Abstract
In our approach for magnetic iron oxide nanoparticles surface modification, the fabrication of an inorganic shell, consisting of silica by the deposition of preformed colloids onto the nanoparticle surface and functionalization of these particles, was realized. The magnetic nanoparticles, non-coated and coated with silica layer by Stöber method, are functionalized with chlorosulfonic acid. The magnetic nanoparticles (MNPs), in size of 10-13 nm, could be used as acid catalyst in biodiesel production and show superparamagnetic character. The prepared nanoparticles were characterized by different methods including XRD, EDX, FT-IR and VSM. The catalytic activity of the coated and non-coated solid acids was examined in palmitic acid-methanol esterification as an industrial reaction for biodiesel synthesis. Although thin silica layer results in only a minor obstacle with respect to magnetism, it can accelerate the mass transportation due to its relatively porous structure and magnetic core may be more stable in the acidic reaction medium by means of covering process. Accordingly, coating strategy can be efficient way for allowing applications of MNPs in acid catalyzed esterification.
1 Introduction
Rising demand for energy and fuel, row oil reserves crisis and environmental regulations have augmented the interest in biodiesel as a renewable and greener option to diesel based on petroleum [1]. Biodiesel consists of long chain fatty acid esters produced with esterification of free fatty acids with methanol/ethanol or transesterification of triglycerides. In addition to being a renewable resource, biodiesel has many advantages such as a higher flash point, increased lubricity, and a lower emission profile compared with conventional diesel. Also, biodiesel is non-toxic and biocompatible. Because of these attractive properties, biodiesel is a fully environmentally friendly fuel [2].
Despite the currently usage of homogeneous catalytic process for the industrial production of biodiesel, it suffers many drawbacks such as difficulty in separation and the need to deal with the corrosive waste containing acid. Due to the ability to moderate high-acid value of oils as feedstock, heterogeneous acid catalysts are particularly attractive candidates for the biodiesel production process. Therefore, the appropriate heterogeneous solid catalysts for biodiesel productionwould have a growing interest [3].
Many heterogeneous acid catalysts such as zeolite, ion-exchange resin activated by sulfonation, and sulfated zirconia have been used for acid catalyzed reactions. However, catalysts such as zeolites have micropores and these micropores prevent the diffusion of big reaction components having long alkyl chains. For this reason, zeolites are not recommended for biodiesel synthesis. Ion-exchange resins are active strong acids. However, they have low thermal stability and deactivation takes place after only 2-5 hours. Since the stability of catalyst is decreased by the hindering of the smaller pores which are than the reaction components and coke formation, sulfated zirconia also is not appropriate [4]. Because of the low acid loading or the diffusional limitations of porous materials, the current solidacid catalysts showlowactivity. Due to these reasons, we choose magnetic nanoparticles (MNPs) as the carriers to prepare nano-size solid catalyst containing sulfonic acid groups on the surface. Nanoparticles as heterogeneous catalyst supports have attracted increasing interest, because the particles in nanometer size have large surface area, which provides quite several active and accessible centers. Furthermore, MNPs provide an additional advantage in separation and filtration steps for recycling tests [5]. Surface modification of magnetic particles is an elegant way to build a bridge between homogeneous and heterogeneous catalysis. In many organic reactions, silica-coated and sulfuric acid functionalized MNPs as recyclable strong solid acid catalysts facilitate the recovery of the catalyst [6]. MNPs of an ideal size are applied in the form of a stable aqueous suspension, and they should have superparamagnetic character. Superparamagnetism is a phenomenon whereby the magnetic moments of nanoparticles are smaller than a particular thermal energy. Since the particles have almost no coercivity, there are no magnetic interactions between them, which lead to the aggregation of the superparamagnetic nanoparticles. On the contrary, the magnetic interactions between larger particles named as ferri/ferromagnetic prevent to obtain a stable suspension [7].
Successful applications of MNPs highly depend upon their state of being stable especially under low pH conditions. According to previous studies [8], it is beneficial to use silica coated MNPs to ensure that they are stabilized. The silica layer acts both as a protective layer and scaffold, which makes functionalization possible by means of surface hydroxyl groups. While a thick silica layer would be useful to keep the distances between the core and the surface, it should also be thin enough to maintain the magnetic properties [9].
In the esterification reactions catalyzed by solid acid catalysts, the water, one of the reaction products, not only poisons the surface of the catalyst, but also produces more hydrophilic environment, reducing the performance of the solid acid catalyst. In addition to poisoning of the catalyst’s surface in the presence of water molecules, the active acidic sites of the catalysts are also exposed to deactivation, which inhibits the progress of the reactions. Apart from these, there are important parameters affecting the reactions’ progress considerably such as the polarities of the reactants and products, hydrophobic-hydrophilic balance on catalyst’s surface, and the acidity of catalysts [10].
The goal of this work is to increase the chemical stability of the sulfonic acid functionalized MNPs catalysts at low pH media by coating silica on the surface of MNPs before functionalization with sulfonic acid. At first, Fe3O4 nanoparticles are synthesized by co-precipitation of Fe2+ and Fe3+ salt solutions. Then, MNPs are coated with silica layer by Stöber method. Subsequently, the non-coated and coated MNPs are functionalized with chlorosulfonic acid. The catalytic activity of the coated and non-coated solid acids was examined in the palmitic acid-methanol esterification as an industrial reaction for biodiesel synthesis.
2 Experimental
2.1 Chemicals and Instruments
All chemicals were acquired from Merck or Sigma Aldrich and used as received. The X-ray diffraction patterns were recorded between 10o and 80o (2θ) in a Rigaku-Rint 2200 X-ray diffractometer (XRD) with CuKα radiation (λ = 0.154 nm). FT-IR measurements were performed by using a Perkin Elmer-UATR Two series infrared spectrometer. The components of the nanoparticles were analyzed by using energy dispersed X-ray spectrometer (EDX, Quanta-Bruker AXS). Magnetic properties were examined at room temperature by using a vibrating sample magnetometer (VSM, X9 Microsense) with a maximum applied field of 20 kOe.
2.2 Preparation of the Magnetic Fe3O4 Nanoparticles (MNPs)
MNPs were synthesized by chemical co-precipitation method described in the literature [11]. In a typical synthesis, FeCl3.6H2O (0.0216 mol) and FeCl2.4H2O (0.0108 mol) were dissolved in 100 mL deionized water at 85oC under N2 atmosphere with vigorous stirring. NH4OH, after being added as base to the Fe2+ and Fe3+ salt solutions, the black precipitate was magnetically separated.
2.3 Preparation of MN Ps Coated by Silica
Fe3O4.SiO2 nanoparticles were prepared according to the reported method [12]. MNPs (1 g) were firstly dispersed in the mixture of water (20 mL), ethanol (60 mL), and concentrated NH4OH (2 mL, 25 wt%) and then homogenized by ultrasonic. A solution of TEOS in ethanol (1 mL/10 mL) was dropped into the dispersion under mechanical stirring. The product, Fe3O4.SiO2, was separated by a magnet.
2.4 Preparation of Sulfonic Acid Functionalized Magnetic Nanoparticles
Naked Fe3O4 and Fe3O4.SiO2 samples were ultrasonically dispersed in dry CH2Cl2. Consecutively, chlorosulfonic acid (1 mL) was dropped into the dispersion, which was put in the cooled ice bath within 30 min, accompanied by HCl gas evolving from the reaction vessel. The resulting materials (Fe3O4.SO3H and Fe3O4.SiO2.SO3H) were separated with the help of magnet and washed with dry CH2Cl2 and ethanol to eliminate the hardly attached substrates as mentioned by Safari and Zarnegar [6].
