Synthesis, characterization, in-vitro antimicrobial properties, molecular docking and DFT studies of 3-{(E)-[(4,6-dimethylpyrimidin-2-yl)imino]methyl} naphthalen-2-ol and Heteroleptic Mn(II), Co(II), Ni(II) and Zn(II) complexes
-
Festus Chioma
, Anthony C. Ekennia
, Aderoju A. Osowole , Sunday N. Okafor , Collins U. Ibeji , Damian C. Onwudiwe und Oguejiofo T. Ujam
Abstract
Heteroleptic divalent metal complexes [M(L) (bipy)(Y)]•nH2O (where M = Mn, Co, Ni, and Zn; L = Schiff base; bipy = 2,2’-bipyridine; Y = OAc and n = 0, 1) have been synthesized from pyrimidine Schiff base ligand 3-{(E)-[(4,6-dimethylpyrimidin-2-yl)imino]methyl} naphthalen-2-ol, 2,2’-bipyridine and metal(II) acetate salts. The Schiff base and its complexes were characterized by analytical (CHN elemental analyses, solubility, melting point, conductivity) measurements, spectral (IR, UV-vis, 1H and 13C-NMR and MS) and magnetometry. The elemental analyses, Uv-vis spectra and room temperature magnetic moment data provide evidence of six coordinated octahedral geometry for the complexes. The metal complexes’ low molar conductivity values in dimethylsulphoxide suggested that they were non-ionic in nature. The compounds displayed moderate to good antimicrobial and antifungal activities against S. aureus, P. aeruginosa, E. coli, B. cereus, P. mirabilis, K. oxytoca, A. niger, A. flevus and R. Stolonifer. The compounds also exhibited good antioxidant potentials with ferrous ion chelation and, 1-diphenyl-2-picryl-hydrazyl (DPPH) radical scavenging assays. Molecular docking studies showed a good interaction with drug targets used. The structural and electronic properties of complexes were further confirmed by density functional theory calculations.
Graphical Abstract

1 Introduction
The wide interest in pyrimidine-based compounds is mainly due to their applications in different areas such as pharmaceutical, agrochemical, and phytosanitary industries [1,2]. Pyrimidine is known to be a vital constituent of nucleic acids and employed as a synthetic Precursor of Bioactive molecules. There are a wide spectrum of pharmacological active compounds of pyrimidine, and its use in pharmaceuticals is becoming increasingly broad since the synthetic discovery of its substituted (amino, hydroxyl, fluoro, etc.) derivatives. Pyrimidine derivatives have been reported to exhibit various pharmacological activities such as analgesic, anti-epileptic, antiviral, anti-hypertensive minoxidil, antimycobacterial and potent phosphodiesterase inhibitors [3, 4, 5, 6]. In addition, drugs with pyrimidinyl moiety are renowned chemotherapeutic agents and have been used in cancer and tumors treatment. For example, the small molecule multikinase inhibitors (sunitinib and sorafenib) are used for advanced renal-cell carcinoma treatment [7,8]. Also, 5-fluorouracil has been applied as an efficient tumor drug while a combination of 5-fluorouracil with bevacizumab has enhanced the treatment of metastatic colorectal cancer [9]. Furthermore, the pyrimidine derivative which is a potent and selective multi-targeted receptor tyrosine kinase inhibitor drug, pazopanib, (5-(4-[(2,3-dimethyl-2H-indazoyl-6-yl)methylamino]-2-pyrimidinyl]amino-2-ethylbenzenesulfon amide) has successfully passed the pilot phase in clinical trials and the development for use in renal cell cancer treatment [10]. Reportedly, Tyrosine kinases (2HCK) actively participate in the transduction of growth factor signals by catalyzing the phosphorylation of tyrosine residues in proteins. There are usually functional modifications of the proteins and mutations of this kinase can cause cancer [11]. Cryptogein (1LRI) is a small protein that has a sterol carrier activity as it acts as a sterol shuttle that helps the pathogen grow and complete its life cycle [12]. ATPase (2OBM) is a type III secretion system (T3SS) that is involved in the initial stages of selective secretion of specialized T3SS virulence effector proteins from the bacterial cytoplasm to the infected host cell, a process crucial to subsequent pathogenicity. In addition, zidovudine and pyrrolo-pyrimidine nucleoside derivatives are in use as anti-HIV and anti-hepatitis-c drugs [13]. The many therapeutic activities exhibited by pyrimidinyl containing drug/compounds could be attributed to their low toxicity and structural diversity [14].
Pyrimidine bioactive derivatives reportedly form stable Schiff bases which can be used as molecular metal ion chelators [15]. It has also been shown that the efficacy of pyrimidine bioactive molecules is enhanced in its coordination to metal ions [16, 17, 18]. Heteroleptic metal complexes of pyrimidinyl Schiff bases bearing hetero (N and O) atoms show high kinetic and thermodynamic stabilities, mixed chelation abilities in biological fluid systems and have the ability to prevent induced cellular oxidative stress damages [1920, 21]. The design and isolation of such complexes with enhanced pharmacological applications with low or non-toxic side effects have been a major challenge in drug discovery. These observations stimulated our efforts to investigate the ligating abilities of a new Schiff base derived from 2-hydroxy-1-naphthaldehyde and 2-amino-4,6-dimithylpyrimidine towards the synthesis of mixed ligand complexes.
This paper reports the synthesis and spectral characterization of divalent Mn, Co, Ni and Cu complexes with heterocyclic bidentate Schiff base derivative of 3-{(E)-[(4,6-dimethylpyrimidin-2-yl)imino]methyl}naphthalen-2-ol and 2,2’-bipyridine. The spectroscopic, bactericidal, fungicidal, antioxidant properties, and the interaction of the compounds with drug targets by molecular docking studies of the compounds were investigated. We will show how our compounds inhibit various biochemical functions of the proteins necessary for bacteria survival and oxidative process in the body. Computational theory methods (DFT) have been reported to give further understanding to the quantitative activity relationship (QSAR) and electronic properties of complexes [22,23] and their interaction with biological systems [24,25].
2 Experimental
2.1 Materials
All analytical grade reagents/chemicals; 2-hydroxy-1-naphthaldehyde, 2-amino-4,6-dimithylpyrimidine, 2,2’-bipyridine, Mn(CH3CO2)2⋅4H2O, Co(CH3CO2)2⋅4H2O, Ni(CH3CO2)2⋅4H2O and Zn(CH3CO2)2⋅2H2O and N(C2H5)3 were, purchased from Sigma Aldrich and used without further purification. The solvents (DMSO, dichloromethane, ethanol, methanol, acetic acid) were supplied as drum grades and distilled using standard methods [26] before use.
2.2 The apparatus and physical measurements
The melting points of the ligand and complexes were determined using an open glass capillary tube on an Electro-thermal Temp-Mel melting point apparatus using open capillary tubes. Microanalysis for C, H and N was obtained on an Elementar instrument; Vario EL III CHNS analyzer. Infrared spectra of the compounds were recorded on a Perkin–Elmer Fourier-Transform Infrared Spectrum BX spectrophotometer using KBr disc in the range of 4000 to 350 cm−1. The NMR (1H and 13C) spectra of the ligand reference to tetramethylsilane (TMS) were recorded on Bruker Avance II 300 MHz NMR spectrophotometer at room temperature in d6-DMSO solvent. UV-vis spectra of the compounds were obtained at room temperature on a Lambda 25 UV/Visible double beam spectrophotometer in the range of 190–900 nm as a solid reflectance. The molar conductance of the complexes was determined on the ELICO (CM-185) Conductivity Bridge in a 10−3M DMSO solution using a dip-type conductivity cell coated with a platinum electrode. The complexes were evaluated for magnetic susceptibility on a Johnson-Mathey magnetic susceptibility balance at room temperature. Diamagnetic corrections for the magnetic susceptibility were calculated using Pascal’s constants. Likewise, the metal ion content-percentage ratios in the complexes were obtained volumetrically in the EDTA solution. The Electrospray Ionization Mass Spectrometry (ESI-MS) of the ligands were obtained by dissolving a small quantity of the material in 1–2 drops of dichloromethane, followed by dilution to about 2 mL using methanol. Mass Spectral data were recorded on a micrOTOF-Q II Mass Spectrometer in positive ion mode using pneumatically assisted electrospray ionization: capillary voltage, 2900 V; sample cone voltage, 15 V; extraction voltage, 1 V; source temperature, 80°C; desolvation temperature, 160°C; cone gas flow, 100 L h−1; desolvation gas flow, 100 L h−1; collision voltage, 2 V; MCP voltage, 2400 V. No smoothing of the data was performed and comparison of observed and calculated isotope patterns [27] was used in the ion assignment.
2.3 Synthesis
2.3.1 Synthesis of 3-{(E)-[(4,6-dimethylpyrimidin-2-yl) imino]methyl}naphthalen-2-ol, HL
The pyrimidinyl Schiff base, 3-{(E)-[(4,6-dimethylpyrimidin-2-yl)imino]methyl}naphthalen-2-ol (HL) was synthesized by a method previously reported in the literature for the synthesis of a closely related compound [16] according to (Scheme 1). 2-amino-4,6-dimethylpyrimidine (2146 mg, 0.000017 mmol) dissolved in ethanol (10 mL) was carefully added to an ethanol (20 mL) solution of 2-hydroxy-1-naphthaldehyde (3000 mg, 0.000017 mmol). Acetic acid (2.5 mL) was added to catalyze the reaction and the stirring mixture was refluxed for 6 h. After cooling in ice, a bright-yellow precipitate of the products was filtered under suction and recrystallized from ethanol and dried under a vacuum. Yield = 5060 mg, 59.30 %. mp: 194-196 °C; CHN (%)-Anal (Cald): C, 74.94 (73.89), H, 5.53 (5.47), N, 15.41, (15.23); IR(KBr) ν/cm−1: 3441b (OH), 1628s (C=N), 1593s, (C=C), 1537s (C-N), 1432s (C-C), 1290s (C-O), 981s (δC-H); UV/visible in cm−1 (Transition and molar absorptivity): 32362 (π→π* : ε = 2.1 × 105 M−1 cm−1), 29019 (n→π* : ε = 6.1 × 104 M−1cm−1); 1H-NMR (300 MHz, DMSO-d6) δ ppm: 3.34 (s, 6H, CH3), 6.65-6.66 (d, 1H, H5); 7.83-7.84 (d, 1H, H17); 7.10-7.29 (d, 1H, H12);. 7.50-7.53 (d, 1H, H16); 7.64-7.66 (d, 1H, H15); 8.08 (s, 1H, H9); 7.31 (s, 1H, H10); 14.42 (s, 1H, OH); 9.55 (s, 1H, HC=N); 13C-NMR (75 MHz, DMSO-d6) δ ppm: 108.06 (C9); 141.34 (C10); 129.24-129.52 (C18,11); 116.93 (C17,12); 126.29 (C16,13); and 124.54 (C15,14); 153.4 (C8); 182.88 (C2); 168.74 (C4,6); 119.32 (C5) and 23.44 (C19,20).

Synthesis of Schiff base ligand, HL
2.3.2 Synthesis of Metal Complexes
To a stirring solution of 3-{(E)-[(4,6-dimethylpyrimidin-2-yl)imino] methyl}naphthalen-2-ol, HL(500 mg) in ethanol (20 mL) at 50 °C, Mn(II)(CH3COO)2•4H2O (440 mg) dissolved ethanol (10 mL) was gradually added. 2,2’-bipyridine (280 mg) was added in bits to the reaction mixture and buffered with 0.3 mL of [(C2H5)3N] to maintain a pH of 8-9 range. The resulting solution was refluxed for 6 h. After this, the precipitates of the product were filtered under suction, washed with dry ethanol and dried under vacuum in a desiccator over CaCl2. The Co(II), Ni(II) and Zn(II) complexes were synthesized from their acetate salts by the same procedure. The synthesized metal complexes were non-hygroscopic and stable at room temperature and reasonably soluble only in DMSO and DMF.
[Mn(L)(bipy)(OAc)]
Yield: 590 mg, 75.20%; mp: 216-219°C; CHN (%): Anal (calcd): C, 63.90 (63.74), H, 4.62 (4.57), N, 12.85 (12.82); %metal (calcd) 10.23 (10.05); μeff(B.M.): 5.52; molecular weight(g/mol): 546.45; shade: yellowish brown; IR(KBr) ν/cm−1:1615s (C=N), 1571s (C=C), 1538s (C-N), 1362 (C-C), 1178s (C-O), 977m (δC-H), 540s (Mn-N), 497s (Mn-O); Electronic in cm−1 (transition and molar absorptivity): 35087 (π→π*: ε = 1.1 × 105 m−1 cm−1), 27100 (n→π* : ε = 5.9 × 104 M−1 cm−1), 23809 (6A1g → 4T1g : ε = 1.0 × 105 M−1 cm−1), 14970 (6A1g → 4T2g : ε = 1.1 × 105 M−1 cm−1), 12840 (6A1g → 4Eg : ε = 1.0 × 105 M−1 cm−1), molar conductance (ohm−1mol−1cm2): 4.72.
[Co(L)(bipy)(OAc)]
Yield: 340 mg, 55.9%; mp: 310-313°C; CHN (%): Anal (calcd): C, 63.40 (63.27), H, 4.63 (4.55), N, 12.88 (12.73); %metal (calcd) 10.37 (10.71); μeff(B.M.): 4.81; molecular weight (g/mol): 550.45; shade: pink; IR(KBr) ν/cm−1: 1616s (C=N), 1568s (C=C), 1528s (C-N), 1335s (C-C), 1183s (C-O), 830s (δC-H), 556s (Co-N), 499s (Co-O); Electronic in cm−1(transition and molar absorptivity): 31518 (π→π*: ε = 1.1 × 105 M−1 cm−1), 29219 (n→π*: ε = 5.7 × 104 M−1 cm−1), 22422 (4T1g→4A2g : ε = 32 M−1 cm−1), 15015 (4T1g→ 4T1g(P) : ε = 28 M−1 cm−1); molar conductance (ohm−1mol−1cm2): 8.96.
