Abstract
A microRNA (miRNA) nanomedicine PEG-PEI/miR-221/222 was synthesized based on PEGylated polyethylenimine PEG-PEI and used to transfect prostate cancer cells (PC-3) in vitro. Gel retardation assay confirmed the formation of nanomedicine, of which the zeta potential and particle size were determined by dynamic light scattering. Its cytotoxicity was analyzed by CCK-8 assay-while its transfection efficiency was analyzed by flow cytometry. Cell uptake and intracellular distribution of nanoparticles were evaluated using laser confocal microscopy. RT-PCR and western-blot assays were conducted to verify the regulation of SIRT1 target gene. We found that the properties of the nanocomplexes of miRNA and PEG-PEI depended on N/P ratios. At higher N/P ratio, accompanied by higher zeta potential and higher cytotoxicity, PEG-PEI is needed to completely condense the miRNA into small particles with uniform size distribution. Under an N/P ratio of 20, high transfection efficiency and low carrier cytotoxicity were obtained simultaneously in PC-3 cells in vitro. Consequently, the SIRT1 expression was up-regulated due to the nanoparticle-delivered miR-221/222, which resulted in effective inhibition of PC-3 cells. Our study revealed the PEG-PEI/miR-221/222 nanomedicine as a prospective alternative for treatment of advanced prostate cancer and also lays a foundation for future in vivo investigation.
1 Introduction
Prostate cancer (PCa) has become one of the most commonly diagnosed malignancies in western countries and the second pathogenic factor of cancer-related deaths for men. In 2008, patients newly diagnosed with prostate cancer amounted to 14% of all tumor patients globally. While life quality and medical technology have improved, the occurrence of advanced prostate cancer has shown a rising trend. Patients with advanced prostate cancer usually had no indication to undergo a radical prostatectomy operation, and other traditional treatments such as chemotherapy are unable to effectively cure it. Therefore, seeking for new medication therapy for PCa is still a compelling challenge.
The emerging technique RNA interference (RNAi), based on small interfering RNAs (siRNAs) or microRNAs (miRNAs), has shown great potential in cancer treatment. In particular, RNAi possesses high specificity and the ability to regulate the expression of oncogenes in tumor initiation, growth and metastasis [1]. First discovered by Lee in 1993, miRNAs were non-coding small single stranded 18-24 nucleotides RNAs, participating in many significant biological processes including proliferation, cell differentiation, and apoptosis, and so on [2, 3]. Recently, many studies have shown that miRNAs are associated with various human diseases [4, 5, 6, 7]. Aberrant expression of endogenous miRNAs has often been observed in human cancer tissues/cells and is believed to promote carcinogenesis and progression [8, 9, 10, 11, 12]. Furthermore, miRNA signatures unique to PCa have been identified as well and several onco-related miRNAs and tumor-suppressive miRNAs have been successfully identified [8, 9, 10, 11]. For example, Visone has detected that expression of microRNAs (miR)-221/222 in prostate cancer tissues was significantly decreased, suggesting that miR-221/222 plays a critical role in the occurrence and growth of prostate cancer [13]. They found that supplement of exogenous miR-221/222 may regulate abnormal gene expression, thus inhibiting tumor growth. Besides, studies have shown that these two miRNAs play a significant role in tumorigenesis and progression, from androgen-dependent PCa to androgen-independent PCa [14, 15, 16, 17, 18, 19, 20, 21, 22].
Since the naked nucleic acids are unable to cross cell membranes and are susceptible to enzymatic degradation in vivo, the use of viral or non-viral carriers is crucial to overcome the poor intracellular uptake and restricted bloodstream stability [23]. Despite the high transfection efficiency in various cell types, the clinical applications of viral vectors are limited by immunogenicity, difficult preparation, and potential pathogenicity [24]. In comparison, non-viral vectors have presented as promising alternatives due to simple fabrication, lack of pathogenicity and immunogenicity, and better biocompatibility [25]. Non-viral vectors are synthesized through chemical processes that are basically divided into cationic polymers and cationic lipids because of its structure [26]. Among various non-viral vectors, polyethyleneimine (PEI) offers primary, secondary, and tertiary amines to construct with nucleic acids like DNA and miRNA. PEI is also a commonly studied cationic polymer in gene therapy. The PEI vector has many advantages, including high nucleic acid complexation efficiency, unique buffering effect for lysosomal escape, and easy modification with a targeting ligand to enable cell-type-specific interaction. However, PEI can induce cationic cytotoxicity, based on its concentration and molecular weight, because of its electrostatic interaction with negatively charged components in cell membrane, for instance, the sialic acid. Consequently, polyethylene glycol (PEG) as a non-charged hydrophilic polymer is usually bound to PEI to form PEG-g-PEI in order to eliminate cytotoxicity while keeping considerable delivery efficiency [27, 28, 29, 30, 31].
In an effort to search for an effective treatment of advanced prostate cancer, the present study aimed to show whether PEG-g-PEI is a promising nanocarrier with good miRNA delivery efficiency and low cytotoxicity. The co-polymer PEG-PEI comprising PEG 2 kDa and PEI 25 kDa to mediate the delivery of miR-221/222 into PC-3 prostate cancer cells in vitro. The expression of tumor-suppressing SIRT1 gene regulated by the miRNA nanomedicine was evaluated.
2 Experimental procedures
2.1 Materials
The PC-3 prostate cancer cell line was produced by the type Culture Collection of the Chinese Academy of Sciences, Shanghai, China. Cell culture reagents were produced by GIBCO (Carlsbad ,CA, USA). PEG-PEI was produced in our own lab as previously reported [32]. The miR-221/222, negative control miRNA and Cy3-labeled miRNAs were produced by RiboBio (Guangzhou RiboBio Co., Ltd.). Cell Counting Kit (CCK-8/WST-8) and AnnexinV-FITC Apoptosis Detection Kit were produced by KeyGen (KeyGen BioTECH, Guangzhou). The Taqman(r) microRNA RT Kit, TAQMAN UNIVERSAL MMIX IINO UNGand lipo2000 was produced by Life Technologies (Carlsbad, USA).
2.2 Cell culture
PC-3 prostate cancer cells were cultured in 1640 medium with 10%xfetal bovine serum (FBS) under humidified conditions (37°C, 5% CO2). The cells were passaged on the third day, and were trypsinized and subcultured until they reached 90% confluence.
2.3 Synthesis of PEG-PEI
The PEG-PEI copolymer was produced and activated according to prior described method with minor modification [32]. PEG-OH was transformed to PEG-COOH through reacting with succinic anhydride (SA). After being dissolved in 20mL anhydrous chloroform, PEG-OH and SA (1:5 in molar ratio) were refluxed at 70°C for 48 hours. When used distillation to eliminate chloroform polymer was dissolved again in 20 mL DI water and dialyzed against water for 2 days in order to remove succinic anhydride and residual succinic acid. It was then frozen to dry the product yielding purified PEG-COOH. Ultimately, hyperbranched PEI 25 kDa and NHS-activated PEG were reacted with DMSO and magnetically stirred during 24 hours at room temperature to form PEG-PEI. The solution was purified by membrane dialysis (MWCO: 14000 Da) in DI water during 3 days and the mixture was lyophilized Figure 1⍰.

Schematic illustration of nanoparticle formation and internalization into PCa cells for co-delivery of miRNA.
2.4 Preparation of PEG-PEI/miR-221/222 nanoparticles
PEG-PEI was dissolved in RNase-free water with 1 mg/mL miR-221/222 was dissolved in water at 20 mM. Based on the designed N/P ratios, appropriate volumes of PEG-PEI and miR-221/222 mixture were combined, stirred for 15s, and incubated under room temperature for 30 min before use.
2.5 Gel retardation assay
Gel electrophoresis was used to determine the complexation of PEG-PEI with miRNA. According to the designed N/P ratios (0, 1, 2, 3, 4, 5), miR-221/222 (20 mM) was dissolved in 10x loading buffer before being transferred into 1% agarose gels with 0.5 mg/mL ethidium bromide (EB). The electrophoresis was conducted for 15 min at 130V. The miR-221/222 bands were visualized under UV light (Uvidoc, Cambridge, UK).
2.6 Measurement of particle size and zeta potential
2 mL of miR-221/222 was dissolved in DEPC water, mixed with PEG-PEI at different N/P ratios, and cultured at room temperature for 30 minutes. Afterwards, the mixed solution was diluted to 60 mL with DEPC-treated water. The potential and size were detected with the Zeta-Plus instrument (Brookhaven, New York) with detection angles of scattered light at 90° and 15°, respectively. Measurements were performed at room temperature. Result are shown in mean±SD (n=5).
2.7 Cell viability assay
CCK-8x assay was employed to test PC-3 cell viabilities at various cell incubation environments. PC-3 cells with density of 5×103 cells per well were seeded onto the 96-well plates by 100 mL of 1640 medium with 10% FBS. The cells were cultured for 24 hours at 37°C and divided into 4 groups: blank control group, PEG-PEI/miR-221 group, PEG-PEI/miR-222 group andlipo2000 group. The medium was substituted with 100 mL fresh medium for every group prior to the experiment. Based on the N/P ratios of 0, 1, 2, 5, 10, 20, 50, 100, 200, different amounts of PEG-PEI/miRNA mixture were placed into the medium, and then the incubated plates were slightly wobbled and placed for 48 hours. After that, 10 mL of CCK-8xsolution was mixed into each well to continue incubate for 2 hours under the dark conditions. The InfinitexF200xMutimodexPlate Reader (Tecan, Crailsheim, Germany) was used to obtain light absorption data for each well at 450 nm wavelength. The experiments were then repeated twice so that all groups have three replicates. The dose in each well of the miR-221/222 and miR-scr was 100 mM.