2.5 General Procedure for the Esterification of Palmitic Acid with Methanol
Palmitic acid-methanol esterification was carried out in an isothermal glass reactor as mentioned in the literature [13]. In a typical run, 1.75 g of palmitic acid was charged into the 100 mL reactor equipped with a heating jacket and a temperature control unit with an accuracy of ± 0.1oC, and 31.8 mL of methanol was added. The necessary amount of the solid acid catalyst was taken into the reaction mixture accompanied by refluxing and stirring. The liquid samples (0.5 mL), withdrawn from the reactor at regular intervals, were analyzed volumetrically after being dispersed in ethanol/diethyl ether mixture. A 0.01 N alkaline solution of KOH was used to perform titration. The percentage of palmitic acid conversion (XA%) was calculated [14].
The acidity of the catalysts was estimated by ion-exchange analysis. The catalyst (0.05 g) was added to NaCl (2M, 15 mL) aqueous solution and stirred for 1 day. Then, the resulting mixture was titrated by NaOH (0.05 M).
Ethical approval: The conducted research is not related to either human or animals use.
3 Results and Discussion
The diffractograms of naked (Fe3O4) and covered with silica layer (Fe3O4.SiO2) samples are shown in Figure 1a. The observed XRD patterns appearing at 2θ = 30.5o, 35.8o, 43.4o, 53.9o, 57.3o, 63.1o, 71.7o and 74.8o and corresponding Miller indices values {hkl} of (220), (311), (400), (422), (511), (440), (620), and (533) reveal cubic iron oxide phase with the structure of inverse spinel ferrite of magnetite (JCPDS file no. 19-0629) [15]. The broad peak (2θ = 1825o) in the Fe3O4.SiO2 sample could be attributed to the amorphous silica in the form of a shell over the Fe3O4 core and this result is in good agreement with that of Mobaraki et al [10]. The mean particle-size of Fe3O4 and Fe3O4.SiO2 samples was calculated by Scherrer’s equation [16], D = k λ / β Cos θ, resulting in 12.6 nm and 14.2 nm for the Fe3O4 and Fe3O4.SiO2 samples, respectively (Table 1). Figure 1b shows the XRD diffraction patterns of sulfonic acid functionalized Fe3O4 and Fe3O4.SiO2 samples. The position and relative intensities of all XRD patterns match well with the peaks of the samples shown in Figure 1a, indicating the maintenance of the crystalline structure. Consequently, it can be concluded that the frameworks of the Fe3O4.SO3H and Fe3O4.SiO2.SO3H samples remained unchanged [17].

XRD patterns of Fe3O4 and Fe3O4.SiO2 (a); Fe3O4.SO3H and Fe3O4.SiO2.SO3H (b).
Saturation magnetization values based on VSM data and mean particle sizes calculated by XRD.
| Saturation Magnetization (emu/g) | Mean Particle Size (nm) | |
|---|---|---|
| Fe3O4 | 64.0 | 12.6 |
| Fe3O4.SiO2 | 53.7 | 14.2 |
| Fe3O4.SO3H | 52.6 | 12.9 |
| Fe3O4.SiO2.SO3H | 41.1 | 13.3 |
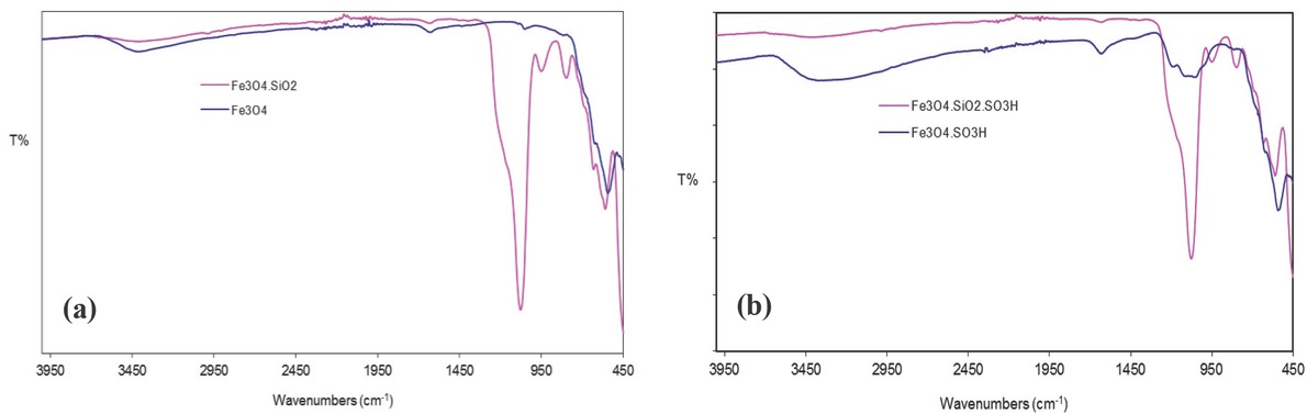
Figure 2a shows the FT-IR spectra of the uncoated (Fe3O4) and coated (Fe3O4.SiO2) MNPs. In the spectrum of Fe3O4 MNPs, absorption peaks at 544, 3419 and 1627 cm-1 correspond to the Fe-O and O-H stretching vibrations, and to the O-H bending vibration, respectively. The characteristic absorption peaks for the silica network are in accordance with the literature [18]. The broad and high-intensity band at 1077 cm-1 is assigned to the asymmetric stretching of Si-O-Si in SiO4, the band at 797 cm-1 is due to the Si-O-Si symmetric stretching, and the formation of the peak around 450 cm-1 is most likely attributed to the Si-O-Si bending mode. The weak band at 950 cm-1, which was absent in Fe3O4, is due to the Si-OH deformation from the incomplete condensation of TEOS sol [19]. Another FT-IR analysis showed the presence of the –SO3H groups attached to the surface of the MNPs (Figure 2b). As shown in Figure 2b, the FT-IR spectrum of Fe3O4.SO3H was definitely different from that of Fe3O4 in Figure 2a. The broad band between 3500 and 3000 cm-1 was attributed to adsorbed water and the broad band in range of 1200-1050 cm-1 wasattributed to the symmetric SO2 stretching indicating the presence of SO3H groups [20]. According to the literature [21], the peaks at 1199 and 1129 cm-1confirmed the presence of S=O group. In our Fe3O4.SO3H sample, these peaks were observed at 1194 and 1115 cm-1 demonstrating the presence of SO3H groups. On the other hand, these bands were covered by stronger absorption of the Si-O band at 1077 cm-1 for the Fe3O4.SiO2.SO3H sample. All these observations confirm that the sulfonyl groups have functionalized both of the surfaces of Fe3O4 and Fe3O4.SiO2 samples.

The comparative FT-IR spectra (a) for Fe3O4 and Fe3O4.SiO2; (b) Fe3O4.SO3H and Fe3O4.SiO2.SO3H samples.
In order to improve the surface reactivity of MNPs, coating by silica is recommended because of the silanol groups (Si-OH) which can be functionalized by further treatment. Therefore the surface concentration of the –OH groups may be correlated with surface density of the Si atoms [22]. For this purpose, the components of Fe3O4.SiO2, Fe3O4.SO3H and Fe3O4.SiO2.SO3H samples were determined by using EDX as illustrated in Figure 3. According to EDX results, Fe3O4 nanoparticles were trapped by SiO2 in Fe3O4. SiO2 sample. The characteristic peaks of Sulphur (S) in Fe3O4.SO3H and Fe3O4.SiO2.SO3H proved that sulfonyl groups were successfully attached onto the surface of both nanoparticles.

The EDX spectra of Fe3O4.SiO2, Fe3O4.SO3H and Fe3O4.SiO2. SO3H nanoparticles.
