Effect of Malus halliana Koehne Polysaccharides on Functional Constipation
- Structural Properties and Nonlinear Optical Responses of Halogenated Compounds: A DFT Investigation on Molecular Modelling
- DMFDMA catalyzed synthesis of 2-((Dimethylamino)methylene)-3,4-dihydro-9-arylacridin-1(2H)-ones and their derivatives: in-vitro antifungal, antibacterial and antioxidant evaluations
- Production of Methanol as a Fuel Energy from CO2 Present in Polluted Seawater - A Photocatalytic Outlook
- Study of different extraction methods on finger print and fatty acid of raw beef fat using fourier transform infrared and gas chromatography-mass spectrometry
- Determination of trace fluoroquinolones in water solutions and in medicinal preparations by conventional and synchronous fluorescence spectrometry
- Extraction and determination of flavonoids in Carthamus tinctorius
- Therapeutic Application of Zinc and Vanadium Complexes against Diabetes Mellitus a Coronary Disease: A review
- Study of calcined eggshell as potential catalyst for biodiesel formation using used cooking oil
- Manganese oxalates - structure-based Insights
- Topological Indices of H-Naphtalenic Nanosheet
- Long-Term Dissolution of Glass Fibers in Water Described by Dissolving Cylinder Zero-Order Kinetic Model: Mass Loss and Radius Reduction
- Topological study of the para-line graphs of certain pentacene via topological indices
- A brief insight into the prediction of water vapor transmissibility in highly impermeable hybrid nanocomposites based on bromobutyl/epichlorohydrin rubber blends
- Comparative sulfite assay by voltammetry using Pt electrodes, photometry and titrimetry: Application to cider, vinegar and sugar analysis
- MicroRNA delivery mediated by PEGylated polyethylenimine for prostate cancer therapy
- Reversible Fluorescent Turn-on Sensors for Fe3+ based on a Receptor Composed of Tri-oxygen Atoms of Amide Groups in Water
- Sonocatalytic degradation of methyl orange in aqueous solution using Fe-doped TiO2 nanoparticles under mechanical agitation
- Hydrotalcite Anchored Ruthenium Catalyst for CO2 Hydrogenation Reaction
- Production and Analysis of Recycled Ammonium Perrhenate from CMSX-4 superalloys
- Topical Issue on Agriculture
- New phosphorus biofertilizers from renewable raw materials in the aspect of cadmium and lead contents in soil and plants
- Survey of content of cadmium, calcium, chromium, copper, iron, lead, magnesium, manganese, mercury, sodium and zinc in chamomile and green tea leaves by electrothermal or flame atomizer atomic absorption spectrometry
- Biogas digestate – benefits and risks for soil fertility and crop quality – an evaluation of grain maize response
- A numerical analysis of heat transfer in a cross-current heat exchanger with controlled and newly designed air flows
- Freshwater green macroalgae as a biosorbent of Cr(III) ions
- The main influencing factors of soil mechanical characteristics of the gravity erosion environment in the dry-hot valley of Jinsha river
- Free amino acids in Viola tricolor in relation to different habitat conditions
- The influence of filler amount on selected properties of new experimental resin dental composite
- Effect of poultry wastewater irrigation on nitrogen, phosphorus and carbon contents in farmland soil
- Response of spring wheat to NPK and S fertilization. The content and uptake of macronutrients and the value of ionic ratios
- The Effect of Macroalgal Extracts and Near Infrared Radiation on Germination of Soybean Seedlings: Preliminary Research Results
- Content of Zn, Cd and Pb in purple moor-grass in soils heavily contaminated with heavy metals around a zinc and lead ore tailing landfill
- Topical Issue on Research for Natural Bioactive Products
- Synthesis of (±)-3,4-dimethoxybenzyl-4-methyloctanoate as a novel internal standard for capsinoid determination by HPLC-ESI-MS/MS(QTOF)
- Repellent activity of monoterpenoid esters with neurotransmitter amino acids against yellow fever mosquito, Aedes aegypti
- Effect of Flammulina velutipes (golden needle mushroom, eno-kitake) polysaccharides on constipation
- Bioassay-directed fractionation of a blood coagulation factor Xa inhibitor, betulinic acid from Lycopus lucidus
