Abstract
A series of 3,4-dihydro-9-arylacridin-1(2H)-ones was synthesized and enaminone function was introduced at the C-2 position using DMFDMA catalyst which in turn successfully converted into pyrazole, isoxazol, 1-phenyl-1H-pyrazole by treating it with reagents such as hydrazine, hydroxylamine and phenylhydrazine. These newly synthesized compounds were evaluated for their antibacterial activity against a series of Gram-Positive bacteria including Staphylococcus aureus, Bacillus cereus, Staphylococcus aureus MLS16 and Gram-Negative bacteria including Klebsiella planticol, Escherichia coli and Pseudomonas aeruginosa and also against fungal strains including Candida albicans, Candida parapsilosis, Candida glabrata, Candida aaseri, Aspergillus niger and Issatchenkia hanoiensis. The compounds 3a and 6a exhibited considerable antifungal activity (MIC value 0.007 and 0.006 μM) against Candida albicans and Aspergillus niger respectively. The compound 4a showed excellent antibacterial activity towards Escherichia Coli (MIC = 0.003 μM) and the compound 5a found to show prominent DPPH radical scavenging activity with EC50 value 16.85±1.5μg mL−1.
Graphical Abstract

1 Introduction
N, N-Dimethylformamide dimethyl acetal (DMFDMA) also known as 1, 1-dimethoxy-N, N-dimethylmethylamine or 1, 1-dimethoxytrimethylamine, as its name indicates, is a derivative of formamide [1] acts as methylating and formylating agent. Formylated products obtained by treating compounds with active methylene group and DMFDMA have proved to be very useful intermediates in the synthesis of heterocycles [1, 2, 3, 4]. Enaminone derivatives have been proven to be valuable synthon for the synthesis of a wide variety of biologically active heterocycles [4]. On the other hand, the functionalized acridines are often used to design and synthesize the compounds with various pharmacological activities such as antibacterial [5], antifungal [5], anti-inflammatory [6], anticancer [7], anti-cytotoxic [8] and anti-malarial activities [9]. Though the synthesis of enaminone and its derivatives from simple ketones using DMFDMA are available in the literature, only a very few reports are available on the enaminones from active methylene of the various heterocycles [1, 2, 3, 4 and 10, 11, 12, 13, 14]. This prompted us to attempt the present work in which we have used the active methylene group of 3,4-dihydro-9-arylacridin-1(2H)-ones to synthesize the corresponding enaminone which in turn used as a synthon to obtain the corresponding pyrazole, isoxazole and 1-aryl-1H-pyrazole using hydrazine, hydroxylamine, phenylhydrazine respectively.
Ethical approval: The conducted research is not related to either human or animal use.
2 Materials and Methods
Melting points (mp) reported in this work are recorded in Elchem microprocessor based DT apparatus in open capillary tubes and are uncorrected. 1H NMR and 13C NMR are recorded in Bruker 400 MHz NMR spectrometer with TMS as an internal reference. The chemical shift values are reported in parts per million (δ, ppm) from internal standard TMS. High-Resolution Mass spectra were recorded using Bruker MaXis HR-MS (ESI-Q-TOF-MS) instrument. All the reagents were purchased from Aldrich and used as received. Excess solvents were removed under vacuum. Organic extracts were dried with anhydrous Na2SO4. Silica gel 60F254aluminum sheets were used in analytical thin-layer chromatography. Visualization of spots on TLC plates was effected by UV illumination, exposure to iodine vapour and heating the plates dipped in a KMnO4 stain. In column chromatography, the silica gel with 230-400 mesh size was used for the purification.
2.1 General procedure for the synthesis of 3,4-dihydro-9-arylacridin-1(2H)-ones
The 2-amino benzophenone 1a (0.1 g, 0.0005 M) was treated with 1,3-cyclohexanedione (0.06 g, 0.0005 M) in presence of ortho-phosphoric acid (catalyst) in ethanol and refluxed for 12 hrs. After the completion of the reaction the crude was poured into ice cold water and the formed precipitate was filtered and dried to afford the product 2a. The obtained product was used without further purification. And the procedure was repeated with 1b-c to get 2b-c.
2.1.1 3,4-dihydro-9-phenylacridin-1(2H)-one (2a)
Yellow solid, (yield 86%), m.p: 156-157ºC; 1H NMR (400 MHz, CDCl3): δ ppm 8.00 (d, J = 9.00 Hz, 1H), 7.69 (dd, J = 9.00 Hz, 2.20 Hz, 1H), 7.53-7.49 (m, 4H), 7.41 (d, J = 2.20 Hz, 1H), 7.15 (dd, J = 7.00 Hz, 2.20 Hz, 2H), 3.36 (t, J = 6.40 Hz, 2H), 2.70 (t, J = 6.40 Hz, 2H), 2.28-2.20 (m, 2H); 13C NMR (100 MHz, CDCl3): δ ppm 197.7, 162.5, 150.5, 147.0, 136.8, 132.6, 132.4, 130.1, 128.3, 128.3, 128.0, 127.9, 126.7, 124.4, 40.6, 34.5, 21.2.
2.1.2 7-chloro-3,4-dihydro-9-phenylacridin-1(2H)-one (2b)
Yellow solid, (yield 80%), m.p: 185-187 ºC; 1H NMR (400 MHz, CDCl3): δ ppm 7.97 (d, J = 8.80 Hz, 1H), 7.68 (dd, J = 8.80 Hz, 2.40 Hz, 1H), 7.53-7.47 (m, 3H), 7.41 (d, J = 2.40 Hz, 1H), 7.15 (dd, J = 7.20 Hz, 2.40 Hz, 2H), 3.35 (t, J = 6.20 Hz, 2H), 2.70 (t, J = 6.20 Hz, 2H), 2.27-2.21 (m, 2H); 13C NMR (100 MHz, CDCl3): δ ppm 197.7, 162.5, 150.5, 147.0, 136.8, 132.6, 132.4, 130.2, 128.3, 128.3, 127.9, 126.7, 124.4, 40.6, 34.5, 21.2.
2.1.3 7-chloro-9-(2-chlorophenyl)-3,4-dihydroacridin-1(2H)-one (2c)
Yellow solid, (yield 78%), m.p: 180-181ºC ; 1H NMR (400 MHz, CDCl3): δ ppm 8.02 (d, J = 9.00 Hz, 1H), 7.71 (dd, J = 9.00 Hz, 1.40 Hz, 1H), 7.55 (d, J = 7.60 Hz, 1H), 7.46-7.42 (m,2H), 7.30 (s, 1H), 7.10 (d, J = 6.80 Hz, 1H), 3.37 (t, J = 6.00 Hz, 2H), 2.80-2.65 (m, 2H), 2.24 (t, J = 6.00 Hz, 2H); 13C NMR (100 MHz, CDCl3): δ ppm 197.4, 162.5, 147.4, 147.0, 135.9, 133.1, 132.8, 132.1, 130.7, 130.7, 130.4, 125.9, 125.5, 40.1, 34.4, 21.2.
2.2 General procedure for synthesis of (E)-2-((dimethylamino)methylene)-3,4-dihydro-9-arylacridin-1(2H)-ones (3a-c)
A mixture of 3,4-dihydro-9-phenylacridin-1(2H)-one (0.1g, 0.0005 M) 2a-c with DMFDMA (0.1 mL, 0.0005 M) in toluene (5 mL) and refluxed for 8-10 hrs to afford the product 3a. The mixture was then evaporated under reduced pressure to afford the solid, which was filtered, washed with hexane and then dried. The similar procedure was repeated with 2b-c to get 3b-c. The obtained product used for further analysis without any purification process.
2.2.1 (E)-2-((dimethylamino)methylene)-3,4-dihydro-9-phenylacridin-1(2H)-one (3a)
Colourless solid (yield 86%), m.p: 162-163ºC; 1H NMR (400 MHz, CDCl3): δ ppm 7.98 (d, J = 8.80 Hz, 1H), 7.62 (dd, J = 8.80 Hz, 2.10 Hz, 2H), 7.50-7.45 (m, 4H), 7.42 (d, J = 2.10 Hz, 1H), 7.22 (d, J = 7.60 Hz, 2H), 3.22 (t, J = 6.40 Hz, 2H), 3.10 (s, 6H), 3.02 (t, J = 6.40 Hz, 2H); 13C NMR (100 MHz, CDCl3): δ ppm 185.2, 162.0, 151.1, 148.3, 146.1, 137.9, 131.7, 131.2, 130.0, 129.0, 128.5, 128.3, 128.1, 127.9, 127.4, 126.9, 126.4, 104.7, 43.5, 34.6, 23.2. HRMS-ESI (m/z) calcd for C22H20N2O [M+H]+ = 329.1654, found = 329.1660.
2.2.2 (E)-7-chloro-2-((dimethylamino)methylene)-3,4-dihydro-9-phenylacridin-1(2H)-one (3b)
Colourless solid, (yield 85%), m.p: 172-174ºC; 1H NMR (400 MHz, CDCl3): δ ppm 7.98 (d, J = 9.20 Hz, 1H), 7.62 (dd, J = 9.20 Hz, 2.40 Hz, 2H), 7.50-7.46 (m, 3H), 7.44 (dd, J = 12.80 Hz, 2.40 Hz, 1H), 7.22 (dd, J = 7.80 Hz, 1.80 Hz, 2H), 3.22 (t, J = 6.40 Hz, 2H), 3.10 (s, 6H), 3.02 (t, J = 6.40 Hz, 2H); 13C NMR (100 MHz, CDCl3): δ ppm 185.2, 162.0, 151.1, 148.3, 146.1, 137.9, 131.7, 131.2, 130.0, 129.0, 128.5, 128.3, 128.1, 127.9, 127.4, 126.9, 126.4, 104.7, 43.5, 34.6, 23.2. HRMS- ESI (m/z) calcd for C22H19ClN2O [M+H]+ = 362.1654, found = 362.1654.
2.2.3 (E)-7-chloro-2-((dimethylamino)methylene)-9-(2-chlorophenyl)-3,4 dihydroacridin-1(2H)-one (3c)
Light brown solid, (yield 84%), m.p.: 158-159ºC; 1H NMR (400 MHz, CDCl3): δ ppm 8.00 (d, J = 9.00 Hz, 1H), 7.64 (dd, J = 9.00 Hz, 2.40 Hz, 2H), 7.53 (dd, J = 7.10 Hz, 1.80 Hz, 1H), 7.42-7.36 (m, 2H), 7.27 (d, J = 2.40 Hz, 1H), 7.15 (dd, J = 7.10 Hz, 1.80 Hz, 1H), 3.24 (t, J = 6.40 Hz, 2H), 3.10 (s, 6H), 3.03 (t, J = 6.40 Hz, 2H); 13C NMR (100 MHz, CDCl3): δ ppm 184.7, 161.9, 151.3, 146.4, 145.0, 137.1, 132.4, 132.1, 131.4, 130.2, 129.6, 129.2, 128.9, 127.0, 126.5, 125.6, 104.2, 43.6, 34.5, 23.1. HRMS- ESI (m/z) calcd for C22H18Cl2N2O [M+H]+ = 397.0874, found = 397.0871.
2.3 General procedure for the synthesis of 4,5-dihydro-11-aryl-2H-pyrazolo[3,4-a] acridines (4a-c)
A mixture of compound 3a (0.1 g, 0.0003 M), hydrazine hydrate (0.05 mL, 0.0101 M) and 1-2 drops of acetic acid (catalyst) in ethanol (10 mL) was refluxed at 80 °C for 6-8 h. The mixture was then extracted with ethyl acetate, dried over sodium sulphate and concentrated under reduced pressure to afford the crude product 4a. The obtained crude product was purified by silica gel column chromatography using ethylacetate/hexane (4:6) eluent. To check there reproducibility the reaction and to get 4b-c, the procedure was repeated with 3b-c.