Figure 4a shows the M-H hysteresis curves of Fe3O4 and Fe3O4.SiO2 nanoparticles. The saturation magnetization (Ms) of the silica coated MNPs represents the magnetic content of 84% of Fe3O4. M-H hysteresis curves (Figure 4a, b) have a negligible coercivity and remanence. In addition, the increasing magnetization with the external magnetic field could not reach saturation even at 20 kOe. All of these features arise from superparamagnetic character of the nanoparticles [23]. The small decrease (16%) in the Ms value can be attributed to thin silica layer (Table 1). The Ms value of the Fe3O4.SO3H and Fe3O4.SiO2.SO3H samples obtained from the M-H curves shown in Figure 4b are 52.6 and 41.1 emu g-1, respectively. These values are smaller in comparison to those of the Fe3O4 and Fe3O4.SiO2 samples, namely, by a factor of about 21%. These results reflect that sulfonic acid functionalization causes the decrease of magnetization. It was also confirmed that the single domain magnetic nanoparticles existed yet already in these acid catalysts [24]. According to mean particle sizes given in Table 1, the larger nanoparticles having highermagnetizations were initially sedimented, resulting in a decrease in the mean size of the nanoparticles. Even with this reduction in the M s values, the catalysts can still be efficiently and easily separated from solution by using an external magnetic force and Ms values obtained in this study are also consistent with the reported values in the literature [25,26].

M-H hysteresis curves for the Fe3O4 and Fe3O4.SiO2 (a), Fe3O4.SO3H and Fe3O4.SiO2.SO3H samples (b) at room temperature (-1000 and 1000 Oe inset).
According to the expression,
Chlorosulfonic acid, which is used as an acid precursor for functionalizing, provides the acid sites for the Fe3O4 and Fe3O4.SiO2 supports and the self-condensation of chlorosulfonic acid was verified by the yield of the solid acid catalyst. Increasing the amount of the precursor provides the effective density of acid sites. However, the use of excess chlorosulfonic acid may corrode the magnetic core due to the acid-base neutralization reactions. Although a high acidity was obtained for the Fe3O4.SO3H (5.1 mmol g-1 with ± 2.9%) compared to the Fe3O4.SiO2.SO3H (4.1 mmol g-1 with ± 2.9%), the catalytic activity of the Fe3O4.SiO2.SO3H is higher than that of the Fe3O4.SO3H (Figure 5). According to experimental results, the Fe3O4.SiO2.SO3H was obtained with a solid yield of 75% and the Fe3O4.SO3H with 59.5% which promotes the idea that magnetic core might have been corroded by the chlorosulfonic acid precursor [28]. Esterification of methyl palmitate is a reversible reaction from which the water is arising as byproduct and the higher acid sites belonging to the Fe3O4.SO3H sample also promoted the reverse reactions causing a longer reaction time compared to Fe3O4.SiO2.SO3H. Even if the silica covering leads only a little barrier for protecting the MNPs, it can decelerate the mass transport resistance due to its relatively porous structure and magnetic core may be more stable in the low pH medium by means of the covering process.

Conversion of palmitic acid as a function of time. Reaction conditions: Palmitic acid: methanol = 1:33 (w/w), 60oC, 3 wt% catalyst.
4 Conclusion
The aim of this study was to synthesize non-coated and silica coated magnetic nanoparticles with activated chlorosulfonic acid, which could be used as catalysts in the esterification and could be separated from reaction medium and collected by magnetic force without centrifugation or filtration. According to the XRD and VSM results, it was concluded that the materials are nano-sized and coated with silica. FT-IR and EDX results confirmed the presence of acid functional groups (-SO3H).
Though both of Fe3O4.SO3H and Fe3O4.SiO2.SO3H catalysts efficiently catalyzed the esterification of methylpalmitate, silica coating can accelerate the mass transportation due to its relatively porous structure and magnetic core may be more stable in the acidic reaction medium. In conclusion, low mass transfer resistance, stability, magnetic responsibility, and high reaction efficiency causes the preference of the Fe3O4.SiO2.SO3H catalyst.
Acknowledgment
This work was supported by The Commission of Scientific Research Projects of Uludag University, Project number: KUAP(F)-2014/33.
Conflict of interest: Authors state no conflict of interest.
References
[1] Zillillah, Tan G., Li Z., Highly active, stable, and recyclable magnetic nano-size solid acid catalysts: efficient esterification of free fatty acid in grease to produce biodiesel, Green Chem., 2012, 14, 3077-3086.10.1039/c2gc35779hSearch in Google Scholar
[2] Wang H., Covarrubias J., Prock H., Wu X., Wang D., Bossmann S.H., Acid-Functionalized Magnetic Nanoparticle as Heterogeneous Catalysts for Biodiesel Synthesis, J. Phys. Chem. C, 2015, 119, 26020-26028.10.1021/acs.jpcc.5b08743Search in Google Scholar
[3] Dang T.H., Chen B.H., Optimization in esterification of palmitic acid with excess methanol by solid acid catalyst, Fuel Process. Technol., 2013, 109, 7-12.10.1016/j.fuproc.2012.12.013Search in Google Scholar
[4] Poonjarernsilp C., Sano N., Tamon H., Hydrothermally sulfonated single-walled carbon nanohorns for use as solid catalysts in biodiesel production by esterification of palmitic acid, Appl. Catal. B Environ., 2014, 147, 726-732.10.1016/j.apcatb.2013.10.006Search in Google Scholar
[5] Wang P., Kong A.G., Wang W.J., Zhu H.Y., Shan Y.K., Facile Preparation of Ionic Liquid Functionalized Magnetic Nano-Solid Acid Catalysts for Acetalization Reaction, Catal. Lett., 2010, 135, 159-164.10.1007/s10562-010-0271-xSearch in Google Scholar
[6] Safari J., Zarnegar Z., A magnetic nanoparticle-supported sulfuric acid as a highly efficient and reusable catalyst for rapid synthesis of amidoalkyl naphthols, J. Mol. Catal. A: Chem., 2013, 379, 269-276.10.1016/j.molcata.2013.08.028Search in Google Scholar
[7] Kralj S., Makovec D., Campelj S., Drofenik M., Producing ultra-thin silica coatings on iron-oxide nanoparticles to improve their surface reactivity, J. Magn. Magn. Mater., 2010, 322, 18471853.10.1016/j.jmmm.2009.12.038Search in Google Scholar
[8] Kuzminska M., Carlier N., Backov R., Gaigneaux E.M., Magnetic nanoparticles: Improving chemical stability via silica coating and organic grafting with silanes for acidic media catalytic reactions, Appl. Catal. A: Gen., 2015, 505, 200-212.10.1016/j.apcata.2015.08.005Search in Google Scholar
[9] Narita A., Naka K., Chujo Y., Facile control of silica shell layer thickness on hydrophilic iron oxide nanoparticles via reverse micelle method, Colloids Surf. A: Physicochem. Eng. Asp., 2009, 336, 46-56.10.1016/j.colsurfa.2008.11.013Search in Google Scholar
[10] Mobaraki A., Movassagh B., Karimi B., Hydrophobicity-enhanced magnetic solid sulfonic acid: A simple approach to improve the mass transfer of reaction partners on the surface of the heterogeneous catalyst in water-generating reactions, Appl. Catal. A: Gen., 2014, 472, 123-133.10.1016/j.apcata.2013.12.018Search in Google Scholar
[11] Kassaee M.Z., Masrouri H., Mohavedi F., Sulfamic acid-functionalized magnetic Fe3O4 nanoparticles as an efficient and reusable catalyst for one-pot synthesis of α–amino nitriles in water, Appl. Catal. A: Gen., 2011, 395, 28-33.10.1016/j.apcata.2011.01.018Search in Google Scholar