- Antifungal and repellent activities of the essential oils from three aromatic herbs from western Himalaya
- Chemical composition and microbiological evaluation of essential oil from Hyssopus officinalis L. with white and pink flowers
- Bioassay-guided isolation and identification of Aedes aegypti larvicidal and biting deterrent compounds from Veratrum lobelianum
- α-Terpineol, a natural monoterpene: A review of its biological properties
- Utility of essential oils for development of host-based lures for Xyleborus glabratus (Coleoptera: Curculionidae: Scolytinae), vector of laurel wilt
- Phenolic composition and antioxidant potential of different organs of Kazakh Crataegus almaatensis Pojark: A comparison with the European Crataegus oxyacantha L. flowers
- Isolation of eudesmane type sesquiterpene ketone from Prangos heyniae H.Duman & M.F.Watson essential oil and mosquitocidal activity of the essential oils
- Comparative analysis of the polyphenols profiles and the antioxidant and cytotoxicity properties of various blue honeysuckle varieties
- Special Issue on ICCESEN 2017
- Modelling world energy security data from multinomial distribution by generalized linear model under different cumulative link functions
- Pine Cone and Boron Compounds Effect as Reinforcement on Mechanical and Flammability Properties of Polyester Composites
- Artificial Neural Network Modelling for Prediction of SNR Effected by Probe Properties on Ultrasonic Inspection of Austenitic Stainless Steel Weldments
- Calculation and 3D analyses of ERR in the band crack front contained in a rectangular plate made of multilayered material
- Improvement of fuel properties of biodiesel with bioadditive ethyl levulinate
- Properties of AlSi9Cu3 metal matrix micro and nano composites produced via stir casting
- Investigation of Antibacterial Properties of Ag Doped TiO2 Nanofibers Prepared by Electrospinning Process
- Modeling of Total Phenolic contents in Various Tea samples by Experimental Design Methods
- Nickel doping effect on the structural and optical properties of indium sulfide thin films by SILAR
- The effect mechanism of Ginnalin A as a homeopathic agent on various cancer cell lines
- Excitation functions of proton induced reactions of some radioisotopes used in medicine
- Oxide ionic conductivity and microstructures of Pr and Sm co-doped CeO2-based systems
- Rapid Synthesis of Metallic Reinforced in Situ Intermetallic Composites in Ti-Al-Nb System via Resistive Sintering
- Oxidation Behavior of NiCr/YSZ Thermal Barrier Coatings (TBCs)
- Clustering Analysis of Normal Strength Concretes Produced with Different Aggregate Types
- Magnetic Nano-Sized Solid Acid Catalyst Bearing Sulfonic Acid Groups for Biodiesel Synthesis
- The biological activities of Arabis alpina L. subsp. brevifolia (DC.) Cullen against food pathogens
- Humidity properties of Schiff base polymers
- Free Vibration Analysis of Fiber Metal Laminated Straight Beam
- Comparative study of in vitro antioxidant, acetylcholinesterase and butyrylcholinesterase activity of alfalfa (Medicago sativa L.) collected during different growth stages
- Isothermal Oxidation Behavior of Gadolinium Zirconate (Gd2Zr2O7) Thermal Barrier Coatings (TBCs) produced by Electron Beam Physical Vapor Deposition (EB-PVD) technique
- Optimization of Adsorption Parameters for Ultra-Fine Calcite Using a Box-Behnken Experimental Design
- The Microstructural Investigation of Vermiculite-Infiltrated Electron Beam Physical Vapor Deposition Thermal Barrier Coatings
- Modelling Porosity Permeability of Ceramic Tiles using Fuzzy Taguchi Method
- Experimental and theoretical study of a novel naphthoquinone Schiff base
- Physicochemical properties of heat treated sille stone for ceramic industry
- Sand Dune Characterization for Preparing Metallurgical Grade Silicon
- Catalytic Applications of Large Pore Sulfonic Acid-Functionalized SBA-15 Mesoporous Silica for Esterification
- One-photon Absorption Characterizations, Dipole Polarizabilities and Second Hyperpolarizabilities of Chlorophyll a and Crocin
- The Optical and Crystallite Characterization of Bilayer TiO2 Films Coated on Different ITO layers
- Topical Issue on Bond Activation
- Metal-mediated reactions towards the synthesis of a novel deaminolysed bisurea, dicarbamolyamine
