Abstract
Solvated organic compound with the general formula 2-formyl-3,6-bis(hydroxymethyl)phenyl benzoate [C16H14O5] was synthesized. Fourier-transform infrared (FTIR), Mass Spectrometry (MS) and X-ray powder analytical methods were used here for structure elucidation. Characterization revealed a triclinic geometry with space group P1. The refined unit cell parameters are, a = 15.196 Å, b = 14.882 Å and c = 14.606 Å. Development in present work is an idea of the organic electrochemical dry cell. Electrochemists with an idea in vitro/vivo development in present assay are openly encouraged for supporting exploration.
1 Introduction
Electrochemical dry cell is an autonomous plant that produces energy like normal electricity. Indeed, usually released over a period of a minute, hours, days or even years wherever it’s required [1]. In the 20th century, electrochemical dry cells have been documented as the most common power sources used for portable electronic devices such as cameras, phones, computers, cars and clocks etc. Normally, a typical cell is composed of two different electrodes separated by an insulator, a slightly porous rod cathode and metal cylinder serves as both a container and the anode. The space between the cathode and anode is taken up by electrolyte in the form of a paste. Dry cells work through the cell’s reaction and generate electrons on the anode. This causes a potential difference between cathode and anode. The paste retains these electrons and will be able to get rid when conductive path is hooked up to the cell [2]. Finally, the cell was sealed with a layer that conducts a potential as shown in the Figure 1.

Electrochemical dry cell.
Once the cell is connected to the DC power supply inside the circuit, two processes take place which are called discharging and charging. The cell started charging when the DC power supply was plugged in from the circuit. The voltage difference is created within circuit. Once the potential at the terminals of the cell was equal to the applied voltage of power supply, the charging phase was completed. The cell began to discharge when the DC power supply of the circuit is switched off [3]. Dry cell is now commercially available and most of the cell currently available are based on activated carbon electrodes and an organic electrolyte. The organic electrolytes are preferred by industry to aqueous ones due to of their high stability window. However, the performance and the cost of the cell are the main parameters. This requires fundamental understanding and correct principles of action. For these reasons, various strategies have been proposed in the literature, which include the development of new electrodes, electrolytes and geometries [4].
2 Experimental
Analytical grade solvents and metal salts, etc. were purchased from Fluka Chemicals and used without further purification. Glassware was carefully washed and all the reactions were carried out under a nitrogen atmosphere. IR spectrum was recorded on a FTIR-165 Bio-Rad Marlin Spectrophotometer. Mass spectrum was determined on a Clarus 600MS of Perkin Elmer, USA. The XRD diffraction pattern was measured continuously by Oxford Gemini Ultra R. The electrochemical measurements were carried out at Electrical Power Laboratory, COMSATS University Islamabad, Abbottabad Campus, Pakistan.
2.1 Synthesis of 2-formyl-3,6-bis(hydroxymethyl)phenyl benzoate
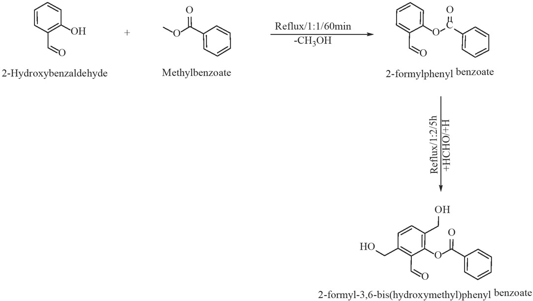
The reaction steps involved in the synthesis of titled compound is shown in Scheme 1. The 2-formyl-3,6-bis(hydroxymethyl)phenyl benzoate was prepared according to the literature method from 2-hydroxybenzaldehyde and methyl benzoate in 50ml formaldehyde solution in a 1:1 ratio [5]. This reaction was refluxed with continuous stirring equipped with a Dean Stark apparatus for 5 h at 313 K until TLC indicated that the reaction was complete. The solvent was filtered, evaporated and concentrated under vacuum. The concentrate was rinsed with brine (100 mL) and the remaining was eluted from a column of silica gel to give 70% yield as a brown solid. Compound was recrystallized from a formaldehyde solution containing 10-15% methanol as stabilizer, 37 wt. % in water. IR (cm -1; KBr pellet): υ (OH) = 3457, υ (CH) = 2830, υ (CO) = 1735, υ (CH) = 3000, υ (CO) = 1192, υ (CC) = 1535. MS (EI, 70 eV): m/z (%) 284-2H (10) [M+], 207 (90), 163 (18), 133 (32), 103 (22), 71 (35), 43 (44), 29 (33). PXRD reflections °2Th. (%): 5.97 (100.00), 6.06 (73.22), 8.35 (36.28), 11.91 (9.31), 13.18 (8.14), 19.38 (1.29).