[12] Yang D., Hu J., Fu S., Controlled Synthesis of Magnetite-Silica Nanocomposites via a Seeded Sol-Gel Approach, J. Phys. Chem. C, 2009, 113, 7646-7651.10.1021/jp900868dSearch in Google Scholar
[13] Ramu S., Lingaiah N., Prabhavathi Devi B.L.A., Prasad R.B.N., Suryanarayana I., Sai Prasad P.S., Esterification of palmitic acid with methanol over tungsten oxide supported on zirconia solid acid catalysts: effect of method of preparation of the catalyst on its structural stability and reactivity, Appl. Catal. A: Gen., 2004, 276, 163-168.10.1016/j.apcata.2004.08.002Search in Google Scholar
[14] Marchetti J.M., Errazu A.F., Comparison of different heterogeneous catalysts and different alcohols for the esterification reaction of oleic acid, Fuel, 2008, 87, 3477-3480.10.1016/j.fuel.2008.05.011Search in Google Scholar
[15] Bayat A., Shakourian-Fard M., Ehyaei N., Hashemi M.M., A magnetic supported iron complex for selective oxidation of sulfides to sulfoxides using 30% hydrogen peroxide at room temperature, RSC Adv., 2014, 4, 44274-44281.10.1039/C4RA07356HSearch in Google Scholar
[16] Naeimi H., Nazifi Z.S., A highly efficient nano-Fe3O4 encapsulated-silica particles bearing sulfonic acid groups as a solid acid catalyst for synthesis of 1,8-dioxo-octahydroxanthene derivatives, J. Nanopart. Res., 2013, 15, 2026-2036.10.1007/s11051-013-2026-2Search in Google Scholar PubMed PubMed Central
[17] Naeimi H., Nazifi Z.S., Amininezhad S.M., Preparation of Fe3O4 encapsulated-silica sulfonic acid nanoparticles and study of their in vitro antimicrobial activity, J. Photochem. Photobiol. B: Biol., 2015, 149, 180-188.10.1016/j.jphotobiol.2015.06.004Search in Google Scholar PubMed
[18] Du G.H., Liu Z.L., Xia X., Chu Q., Zhang S.M., Characterization and application of Fe3O4/SiO2 nanocomposites, J. Sol-Gel Sci. Techn., 2006, 39, 285-291.10.1007/s10971-006-7780-5Search in Google Scholar
[19] Li Y.S., Church J.S., Woodhead A.L., Moussa F., Preparation and characterization of silica coated iron oxide magnetic nanoparticles, Spectrochim. Acta Part A: Mol. Biomol. Spectrosc., 2010, 76, 484-489.10.1016/j.saa.2010.04.004Search in Google Scholar PubMed
[20] Nemati F., Heravi M.M., Rad R.S., Nano-Fe3O4 Encapsulated-Silica Particles Bearing Sulfonic Acid Groups as a Magnetically Separable Catalyst for Highly Efficient Knoevenagel Condensation and Michael Addition Reactions of Aromatic Aldehydes with 1,3-Cyclic Diketones, Chin. J. Catal., 2012, 33, 1825-1831.10.1016/S1872-2067(11)60455-5Search in Google Scholar
[21] Alizadeh A., Abdi G., Khodaei M.M., Ashokkumar M., Amirian J., Graphene oxide/Fe3O4/SO3H nanohybrid: a new adsorbent for adsorption and reduction of Cr(VI) from aqueous solutions, RSC Adv., 2017, 7, 14876-14887.10.1039/C7RA01536DSearch in Google Scholar
[22] Kralj S., Drofenik M., Makovec D., Controlled surface functionalization of silica-coated magnetic nanoparticles with terminal amino and carboxyl groups, J. Nanopart. Res., 2011, 13, 2829-2841.10.1007/s11051-010-0171-4Search in Google Scholar
[23] Karaoglu E., Summak M.M., Baykal A., Sözeri H., Toprak M.S., Synthesis and Characterization of Catalytically Activity Fe3O4–3-Aminopropyl-triethoxysilane/Pd Nanocomposite, J. Inorg. Organomet. Polym., 2013, 23, 409-417.10.1007/s10904-012-9796-3Search in Google Scholar
[24] Li G., Jiang Y., Huang K., Ding P., Chen J., Preparation and properties of magnetic Fe3O4–chitosan nanoparticles, J. Alloys Compd., 2008, 466, 451-456.10.1016/j.jallcom.2007.11.100Search in Google Scholar
[25] Naeimi H., Mohamadabadi S., Sulfonic acid-functionalized silica-coated magnetic nanoparticles as an efficient reusable catalyst for the synthesis of 1-substituted 1H-tetrazoles under solvent-free conditions, Dalton Trans., 2014, 43, 12967-12973.10.1039/C4DT01664ESearch in Google Scholar
[26] Veisi H., Mohammadi P., Gholami J., Sulfamic acid heterogenized on functionalized magnetic Fe3O4 nanoparticles with diaminoglyoxime as a green, efficient and reusable catalyst for one-pot synthesis of substituted pyrroles in aqueous phase, Appl. Organometal. Chem., 2014, 28, 868-873.10.1002/aoc.3228Search in Google Scholar
[27] Yamaura M., Camilo R.L., Sampaio L.C., Macedo M.A., Nakamura M., Toma H.E., Preparation and characterization of (3-aminopropyl) triethoxysilane-coated magnetite nanoparticles, J. Magn. Magn. Mater., 2004, 279, 210-217.10.1016/j.jmmm.2004.01.094Search in Google Scholar
[28] Li J., Liang X., Magnetic solid acid catalyst for biodiesel synthesis from waste oil, Energy Convers. Manage., 2017, 141, 126-132.10.1016/j.enconman.2016.06.072Search in Google Scholar
© 2018 Sezer Erdem et al., published by De Gruyter
This work is licensed under the Creative Commons Attribution-NonCommercial-NoDerivatives 4.0 License.
Articles in the same Issue
- Regular Articles
- The effect of CuO modification for a TiO2 nanotube confined CeO2 catalyst on the catalytic combustion of butane
- The preparation and antibacterial activity of cellulose/ZnO composite: a review
- Linde Type A and nano magnetite/NaA zeolites: cytotoxicity and doxorubicin loading efficiency
- Performance and thermal decomposition analysis of foaming agent NPL-10 for use in heavy oil recovery by steam injection
- Spectroscopic (FT-IR, FT-Raman, UV, 1H and 13C NMR) insights, electronic profiling and DFT computations on ({(E)-[3-(1H-imidazol-1-yl)-1-phenylpropylidene] amino}oxy)(4-nitrophenyl)methanone, an imidazole-bearing anti-Candida agent
- A Simplistic Preliminary Assessment of Ginstling-Brounstein Model for Solid Spherical Particles in the Context of a Diffusion-Controlled Synthesis
- M-Polynomials And Topological Indices Of Zigzag And Rhombic Benzenoid Systems
- Photochemical Transformation of some 3-benzyloxy-2-(benzo[b]thiophen-2-yl)-4Hchromen-4-ones: A Remote Substituent Effect
- Dynamic Changes of Secondary Metabolites and Antioxidant Activity of Ligustrum lucidum During Fruit Growth
- Studies on the flammability of polypropylene/ammonium polyphosphate and montmorillonite by using the cone calorimeter test
- DSC, FT-IR, NIR, NIR-PCA and NIR-ANOVA for determination of chemical stability of diuretic drugs: impact of excipients
- Antioxidant and Hepatoprotective Effects of Methanolic Extracts of Zilla spinosa and Hammada elegans Against Carbon Tetrachlorideinduced Hepatotoxicity in Rats
- Prunus cerasifera Ehrh. fabricated ZnO nano falcates and its photocatalytic and dose dependent in vitro bio-activity
- Organic biocides hosted in layered double hydroxides: enhancing antimicrobial activity
- Experimental study on the regulation of the cholinergic pathway in renal macrophages by microRNA-132 to alleviate inflammatory response
- Synthesis, characterization, in-vitro antimicrobial properties, molecular docking and DFT studies of 3-{(E)-[(4,6-dimethylpyrimidin-2-yl)imino]methyl} naphthalen-2-ol and Heteroleptic Mn(II), Co(II), Ni(II) and Zn(II) complexes
- M-Polynomials and Topological Indices of Dominating David Derived Networks
- Human Health Risk Assessment of Trace Metals in Surface Water Due to Leachate from the Municipal Dumpsite by Pollution Index: A Case Study from Ndawuse River, Abuja, Nigeria
- Analysis of Bowel Diseases from Blood Serum by Autofluorescence and Atomic Force Microscopy Techniques
- Hydrographic parameters and distribution of dissolved Cu, Ni, Zn and nutrients near Jeddah desalination plant
- Relationships between diatoms and environmental variables in industrial water biotopes of Trzuskawica S.A. (Poland)
- Optimum Conversion of Major Ginsenoside Rb1 to Minor Ginsenoside Rg3(S) by Pulsed Electric Field-Assisted Acid Hydrolysis Treatment