2.8 In vitro transfection
The flow cytometry was used to detect the transfection efficiency of nanoparticles in vitro at different N/P ratios. PC-3xcells were placed onto a 6-well plate with density of 5×104 cells in each well then incubated for 24 hours. 6mL of Cy3-labeled miR-scr was complexed with polymer or lipo2000 at different N/P ratios (2, 4, 10, 20) by gently mixing for 30 min. The blank group received normal cell culture in the absence of nanoparticles, and the other groups were incubated with PEG-PEI/miR-scr or lipo2000/miR-scr. The dose per well of Cy3-labeled miR-scr was 100 nM. Cells were then rinsed twice with PBS, and the nanomedicine solution was added to each well to reach a volume of 100 mL in 1640 medium. After 8 h incubation, each well was rinsed 3 times with PBS and mixed withx0.25% trypsin/EDTA to suspend the cells. The cells were finally converted into tubes for determining transfection efficiency with flow cytometry (Gallios, Beckmancoulter, USA ).
2.9 Laser confocal microscopy assay
The transfection efficiency of nanoparticles prepared at 20 N/P ratio was evaluated in PC-3 cells with laser confocal microscope. PC-3 cells were seeded onto a petri dish at density of 3×103 cells each well and normally cultured for 24 h. Then, the PEG-PEI/miR-scr (miR-scr was labeled with Cy3) to incubate the cells for 6 h. Afterwards, the cells were rinsed 3 times with PBS, and Hoechst and Lysotracker Green were added to stain the nuclei and lysosomes according to the manufacturer’s protocols. The PBS rinsed cells were visualized by the Zeiss LSM 710xconfocal microscope (Carl Zeiss Co., Ltd., Gottingen, Germany).
2.10 RT-PCR
PC-3 cells were seeded onto 6-well plates and incubated for 24 hours. We artificially divided the cells for 4 groups: PEG-PEI/miR-221/222 group (N/P=20), PEG-PEI/miRNA-scr group (N/P=20), lipo2000/miR-221/222 group, and the control group. Again, experiments were repeated so that all groups have three replicates. Total RNA was extracted with Trizol reagent (Invitrogen, Carlsbad, CA, USA) after the cells were transfected for 24 hours. Real-time PCR was performed as described in PrimeScript PCR Kit instructions. Assays with sequences of miR-221/222 were listed as followings: hsa-miR-221-3p: AGCUACAUUGUCUGCUGGGUUUC, hsa-miR-222-3p: AGCUACAUCUGGCUACUGGGU. Control miRNA sequences (U6 snRNA): 5’-GGAACGATACAGAGAAGATTAGCA-3’ [33]. The programs were placed under the thermal cycling environment of 95 °C/10 min, followed byx40 cycles of 95°C/15 s, 60°C/60 s.
2.11 Western blotting assay
PC-3xcells seeded onto 6-wellxplates were divided into 4 groups: PEG-PEI/miR-221/222 group (N/P=20), PEG-PEI/miRNA-scr group (N/P=20), lipo2000/miR-221/222 group, and the control group. Cells were harvested after 48 hours of transfection. We then collected the total protein in order to detect the concentration through bicinchoninic acid protein assay kit (Shenggong Bio-Tech Co, Ltd, shanghai, China). SDS-PAGE was used to separate different protein samples, which were then transferred onto polyvinylidene difluoride (PVDF) membranes. After being blocked with 5%xskim milk for 2 hours, the membranes were incubated overnight with primary antibody (1:2000 dilution, CST, USA) at 4°C, and placed with the secondary anti-rabbit Ig-G-horseradish peroxidase (1:2000 dilution, CST, USA) for 1 hour at room temperature. The blots were cultured with enhanced chemiluminescence for 2 min. These protein bonds were visualized under UV light. Overall, the β-actin was used as an endogenous control to normalize the data for protein expression.
2.12 Statistical analysis
All tests were required to repeat at least 3 times, and statistical analyses of the data were displayed with SPSS 17.0 software. Final results are shown as the mean±standard deviation (SD), and statistical significance (SF) was obtained at P>0.05.
Ethical approval: The conducted research is not related to either human or animal use.

Electrophoresis of PEG-PEI/miR-221 (a) and PEG-PEI/miR-222 (b) formed at various N/P ratios and miR-221/222 dose of 100 nM.
3 Results
3.1 Gel retardation assay
PEG-PEI/miR-221/222 nanoparticles with various N/P ratios were subjected to the agarose gel electrophoresis. It is well-known that when the negative charge of miRNAs is neutralized by the positive charge of cationic polymers, its motion in the gel will be retarded. In addition, RNA complexed with polymer is unable to gain an insertion of the ethidium bromide (EB). The intensity of miRNA bands reduced when N/P ratios increased from 0 to 5 (Figure 2). At the N/P ratio of 4, the miRNAs band totally disappeared, meaning that the miRNAs were fully complexed by PEG-PEI.
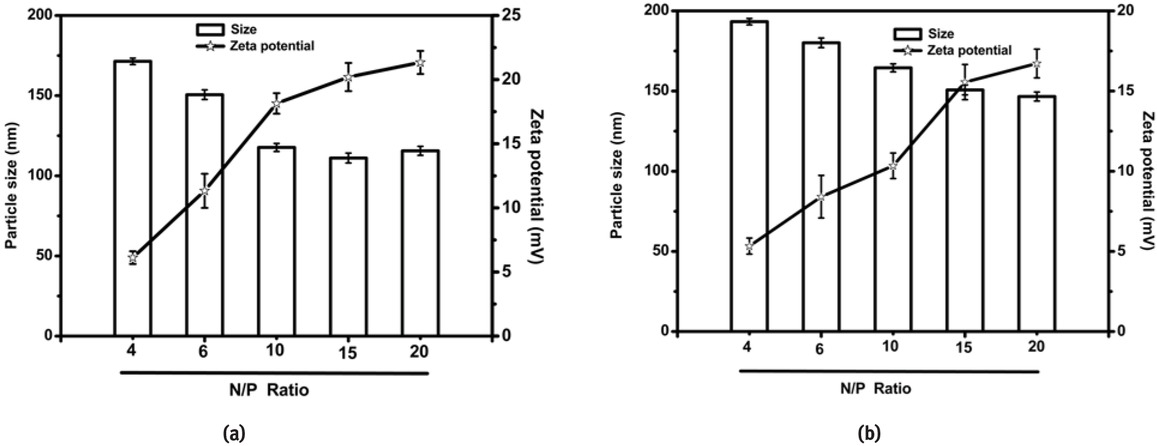
3.2 Size and zeta potential of PEG-PEI/miR-221/222 polyplexes
Following with the increasing of N/P ratio of PEG-PEI/miR-221/222, the size decreased whereas the zeta potential raised (Figure 3). At N/P ratio of 4, the PEG-PEI/miR-221 polyplex measured 171±9 nm and 6.12±0.31 mV in size and zeta potential, respectively. In contrast, at N/P ratio of 20, the size of the polyplex decreased to 116±6 nm whereas the zeta potential increased to 21.34±1.07 mV. The data of PEG-PEI/miR-222 polyplex were similar to that of PEG-PEI/miR-221.

The particle sizes, zeta-potentials of PEG-PEI/miR-221 (a) and PEG-PEI/miR-222 (b) polyplexes formed at different N/P ratios. Measurements were performed at room temperature, and data shown in mean±SD (n=5).
3.3 Cytotoxicity of PEG-PEI
The CCK-8xassay could detect the cytotoxicity of PEG-PEI and PEG-PEI/miR-scr nanoparticles 24 h after transfection (Figure 4). Generally, the cytotoxicity of PEG-PEI was also elevated when the concentration of polymer increased. At the PEG-PEI concentration of 50 mg/mL, the cell viability was 78.30±3.92%. Over this concentration value, the cell viability was conspicuously reduced following with increase in polymer concentration. Considering the PEG-PEI/miR-scr polyplex, cytotoxicity was clearly shown at very high value of N/P ratio that over 20.xBelow this threshold value, the cells still kept the high viability over 90%. It referred to complexation with siRNA reduced the positive charge presented in polymeric vector, that triggered the cationic cytotoxicity decreased. Over an N/P ratio of 20, large amount of excessive cationic PEG-PEI was present in the solution, which would limit cell development. For instance, when the N/P ratio was up to 100, the cell viability of PEG-PEI/miR-scr was decreased 68.85±3.44%.

(a) Left: Cytotoxicity of PEG-PEI in PC-3 cells determined by a CKK-8 assay.xPC-3 cells were treated with PEG-PEI at various concentrations from 0 to 300 μg/mL. (b) Right: Cytotoxicity of PEG-PEI/miR-scr polyplexes in PC-3xcells at various N/P ratios from 0 to 200. The dose of miR-scr was 100nMxper well and incubation time was 24 hours.
3.4 In vitro transfection efficiency
The transfection efficiency of the polyplexes of PEG-PEI and Cy3-labeled miR-scr in PC-3 cells was determined using flow cytometry. The transfection efficiencies varied at different N/P ratios (Figure 5). While the N/P ratio raised to 20 from 2, the transfection efficiencies increased to 99.75.±4.99% from 1.15.±0.06%, which reached the level for the positive control lipo2000 (99.65.±4.99%).