[Ni(L)(bipy)(OAc)]
Yield: 450 mg, 46.70%; mp: 314-316°C; CHN(%): Anal (calcd): C, 63.47 (63.33), H, 4.69 (4.54), N, 12.82 (12.74); %metal (calcd) 10.81 (10.67); μeff(B.M.): 3.16; molecular weight(g/mol): 550.0; shade: blueish brown; IR(KBr) ν/cm−1: 1616s (C=N), 1586s (C=C), 1527s (C-N), 1334s (C-C),1186s (C-O), 837s (δC-H), 539s (Ni-N), 457s (Ni-O); Electronic in cm−1(transition and molar absorptivity) 31830 (π→π* : ε = 1.0 × 105 M−1 cm−1), 26018 (n→π*: ε = 5.8 × 104 M−1 cm−1), 22220 (3A2g (F)→3T2g(F) : ε = 43 M−1 cm−1), 18915 (3A2g(F)→ 3T1g(F) : ε = 38 M−1 cm−1 13280(3A2g(F)→3T1g(P) : ε = 37 M−1 cm−1; molar conductance (ohm−1mol−1cm2): 5.63.
[Zn(L)(bipy)(OAc)]•H2O
Yield: 390 mg, 51.30%; mp: 289-292°C; CHN(%): Anal (Calcd): C, 60.64 (60.59), H, 4.83 (4.74), N, 12.22 (12.19); %metal (calcd) 11.44 (11.38); μeff(B.M.): 0.24; molecular weight(g/mol): 574.676; shade: bright yellow; IR(KBr) ν/cm−1: 3434b (OH), 1619s (C=N), 1589 m (C=C), 1532s (C-N), 1334 m (C-C), 1188s (C-O), 835 m (δC-H), 594 m (Cu-N), 452m (Ni-O); Electronic in cm−1(transition and molar absorptivity) : 31949 (π→π* : ε = 1.0 × 105 M−1 cm−1), 26290 (n→π* : ε = 5.6 × 104 M−1 cm−1), 23419 (M→L : ε = 1 × 105 M−1 cm−1); molar conductance (ohm−1mol−1cm2): 9.71.
2.4 Biological studies
2.4.1 Antimicrobial studies
The Schiff base, 2,2’-bipyridine and the complexes were evaluated in vitro for antibacterial activity against some clinical isolates of Bacillus subtilis and Staphylococcus aureus(Gram positive species) and Klebsiella oxytoca, Escherichia coli, Proteus mirabilis and Pseudomonas aeruginosa (Gram negative species) using a well diffusion method [28] with Muller-Hinton agar nutrient (25 mL). Similarly, the antifungal activity of the compounds was investigated for Aspergillus niger, Aspergillus flevus and R. Stolonifer (fungal species) using a well diffusion method of potato dextrose agar (PDA) as the medium. Ciprofloxacin and fluconazole were respectively employed as positive controls, and DMSO as a negative control for bacteria and fungi species. A 24 h old test 0.5 McFarland culture of each of the microbe was introduced to the germ-free agar medium. They were then poured into germ-free petri dishes, allowed to solidify and dried for about 15-20 min. With a sterilized metallic borer, 6 mm wells in each plate were bored in the agar media. The test compounds (12.5 μL of each prepared 250 μg/mL) prepared in DMSO were filled into the well using a micropipette. The bacterial and fungal plates were incubated for 24 h and 72 h at 35°C respectively. Activities were determined by evaluating the diameter of the zone displaying total inhibition (mm). Inhibition growths were compared with the positive controls. Each zone of inhibition was reported as an average of three independent experiments.
2.4.2 Antioxidant activities
2.4.2.1 Ferrous ion chelating assay
The chelating ability of ferrous ion was determined by a procedure reported in literature [29]. 1 mL of FeSO4•7H2O (400 μM in DMSO), 1 mL of 1,10-phenantroline (50 mg in 100 mL of DMSO) and 1 mL of the ligand test sample solution (1.0 mg/mL) was added to a solution containing 2 mL of DMSO, to form the reaction mixture. After about 15 mins of incubation at room temperature (301 K), absorbance of the mixture was measured spectrophotometrically at 546 nm. The blank contained the reaction mixture, except for the ligand test sample solution.
Ao: is the absorbance of the control at 30 min.
As: is the absorbance of the sample at 30 min.
2.4.2.2 2,2-diphenyl-1-picrylhydrazyl (DPPH) radical scavenging assay
The 2,2-diphenyl-1-picrylhydrazyl radical scavenging assay was used to evaluate the antioxidant activities of the synthesized compounds according to the established method. The test solution contained a mixture of 0.4 mL of various concentrations (50, 100, and 200 μg/mL) of the test compounds (ligands and their metal complexes) prepared in DMSO with 2.6 mL of a 0.025 g/L 2,2-diphenyl-1-picrylhydrazyl in DMSO. The mixture was shaken vigorously and allowed to incubate/equilibrate in the dark at room temperature for 30 minutes. Absorbance of each mixture was obtained at 517 nm against a prepared blank solution of DMSO. The 2,2-diphenyl-1-picrylhydrazyl was used to prepare the standard. Ascorbic acid served as the standard for all antioxidant studies. All measurements were carried out in triplicate, and the ability of the test compounds to chelate and scavenge ferrous ion and 2,2-diphenyl-1-picrylhydrazyl radical were determined following the expression below:
2,2-diphenyl-1-picrylhydrazyl scavenging effect
Ao: is the absorbance of the control at 30 min.
As: is the absorbance of the sample at 30 min.
2.5 Computational studies
2.5.1 Molecular Docking
2.5.1.1 Target Selection and Preparation
The key step in drug design and development is the ability to identify and select the appropriate drug target(s). We have identified and selected the following drug targets (shown in Figure 1); PDB code: 2HCK, 2OBM and 1LRI to study the antioxidant and antimicrobial activities of our compounds. They were loaded from protein data (http://www.rcsb.org). Discovery studio was used to prepare the proteins for docking.

Crystal structure of (A) hematopoietic cell kinase (2HCK)-quercetin complex, (B) ATPase (2OBM) from the type III secretion system and (C) Beta-cryptogein(1LRI)-cholesterol complex.
The energy of the protein molecules and the coordination compounds were minimized using the Energy minimization algorithm of Molecular Operating Environment (MOE, 2014) (Force field MMFF94X). The binding of the ligand molecule with the protein molecule was analyzed using MOE docking program to find the correct conformation (with the rotation of bonds, structure of molecule is not rigid).
2.5.2 Density Functional Theory Studies
Full optimization was carried out for ligands and complexes using density functional theory (DFT). Becke 3 Lee Yang par [30] (B3LYP) in conjunction with 6-31+G(d,p) basis set for all atoms except for metal ions. LANL2DZ basis set was used for metal ions (Mn, Co, Ni and Zn). B3LYP/6-31+G(d,p)+LANL2DZ has been successfully applied for metal complexes and has been reported to be suitable [31, 32, 33]. Frequency calculation was carried out to ascertain the absence of imaginary frequencies.
M(II) represent the M(II), Co(II), Ni(II) and Zn(II), Li, Lj are the coordinated ligands, m and n are the number of moles of the ligands.
The changes in enthalpy Gibb’s free energy and entropy were also determined according to equation 1. All calculations were carried out using Gaussian 09 [34].
Ethical approval: The conducted research is not related to either human or animals use.
3 Results and Discussion
3.1 Elemental and molar conductance analyses
The elemental (C, H, N) analyses results were in good agreement with the proposed chemical composition of the compounds. Also, the elemental analysis indicated the coordination of the ligands (HL and 2, 2’-bipy) in a 1:1:1 molar ratio. The complexes were generally anhydrous, except for the Zn(II) complex which had a single H2O molecule outside its coordination sphere. The molar conductance measurements obtained in DMSO for the divalent metal complexes were within 6.24–15.2 ohm−1cm2mol−1. The values indicated a non-ionic nature for the complexes, as values above 23 ohm−1cm2mol−1 and 90 ohm−1cm2mol−1 w were regularly estimated for 1:1 and 2:1 electrolytes respectively [35,36].
3.2 FTIR spectra studies
Significant infrared bands were tentatively assigned compared to literature reports of similar systems[37, 38, 39]. The IR spectrum of the ligand displayed a broad absorption band at 3441 cm−1 which was assigned to intramolecular H-bonding vibration (v O-H…N) of an enol tautomer which is common in Schiff bases bearing hydroxyl groups [40]. The band (vO-H…N) was not observed in the spectra of the metal(II) complexes indicating deprotonation of the hydroxyl group and a possible coordination of the ligand through the deprotonated naphthol oxygen atom to the metal ions. The broad band at 3434 cm−1 in the spectrum of the Zn(II) complex was attributed to the OH group of water molecules. The sharp to medium bands that appeared between 3013 and 3001 cm−1 in the spectra of the metal(II) complexes were assigned to stretching vibrations of the (Ar–H) group in the aromatic rings while the bands due to the aliphatic C-H groups of the methyl substituents were observed in the range of 2929-2913 cm−1. The spectra of the metal(II) complexes showed that the absorption band at 1628 cm−1 in the spectrum of the ligand that was assigned to the stretching vibration of the imine moiety shifted to a lower/higher frequency within the range of 1614-1667 cm−1, indicating an involvement of the imine nitrogen atom in coordination with the metal ions [41]. Furthermore, the characteristic stretching vibration bands of C=N and C=C groups were observed as lone bands in the spectra of the metal(II) complexes but shifted to lower/higher frequencies by ±10-30 cm−1 with almost equal intensity as those in the spectrum of the Schiff base around 1628 and 1639 cm−1; and 1593 and 1580 cm−1 respectively. This is supportive of the involvement of an imine N donor atom of C=N in complexation to the metal ions while the latter was indicative of an aromatic ring conjugation which is an effect of coordination [42, 43]. The splitting of the bands of the imine ν (C=N) group in the spectra of the metal(II) complexes indicated Fermi resonance [44]. The band at 1290 cm−1 in the spectrum of the Schiff base ligand that was attributed to ν (C-O) were significantly shifted to higher or lower wavenumbers in the spectra of the metal complexes as a consequence of metal coordination. The appearance of new bands around 499-452 cm−1 and 594-533 cm−1 which were assigned to vibration bands of ν (M-O) and ν (M-N) bonds in the spectra of the metal complexes [45,46] were indicative of the involvement of the enol O and imine N atoms in coordination with the metal ions.
3.3 Nuclear Magnetic Resonance (1H-and 13C-) spectral analysis
The 1H-NMR spectrum of 3-{(E)-[(4,6-dimethylpyrimidin-2-yl)imino]methyl}naph thalene-2-ol, HL (supplementary material SM1) which showed sharp singlet at 3.34 ppm was assigned to the methyl protons on the pyrimidine ring, while the proton on C5 resonated at 6.66 ppm. The napthalene ring protons (H17, H12, H16 and H15) were observed as doublets at 7.83-7.84, 7.10-7.29, 7.50-7.53 and 7.64-7.66 ppm and singlets (H9 and H10) at 8.03 ppm and 7.31 ppm respectively. Furthermore, the appearance of resonance signals at 14.42 ppm due to a phenolic proton and at 9.55 ppm due to imine moiety proton in the ligand spectrum corroborates the presence of OH and formation of the ligand. The appearance of a peak at 9.55 ppm was due to a proton of the imine moiety in the ligand and was indicative of the formation of a Schiff base ligand.
Carbon-13 NMR data reveals the carbon skeleton of organic compounds which support the assignment of the hydrogen atoms [47]⋅ The resonance signals typical of the napthalene C11-C20 atoms were observed at 108.06, 141.34, 129.5, 126.29, 124.54 and 119.32 ppm respectively. Also, the signal at 153.4 was consistent with the imine carbon atom (C8), while observed resonance signals at 182.88 ppm, 168.74 ppm and 116.8 ppm were respectively attributed to C2, C4,6 and C5 atoms of the pyrimidine moiety, and C19,20 resonated as a singlet at 23.44 ppm.