- Antioxidant, Anti-microbial Properties and Chemical Composition of Cumin Essential Oils Extracted by Three Methods
- Regulatory mechanism of ulinastatin on autophagy of macrophages and renal tubular epithelial cells
- Investigation of the sustained-release mechanism of hydroxypropyl methyl cellulose skeleton type Acipimox tablets
- Bio-accumulation of Polycyclic Aromatic Hydrocarbons in the Grey Mangrove (Avicennia marina) along Arabian Gulf, Saudi Coast
- Dynamic Change of Secondary Metabolites and spectrum-effect relationship of Malus halliana Koehne flowers during blooming
- Lipids constituents from Gardenia aqualla Stapf & Hutch
- Effect of using microwaves for catalysts preparation on the catalytic acetalization of glycerol with furfural to obtain fuel additives
- Effect of Humic Acid on the Degradation of Methylene Blue by Peroxymonosulfate
- Serum containing drugs of Gua Lou Xie Bai decoction (GLXB-D) can inhibit TGF-β1-Induced Epithelial to Mesenchymal Transition (EMT) in A549 Cells
- Antiulcer Activity of Different Extracts of Anvillea garcinii and Isolation of Two New Secondary Metabolites
- Analysis of Metabolites in Cabernet Sauvignon and Shiraz Dry Red Wines from Shanxi by 1H NMR Spectroscopy Combined with Pattern Recognition Analysis
- Can water temperature impact litter decomposition under pollution of copper and zinc mixture
- Released from ZrO2/SiO2 coating resveratrol inhibits senescence and oxidative stress of human adipose-derived stem cells (ASC)
- Validated thin-layer chromatographic method for alternative and simultaneous determination of two anti-gout agents in their fixed dose combinations
- Fast removal of pollutants from vehicle emissions during cold-start stage
- Review Article
- Catalytic activities of heterogeneous catalysts obtained by copolymerization of metal-containing 2-(acetoacetoxy)ethyl methacrylate
- Antibiotic Residue in the Aquatic Environment: Status in Africa
- Regular Articles
- Mercury fractionation in gypsum using temperature desorption and mass spectrometric detection
- Phytosynthetic Ag doped ZnO nanoparticles: Semiconducting green remediators
- Epithelial–Mesenchymal Transition Induced by SMAD4 Activation in Invasive Growth Hormone-Secreting Adenomas
- Physicochemical properties of stabilized sewage sludge admixtures by modified steel slag
- In Vitro Cytotoxic and Antiproliferative Activity of Cydonia oblonga flower petals, leaf and fruit pellet ethanolic extracts. Docking simulation of the active flavonoids on anti-apoptotic protein Bcl-2
- Synthesis and Characterization of Pd exchanged MMT Clay for Mizoroki-Heck Reaction
- A new selective, and sensitive method for the determination of lixivaptan, a vasopressin 2 (V2)-receptor antagonist, in mouse plasma and its application in a pharmacokinetic study
- Anti-EGFL7 antibodies inhibit rat prolactinoma MMQ cells proliferation and PRL secretion
- Density functional theory calculations, vibration spectral analysis and molecular docking of the antimicrobial agent 6-(1,3-benzodioxol-5-ylmethyl)-5-ethyl-2-{[2-(morpholin-4-yl)ethyl] sulfanyl}pyrimidin-4(3H)-one
- Effect of Nano Zeolite on the Transformation of Cadmium Speciation and Its Uptake by Tobacco in Cadmium-contaminated Soil
- Effects and Mechanisms of Jinniu Capsule on Methamphetamine-Induced Conditioned Place Preference in Rats
- Calculating the Degree-based Topological Indices of Dendrimers
- Efficient optimization and mineralization of UV absorbers: A comparative investigation with Fenton and UV/H2O2
- Metabolites of Tryptophane and Phenylalanine as Markers of Small Bowel Ischemia-Reperfusion Injury
- Adsorption and determination of polycyclic aromatic hydrocarbons in water through the aggregation of graphene oxide
- The role of NR2C2 in the prolactinomas
- Chromium removal from industrial wastewater using Phyllostachys pubescens biomass loaded Cu-S nanospheres
- Hydrotalcite Anchored Ruthenium Catalyst for CO2 Hydrogenation Reaction
- Preparation of Calcium Fluoride using Phosphogypsum by Orthogonal Experiment
- The mechanism of antibacterial activity of corylifolinin against three clinical bacteria from Psoralen corylifolia L
- 2-formyl-3,6-bis(hydroxymethyl)phenyl benzoate in Electrochemical Dry Cell
- Electro-photocatalytic degradation of amoxicillin using calcium titanate
- Effect of Malus halliana Koehne Polysaccharides on Functional Constipation
- Structural Properties and Nonlinear Optical Responses of Halogenated Compounds: A DFT Investigation on Molecular Modelling
- DMFDMA catalyzed synthesis of 2-((Dimethylamino)methylene)-3,4-dihydro-9-arylacridin-1(2H)-ones and their derivatives: in-vitro antifungal, antibacterial and antioxidant evaluations
- Production of Methanol as a Fuel Energy from CO2 Present in Polluted Seawater - A Photocatalytic Outlook
- Study of different extraction methods on finger print and fatty acid of raw beef fat using fourier transform infrared and gas chromatography-mass spectrometry
- Determination of trace fluoroquinolones in water solutions and in medicinal preparations by conventional and synchronous fluorescence spectrometry
- Extraction and determination of flavonoids in Carthamus tinctorius
- Therapeutic Application of Zinc and Vanadium Complexes against Diabetes Mellitus a Coronary Disease: A review
- Study of calcined eggshell as potential catalyst for biodiesel formation using used cooking oil
- Manganese oxalates - structure-based Insights
- Topological Indices of H-Naphtalenic Nanosheet
- Long-Term Dissolution of Glass Fibers in Water Described by Dissolving Cylinder Zero-Order Kinetic Model: Mass Loss and Radius Reduction
- Topological study of the para-line graphs of certain pentacene via topological indices
- A brief insight into the prediction of water vapor transmissibility in highly impermeable hybrid nanocomposites based on bromobutyl/epichlorohydrin rubber blends
- Comparative sulfite assay by voltammetry using Pt electrodes, photometry and titrimetry: Application to cider, vinegar and sugar analysis
- MicroRNA delivery mediated by PEGylated polyethylenimine for prostate cancer therapy
- Reversible Fluorescent Turn-on Sensors for Fe3+ based on a Receptor Composed of Tri-oxygen Atoms of Amide Groups in Water
- Sonocatalytic degradation of methyl orange in aqueous solution using Fe-doped TiO2 nanoparticles under mechanical agitation
- Hydrotalcite Anchored Ruthenium Catalyst for CO2 Hydrogenation Reaction
- Production and Analysis of Recycled Ammonium Perrhenate from CMSX-4 superalloys
- Topical Issue on Agriculture
- New phosphorus biofertilizers from renewable raw materials in the aspect of cadmium and lead contents in soil and plants
- Survey of content of cadmium, calcium, chromium, copper, iron, lead, magnesium, manganese, mercury, sodium and zinc in chamomile and green tea leaves by electrothermal or flame atomizer atomic absorption spectrometry
- Biogas digestate – benefits and risks for soil fertility and crop quality – an evaluation of grain maize response
- A numerical analysis of heat transfer in a cross-current heat exchanger with controlled and newly designed air flows
- Freshwater green macroalgae as a biosorbent of Cr(III) ions
- The main influencing factors of soil mechanical characteristics of the gravity erosion environment in the dry-hot valley of Jinsha river
- Free amino acids in Viola tricolor in relation to different habitat conditions