2.3.1 4,5-dihydro-11-phenyl-2H-pyrazolo[3,4-a]acridine (4a)
Colourless solid, (yield 76%), m.p: 166-168ºC;1H NMR (400 MHz, CDCl3): δ ppm 8.40 (d, J = 8.00 Hz, 1H), 7.65 (dd, J = 5.40 Hz, 1.80 Hz, 4H), 7.41 (d, J = 3.00 Hz, 1H), 7.39 (d, J = 3.00 Hz, 1H), 7.37 (d, J = 5.40 Hz, 2H), 7.33 (d, J = 8.00 Hz, 1H), 3.40 (t, J = 6.80 Hz, 2H), 2.98 (t, J = 6.80 Hz, 2H), 1.90 (s, 1H). 13C NMR (100 MHz, CDCl3): δ ppm 158.1, 148.60, 147.1, 142.7, 135.9, 130.2, 129.3, 128.7, 128.5, 127.3, 127.0, 126.7, 117.4, 115.1, 33.7, 17.6; HRMS- ESI (m/z) calcd for C20H15N3 [M+H] + = 298.1344, found = 298.1338.
2.3.2 9-chloro-4,5-dihydro-11-phenyl-1H-pyrazolo[3,4-a] acridine(4b)
Colourless solid, (yield 79%), m.p: 155-157ºC; 1H NMR (400 MHz, CDCl3): δ ppm 8.00 (d, J = 8.40 Hz, 1H), 7.69 (dd, J = 8.40 Hz, 1.20 Hz, 1H), 7.62-7.59 (m, 2H), 7.58 (t, J = 2.20 Hz, 1H), 7.54 (dt, J = 1.20 Hz, 7.50 Hz, 1H), 7.39 (s, 1H), 7.35 (dd, J = 7.50 Hz, 1.60 Hz, 1H), 7.18 (d, J = 2.20 Hz, 1H), 3.38 (t, J = 3.00 Hz, 2H), 3.00 (t, J = 3.00 Hz, 2H), 2.16 (s, 1H). 13C NMR (100 MHz, CDCl3): δ ppm 159.0, 144.7, 138.9, 137.0, 136.7, 135.9, 132.4, 130.3, 130.1, 130.0, 129.7, 129.6, 129.1, 128.0, 127.9, 124.7, 119.3, 118.9, 34.4, 29.7. HRMS- ESI (m/z) calcd for C20H14ClN3 [M+H]+ = 332.0955, found = 332.1001.
2.3.3 9-chloro-11-(2-chlorophenyl)-4,5-dihydro-1H-pyrazolo[3,4-a]acridine (4c)
Brown solid, (yield 59%), m.p: 164-166ºC; 1H NMR (400 MHz, CDCl3): δ ppm 8.01 (d, J = 6.90 Hz, 1H), 7.71 (d, J = 6.90 Hz, 1H), 7.61-7.57 (m, 2H), 7.53 (t, J = 6.90 Hz, 1H), 7.39 (s, 1H), 7.36 (dd, J = 6.00 Hz, 1.80 Hz, 1H), 7.19 (d, J = 1.80 Hz, 1H), 3.38 (t, J = 3.40 Hz, 2H), 3.00 (t, J = 3.40 Hz, 2H), 2.00 (s, 1H). 13C NMR (100 MHz, CDCl3): δ ppm 159.3, 144.8, 136.2, 135.1, 133.8, 132.6, 131.0, 130.7, 130.5, 130.1, 128.0, 127.4, 124.2, 120.2, 34.4, 18.6. HRMS- ESI (m/z) calcd for C20H13Cl2N3 [M+H]+ = 366.0565, found = 366.0565.
2.4 General procedure for the synthesis of 4,5-dihydro-11-phenylisoxazolo[5,4-a] acridines (5a-c)
A mixture of compound 3a (0.1 g, 0.0003 M) in ethanol (10 mL), hydroxyl amine hydrochloride (0.02 g, 0.0003 M) was refluxed at 80°C for 6-8 h. After the completion of the reaction, the reaction mixture was poured into ice water; the obtained crude was filtered, dried to afford the product 5a. The obtained product was purified by silica gel column chromatography using ethylacetate/hexane (4:6) eluent. Similar procedure was adopted with 3b-c to get 5b-c.
2.4.1 4,5-dihydro-11-phenylisoxazolo[5,4-a]ccridine (5a)
Colourless solid, (yield 86%), m.p: 160-161ºC; 1H NMR (400 MHz, CDCl3): δ ppm 8.11 (s, 1H), 8.05 (d, J = 8.20 Hz, 1H), 7.64 (t, J = 8.20 Hz, 1H), 7.54 (t, J = 2.40 Hz, 3H), 7.48 (d, J = 7.90 Hz, 1H), 7.41 (t, J = 7.90 Hz, 1H), 7.34 (dd, J = 6.60 Hz, 2.40 Hz, 2H), 3.44 (t, J = 7.20 Hz, 2H), 2.95 (t, J = 7.60 Hz, 2H). 13C NMR (100 MHz, CDCl3): δ ppm 158.1, 148.6, 147.1, 142.7, 135.9, 130.2, 129.3, 128.7, 128.5, 127.3, 127.0, 126.7, 117.4, 115.1, 33.7, 17.6. HRMS- ESI (m/z) calcd for C20H14N2O [M+H]+ = 299.1184, found = 299.1191.
2.4.2 9-chloro-4,5-dihydro-11-phenylisoxazolo[3,4-a] Acridine (5b)
Yellow solid, (yield 69%), m.p: 152-154ºC; 1H NMR (400 MHz, CDCl3): δ ppm 8.12 (s, 1H), 7.98 (d, J = 8.80 Hz, 1H), 7.66 (dd, J = 5.20 Hz, 2.20 Hz, 1H), 7.63 (d, J = 2.00 Hz, 1H), 7.62 (dd, J = 8.80 Hz, 2.00 Hz, 1H), 7.56 (dd, J = 4.90 Hz, 2.50 Hz, 2H), 7.32 (dd, J = 4.90 Hz, 2.50 Hz, 2H), 3.43 (t, J = 7.20 Hz, 2H), 2.96 (t, J = 7.20 Hz, 2H). 13C NMR (100 MHz, CDCl3): δ ppm 163.8, 158.4, 148.6, 146.2, 145.5, 141.7, 135.2, 132.6, 132.2, 131.3, 130.9, 130.3, 129.4, 129.2, 129.2, 128.9, 128.7, 128.5, 128.2, 127.6, 125.7, 125.3, 122.5, 117.9, 115.9, 33.7, 17.5. HRMS- ESI (m/z) calcd for C20H13ClN2O [M+H]+ = 332.0950, found = 332.0950.
2.4.3 9-chloro-11-(2-chlorophenyl)-4,5-dihydroisoxazolo[5,4-a]Acridine (5c)
Yellow solid, (yield 49%), m.p: 168-170ºC; 1H NMR (400 MHz, CDCl3): δ ppm 8.12 (s, 1H), 7.98 (d, J = 8.80 Hz, 1H), 7.62 (d, J = 8.80 Hz, 2.40 Hz, 1H), 7.56 (dd, J = 9.00 Hz, 2.00 Hz, 2H), 7.43 (d, J = 2.40 Hz, 1H), 7.30 (dd, J = 9.00 Hz, 2.40 Hz, 2H), 3.41 (t, J = 7.30 Hz, 2H), 2.97 (t, J = 7.30 Hz, 2H). 13C NMR (100 MHz, CDCl3): δ ppm 160.8, 152.2, 147.9, 147.4, 146.3, 144.6, 136.6, 129.9, 129.8, 129.6, 129.6, 129.5, 128.6, 128.5, 128.4, 128.2, 128.0, 127.7, 127.5, 126.7, 126.4, 126.2, 126.1, 125.9, 125.7, 33.9, 29.7. HRMS- ESI (m/z) calcd for C20H12Cl2N2O [M+H]+ = 367.0405, found = 367.0403.
2.5 General procedure for the synthesis of 4,5-dihydro-1,11-diaryl-1H-pyrazolo[3,4-a] acridine (6a-c)
A mixture of compound 3a (0.1 g, 0.0003 M), phenyl hydrazine (0.03 g, 0.0003 M) in glacial acetic acid (5 mL), was refluxed at 110°C for 12 h. The reaction mixture was then extracted with DCM, dried over sodium sulphate and concentrated under reduced pressure to afford the crude product 6a. The obtained crude product was purified by silica gel column chromatography using ethylacetate/hexane (4:6) eluent. To check the reproducibility similar procedure was adopted with 3b-c to get 6b-c.
2.5.1 4,5-dihydro-1,11-diphenyl-1H-pyrazolo[3,4-a] ccridine (6a)
Yellow solid, (yield 66%), m.p: 182-183ºC; 1H NMR (400 MHz, CDCl3): δ ppm 8.09 (d, J = 7.00 Hz, 1H), 7.71 (t, J = 7.00 Hz, 2H), 7.54 (d, J = 7.60 Hz, 2H), 7.46 (d, J = 7.00 Hz, 2H), 7.42 (dd, J = 6.00 Hz, 2.00 Hz, 2H), 7.36 (d, J = 2.00 Hz, 1H), 7.34 (t, J = 2.40 Hz, 2H), 7.31 (d, J = 7.60 Hz, 1H), 7.28-7.27 (m, 1H), 7.25 (d, J = 2.40 Hz, 1H), 3.28 (t, J = 6.60 Hz, 2H), 2.98 (t, J = 6.60 Hz, 2H). 13C NMR (100 MHz, CDCl3): δ ppm 152.2, 147.9, 147.4, 146.3, 144.6, 136.6, 129.9, 129.6, 129.6, 129.5, 128.5, 128.4, 128.2, 127.7, 127.7, 126.7, 126.4, 126.1, 126.0, 125.7, 33.9, 29.7. HRMS- ESI (m/z) calcd for C26H19N3 [M+H]+ = 374.1675, found = 374.1655.
2.5.2 9-chloro-4,5-dihydro-1,11-diphenyl-1H-pyrazolo[3,4-a]acridine (6b)
Yellow solid, (yield 58%), m.p: 175-177ºC; 1H NMR (400 MHz, CDCl3): δ ppm 8.10 (d, J = 8.60 Hz, 1H), 7.71 (t, J = 8.60 Hz, 2H), 7.54 (d, J = 7.60 Hz, 2H), 7.47 (d, J = 7.10 Hz, 2H), 7.36 (dd, J = 7.60 Hz, 2.40 Hz, 2H), 7.35 (d, J = 1.80 Hz, 1H), 7.31 (d, J = 7.10 Hz, 2H), 7.28 (t, J = 1.80 Hz, 1H), 7.27 (d, J = 5.60 Hz, 1H), 3.29 (t, J = 6.20 Hz, 2H), 2.99 (t, J = 6.20 Hz, 2H). 13C NMR (100 MHz, CDCl3): δ ppm 160.9, 152.9, 147.9, 147.4, 146.3, 144.6, 136.6, 129.9, 129.8, 129.6, 129.6, 128.6, 128..5, 128.4, 128.2, 128.0, 127.6, 126.6, 126.4, 126.2, 126.1, 126.0, 125.7, 33.9, 29.7. HRMS- ESI (m/z) calcd for C26H18ClN3 [M+H]+ = 408.1268, found = 408.1267.