Synthesis of 2-formyl-3,6-bis(hydroxymethyl)phenyl benzoate.
2.1.1 Crystal Structure Determinations of 2-formyl-3,6-bis(hydroxymethyl)phenyl benzoate
All measurements were made on an Oxford Gemini Ultra R diffractometer using graphite monochromatic Mo-K radiation (0.71073 Å), from a sealed Mo X-ray tube operating at 50 kV/40 mA [6]. The crystallographic data relevant to the structure determination was indexed on a PC using Fullprof 2k 5.80 software package [7] and was solved with the computer programs OLEX2 [8]. Crystal data, data collection and structure refinement details are summarized in Table 1.
X-ray crystallographic data for 2-formyl-3,6-bis(hydroxymethyl)phenyl ben zoate.
| Chemical formula | C16H14O5 |
|---|---|
| Mr | 286.27 |
| Crystal system, space group | Triclinic, P1 |
| A | 15.196 Å |
| B | 14.882 Å |
| C | 14.606 Å |
| α | 88.14 ° |
| β | 92.26 ° |
| γ | 87.48 ° |
| V | 3295 Å3 |
| Z | 1 |
| F(000) | 150 |
| Dx | 0.144 Mg m−3 |
| Mo Kα radiation, λ | 1.540562, 1.544390 Å |
| Particle morphology | Plate-like white flat sheet 25 × 25 mm |
| Specimen preparation | Prepared at 438 K |
| Data collection | Oxford Gemini Ultra R diffractometer |
| Monochromator | Graphite |
| Detector resolution | 10.3457 pixels mm-1 |
| Specimen mounting | Packed powder pellet |
| Data collection mode | Reflection |
| Scan method | Step |
| 2θmin | 10° |
| 2θmax 2θ step | 120° 0.03° |
| Refinement | Refinement on F2 |
| Least-squares matrix | Full |
| Rp | 0.052 |
| Rwp Rexp | 0.085 0.020 |
| R(F) | 0.108 |
| Data points | 3667 |
| Profile function | Pseudo-Voigt |
| Parameters | 119 |
| Restraints | 3 |
| Constraints | 26 |
| Primary atom site location | Structure-invariant direct methods |
| Secondary atom site location | Difference Fourier map |
| Hydrogen site location | difference Fourier map |
| H-atom parameters | Constrained |
| W | 1/[σ2(Fo2)+ (0.0429P)2] where P = Fo2 + 2 Fo2V3 |
| (Δ/σ)max | 0.04 |
| Background function | square polynomial for each range |
| Preferred orientation cor- rection | Icorr = Iobs/[1 + (τ2-1)sin2φ]1/2, axis (001), τ = 0.702 |
The structure contained highly disordered solvent. Total solvent accessible volume / cell were 92.0%. Refinement of the solvent density was impossible and instead the contribution of the density to the reflection file was squeezed [9].
2.2 Organic dry cell
A sheet of the starch-coated paper has been rolled flat into the inside of the metal cane, which serves as the anode. The organic paste with only enough moisture to allow current to flow was packed to the metal can so that the amount is about half inch less than the upper portion of the can. The paper was folded and the plastic seal was inserted onto the top end of the can. The carbon rod which serves as the cathode was firmly pushed straight from the hole in the seal. The cap of the rod and seal rested with each other. The entire cell assembly was cased in wax gently to prevent leakage. The circuit was connected to the cell. Recorded the charging, discharging and corresponding time taking place in the cell [10]. Figure II illustrates the typical charging/discharging characteristics of the cell for 1 h at 20⍛.

Charging and discharging of a cell.
Ethical approval: The conducted research is not related to either human or animal use.