(a) The ratio of Cy3-positivexcells investigated by flow cytometry (n=3). Incubation time: 6 h. Dose: 100 nM miRNAs. (b) The transfection efficiencies varied at different N/P ratios.
3.5 Cell uptake
Cell uptake of PEG-PEI/Cy3-labeled miR-scr polyplexes (N/P=20) was detected using confocal laser scanning microscopy (CLSM). Red fluorescence was distributed in the synapses of PC-3 prostate cancer cells and cytoplasm
(Figure 6). Furthermore, the lysosomes were stained green by LysoTracker green and labeled nuclei by blue with Hoechst. By merging the three fluorescent images, it was clear that the red fluorescence partially co-localized with the green fluorescence in the lysosomes.

High magnification (×400) laser confocal microscopic images of PC-3 cells incubated with PEG-PEI/miR-scr polyplexes (N/P=20). Dose of miR-scr: 100nM. Blue: nuclei stained with Hoechst; red: miR-scr labeled with Cy3; green: lysosomes labeled with Lyso-Tracker green.
a: Figure of nuclei stained with Hoechst
b: Figure of lysosomes labeled with Lyso-Tracker green
c: Figure of miR-scr labeled with Cy3
d: Figure of merging the three fluorescent images
3.6 The cytotoxicity of PEG-PEI/miR221/222 determined by CCK-8 assay
CCK-8 assay was used to evaluate the cytotoxicity of PEG-PEI/miR-221/222 polyplexes (N/P=20) 24 hours after transfection (Figure 7). PEG-PEI/miR-scr polyplex was nearly non-cytotoxic. The PC-3 cells incubated with it remained high viability during range of 95.49±4.77%. In comparison, PEG-PEI/miR-221 and PEG-PEI/miR-222 showed clear cytotoxicities by revealing significantly reduced cell viabilities down to the ranges of 67.83±3.39% and 61.49±3.07%, respectively. This suppression of PC-3 cells development was clearly due to the target gene regulation effect of miR-221 and miR-222, as well be further confirmed in the next section.

Viabilities of PC-3 cells treated with different samples. Three polyplexes were all synthesized at N/P=20.
3.7 SIRT1 expression
The cancer cells were transfected with PEG-PEI/miR-221/222 polyplexes and the target gene regulation was confirmed by RT-PCR and western blot assays. Compared to the LN and the PN groups, the miR-221/222 transfection
of PC-3 cells in the L1/L2 and P1/P2 trials resulted in higher SIRT1 expression with the mRNA level (Figure 8 a,b). Moreover, the polymeric vector appeared even more effective than the positive control lipo2000 in mediating the miR-221 and miR-222 transfection which upregulated the SIRT1 expression, i.e. 70.85.±3.54% (P1) vs 46.37.±2.32% (LI) and 55.58.±2.78% (P2) vs 44.2.±.2.21% (L2). Western blot analysis gained consistent measurement at the protein level of SIRT1 expression. SIRT1 protein levels transfected with PEG-PEI/miR-221/222 were remarkably higher compared with that in cells transfected with lipo2000/miR-221/222 (Figure 8 c,d), which indicates that the miR-221/222 were successfully delivered into PC-3 cells by PEG-PEI and effectively released inside cells.

(a) Figure of SIRT1 gene expression in PC-3 cells by RT-PCR.(miR-221 group). (b) Figure of SIRT1 gene expression in PC-3 cells by RT-PCR.(miR-222 group) LN: blank group; PN: PEG-PEI/miR-scr group; L1: lipo2000/miR-221 group; P1: PEG-PEI/miR-221 group; L2: lipo2000/miR-222 group; P2: PEG-PEI/miR-222 group. Dose of miR: 100nM; polyplexes were synthesized at N/P=20; data are mean±SD (n=3). (c) Analysis of SIRT1 expression at protein level by western blot. (d) The densitometric data of western blot LN: blank group; PN: PEG-PEI/miR-scr group; L:lipo2000/miR-221 group (lipo2000/miR-222 group); P: PEG-PEI/miR-221 group (PEG-PEI/miR-222 group). Dose of miR: 100nM; polyplexes were formed at N/P=20.
4 Discussion
As the result of miR-221, miRanda data, and miR-222 are connected to the specific sequences located at the 3′-UTR of SIRT1 mRNA. In addition, among the 16 genes involved in cancer, five are specifically related to prostate cancer (BTG2, IGFBP3, SIRT1, MXI1, and FDPS) [34]. In PCa, SIRT1 has been engaged in autophagy, and SIRT1 knockdown triggered PIN growth, referring to SIRT1 might act as a tumor suppressor gene in the cancer model [35]. Furthermore, Yang and Gan have confirmed that miR-221 and miR-222 did not connect to the SIRT1xsequence immediately via the luciferase activity assay [36], which illustrates that miR-221 and miR-222 indirectly enhanced the expression of SIRT1 from other molecular pathways, such as p27 [37] or ARH [38].
In the present research, we tried to deliver miR-221 andmiR-222 to PC-3 prostate cancer cells through a polymeric vector PEG-PEI in order to overexpress the two miRNAs and thus modulate the expression of SIRT1, which is involved in the PCa pathogenesis. Upon polyplex formation, the agarose gel electrophoresis showed that the miR-221/222 bands disappeared at the N/P ratios above 4, indicating complete complexation of miR-221/222
in these polyplexes. The particle size and zeta potential of the polyplexes affected the stability of the polyplexes in bloodstream [39], and should be controlled in order for miRNAs to cross the cell membrane more easily. Consequently, the particle size and zeta potential are crucial for the cellular uptake in vitro and transfection efficiency of polyplexes. Our data indicated that the particle size of polyplexes was reduced to 116±6 nm from 171±9 nm while the ratio was raised to N/P=20 from N/P=4, according to the interaction of PEG-PEI and miR-221/222 resulting in the compaction of polyplexes at high N/P ratios. The excess positive charge of PEG-PEI led to high zeta potential. The zeta potential of polyplexes increased to 21.34±1.07mV from 6.12±0.31mV when the N/P ratio raised to N/P=20 from N/P=4. It is difficult to select a suitable N/P ratio for small particle size and meanwhile low zeta potential. Thus, a cytotoxicity test was conducted for
PEG-PEI/miR-221/222 polyplexes with different N/P ratios. CCK-8xassay was conducted to analyze the cytotoxicities of PEG-PEI,PEG-PEI/miR-scr and PEG-PEI/miR-221/222 polyplexes with different N/P ratios. Complexation with miR decreased the cytotoxicity of PEG-PEI. Our results showed that the cytotoxicity of the PEG-PEI/miR-scr polyplex in PC-3 cells increased along with the increase of N/P ratio. When the N/P ratio reached above 100, the cell viability decreased to below 70%, which was much lower than that caused by lipo2000/miR-scr (94.85±4.74%) and thus considered not suitable for biological studies. In comparison, the cells remained high viability above 90% at N/P ratios below 20.
Based on the results, biological experiments were performed using the PEG-PEI/miR-scr polyplex formed at N/P=20. At this N/P ratio, the transfection efficiency of PEG-PEI/miR-221/222 polyplexes (N/P=20) in PC-3 cells reached 99.75±4.99% which was equivalent to lipo2000/miR-scr (99.65±4.99%), according to flow cytometric analysis. The cell uptake of Cy3-labeled PEG-PEI/miR-scr was also investigated with confocal laser scanning microscopy. Nanoparticles react with the cell membrane through endocytosis process, which triggers the uptake of the nanoparticles [40]. Our data proved that the PEG-PEI/miR-scr was able to across the cell membrane. Moreover, the red fluorescence from Cy3-labeled miR-scr only partially overlapped with the green fluorescence of lysosomes, which indicate that free miR-scr was released and distributed outside the lysosome from polyplex. Consequently, transfection of PC-3 cells with PEG-PEI/miR-221 and PEG-PEI/miR-222 polyplexes resulted in 67.83±3.39% and 61.49±3.07% viabilities, indicating the effective suppression of cell developing using PEG-PEI/miR-221/222.
To further verify the potential for future in vivo application, The PC-3 prostate cancer cells were transfected with PEG-PEI/miR-221/222 polyplexes and the target gene regulation was confirmed by RT-PCR and western blot assays. Our results showed that at N/P=20 the PEG-PEI/miR-221/222 polyplexes more effectively promoted the gene expression of SIRT1 than the positive control (lipo2000//miR-221/222).
5 Conclusion
In conclusion, we successfully fabricated PEG-PEI/miR-221/222 polyplexes to modulate the SIRT1 gene in PC-3 prostate cancer cells in vitro. The polyplexes exhibited a low cytotoxicity and high transfection efficiency. Although several medical therapies, e.g. radical prostatectomy or radiation therapy, are present for localized disease, about one third of healing patients will relapse. In many cases, cancer progresses despite initial treatment progress with androgen ablation therapy turning into the hormone-refractory prostate cancer (HRPC) which is highly resistant to conventional chemotherapies [41]. Therefore, the PEG-PEI/miR-221/222 polyplexes may be a new medication option for prostate cancer especially for the HRPC. Our data indicate that PEG-PEI/miR-221/222 could effectively promoted SIRT1 expression, giving the basis for future in vivo study to treat HRPC.