- The structure of ortho-(trifluoromethyl)phenol in comparison to its homologues – A combined experimental and theoretical study
- Heterogeneous catalysis with encapsulated haem and other synthetic porphyrins: Harnessing the power of porphyrins for oxidation reactions
- Recent Advances on Mechanistic Studies on C–H Activation Catalyzed by Base Metals
- Reactions of the organoplatinum complex [Pt(cod) (neoSi)Cl] (neoSi = trimethylsilylmethyl) with the non-coordinating anions SbF6– and BPh4–
- Erratum
- Investigation on Two Compounds of O, O’-dithiophosphate Derivatives as Corrosion Inhibitors for Q235 Steel in Hydrochloric Acid Solution
Articles in the same Issue
- Regular Articles
- The effect of CuO modification for a TiO2 nanotube confined CeO2 catalyst on the catalytic combustion of butane
- The preparation and antibacterial activity of cellulose/ZnO composite: a review
- Linde Type A and nano magnetite/NaA zeolites: cytotoxicity and doxorubicin loading efficiency
- Performance and thermal decomposition analysis of foaming agent NPL-10 for use in heavy oil recovery by steam injection
- Spectroscopic (FT-IR, FT-Raman, UV, 1H and 13C NMR) insights, electronic profiling and DFT computations on ({(E)-[3-(1H-imidazol-1-yl)-1-phenylpropylidene] amino}oxy)(4-nitrophenyl)methanone, an imidazole-bearing anti-Candida agent
- A Simplistic Preliminary Assessment of Ginstling-Brounstein Model for Solid Spherical Particles in the Context of a Diffusion-Controlled Synthesis
- M-Polynomials And Topological Indices Of Zigzag And Rhombic Benzenoid Systems
- Photochemical Transformation of some 3-benzyloxy-2-(benzo[b]thiophen-2-yl)-4Hchromen-4-ones: A Remote Substituent Effect
- Dynamic Changes of Secondary Metabolites and Antioxidant Activity of Ligustrum lucidum During Fruit Growth
- Studies on the flammability of polypropylene/ammonium polyphosphate and montmorillonite by using the cone calorimeter test
- DSC, FT-IR, NIR, NIR-PCA and NIR-ANOVA for determination of chemical stability of diuretic drugs: impact of excipients
- Antioxidant and Hepatoprotective Effects of Methanolic Extracts of Zilla spinosa and Hammada elegans Against Carbon Tetrachlorideinduced Hepatotoxicity in Rats
- Prunus cerasifera Ehrh. fabricated ZnO nano falcates and its photocatalytic and dose dependent in vitro bio-activity
- Organic biocides hosted in layered double hydroxides: enhancing antimicrobial activity
- Experimental study on the regulation of the cholinergic pathway in renal macrophages by microRNA-132 to alleviate inflammatory response
- Synthesis, characterization, in-vitro antimicrobial properties, molecular docking and DFT studies of 3-{(E)-[(4,6-dimethylpyrimidin-2-yl)imino]methyl} naphthalen-2-ol and Heteroleptic Mn(II), Co(II), Ni(II) and Zn(II) complexes
- M-Polynomials and Topological Indices of Dominating David Derived Networks
- Human Health Risk Assessment of Trace Metals in Surface Water Due to Leachate from the Municipal Dumpsite by Pollution Index: A Case Study from Ndawuse River, Abuja, Nigeria
- Analysis of Bowel Diseases from Blood Serum by Autofluorescence and Atomic Force Microscopy Techniques
- Hydrographic parameters and distribution of dissolved Cu, Ni, Zn and nutrients near Jeddah desalination plant
- Relationships between diatoms and environmental variables in industrial water biotopes of Trzuskawica S.A. (Poland)
- Optimum Conversion of Major Ginsenoside Rb1 to Minor Ginsenoside Rg3(S) by Pulsed Electric Field-Assisted Acid Hydrolysis Treatment
- Antioxidant, Anti-microbial Properties and Chemical Composition of Cumin Essential Oils Extracted by Three Methods
- Regulatory mechanism of ulinastatin on autophagy of macrophages and renal tubular epithelial cells
- Investigation of the sustained-release mechanism of hydroxypropyl methyl cellulose skeleton type Acipimox tablets
- Bio-accumulation of Polycyclic Aromatic Hydrocarbons in the Grey Mangrove (Avicennia marina) along Arabian Gulf, Saudi Coast
- Dynamic Change of Secondary Metabolites and spectrum-effect relationship of Malus halliana Koehne flowers during blooming
- Lipids constituents from Gardenia aqualla Stapf & Hutch
- Effect of using microwaves for catalysts preparation on the catalytic acetalization of glycerol with furfural to obtain fuel additives