3 Results and Discussion
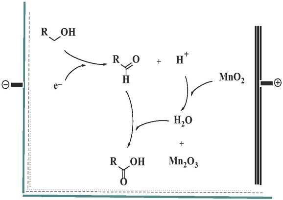
MS, IR and X-ray diffraction are the most versatile and widely applied methods used for the characterization of the titled compound. MS, IR and X-ray spectra have been listed at the above. The data were compared with the literature in order to elucidate the binding mode in the compound. The IR spectrum exhibited solid absorption bands at 1740-1730 cm-1, indicating esters stretching frequency of v(C=O). Bands at 400-600 cm-1 are assigned to ν(M-O) and ν(M-Cl) respectively as well as ν(OH) band was also observed at 3460-3455 cm-1 [11]. In mass spectrogram the appearance of a molecular ion peaks has been assigned to monomeric nature. The ionization behavior was used to probe the molecular mass of compound. The peaks m/z (%) at 279, 205, 189, 175, 161, 145, 131, 117 and 71 revealed the loss of single ion at each step [12]. X-ray powder spectrum has shown the intense peaks with regard to the diffraction pattern. It was indexing that compound revealed an asymmetric trinuclear structure [13]. The detail of the structure solution has been described with the experimental and theoretical informatics methods. The crystal structure of 2-formylphenyl benzoate derivative bearing two hydroxymethyl on its phenyl has been determined. Bond lengths and angles are in the usual ranges except slight misplaced and long reported at the asymmetric centroid involving rotation of refined position. As depicted, compound crystallizes in the triclinic space group P1. The C-C, C-H, C-O and H-O mean distances are 1.415 Å, 1.099 Å, 1.344 Å and 0.930 Å respectively, which are within the normal ranges. Potential hydrogen bonds present in the geometry, by which the molecule is stabilized. There are C-H---O and O-H---O types of hydrogen bonds found in the packed structure. The key feature of the molecular packing is the formation of both intramolecular and intermolecular contacts. The oxygen atoms of the both carbonyl and hydroxyl groups are participated in hydrogen bonds formation respectively. It should be noted, secondary interactions between the rings routinely appear in the molecules. The aggregates of the aforementioned contacts resulted in three-dimensional layer of molecules [14]. The structures were solved by the direct methods using charge flipping and refined anisotropically with the olex2 refine refinement package using a gauss-newton minimization. The empirical absorption correction using spherical harmonics were applied. The cell e.s.d.’s are taken into account individually in the estimation of distances, angles and torsion angles. The threshold expression is used for calculating R-factors [15]. Crystallographic data have been deposited with the Cambridge Crystallographic Data Centre UK as supplementary data, CCDC# 1575123 [16]. In this context, tilted compound might indeed be designed to evaluate its utility in the electrochemical dry cell. The electrolyte system in a cell consists of 2-formyl-3,6-bis(hydroxymethyl)phenyl benzoate paste in the immediate vicinity of each electrode. This cell was also tested to determine its voltage using one gram of paste and recorded 25 values of voltages (mV) with corresponding time (min). Cell was connected to the circuit, charged the cell for about 1 hr. and described the changes taking place in the cell. The reading of the cell while it was charging or discharging recorded at each interval of time that was 5 min. It has been noticed that cell is slowly charged to the applied voltage of “150 millivolts” and then cell delivered 150 millivolts for only the first few seconds of the discharge period. The majority of the voltage was less than 100 millivolts if the discharge of a charged cell was to continue and remaining energy was still in the cell. Designed cell is a device in form of electric charge and store much smaller amount of energy around 100 millivolts smaller. The development work is a somewhat new technology and ongoing to improve charge/discharge capacity [17]. The paste is mixed with carbon powder to increase the electrical conductivity. The electrodes are made of zinc and carbon (graphite), with a paste of acidic materials between them serving as the electrolyte. Graphite is the non-corrode conductor material surrounded by MnO2 acts as the positive electrode that collects electrons coming from the anode portion of the cell to return to the cathode portion of the cell. The metal cylinder (Zn) serve as anode. Zinc is nontoxic and cheap, therefore, the use of zinc catalysts is convenient from sustainability aspects. In a normally functioning cell, the only reactions that should be occurring are the half-cell reactions on the electrodes [18-19]. At the anode, zinc is oxidized and transport between the electrodes and the electrolyte as Zn+2 ions. The anode half-reaction is as follows,
These electrons are transferred to the paste and herein, wish to propose a general methodology for the Zn(II) catalyzed oxidation of biphenol units to the corresponding aldehyde and acid. To the best of our knowledge, the mechanism of this assay is well recognized in the literature. The reaction of low-valent zinc with alcohol groups probably followed a rival way. The zinc here is hydrogen acceptor in a multistep electron-transfer process. The zinc metal deveplop force after sometime since zinc container develop hole. This sleeve will get thinner as the zinc oxidizes and the cell will no longer be able to conduct electricity once the zinc sleeve is completely gone. So to prevent leakage the zinc container is surrounded by iron coating (hard board). However, the organic paste is oxidatively destroyed at the anode [20]. If the cell is used continuously for a long time polarization eventually sets in due to accumulation of hydrogen on carbon rod and the action stops. When allow to rest the accumulated hydrogen is oxidized to water by the MnO2 and the cell is again ready for use. When cell was connect the two terminals with wire, a circuit is formed. Electrons will flow through the wire and a current of electricity is produced. Inside the cell, a reaction between chemicals take place. But the reaction takes place only if there is a flow of electrons [21]. The reaction occurred within the paste is shown in Figure 4.