Acknowledgements
We thank the colleagues in our lab of the School of Chemistry and Chemical Engineering, Sun Yat-sen University; Li CX, Xiao H, Chen JB and Fang JT for helping synthesized the PEG-PEI.
Conflict of interest: Authors declare no conflict of interest.
Abbreviation
- PCa
Prostate cancer;
- RNAi
RNA interference;
- PEI
polyethyleneimine;
- PEG
polyethylene glycol;
- CCK-8
Cell Counting Kit;
- EB
ethidium bromide;
- DEPC
Diethy pyrocarbonate;
- Cy3
cyanine 3;
- DAPI
4′,6-diamidino-2-phenylindole;
- EDTA
ethylenediaminetetraacetic acid;
- PBS
phosphate buffered saline;
- N/P ratios
nitrogen/phosphoruse ratio,
- lipo2000
lipofectamine 2000;
- PCR
Polymerase Chain Reaction;
- SDS-PAGE
polyacrylamide gelelectrophoresis;
- PVDF
polyvinylidene difluoride;
- RPMI
roswell park memorial institute medium;
- TBS
tris-buffered saline;
- UV
Ultraviolet.
References
[1] Vaishnaw A.K., Gollob J., Gamba-Vitalo C., Hutabarat R., et al., A status report on RNAi therapeutics, Silence., 2010, 1(1), 1-13.10.1186/1758-907X-1-14Search in Google Scholar
[2] Lee R.C., Feinbaaum R.L., Ambros V., et al., The C elegants heterochronic gene lin-4 encodes small RNAs with antisense complementarity to lin-4, Cell., 1993, 75(7), 843-854.10.1016/0092-8674(93)90529-YSearch in Google Scholar
[3] Ambros V., et al., The functions of animal microRNAs, Nature., 2006, 431, 350–355.10.1038/nature02871Search in Google Scholar PubMed
[4] Esquela-Kerscher A., Slack F.J., et al., Oncomirs-microRNAs with a role in cancer, Nat Rev Cancer., 2006, 6, 259–269.10.1038/nrc1840Search in Google Scholar PubMed
[5] Iorio M.V., Ferracin M., Liu C., Veronese A., Spizzo R., et al., MicoRNA gene expression deregulation in human breast cancer, Cancer Res., 2005, 65, 7065–7070.10.1158/0008-5472.CAN-05-1783Search in Google Scholar PubMed
[6] Latronico M.V., Catalucci D., Condorelli G., et al., Emerging role of microRNAs in cardiovascular biology, Circ Res., 2007, 101, 1225–1236.10.1161/CIRCRESAHA.107.163147Search in Google Scholar PubMed
[7] Lynam-Lennon N., Maher S.G., Reynolds J.V., et al., The roles of microRNA in cancer and apoptosis, Biol Rev Camb Philos Soc., 2009, 84, 55–71.10.1111/j.1469-185X.2008.00061.xSearch in Google Scholar PubMed
[8] Ozen M., Creighton C.J., Ozdemir M., Ittmann M., et al., Widespread deregulation of microRNA expression in human prostate cancer, Oncogene., 2008, 27, 1788–1793.10.1038/sj.onc.1210809Search in Google Scholar PubMed
[9] Porkka K.P., Pfeiffer M.J., Waltering K.K., Vessella R.L., et al., MicroRNA expression profiling in prostate cancer, Cancer Res., 2007, 67, 6130–6135.10.1158/0008-5472.CAN-07-0533Search in Google Scholar PubMed
[10] Schaefer A., Jung M., Mollenkopf H.J., et al., Diagnostic and prognostic implications of microRNA profiling in prostate carcinoma, International Journal of Cancer., 2009, 126(5), 1166–1176.10.1002/ijc.24827Search in Google Scholar PubMed
[11] Volinia S., Calin G.A., Liu C.G., Ambs S., et al., A microRNA expression signature of human solid tumors defines cancer gene targets, Proc Natl Acad Sci U S A., 2006, 103, 2257–2261.10.1073/pnas.0510565103Search in Google Scholar PubMed PubMed Central
[12] Lu J., Getz G., Miska E.A., Alvarez-Saavedra E., et al., MicroRNA expression profiles classify human cancers, Nature., 2005, 435, 834–838.10.1038/nature03702Search in Google Scholar PubMed
[13] Visone R., Pallante P., Vecchione A., et al., Specific microRNAs are downregulated in human thyroid anaplastic carcinomas, Oncogene., 2007, 26(54), 7590-7595.10.1038/sj.onc.1210564Search in Google Scholar PubMed
[14] Chen W.X., Hu Q., Qiu M.T., Zhong SL., Xu JJ., et al., miR-221/222: promising biomarkers for breast cancer, Tumour Biol., 2013, 34, 1361–1370.10.1007/s13277-013-0750-ySearch in Google Scholar PubMed
[15] Chun-Zhi Z., Lei H., An-Ling Z., Yan-Chao F., Xiao Y., et al., MicroRNA-221 and microRNA-222 regulate gastric carcinoma cell proliferation and radioresistance by targeting PTEN, BMC Cancer., 2010, 10, 367.10.1186/1471-2407-10-367Search in Google Scholar PubMed PubMed Central
[16] Garofalo M., Di Leva G., Romano G., Nuovo G., Suh S.S., et al., miR-221&222 regulate TRAIL resistance and enhance tumorigenicity through PTEN and TIMP3 downregulation, Cancer Cell., 2009, 16, 498–509.10.1016/j.ccr.2009.10.014Search in Google Scholar PubMed PubMed Central
[17] Hao J., Zhang C., Zhang A., Wang K., Jia Z., et al., miR-221/222 is the regulator of Cx43 expression in human glioblastoma cells, Oncology Reports., 2012, 27(5), 1504–1510.Search in Google Scholar
[18] Jikuzono T., Kawamoto M., Yoshitake H., Kikuchi K., Akasu H., et al. The miR-221/222 cluster, miR-10b and miR-92a are highly upregulated in metastatic minimally invasive follicular thyroid carcinoma, J. International Journal of Oncology., 2013, 42(6), 1858–1868.10.3892/ijo.2013.1879Search in Google Scholar PubMed PubMed Central
[19] Shah MY., Calin GA., et al., MicroRNAs miR-221 and miR-222: a new level of regulation in aggressive breast cancer, Genome Med., 2011, 3, 56.10.1186/gm272Search in Google Scholar PubMed PubMed Central
[20] Sun T., Yang M., et al., Role of microRNA-221/-222 in cancer development and progression, Cell Cycle., 2009, 8, 2315–2316.10.4161/cc.8.15.9221Search in Google Scholar PubMed
[21] Mercatelli N., Coppola V., Bonci D., et al., The inhibition of the highly expressed miR-221 and miR-222 impairs the growth of prostate carcinoma xenografts in mice, PLoS One., 2008, 3, e4029.10.1371/journal.pone.0004029Search in Google Scholar PubMed PubMed Central
[22] Sun T., Wang Q., Balk S., Brown M., Lee G.S., et al., The role of microRNA-221 and microRNA-222 in androgen-independent prostate cancer cell lines, Cancer Res., 2009, 69, 3356–3363.10.1158/0008-5472.CAN-08-4112Search in Google Scholar PubMed PubMed Central
[23] Costa P.M., Pedroso de Lima M.C., et al., MicroRNAs as Molecular Targets for Cancer Therapy: On the Modulation of MicroRNA Expression, Pharmaceuticals., 2013, 6(10), 1195–1220.10.3390/ph6101195Search in Google Scholar PubMed PubMed Central
[24] Kim W.J., Kim S.W., et al., Efficient siRNA delivery with non-viral polymeric vehicles, Pharm. Res., 2009, 26, 657–666.10.1007/s11095-008-9774-1Search in Google Scholar PubMed
[25] Takahashi Y., Nishikawa M., Takakura Y., et al., Nonviral vectormediated RNA interference: its gene silencing characteristics and important factors to achieve RNAi-based gene therapy, Adv. Drug Deliv. Rev., 2009, 61, 760–766.10.1016/j.addr.2009.04.006Search in Google Scholar PubMed
[26] Jing G.J., Fu Z.G., Dan B., et al., Development and evaluation of a novel nano-scale vector for siRNA, Cell. Biochem., 2010, 111, 881–888.10.1002/jcb.22776Search in Google Scholar PubMed
[27] Fischer D., Bieber T., Li Y., et al., A novel nonviral vector for DNA delivery based on low molecular weight, branched polyethylenimine: effect of molecular weight on transfection efficiency and cytotoxicity, Pharm Res., 1999, 16(8), 1273–1279.Search in Google Scholar
[28] Ogris M., Brunner S., Schüller S., et al., PEGylated DNA/ transferrin-PEI complexes: reduced interaction with blood components, extended circulation in blood and potential for systemic gene delivery, Gene Ther., 1999, 6(4), 595–605.10.1038/sj.gt.3300900Search in Google Scholar PubMed
[29] Fischer D., von Harpe A., Kunath K., et al., Copolymers of ethylene imine and N-(2-hydroxyethyl)-ethylene imine as tools to study effects of polymer structure on physicochemical and biological properties of DNA complexes, Bioconjug Chem., 2002, 13(5), 1124–1133.10.1021/bc025550wSearch in Google Scholar PubMed
[30] Fischer D., Osburg B., Petersen H., et al., Effect of poly(ethylene imine) molecular weight and pegylation on organ distribution and pharmacokinetics of polyplexes with oligodeoxynucleotides in mice, Drug Metab Dispos., 2004, 32(9), 983-992.Search in Google Scholar
[31] Merkel O.M., Librizzi D., Pfestroff A., et al., Stability of siRNA polyplexes from poly(ethylenimine) and poly(ethylenimine)-g-poly(ethylene glycol) under in vivo conditions: effects on pharmacokinetics and biodistribution measured by fluorescence fluctuation spectroscopy and single photon emission computed tomography (SPECT) imaging, J. Control Release., 2009, 138(2), 148–159.10.1016/j.jconrel.2009.05.016Search in Google Scholar PubMed
[32] Chen G., Chen W., Wu Z., Shuai X., et al. MRI-visible polymeric vector bearing CD3 single chain antibody for gene delivery to T cells for immunosuppression, Biomaterials., 2009, 30, 1962-1970.10.1016/j.biomaterials.2008.12.043Search in Google Scholar PubMed
[33] Turner M., Adhikari S., Subramanian S., et al. Optimizing stem-loop qPCR assays through multiplexed cDNA synthesis of U6 and miRNAs, Plant Signal Behavior., 2013, 8(8), e 24918.10.4161/psb.24918Search in Google Scholar PubMed PubMed Central