2.5.3 9-chloro-11-(2-chlorophenyl)-4,5-dihydro-1-phenyl-1H-pyrazolo[3,4-a]acridine (6c)
Brown solid, (yield 59%), m.p: 187-189ºC; 1H NMR (400 MHz, CDCl3): δ ppm 8.10 (d, J = 8.60 Hz, 1H), 7.71 (t, J = 8.60 Hz, 2H), 7.54 (d, J = 7.60 Hz, 2H), 7.47 (d, J = 7.00 Hz, 2H), 7.42 (d, J = 1.40 Hz, 2H), 7.36 (dd, J = 7.60 Hz, 2.40 Hz, 2H), 7.31 (d, J = 7.00 Hz, 1H), 7.28 (t, J = 1.40 Hz, 1H), 3.29 (t, J = 6.20 Hz, 2H), 2.99 (t, J = 6.20 Hz, 2H).13C NMR (100 MHz, CDCl3): δ ppm 160.9, 152.2, 147.9, 147.4, 146.3, 144.6, 136.6, 129.9, 129.8, 129.6, 129.6, 129.5, 128.6, 129.5, 128.4, 128.2, 128.0, 127.7, 127.6, 126.7, 126.4, 126.2, 126.1, 126.0, 125.7, 33.9, 29.7. HRMS- ESI (m/z) calcd for C26H17Cl2N3 [M+H]+ = 442.0881, found = 442.0881.
2.6 Spectral Characterization
All these newly synthesized compounds 3a-c to 6a-c were characterized using 1H-NMR, 13C-NMR, DEPT-135, H, H-COSY, C, H-COSY, HR-MS (ESI) and the data included in the experimental section. Consequently, all the newly derived target molecules 3a-c to 6a-c subjected to the in-vitro anti-fungal, anti-bacterial and antioxidant evaluations and their results were discussed under biological evaluations.
2.6.1 Spectral Characterization of Compound 3c
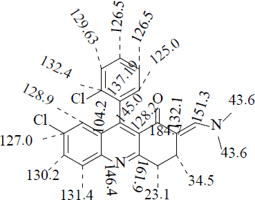
The compound 3c has been characterized by 1H-NMR, 13C-NMR, DEPT-135, H, H-COSY, C, H-COSY, HR-MS (ESI) spectral data. The 1H-NMR spectrum of compound 3c exhibited the following chemical shifts, d 8.00 d [J = 9.00 Hz, one proton], 7.64 dd [J = 9.00 Hz, 2.40 Hz, two proton], 7.53 dd [J = 7.10 Hz, 1.80 Hz, one proton], 7.427.36 m [two protons], 7.27 d [J = 2.10 Hz, one proton], 7.15 dd [J = 7.10 Hz, 2.10 Hz, one proton], 3.24 t [J = 6.40 Hz, two protons], 3.10 s [six protons], 3.03 t [J = 6.40 Hz, two protons]. The examination of H, H-COSY spectrum of the molecule shows that the singlet at d 3.10 ppm which is integrating for six protons due to the two methyl groups of the molecule at C-18 and C-19 and it is appeared as a single peak due to symmetry. The remaining two methylene protons have appeared at d 3.24 and 3.03 ppm which are integrating for two protons of each at C-14 and C-15. The signals at d 8.00 d [J = 9.00 Hz, one proton], 7.64 dd [J = 9.00 Hz, 2.40 Hz, two protons] and 7.27 d [J = 2.40 Hz, one proton] are appearing as coupling partners, which is assigned to C-8, C-7 and C12 respectively. The signals at d 7.53 dd [J = 7.10 Hz, 1.80 Hz, one proton] and 7.16 dd [J = 7.20 Hz, 1.60 Hz, one proton] ppm are assigned to C-10 and C-13 respectively and are found to couple with the multiplet in the range of 7.42-7.36 ppm and hence the multiplet assigned to the protons at C-11 and C-12. The 13C-NMR spectrum exhibited the following chemical shift values: d 23.1, 34.5, 43.6, 104.2, 125.6, 126.5, 127.0, 128.9, 129.2, 130.2, 131.4, 132.1, 132.4, 137.1, 145.6, 146.4, 151.3, 161.9, 184.7 ppm. The up-field signal at d 23.1 ppm has been assigned as a methylene carbon at C-15 and one more signal at d 34.5 ppm represents at C-14. And the remaining two methyl groups at C-18 and C-19 appear as a singlet at d 43.6 ppm is due to symmetry. The extreme downfield signal at d 84.7 ppm is indicates the carbonyl group at C-22. The signal at d 151.3 ppm has been assigned to the carbon at C-17 due to the deshielding effect of adjacent functional groups. The C-7 and C-8 carbons were identified as d 130.2 and 132.4 ppm respectively. The aliphatic CH2 carbons at (C-14 and C-15) carbons were distinguished using the DEPT-135 spectrum of the compound. Remaining aromatic carbon attached hydrogen appears from the aromatic region from d 151.4 to 125.6 ppm. Similarly, the ortho, meta and para carbons of phenyl group at C-4 were identified as d 129.2, 126.5 and 125.6 ppm respectively. The signals at d 104.2, 127.0, 132.1, 137.2, 145.0, 146.4, 161.9 and 184.7 ppm were due to the non-proton bearing carbons at C-20, C-6, C-3, C-23, C-16, C-2, C-22 and ipso positions. The formation of compound 3c also been supported by the observation of (ESI-HRMS) m/z value at 397.0871 in the mass spectrum.

Summary of Proton d Values of 3c.

Summary of Carbon d Values of 3c.
2.6.2 Spectral Characterization of Compound 4a
The compound 4a has been characterized by 1H-NMR, 13C-NMR, DEPT-135, H, H- COSY, C, H-COSY, HR-MS (ESI) spectral data. The 1H-NMR spectrum of compound 4a exhibited the following chemical shifts, d 8.40 d [J = 8.00 Hz, one proton], 7.64 dd [J = 5.40 Hz, 1.80 Hz, four protons], 7.41 d [J = 3.00 Hz, one proton], 7.39 d [J = 3.00 Hz, one proton], 7.37 d [J = 5.40 Hz, two protons], 7.33 d [J = 8.00 Hz, one proton], 3.40 t [J = 6.80 Hz, two protons], 2.98 t [J = 6.80 Hz, two protons], 1.90 s [one proton]. The examination of H, H-COSY spectrum of the molecule shows that the two triplets at d 3.40 and 2.98 ppm which is integrating for two protons of each are assigned to C-14 and C-15. The signal at d 8.40 ppm which integrates for one proton is assigned to C-8. The signal at d 7.64 [J = 5.40 Hz, 1.80 Hz, four protons] is assigned to C-7, C-6, C-5 and C-9 respectively. The signal at d 7.41 d [J = 3.00 Hz, one proton], 7.39 d [J = 3.00 Hz, one proton] are appearing as a coupling partner, which is assigned to C-10 and C-11 respectively. And a signal at d 7.33 d [J = 8.00 Hz, one proton] is assigned to C-13. The 13C-NMR spectrum exhibited the following chemical shift values: d 17.6, 33.7, 115.4, 117.2, 126.7, 127.0, 127.3, 128.7, 128.0, 128.8, 130.2, 135.9, 142.7, 147.1, 148.6, 158.1 ppm. The up-field signal at d 17.6 ppm has been assigned as methylene carbon at C-15 and one more signal at d 34.5 ppm represents at C-14. The extreme downfield signal at d 158.1 ppm is assigned to C-18. The proton bearing carbons are identified using HSQC spectrum. The signal at d 126.0 ppm has been assigned to the carbon at C-16 due to the shielding effect of adjacent functional groups. The C-7 and C-8 carbons were identified as d 129.8 and 128.7 ppm respectively. The aliphatic CH2 carbons at (C-14 and C-15) carbons were distinguished using the DEPT-135 spectrum of the compound. Remaining aromatic carbon attached hydrogen appears from the aromatic region from d 129.8 to 18.7 ppm. Similarly, the ortho, meta and para carbons of phenyl group at C-4 were identified as d 129.3, 129.1 and 126.5 ppm respectively. The signals at d 117.9, 127.0, 127.3, 130.2, 135.9, 142.7, 147.1, 158.1 ppm were due to the non-proton bearing carbons at C-21, C-17, C-20, C-3, C-19, C-18, C-2 and ipso positions. The formation of compound 4a also been supported by the observation of (ESI-HRMS) m/z value at 298.1338 in the mass spectrum.
2.6.3 Spectral Characterization of Compound 5a
The compound 5a has been characterized by 1H-NMR, 13C-NMR, DEPT-135, H, H- COSY, C, H-COSY, HR-MS (ESI) spectral data. The 1H-NMR spectrum of compound 5a exhibited the following chemical shifts, d 8.11 s [one proton], 8.05 d [J = 8.20 Hz, one proton], 7.64 t [J = 8.20 Hz, one proton], 7.54 t [J = 2.40 Hz, three protons], 7.48 d [J = 7.90 Hz, one proton], 7.41 d [J = 7.90 Hz, one proton], 7.34 dd [J = 6.60 Hz, 2.40 Hz, two protons], 3.44 t [J = 7.20 Hz, two

Summary of Proton d Values 4a.

Summary of Carbon d Values 4a.

Summary of Proton d Values 5a.

Summary of Carbon d Values 5a.
protons], 2.95 t [J = 7.60 Hz, two protons]. The examination of H, H-COSY spectrum of the molecule shows that the two triplets at d 3.44 and d 2.95 ppm which is integrating for two protons of each are indicated at C-14 and C-15. The signal at d 8.05d [J = 8.20 Hz, one proton] and 7.64 t [J = 8.20 Hz, one proton] are appearing as a coupling partner, which is assigned to C-8 and C-7 respectively. The signal at d 8.11 ppm is assigned to C-16. The signals at d 7.54 t [J = 2.40 Hz, three protons] and 7.34 dd [J = 6.60 Hz, 2.40 Hz, two protons] with a coupling constant of [J = 6.00 Hz, 2.40 Hz, two protons]. And the signals at d 7.48 d [J = 7.90 Hz, one proton] and 7.41 d [J = 7.90 Hz, one proton] are appearing as a coupling partners is assigned for C-10 and C-9 respectively. The 13C-NMR spectrum exhibited the following chemical shift values: d 17.6, 33.7, 115.1, 117.1, 126.7, 127.0, 127.3, 128.5, 128.7, 129.3, 130.2, 135.9, 142.7, 147.1, 148.6, 158.1 ppm. The up-field signal at d 33.7 ppm has been assigned as a methylene carbon at C-14 and one more signal at d 17.6 ppm represents at C-15. The extreme downfield signal at d 158.1 ppm is assigned to C-2. The signal at d 148.6 ppm has been assigned to the carbon at C-16 due to shielding effect of adjacent functional groups. The C-7 and C-8 carbons were identified as d 130.3 and 130.9 ppm respectively. The aliphatic CH2 carbons at (C-14 and C-15) carbons were distinguished using DEPT-135 spectrum of the compound. Remaining aromatic carbon attached hydrogen appears from aromatic region from d 148.6 to 125.7 ppm. Similarly, the ortho, meta and para carbons of phenyl group at C-4 were identified as d 129.7, 129.2 and 128.5 ppm respectively. The formation of compound 5a also been supported by the observation of (ESI-HRMS) m/z value at 299.1191 in the mass spectrum.