- Effect of Humic Acid on the Degradation of Methylene Blue by Peroxymonosulfate
- Serum containing drugs of Gua Lou Xie Bai decoction (GLXB-D) can inhibit TGF-β1-Induced Epithelial to Mesenchymal Transition (EMT) in A549 Cells
- Antiulcer Activity of Different Extracts of Anvillea garcinii and Isolation of Two New Secondary Metabolites
- Analysis of Metabolites in Cabernet Sauvignon and Shiraz Dry Red Wines from Shanxi by 1H NMR Spectroscopy Combined with Pattern Recognition Analysis
- Can water temperature impact litter decomposition under pollution of copper and zinc mixture
- Released from ZrO2/SiO2 coating resveratrol inhibits senescence and oxidative stress of human adipose-derived stem cells (ASC)
- Validated thin-layer chromatographic method for alternative and simultaneous determination of two anti-gout agents in their fixed dose combinations
- Fast removal of pollutants from vehicle emissions during cold-start stage
- Review Article
- Catalytic activities of heterogeneous catalysts obtained by copolymerization of metal-containing 2-(acetoacetoxy)ethyl methacrylate
- Antibiotic Residue in the Aquatic Environment: Status in Africa
- Regular Articles
- Mercury fractionation in gypsum using temperature desorption and mass spectrometric detection
- Phytosynthetic Ag doped ZnO nanoparticles: Semiconducting green remediators
- Epithelial–Mesenchymal Transition Induced by SMAD4 Activation in Invasive Growth Hormone-Secreting Adenomas
- Physicochemical properties of stabilized sewage sludge admixtures by modified steel slag
- In Vitro Cytotoxic and Antiproliferative Activity of Cydonia oblonga flower petals, leaf and fruit pellet ethanolic extracts. Docking simulation of the active flavonoids on anti-apoptotic protein Bcl-2
- Synthesis and Characterization of Pd exchanged MMT Clay for Mizoroki-Heck Reaction
- A new selective, and sensitive method for the determination of lixivaptan, a vasopressin 2 (V2)-receptor antagonist, in mouse plasma and its application in a pharmacokinetic study
- Anti-EGFL7 antibodies inhibit rat prolactinoma MMQ cells proliferation and PRL secretion
- Density functional theory calculations, vibration spectral analysis and molecular docking of the antimicrobial agent 6-(1,3-benzodioxol-5-ylmethyl)-5-ethyl-2-{[2-(morpholin-4-yl)ethyl] sulfanyl}pyrimidin-4(3H)-one
- Effect of Nano Zeolite on the Transformation of Cadmium Speciation and Its Uptake by Tobacco in Cadmium-contaminated Soil
- Effects and Mechanisms of Jinniu Capsule on Methamphetamine-Induced Conditioned Place Preference in Rats
- Calculating the Degree-based Topological Indices of Dendrimers
- Efficient optimization and mineralization of UV absorbers: A comparative investigation with Fenton and UV/H2O2
- Metabolites of Tryptophane and Phenylalanine as Markers of Small Bowel Ischemia-Reperfusion Injury
- Adsorption and determination of polycyclic aromatic hydrocarbons in water through the aggregation of graphene oxide
- The role of NR2C2 in the prolactinomas
- Chromium removal from industrial wastewater using Phyllostachys pubescens biomass loaded Cu-S nanospheres
- Hydrotalcite Anchored Ruthenium Catalyst for CO2 Hydrogenation Reaction
- Preparation of Calcium Fluoride using Phosphogypsum by Orthogonal Experiment
- The mechanism of antibacterial activity of corylifolinin against three clinical bacteria from Psoralen corylifolia L
- 2-formyl-3,6-bis(hydroxymethyl)phenyl benzoate in Electrochemical Dry Cell
- Electro-photocatalytic degradation of amoxicillin using calcium titanate
- Effect of Malus halliana Koehne Polysaccharides on Functional Constipation
- Structural Properties and Nonlinear Optical Responses of Halogenated Compounds: A DFT Investigation on Molecular Modelling
- DMFDMA catalyzed synthesis of 2-((Dimethylamino)methylene)-3,4-dihydro-9-arylacridin-1(2H)-ones and their derivatives: in-vitro antifungal, antibacterial and antioxidant evaluations
- Production of Methanol as a Fuel Energy from CO2 Present in Polluted Seawater - A Photocatalytic Outlook
- Study of different extraction methods on finger print and fatty acid of raw beef fat using fourier transform infrared and gas chromatography-mass spectrometry