[34] Long Q., Xu J., Osunkoya A.O., et al., Global transcriptome analysis of formalin-fixed prostate cancer specimens identifies biomarkers of disease recurrence, Cancer Res., 2014, 74(12), 3228-3237.10.1158/0008-5472.CAN-13-2699Search in Google Scholar PubMed PubMed Central
[35] Powell M.J., Casimiro M.C., Cordon-Cardo C., et al., Disruption of a Sirt1-dependent autophagy checkpoint in the prostate results in prostatic intraepithelial neoplasia lesion formation, Cancer research., 2011, 71(3), 964–975.10.1158/0008-5472.CAN-10-3172Search in Google Scholar PubMed PubMed Central
[36] Yang X., Yang Y., Gan R., et al., Down-regulation of mir-221 and mir-222 restrain prostate cancer cell proliferation and migration that is partly mediated by activation of SIRT1, PLoS One., 2014 Jun 3, 9(6), https://doi.org/10.1371/journal.pone.009883310.1371/journal.pone.0098833Search in Google Scholar PubMed PubMed Central
[37] Galardi S., Mercatelli N., Giorda E., Massalini S., Frajese G.V., et al., miR-221 and miR-222 expression affects the proliferation potential of human prostate carcinoma cell lines by targeting p27Kip1, J. Biol Chem., 2007, 282, 23716–23724.10.1074/jbc.M701805200Search in Google Scholar PubMed
[38] Chen Y., Zaman MS., Deng G., Majid S., Saini S., et al., MicroRNAs 221/222 and Genistein-Mediated Regulation of ARHI Tumor Suppressor Gene in Prostate Cancer, Cancer Prevention Research., 2010, 4, 76–86.10.1158/1940-6207.CAPR-10-0167Search in Google Scholar PubMed PubMed Central
[39] Liang Y., Liu Z., Shuai X., Wang W., et al., Delivery of cationic polymer-siRNA nanoparticles for gene therapies in neural regeneration, Biochem Biophys Res Commun., 2012, 421, 690-695.10.1016/j.bbrc.2012.03.155Search in Google Scholar PubMed
[40] Martins S., Costa-Lima S., Carneiro T., et al., Solid lipid nanoparticles as intracellular drug transporters: an investigation of the uptake mechanism and pathway, Int. J. Pharm., 2012, 430, 216–227.10.1016/j.ijpharm.2012.03.032Search in Google Scholar PubMed
[41] Shah R.B., Mehra R., Chinnaiyan A.M., et al., Androgen independent prostate cancer is a heterogeneous group of disease: lessons from a rapid autopsy program, Cancer Reasearch., 2004, 64, 9029-9216.10.1158/0008-5472.CAN-04-2442Search in Google Scholar PubMed
© 2018 Chen CY et al., published by De Gruyter
This work is licensed under the Creative Commons Attribution-NonCommercial-NoDerivatives 4.0 License.
Articles in the same Issue
- Regular Articles
- The effect of CuO modification for a TiO2 nanotube confined CeO2 catalyst on the catalytic combustion of butane
- The preparation and antibacterial activity of cellulose/ZnO composite: a review
- Linde Type A and nano magnetite/NaA zeolites: cytotoxicity and doxorubicin loading efficiency
- Performance and thermal decomposition analysis of foaming agent NPL-10 for use in heavy oil recovery by steam injection
- Spectroscopic (FT-IR, FT-Raman, UV, 1H and 13C NMR) insights, electronic profiling and DFT computations on ({(E)-[3-(1H-imidazol-1-yl)-1-phenylpropylidene] amino}oxy)(4-nitrophenyl)methanone, an imidazole-bearing anti-Candida agent
- A Simplistic Preliminary Assessment of Ginstling-Brounstein Model for Solid Spherical Particles in the Context of a Diffusion-Controlled Synthesis
- M-Polynomials And Topological Indices Of Zigzag And Rhombic Benzenoid Systems
- Photochemical Transformation of some 3-benzyloxy-2-(benzo[b]thiophen-2-yl)-4Hchromen-4-ones: A Remote Substituent Effect
- Dynamic Changes of Secondary Metabolites and Antioxidant Activity of Ligustrum lucidum During Fruit Growth
- Studies on the flammability of polypropylene/ammonium polyphosphate and montmorillonite by using the cone calorimeter test
- DSC, FT-IR, NIR, NIR-PCA and NIR-ANOVA for determination of chemical stability of diuretic drugs: impact of excipients
- Antioxidant and Hepatoprotective Effects of Methanolic Extracts of Zilla spinosa and Hammada elegans Against Carbon Tetrachlorideinduced Hepatotoxicity in Rats
- Prunus cerasifera Ehrh. fabricated ZnO nano falcates and its photocatalytic and dose dependent in vitro bio-activity
- Organic biocides hosted in layered double hydroxides: enhancing antimicrobial activity
- Experimental study on the regulation of the cholinergic pathway in renal macrophages by microRNA-132 to alleviate inflammatory response
- Synthesis, characterization, in-vitro antimicrobial properties, molecular docking and DFT studies of 3-{(E)-[(4,6-dimethylpyrimidin-2-yl)imino]methyl} naphthalen-2-ol and Heteroleptic Mn(II), Co(II), Ni(II) and Zn(II) complexes
- M-Polynomials and Topological Indices of Dominating David Derived Networks
- Human Health Risk Assessment of Trace Metals in Surface Water Due to Leachate from the Municipal Dumpsite by Pollution Index: A Case Study from Ndawuse River, Abuja, Nigeria
- Analysis of Bowel Diseases from Blood Serum by Autofluorescence and Atomic Force Microscopy Techniques
- Hydrographic parameters and distribution of dissolved Cu, Ni, Zn and nutrients near Jeddah desalination plant
- Relationships between diatoms and environmental variables in industrial water biotopes of Trzuskawica S.A. (Poland)
- Optimum Conversion of Major Ginsenoside Rb1 to Minor Ginsenoside Rg3(S) by Pulsed Electric Field-Assisted Acid Hydrolysis Treatment
- Antioxidant, Anti-microbial Properties and Chemical Composition of Cumin Essential Oils Extracted by Three Methods
- Regulatory mechanism of ulinastatin on autophagy of macrophages and renal tubular epithelial cells
- Investigation of the sustained-release mechanism of hydroxypropyl methyl cellulose skeleton type Acipimox tablets
- Bio-accumulation of Polycyclic Aromatic Hydrocarbons in the Grey Mangrove (Avicennia marina) along Arabian Gulf, Saudi Coast
- Dynamic Change of Secondary Metabolites and spectrum-effect relationship of Malus halliana Koehne flowers during blooming
- Lipids constituents from Gardenia aqualla Stapf & Hutch
- Effect of using microwaves for catalysts preparation on the catalytic acetalization of glycerol with furfural to obtain fuel additives
- Effect of Humic Acid on the Degradation of Methylene Blue by Peroxymonosulfate
- Serum containing drugs of Gua Lou Xie Bai decoction (GLXB-D) can inhibit TGF-β1-Induced Epithelial to Mesenchymal Transition (EMT) in A549 Cells
- Antiulcer Activity of Different Extracts of Anvillea garcinii and Isolation of Two New Secondary Metabolites
- Analysis of Metabolites in Cabernet Sauvignon and Shiraz Dry Red Wines from Shanxi by 1H NMR Spectroscopy Combined with Pattern Recognition Analysis
- Can water temperature impact litter decomposition under pollution of copper and zinc mixture
- Released from ZrO2/SiO2 coating resveratrol inhibits senescence and oxidative stress of human adipose-derived stem cells (ASC)
- Validated thin-layer chromatographic method for alternative and simultaneous determination of two anti-gout agents in their fixed dose combinations
- Fast removal of pollutants from vehicle emissions during cold-start stage
- Review Article
- Catalytic activities of heterogeneous catalysts obtained by copolymerization of metal-containing 2-(acetoacetoxy)ethyl methacrylate
- Antibiotic Residue in the Aquatic Environment: Status in Africa
- Regular Articles
- Mercury fractionation in gypsum using temperature desorption and mass spectrometric detection
- Phytosynthetic Ag doped ZnO nanoparticles: Semiconducting green remediators
- Epithelial–Mesenchymal Transition Induced by SMAD4 Activation in Invasive Growth Hormone-Secreting Adenomas
- Physicochemical properties of stabilized sewage sludge admixtures by modified steel slag
- In Vitro Cytotoxic and Antiproliferative Activity of Cydonia oblonga flower petals, leaf and fruit pellet ethanolic extracts. Docking simulation of the active flavonoids on anti-apoptotic protein Bcl-2
- Synthesis and Characterization of Pd exchanged MMT Clay for Mizoroki-Heck Reaction
- A new selective, and sensitive method for the determination of lixivaptan, a vasopressin 2 (V2)-receptor antagonist, in mouse plasma and its application in a pharmacokinetic study
- Anti-EGFL7 antibodies inhibit rat prolactinoma MMQ cells proliferation and PRL secretion
- Density functional theory calculations, vibration spectral analysis and molecular docking of the antimicrobial agent 6-(1,3-benzodioxol-5-ylmethyl)-5-ethyl-2-{[2-(morpholin-4-yl)ethyl] sulfanyl}pyrimidin-4(3H)-one
- Effect of Nano Zeolite on the Transformation of Cadmium Speciation and Its Uptake by Tobacco in Cadmium-contaminated Soil
- Effects and Mechanisms of Jinniu Capsule on Methamphetamine-Induced Conditioned Place Preference in Rats
- Calculating the Degree-based Topological Indices of Dendrimers
- Efficient optimization and mineralization of UV absorbers: A comparative investigation with Fenton and UV/H2O2