Anode half cell reaction.

The reaction occurs within the moist paste.
Cell can be stored for a long time and still work because the chemical process doesn’t start until the electrons flow from the negative to the positive terminals through a circuit. The top of the cell is covered by a conductive plate so that the carbon rod can make contact with the positive terminal on the outside of the cell. A non-conductive tube forms the sides of the cell and ensures that there is no direct electrical contact between the carbon rod and the zinc sleeve. It has been noticed that a few catalytic systems based on this general concept have been designated in the literature, hence this is still a very open subject. Inside the cell electrons are pushed by the chemical reaction toward the positive end creating a potential difference. The electrolyte in the cell keeps lone electrons from going straight from the anode to the cathode within the cell is responsible for the production of the electricity. When the terminals are connected with a conductive wire, electrons flow from anode to cathode. Designed dry cell is that cell in which reaction occurs only once after use over a period of time and cell becomes dead and cannot be reused. It cannot be recharged and is discarded after they run down when all the chemicals are used up.
4 Conclusions
In this present, organic dry cell based on the standard principle is designed. The electrolyte system in a cell consists of organic paste and we envision from our potential results. A search of the cambridge structural database gave no match for the title compound. Olex21.2 2017 solve structure solution program was used to solve the crystal. In this research, article has attempted information specific to the electrochemical application of titled compound. User with an interest is extremely encouraged for further research with the utilization of organic compounds.
Conflict of interest: Authors state no conflict of interest.
References
[1] Kozawa A., Powers R.A., Electrochemical reactions in batteries-emphasizing MnO2 cathode of dry cells. J. Chem. Educ., 1972, 49, 587-58.10.1021/ed049p587Search in Google Scholar
[2] Xien L., Minjoon P., Min G.K., Shiva G., Xiaojuan W., Gang W., Jaephil C., Highperformance non-spinel cobalt-manganese mixed oxide-based bifunctional electrocatalysts for rechargeable zinc–air batteries. Nano Ener., 2016, 20, 315-325.10.1016/j.nanoen.2015.11.030Search in Google Scholar
[3] T. Maruyama, N. Shibuya, Y. Nakata, December 1987, Charging and discharging control circut for a storage battery, U.S. patent. 4, 714, 868.Search in Google Scholar
[4] Li G., Li Z., Zhang B., Lin Z., Developments of electrolyte systems for lithium–sulfur batteries: a review. Front. Energy Res., 2015, 3, 1-12.10.3389/fenrg.2015.00005Search in Google Scholar
[5] Wajid R., Bakhtiar M., Zonera H., Jamil K., Nadia B., Abdullah K., Gulzar H., Synthesis, characterization and biological activities of some organotin(IV) complexes. Asian J. Chem., 2010, 22, 6215-6223.Search in Google Scholar
[6] Das R., Ali E., Hamid S. B., Current applications of X-ray powder diffraction-A review. Rev. Adv. Mater. Sci., 2014, 38, 95-109.Search in Google Scholar
[7] Rodriguez C.J., FULLPROF: A program for rietveld refinement and pattern matching analysis. Physica, Physica B, 1993, 192, 55-69.10.1016/0921-4526(93)90108-ISearch in Google Scholar
[8] Dolomanov O.V., Bourhis L.J., Gildea R.J., Howard J.A.K., Puschmann H., OLEX2: a complete structure solution, refinement and analysis program. J. Appl. Cryst. 2009, 42, 339- 341.10.1107/S0021889808042726Search in Google Scholar
[9] Spek A.L., PLATON SQUEEZE: a tool for the calculation of the disordered solvent contribution to the calculated structure factors. Acta Cryst., 2015, C71, 9-1810.1107/S2053229614024929Search in Google Scholar PubMed