- Determination of trace fluoroquinolones in water solutions and in medicinal preparations by conventional and synchronous fluorescence spectrometry
- Extraction and determination of flavonoids in Carthamus tinctorius
- Therapeutic Application of Zinc and Vanadium Complexes against Diabetes Mellitus a Coronary Disease: A review
- Study of calcined eggshell as potential catalyst for biodiesel formation using used cooking oil
- Manganese oxalates - structure-based Insights
- Topological Indices of H-Naphtalenic Nanosheet
- Long-Term Dissolution of Glass Fibers in Water Described by Dissolving Cylinder Zero-Order Kinetic Model: Mass Loss and Radius Reduction
- Topological study of the para-line graphs of certain pentacene via topological indices
- A brief insight into the prediction of water vapor transmissibility in highly impermeable hybrid nanocomposites based on bromobutyl/epichlorohydrin rubber blends
- Comparative sulfite assay by voltammetry using Pt electrodes, photometry and titrimetry: Application to cider, vinegar and sugar analysis
- MicroRNA delivery mediated by PEGylated polyethylenimine for prostate cancer therapy
- Reversible Fluorescent Turn-on Sensors for Fe3+ based on a Receptor Composed of Tri-oxygen Atoms of Amide Groups in Water
- Sonocatalytic degradation of methyl orange in aqueous solution using Fe-doped TiO2 nanoparticles under mechanical agitation
- Hydrotalcite Anchored Ruthenium Catalyst for CO2 Hydrogenation Reaction
- Production and Analysis of Recycled Ammonium Perrhenate from CMSX-4 superalloys
- Topical Issue on Agriculture
- New phosphorus biofertilizers from renewable raw materials in the aspect of cadmium and lead contents in soil and plants
- Survey of content of cadmium, calcium, chromium, copper, iron, lead, magnesium, manganese, mercury, sodium and zinc in chamomile and green tea leaves by electrothermal or flame atomizer atomic absorption spectrometry
- Biogas digestate – benefits and risks for soil fertility and crop quality – an evaluation of grain maize response
- A numerical analysis of heat transfer in a cross-current heat exchanger with controlled and newly designed air flows
- Freshwater green macroalgae as a biosorbent of Cr(III) ions
- The main influencing factors of soil mechanical characteristics of the gravity erosion environment in the dry-hot valley of Jinsha river
- Free amino acids in Viola tricolor in relation to different habitat conditions
- The influence of filler amount on selected properties of new experimental resin dental composite
- Effect of poultry wastewater irrigation on nitrogen, phosphorus and carbon contents in farmland soil
- Response of spring wheat to NPK and S fertilization. The content and uptake of macronutrients and the value of ionic ratios
- The Effect of Macroalgal Extracts and Near Infrared Radiation on Germination of Soybean Seedlings: Preliminary Research Results
- Content of Zn, Cd and Pb in purple moor-grass in soils heavily contaminated with heavy metals around a zinc and lead ore tailing landfill
- Topical Issue on Research for Natural Bioactive Products
- Synthesis of (±)-3,4-dimethoxybenzyl-4-methyloctanoate as a novel internal standard for capsinoid determination by HPLC-ESI-MS/MS(QTOF)
- Repellent activity of monoterpenoid esters with neurotransmitter amino acids against yellow fever mosquito, Aedes aegypti
- Effect of Flammulina velutipes (golden needle mushroom, eno-kitake) polysaccharides on constipation
- Bioassay-directed fractionation of a blood coagulation factor Xa inhibitor, betulinic acid from Lycopus lucidus
- Antifungal and repellent activities of the essential oils from three aromatic herbs from western Himalaya
- Chemical composition and microbiological evaluation of essential oil from Hyssopus officinalis L. with white and pink flowers
- Bioassay-guided isolation and identification of Aedes aegypti larvicidal and biting deterrent compounds from Veratrum lobelianum
- α-Terpineol, a natural monoterpene: A review of its biological properties
- Utility of essential oils for development of host-based lures for Xyleborus glabratus (Coleoptera: Curculionidae: Scolytinae), vector of laurel wilt
- Phenolic composition and antioxidant potential of different organs of Kazakh Crataegus almaatensis Pojark: A comparison with the European Crataegus oxyacantha L. flowers