- Metabolites of Tryptophane and Phenylalanine as Markers of Small Bowel Ischemia-Reperfusion Injury
- Adsorption and determination of polycyclic aromatic hydrocarbons in water through the aggregation of graphene oxide
- The role of NR2C2 in the prolactinomas
- Chromium removal from industrial wastewater using Phyllostachys pubescens biomass loaded Cu-S nanospheres
- Hydrotalcite Anchored Ruthenium Catalyst for CO2 Hydrogenation Reaction
- Preparation of Calcium Fluoride using Phosphogypsum by Orthogonal Experiment
- The mechanism of antibacterial activity of corylifolinin against three clinical bacteria from Psoralen corylifolia L
- 2-formyl-3,6-bis(hydroxymethyl)phenyl benzoate in Electrochemical Dry Cell
- Electro-photocatalytic degradation of amoxicillin using calcium titanate
- Effect of Malus halliana Koehne Polysaccharides on Functional Constipation
- Structural Properties and Nonlinear Optical Responses of Halogenated Compounds: A DFT Investigation on Molecular Modelling
- DMFDMA catalyzed synthesis of 2-((Dimethylamino)methylene)-3,4-dihydro-9-arylacridin-1(2H)-ones and their derivatives: in-vitro antifungal, antibacterial and antioxidant evaluations
- Production of Methanol as a Fuel Energy from CO2 Present in Polluted Seawater - A Photocatalytic Outlook
- Study of different extraction methods on finger print and fatty acid of raw beef fat using fourier transform infrared and gas chromatography-mass spectrometry
- Determination of trace fluoroquinolones in water solutions and in medicinal preparations by conventional and synchronous fluorescence spectrometry
- Extraction and determination of flavonoids in Carthamus tinctorius
- Therapeutic Application of Zinc and Vanadium Complexes against Diabetes Mellitus a Coronary Disease: A review
- Study of calcined eggshell as potential catalyst for biodiesel formation using used cooking oil
- Manganese oxalates - structure-based Insights
- Topological Indices of H-Naphtalenic Nanosheet
- Long-Term Dissolution of Glass Fibers in Water Described by Dissolving Cylinder Zero-Order Kinetic Model: Mass Loss and Radius Reduction
- Topological study of the para-line graphs of certain pentacene via topological indices
- A brief insight into the prediction of water vapor transmissibility in highly impermeable hybrid nanocomposites based on bromobutyl/epichlorohydrin rubber blends
- Comparative sulfite assay by voltammetry using Pt electrodes, photometry and titrimetry: Application to cider, vinegar and sugar analysis
- MicroRNA delivery mediated by PEGylated polyethylenimine for prostate cancer therapy
- Reversible Fluorescent Turn-on Sensors for Fe3+ based on a Receptor Composed of Tri-oxygen Atoms of Amide Groups in Water
- Sonocatalytic degradation of methyl orange in aqueous solution using Fe-doped TiO2 nanoparticles under mechanical agitation
- Hydrotalcite Anchored Ruthenium Catalyst for CO2 Hydrogenation Reaction
- Production and Analysis of Recycled Ammonium Perrhenate from CMSX-4 superalloys
- Topical Issue on Agriculture
- New phosphorus biofertilizers from renewable raw materials in the aspect of cadmium and lead contents in soil and plants
- Survey of content of cadmium, calcium, chromium, copper, iron, lead, magnesium, manganese, mercury, sodium and zinc in chamomile and green tea leaves by electrothermal or flame atomizer atomic absorption spectrometry
- Biogas digestate – benefits and risks for soil fertility and crop quality – an evaluation of grain maize response
- A numerical analysis of heat transfer in a cross-current heat exchanger with controlled and newly designed air flows
- Freshwater green macroalgae as a biosorbent of Cr(III) ions
- The main influencing factors of soil mechanical characteristics of the gravity erosion environment in the dry-hot valley of Jinsha river
- Free amino acids in Viola tricolor in relation to different habitat conditions
- The influence of filler amount on selected properties of new experimental resin dental composite
- Effect of poultry wastewater irrigation on nitrogen, phosphorus and carbon contents in farmland soil
- Response of spring wheat to NPK and S fertilization. The content and uptake of macronutrients and the value of ionic ratios
- The Effect of Macroalgal Extracts and Near Infrared Radiation on Germination of Soybean Seedlings: Preliminary Research Results
- Content of Zn, Cd and Pb in purple moor-grass in soils heavily contaminated with heavy metals around a zinc and lead ore tailing landfill
- Topical Issue on Research for Natural Bioactive Products
- Synthesis of (±)-3,4-dimethoxybenzyl-4-methyloctanoate as a novel internal standard for capsinoid determination by HPLC-ESI-MS/MS(QTOF)
- Repellent activity of monoterpenoid esters with neurotransmitter amino acids against yellow fever mosquito, Aedes aegypti
- Effect of Flammulina velutipes (golden needle mushroom, eno-kitake) polysaccharides on constipation
- Bioassay-directed fractionation of a blood coagulation factor Xa inhibitor, betulinic acid from Lycopus lucidus
- Antifungal and repellent activities of the essential oils from three aromatic herbs from western Himalaya
- Chemical composition and microbiological evaluation of essential oil from Hyssopus officinalis L. with white and pink flowers
- Bioassay-guided isolation and identification of Aedes aegypti larvicidal and biting deterrent compounds from Veratrum lobelianum
- α-Terpineol, a natural monoterpene: A review of its biological properties
- Utility of essential oils for development of host-based lures for Xyleborus glabratus (Coleoptera: Curculionidae: Scolytinae), vector of laurel wilt
- Phenolic composition and antioxidant potential of different organs of Kazakh Crataegus almaatensis Pojark: A comparison with the European Crataegus oxyacantha L. flowers
- Isolation of eudesmane type sesquiterpene ketone from Prangos heyniae H.Duman & M.F.Watson essential oil and mosquitocidal activity of the essential oils
- Comparative analysis of the polyphenols profiles and the antioxidant and cytotoxicity properties of various blue honeysuckle varieties
- Special Issue on ICCESEN 2017
- Modelling world energy security data from multinomial distribution by generalized linear model under different cumulative link functions
- Pine Cone and Boron Compounds Effect as Reinforcement on Mechanical and Flammability Properties of Polyester Composites
- Artificial Neural Network Modelling for Prediction of SNR Effected by Probe Properties on Ultrasonic Inspection of Austenitic Stainless Steel Weldments
- Calculation and 3D analyses of ERR in the band crack front contained in a rectangular plate made of multilayered material
- Improvement of fuel properties of biodiesel with bioadditive ethyl levulinate
- Properties of AlSi9Cu3 metal matrix micro and nano composites produced via stir casting
- Investigation of Antibacterial Properties of Ag Doped TiO2 Nanofibers Prepared by Electrospinning Process
- Modeling of Total Phenolic contents in Various Tea samples by Experimental Design Methods
- Nickel doping effect on the structural and optical properties of indium sulfide thin films by SILAR
- The effect mechanism of Ginnalin A as a homeopathic agent on various cancer cell lines
- Excitation functions of proton induced reactions of some radioisotopes used in medicine
- Oxide ionic conductivity and microstructures of Pr and Sm co-doped CeO2-based systems
- Rapid Synthesis of Metallic Reinforced in Situ Intermetallic Composites in Ti-Al-Nb System via Resistive Sintering
- Oxidation Behavior of NiCr/YSZ Thermal Barrier Coatings (TBCs)
- Clustering Analysis of Normal Strength Concretes Produced with Different Aggregate Types
- Magnetic Nano-Sized Solid Acid Catalyst Bearing Sulfonic Acid Groups for Biodiesel Synthesis
- The biological activities of Arabis alpina L. subsp. brevifolia (DC.) Cullen against food pathogens
- Humidity properties of Schiff base polymers
- Free Vibration Analysis of Fiber Metal Laminated Straight Beam
- Comparative study of in vitro antioxidant, acetylcholinesterase and butyrylcholinesterase activity of alfalfa (Medicago sativa L.) collected during different growth stages
- Isothermal Oxidation Behavior of Gadolinium Zirconate (Gd2Zr2O7) Thermal Barrier Coatings (TBCs) produced by Electron Beam Physical Vapor Deposition (EB-PVD) technique
- Optimization of Adsorption Parameters for Ultra-Fine Calcite Using a Box-Behnken Experimental Design
- The Microstructural Investigation of Vermiculite-Infiltrated Electron Beam Physical Vapor Deposition Thermal Barrier Coatings
- Modelling Porosity Permeability of Ceramic Tiles using Fuzzy Taguchi Method
- Experimental and theoretical study of a novel naphthoquinone Schiff base
- Physicochemical properties of heat treated sille stone for ceramic industry