3.4 Electrospray Ionization Mass Spectrum (ESI-MS) Data
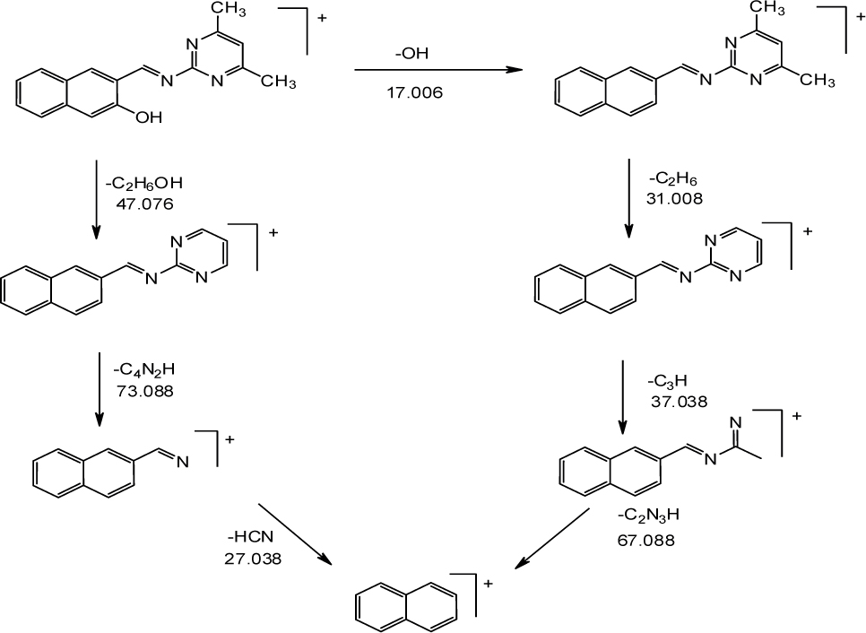
The ESI-mass spectrum (see SM2) of 3-{(E)-[(4,6-dimethylpyrimidin-2-yl)imino]methyl} naphthalen-2-ol ligand was obtained to ascertain stoichiometric compositions and the fragmentation pattern of the Schiff base ligand. The ligand mass spectrum showed two main pathways of fragmentation with a base peak m/z, 278.12 consistent with the observed formula weight (278.85) of the synthesized ligand. This corroborates the condensation of 2-hydroxy-1-napthaldehyde and 2-amino-4,6-dimethylpyrimdine to form the HL ligand. The peaks at m/z 250.17, 193.66 and 142.92 were due to a loss of the COH NC2H2O and C2N2H moieties while the peak at m/z 124.81 was probably due to the loss of OH respectively. Furthermore, the spectrum displayed a L+1 peak at m/z 279.24. Also a low intensity peak was observed at m/z 280.11 which could be attributed to extra mass units, a consequence of carbon-13 presence and another medium peak at 276.12 due to the loss of protons. Figure 2 and Scheme 1 shows the mass spectrum and the fragmentation pattern of 3-{[(4,6-dimethylpyrimidin-2-yl)imino] methyl} napthalen -2-ol respectively.
![Figure 2 Enlarged Mass Spectrum of 3-{(E)-[(4,6-dimethylpyrimidin-2-yl)imino]methyl} naphthalen-2-ol (See SM2).](/document/doi/10.1515/chem-2018-0020/asset/graphic/j_chem-2018-0020_fig_002.jpg)
Enlarged Mass Spectrum of 3-{(E)-[(4,6-dimethylpyrimidin-2-yl)imino]methyl} naphthalen-2-ol (See SM2).
3.5 Electronic spectra and magnetic moment measurements
The UV-Vis spectra of the compounds displayed intraligand (π*←n, π*←π) and intra/inter metal complex (d-d, L→MCT) transitions. The assignment of geometry to the metal complexes was (Figure 3) on the basis of electronic absorptions and room temperature magnetic moment measurements [15,48]. Two absorption bands were observed in the ultraviolet spectrum of the Schiff base ligand around 32362 and 29019 cm−1 which were consistent with π*←n and π*←πtransitions. These bands were also observed at lower wavenumbers in the spectra of the metal(II) complexes due to complexation of the ligands (HL and 2,2’-bipyridine) to the metal ions.

Proposed structure of the metal(II) complexes.
Mn(II) complexes are usually characterized by high spins and their electronic spectra are characterized by weak spins and no parity transitions. The electronic transitions often arise from the presence of a 6S ground term with an upper quartet (4G) state. High spin manganese(II) complexes exhibit three weak bands due to 6A1g→4T2g(G), 6A1g→4Eg(G), and 6A1g→4T1g transitions [49] in an octahedral field. The Mn(II) complex in our study exhibited three weak bands at 12840 cm−1, 14970 cm−1 and 23809 cm−1 and were assigned to 6A1g →4Eg (G), 6A1g →4T2g (G) and 6A1g →4T1g transitions respectively. An octahedral geometry was assigned to the Mn(II) complex. The assignment of a high spin octahedral geometry to the [Mn(L)(bipy)(OAc)] complex was consistent with an observed magnetic moment value of 5.52 B.M [50,51] that approximated the spin only magnetic moment of 5.90 B.M due to the absence of orbital contribution when 6A ground term was involved [52]. The UV spectrum of the Mn(II) complex showed two absorptions at 27100 cm−1 and 35087-31545 cm−1 and was assigned to π* ← n and π* ← π transitions respectively.
High spin Co(II) complexes with 4T2(t25e2) and2E(t26e1) configurations usually experience spin crossover equilibrium [53]. In the visible spectrum of the Co(II) complex, two absorption bands at 17182 cm−1 and 12903 cm−1 were observed in the visible spectrum of the Co(II) complex studied, while the absorption band around 5000–7000 cm−1 was not seen as it tailed into the infrared section. The observed absorption bands were typical of 4T1g→4A2g (v1) and 4T1g→4T1g(P) (v3) transitions consistent of a d7(high spin) octahedral system bearing a 4F ground term [52, 53, 54]. The non-appearance of the band due to the v2 transition in the visible region of the spectrum was due to the band feeding into the infrared region [52]. Magnetic moment values of 4.20-4.60 B.M were expected for regular tetrahedral d7 cobalt(II) complexes [55]. High spin octahedral Co(II) complexes displayed magnetic moment values that were close to that of Co2+ high spin tetrahedral complexes, but were distinguished by the magnitude of μeff deviations from the spin only value of 4.7-5.2 B.M [56]. The assignment of high spin octahedral geometry to the synthesized Co(II) complex was validated by the calculated effective magnetic moment value of 4.81 B.M since μeff of divalent cobalt complexes were likely to be higher than the spin-only value for the six coordinate octahedral complexes owing to orbital contributions [53]. The ultraviolet spectrum of the Co(II) complex showed two bands at 31518 and 29219 cm−1. The former was assigned to the π*←π transition, while the latter was consistent with π*←n transition.
![Scheme 2 Fragmentation pattern of 3-{(E)-[(4,6-dimethylpyrimidin-2-yl)imino]methyl}naph thalen-2-ol ligand.](/document/doi/10.1515/chem-2018-0020/asset/graphic/j_chem-2018-0020_fig_013.jpg)
Fragmentation pattern of 3-{(E)-[(4,6-dimethylpyrimidin-2-yl)imino]methyl}naph thalen-2-ol ligand.
High spin Ni(II) complexes are generally expected to exhibit three d-d transitions in the visible region. The Ni(II) complex showed three visible spectral bands at 13280, 18915 and 22220 cm−1 which were assigned to 3A2g(F)→3T2g(F), 3A2g(F)→3T1g(F) and 3A2g (F)→3T1g(P) transitions respectively [57,58]. This assignment was consistent with octahedral Ni(II) complexes. The magnetic susceptibility measurements of Ni(II) complexes gave values less than zero for square planar geometry due to their diamagnetic nature. The Ni(II) complex of tetrahedral geometry paramagnetic in nature possessed magnetic moments (μeff) values within 3.20-4.20 B.M [59]. A magnetic moment value of 3.16 B.M was observed for the Ni(II) complex in our study. The value conformed to a high spin octahedral geometry as octahedral Ni(II) complexes were expected to have magnetic moments within 2.90–3.30 BM. Two absorption bands were observed in the ultraviolet spectrum of the synthesized Ni(II) complex and were assigned to π*←n (26018 cm−1) and π*←π (31830 cm−1) transitions.
The electronic spectrum of the Zn(II) complex did not show any d-d transition band in its visible spectrum which was expected; but instead, a M→L charge transfer transition at 23419 cm−1 [56]. The intra-ligand bands observed in the UV spectrum at 26290 cm−1 and 31949 cm−1 region were due to π*← n and π*←π transitions. Zn(II) complexes with 3dl0(t2g6eg4) configuration displayed magnetic moments expected for zero unpaired electrons. The synthesized Zn(II) complex exhibited a magnetic susceptibility value of 0.24 B.M. which was supportive of its diamagnetism nature [60]. The Zn(II) complex was assigned an octahedral geometry
3.6 DFT Computational analysis
3.6.1 Optimized geometries
The optimized geometries of studied complexes are shown in Figure 4 with core bond length in Ångström. The bond distance of Mn(II), Ni(II) and Co(II) complexes are quite similar with about 0.01-0.05 Å except for that of Zn(II)-N which is about 1-2 Å different from others. Metal-ligand bond distances obtained agreement with similar bond distances reported in literature [25,61].

Optimized structures of metal-ligand complexes with bond distances obtained at B3LYP/6-31+G(d,p)+LANL2DZ.
3.6.2 Electronic and thermodynamic analysis
Molecular polarizability and electron densities are related to the frontier molecular orbitals [62,63] (Figure 5). The tendency for a system to donate electrons is linked to the EHOMO and overall the higher the EHOMO energy (less negative), the greater the ability to donate electrons [25,64]. As shown in Table 1, all the metal(II) complexes possess low ΔE (ELUMO − EHOMO) gap indicating high reactivity. The Mn(II) complex has a higher tendency to donate electron to an electron accepting species compared to other studied systems. The Co(II) complex has the lowest tendency to accept an electron; this is also evident in the ΔE gap indicating a lower tendency for electrons to move to the excited state.

Frontier molecular orbital (HOM-LUMO)diagram showing the distribution of electron density obtained by B3LYP/6-31+G(d,p)+LANL2DZ.
Calculated frontier molecular orbitals energies (EHOMO, EUMO, ΔE) and dipole moments of metal complexes obtained using B3LYP/6-31+G(d,p)+LANL2DZ.
| Complex | EHOMO (eV) | ELUMO (eV) | ΔE(eV) | Dipole moment (Debye) |
|---|---|---|---|---|
| [Mn(L)(bipy)(OAc)] | –5.45 | –5.32 | 0.17 | 11.21 |
| [Co(L)(bipy)(OAc)] | –7.84 | –6.80 | 1.04 | 10.34 |
| [Ni(L)(bipy)(OAc)] | –6.23 | –5.68 | 0.55 | 11.01 |
| [Zn(L)(bipy)(OAc)]•H2O | –7.31 | –6.73 | 0.56 | 10.99 |
Thermodynamic parameters of complexes are presented in Table 2. Thermodynamic stability of complexes is determined by the magnitude (more negative) ΔG [65]. ΔG is also a measure of the spontaneity of a complex formation [25,65]. The high negative ΔG value of all metal complexes shows spontaneity of complex formation. Comparing metal complexes, the magnitude of ΔG for the Mn(II) complex is larger compared to the Ni(II) complex, Co(II) complex and Zn(II) complex. This shows that the Mn(II) complex is thermodynamically more stable. Negative ΔH for all metal complexes suggests the formation of energetically favorable noncovalent interactions between atoms [65]. Entropy is denoted as the degree of disorderliness of a system [66]. The increase in negative entropies are in the order of Co(II) < Zn(II) < Ni(II) < Mn(II). This reflects the degree of freedom of ligand-metal complex formation.
Thermodynamic parameters of metal complexes obtained at B3LYP/ 6-31+G(d,p) +LANL2DZ.
| Complex | ΔG (kJ/mol) | ΔH (kJ/mol) | ΔS (J/mol/K) |
|---|---|---|---|
| [Mn(L)(bipy)(OAc)] | –822.23 | 1891.17 | –1790.74 |
| [Co(L)(bipy)(OAc)] | –734.22 | –1140.82 | –1008.33 |
| [Ni(L)(bipy)(OAc)] | –411.52 | –1822.52 | –1762.11 |
| [Zn(L)(bipy)(OAc)].H2O | –602.44 | –1542.11 | –1480.62 |
3.6.3 Natural bond orbital (NBO) analysis
The second order perturbation theory analysis of the Fock matrix in the NBO basis was calculated to determine the donor-acceptor interactions between ligand and metals. This was carried out to understand the electron delocalization between ligand and metal [67]. This is calculated as the highest stabilization energy, E2 from second perturbation theory [68]. This is defined by the equation:
Where qj is the donor orbital occupancy, εi and εj. are diagonal matrix elements and F(i, j) is the NBO Fock off diagonal matrix element.
According to Reed et al. [69] NBO terms the wave functions based on the Lewis occupied and non-Lewis unoccupied localized orbitals [69] and the strength of electron delocalization associated with E2 derived from i and j Fock matrix. A strong intramolecular charge transfer is associated with a high E2 value [63,70]. Results presented in Table 3 suggests that Mn(II) and Ni(II) had a stronger intramolecular charge transfer with an E2 value of 164.44 kcal/mol for Mn(II) as the highest due to electron delocalization around the ligand (HL). Figure 6 shows atoms involved in charge transfer. This also agrees with the result obtained for frontier molecular orbitals (ΔE gap).

Representation of intermolecular charge transfer or the complexes obtained from the Fock-matrix in NBO analysis. The curved arrows (a, b, c and d) represent the direction of charge transfer from lone pair to antibonding (LP→LP* and σ*). M = Co2+, Zn2+, Ni2+, Mn2+.