- The influence of filler amount on selected properties of new experimental resin dental composite
- Effect of poultry wastewater irrigation on nitrogen, phosphorus and carbon contents in farmland soil
- Response of spring wheat to NPK and S fertilization. The content and uptake of macronutrients and the value of ionic ratios
- The Effect of Macroalgal Extracts and Near Infrared Radiation on Germination of Soybean Seedlings: Preliminary Research Results
- Content of Zn, Cd and Pb in purple moor-grass in soils heavily contaminated with heavy metals around a zinc and lead ore tailing landfill
- Topical Issue on Research for Natural Bioactive Products
- Synthesis of (±)-3,4-dimethoxybenzyl-4-methyloctanoate as a novel internal standard for capsinoid determination by HPLC-ESI-MS/MS(QTOF)
- Repellent activity of monoterpenoid esters with neurotransmitter amino acids against yellow fever mosquito, Aedes aegypti
- Effect of Flammulina velutipes (golden needle mushroom, eno-kitake) polysaccharides on constipation
- Bioassay-directed fractionation of a blood coagulation factor Xa inhibitor, betulinic acid from Lycopus lucidus
- Antifungal and repellent activities of the essential oils from three aromatic herbs from western Himalaya
- Chemical composition and microbiological evaluation of essential oil from Hyssopus officinalis L. with white and pink flowers
- Bioassay-guided isolation and identification of Aedes aegypti larvicidal and biting deterrent compounds from Veratrum lobelianum
- α-Terpineol, a natural monoterpene: A review of its biological properties
- Utility of essential oils for development of host-based lures for Xyleborus glabratus (Coleoptera: Curculionidae: Scolytinae), vector of laurel wilt
- Phenolic composition and antioxidant potential of different organs of Kazakh Crataegus almaatensis Pojark: A comparison with the European Crataegus oxyacantha L. flowers
- Isolation of eudesmane type sesquiterpene ketone from Prangos heyniae H.Duman & M.F.Watson essential oil and mosquitocidal activity of the essential oils
- Comparative analysis of the polyphenols profiles and the antioxidant and cytotoxicity properties of various blue honeysuckle varieties
- Special Issue on ICCESEN 2017
- Modelling world energy security data from multinomial distribution by generalized linear model under different cumulative link functions
- Pine Cone and Boron Compounds Effect as Reinforcement on Mechanical and Flammability Properties of Polyester Composites
- Artificial Neural Network Modelling for Prediction of SNR Effected by Probe Properties on Ultrasonic Inspection of Austenitic Stainless Steel Weldments
- Calculation and 3D analyses of ERR in the band crack front contained in a rectangular plate made of multilayered material
- Improvement of fuel properties of biodiesel with bioadditive ethyl levulinate
- Properties of AlSi9Cu3 metal matrix micro and nano composites produced via stir casting
- Investigation of Antibacterial Properties of Ag Doped TiO2 Nanofibers Prepared by Electrospinning Process
- Modeling of Total Phenolic contents in Various Tea samples by Experimental Design Methods
- Nickel doping effect on the structural and optical properties of indium sulfide thin films by SILAR
- The effect mechanism of Ginnalin A as a homeopathic agent on various cancer cell lines
- Excitation functions of proton induced reactions of some radioisotopes used in medicine
- Oxide ionic conductivity and microstructures of Pr and Sm co-doped CeO2-based systems
- Rapid Synthesis of Metallic Reinforced in Situ Intermetallic Composites in Ti-Al-Nb System via Resistive Sintering
- Oxidation Behavior of NiCr/YSZ Thermal Barrier Coatings (TBCs)
- Clustering Analysis of Normal Strength Concretes Produced with Different Aggregate Types
- Magnetic Nano-Sized Solid Acid Catalyst Bearing Sulfonic Acid Groups for Biodiesel Synthesis
- The biological activities of Arabis alpina L. subsp. brevifolia (DC.) Cullen against food pathogens
- Humidity properties of Schiff base polymers
- Free Vibration Analysis of Fiber Metal Laminated Straight Beam
- Comparative study of in vitro antioxidant, acetylcholinesterase and butyrylcholinesterase activity of alfalfa (Medicago sativa L.) collected during different growth stages
- Isothermal Oxidation Behavior of Gadolinium Zirconate (Gd2Zr2O7) Thermal Barrier Coatings (TBCs) produced by Electron Beam Physical Vapor Deposition (EB-PVD) technique
- Optimization of Adsorption Parameters for Ultra-Fine Calcite Using a Box-Behnken Experimental Design
- The Microstructural Investigation of Vermiculite-Infiltrated Electron Beam Physical Vapor Deposition Thermal Barrier Coatings
- Modelling Porosity Permeability of Ceramic Tiles using Fuzzy Taguchi Method
- Experimental and theoretical study of a novel naphthoquinone Schiff base
- Physicochemical properties of heat treated sille stone for ceramic industry
- Sand Dune Characterization for Preparing Metallurgical Grade Silicon
- Catalytic Applications of Large Pore Sulfonic Acid-Functionalized SBA-15 Mesoporous Silica for Esterification
- One-photon Absorption Characterizations, Dipole Polarizabilities and Second Hyperpolarizabilities of Chlorophyll a and Crocin
- The Optical and Crystallite Characterization of Bilayer TiO2 Films Coated on Different ITO layers
- Topical Issue on Bond Activation
- Metal-mediated reactions towards the synthesis of a novel deaminolysed bisurea, dicarbamolyamine
- The structure of ortho-(trifluoromethyl)phenol in comparison to its homologues – A combined experimental and theoretical study
- Heterogeneous catalysis with encapsulated haem and other synthetic porphyrins: Harnessing the power of porphyrins for oxidation reactions
- Recent Advances on Mechanistic Studies on C–H Activation Catalyzed by Base Metals
- Reactions of the organoplatinum complex [Pt(cod) (neoSi)Cl] (neoSi = trimethylsilylmethyl) with the non-coordinating anions SbF6– and BPh4–
- Erratum
- Investigation on Two Compounds of O, O’-dithiophosphate Derivatives as Corrosion Inhibitors for Q235 Steel in Hydrochloric Acid Solution
Articles in the same Issue
- Regular Articles
- The effect of CuO modification for a TiO2 nanotube confined CeO2 catalyst on the catalytic combustion of butane
- The preparation and antibacterial activity of cellulose/ZnO composite: a review
- Linde Type A and nano magnetite/NaA zeolites: cytotoxicity and doxorubicin loading efficiency
- Performance and thermal decomposition analysis of foaming agent NPL-10 for use in heavy oil recovery by steam injection
- Spectroscopic (FT-IR, FT-Raman, UV, 1H and 13C NMR) insights, electronic profiling and DFT computations on ({(E)-[3-(1H-imidazol-1-yl)-1-phenylpropylidene] amino}oxy)(4-nitrophenyl)methanone, an imidazole-bearing anti-Candida agent
- A Simplistic Preliminary Assessment of Ginstling-Brounstein Model for Solid Spherical Particles in the Context of a Diffusion-Controlled Synthesis
- M-Polynomials And Topological Indices Of Zigzag And Rhombic Benzenoid Systems
- Photochemical Transformation of some 3-benzyloxy-2-(benzo[b]thiophen-2-yl)-4Hchromen-4-ones: A Remote Substituent Effect
- Dynamic Changes of Secondary Metabolites and Antioxidant Activity of Ligustrum lucidum During Fruit Growth
- Studies on the flammability of polypropylene/ammonium polyphosphate and montmorillonite by using the cone calorimeter test
- DSC, FT-IR, NIR, NIR-PCA and NIR-ANOVA for determination of chemical stability of diuretic drugs: impact of excipients