- Sand Dune Characterization for Preparing Metallurgical Grade Silicon
- Catalytic Applications of Large Pore Sulfonic Acid-Functionalized SBA-15 Mesoporous Silica for Esterification
- One-photon Absorption Characterizations, Dipole Polarizabilities and Second Hyperpolarizabilities of Chlorophyll a and Crocin
- The Optical and Crystallite Characterization of Bilayer TiO2 Films Coated on Different ITO layers
- Topical Issue on Bond Activation
- Metal-mediated reactions towards the synthesis of a novel deaminolysed bisurea, dicarbamolyamine
- The structure of ortho-(trifluoromethyl)phenol in comparison to its homologues – A combined experimental and theoretical study
- Heterogeneous catalysis with encapsulated haem and other synthetic porphyrins: Harnessing the power of porphyrins for oxidation reactions
- Recent Advances on Mechanistic Studies on C–H Activation Catalyzed by Base Metals
- Reactions of the organoplatinum complex [Pt(cod) (neoSi)Cl] (neoSi = trimethylsilylmethyl) with the non-coordinating anions SbF6– and BPh4–
- Erratum
- Investigation on Two Compounds of O, O’-dithiophosphate Derivatives as Corrosion Inhibitors for Q235 Steel in Hydrochloric Acid Solution
Articles in the same Issue
- Regular Articles
- The effect of CuO modification for a TiO2 nanotube confined CeO2 catalyst on the catalytic combustion of butane
- The preparation and antibacterial activity of cellulose/ZnO composite: a review
- Linde Type A and nano magnetite/NaA zeolites: cytotoxicity and doxorubicin loading efficiency
- Performance and thermal decomposition analysis of foaming agent NPL-10 for use in heavy oil recovery by steam injection
- Spectroscopic (FT-IR, FT-Raman, UV, 1H and 13C NMR) insights, electronic profiling and DFT computations on ({(E)-[3-(1H-imidazol-1-yl)-1-phenylpropylidene] amino}oxy)(4-nitrophenyl)methanone, an imidazole-bearing anti-Candida agent
- A Simplistic Preliminary Assessment of Ginstling-Brounstein Model for Solid Spherical Particles in the Context of a Diffusion-Controlled Synthesis
- M-Polynomials And Topological Indices Of Zigzag And Rhombic Benzenoid Systems
- Photochemical Transformation of some 3-benzyloxy-2-(benzo[b]thiophen-2-yl)-4Hchromen-4-ones: A Remote Substituent Effect
- Dynamic Changes of Secondary Metabolites and Antioxidant Activity of Ligustrum lucidum During Fruit Growth
- Studies on the flammability of polypropylene/ammonium polyphosphate and montmorillonite by using the cone calorimeter test
- DSC, FT-IR, NIR, NIR-PCA and NIR-ANOVA for determination of chemical stability of diuretic drugs: impact of excipients
- Antioxidant and Hepatoprotective Effects of Methanolic Extracts of Zilla spinosa and Hammada elegans Against Carbon Tetrachlorideinduced Hepatotoxicity in Rats
- Prunus cerasifera Ehrh. fabricated ZnO nano falcates and its photocatalytic and dose dependent in vitro bio-activity
- Organic biocides hosted in layered double hydroxides: enhancing antimicrobial activity
- Experimental study on the regulation of the cholinergic pathway in renal macrophages by microRNA-132 to alleviate inflammatory response
- Synthesis, characterization, in-vitro antimicrobial properties, molecular docking and DFT studies of 3-{(E)-[(4,6-dimethylpyrimidin-2-yl)imino]methyl} naphthalen-2-ol and Heteroleptic Mn(II), Co(II), Ni(II) and Zn(II) complexes
- M-Polynomials and Topological Indices of Dominating David Derived Networks
- Human Health Risk Assessment of Trace Metals in Surface Water Due to Leachate from the Municipal Dumpsite by Pollution Index: A Case Study from Ndawuse River, Abuja, Nigeria
- Analysis of Bowel Diseases from Blood Serum by Autofluorescence and Atomic Force Microscopy Techniques
- Hydrographic parameters and distribution of dissolved Cu, Ni, Zn and nutrients near Jeddah desalination plant
- Relationships between diatoms and environmental variables in industrial water biotopes of Trzuskawica S.A. (Poland)
- Optimum Conversion of Major Ginsenoside Rb1 to Minor Ginsenoside Rg3(S) by Pulsed Electric Field-Assisted Acid Hydrolysis Treatment
- Antioxidant, Anti-microbial Properties and Chemical Composition of Cumin Essential Oils Extracted by Three Methods
- Regulatory mechanism of ulinastatin on autophagy of macrophages and renal tubular epithelial cells
- Investigation of the sustained-release mechanism of hydroxypropyl methyl cellulose skeleton type Acipimox tablets
- Bio-accumulation of Polycyclic Aromatic Hydrocarbons in the Grey Mangrove (Avicennia marina) along Arabian Gulf, Saudi Coast
- Dynamic Change of Secondary Metabolites and spectrum-effect relationship of Malus halliana Koehne flowers during blooming
- Lipids constituents from Gardenia aqualla Stapf & Hutch
- Effect of using microwaves for catalysts preparation on the catalytic acetalization of glycerol with furfural to obtain fuel additives
- Effect of Humic Acid on the Degradation of Methylene Blue by Peroxymonosulfate
- Serum containing drugs of Gua Lou Xie Bai decoction (GLXB-D) can inhibit TGF-β1-Induced Epithelial to Mesenchymal Transition (EMT) in A549 Cells
- Antiulcer Activity of Different Extracts of Anvillea garcinii and Isolation of Two New Secondary Metabolites
- Analysis of Metabolites in Cabernet Sauvignon and Shiraz Dry Red Wines from Shanxi by 1H NMR Spectroscopy Combined with Pattern Recognition Analysis
- Can water temperature impact litter decomposition under pollution of copper and zinc mixture
- Released from ZrO2/SiO2 coating resveratrol inhibits senescence and oxidative stress of human adipose-derived stem cells (ASC)
- Validated thin-layer chromatographic method for alternative and simultaneous determination of two anti-gout agents in their fixed dose combinations
- Fast removal of pollutants from vehicle emissions during cold-start stage
- Review Article
- Catalytic activities of heterogeneous catalysts obtained by copolymerization of metal-containing 2-(acetoacetoxy)ethyl methacrylate
- Antibiotic Residue in the Aquatic Environment: Status in Africa
- Regular Articles
- Mercury fractionation in gypsum using temperature desorption and mass spectrometric detection
- Phytosynthetic Ag doped ZnO nanoparticles: Semiconducting green remediators
- Epithelial–Mesenchymal Transition Induced by SMAD4 Activation in Invasive Growth Hormone-Secreting Adenomas
- Physicochemical properties of stabilized sewage sludge admixtures by modified steel slag
- In Vitro Cytotoxic and Antiproliferative Activity of Cydonia oblonga flower petals, leaf and fruit pellet ethanolic extracts. Docking simulation of the active flavonoids on anti-apoptotic protein Bcl-2
- Synthesis and Characterization of Pd exchanged MMT Clay for Mizoroki-Heck Reaction
- A new selective, and sensitive method for the determination of lixivaptan, a vasopressin 2 (V2)-receptor antagonist, in mouse plasma and its application in a pharmacokinetic study
- Anti-EGFL7 antibodies inhibit rat prolactinoma MMQ cells proliferation and PRL secretion
- Density functional theory calculations, vibration spectral analysis and molecular docking of the antimicrobial agent 6-(1,3-benzodioxol-5-ylmethyl)-5-ethyl-2-{[2-(morpholin-4-yl)ethyl] sulfanyl}pyrimidin-4(3H)-one
- Effect of Nano Zeolite on the Transformation of Cadmium Speciation and Its Uptake by Tobacco in Cadmium-contaminated Soil
- Effects and Mechanisms of Jinniu Capsule on Methamphetamine-Induced Conditioned Place Preference in Rats
- Calculating the Degree-based Topological Indices of Dendrimers
- Efficient optimization and mineralization of UV absorbers: A comparative investigation with Fenton and UV/H2O2
- Metabolites of Tryptophane and Phenylalanine as Markers of Small Bowel Ischemia-Reperfusion Injury
- Adsorption and determination of polycyclic aromatic hydrocarbons in water through the aggregation of graphene oxide
- The role of NR2C2 in the prolactinomas
- Chromium removal from industrial wastewater using Phyllostachys pubescens biomass loaded Cu-S nanospheres
- Hydrotalcite Anchored Ruthenium Catalyst for CO2 Hydrogenation Reaction
- Preparation of Calcium Fluoride using Phosphogypsum by Orthogonal Experiment
- The mechanism of antibacterial activity of corylifolinin against three clinical bacteria from Psoralen corylifolia L
- 2-formyl-3,6-bis(hydroxymethyl)phenyl benzoate in Electrochemical Dry Cell
- Electro-photocatalytic degradation of amoxicillin using calcium titanate
- Effect of Malus halliana Koehne Polysaccharides on Functional Constipation
- Structural Properties and Nonlinear Optical Responses of Halogenated Compounds: A DFT Investigation on Molecular Modelling
- DMFDMA catalyzed synthesis of 2-((Dimethylamino)methylene)-3,4-dihydro-9-arylacridin-1(2H)-ones and their derivatives: in-vitro antifungal, antibacterial and antioxidant evaluations