Second-order perturbation stabilization energies corresponding to the major intermolecular charge transfer interaction (Donor-Acceptor) of ligand-metal complexes obtained B3LYP/ 6-31+G(d,p)+LANL2DZ.
| Donor | Acceptor | E2(kcal/m ol) |
|---|---|---|
| [Mn(L)(bipy)(OAc)] | ||
| LP(O37) | LP∗ (Mn) | 74 |
| LP(O38) | LP∗ (Mn) | 48.22 |
| LP(N30) | LP∗ (Mn) | 164.44 |
| LP(O37) | σ∗(O13-Mn) | 30.22 |
| [co(L)(bipy((OAc]] | ||
| LP(O37) | LP∗ (Co) | 43.64 |
| LP(O38) | LP∗ (Co) | 31.11 |
| LP(N30) | LP∗ (Co) | 32.01 |
| LP(O37) | σ∗(O13-Co) | 0.81 |
| [Ni(L)(bipy)(OAc)] | ||
| LP(O37) | LP∗ (Ni) | 63 |
| LP(O38) | LP∗ (Ni) | 36.00 |
| LP(N30) | LP∗ (Ni) | 155.06 |
| LP(O37) | σ∗(O13-Ni) | 27.96 |
| Zn(L)(bipy)(OAc)] | ||
| LP(O37) | LP∗ (Zn) | 38.77 |
| LP(O38) | LP∗ (Zn) | 28.61 |
| LP(N30) | LP∗ (Zn) | 34.66 |
| LP(O37) | σ∗(O13-Zn) | 11.88 |
3.7 Antimicrobial Studies
The mean inhibitory activities of the ligands and their complexes against the tested microbes are shown in Table 4 and Table 5. Broad-spectrum antibacterial activities against pathogenic microbes have been reported for enol Schiff bases [71,72]. Coordination between biologically active Schiff bases and metal ions are important components in the design of new metal-based therapeutic agents [71]. The synthesized compounds exhibited significant activities against the screened microbes with variable grades of inhibitory properties. All the microbes were susceptible to the Schiff base ligand (3-{(E)-[(4,6-dimethylpyrimidin-2-yl)imino] methyl}naphthalen-2-ol) and 2,2’-bipyridine) with inhibitory zones of 5.5–17.0 mm and 8.5-26.0 mm respectively. The sensitivities of the microbes towards the Schiff base could be attributed to the presences of –C=N-moiety, chacoginde and nitrogen donor atoms and phenol group which have been reported to improve antibacterial/ antifungal activities [73].
Antibacterial data of ligand (HL) and the metal(II) complexes.
| Compounds | Bacillus cereus | Escherichia coli | Klebsiella oxytoca | Pseudomonas aeruginosa | Staphylococcus aureus | Proteus mirabilis |
|---|---|---|---|---|---|---|
| HL | 5.5 ± 2.1 | 17.0 ± 2.8 | 15.0 ± 0.0 | 12.0 ± 2.8 | 16.0 ± 1.4 | 14.0 ± 2.8 |
| bipy | 15.5 ± 0.7 | 12.0 ± 2.8 | 26.0 ± 2.8 | 8.5 ± 0.7 | 17.0 ± 4.2 | 19.5 ± 2.1 |
| [Mn(L)(bipy)(OAc)] | 15.0 ± 1.4 | 10.0 ± 1.4 | 15.5 ± 2.1 | 21.0 ± 2.8 | 9.5 ± 0.7 | 13.5 ± 2.1 |
| [Co(L)(bipy)(OAc)] | 16.0 ± 0.0 | 20.0 ± 1.4 | 21.5 ± 3.5 | 16.0 ± 2.8 | 18.0 ± 2.8 | 11.0 ± 2.8 |
| [Ni(L)(bipy)(OAc)] | 12.5 ± 2.1 | 14.0 ± 2.8 | 17.5 ± 3.5 | 18.5 ± 1.7 | 9.5 ± 2.1 | 16.0 ± 2.8 |
| [Zn(L)(bipy)(OAc)] • H2O | 16.0 ± 0.7 | 14.0 ± 2.8 | 8.5 ± 0.7 | 12.0 ± 1.4 | 5.5 ± 0.7 | 13.5 ± 0.7 |
| +Ciprofloxacin | 33.0 ± 3.5 | 32.0 ± 1.4 | 36.0 ± 2.8 | 26.5 ± 0.7 | 29.0 ± 2.1 | 23.0 ± 1.4 |
| -DMSO | 0.0 ± 0.0 | 0.0 ± 0.0 | 0.0 ± 0.0 | 0.0 ± 0.0 | 0.0 ± 0.0 | 0.0 ± 0.0 |
Antifungal result for ligand (HL) and the metal(II) complexes.
| Fungal/Compounds | Aspergillus niger | Aspergillus flevus | Rhizopus stolonifer |
|---|---|---|---|
| HL | 19±1.4 | 21±0.7 | - |
| Bipy | 16±1.6 | 19±1.4 | 13±0.7 |
| [Mn(L)(bipy)(OAc)] | 39±0.0 | 49±2.8 | 39±0.7 |
| [Co(L)(bipy)(OAc)] | - | 21±0.7 | 27±0.0 |
| [Ni(L)(bipy)(OAc)] | 15±0.0 | - | 29±1.0 |
| [Zn(L)(bipy)(OAc)] • H2O | 17±2.1 | 21±0.0 | - |
| + Fluconazole | 36±0.3 | 29±0.7 | 38±0.3 |
| -DMSO | - | - | - |
The metal(II) complexes were generally more active than the ligands and in some cases had comparable activity to those of the positive control drugs. The Co(II) complex had inhibitory zones of 16.0-21.5 mm against all the tested microbes’ with the exception of P. mirabilis. Additionally, Mn(II) and Ni(II) complexes showed inhibitory effects greater than that of the ligands against only P. aeruginosa and P. aeruginosa respectively. The increased sensitivity of the complexes might be attributed to hyper conjugation of the coordinated aromatic system and enhanced liposolubiliity [74] which leads to a decrease in the polarity of metal ions and raises delocalization of π-electrons over the complex ring [20]. Permeation of the metal(II) complexes through the lipid layers of the microbial membrane was favored by the latter, thus improving antimicrobial activity [20,75]. Furthermore, chelation also deactivated various cellular enzymes, essential for metabolic pathways in the microorganisms [76].The Co(II) complex displayed the best antibacterial activity of all other synthesized compounds and compared favorably to the activity of ciprofloxacin against some microbes. The compound could be an antibiotic drug research interest in the near future [77,78].
The Schiff base and its metal(II) complexes exhibited moderate to good antifungal activity against the tested fungal organisms. The results are presented in Table 5. However, R. Stolonifer was resistant to the ligand and the Zn(II) complex, while the Ni(II) and Co(II) complexes were inactive against Aspergillus flevus and Aspergillus niger.
3.8 Antioxidant Studies
3.8.1 Ferrous ion chelating ability
The synthesized compounds were studied for their antioxidant potential using ferrous ion chelating ability and 1,1-diphenyl-2-picryl-hydrazyl (DPPH) radical scavenging antioxidant assays. While the antioxidant potential of the metal complexes was assessed using only the DPPH radical scavenging assay, the Schiff base ligand was evaluated using the two assays. The antioxidant activity of the Schiff base ligand was determined by the ferrous ion-chelating assay (FICA) and was expressed as an equivalent of the standard antioxidant agent, ascorbic acid. The results presented in Figure 7 show that the ligand possessed good chelating ability towards the ferrous ion. The FICA values of 55.23% and 69.74% at concentrations of 50 and 200 mg/mL were higher than that of ascorbic acid at equivalent concentrations.

Ferrous chelating data of the ligand.
3.8.2 DPPH radical scavenging ability
The use of DPPH radical scavenging studies for antioxidant evaluation of the compounds is considered a reliable and reproducible method in antioxidant activity studies. The ligands and their complexes were screened for free radical scavenging effects with the DPPH radical at various concentrations (200, 100 and 50 g/mL) in 1mL DMSO. The results of the DPPH radical scavenging activity for the compounds on the basis of percent inhibition are presented in Figure 10. A critical examination of the values indicates that the compounds generally exhibited good DPPH radical scavenging activities. The ligands displayed DPPH radical scavenging ability values, but were lower than that of the standard drug (ascorbic acid). However, the antioxidant potentials of the ligands improved considerably after chelation with divalent metal ions. Generally, the metal complexes displayed better DPPH radical scavenging activities compared to the precursor ligands.
The antioxidant results of the compounds can be used for further studies in design of drugs for the treatment of pathological diseases arising from oxidative stress.
3.9 Molecular docking studies
The molecular docking studies were undertaken to closely examine the interaction between the synthesized compounds and some drug target proteins. The results in Table 6 show that the compounds interacted favorably with the active binding sites of the proteins. Strong binding affinities indicate that our compounds can inhibit the biochemical processes of these proteins. [Zn(L)(bipy)(OAc)]•H2O gave the highest antioxidant activity (−5.68 kcal/mol). This corroborated well with the antioxidant result in Figure 8. The binding mode of the Zn(II) complex with the drug target is shown in Figure 9. Figure 10 shows the binding mode of [Mn(L)(bipy)(OAc)] in the binding cavity of 2OBM. The ligand, HL with the highest inhibitory activity against the fungi protein (1LRI), interacted with the following active amino acid residues: TYR 47, TYR 87, LEU 15 and LEU 82 through hydrogen and hydrophobic bonding (Figure 11). The binding affinity is higher than that of the standard drug that was used.

Histogram presentation of DPPH radical scavenging results.
![Figure 9 2HCK-[Zn(L)(bipy)(OAc)]•H2O complex.](/document/doi/10.1515/chem-2018-0020/asset/graphic/j_chem-2018-0020_fig_009.jpg)
2HCK-[Zn(L)(bipy)(OAc)]•H2O complex.
![Figure 10 2OBM-[Mn(L)(bipy)(OAc)] complex.](/document/doi/10.1515/chem-2018-0020/asset/graphic/j_chem-2018-0020_fig_010.jpg)
2OBM-[Mn(L)(bipy)(OAc)] complex.

2D Ligand Interactions between 1LRI and HL.
Free binding energy(kcal/mol) of complexes and ligand.
| Compounds | Antioxidant | Antimicrobial | |
|---|---|---|---|
| 2HCK | 2OBM | 1LRI | |
| HL | -5.36 | -5.07 | -6.37 |
| [Mn(L)(bipy)(OAc)] | -4.57 | -4.86 | -4.93 |
| [Co(L)(bipy)(OAc)] | -4.74 | -4.64 | -5.43 |
| [Ni(L)(bipy)(OAc)] | -4.86 | -4.37 | -5.28 |
| [Zn(L)(bipy)(OAc)]•H2O | -5.68 | -4.61 | -5.30 |
| Co-crystallized ligand | -5.34 | -5.0 | NA |
| Ascorbic acid | -4.72 | ND | ND |
| Ciprofloxacin | ND | -4.54 | ND |
| Fluconazole | ND | ND | -5.03 |
ND: not determined, NA: not available
4 Conclusion
The proposed structures of the synthesized Schiff base ligand, HL and its Mn(II), Co(II), Ni(II) and Zn(II) complexes were on the basis of analytical and spectroscopic data. Experimental results indicate the adoption of octahedral geometry for the metal(II) complexes and the participation of the Schiff base in chelation in a bidentate fashion. The geometry of the compounds was investigated using DFT calculations and their thermodynamic and electronic parameters. Physicochemical results showed that the compounds were non-hygroscopic, solid and stable at room temperature. Generally, the metal(II) complexes displayed a better antimicrobial activity compared to the ligands. The compounds also demonstrated good ferrous-ion chelating and DPPH radical scavenging abilities which were comparable to those obtained for ascorbic acid at the same concentrations. The molecular docking studies confirmed the compounds were inhibitors of 2HCK, 2OBM and 1LRI protein drug targets.
Conflict of Interest
Conflict of Interests: Exclusively, the authors declare that there is no conflict of interest with respect to the publication of this research article.