2.6.4 Spectral Characterization of Compound 6a
The compound 6a has been characterized by 1H-NMR, 13C-NMR, DEPT-135, H, H-COSY, C, H-COSY, HR-MS (ESI) spectral data. The 1H-NMR spectrum of compound 6a exhibited the following chemical shifts, d 8.09 d [J = 7.00 Hz, one proton], 7.71 t [J = 7.00 Hz, two protons], 7.54 d [J = 7.60 Hz, two protons], 7.46 d [J = 7.00 Hz, two protons], 7.42 dd [J = 6.00 Hz, 2.00 Hz, two protons], 7.36 d [J = 2.00 Hz, one proton], 7.34 t [J = 2.40 Hz, two protons], 7.31 d [J = 7.60 Hz, one proton], 7.28-7.27 m [one proton], 7.25 d [J = 2.40 Hz, one proton], 3.28 t [J = 6.60 Hz, two protons], 2.98 t [J = 6.60 Hz, two protons]. The examination of H, H-COSY spectrum of the molecule shows that the two triplets at d 3.28 and 2.98 ppm which is integrating for two protons of each are due to C-14 and C-15. The signals at d 8.09 d [J = 7.00 Hz, one proton], 7.71 t [J = 7.00 Hz, two protons] and 7.46 d [J = 7.00 Hz, two protons] are appearing as a coupling partners is assigned to C-8, C-7, C-9, C-5 and C10 respectively. The signals at d 7.54 d [J = 7.60 Hz, two protons] and 7.31 d [J = 7.60 Hz, one proton] are appearing as a coupling partners is assigned to C-12, C-13 and C-11 respectively. Similarly, the signals at d 7.34 t [J = 2.40 Hz, two protons] and 7.25 d [J = 2.40 Hz, one proton] is assigned for phenyl substituent at C-17. The 13C-NMR spectrum exhibited the following chemical shift values: d 29.7, 33.9, 125.7, 126.0, 126.1, 126.2, 126.4, 126.7, 127.6, 127.7, 128.0, 128.2, 128.4, 128.5, 128.6, 129.5, 129.6, 129.8, 129.9, 136.6, 144.6, 146.3, 147.4, 147.9, 152.2 ppm. The up-field signal at d 33.9 ppm has been assigned as a methylene carbon at C-14 and one more signal at d 29.7 ppm represents at C-15. The extreme downfield signal at d 152.2 ppm is assigned to C-2. The signal at d 129.8 ppm has been assigned to the carbon at C-16 due to shielding effect of adjacent functional groups. The C-7 and C-8 carbons were identified as d 129.6 and 128.6 ppm respectively. The aliphatic CH2 carbons at (C-14 and C-15) carbons were distinguished using the DEPT-135 spectrum of the compound. Remaining aromatic carbon attached hydrogen appears from the aromatic region from d 152.2 to 146.6 ppm. Similarly, the ortho, meta and para carbons of phenyl group at C-4 were identified as d 127.7, 126.7 and 125.9 ppm respectively. The signals at d 126.1, 129.9, 136.6, 144.6, 146.3, 147.4, 147.9, 152.2 ppm were due to the non-proton bearing carbons at C-18, C-3, C-4, C-17, C-19, C-20, C-2 and ipso positions. The formation of compound 6a also been supported by the observation of (ESI-HRMS) m/z value at 374.1655 in mass the spectrum.

Summary of Proton d Values of 6a.

Summary of Carbon d Values of 6a.
2.7 In-vitro antibacterial studies by micro dilution method
The indicator strains used were Staphylococcus aureus MTCC 737, Bacillus Cereus MTCC 430, Staphylococcus aureus MLS16, Klebsiella planticola MTCC 2277, Escherichia Coli MTCC 1687 and Pseudomonas aeruginosa MTCC 424. The test bacterial strains were grown in nutrient broth medium and inoculums prepared were stored at 4°C for further use. The dilutions of the bacterial inoculums were cultured on a nutrient agar medium to check for the presence of contamination. The bacterial suspension was adjusted with sterile saline to a final concentration of approximately 107 CFU/mL in a final volume of 100 μL per well in 96 well plate. The bacterial pathogens were inoculated in Muller-Hinton broth along with different concentrations of compounds including 0.488, 0.244, 0.122, 0.061, 0.030, 0.015, 0.007, 0.003, 0.001 and 0.001 μM. Neomycin (Sigma) was used as positive control and Muller-Hinton culture media alone was used as negative control. The bacterial pathogens were incubated along with compounds for 24 h. After incubating for 24 h, 40 μL of INT dye solution was added to each well. The INT dye solution was prepared by dissolving 0.02% of 20 mg INT in 100 mL of 40% DMF. Further the samples were incubated for 2 h. Then the samples were spectrometrically read at 450 nm using TRIAD multi-mode reader which measures the reduction of INT dye by bacterial pathogens. The percentage of bacterial growth inhibition was calculated using the formula:
% of bacterial growth inhibition = (1−Ac/Ao) × 100.
Where Ac represents intensity of the wells with compound concentration C; Ao represents intensity of the negative control without compound concentrations. Further, minimum inhibitory concentration, MIC (μM) values representing the lowest concentration of the compound which exhibited significant decrease in bacterial viability (>95%) was determined. All the experiments were performed in triplicate and the results were expressed as the average of three independent experiments. The results were given as Table-3 along with the minimum inhibitory concentrations. The compounds exhibited a broad spectrum of antibacterial activity against the tested Gram-positive bacterial pathogens.
Optimization for the synthesis of 3,4-dihydro-9-arylacridin-1(2H)-ones based enaminones.
| S. No | Solvents | T (°C) | Time (h) | Yield (%) |
|---|---|---|---|---|
| 1 | DMF | 90 | 14 | 18 |
| 2 | DMF | 100 | 12 | 38 |
| 3 | DMF | >110 | 8 | 51 |
| 4 | Xylene | 120 | 6 | 66 |
| 5 | Toluene | 110 | 6 | 85 |
| 6 | Acetonitrile | 90 | 48 | 12 |
| 7 | Dioxane | 100 | 36 | 11 |
Antifungal activity of compounds by broth dilution method.
| Compounds | Minimum Inhibitory Concentration, MIC (μM ) | |||||
|---|---|---|---|---|---|---|
| Candida albicans | Candida parapsilosis | Candida aaseri | Candida glabrata | Issatchenkia hanoiensis | Aspergillus niger | |
| MTCC 227 | MTCC 6510 | MTCC 1907 | MTCC 3984 | MTCC 4755 | MTCC 1344 | |
| 3a | 0.007 | 0.028 | 0.228 | 0.057 | 0.057 | 0.057 |
| 3b | - | 0.051 | - | - | - | 0.051 |
| 3c | - | 0.094 | 0.378 | 0.094 | 0.094 | 0.047 |
| 4a | - | 0.063 | 0.252 | 0.031 | - | - |
| 4c | - | - | - | 0.113 | 0.113 | - |
| 5a | - | 0.031 | 0.251 | 0.062 | 0.251 | - |
| 6a | - | 0.023 | - | 0.050 | - | 0.006 |
- : No Activity; Miconazole 0.022 † Standard.
Antibacterial activity of compounds by micro dilution method.
| Compounds | Minimum Inhibitory Concentration, MIC (μM) | ||||
|---|---|---|---|---|---|
| Gram Positive Bacteria | Gram Negative Bacteria | ||||
| Staphylococcus | Bacillus Staphylococcus | Klebsiella | Escherichia | Pseudomonas | |
| aureus | cereus aureus | planticola | coli | aeruginosa | |
| MTCC 737 | MTCC 430 MLS16 | MTCC 2277 | MTCC 1687 | MTCC 424 | |
| 3a | - | - - | - | 0.007 | 0.007 |
| 3b | - | - 0.006 | - | - | - |
| 4a | 0.031 | 0.007 0.252 | 0.007 | 0.003 | 0.007 |
| 4c | - | - 0.056 | 0.056 | - | - |
| 5a | 0.015 | 0.007 0.125 | - | 0.015 | 0.031 |
| 6a | 0.012 | - 0.012 | 0.050 | 0.025 | 0.100 |
| 6c | 0.021 | - 0.042 | - | - | - |
– : No Activity; Nm-Neomycin (0.030) † Standard.
2.8 In-vitro antioxidant activity by DPPH free radical scavenging method
The antioxidant activity of the compounds was assayed by measuring scavenging of 1,1-diphenyl-2-picrylhydrazyl (DPPH) free radicals. In this experiment, different concentrations (10, 20, 40, 80, and 200 μg mL−1) of each compound were prepared in methanol. Then, working solutions were mixed with 100 μL 160 μM methanol solution of DPPH. The reaction mixture was thoroughly mixed for 2 min. The samples were then incubated for 30 min in the dark at 35°C. After incubating for 30 min, the absorbance of the samples was measured spectroscopically at 517 nm using a TRIAD multimode reader. In this experiment, ascorbic acid was used as positive control and methanol solution as a negative control. The radical scavenging potential is expressed as an EC50 value, representing the compound concentration at which 50% of the DPPH radicals was scavenged. All tests were performed in triplicate, and values are presented as means. The ability of the compound to scavenge the formation of DPPH free radicals was measured in a concentration-dependent manner and the DPPH scavenging activity calculated in terms of the effective concentration.
2.9 In-vitro antifungal studies by broth dilution method
The antifungal activity of the compounds was determined by broth dilution method using p-iodonitrotetrazolium (INT) dye reduction method in 96 well plates. Different test fungal pathogens used in the study include Candida albicans MTCC 227 (MTCC-Microbial Type Culture Collection), Candida parapsilosis MTCC 6510, Candida glabrata MTCC 3984, Candida aaseri MTCC 1907, Aspergillus niger MTCC 1344 and Issatchenkia hanoiensis MTCC 4755. The test fungal strains (107 CFU/mL) were inoculated in 100 μL of potato dextrose broth and the test cultures were stored at 4°C for further experiments. The purity of the test cultures was verified by culturing on nutrient agar medium. In a 96-well plate, fungal test cultures were inoculated with the final concentration of approximately 107 CFU/mL in the final volume of 100 μL per well. To each fungal suspension, compound was added at different concentrations of 0.720, 0.360, 0.180, 0.090, 0.045, 0.011, 0.005, 0.002 and 0.001 μM. In positive control experiments, miconazole (Sigma) was added to each fungal test culture, while potato dextrose broth medium alone was used as negative control. The fungal pathogens were incubated along with test compound for 24 h at 30°C. Aspergillus strain was incubated at 25°C for 72 h. After incubation periods, 40 mL INT test reagent containing 0.02% 20 mg INT in 100 mL 40% dimethylformamide (DMF) was added to each well. The samples were further incubated for 2 h at 37°C. Reduction of INT dye was monitored spectrometrically by measuring samples at 450 nm using a TRIAD multimode reader. The percentage of fungal pathogen growth inhibition was calculated using the formula:
% of fungal pathogen growth inhibition = (1−Ac/Ao) × 100.
Where AC is the INT absorbance of wells with compound at concentration C and A0 represents the INT absorbance of the negative control without compound. The minimum inhibitory concentration (MIC, μM) of the samples represents the lowest concentration of the compound with >95% decrease in fungal growth. All experiments were performed in triplicates, and the results are expressed as the average of three independent experiments.
Ethical approval: The conducted research is not related to either human or animal use.