- Production of Methanol as a Fuel Energy from CO2 Present in Polluted Seawater - A Photocatalytic Outlook
- Study of different extraction methods on finger print and fatty acid of raw beef fat using fourier transform infrared and gas chromatography-mass spectrometry
- Determination of trace fluoroquinolones in water solutions and in medicinal preparations by conventional and synchronous fluorescence spectrometry
- Extraction and determination of flavonoids in Carthamus tinctorius
- Therapeutic Application of Zinc and Vanadium Complexes against Diabetes Mellitus a Coronary Disease: A review
- Study of calcined eggshell as potential catalyst for biodiesel formation using used cooking oil
- Manganese oxalates - structure-based Insights
- Topological Indices of H-Naphtalenic Nanosheet
- Long-Term Dissolution of Glass Fibers in Water Described by Dissolving Cylinder Zero-Order Kinetic Model: Mass Loss and Radius Reduction
- Topological study of the para-line graphs of certain pentacene via topological indices
- A brief insight into the prediction of water vapor transmissibility in highly impermeable hybrid nanocomposites based on bromobutyl/epichlorohydrin rubber blends
- Comparative sulfite assay by voltammetry using Pt electrodes, photometry and titrimetry: Application to cider, vinegar and sugar analysis
- MicroRNA delivery mediated by PEGylated polyethylenimine for prostate cancer therapy
- Reversible Fluorescent Turn-on Sensors for Fe3+ based on a Receptor Composed of Tri-oxygen Atoms of Amide Groups in Water
- Sonocatalytic degradation of methyl orange in aqueous solution using Fe-doped TiO2 nanoparticles under mechanical agitation
- Hydrotalcite Anchored Ruthenium Catalyst for CO2 Hydrogenation Reaction
- Production and Analysis of Recycled Ammonium Perrhenate from CMSX-4 superalloys
- Topical Issue on Agriculture
- New phosphorus biofertilizers from renewable raw materials in the aspect of cadmium and lead contents in soil and plants
- Survey of content of cadmium, calcium, chromium, copper, iron, lead, magnesium, manganese, mercury, sodium and zinc in chamomile and green tea leaves by electrothermal or flame atomizer atomic absorption spectrometry
- Biogas digestate – benefits and risks for soil fertility and crop quality – an evaluation of grain maize response
- A numerical analysis of heat transfer in a cross-current heat exchanger with controlled and newly designed air flows
- Freshwater green macroalgae as a biosorbent of Cr(III) ions
- The main influencing factors of soil mechanical characteristics of the gravity erosion environment in the dry-hot valley of Jinsha river
- Free amino acids in Viola tricolor in relation to different habitat conditions
- The influence of filler amount on selected properties of new experimental resin dental composite
- Effect of poultry wastewater irrigation on nitrogen, phosphorus and carbon contents in farmland soil
- Response of spring wheat to NPK and S fertilization. The content and uptake of macronutrients and the value of ionic ratios
- The Effect of Macroalgal Extracts and Near Infrared Radiation on Germination of Soybean Seedlings: Preliminary Research Results
- Content of Zn, Cd and Pb in purple moor-grass in soils heavily contaminated with heavy metals around a zinc and lead ore tailing landfill
- Topical Issue on Research for Natural Bioactive Products
- Synthesis of (±)-3,4-dimethoxybenzyl-4-methyloctanoate as a novel internal standard for capsinoid determination by HPLC-ESI-MS/MS(QTOF)
- Repellent activity of monoterpenoid esters with neurotransmitter amino acids against yellow fever mosquito, Aedes aegypti
- Effect of Flammulina velutipes (golden needle mushroom, eno-kitake) polysaccharides on constipation
- Bioassay-directed fractionation of a blood coagulation factor Xa inhibitor, betulinic acid from Lycopus lucidus
- Antifungal and repellent activities of the essential oils from three aromatic herbs from western Himalaya
- Chemical composition and microbiological evaluation of essential oil from Hyssopus officinalis L. with white and pink flowers
- Bioassay-guided isolation and identification of Aedes aegypti larvicidal and biting deterrent compounds from Veratrum lobelianum
- α-Terpineol, a natural monoterpene: A review of its biological properties
- Utility of essential oils for development of host-based lures for Xyleborus glabratus (Coleoptera: Curculionidae: Scolytinae), vector of laurel wilt
- Phenolic composition and antioxidant potential of different organs of Kazakh Crataegus almaatensis Pojark: A comparison with the European Crataegus oxyacantha L. flowers
- Isolation of eudesmane type sesquiterpene ketone from Prangos heyniae H.Duman & M.F.Watson essential oil and mosquitocidal activity of the essential oils
- Comparative analysis of the polyphenols profiles and the antioxidant and cytotoxicity properties of various blue honeysuckle varieties
- Special Issue on ICCESEN 2017
- Modelling world energy security data from multinomial distribution by generalized linear model under different cumulative link functions
- Pine Cone and Boron Compounds Effect as Reinforcement on Mechanical and Flammability Properties of Polyester Composites
- Artificial Neural Network Modelling for Prediction of SNR Effected by Probe Properties on Ultrasonic Inspection of Austenitic Stainless Steel Weldments
- Calculation and 3D analyses of ERR in the band crack front contained in a rectangular plate made of multilayered material
- Improvement of fuel properties of biodiesel with bioadditive ethyl levulinate
- Properties of AlSi9Cu3 metal matrix micro and nano composites produced via stir casting
- Investigation of Antibacterial Properties of Ag Doped TiO2 Nanofibers Prepared by Electrospinning Process
- Modeling of Total Phenolic contents in Various Tea samples by Experimental Design Methods
- Nickel doping effect on the structural and optical properties of indium sulfide thin films by SILAR
- The effect mechanism of Ginnalin A as a homeopathic agent on various cancer cell lines
- Excitation functions of proton induced reactions of some radioisotopes used in medicine
- Oxide ionic conductivity and microstructures of Pr and Sm co-doped CeO2-based systems
- Rapid Synthesis of Metallic Reinforced in Situ Intermetallic Composites in Ti-Al-Nb System via Resistive Sintering
- Oxidation Behavior of NiCr/YSZ Thermal Barrier Coatings (TBCs)
- Clustering Analysis of Normal Strength Concretes Produced with Different Aggregate Types
- Magnetic Nano-Sized Solid Acid Catalyst Bearing Sulfonic Acid Groups for Biodiesel Synthesis
- The biological activities of Arabis alpina L. subsp. brevifolia (DC.) Cullen against food pathogens
- Humidity properties of Schiff base polymers
- Free Vibration Analysis of Fiber Metal Laminated Straight Beam
- Comparative study of in vitro antioxidant, acetylcholinesterase and butyrylcholinesterase activity of alfalfa (Medicago sativa L.) collected during different growth stages
- Isothermal Oxidation Behavior of Gadolinium Zirconate (Gd2Zr2O7) Thermal Barrier Coatings (TBCs) produced by Electron Beam Physical Vapor Deposition (EB-PVD) technique
- Optimization of Adsorption Parameters for Ultra-Fine Calcite Using a Box-Behnken Experimental Design
- The Microstructural Investigation of Vermiculite-Infiltrated Electron Beam Physical Vapor Deposition Thermal Barrier Coatings
- Modelling Porosity Permeability of Ceramic Tiles using Fuzzy Taguchi Method
- Experimental and theoretical study of a novel naphthoquinone Schiff base
- Physicochemical properties of heat treated sille stone for ceramic industry
- Sand Dune Characterization for Preparing Metallurgical Grade Silicon
- Catalytic Applications of Large Pore Sulfonic Acid-Functionalized SBA-15 Mesoporous Silica for Esterification
- One-photon Absorption Characterizations, Dipole Polarizabilities and Second Hyperpolarizabilities of Chlorophyll a and Crocin
- The Optical and Crystallite Characterization of Bilayer TiO2 Films Coated on Different ITO layers
- Topical Issue on Bond Activation
- Metal-mediated reactions towards the synthesis of a novel deaminolysed bisurea, dicarbamolyamine
- The structure of ortho-(trifluoromethyl)phenol in comparison to its homologues – A combined experimental and theoretical study
- Heterogeneous catalysis with encapsulated haem and other synthetic porphyrins: Harnessing the power of porphyrins for oxidation reactions
- Recent Advances on Mechanistic Studies on C–H Activation Catalyzed by Base Metals
- Reactions of the organoplatinum complex [Pt(cod) (neoSi)Cl] (neoSi = trimethylsilylmethyl) with the non-coordinating anions SbF6– and BPh4–
- Erratum
- Investigation on Two Compounds of O, O’-dithiophosphate Derivatives as Corrosion Inhibitors for Q235 Steel in Hydrochloric Acid Solution