References
[1] Theivendren P.S. James C.R., Dniandev P.V., Valzita S.K., A mini review of pyrimidine and fused pyrimidine marketed drugs, Research in Pharmacy, 2012, 2, 1-09.Suche in Google Scholar
[2] Sharma V., Chitranshi N., Agarwa A.K., Significance and biological importance of pyrimidine in the microbial world, Inter. J. Med. Chem., 2014, 1-31.10.1155/2014/202784Suche in Google Scholar PubMed PubMed Central
[3] Vega S., Alonso J., Diaz J. A., Junquera F., Synthesis of 3-substituted-4-phenyl-2-thioxo-l,2,3,4,5,6,7,8-octahydrobenzo[4,5]thieno[2,3-á]pyrimidines. J. Hetero. Chem., 1990, 27, 269-273.10.1002/jhet.5570270229Suche in Google Scholar
[4] Harshalata D., Dhongade H.J., Kavita C., Pharmacological potentials of pyrimidine derivatives: A review, Asian J. Pharm. Clin. Res., 2015, 8, 171-177.Suche in Google Scholar
[5] Balzarini J., McGuigan C., Bicyclic pyrimidine nucleoside analogues (BCNAs) as highly selective and potent inhibitors of varicella-zoster virus replication, J. Antimicrob. Chemother., 2002, 50, 5-9.10.1093/jac/dkf037Suche in Google Scholar PubMed
[6] Rana K., Kaur B., Kumar B., Synthesis and antihypertensive activity of some dihydropyrimidines, Indian J. Chem. B, 2004, 43, 1553–1557.10.1002/chin.200445173Suche in Google Scholar
[7] Atkins M., Jones C.A., Kirkpatrick P. Sunitinib maleate. Nat. Rev. Drug Discov., 2006. 5, 279-280.10.1038/nrd2012Suche in Google Scholar PubMed
[8] Wilhelm S., Carter C., Lynch M., Lowinger T., Dumas J., Smith R.A., et al., Discovery and development of sorafenib: a multikinase inhibitor for treating cancer, Nat. Rev. Drug. Discov., 2006, 5, 835-844.10.1038/nrd2130Suche in Google Scholar PubMed
[9] Ramaling S., Belani C.P., Role of bevacizumab for the treatment of non-small-cell lung cancer. Future oncology, 2007, 3, 131-139.10.2217/14796694.3.2.131Suche in Google Scholar PubMed
[10] Harris P.A., Boloor A., Cheung M., Kumar R., Crosby R.M., Davis-Ward R.G., et al., Discovery of 5-[[4-[(2,3-dimethyl-2H-indazol-6-yl)methylamino]-2-pyrimidinyl] amino]-2-methyl-benzenesulfonamide (Pazopanib), a Novel and potent vascular endothelial growth factor receptor inhibito, J. Med. Chem., 2008, 51, 4632-4640.10.1021/jm800566mSuche in Google Scholar PubMed
[11] Smietana M., Clayette P., Mialocq P., Vasseur J.-J., Joe O., A Synthesis of new N-isobutyryl-L-cysteine/MEA conjugates: Evaluation of their free radical-scavenging activities and anti-HIV properties in human macrophages, Bioorganic Chem., 2008, 36, 133–140.10.1016/j.bioorg.2008.02.001Suche in Google Scholar PubMed
[12] Lascombe M.B., Ponchet M., Venard P., Milat M.L., Blein J.P., Prange T., The 1.45 A resolution structure of the cryptogein-cholesterol complex: a close-up view of a sterol carrier protein (SCP) active site, Acta Crystallogr. Sect. D, 2002. 58, 1442-1447.10.1107/S0907444902011745Suche in Google Scholar PubMed
[13] Kappe C.O., 100 years of the biginelli dihydropyrimidine synthesis, Tetrahedron, 1993, 49, 6937-6963.10.1016/S0040-4020(01)87971-0Suche in Google Scholar
[14] Espinet P., Esteruelas M.A., Oro L.A., Serrano J.L., Sola E., Transition metal liquid crystals: advanced materials within the reach of the coordination chemist, Coord. Chem. Reviews, 1992, 117, 215-274.10.1016/0010-8545(92)80025-MSuche in Google Scholar
[15] Osowole A.A., Festus, C., Synthesis, characterization and antibacterial activities of some metal(II)complexes of 3-(-1-(2-pyrimidinylimino)methyl-2-napthol, Elixir Appl. Chem., 2013, 59, 15843-15847.10.9734/IRJPAC/2012/1540Suche in Google Scholar
[16] Osowole A.A., Festus C., Synthesis, Characterization, antibacterial and antioxidant activities of some heteroleptic metal(II) complexes of 3-{[-(pyrimidin-2-yl) Imino]methyl} napthalen-2-ol, J. Chem. Bio. Phy. Sci., 2015, 6, 080-089.Suche in Google Scholar
[17] Sönmez M., Sogukomerogullari H. G., Öztemel F., Berber I., Synthesis and biological evaluation of a novel ONS tridentate Schiff base bearing pyrimidine ring and some metal complexes, Med. Chem. Res., 2014, 23, 3451–3457.10.1007/s00044-014-0925-0Suche in Google Scholar
[18] Gulcan M., Özdemir S., Dündar A., Ispir E., Kurtoğ lu M., Mononuclear complexes based on pyrimidine ring azo Schiff-Base ligand: synthesis, characterization, antioxidant, antibacterial, and thermal investigations, Z. Anorg. Allg. Chem, 2014, 640, 1754-1762.10.1002/zaac.201400078Suche in Google Scholar
[19] Mildvan A.S., Cohn M., Kinetic and magnetic resonance studies of the pyruvate kinase reaction II complexes of enzyme, metal and substrates, J. Bio. Chem., 1966, 241, 1178-1193.10.1016/S0021-9258(18)96818-3Suche in Google Scholar
[20] Al-Amiery A.A., Kadhum A.A.H., Mohamad A.B., Antifungal and Antioxidant Activities of Pyrrolidone Thiosemicarbazone Complexes. Bioinorg. Chem. Appl., 2012, 6 pages, Article ID 795812, 10.1155/2012/795812.Suche in Google Scholar PubMed PubMed Central
[21] Tetteh S., Dodoo D.K., Appiah-Opong, R., Tuffour, I., Spectroscopic characterization, in vitro cytotoxicity, and antioxidant activity of mixed ligand palladium(II) chloride complexes bearing nucleobases, J. Inorg. Chem., 2014. 2014, 7 pages, Article ID 586131, 10.1155/2014/586131Suche in Google Scholar
[22] Chung W.-K., Ng M., Zhu N., Siu S. K.-L., Yam V. W.-W., Synthesis, characterization and computational studies of luminescent rhenium (I) tricarbonyl diimine complexes with 8-hydroxyquinoline-containing alkynyl ligands. Journal of Organomet. Chem., 2017, 847, 278-288.10.1016/j.jorganchem.2017.04.016Suche in Google Scholar
[23] Bezuidenhout D.I., Fernández I., van der Westhuizen B., Swarts P. J., Swarts J. C., Electrochemical and computational study of tungsten (0) ferrocene complexes: observation of the mono-oxidized tungsten (0) ferrocenium species and intramolecular electronic interactions. Organometallics, 2013, 32, 7334-7344.10.1021/om400865mSuche in Google Scholar
[24] Ardjani A.T.E., Mekelleche S.M., Theoretical study of the structure, spectroscopic properties and anti-cancer activity of tetrahydrochromeno[4,3-b]quinolines, J. Theore. and Comp. Chem., 2015. 117b pages, Article ID1550052, 10.1142/S0219633615500522Suche in Google Scholar
[25] Ekennia A.C., Osowole A.A., Olosunkanmi L.O., Onwudiwe D.C., Olubiyi, O. O., Eno, E. E., Synthesis, characterization, DFT calculations and molecular docking studies of metal(II) complexes, J. Mol. Struct., 2017, 1150, 279-292.10.1016/j.molstruc.2017.08.085Suche in Google Scholar
[26] Mendham J. Denney R. C., Barnes J., Thomas M., Vogel’s textbook of quantitative chemical analysis. 6 ed. 2000: Pearson Education Limited,.Suche in Google Scholar
[27] Patiny L., Borel A., ChemCalc: a building block for tomorrow’s chemical infrastructure J. Chem. Inf. and Model., 2013. 53, 1223-1228.10.1021/ci300563hSuche in Google Scholar
[28] Pelczar M.J., Chan E.C.S., Krieg N.R. Microbiology: Concepts and Applications. 1st ed. McGraw-Hill Inc, New York, USA, 1993.Suche in Google Scholar
[29] Benzie I.F.F., Strain J.J., The Ferric Reducing Ability of Plasma (FRAP) as a Measure of “Antioxidant Power”: The FRAP Assay, Anal. Biochem., 1996, 239, 70-76.10.1006/abio.1996.0292Suche in Google Scholar
[30] Becke A.D., Density-functional thermochemistry. I. The effect of the exchange-only gradient correction, J. Chem. Phys., 1992, 96, 2155-2160.10.1063/1.462066Suche in Google Scholar
[31] Tang B., Ye J.-H., Ju X.-H., Computational study of coordinated Ni(II) complex with high nitrogen content ligands. ISRN organic chemistry, 2011, 5 pages, Article ID 920753, 2011. 10.5402/2011/920753Suche in Google Scholar
[32] Gorelsky S.I., Basumallick L., Vura-Weis J., Sarangi R., Hodgson K.O., Hedman B., Fujisawa K., Solomon E.I., Spectroscopic and DFT Investigation of [M {HB (3, 5-i Pr2pz) 3}(SC6F5)](M= Mn, Fe, Co, Ni, Cu, and Zn) Model Complexes: Periodic Trends in Metal–Thiolate Bonding. Inorg. Chem., 2005, 44, 4947-4960.10.1021/ic050371mSuche in Google Scholar
[33] Chen L., Liu T., Ma C-a., Metal complexation and biodegradation of EDTA and S, S-EDDS: a density functional theory study, J. Phys. Chem. A, 2009, 114, 443-454.10.1021/jp904296mSuche in Google Scholar
[34] Frisch M.J., Trucks G.W., Schlegel H.B., Scuseria G.E., Robb M.A.et al., Gaussian 09, revision D. 01. 2009, Gaussian, Inc., Wallingford CT.Suche in Google Scholar
[35] Geary W.J., The use of conductivity measurements in organic solvents for the characterisation of coordination compounds, Coord. Chem. Rev., 1971. 7, 81-122.10.1016/S0010-8545(00)80009-0Suche in Google Scholar
[36] Thaker B.T., Surati K.R., Oswal S., Jadeja R.N., Gupta V.K., Synthesis, spectral, thermal and crystallographic investigations on oxovanadium(IV) and manganese(III) complexes derived from heterocyclic Î2-diketone and 2-amino ethanol, Struct. Chem., 2007, 18, 295-310.10.1007/s11224-006-9134-xSuche in Google Scholar
[37] Kumar S.K., Chityala V.K., Subhashini N.J.P. Prashanthi Y. Synthesis, Characterization, and biological and cytotoxic studies of copper(II), nickel(II), and zinc(II) binary complexes of 3-amino-5-methyl Isoxazole Schiff base. ISRN Inorganic Chemistry, 2013, 7 pages, Article ID 562082, 10.1155/2013/562082Suche in Google Scholar
[38] Suparna G., Synthesis and pharmacological studies of some bivalent metal complexes with Schiff based ligand derived from xipamide, Der Pharma Chemica, 2013, 5, 232-235.Suche in Google Scholar
[39] Ahmed N., Riaz, M., Ahmed A., Bhagat M., Synthesis, characterisation, and biological evaluation of Zn(II) complex with tridentate (NNO Donor) Schiff base ligand, Inter. J. Inorg. Chem., 2015, 5 pages Article ID 607178, 10.1155/2015/607178Suche in Google Scholar
[40] Gup R., Kirkan B., Synthesis and spectroscopic studies of copper(II) and nickel(II) complexes containing hydrazonic ligands and heterocyclic coligand, Spectrochim. Acta Part A, 2005. 62, 1188–1195.10.1016/j.saa.2005.04.015Suche in Google Scholar PubMed
[41] Anitha C., S. Sumathi S., Tharmaraj P., Sheela C. D., Synthesis, Characterization, and biological activity of some transition metal complexes derived from novel hydrazone azo Schiff base ligand, Inter. J. Inorg. Chem., 2011, 8 pages, Article ID 493942, 2011. 10.1155/2011/493942Suche in Google Scholar
[42] Ismail K.Z., Synthesis, spectroscopic, magnetic and biological activity studies of copper(II) complexes of an antipyrine Schiff base, Trans. Met. Chem., 2000. 25, 522-528.10.1023/A:1007072911095Suche in Google Scholar
[43] Jayabalakrishnan C., Natarajan K., Ruthenium(II) carbonyl complexes with tridentate Schiff bases and their antibacterial activity, Trans. Me.Chem., 2002. 27, 75-79.10.1023/A:1013437203247Suche in Google Scholar
[44] Kalsi P.S., Spectroscopy of organic compounds. 6th ed., New age international publishers, New Dehli, India, 2004,Suche in Google Scholar
[45] Emara A.A.A., Structural, spectral and biological studies of binuclear tetradentate metal complexes of N3O Schiff base ligand synthesized from 4,6-diacetylresorcinol and diethylenetriamine, Spectrochim. Acta Part A: Mol. and Biomol. Spectrosc., 2010. 77, 117-125.10.1016/j.saa.2010.04.036Suche in Google Scholar PubMed
[46] Joshi K.R., Rojivadiya A.J., Pandya J.H., Synthesis and Spectroscopic and antimicrobial studies of Schiff base metal complexes derived from 2-hydroxy-3-methoxy-5-nitrobenzaldehyde, Inter. J. Inorg. Chem., 2014, 8 pages, Article ID 817412, 10.1155/2014/817412Suche in Google Scholar
[47] Vollhardt K.P.C., Schore, N.E. Organic Chemistry: Structure and Function. 5th ed., W. H. Freeman and Company, New York, NY, USA, 2007.Suche in Google Scholar
[48] Chohan Z.H., Synthesis, characterization and biological properties of bivalent transition metal complexes of Co(II), Cu(II), Ni(II), and Zn(II) with some acylhydrazine derived from furanyl and thienyl ONO and SNO donor Schiff base ligands. Synth. React. Inorg. Met.-org. Chem., 2001. 31, 1-6.10.1081/SIM-100001928Suche in Google Scholar
[49] Abu-el S.M.W., Issa, R.M. The preparation of a series of Mn(II) complexes of the type [Mn(SB)SO2], Bulletin de la Soci´et´e Chimique de France, 1989. 5, 595-598.Suche in Google Scholar
[50] Osowole A.A., Kempe R. Schobert R., Synthesis, spectral, thermal, In-vitro antibacterial and anticancer activities of some metal(II) complexes of 3-(-1-(4-methoxy-6-methyl)-2-pyrimidinylimino)methyl-2-napthol, Inter. Res. J. Pure and Applied Chem., 2012, 2, 105-129.10.9734/IRJPAC/2012/1540Suche in Google Scholar
[51] Lever A.B.P., Inorganic Electronic spectroscopy, 4th ed. Elsevier Applied Science, New York, 1969.10.1063/1.3035225Suche in Google Scholar
[52] Earnshaw A., The Introduction to Magnetochemistry, 1st ed., Academic Press, 1980, London, UK.10.1016/B978-1-4832-3198-3.50005-9Suche in Google Scholar
[53] Cotton F.A., Wlkinson, G., Murillo, C. A., and Bochmann, M., Advanced Inorganic Chemistry, 6th ed., John wiley, New York, 1999.Suche in Google Scholar
[54] Purell K.F., Kotz, J.C., Inorganic Chemistry, Holt-Saunders International Edition, W.B. Saunders Company, Philadelphia, 1997.Suche in Google Scholar