- Antioxidant and Hepatoprotective Effects of Methanolic Extracts of Zilla spinosa and Hammada elegans Against Carbon Tetrachlorideinduced Hepatotoxicity in Rats
- Prunus cerasifera Ehrh. fabricated ZnO nano falcates and its photocatalytic and dose dependent in vitro bio-activity
- Organic biocides hosted in layered double hydroxides: enhancing antimicrobial activity
- Experimental study on the regulation of the cholinergic pathway in renal macrophages by microRNA-132 to alleviate inflammatory response
- Synthesis, characterization, in-vitro antimicrobial properties, molecular docking and DFT studies of 3-{(E)-[(4,6-dimethylpyrimidin-2-yl)imino]methyl} naphthalen-2-ol and Heteroleptic Mn(II), Co(II), Ni(II) and Zn(II) complexes
- M-Polynomials and Topological Indices of Dominating David Derived Networks
- Human Health Risk Assessment of Trace Metals in Surface Water Due to Leachate from the Municipal Dumpsite by Pollution Index: A Case Study from Ndawuse River, Abuja, Nigeria
- Analysis of Bowel Diseases from Blood Serum by Autofluorescence and Atomic Force Microscopy Techniques
- Hydrographic parameters and distribution of dissolved Cu, Ni, Zn and nutrients near Jeddah desalination plant
- Relationships between diatoms and environmental variables in industrial water biotopes of Trzuskawica S.A. (Poland)
- Optimum Conversion of Major Ginsenoside Rb1 to Minor Ginsenoside Rg3(S) by Pulsed Electric Field-Assisted Acid Hydrolysis Treatment
- Antioxidant, Anti-microbial Properties and Chemical Composition of Cumin Essential Oils Extracted by Three Methods
- Regulatory mechanism of ulinastatin on autophagy of macrophages and renal tubular epithelial cells
- Investigation of the sustained-release mechanism of hydroxypropyl methyl cellulose skeleton type Acipimox tablets
- Bio-accumulation of Polycyclic Aromatic Hydrocarbons in the Grey Mangrove (Avicennia marina) along Arabian Gulf, Saudi Coast
- Dynamic Change of Secondary Metabolites and spectrum-effect relationship of Malus halliana Koehne flowers during blooming
- Lipids constituents from Gardenia aqualla Stapf & Hutch
- Effect of using microwaves for catalysts preparation on the catalytic acetalization of glycerol with furfural to obtain fuel additives
- Effect of Humic Acid on the Degradation of Methylene Blue by Peroxymonosulfate
- Serum containing drugs of Gua Lou Xie Bai decoction (GLXB-D) can inhibit TGF-β1-Induced Epithelial to Mesenchymal Transition (EMT) in A549 Cells
- Antiulcer Activity of Different Extracts of Anvillea garcinii and Isolation of Two New Secondary Metabolites
- Analysis of Metabolites in Cabernet Sauvignon and Shiraz Dry Red Wines from Shanxi by 1H NMR Spectroscopy Combined with Pattern Recognition Analysis
- Can water temperature impact litter decomposition under pollution of copper and zinc mixture
- Released from ZrO2/SiO2 coating resveratrol inhibits senescence and oxidative stress of human adipose-derived stem cells (ASC)
- Validated thin-layer chromatographic method for alternative and simultaneous determination of two anti-gout agents in their fixed dose combinations
- Fast removal of pollutants from vehicle emissions during cold-start stage
- Review Article
- Catalytic activities of heterogeneous catalysts obtained by copolymerization of metal-containing 2-(acetoacetoxy)ethyl methacrylate
- Antibiotic Residue in the Aquatic Environment: Status in Africa
- Regular Articles
- Mercury fractionation in gypsum using temperature desorption and mass spectrometric detection
- Phytosynthetic Ag doped ZnO nanoparticles: Semiconducting green remediators
- Epithelial–Mesenchymal Transition Induced by SMAD4 Activation in Invasive Growth Hormone-Secreting Adenomas
- Physicochemical properties of stabilized sewage sludge admixtures by modified steel slag
- In Vitro Cytotoxic and Antiproliferative Activity of Cydonia oblonga flower petals, leaf and fruit pellet ethanolic extracts. Docking simulation of the active flavonoids on anti-apoptotic protein Bcl-2
- Synthesis and Characterization of Pd exchanged MMT Clay for Mizoroki-Heck Reaction
- A new selective, and sensitive method for the determination of lixivaptan, a vasopressin 2 (V2)-receptor antagonist, in mouse plasma and its application in a pharmacokinetic study
- Anti-EGFL7 antibodies inhibit rat prolactinoma MMQ cells proliferation and PRL secretion
- Density functional theory calculations, vibration spectral analysis and molecular docking of the antimicrobial agent 6-(1,3-benzodioxol-5-ylmethyl)-5-ethyl-2-{[2-(morpholin-4-yl)ethyl] sulfanyl}pyrimidin-4(3H)-one
- Effect of Nano Zeolite on the Transformation of Cadmium Speciation and Its Uptake by Tobacco in Cadmium-contaminated Soil
- Effects and Mechanisms of Jinniu Capsule on Methamphetamine-Induced Conditioned Place Preference in Rats
- Calculating the Degree-based Topological Indices of Dendrimers
- Efficient optimization and mineralization of UV absorbers: A comparative investigation with Fenton and UV/H2O2
- Metabolites of Tryptophane and Phenylalanine as Markers of Small Bowel Ischemia-Reperfusion Injury
- Adsorption and determination of polycyclic aromatic hydrocarbons in water through the aggregation of graphene oxide
- The role of NR2C2 in the prolactinomas
- Chromium removal from industrial wastewater using Phyllostachys pubescens biomass loaded Cu-S nanospheres
- Hydrotalcite Anchored Ruthenium Catalyst for CO2 Hydrogenation Reaction
- Preparation of Calcium Fluoride using Phosphogypsum by Orthogonal Experiment
- The mechanism of antibacterial activity of corylifolinin against three clinical bacteria from Psoralen corylifolia L
- 2-formyl-3,6-bis(hydroxymethyl)phenyl benzoate in Electrochemical Dry Cell
- Electro-photocatalytic degradation of amoxicillin using calcium titanate
- Effect of Malus halliana Koehne Polysaccharides on Functional Constipation
- Structural Properties and Nonlinear Optical Responses of Halogenated Compounds: A DFT Investigation on Molecular Modelling
- DMFDMA catalyzed synthesis of 2-((Dimethylamino)methylene)-3,4-dihydro-9-arylacridin-1(2H)-ones and their derivatives: in-vitro antifungal, antibacterial and antioxidant evaluations
- Production of Methanol as a Fuel Energy from CO2 Present in Polluted Seawater - A Photocatalytic Outlook
- Study of different extraction methods on finger print and fatty acid of raw beef fat using fourier transform infrared and gas chromatography-mass spectrometry
- Determination of trace fluoroquinolones in water solutions and in medicinal preparations by conventional and synchronous fluorescence spectrometry
- Extraction and determination of flavonoids in Carthamus tinctorius
- Therapeutic Application of Zinc and Vanadium Complexes against Diabetes Mellitus a Coronary Disease: A review
- Study of calcined eggshell as potential catalyst for biodiesel formation using used cooking oil
- Manganese oxalates - structure-based Insights
- Topological Indices of H-Naphtalenic Nanosheet
- Long-Term Dissolution of Glass Fibers in Water Described by Dissolving Cylinder Zero-Order Kinetic Model: Mass Loss and Radius Reduction
- Topological study of the para-line graphs of certain pentacene via topological indices
- A brief insight into the prediction of water vapor transmissibility in highly impermeable hybrid nanocomposites based on bromobutyl/epichlorohydrin rubber blends
- Comparative sulfite assay by voltammetry using Pt electrodes, photometry and titrimetry: Application to cider, vinegar and sugar analysis