3 Results and discussion
3.1 Chemistry
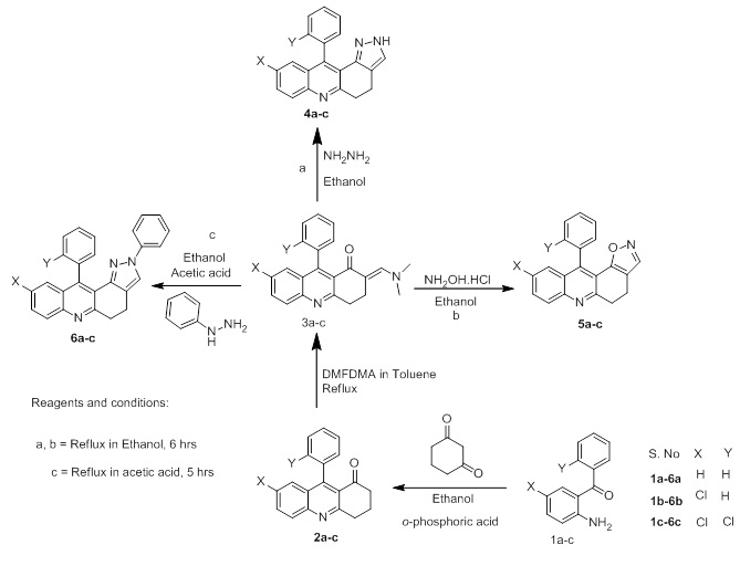
In the present work, a series of 3,4-dihydro-9-arylacridin-1(2H)-one based enaminones and their derivatives were synthesized. In the first step different benzophenone derivatives (1a-c) were converted into their corresponding 3,4-dihydro-9-arylacridin-1(2H)-ones (2a-c) by treating them with 1, 3-cyclohexanedione (Scheme) in ethanol in the presence of ortho-phosphoric acid as a catalyst. The obtained products 2a-c were further treated with DMFDMA catalyst to form corresponding enaminones (3a-c) under the conventional heating method, in which different solvents such as DMF, xylene, toluene, acetonitrile and dioxane were examined for the effective conversion of 2a-c to 3a-c (Scheme). The yield was observed to be better with toluene and hence, toluene was considered as a suitable solvent for this reaction (Table-1). All the newly formed enaminones 3a-c were characterized using 1H-NMR, 13C-NMR, DEPT-135, H, H-COSY, HSQC, HR-MS (ESI) and the detailed data included in the experimental part.
The above enaminone derivatives (3a-c) afford various cyclized derivatives of 3,4-dihydro-9-arylacridin-1(2H)-ones such as 4a-c, 5a-c and 6a-c (Scheme) while it is treated with reagents such as hydrazine, hydroxylamine hydrochloride and phenylhydrazine. All these newly synthesized compounds were characterized using 1H-NMR, 13C-NMR, DEPT-135, H, H-COSY, HSQC, HR-MS (ESI) and the data included in the experimental section. Consequently, all the newly derived compounds 3a-c, 4a-c, 5a-c and 6a-c were subjected to the antifungal, antibacterial and anti-oxidant evaluations and their results are discussed under biological evaluation.
3.2 Biological evaluations
3.2.1 In-vitro antifungal activity
The antifungal activity of the compounds is presented in terms of MIC in Table-2. These minimum inhibitory concentration values demonstrate that the compounds exhibited good to moderate antifungal activity against the tested fungal pathogens. Among the compounds, 3a and 6a showed the highest antifungal activity with MIC value 0.007 and 0.006 μM against Candida albicans and Aspergillus niger respectively. In the case of Candida parapsilosis, promising antifungal activity was observed for compounds 3a, 5a and 6a with MIC values such as 0.028, 0.031 and 0.023 μM respectively. In the case of Aspergillus niger, compound 6a showed good antifungal activity as compared with positive control miconazole with MIC value of 0.006 μM. In the case of Candida glabrata, compound 4a exhibited good antifungal activity with MIC value 0.031 μM. The other compounds such as 4b, 5b-c and 6b-c failed to exhibit the activity against the all the fungal pathogens tested and hence not included in Table-2. The compound which showed lower antifungal activity is due to substitution on benzene ring, whereas compound 3a, 4a and 6a has no such substitution and hence exhibiting better activity.

Synthesis of enaminone of 3,4-dihydro-9-arylacridin-1(2H)-ones and their derivatives.
The results demonstrate that the compounds possess good antifungal activity against the fungal pathogens. Among all the compounds, the compounds 3a and 6a exhibited considerable fungal activity (MIC value as 0.89 μM) against Candida albicans MTCC 227 and Aspergillus niger MTCC 1344 respectively. Whereas other compounds, the anti-fungal activity is lower than 3a and 6a due to substitution on the aryl ring but in 3a and 6a there is no substitution on it.
3.2.2 In-vitro antibacterial activity
The compounds exhibited promising broad-spectrum antibacterial activity against the tested Gram-positive and Gram-negative bacteria pathogens. The antibacterial activity of the compounds is presented in terms of minimum inhibitory concentration in Table-3. In case of S. aureus strain, the compounds 5a and 6a exhibited the highest antibacterial activity with minimum MIC value (0.015 and 0.012 μM) compared with the positive control. In the case of K. planticola strain, compounds 4a exhibited the highest antibacterial activity with minimum MIC value (0.007 μM) compared with the positive control. The compounds 4a and 5a showed promising antibacterial activity in the case of test strain Bacillus cereus with MIC value 0.007 μM. Similarly, in the case of Staphylococcus aureus compounds 3b and 6a exhibited good antibacterial activity with minimum MIC values (0.006 and 0.012 μM) in comparison with neomycin standard. Furthermore, it was observed that compound 4a showed excellent antibacterial activity compared with neomycin standard against Escherichia coli bacterial pathogen with MIC value (0.003 μM). In the case of Pseudomonas aeruginosa, compared with standard neomycin (MIC 0.030 μM), compound 3a and 4a exhibited the highest antibacterial activity with MIC of 0.007 and 0.007 μM. This data clearly suggests that the compounds exhibit promising broad-spectrum antibacterial activity against test bacterial pathogens. The compound 4a showed excellent antibacterial activity towards Escherichia coli MTCC 1687 (MIC value 0.003 μM). The other compounds such as 3c, 4b, 5b-c and 6b failed to exhibit the activity against the all the bacterial pathogens tested and hence are not included in Table-3. The compound which showed lower antibacterial activity is due to substitution on the aryl ring, whereas in compounds 3a, 4a and 6a has no such substitution and hence exhibiting better activity.
The data clearly suggested that the compounds exhibit promising broad-spectrum of antibacterial activity against test bacterial pathogens. The compound 4a showed excellent antibacterial activity towards Escherichia Coli MTCC 1687 (MIC value 0.003 μM). Whereas other compounds, the anti-bacterial activity is low due to substitution on benzene ring but in compound 4a there is no substitution on it.
3.2.3 In-vitro antioxidant activity
The results of free radical-scavenging capacity of the compounds by DPPH methods are shown in Table-4. All of the compounds except 3c, 4b and 5b-c demonstrated inhibitory activity against the DPPH free radicals. The order of free radical-scavenging capacity of the compounds was 5a>4a>3a>6b>6a>4c = 3b>6c. The compounds 4a and 5a showed the highest free radical-scavenging capacity as compared to standard ascorbic acid with EC50 values 18.9 ± 1.9 and 16.85 ±1.5μgmL–1 respectively.
In-vitro antioxidant activity by DPPH free radical scavenging method.
| Compounds | EC(concentration of 50% scavenging of 50 |
|---|---|
| DPPH free radicals) [μgmL–1] | |
| 3a | 19.58 ± 1.1 |
| 3b | 33.5 ± 1.7 |
| 4a | 18.9 ± 1.9 |
| 4c | 33.5 ± 1.7 |
| 5a | 16.85 ±1.5 |
| 6a | 24.8 ± 1.3 |
| 6b | 20.74 ± 1.6 |
| 6c | 41.7 ± 2.1 |
| Ascorbic acid† | 18.22 ± 1.25 |
4 Conclusion
The 3,4-dihydro-9-arylacridin-1(2H)-one based enaminones was successfully synthesized by exploring the synthetic potential of DMFDMA which in turn converted into number of biologically potent heterocycles. In addition all the newly synthesized compounds were subjected to the in-vitro antifungal, antibacterial and antioxidant evaluations to find their efficacy and the potent lead molecules were found.
Acknowledgements
Authors are thankful to the administration, VIT University, Vellore, India for providing facilities to carry the research work and also thankful to SIF-Chemistry for providing NMR facility. Authors are thankful to the University of Hyderabad (Network resource centre (UGC-NRC) for HRMS facility and also NMR facilities. The authors thankful to the department of Life Sciences, University of Hyderabad, for extending their facilities to perform the biological activities. Author L. Jyothish Kumar is thankful to the VIT University for providing Research Associateship.
Conflict of interest Authors declare no conflict of interest.
References
[1] Abu‐Shanab, F.A, Sherif, S.M., Mousa, S.A.S., Dimethylformamide dimethyl acetal as a building block in heterocyclic synthesis J. Heterocyclic. Chem. 2009, 46, 801-827.10.1002/jhet.69Search in Google Scholar
[2] Kumar, D., Kommi, D.N., Chopra, P., Ansari, M.I, Chakraborti, A.K., L‐Proline‐Catalyzed Activation of Methyl Ketones or Active Methylene Compounds and DMF‐DMA for Syntheses of (2E)‐3‐ Dimethylamino‐2‐propen‐1‐ones, Eur. J. Org. Chem., 2012, 32, 6407-6413.10.1002/ejoc.201200778Search in Google Scholar
[3] Borah, A., Goswami, L., Neog, K., Gogoi, P., DMF Dimethyl Acetal as Carbon Source for α-Methylation of Ketones: A Hydrogenation–Hydrogenolysis Strategy of Enaminones, J. Org. Chem., 2015, 80, 4722-4728.10.1021/acs.joc.5b00084Search in Google Scholar PubMed
[4] Elassar, A.Z.A,, El-Khair, A.A., Recent developments in the chemistry of enaminones Tetrahedron 2003, 59, 8463-8480.10.1016/S0040-4020(03)01201-8Search in Google Scholar
[5] Nadaraj, V., Selvi, S.T., Mohan, S., Microwave-induced synthesis and anti-microbial activities of 7,10,11,12-tetrahydrobenzocacridin-8(9H-one derivatives, Eur. J. Med. Chem., 2009, 44, 976–980.10.1016/j.ejmech.2008.07.004Search in Google Scholar PubMed
[6] Hanif, R., Pittas, A., Feng, Y., Koutsos, M. I., Qiao, L., Staiano-Coico, L., Shiff, S.I, Rigas, B., Effects of nonsteroidal anti-inflammatory drugs on proliferation and on induction of apoptosis in colon cancer cells by a prostaglandin-independent pathway, Biochem Pharmacol., 1996, 52, 237-245.10.1016/0006-2952(96)00181-5Search in Google Scholar PubMed
[7] Cholewiñski, G., Dzierzbicka, K., Kolodziejczyk, A. M., Natural and synthetic acridines/acridones as antitumor agents: their biological activities and methods of synthesis, Pharmacol rep., 2011, 63, 305-336.10.1016/S1734-1140(11)70499-6Search in Google Scholar PubMed
[8] Antonini, I., Polucci, P., Kelland, L. R., Menta, E., Pescalli, N., Martelli, S., 2,3-Dihydro-1H7H-pyrimido[5,6,1-deacridine-1,3,7-trione Derivatives, a Class of Cytotoxic Agents Active on Multidrug-Resistant Cell Lines: Synthesis, Biological Evaluation, and Structure−Activity Relationships, J. Med. Chem., 1999, 42, 2535-2541.10.1021/jm9805586Search in Google Scholar PubMed
[9] Figgitt, D., Denny, W., Chavalitshewinkoon, P., Wilairat, P., Ralph, R., Structure-activity relationships and modes of action of 9-anilinoacridines against chloroquine-resistant Plasmodium falciparum in vitro, Antimicrob Agents and Chemother., 1992, 36, 1644-1647.10.1128/AAC.36.8.1644Search in Google Scholar PubMed PubMed Central
[10] Jyothish Kumar, L., Vijayakumar, V., An efficient solvent-free synthesis of 3-acetyl-4-arylquinoline-based enaminones and its derivatives using DMFDMA reagent, Chemical Papers, 2018, 72, 2001-2012. Chemical Papers 2018, 72, 2001-2012.10.1007/s11696-017-0375-5Search in Google Scholar
[11] Wan, J. P., Jing, Y., Hu, C., Sheng, S., Metal-Free Synthesis of Fully Substituted Pyridines via Ring Construction Based on the Domino Reactions of Enaminones and Aldehydes, J. Org. Chem., 2016, 81, 6826−6831. J. Org. Chem., 2016, 81, 6826−6831.10.1021/acs.joc.6b01149Search in Google Scholar PubMed
[12] Liu, Y, Zhou, R, Wan, J. P., Water-Promoted Synthesis of Enaminones: Mechanism Investigation and Application in Multicomponent Reactions, Synth. Commun., 2013, 43, 2475-2483. Synth. Commun., 2013, 43, 2475-2483.10.1080/00397911.2012.715712Search in Google Scholar
[13] Wan, J. P, Gao, Y., Domino Reactions Based on Combinatorial Bond Transformations in Electron‐Deficient Tertiary Enamines, The Chemical Record, 2016, 16, 1164–1177.10.1002/tcr.201500296Search in Google Scholar PubMed
[14] Wan, J. P, Zhong, S, Xie, L, Cao, X, Liu, Y, Wei, L., KIO3-Catalyzed Aerobic Cross-Coupling Reactions of Enaminones and Thiophenols: Synthesis of Polyfunctionalized Alkenes by Metal-Free C–H Sulfenylation, Org. Lett., 2016, 18, 584−587.10.1021/acs.orglett.5b03608Search in Google Scholar PubMed
© 2018 L. Jyothish Kumar et al., published by De Gruyter
This work is licensed under the Creative Commons Attribution-NonCommercial-NoDerivatives 4.0 License.