[55] Sönmez M., Levent A. Åžekerci M., Synthesis, characterization, and thermal investigation of some metal complexes containing polydentate ONO-donor heterocyclic Schiff base ligand, Russian J. Coord. Chem., 2004, 30, 655-660.10.1023/B:RUCO.0000040726.57728.a3Suche in Google Scholar
[56] Yamada S., Recent aspects of the stereochemistry of Schiff base metal complexes, Coord. Chem. Rev., 1966, 1, 415-437.10.1016/S0010-8545(00)80184-8Suche in Google Scholar
[57] Makode J.T., Aswar A.S., Synthesis, characterization, biological and thermal properties of some new Schiff base complexes derived from 2-hydroxyl-5-chloroacetophenone and s-methyldithiocarbazate, Indian J. Chem., 2004, 43, 2120-2125.Suche in Google Scholar
[58] Atmaram K.M., Kirian V.M., Synthesis, characterization and antimicrobial activity of mixed Schiff base ligand complexes of transition metal(II) ions, Intl J. ChemTech. Res., 2011, 3, 477-482.Suche in Google Scholar
[59] Gaber M., Mabrouk H.E., Al-Shihry S., Complexing behaviour of naphthylidenesulfa methazine Schiff base ligand towards some metal ions, Egyptian J. Chem., 2001. 44, 191-200.Suche in Google Scholar
[60] Rama K.R.K., Suneetha P., Karigar C.S., Manjnath N.H., Mahendra K.N., Cobalt(II), Ni(II), Cu (II), Zn (II), Cd (II), Hg (II), UO2 (VI) and Th (IV) complexes from ONNN Schiff base ligand, J. Chilean Chem. Soc., 2008, 53, 1653-1657.10.4067/S0717-97072008000400003Suche in Google Scholar
[61] Nimmermark A., Öhrström L., Reedijk J., Metal-ligand bond lengths and strengths: are they correlated? A detailed CSD analysis, Z. Kristallogr. Cryst. Mater., 2013, 228, 311-317.10.1524/zkri.2013.1605Suche in Google Scholar
[62] Dumont R.S., Effects of charging and polarization on molecular conduction via the source-sink potential method, Canadian J. Chem., 2013, 92, 100-111.10.1139/cjc-2013-0227Suche in Google Scholar
[63] Abdur Rauf S. M., Arvidsson P. I., Albericio F., Govender T., Maguire G.l., Kruger H.G., et al., The effect of N-methylation of amino acids (Ac-X-OMe) on solubility and conformation: a DFT study, Org. Biomole. Chem., 2015, 13, 9993-10006.10.1039/C5OB01565KSuche in Google Scholar
[64] Ibeji C.U., Adejoro I.A., Adeleke B. B., A benchmark study on the properties of unsubstituted and some substituted polypyrroles, J. Phys. Chem. Biophys., 2015, 5, 1, 10.4172/2161-0398.1000193Suche in Google Scholar
[65] Du X., Li Y., Xia Y-L, Ai S-M., Liang J., Sang P., Ji X-L., Liu S-Q., Insights into Protein-Ligand Interactions: Mechanisms, Models, and Methods, Int. J. Mol. Sci., 2016. 17, pii: E144. 10.3390/ijms17020144.Suche in Google Scholar PubMed PubMed Central
[66] Alecu I., Zheng J., Zhao Y., Truhlar D.G., Computational thermochemistry: scale factor databases and scale factors for vibrational frequencies obtained from electronic model chemistries, J. Chem. Theory Comput., 2010, 6, 2872-2887.10.1021/ct100326hSuche in Google Scholar
[67] Liu J.-n., Chen Z.-r., Yuan S.-f., Study on the prediction of visible absorption maxima of azobenzene compounds, J. Zhejiang University Sci. B, 2005, 6, 584-589.10.1631/jzus.2005.B0584Suche in Google Scholar
[68] James C., Raj A.A., Reghunathan R., Jayakumar V., Joe I.H., Structural conformation and vibrational spectroscopic studies of 2, 6-bis (p-N, N-dimethyl benzylidene) cyclohexanone using density functional theory, J. Raman Spectrosc., 2006, 37, 1381-1392.10.1002/jrs.1554Suche in Google Scholar
[69] Reed A.E., Curtiss L.A., Weinhold F., Intermolecular interactions from a natural bond orbital, donor-acceptor viewpoint, Chem. Rev., 1988, 88, 899-926.10.1021/cr00088a005Suche in Google Scholar
[70] Kavitha E., Sundaraganesan N., Sebastian S., Kurt M., Molecular structure, anharmonic vibrational frequencies and NBO analysis of naphthalene acetic acid by density functional theory calculations, Spectrochimica Acta Part A: Molecular and Biomolecular Spectroscopy, 2010, 77, 612-619.10.1016/j.saa.2010.06.034Suche in Google Scholar
[71] Huang Z., Lin Z., Huang J., A novel kind of antitumour drugs using sulfonamide as parent compound, Eur. J. Med. Chem., 2001, 36, 863-872.10.1016/S0223-5234(01)01285-5Suche in Google Scholar
[72] Patel M.N., Joshi H.N., Patel C.R., Copper(II) complexes with norfloxacin and neutral terpyridines: Cytotoxic, antibacterial, superoxide dismutase and DNA-interaction approach, Polyhedron, 2012, 40, 159-167.10.1016/j.poly.2012.03.050Suche in Google Scholar
[73] Osowole A.A., Fagade O.E., Synthesis, Characterization and Biopotency of Some Metal(II) β-Ketoiminates and Their Mixed-ligand Complexes, Polish J. Chem., 2007, 81, 2039–2048.Suche in Google Scholar
[74] Osowole A.A., Osowole A.A., Ekennia A.C., Olubiyi O.O., Olagunju M., Synthesis, spectral, thermal, antibacterial and molecular docking studies of some metal(II) complexes of 2-(1,3-benzothiazol-2-ylamino)naphthalene-1,4-dione, Res. on Chem. Intermediates, 2016, 43, 2565-2585.10.1007/s11164-016-2780-8Suche in Google Scholar
[75] Ajibade P.A. and Idemudia O.G., Synthesis, Characterization, and Antibacterial Studies of Pd(II) and Pt(II) Complexes of Some Diaminopyrimidine Derivatives, Bioinorg. Chem. and Appl., 2013, 2013, 8. Article ID 549549, http://dx.doi.org/10.1155/2013/54954910.1155/2013/549549Suche in Google Scholar PubMed PubMed Central
[76] Abuo-Melha K.S., Faruk H., Bimetallic complexes of Schiff base bis-[4-hydroxy coumarin-3-yl]-1N15N thiocarbohydrazone as a potentially diabasic pentadendate ligand: synthesis, spectral, and antimicrobial properties, J. Iran. Chem. Soc., 2008, 5, 122-134.10.1007/BF03245825Suche in Google Scholar
[77] Osowole A. A. and Ott I., Synthesis, characterization, in-vitro anticancer and antimicrobial properties of some metal(II) complexes of 4-[(2,3-dihydro-1H-inden-4-ylimino) methyl] benzene-2,4-diol, Inter. Res. J. Pure and Applied Chem., 2012, 2, 156-169.10.9734/IRJPAC/2012/1541Suche in Google Scholar
[78] Ajibade P.A. and Zulu N.H., Metal complexes of diisopropylthiourea: Synthesis, characterization and antibacterial studies, Int. J. Mol. Sci., 2011, 12, 7186-7198.10.3390/ijms12107186Suche in Google Scholar PubMed PubMed Central
© 2018 Festus Chioma et al., published by De Gruyter
This work is licensed under the Creative Commons Attribution-NonCommercial-NoDerivatives 4.0 License.
Artikel in diesem Heft
- Regular Articles
- The effect of CuO modification for a TiO2 nanotube confined CeO2 catalyst on the catalytic combustion of butane
- The preparation and antibacterial activity of cellulose/ZnO composite: a review
- Linde Type A and nano magnetite/NaA zeolites: cytotoxicity and doxorubicin loading efficiency
- Performance and thermal decomposition analysis of foaming agent NPL-10 for use in heavy oil recovery by steam injection
- Spectroscopic (FT-IR, FT-Raman, UV, 1H and 13C NMR) insights, electronic profiling and DFT computations on ({(E)-[3-(1H-imidazol-1-yl)-1-phenylpropylidene] amino}oxy)(4-nitrophenyl)methanone, an imidazole-bearing anti-Candida agent
- A Simplistic Preliminary Assessment of Ginstling-Brounstein Model for Solid Spherical Particles in the Context of a Diffusion-Controlled Synthesis
- M-Polynomials And Topological Indices Of Zigzag And Rhombic Benzenoid Systems
- Photochemical Transformation of some 3-benzyloxy-2-(benzo[b]thiophen-2-yl)-4Hchromen-4-ones: A Remote Substituent Effect
- Dynamic Changes of Secondary Metabolites and Antioxidant Activity of Ligustrum lucidum During Fruit Growth
- Studies on the flammability of polypropylene/ammonium polyphosphate and montmorillonite by using the cone calorimeter test
- DSC, FT-IR, NIR, NIR-PCA and NIR-ANOVA for determination of chemical stability of diuretic drugs: impact of excipients
- Antioxidant and Hepatoprotective Effects of Methanolic Extracts of Zilla spinosa and Hammada elegans Against Carbon Tetrachlorideinduced Hepatotoxicity in Rats
- Prunus cerasifera Ehrh. fabricated ZnO nano falcates and its photocatalytic and dose dependent in vitro bio-activity
- Organic biocides hosted in layered double hydroxides: enhancing antimicrobial activity
- Experimental study on the regulation of the cholinergic pathway in renal macrophages by microRNA-132 to alleviate inflammatory response
- Synthesis, characterization, in-vitro antimicrobial properties, molecular docking and DFT studies of 3-{(E)-[(4,6-dimethylpyrimidin-2-yl)imino]methyl} naphthalen-2-ol and Heteroleptic Mn(II), Co(II), Ni(II) and Zn(II) complexes
- M-Polynomials and Topological Indices of Dominating David Derived Networks
- Human Health Risk Assessment of Trace Metals in Surface Water Due to Leachate from the Municipal Dumpsite by Pollution Index: A Case Study from Ndawuse River, Abuja, Nigeria
- Analysis of Bowel Diseases from Blood Serum by Autofluorescence and Atomic Force Microscopy Techniques
- Hydrographic parameters and distribution of dissolved Cu, Ni, Zn and nutrients near Jeddah desalination plant
- Relationships between diatoms and environmental variables in industrial water biotopes of Trzuskawica S.A. (Poland)
- Optimum Conversion of Major Ginsenoside Rb1 to Minor Ginsenoside Rg3(S) by Pulsed Electric Field-Assisted Acid Hydrolysis Treatment
- Antioxidant, Anti-microbial Properties and Chemical Composition of Cumin Essential Oils Extracted by Three Methods
- Regulatory mechanism of ulinastatin on autophagy of macrophages and renal tubular epithelial cells
- Investigation of the sustained-release mechanism of hydroxypropyl methyl cellulose skeleton type Acipimox tablets
- Bio-accumulation of Polycyclic Aromatic Hydrocarbons in the Grey Mangrove (Avicennia marina) along Arabian Gulf, Saudi Coast
- Dynamic Change of Secondary Metabolites and spectrum-effect relationship of Malus halliana Koehne flowers during blooming
- Lipids constituents from Gardenia aqualla Stapf & Hutch
- Effect of using microwaves for catalysts preparation on the catalytic acetalization of glycerol with furfural to obtain fuel additives
- Effect of Humic Acid on the Degradation of Methylene Blue by Peroxymonosulfate
- Serum containing drugs of Gua Lou Xie Bai decoction (GLXB-D) can inhibit TGF-β1-Induced Epithelial to Mesenchymal Transition (EMT) in A549 Cells
- Antiulcer Activity of Different Extracts of Anvillea garcinii and Isolation of Two New Secondary Metabolites
- Analysis of Metabolites in Cabernet Sauvignon and Shiraz Dry Red Wines from Shanxi by 1H NMR Spectroscopy Combined with Pattern Recognition Analysis
- Can water temperature impact litter decomposition under pollution of copper and zinc mixture
- Released from ZrO2/SiO2 coating resveratrol inhibits senescence and oxidative stress of human adipose-derived stem cells (ASC)
- Validated thin-layer chromatographic method for alternative and simultaneous determination of two anti-gout agents in their fixed dose combinations
- Fast removal of pollutants from vehicle emissions during cold-start stage
- Review Article
- Catalytic activities of heterogeneous catalysts obtained by copolymerization of metal-containing 2-(acetoacetoxy)ethyl methacrylate
- Antibiotic Residue in the Aquatic Environment: Status in Africa
- Regular Articles
- Mercury fractionation in gypsum using temperature desorption and mass spectrometric detection
- Phytosynthetic Ag doped ZnO nanoparticles: Semiconducting green remediators
- Epithelial–Mesenchymal Transition Induced by SMAD4 Activation in Invasive Growth Hormone-Secreting Adenomas
- Physicochemical properties of stabilized sewage sludge admixtures by modified steel slag
- In Vitro Cytotoxic and Antiproliferative Activity of Cydonia oblonga flower petals, leaf and fruit pellet ethanolic extracts. Docking simulation of the active flavonoids on anti-apoptotic protein Bcl-2
- Synthesis and Characterization of Pd exchanged MMT Clay for Mizoroki-Heck Reaction
- A new selective, and sensitive method for the determination of lixivaptan, a vasopressin 2 (V2)-receptor antagonist, in mouse plasma and its application in a pharmacokinetic study
- Anti-EGFL7 antibodies inhibit rat prolactinoma MMQ cells proliferation and PRL secretion
- Density functional theory calculations, vibration spectral analysis and molecular docking of the antimicrobial agent 6-(1,3-benzodioxol-5-ylmethyl)-5-ethyl-2-{[2-(morpholin-4-yl)ethyl] sulfanyl}pyrimidin-4(3H)-one
- Effect of Nano Zeolite on the Transformation of Cadmium Speciation and Its Uptake by Tobacco in Cadmium-contaminated Soil
- Effects and Mechanisms of Jinniu Capsule on Methamphetamine-Induced Conditioned Place Preference in Rats
- Calculating the Degree-based Topological Indices of Dendrimers
- Efficient optimization and mineralization of UV absorbers: A comparative investigation with Fenton and UV/H2O2
- Metabolites of Tryptophane and Phenylalanine as Markers of Small Bowel Ischemia-Reperfusion Injury
- Adsorption and determination of polycyclic aromatic hydrocarbons in water through the aggregation of graphene oxide
- The role of NR2C2 in the prolactinomas
- Chromium removal from industrial wastewater using Phyllostachys pubescens biomass loaded Cu-S nanospheres