- MicroRNA delivery mediated by PEGylated polyethylenimine for prostate cancer therapy
- Reversible Fluorescent Turn-on Sensors for Fe3+ based on a Receptor Composed of Tri-oxygen Atoms of Amide Groups in Water
- Sonocatalytic degradation of methyl orange in aqueous solution using Fe-doped TiO2 nanoparticles under mechanical agitation
- Hydrotalcite Anchored Ruthenium Catalyst for CO2 Hydrogenation Reaction
- Production and Analysis of Recycled Ammonium Perrhenate from CMSX-4 superalloys
- Topical Issue on Agriculture
- New phosphorus biofertilizers from renewable raw materials in the aspect of cadmium and lead contents in soil and plants
- Survey of content of cadmium, calcium, chromium, copper, iron, lead, magnesium, manganese, mercury, sodium and zinc in chamomile and green tea leaves by electrothermal or flame atomizer atomic absorption spectrometry
- Biogas digestate – benefits and risks for soil fertility and crop quality – an evaluation of grain maize response
- A numerical analysis of heat transfer in a cross-current heat exchanger with controlled and newly designed air flows
- Freshwater green macroalgae as a biosorbent of Cr(III) ions
- The main influencing factors of soil mechanical characteristics of the gravity erosion environment in the dry-hot valley of Jinsha river
- Free amino acids in Viola tricolor in relation to different habitat conditions
- The influence of filler amount on selected properties of new experimental resin dental composite
- Effect of poultry wastewater irrigation on nitrogen, phosphorus and carbon contents in farmland soil
- Response of spring wheat to NPK and S fertilization. The content and uptake of macronutrients and the value of ionic ratios
- The Effect of Macroalgal Extracts and Near Infrared Radiation on Germination of Soybean Seedlings: Preliminary Research Results
- Content of Zn, Cd and Pb in purple moor-grass in soils heavily contaminated with heavy metals around a zinc and lead ore tailing landfill
- Topical Issue on Research for Natural Bioactive Products
- Synthesis of (±)-3,4-dimethoxybenzyl-4-methyloctanoate as a novel internal standard for capsinoid determination by HPLC-ESI-MS/MS(QTOF)
- Repellent activity of monoterpenoid esters with neurotransmitter amino acids against yellow fever mosquito, Aedes aegypti
- Effect of Flammulina velutipes (golden needle mushroom, eno-kitake) polysaccharides on constipation
- Bioassay-directed fractionation of a blood coagulation factor Xa inhibitor, betulinic acid from Lycopus lucidus
- Antifungal and repellent activities of the essential oils from three aromatic herbs from western Himalaya
- Chemical composition and microbiological evaluation of essential oil from Hyssopus officinalis L. with white and pink flowers
- Bioassay-guided isolation and identification of Aedes aegypti larvicidal and biting deterrent compounds from Veratrum lobelianum
- α-Terpineol, a natural monoterpene: A review of its biological properties
- Utility of essential oils for development of host-based lures for Xyleborus glabratus (Coleoptera: Curculionidae: Scolytinae), vector of laurel wilt
- Phenolic composition and antioxidant potential of different organs of Kazakh Crataegus almaatensis Pojark: A comparison with the European Crataegus oxyacantha L. flowers
- Isolation of eudesmane type sesquiterpene ketone from Prangos heyniae H.Duman & M.F.Watson essential oil and mosquitocidal activity of the essential oils
- Comparative analysis of the polyphenols profiles and the antioxidant and cytotoxicity properties of various blue honeysuckle varieties
- Special Issue on ICCESEN 2017
- Modelling world energy security data from multinomial distribution by generalized linear model under different cumulative link functions
- Pine Cone and Boron Compounds Effect as Reinforcement on Mechanical and Flammability Properties of Polyester Composites
- Artificial Neural Network Modelling for Prediction of SNR Effected by Probe Properties on Ultrasonic Inspection of Austenitic Stainless Steel Weldments
- Calculation and 3D analyses of ERR in the band crack front contained in a rectangular plate made of multilayered material
- Improvement of fuel properties of biodiesel with bioadditive ethyl levulinate
- Properties of AlSi9Cu3 metal matrix micro and nano composites produced via stir casting
- Investigation of Antibacterial Properties of Ag Doped TiO2 Nanofibers Prepared by Electrospinning Process
- Modeling of Total Phenolic contents in Various Tea samples by Experimental Design Methods
- Nickel doping effect on the structural and optical properties of indium sulfide thin films by SILAR
- The effect mechanism of Ginnalin A as a homeopathic agent on various cancer cell lines
- Excitation functions of proton induced reactions of some radioisotopes used in medicine
- Oxide ionic conductivity and microstructures of Pr and Sm co-doped CeO2-based systems
- Rapid Synthesis of Metallic Reinforced in Situ Intermetallic Composites in Ti-Al-Nb System via Resistive Sintering
- Oxidation Behavior of NiCr/YSZ Thermal Barrier Coatings (TBCs)
- Clustering Analysis of Normal Strength Concretes Produced with Different Aggregate Types
- Magnetic Nano-Sized Solid Acid Catalyst Bearing Sulfonic Acid Groups for Biodiesel Synthesis
- The biological activities of Arabis alpina L. subsp. brevifolia (DC.) Cullen against food pathogens
- Humidity properties of Schiff base polymers
- Free Vibration Analysis of Fiber Metal Laminated Straight Beam
- Comparative study of in vitro antioxidant, acetylcholinesterase and butyrylcholinesterase activity of alfalfa (Medicago sativa L.) collected during different growth stages
- Isothermal Oxidation Behavior of Gadolinium Zirconate (Gd2Zr2O7) Thermal Barrier Coatings (TBCs) produced by Electron Beam Physical Vapor Deposition (EB-PVD) technique
- Optimization of Adsorption Parameters for Ultra-Fine Calcite Using a Box-Behnken Experimental Design
- The Microstructural Investigation of Vermiculite-Infiltrated Electron Beam Physical Vapor Deposition Thermal Barrier Coatings
- Modelling Porosity Permeability of Ceramic Tiles using Fuzzy Taguchi Method
- Experimental and theoretical study of a novel naphthoquinone Schiff base
- Physicochemical properties of heat treated sille stone for ceramic industry
- Sand Dune Characterization for Preparing Metallurgical Grade Silicon
- Catalytic Applications of Large Pore Sulfonic Acid-Functionalized SBA-15 Mesoporous Silica for Esterification
- One-photon Absorption Characterizations, Dipole Polarizabilities and Second Hyperpolarizabilities of Chlorophyll a and Crocin
- The Optical and Crystallite Characterization of Bilayer TiO2 Films Coated on Different ITO layers
- Topical Issue on Bond Activation
- Metal-mediated reactions towards the synthesis of a novel deaminolysed bisurea, dicarbamolyamine
- The structure of ortho-(trifluoromethyl)phenol in comparison to its homologues – A combined experimental and theoretical study
- Heterogeneous catalysis with encapsulated haem and other synthetic porphyrins: Harnessing the power of porphyrins for oxidation reactions
- Recent Advances on Mechanistic Studies on C–H Activation Catalyzed by Base Metals
- Reactions of the organoplatinum complex [Pt(cod) (neoSi)Cl] (neoSi = trimethylsilylmethyl) with the non-coordinating anions SbF6– and BPh4–
- Erratum
- Investigation on Two Compounds of O, O’-dithiophosphate Derivatives as Corrosion Inhibitors for Q235 Steel in Hydrochloric Acid Solution