- Isolation of eudesmane type sesquiterpene ketone from Prangos heyniae H.Duman & M.F.Watson essential oil and mosquitocidal activity of the essential oils
- Comparative analysis of the polyphenols profiles and the antioxidant and cytotoxicity properties of various blue honeysuckle varieties
- Special Issue on ICCESEN 2017
- Modelling world energy security data from multinomial distribution by generalized linear model under different cumulative link functions
- Pine Cone and Boron Compounds Effect as Reinforcement on Mechanical and Flammability Properties of Polyester Composites
- Artificial Neural Network Modelling for Prediction of SNR Effected by Probe Properties on Ultrasonic Inspection of Austenitic Stainless Steel Weldments
- Calculation and 3D analyses of ERR in the band crack front contained in a rectangular plate made of multilayered material
- Improvement of fuel properties of biodiesel with bioadditive ethyl levulinate
- Properties of AlSi9Cu3 metal matrix micro and nano composites produced via stir casting
- Investigation of Antibacterial Properties of Ag Doped TiO2 Nanofibers Prepared by Electrospinning Process
- Modeling of Total Phenolic contents in Various Tea samples by Experimental Design Methods
- Nickel doping effect on the structural and optical properties of indium sulfide thin films by SILAR
- The effect mechanism of Ginnalin A as a homeopathic agent on various cancer cell lines
- Excitation functions of proton induced reactions of some radioisotopes used in medicine
- Oxide ionic conductivity and microstructures of Pr and Sm co-doped CeO2-based systems
- Rapid Synthesis of Metallic Reinforced in Situ Intermetallic Composites in Ti-Al-Nb System via Resistive Sintering
- Oxidation Behavior of NiCr/YSZ Thermal Barrier Coatings (TBCs)
- Clustering Analysis of Normal Strength Concretes Produced with Different Aggregate Types
- Magnetic Nano-Sized Solid Acid Catalyst Bearing Sulfonic Acid Groups for Biodiesel Synthesis
- The biological activities of Arabis alpina L. subsp. brevifolia (DC.) Cullen against food pathogens
- Humidity properties of Schiff base polymers
- Free Vibration Analysis of Fiber Metal Laminated Straight Beam
- Comparative study of in vitro antioxidant, acetylcholinesterase and butyrylcholinesterase activity of alfalfa (Medicago sativa L.) collected during different growth stages
- Isothermal Oxidation Behavior of Gadolinium Zirconate (Gd2Zr2O7) Thermal Barrier Coatings (TBCs) produced by Electron Beam Physical Vapor Deposition (EB-PVD) technique
- Optimization of Adsorption Parameters for Ultra-Fine Calcite Using a Box-Behnken Experimental Design
- The Microstructural Investigation of Vermiculite-Infiltrated Electron Beam Physical Vapor Deposition Thermal Barrier Coatings
- Modelling Porosity Permeability of Ceramic Tiles using Fuzzy Taguchi Method
- Experimental and theoretical study of a novel naphthoquinone Schiff base
- Physicochemical properties of heat treated sille stone for ceramic industry
- Sand Dune Characterization for Preparing Metallurgical Grade Silicon
- Catalytic Applications of Large Pore Sulfonic Acid-Functionalized SBA-15 Mesoporous Silica for Esterification
- One-photon Absorption Characterizations, Dipole Polarizabilities and Second Hyperpolarizabilities of Chlorophyll a and Crocin
- The Optical and Crystallite Characterization of Bilayer TiO2 Films Coated on Different ITO layers
- Topical Issue on Bond Activation
- Metal-mediated reactions towards the synthesis of a novel deaminolysed bisurea, dicarbamolyamine
- The structure of ortho-(trifluoromethyl)phenol in comparison to its homologues – A combined experimental and theoretical study
- Heterogeneous catalysis with encapsulated haem and other synthetic porphyrins: Harnessing the power of porphyrins for oxidation reactions
- Recent Advances on Mechanistic Studies on C–H Activation Catalyzed by Base Metals
- Reactions of the organoplatinum complex [Pt(cod) (neoSi)Cl] (neoSi = trimethylsilylmethyl) with the non-coordinating anions SbF6– and BPh4–
- Erratum
- Investigation on Two Compounds of O, O’-dithiophosphate Derivatives as Corrosion Inhibitors for Q235 Steel in Hydrochloric Acid Solution