Articles in the same Issue
- Regular Articles
- The effect of CuO modification for a TiO2 nanotube confined CeO2 catalyst on the catalytic combustion of butane
- The preparation and antibacterial activity of cellulose/ZnO composite: a review
- Linde Type A and nano magnetite/NaA zeolites: cytotoxicity and doxorubicin loading efficiency
- Performance and thermal decomposition analysis of foaming agent NPL-10 for use in heavy oil recovery by steam injection
- Spectroscopic (FT-IR, FT-Raman, UV, 1H and 13C NMR) insights, electronic profiling and DFT computations on ({(E)-[3-(1H-imidazol-1-yl)-1-phenylpropylidene] amino}oxy)(4-nitrophenyl)methanone, an imidazole-bearing anti-Candida agent
- A Simplistic Preliminary Assessment of Ginstling-Brounstein Model for Solid Spherical Particles in the Context of a Diffusion-Controlled Synthesis
- M-Polynomials And Topological Indices Of Zigzag And Rhombic Benzenoid Systems
- Photochemical Transformation of some 3-benzyloxy-2-(benzo[b]thiophen-2-yl)-4Hchromen-4-ones: A Remote Substituent Effect
- Dynamic Changes of Secondary Metabolites and Antioxidant Activity of Ligustrum lucidum During Fruit Growth
- Studies on the flammability of polypropylene/ammonium polyphosphate and montmorillonite by using the cone calorimeter test
- DSC, FT-IR, NIR, NIR-PCA and NIR-ANOVA for determination of chemical stability of diuretic drugs: impact of excipients
- Antioxidant and Hepatoprotective Effects of Methanolic Extracts of Zilla spinosa and Hammada elegans Against Carbon Tetrachlorideinduced Hepatotoxicity in Rats
- Prunus cerasifera Ehrh. fabricated ZnO nano falcates and its photocatalytic and dose dependent in vitro bio-activity
- Organic biocides hosted in layered double hydroxides: enhancing antimicrobial activity
- Experimental study on the regulation of the cholinergic pathway in renal macrophages by microRNA-132 to alleviate inflammatory response
- Synthesis, characterization, in-vitro antimicrobial properties, molecular docking and DFT studies of 3-{(E)-[(4,6-dimethylpyrimidin-2-yl)imino]methyl} naphthalen-2-ol and Heteroleptic Mn(II), Co(II), Ni(II) and Zn(II) complexes
- M-Polynomials and Topological Indices of Dominating David Derived Networks
- Human Health Risk Assessment of Trace Metals in Surface Water Due to Leachate from the Municipal Dumpsite by Pollution Index: A Case Study from Ndawuse River, Abuja, Nigeria
- Analysis of Bowel Diseases from Blood Serum by Autofluorescence and Atomic Force Microscopy Techniques
- Hydrographic parameters and distribution of dissolved Cu, Ni, Zn and nutrients near Jeddah desalination plant
- Relationships between diatoms and environmental variables in industrial water biotopes of Trzuskawica S.A. (Poland)
- Optimum Conversion of Major Ginsenoside Rb1 to Minor Ginsenoside Rg3(S) by Pulsed Electric Field-Assisted Acid Hydrolysis Treatment
- Antioxidant, Anti-microbial Properties and Chemical Composition of Cumin Essential Oils Extracted by Three Methods
- Regulatory mechanism of ulinastatin on autophagy of macrophages and renal tubular epithelial cells
- Investigation of the sustained-release mechanism of hydroxypropyl methyl cellulose skeleton type Acipimox tablets
- Bio-accumulation of Polycyclic Aromatic Hydrocarbons in the Grey Mangrove (Avicennia marina) along Arabian Gulf, Saudi Coast
- Dynamic Change of Secondary Metabolites and spectrum-effect relationship of Malus halliana Koehne flowers during blooming
- Lipids constituents from Gardenia aqualla Stapf & Hutch
- Effect of using microwaves for catalysts preparation on the catalytic acetalization of glycerol with furfural to obtain fuel additives
- Effect of Humic Acid on the Degradation of Methylene Blue by Peroxymonosulfate
- Serum containing drugs of Gua Lou Xie Bai decoction (GLXB-D) can inhibit TGF-β1-Induced Epithelial to Mesenchymal Transition (EMT) in A549 Cells
- Antiulcer Activity of Different Extracts of Anvillea garcinii and Isolation of Two New Secondary Metabolites
- Analysis of Metabolites in Cabernet Sauvignon and Shiraz Dry Red Wines from Shanxi by 1H NMR Spectroscopy Combined with Pattern Recognition Analysis
- Can water temperature impact litter decomposition under pollution of copper and zinc mixture
- Released from ZrO2/SiO2 coating resveratrol inhibits senescence and oxidative stress of human adipose-derived stem cells (ASC)
- Validated thin-layer chromatographic method for alternative and simultaneous determination of two anti-gout agents in their fixed dose combinations
- Fast removal of pollutants from vehicle emissions during cold-start stage
- Review Article
- Catalytic activities of heterogeneous catalysts obtained by copolymerization of metal-containing 2-(acetoacetoxy)ethyl methacrylate
- Antibiotic Residue in the Aquatic Environment: Status in Africa
- Regular Articles
- Mercury fractionation in gypsum using temperature desorption and mass spectrometric detection
- Phytosynthetic Ag doped ZnO nanoparticles: Semiconducting green remediators
- Epithelial–Mesenchymal Transition Induced by SMAD4 Activation in Invasive Growth Hormone-Secreting Adenomas
- Physicochemical properties of stabilized sewage sludge admixtures by modified steel slag
- In Vitro Cytotoxic and Antiproliferative Activity of Cydonia oblonga flower petals, leaf and fruit pellet ethanolic extracts. Docking simulation of the active flavonoids on anti-apoptotic protein Bcl-2
- Synthesis and Characterization of Pd exchanged MMT Clay for Mizoroki-Heck Reaction
- A new selective, and sensitive method for the determination of lixivaptan, a vasopressin 2 (V2)-receptor antagonist, in mouse plasma and its application in a pharmacokinetic study
- Anti-EGFL7 antibodies inhibit rat prolactinoma MMQ cells proliferation and PRL secretion
- Density functional theory calculations, vibration spectral analysis and molecular docking of the antimicrobial agent 6-(1,3-benzodioxol-5-ylmethyl)-5-ethyl-2-{[2-(morpholin-4-yl)ethyl] sulfanyl}pyrimidin-4(3H)-one
- Effect of Nano Zeolite on the Transformation of Cadmium Speciation and Its Uptake by Tobacco in Cadmium-contaminated Soil
- Effects and Mechanisms of Jinniu Capsule on Methamphetamine-Induced Conditioned Place Preference in Rats
- Calculating the Degree-based Topological Indices of Dendrimers
- Efficient optimization and mineralization of UV absorbers: A comparative investigation with Fenton and UV/H2O2
- Metabolites of Tryptophane and Phenylalanine as Markers of Small Bowel Ischemia-Reperfusion Injury
- Adsorption and determination of polycyclic aromatic hydrocarbons in water through the aggregation of graphene oxide
- The role of NR2C2 in the prolactinomas
- Chromium removal from industrial wastewater using Phyllostachys pubescens biomass loaded Cu-S nanospheres
- Hydrotalcite Anchored Ruthenium Catalyst for CO2 Hydrogenation Reaction
- Preparation of Calcium Fluoride using Phosphogypsum by Orthogonal Experiment
- The mechanism of antibacterial activity of corylifolinin against three clinical bacteria from Psoralen corylifolia L
- 2-formyl-3,6-bis(hydroxymethyl)phenyl benzoate in Electrochemical Dry Cell
- Electro-photocatalytic degradation of amoxicillin using calcium titanate
- Effect of Malus halliana Koehne Polysaccharides on Functional Constipation
- Structural Properties and Nonlinear Optical Responses of Halogenated Compounds: A DFT Investigation on Molecular Modelling
- DMFDMA catalyzed synthesis of 2-((Dimethylamino)methylene)-3,4-dihydro-9-arylacridin-1(2H)-ones and their derivatives: in-vitro antifungal, antibacterial and antioxidant evaluations
- Production of Methanol as a Fuel Energy from CO2 Present in Polluted Seawater - A Photocatalytic Outlook
- Study of different extraction methods on finger print and fatty acid of raw beef fat using fourier transform infrared and gas chromatography-mass spectrometry
- Determination of trace fluoroquinolones in water solutions and in medicinal preparations by conventional and synchronous fluorescence spectrometry
- Extraction and determination of flavonoids in Carthamus tinctorius
- Therapeutic Application of Zinc and Vanadium Complexes against Diabetes Mellitus a Coronary Disease: A review
- Study of calcined eggshell as potential catalyst for biodiesel formation using used cooking oil
- Manganese oxalates - structure-based Insights
- Topological Indices of H-Naphtalenic Nanosheet
- Long-Term Dissolution of Glass Fibers in Water Described by Dissolving Cylinder Zero-Order Kinetic Model: Mass Loss and Radius Reduction
- Topological study of the para-line graphs of certain pentacene via topological indices
- A brief insight into the prediction of water vapor transmissibility in highly impermeable hybrid nanocomposites based on bromobutyl/epichlorohydrin rubber blends
- Comparative sulfite assay by voltammetry using Pt electrodes, photometry and titrimetry: Application to cider, vinegar and sugar analysis
- MicroRNA delivery mediated by PEGylated polyethylenimine for prostate cancer therapy
- Reversible Fluorescent Turn-on Sensors for Fe3+ based on a Receptor Composed of Tri-oxygen Atoms of Amide Groups in Water
- Sonocatalytic degradation of methyl orange in aqueous solution using Fe-doped TiO2 nanoparticles under mechanical agitation
- Hydrotalcite Anchored Ruthenium Catalyst for CO2 Hydrogenation Reaction
- Production and Analysis of Recycled Ammonium Perrhenate from CMSX-4 superalloys
- Topical Issue on Agriculture
- New phosphorus biofertilizers from renewable raw materials in the aspect of cadmium and lead contents in soil and plants
- Survey of content of cadmium, calcium, chromium, copper, iron, lead, magnesium, manganese, mercury, sodium and zinc in chamomile and green tea leaves by electrothermal or flame atomizer atomic absorption spectrometry
- Biogas digestate – benefits and risks for soil fertility and crop quality – an evaluation of grain maize response
- A numerical analysis of heat transfer in a cross-current heat exchanger with controlled and newly designed air flows
- Freshwater green macroalgae as a biosorbent of Cr(III) ions
- The main influencing factors of soil mechanical characteristics of the gravity erosion environment in the dry-hot valley of Jinsha river
- Free amino acids in Viola tricolor in relation to different habitat conditions
- The influence of filler amount on selected properties of new experimental resin dental composite
- Effect of poultry wastewater irrigation on nitrogen, phosphorus and carbon contents in farmland soil
- Response of spring wheat to NPK and S fertilization. The content and uptake of macronutrients and the value of ionic ratios
- The Effect of Macroalgal Extracts and Near Infrared Radiation on Germination of Soybean Seedlings: Preliminary Research Results
- Content of Zn, Cd and Pb in purple moor-grass in soils heavily contaminated with heavy metals around a zinc and lead ore tailing landfill
- Topical Issue on Research for Natural Bioactive Products