- Hydrotalcite Anchored Ruthenium Catalyst for CO2 Hydrogenation Reaction
- Preparation of Calcium Fluoride using Phosphogypsum by Orthogonal Experiment
- The mechanism of antibacterial activity of corylifolinin against three clinical bacteria from Psoralen corylifolia L
- 2-formyl-3,6-bis(hydroxymethyl)phenyl benzoate in Electrochemical Dry Cell
- Electro-photocatalytic degradation of amoxicillin using calcium titanate
- Effect of Malus halliana Koehne Polysaccharides on Functional Constipation
- Structural Properties and Nonlinear Optical Responses of Halogenated Compounds: A DFT Investigation on Molecular Modelling
- DMFDMA catalyzed synthesis of 2-((Dimethylamino)methylene)-3,4-dihydro-9-arylacridin-1(2H)-ones and their derivatives: in-vitro antifungal, antibacterial and antioxidant evaluations
- Production of Methanol as a Fuel Energy from CO2 Present in Polluted Seawater - A Photocatalytic Outlook
- Study of different extraction methods on finger print and fatty acid of raw beef fat using fourier transform infrared and gas chromatography-mass spectrometry
- Determination of trace fluoroquinolones in water solutions and in medicinal preparations by conventional and synchronous fluorescence spectrometry
- Extraction and determination of flavonoids in Carthamus tinctorius
- Therapeutic Application of Zinc and Vanadium Complexes against Diabetes Mellitus a Coronary Disease: A review
- Study of calcined eggshell as potential catalyst for biodiesel formation using used cooking oil
- Manganese oxalates - structure-based Insights
- Topological Indices of H-Naphtalenic Nanosheet
- Long-Term Dissolution of Glass Fibers in Water Described by Dissolving Cylinder Zero-Order Kinetic Model: Mass Loss and Radius Reduction
- Topological study of the para-line graphs of certain pentacene via topological indices
- A brief insight into the prediction of water vapor transmissibility in highly impermeable hybrid nanocomposites based on bromobutyl/epichlorohydrin rubber blends
- Comparative sulfite assay by voltammetry using Pt electrodes, photometry and titrimetry: Application to cider, vinegar and sugar analysis
- MicroRNA delivery mediated by PEGylated polyethylenimine for prostate cancer therapy
- Reversible Fluorescent Turn-on Sensors for Fe3+ based on a Receptor Composed of Tri-oxygen Atoms of Amide Groups in Water
- Sonocatalytic degradation of methyl orange in aqueous solution using Fe-doped TiO2 nanoparticles under mechanical agitation
- Hydrotalcite Anchored Ruthenium Catalyst for CO2 Hydrogenation Reaction
- Production and Analysis of Recycled Ammonium Perrhenate from CMSX-4 superalloys
- Topical Issue on Agriculture
- New phosphorus biofertilizers from renewable raw materials in the aspect of cadmium and lead contents in soil and plants
- Survey of content of cadmium, calcium, chromium, copper, iron, lead, magnesium, manganese, mercury, sodium and zinc in chamomile and green tea leaves by electrothermal or flame atomizer atomic absorption spectrometry
- Biogas digestate – benefits and risks for soil fertility and crop quality – an evaluation of grain maize response
- A numerical analysis of heat transfer in a cross-current heat exchanger with controlled and newly designed air flows
- Freshwater green macroalgae as a biosorbent of Cr(III) ions
- The main influencing factors of soil mechanical characteristics of the gravity erosion environment in the dry-hot valley of Jinsha river
- Free amino acids in Viola tricolor in relation to different habitat conditions
- The influence of filler amount on selected properties of new experimental resin dental composite
- Effect of poultry wastewater irrigation on nitrogen, phosphorus and carbon contents in farmland soil
- Response of spring wheat to NPK and S fertilization. The content and uptake of macronutrients and the value of ionic ratios
- The Effect of Macroalgal Extracts and Near Infrared Radiation on Germination of Soybean Seedlings: Preliminary Research Results
- Content of Zn, Cd and Pb in purple moor-grass in soils heavily contaminated with heavy metals around a zinc and lead ore tailing landfill
- Topical Issue on Research for Natural Bioactive Products
- Synthesis of (±)-3,4-dimethoxybenzyl-4-methyloctanoate as a novel internal standard for capsinoid determination by HPLC-ESI-MS/MS(QTOF)
- Repellent activity of monoterpenoid esters with neurotransmitter amino acids against yellow fever mosquito, Aedes aegypti
- Effect of Flammulina velutipes (golden needle mushroom, eno-kitake) polysaccharides on constipation
- Bioassay-directed fractionation of a blood coagulation factor Xa inhibitor, betulinic acid from Lycopus lucidus
- Antifungal and repellent activities of the essential oils from three aromatic herbs from western Himalaya
- Chemical composition and microbiological evaluation of essential oil from Hyssopus officinalis L. with white and pink flowers
- Bioassay-guided isolation and identification of Aedes aegypti larvicidal and biting deterrent compounds from Veratrum lobelianum
- α-Terpineol, a natural monoterpene: A review of its biological properties
- Utility of essential oils for development of host-based lures for Xyleborus glabratus (Coleoptera: Curculionidae: Scolytinae), vector of laurel wilt
- Phenolic composition and antioxidant potential of different organs of Kazakh Crataegus almaatensis Pojark: A comparison with the European Crataegus oxyacantha L. flowers
- Isolation of eudesmane type sesquiterpene ketone from Prangos heyniae H.Duman & M.F.Watson essential oil and mosquitocidal activity of the essential oils
- Comparative analysis of the polyphenols profiles and the antioxidant and cytotoxicity properties of various blue honeysuckle varieties
- Special Issue on ICCESEN 2017
- Modelling world energy security data from multinomial distribution by generalized linear model under different cumulative link functions
- Pine Cone and Boron Compounds Effect as Reinforcement on Mechanical and Flammability Properties of Polyester Composites
- Artificial Neural Network Modelling for Prediction of SNR Effected by Probe Properties on Ultrasonic Inspection of Austenitic Stainless Steel Weldments
- Calculation and 3D analyses of ERR in the band crack front contained in a rectangular plate made of multilayered material
- Improvement of fuel properties of biodiesel with bioadditive ethyl levulinate
- Properties of AlSi9Cu3 metal matrix micro and nano composites produced via stir casting
- Investigation of Antibacterial Properties of Ag Doped TiO2 Nanofibers Prepared by Electrospinning Process
- Modeling of Total Phenolic contents in Various Tea samples by Experimental Design Methods
- Nickel doping effect on the structural and optical properties of indium sulfide thin films by SILAR
- The effect mechanism of Ginnalin A as a homeopathic agent on various cancer cell lines
- Excitation functions of proton induced reactions of some radioisotopes used in medicine
- Oxide ionic conductivity and microstructures of Pr and Sm co-doped CeO2-based systems
- Rapid Synthesis of Metallic Reinforced in Situ Intermetallic Composites in Ti-Al-Nb System via Resistive Sintering
- Oxidation Behavior of NiCr/YSZ Thermal Barrier Coatings (TBCs)
- Clustering Analysis of Normal Strength Concretes Produced with Different Aggregate Types
- Magnetic Nano-Sized Solid Acid Catalyst Bearing Sulfonic Acid Groups for Biodiesel Synthesis
- The biological activities of Arabis alpina L. subsp. brevifolia (DC.) Cullen against food pathogens
- Humidity properties of Schiff base polymers
- Free Vibration Analysis of Fiber Metal Laminated Straight Beam
- Comparative study of in vitro antioxidant, acetylcholinesterase and butyrylcholinesterase activity of alfalfa (Medicago sativa L.) collected during different growth stages
- Isothermal Oxidation Behavior of Gadolinium Zirconate (Gd2Zr2O7) Thermal Barrier Coatings (TBCs) produced by Electron Beam Physical Vapor Deposition (EB-PVD) technique
- Optimization of Adsorption Parameters for Ultra-Fine Calcite Using a Box-Behnken Experimental Design
- The Microstructural Investigation of Vermiculite-Infiltrated Electron Beam Physical Vapor Deposition Thermal Barrier Coatings
- Modelling Porosity Permeability of Ceramic Tiles using Fuzzy Taguchi Method
- Experimental and theoretical study of a novel naphthoquinone Schiff base
- Physicochemical properties of heat treated sille stone for ceramic industry
- Sand Dune Characterization for Preparing Metallurgical Grade Silicon
- Catalytic Applications of Large Pore Sulfonic Acid-Functionalized SBA-15 Mesoporous Silica for Esterification
- One-photon Absorption Characterizations, Dipole Polarizabilities and Second Hyperpolarizabilities of Chlorophyll a and Crocin
- The Optical and Crystallite Characterization of Bilayer TiO2 Films Coated on Different ITO layers
- Topical Issue on Bond Activation
- Metal-mediated reactions towards the synthesis of a novel deaminolysed bisurea, dicarbamolyamine
- The structure of ortho-(trifluoromethyl)phenol in comparison to its homologues – A combined experimental and theoretical study
- Heterogeneous catalysis with encapsulated haem and other synthetic porphyrins: Harnessing the power of porphyrins for oxidation reactions
- Recent Advances on Mechanistic Studies on C–H Activation Catalyzed by Base Metals
- Reactions of the organoplatinum complex [Pt(cod) (neoSi)Cl] (neoSi = trimethylsilylmethyl) with the non-coordinating anions SbF6– and BPh4–
- Erratum
- Investigation on Two Compounds of O, O’-dithiophosphate Derivatives as Corrosion Inhibitors for Q235 Steel in Hydrochloric Acid Solution
Artikel in diesem Heft
- Regular Articles
- The effect of CuO modification for a TiO2 nanotube confined CeO2 catalyst on the catalytic combustion of butane
- The preparation and antibacterial activity of cellulose/ZnO composite: a review
- Linde Type A and nano magnetite/NaA zeolites: cytotoxicity and doxorubicin loading efficiency
- Performance and thermal decomposition analysis of foaming agent NPL-10 for use in heavy oil recovery by steam injection
- Spectroscopic (FT-IR, FT-Raman, UV, 1H and 13C NMR) insights, electronic profiling and DFT computations on ({(E)-[3-(1H-imidazol-1-yl)-1-phenylpropylidene] amino}oxy)(4-nitrophenyl)methanone, an imidazole-bearing anti-Candida agent
- A Simplistic Preliminary Assessment of Ginstling-Brounstein Model for Solid Spherical Particles in the Context of a Diffusion-Controlled Synthesis
- M-Polynomials And Topological Indices Of Zigzag And Rhombic Benzenoid Systems
- Photochemical Transformation of some 3-benzyloxy-2-(benzo[b]thiophen-2-yl)-4Hchromen-4-ones: A Remote Substituent Effect
- Dynamic Changes of Secondary Metabolites and Antioxidant Activity of Ligustrum lucidum During Fruit Growth
- Studies on the flammability of polypropylene/ammonium polyphosphate and montmorillonite by using the cone calorimeter test
- DSC, FT-IR, NIR, NIR-PCA and NIR-ANOVA for determination of chemical stability of diuretic drugs: impact of excipients
- Antioxidant and Hepatoprotective Effects of Methanolic Extracts of Zilla spinosa and Hammada elegans Against Carbon Tetrachlorideinduced Hepatotoxicity in Rats
- Prunus cerasifera Ehrh. fabricated ZnO nano falcates and its photocatalytic and dose dependent in vitro bio-activity
- Organic biocides hosted in layered double hydroxides: enhancing antimicrobial activity
- Experimental study on the regulation of the cholinergic pathway in renal macrophages by microRNA-132 to alleviate inflammatory response
- Synthesis, characterization, in-vitro antimicrobial properties, molecular docking and DFT studies of 3-{(E)-[(4,6-dimethylpyrimidin-2-yl)imino]methyl} naphthalen-2-ol and Heteroleptic Mn(II), Co(II), Ni(II) and Zn(II) complexes
- M-Polynomials and Topological Indices of Dominating David Derived Networks
- Human Health Risk Assessment of Trace Metals in Surface Water Due to Leachate from the Municipal Dumpsite by Pollution Index: A Case Study from Ndawuse River, Abuja, Nigeria
- Analysis of Bowel Diseases from Blood Serum by Autofluorescence and Atomic Force Microscopy Techniques
- Hydrographic parameters and distribution of dissolved Cu, Ni, Zn and nutrients near Jeddah desalination plant
- Relationships between diatoms and environmental variables in industrial water biotopes of Trzuskawica S.A. (Poland)
- Optimum Conversion of Major Ginsenoside Rb1 to Minor Ginsenoside Rg3(S) by Pulsed Electric Field-Assisted Acid Hydrolysis Treatment
- Antioxidant, Anti-microbial Properties and Chemical Composition of Cumin Essential Oils Extracted by Three Methods
- Regulatory mechanism of ulinastatin on autophagy of macrophages and renal tubular epithelial cells
- Investigation of the sustained-release mechanism of hydroxypropyl methyl cellulose skeleton type Acipimox tablets
- Bio-accumulation of Polycyclic Aromatic Hydrocarbons in the Grey Mangrove (Avicennia marina) along Arabian Gulf, Saudi Coast