- Synthesis of (±)-3,4-dimethoxybenzyl-4-methyloctanoate as a novel internal standard for capsinoid determination by HPLC-ESI-MS/MS(QTOF)
- Repellent activity of monoterpenoid esters with neurotransmitter amino acids against yellow fever mosquito, Aedes aegypti
- Effect of Flammulina velutipes (golden needle mushroom, eno-kitake) polysaccharides on constipation
- Bioassay-directed fractionation of a blood coagulation factor Xa inhibitor, betulinic acid from Lycopus lucidus
- Antifungal and repellent activities of the essential oils from three aromatic herbs from western Himalaya
- Chemical composition and microbiological evaluation of essential oil from Hyssopus officinalis L. with white and pink flowers
- Bioassay-guided isolation and identification of Aedes aegypti larvicidal and biting deterrent compounds from Veratrum lobelianum
- α-Terpineol, a natural monoterpene: A review of its biological properties
- Utility of essential oils for development of host-based lures for Xyleborus glabratus (Coleoptera: Curculionidae: Scolytinae), vector of laurel wilt
- Phenolic composition and antioxidant potential of different organs of Kazakh Crataegus almaatensis Pojark: A comparison with the European Crataegus oxyacantha L. flowers
- Isolation of eudesmane type sesquiterpene ketone from Prangos heyniae H.Duman & M.F.Watson essential oil and mosquitocidal activity of the essential oils
- Comparative analysis of the polyphenols profiles and the antioxidant and cytotoxicity properties of various blue honeysuckle varieties
- Special Issue on ICCESEN 2017
- Modelling world energy security data from multinomial distribution by generalized linear model under different cumulative link functions
- Pine Cone and Boron Compounds Effect as Reinforcement on Mechanical and Flammability Properties of Polyester Composites
- Artificial Neural Network Modelling for Prediction of SNR Effected by Probe Properties on Ultrasonic Inspection of Austenitic Stainless Steel Weldments
- Calculation and 3D analyses of ERR in the band crack front contained in a rectangular plate made of multilayered material
- Improvement of fuel properties of biodiesel with bioadditive ethyl levulinate
- Properties of AlSi9Cu3 metal matrix micro and nano composites produced via stir casting
- Investigation of Antibacterial Properties of Ag Doped TiO2 Nanofibers Prepared by Electrospinning Process
- Modeling of Total Phenolic contents in Various Tea samples by Experimental Design Methods
- Nickel doping effect on the structural and optical properties of indium sulfide thin films by SILAR
- The effect mechanism of Ginnalin A as a homeopathic agent on various cancer cell lines
- Excitation functions of proton induced reactions of some radioisotopes used in medicine
- Oxide ionic conductivity and microstructures of Pr and Sm co-doped CeO2-based systems
- Rapid Synthesis of Metallic Reinforced in Situ Intermetallic Composites in Ti-Al-Nb System via Resistive Sintering
- Oxidation Behavior of NiCr/YSZ Thermal Barrier Coatings (TBCs)
- Clustering Analysis of Normal Strength Concretes Produced with Different Aggregate Types
- Magnetic Nano-Sized Solid Acid Catalyst Bearing Sulfonic Acid Groups for Biodiesel Synthesis
- The biological activities of Arabis alpina L. subsp. brevifolia (DC.) Cullen against food pathogens
- Humidity properties of Schiff base polymers
- Free Vibration Analysis of Fiber Metal Laminated Straight Beam
- Comparative study of in vitro antioxidant, acetylcholinesterase and butyrylcholinesterase activity of alfalfa (Medicago sativa L.) collected during different growth stages
- Isothermal Oxidation Behavior of Gadolinium Zirconate (Gd2Zr2O7) Thermal Barrier Coatings (TBCs) produced by Electron Beam Physical Vapor Deposition (EB-PVD) technique
- Optimization of Adsorption Parameters for Ultra-Fine Calcite Using a Box-Behnken Experimental Design
- The Microstructural Investigation of Vermiculite-Infiltrated Electron Beam Physical Vapor Deposition Thermal Barrier Coatings
- Modelling Porosity Permeability of Ceramic Tiles using Fuzzy Taguchi Method
- Experimental and theoretical study of a novel naphthoquinone Schiff base
- Physicochemical properties of heat treated sille stone for ceramic industry
- Sand Dune Characterization for Preparing Metallurgical Grade Silicon
- Catalytic Applications of Large Pore Sulfonic Acid-Functionalized SBA-15 Mesoporous Silica for Esterification
- One-photon Absorption Characterizations, Dipole Polarizabilities and Second Hyperpolarizabilities of Chlorophyll a and Crocin
- The Optical and Crystallite Characterization of Bilayer TiO2 Films Coated on Different ITO layers
- Topical Issue on Bond Activation
- Metal-mediated reactions towards the synthesis of a novel deaminolysed bisurea, dicarbamolyamine
- The structure of ortho-(trifluoromethyl)phenol in comparison to its homologues – A combined experimental and theoretical study
- Heterogeneous catalysis with encapsulated haem and other synthetic porphyrins: Harnessing the power of porphyrins for oxidation reactions
- Recent Advances on Mechanistic Studies on C–H Activation Catalyzed by Base Metals
- Reactions of the organoplatinum complex [Pt(cod) (neoSi)Cl] (neoSi = trimethylsilylmethyl) with the non-coordinating anions SbF6– and BPh4–
- Erratum
- Investigation on Two Compounds of O, O’-dithiophosphate Derivatives as Corrosion Inhibitors for Q235 Steel in Hydrochloric Acid Solution
Articles in the same Issue
- Regular Articles
- The effect of CuO modification for a TiO2 nanotube confined CeO2 catalyst on the catalytic combustion of butane
- The preparation and antibacterial activity of cellulose/ZnO composite: a review
- Linde Type A and nano magnetite/NaA zeolites: cytotoxicity and doxorubicin loading efficiency
- Performance and thermal decomposition analysis of foaming agent NPL-10 for use in heavy oil recovery by steam injection
- Spectroscopic (FT-IR, FT-Raman, UV, 1H and 13C NMR) insights, electronic profiling and DFT computations on ({(E)-[3-(1H-imidazol-1-yl)-1-phenylpropylidene] amino}oxy)(4-nitrophenyl)methanone, an imidazole-bearing anti-Candida agent
- A Simplistic Preliminary Assessment of Ginstling-Brounstein Model for Solid Spherical Particles in the Context of a Diffusion-Controlled Synthesis
- M-Polynomials And Topological Indices Of Zigzag And Rhombic Benzenoid Systems
- Photochemical Transformation of some 3-benzyloxy-2-(benzo[b]thiophen-2-yl)-4Hchromen-4-ones: A Remote Substituent Effect
- Dynamic Changes of Secondary Metabolites and Antioxidant Activity of Ligustrum lucidum During Fruit Growth
- Studies on the flammability of polypropylene/ammonium polyphosphate and montmorillonite by using the cone calorimeter test
- DSC, FT-IR, NIR, NIR-PCA and NIR-ANOVA for determination of chemical stability of diuretic drugs: impact of excipients
- Antioxidant and Hepatoprotective Effects of Methanolic Extracts of Zilla spinosa and Hammada elegans Against Carbon Tetrachlorideinduced Hepatotoxicity in Rats
- Prunus cerasifera Ehrh. fabricated ZnO nano falcates and its photocatalytic and dose dependent in vitro bio-activity
- Organic biocides hosted in layered double hydroxides: enhancing antimicrobial activity
- Experimental study on the regulation of the cholinergic pathway in renal macrophages by microRNA-132 to alleviate inflammatory response
- Synthesis, characterization, in-vitro antimicrobial properties, molecular docking and DFT studies of 3-{(E)-[(4,6-dimethylpyrimidin-2-yl)imino]methyl} naphthalen-2-ol and Heteroleptic Mn(II), Co(II), Ni(II) and Zn(II) complexes
- M-Polynomials and Topological Indices of Dominating David Derived Networks
- Human Health Risk Assessment of Trace Metals in Surface Water Due to Leachate from the Municipal Dumpsite by Pollution Index: A Case Study from Ndawuse River, Abuja, Nigeria
- Analysis of Bowel Diseases from Blood Serum by Autofluorescence and Atomic Force Microscopy Techniques
- Hydrographic parameters and distribution of dissolved Cu, Ni, Zn and nutrients near Jeddah desalination plant
- Relationships between diatoms and environmental variables in industrial water biotopes of Trzuskawica S.A. (Poland)
- Optimum Conversion of Major Ginsenoside Rb1 to Minor Ginsenoside Rg3(S) by Pulsed Electric Field-Assisted Acid Hydrolysis Treatment
- Antioxidant, Anti-microbial Properties and Chemical Composition of Cumin Essential Oils Extracted by Three Methods
- Regulatory mechanism of ulinastatin on autophagy of macrophages and renal tubular epithelial cells
- Investigation of the sustained-release mechanism of hydroxypropyl methyl cellulose skeleton type Acipimox tablets
- Bio-accumulation of Polycyclic Aromatic Hydrocarbons in the Grey Mangrove (Avicennia marina) along Arabian Gulf, Saudi Coast
- Dynamic Change of Secondary Metabolites and spectrum-effect relationship of Malus halliana Koehne flowers during blooming
- Lipids constituents from Gardenia aqualla Stapf & Hutch
- Effect of using microwaves for catalysts preparation on the catalytic acetalization of glycerol with furfural to obtain fuel additives
- Effect of Humic Acid on the Degradation of Methylene Blue by Peroxymonosulfate
- Serum containing drugs of Gua Lou Xie Bai decoction (GLXB-D) can inhibit TGF-β1-Induced Epithelial to Mesenchymal Transition (EMT) in A549 Cells
- Antiulcer Activity of Different Extracts of Anvillea garcinii and Isolation of Two New Secondary Metabolites
- Analysis of Metabolites in Cabernet Sauvignon and Shiraz Dry Red Wines from Shanxi by 1H NMR Spectroscopy Combined with Pattern Recognition Analysis
- Can water temperature impact litter decomposition under pollution of copper and zinc mixture
- Released from ZrO2/SiO2 coating resveratrol inhibits senescence and oxidative stress of human adipose-derived stem cells (ASC)
- Validated thin-layer chromatographic method for alternative and simultaneous determination of two anti-gout agents in their fixed dose combinations
- Fast removal of pollutants from vehicle emissions during cold-start stage
- Review Article
- Catalytic activities of heterogeneous catalysts obtained by copolymerization of metal-containing 2-(acetoacetoxy)ethyl methacrylate
- Antibiotic Residue in the Aquatic Environment: Status in Africa
- Regular Articles
- Mercury fractionation in gypsum using temperature desorption and mass spectrometric detection
- Phytosynthetic Ag doped ZnO nanoparticles: Semiconducting green remediators
- Epithelial–Mesenchymal Transition Induced by SMAD4 Activation in Invasive Growth Hormone-Secreting Adenomas
- Physicochemical properties of stabilized sewage sludge admixtures by modified steel slag
- In Vitro Cytotoxic and Antiproliferative Activity of Cydonia oblonga flower petals, leaf and fruit pellet ethanolic extracts. Docking simulation of the active flavonoids on anti-apoptotic protein Bcl-2
- Synthesis and Characterization of Pd exchanged MMT Clay for Mizoroki-Heck Reaction
- A new selective, and sensitive method for the determination of lixivaptan, a vasopressin 2 (V2)-receptor antagonist, in mouse plasma and its application in a pharmacokinetic study
- Anti-EGFL7 antibodies inhibit rat prolactinoma MMQ cells proliferation and PRL secretion
- Density functional theory calculations, vibration spectral analysis and molecular docking of the antimicrobial agent 6-(1,3-benzodioxol-5-ylmethyl)-5-ethyl-2-{[2-(morpholin-4-yl)ethyl] sulfanyl}pyrimidin-4(3H)-one
- Effect of Nano Zeolite on the Transformation of Cadmium Speciation and Its Uptake by Tobacco in Cadmium-contaminated Soil
- Effects and Mechanisms of Jinniu Capsule on Methamphetamine-Induced Conditioned Place Preference in Rats
- Calculating the Degree-based Topological Indices of Dendrimers
- Efficient optimization and mineralization of UV absorbers: A comparative investigation with Fenton and UV/H2O2
- Metabolites of Tryptophane and Phenylalanine as Markers of Small Bowel Ischemia-Reperfusion Injury
- Adsorption and determination of polycyclic aromatic hydrocarbons in water through the aggregation of graphene oxide
- The role of NR2C2 in the prolactinomas
- Chromium removal from industrial wastewater using Phyllostachys pubescens biomass loaded Cu-S nanospheres
- Hydrotalcite Anchored Ruthenium Catalyst for CO2 Hydrogenation Reaction
- Preparation of Calcium Fluoride using Phosphogypsum by Orthogonal Experiment
- The mechanism of antibacterial activity of corylifolinin against three clinical bacteria from Psoralen corylifolia L
- 2-formyl-3,6-bis(hydroxymethyl)phenyl benzoate in Electrochemical Dry Cell
- Electro-photocatalytic degradation of amoxicillin using calcium titanate
- Effect of Malus halliana Koehne Polysaccharides on Functional Constipation
- Structural Properties and Nonlinear Optical Responses of Halogenated Compounds: A DFT Investigation on Molecular Modelling
- DMFDMA catalyzed synthesis of 2-((Dimethylamino)methylene)-3,4-dihydro-9-arylacridin-1(2H)-ones and their derivatives: in-vitro antifungal, antibacterial and antioxidant evaluations
- Production of Methanol as a Fuel Energy from CO2 Present in Polluted Seawater - A Photocatalytic Outlook
- Study of different extraction methods on finger print and fatty acid of raw beef fat using fourier transform infrared and gas chromatography-mass spectrometry
- Determination of trace fluoroquinolones in water solutions and in medicinal preparations by conventional and synchronous fluorescence spectrometry
- Extraction and determination of flavonoids in Carthamus tinctorius
- Therapeutic Application of Zinc and Vanadium Complexes against Diabetes Mellitus a Coronary Disease: A review
- Study of calcined eggshell as potential catalyst for biodiesel formation using used cooking oil
- Manganese oxalates - structure-based Insights
- Topological Indices of H-Naphtalenic Nanosheet
- Long-Term Dissolution of Glass Fibers in Water Described by Dissolving Cylinder Zero-Order Kinetic Model: Mass Loss and Radius Reduction
- Topological study of the para-line graphs of certain pentacene via topological indices
- A brief insight into the prediction of water vapor transmissibility in highly impermeable hybrid nanocomposites based on bromobutyl/epichlorohydrin rubber blends
- Comparative sulfite assay by voltammetry using Pt electrodes, photometry and titrimetry: Application to cider, vinegar and sugar analysis
- MicroRNA delivery mediated by PEGylated polyethylenimine for prostate cancer therapy
- Reversible Fluorescent Turn-on Sensors for Fe3+ based on a Receptor Composed of Tri-oxygen Atoms of Amide Groups in Water
- Sonocatalytic degradation of methyl orange in aqueous solution using Fe-doped TiO2 nanoparticles under mechanical agitation
- Hydrotalcite Anchored Ruthenium Catalyst for CO2 Hydrogenation Reaction
- Production and Analysis of Recycled Ammonium Perrhenate from CMSX-4 superalloys
- Topical Issue on Agriculture
- New phosphorus biofertilizers from renewable raw materials in the aspect of cadmium and lead contents in soil and plants
- Survey of content of cadmium, calcium, chromium, copper, iron, lead, magnesium, manganese, mercury, sodium and zinc in chamomile and green tea leaves by electrothermal or flame atomizer atomic absorption spectrometry
- Biogas digestate – benefits and risks for soil fertility and crop quality – an evaluation of grain maize response
- A numerical analysis of heat transfer in a cross-current heat exchanger with controlled and newly designed air flows
- Freshwater green macroalgae as a biosorbent of Cr(III) ions
- The main influencing factors of soil mechanical characteristics of the gravity erosion environment in the dry-hot valley of Jinsha river
- Free amino acids in Viola tricolor in relation to different habitat conditions
- The influence of filler amount on selected properties of new experimental resin dental composite
- Effect of poultry wastewater irrigation on nitrogen, phosphorus and carbon contents in farmland soil
- Response of spring wheat to NPK and S fertilization. The content and uptake of macronutrients and the value of ionic ratios
- The Effect of Macroalgal Extracts and Near Infrared Radiation on Germination of Soybean Seedlings: Preliminary Research Results
- Content of Zn, Cd and Pb in purple moor-grass in soils heavily contaminated with heavy metals around a zinc and lead ore tailing landfill
- Topical Issue on Research for Natural Bioactive Products
- Synthesis of (±)-3,4-dimethoxybenzyl-4-methyloctanoate as a novel internal standard for capsinoid determination by HPLC-ESI-MS/MS(QTOF)
- Repellent activity of monoterpenoid esters with neurotransmitter amino acids against yellow fever mosquito, Aedes aegypti
- Effect of Flammulina velutipes (golden needle mushroom, eno-kitake) polysaccharides on constipation
- Bioassay-directed fractionation of a blood coagulation factor Xa inhibitor, betulinic acid from Lycopus lucidus
- Antifungal and repellent activities of the essential oils from three aromatic herbs from western Himalaya
- Chemical composition and microbiological evaluation of essential oil from Hyssopus officinalis L. with white and pink flowers
- Bioassay-guided isolation and identification of Aedes aegypti larvicidal and biting deterrent compounds from Veratrum lobelianum
- α-Terpineol, a natural monoterpene: A review of its biological properties
- Utility of essential oils for development of host-based lures for Xyleborus glabratus (Coleoptera: Curculionidae: Scolytinae), vector of laurel wilt
- Phenolic composition and antioxidant potential of different organs of Kazakh Crataegus almaatensis Pojark: A comparison with the European Crataegus oxyacantha L. flowers
- Isolation of eudesmane type sesquiterpene ketone from Prangos heyniae H.Duman & M.F.Watson essential oil and mosquitocidal activity of the essential oils
- Comparative analysis of the polyphenols profiles and the antioxidant and cytotoxicity properties of various blue honeysuckle varieties
- Special Issue on ICCESEN 2017
- Modelling world energy security data from multinomial distribution by generalized linear model under different cumulative link functions
- Pine Cone and Boron Compounds Effect as Reinforcement on Mechanical and Flammability Properties of Polyester Composites
- Artificial Neural Network Modelling for Prediction of SNR Effected by Probe Properties on Ultrasonic Inspection of Austenitic Stainless Steel Weldments
- Calculation and 3D analyses of ERR in the band crack front contained in a rectangular plate made of multilayered material
- Improvement of fuel properties of biodiesel with bioadditive ethyl levulinate
- Properties of AlSi9Cu3 metal matrix micro and nano composites produced via stir casting
- Investigation of Antibacterial Properties of Ag Doped TiO2 Nanofibers Prepared by Electrospinning Process
- Modeling of Total Phenolic contents in Various Tea samples by Experimental Design Methods
- Nickel doping effect on the structural and optical properties of indium sulfide thin films by SILAR
- The effect mechanism of Ginnalin A as a homeopathic agent on various cancer cell lines
- Excitation functions of proton induced reactions of some radioisotopes used in medicine
- Oxide ionic conductivity and microstructures of Pr and Sm co-doped CeO2-based systems
- Rapid Synthesis of Metallic Reinforced in Situ Intermetallic Composites in Ti-Al-Nb System via Resistive Sintering
- Oxidation Behavior of NiCr/YSZ Thermal Barrier Coatings (TBCs)
- Clustering Analysis of Normal Strength Concretes Produced with Different Aggregate Types
- Magnetic Nano-Sized Solid Acid Catalyst Bearing Sulfonic Acid Groups for Biodiesel Synthesis
- The biological activities of Arabis alpina L. subsp. brevifolia (DC.) Cullen against food pathogens
- Humidity properties of Schiff base polymers
- Free Vibration Analysis of Fiber Metal Laminated Straight Beam
- Comparative study of in vitro antioxidant, acetylcholinesterase and butyrylcholinesterase activity of alfalfa (Medicago sativa L.) collected during different growth stages
- Isothermal Oxidation Behavior of Gadolinium Zirconate (Gd2Zr2O7) Thermal Barrier Coatings (TBCs) produced by Electron Beam Physical Vapor Deposition (EB-PVD) technique
- Optimization of Adsorption Parameters for Ultra-Fine Calcite Using a Box-Behnken Experimental Design
- The Microstructural Investigation of Vermiculite-Infiltrated Electron Beam Physical Vapor Deposition Thermal Barrier Coatings
- Modelling Porosity Permeability of Ceramic Tiles using Fuzzy Taguchi Method
- Experimental and theoretical study of a novel naphthoquinone Schiff base
- Physicochemical properties of heat treated sille stone for ceramic industry
- Sand Dune Characterization for Preparing Metallurgical Grade Silicon
- Catalytic Applications of Large Pore Sulfonic Acid-Functionalized SBA-15 Mesoporous Silica for Esterification
- One-photon Absorption Characterizations, Dipole Polarizabilities and Second Hyperpolarizabilities of Chlorophyll a and Crocin
- The Optical and Crystallite Characterization of Bilayer TiO2 Films Coated on Different ITO layers
- Topical Issue on Bond Activation
- Metal-mediated reactions towards the synthesis of a novel deaminolysed bisurea, dicarbamolyamine
- The structure of ortho-(trifluoromethyl)phenol in comparison to its homologues – A combined experimental and theoretical study
- Heterogeneous catalysis with encapsulated haem and other synthetic porphyrins: Harnessing the power of porphyrins for oxidation reactions
- Recent Advances on Mechanistic Studies on C–H Activation Catalyzed by Base Metals
- Reactions of the organoplatinum complex [Pt(cod) (neoSi)Cl] (neoSi = trimethylsilylmethyl) with the non-coordinating anions SbF6– and BPh4–
- Erratum
- Investigation on Two Compounds of O, O’-dithiophosphate Derivatives as Corrosion Inhibitors for Q235 Steel in Hydrochloric Acid Solution