- Dynamic Change of Secondary Metabolites and spectrum-effect relationship of Malus halliana Koehne flowers during blooming
- Lipids constituents from Gardenia aqualla Stapf & Hutch
- Effect of using microwaves for catalysts preparation on the catalytic acetalization of glycerol with furfural to obtain fuel additives
- Effect of Humic Acid on the Degradation of Methylene Blue by Peroxymonosulfate
- Serum containing drugs of Gua Lou Xie Bai decoction (GLXB-D) can inhibit TGF-β1-Induced Epithelial to Mesenchymal Transition (EMT) in A549 Cells
- Antiulcer Activity of Different Extracts of Anvillea garcinii and Isolation of Two New Secondary Metabolites
- Analysis of Metabolites in Cabernet Sauvignon and Shiraz Dry Red Wines from Shanxi by 1H NMR Spectroscopy Combined with Pattern Recognition Analysis
- Can water temperature impact litter decomposition under pollution of copper and zinc mixture
- Released from ZrO2/SiO2 coating resveratrol inhibits senescence and oxidative stress of human adipose-derived stem cells (ASC)
- Validated thin-layer chromatographic method for alternative and simultaneous determination of two anti-gout agents in their fixed dose combinations
- Fast removal of pollutants from vehicle emissions during cold-start stage
- Review Article
- Catalytic activities of heterogeneous catalysts obtained by copolymerization of metal-containing 2-(acetoacetoxy)ethyl methacrylate
- Antibiotic Residue in the Aquatic Environment: Status in Africa
- Regular Articles
- Mercury fractionation in gypsum using temperature desorption and mass spectrometric detection
- Phytosynthetic Ag doped ZnO nanoparticles: Semiconducting green remediators
- Epithelial–Mesenchymal Transition Induced by SMAD4 Activation in Invasive Growth Hormone-Secreting Adenomas
- Physicochemical properties of stabilized sewage sludge admixtures by modified steel slag
- In Vitro Cytotoxic and Antiproliferative Activity of Cydonia oblonga flower petals, leaf and fruit pellet ethanolic extracts. Docking simulation of the active flavonoids on anti-apoptotic protein Bcl-2
- Synthesis and Characterization of Pd exchanged MMT Clay for Mizoroki-Heck Reaction
- A new selective, and sensitive method for the determination of lixivaptan, a vasopressin 2 (V2)-receptor antagonist, in mouse plasma and its application in a pharmacokinetic study
- Anti-EGFL7 antibodies inhibit rat prolactinoma MMQ cells proliferation and PRL secretion
- Density functional theory calculations, vibration spectral analysis and molecular docking of the antimicrobial agent 6-(1,3-benzodioxol-5-ylmethyl)-5-ethyl-2-{[2-(morpholin-4-yl)ethyl] sulfanyl}pyrimidin-4(3H)-one
- Effect of Nano Zeolite on the Transformation of Cadmium Speciation and Its Uptake by Tobacco in Cadmium-contaminated Soil
- Effects and Mechanisms of Jinniu Capsule on Methamphetamine-Induced Conditioned Place Preference in Rats
- Calculating the Degree-based Topological Indices of Dendrimers
- Efficient optimization and mineralization of UV absorbers: A comparative investigation with Fenton and UV/H2O2
- Metabolites of Tryptophane and Phenylalanine as Markers of Small Bowel Ischemia-Reperfusion Injury
- Adsorption and determination of polycyclic aromatic hydrocarbons in water through the aggregation of graphene oxide
- The role of NR2C2 in the prolactinomas
- Chromium removal from industrial wastewater using Phyllostachys pubescens biomass loaded Cu-S nanospheres
- Hydrotalcite Anchored Ruthenium Catalyst for CO2 Hydrogenation Reaction
- Preparation of Calcium Fluoride using Phosphogypsum by Orthogonal Experiment
- The mechanism of antibacterial activity of corylifolinin against three clinical bacteria from Psoralen corylifolia L
- 2-formyl-3,6-bis(hydroxymethyl)phenyl benzoate in Electrochemical Dry Cell
- Electro-photocatalytic degradation of amoxicillin using calcium titanate
- Effect of Malus halliana Koehne Polysaccharides on Functional Constipation
- Structural Properties and Nonlinear Optical Responses of Halogenated Compounds: A DFT Investigation on Molecular Modelling
- DMFDMA catalyzed synthesis of 2-((Dimethylamino)methylene)-3,4-dihydro-9-arylacridin-1(2H)-ones and their derivatives: in-vitro antifungal, antibacterial and antioxidant evaluations
- Production of Methanol as a Fuel Energy from CO2 Present in Polluted Seawater - A Photocatalytic Outlook
- Study of different extraction methods on finger print and fatty acid of raw beef fat using fourier transform infrared and gas chromatography-mass spectrometry
- Determination of trace fluoroquinolones in water solutions and in medicinal preparations by conventional and synchronous fluorescence spectrometry
- Extraction and determination of flavonoids in Carthamus tinctorius
- Therapeutic Application of Zinc and Vanadium Complexes against Diabetes Mellitus a Coronary Disease: A review
- Study of calcined eggshell as potential catalyst for biodiesel formation using used cooking oil
- Manganese oxalates - structure-based Insights
- Topological Indices of H-Naphtalenic Nanosheet
- Long-Term Dissolution of Glass Fibers in Water Described by Dissolving Cylinder Zero-Order Kinetic Model: Mass Loss and Radius Reduction
- Topological study of the para-line graphs of certain pentacene via topological indices
- A brief insight into the prediction of water vapor transmissibility in highly impermeable hybrid nanocomposites based on bromobutyl/epichlorohydrin rubber blends
- Comparative sulfite assay by voltammetry using Pt electrodes, photometry and titrimetry: Application to cider, vinegar and sugar analysis
- MicroRNA delivery mediated by PEGylated polyethylenimine for prostate cancer therapy
- Reversible Fluorescent Turn-on Sensors for Fe3+ based on a Receptor Composed of Tri-oxygen Atoms of Amide Groups in Water
- Sonocatalytic degradation of methyl orange in aqueous solution using Fe-doped TiO2 nanoparticles under mechanical agitation
- Hydrotalcite Anchored Ruthenium Catalyst for CO2 Hydrogenation Reaction
- Production and Analysis of Recycled Ammonium Perrhenate from CMSX-4 superalloys
- Topical Issue on Agriculture
- New phosphorus biofertilizers from renewable raw materials in the aspect of cadmium and lead contents in soil and plants
- Survey of content of cadmium, calcium, chromium, copper, iron, lead, magnesium, manganese, mercury, sodium and zinc in chamomile and green tea leaves by electrothermal or flame atomizer atomic absorption spectrometry
- Biogas digestate – benefits and risks for soil fertility and crop quality – an evaluation of grain maize response
- A numerical analysis of heat transfer in a cross-current heat exchanger with controlled and newly designed air flows
- Freshwater green macroalgae as a biosorbent of Cr(III) ions
- The main influencing factors of soil mechanical characteristics of the gravity erosion environment in the dry-hot valley of Jinsha river
- Free amino acids in Viola tricolor in relation to different habitat conditions
- The influence of filler amount on selected properties of new experimental resin dental composite
- Effect of poultry wastewater irrigation on nitrogen, phosphorus and carbon contents in farmland soil
- Response of spring wheat to NPK and S fertilization. The content and uptake of macronutrients and the value of ionic ratios
- The Effect of Macroalgal Extracts and Near Infrared Radiation on Germination of Soybean Seedlings: Preliminary Research Results
- Content of Zn, Cd and Pb in purple moor-grass in soils heavily contaminated with heavy metals around a zinc and lead ore tailing landfill
- Topical Issue on Research for Natural Bioactive Products
- Synthesis of (±)-3,4-dimethoxybenzyl-4-methyloctanoate as a novel internal standard for capsinoid determination by HPLC-ESI-MS/MS(QTOF)
- Repellent activity of monoterpenoid esters with neurotransmitter amino acids against yellow fever mosquito, Aedes aegypti
- Effect of Flammulina velutipes (golden needle mushroom, eno-kitake) polysaccharides on constipation
- Bioassay-directed fractionation of a blood coagulation factor Xa inhibitor, betulinic acid from Lycopus lucidus
- Antifungal and repellent activities of the essential oils from three aromatic herbs from western Himalaya
- Chemical composition and microbiological evaluation of essential oil from Hyssopus officinalis L. with white and pink flowers
- Bioassay-guided isolation and identification of Aedes aegypti larvicidal and biting deterrent compounds from Veratrum lobelianum
- α-Terpineol, a natural monoterpene: A review of its biological properties
- Utility of essential oils for development of host-based lures for Xyleborus glabratus (Coleoptera: Curculionidae: Scolytinae), vector of laurel wilt
- Phenolic composition and antioxidant potential of different organs of Kazakh Crataegus almaatensis Pojark: A comparison with the European Crataegus oxyacantha L. flowers
- Isolation of eudesmane type sesquiterpene ketone from Prangos heyniae H.Duman & M.F.Watson essential oil and mosquitocidal activity of the essential oils
- Comparative analysis of the polyphenols profiles and the antioxidant and cytotoxicity properties of various blue honeysuckle varieties
- Special Issue on ICCESEN 2017
- Modelling world energy security data from multinomial distribution by generalized linear model under different cumulative link functions
- Pine Cone and Boron Compounds Effect as Reinforcement on Mechanical and Flammability Properties of Polyester Composites
- Artificial Neural Network Modelling for Prediction of SNR Effected by Probe Properties on Ultrasonic Inspection of Austenitic Stainless Steel Weldments
- Calculation and 3D analyses of ERR in the band crack front contained in a rectangular plate made of multilayered material
- Improvement of fuel properties of biodiesel with bioadditive ethyl levulinate
- Properties of AlSi9Cu3 metal matrix micro and nano composites produced via stir casting
- Investigation of Antibacterial Properties of Ag Doped TiO2 Nanofibers Prepared by Electrospinning Process
- Modeling of Total Phenolic contents in Various Tea samples by Experimental Design Methods
- Nickel doping effect on the structural and optical properties of indium sulfide thin films by SILAR
- The effect mechanism of Ginnalin A as a homeopathic agent on various cancer cell lines
- Excitation functions of proton induced reactions of some radioisotopes used in medicine
- Oxide ionic conductivity and microstructures of Pr and Sm co-doped CeO2-based systems
- Rapid Synthesis of Metallic Reinforced in Situ Intermetallic Composites in Ti-Al-Nb System via Resistive Sintering
- Oxidation Behavior of NiCr/YSZ Thermal Barrier Coatings (TBCs)
- Clustering Analysis of Normal Strength Concretes Produced with Different Aggregate Types
- Magnetic Nano-Sized Solid Acid Catalyst Bearing Sulfonic Acid Groups for Biodiesel Synthesis
- The biological activities of Arabis alpina L. subsp. brevifolia (DC.) Cullen against food pathogens
- Humidity properties of Schiff base polymers
- Free Vibration Analysis of Fiber Metal Laminated Straight Beam
- Comparative study of in vitro antioxidant, acetylcholinesterase and butyrylcholinesterase activity of alfalfa (Medicago sativa L.) collected during different growth stages
- Isothermal Oxidation Behavior of Gadolinium Zirconate (Gd2Zr2O7) Thermal Barrier Coatings (TBCs) produced by Electron Beam Physical Vapor Deposition (EB-PVD) technique
- Optimization of Adsorption Parameters for Ultra-Fine Calcite Using a Box-Behnken Experimental Design
- The Microstructural Investigation of Vermiculite-Infiltrated Electron Beam Physical Vapor Deposition Thermal Barrier Coatings
- Modelling Porosity Permeability of Ceramic Tiles using Fuzzy Taguchi Method
- Experimental and theoretical study of a novel naphthoquinone Schiff base
- Physicochemical properties of heat treated sille stone for ceramic industry
- Sand Dune Characterization for Preparing Metallurgical Grade Silicon
- Catalytic Applications of Large Pore Sulfonic Acid-Functionalized SBA-15 Mesoporous Silica for Esterification
- One-photon Absorption Characterizations, Dipole Polarizabilities and Second Hyperpolarizabilities of Chlorophyll a and Crocin
- The Optical and Crystallite Characterization of Bilayer TiO2 Films Coated on Different ITO layers
- Topical Issue on Bond Activation
- Metal-mediated reactions towards the synthesis of a novel deaminolysed bisurea, dicarbamolyamine
- The structure of ortho-(trifluoromethyl)phenol in comparison to its homologues – A combined experimental and theoretical study
- Heterogeneous catalysis with encapsulated haem and other synthetic porphyrins: Harnessing the power of porphyrins for oxidation reactions
- Recent Advances on Mechanistic Studies on C–H Activation Catalyzed by Base Metals
- Reactions of the organoplatinum complex [Pt(cod) (neoSi)Cl] (neoSi = trimethylsilylmethyl) with the non-coordinating anions SbF6– and BPh4–
- Erratum
- Investigation on Two Compounds of O, O’-dithiophosphate Derivatives as Corrosion Inhibitors for Q235 Steel in Hydrochloric Acid Solution