[10] Sivashanmugam A., Srikanth P. R., Thirunakaran R., Gopukumar S., Electrochemical performance of Al∕MnO2 dry cells: An alternative to lechlanche dry cells. J. Electrochem. Soc., 2008, 155, A725-A728.10.1149/1.2960897Search in Google Scholar
[11] Bennett J., Forster T., IR cards: Inquiry-based introduction to infrared spectroscopy. J. Chem. Educ., 2010, 87, 73-77.10.1021/ed800009kSearch in Google Scholar
[12] Dimzon I.K., Trier X., Fromel T., Helmus R., Knepper T.P., Voogt P., High resolution mass spectrometry of polyfluorinated polyether-based formulation J. Am. Soc. Mass Spectrom., 2016, 27, 309-318.10.1007/s13361-015-1269-9Search in Google Scholar PubMed PubMed Central
[13] Streek J.V.D., Searching the cambridge structural database for the best representative of each unique polymorph. Acta Cryst., 2006, B62, 567-579.10.1107/S0108768106019677Search in Google Scholar PubMed
[14] Bernstein J., Davis R.E., Shimoni L., Chang N.L., Patterns in hydrogen bonding: functionality and graph set analysis in crystals. Angew. Chem. Int. Ed. Engl., 1995, 34, 1555-1573.10.1002/anie.199515551Search in Google Scholar
[15] Bourhis L.J., Dolomanov O.V., Gildea R.J., Howard J.A.K., Puschmann H., The anatomy of a comprehensive constrained, restrained refinement program for the modern computing environment - Olex2 dissected. Acta Cryst., 2015, A71, 59-75.10.1107/S2053273314022207Search in Google Scholar PubMed PubMed Central
[16] Allen F. H., The Cambridge Structural Database: a quarter of a million crystal structures and rising. Acta Cryst., 2002, B58, 380-388.10.1107/S0108768102003890Search in Google Scholar PubMed
[17] Schaefer J.L., Lu Y., Moganty S.S., Agarwal P., Jayaprakash N., Archer L. A., Electrolytes for high-energy lithium batteries. Appl. Nanosci., 2012, 2, 91-109.10.1007/s13204-011-0044-xSearch in Google Scholar
[18] Amorim F.L., Weingaertner W. L., The behavior of graphite and copper electrodes on the finish die-Sinking electrical discharge machining (EDM) of AISI P20 tool Steel. J. Braz. Soc. Mech. Sci. & Eng., 2007, 29, 366-371.10.1590/S1678-58782007000400004Search in Google Scholar
[19] Tang Y., Zheng S., Xu Y., Xiao X., Xue H., Pang H., Advanced batteries based on manganese dioxide and its composites. Energy Storage Mater., 2018, 12, 284-309.10.1016/j.ensm.2018.02.010Search in Google Scholar
[20] Riffat U. N., Tariq M., Ralf L., Khurshid A., Theoretical mechanistic investigation of zinc(II) catalyzed oxidation of alcohols to aldehydes and esters. RSC Adv., 2016, 6, 3187631883.10.1039/C5RA23096ASearch in Google Scholar
[21] Armand M., Tarascon J. M., Building better batteries. Nature., 2008, 451, 652-657.10.1038/451652aSearch in Google Scholar PubMed
© 2018 Jamil Khan et al., published by De Gruyter
This work is licensed under the Creative Commons Attribution-NonCommercial-NoDerivatives 4.0 License.
Articles in the same Issue
- Regular Articles
- The effect of CuO modification for a TiO2 nanotube confined CeO2 catalyst on the catalytic combustion of butane
- The preparation and antibacterial activity of cellulose/ZnO composite: a review
- Linde Type A and nano magnetite/NaA zeolites: cytotoxicity and doxorubicin loading efficiency
- Performance and thermal decomposition analysis of foaming agent NPL-10 for use in heavy oil recovery by steam injection
- Spectroscopic (FT-IR, FT-Raman, UV, 1H and 13C NMR) insights, electronic profiling and DFT computations on ({(E)-[3-(1H-imidazol-1-yl)-1-phenylpropylidene] amino}oxy)(4-nitrophenyl)methanone, an imidazole-bearing anti-Candida agent
- A Simplistic Preliminary Assessment of Ginstling-Brounstein Model for Solid Spherical Particles in the Context of a Diffusion-Controlled Synthesis
- M-Polynomials And Topological Indices Of Zigzag And Rhombic Benzenoid Systems
- Photochemical Transformation of some 3-benzyloxy-2-(benzo[b]thiophen-2-yl)-4Hchromen-4-ones: A Remote Substituent Effect
- Dynamic Changes of Secondary Metabolites and Antioxidant Activity of Ligustrum lucidum During Fruit Growth
- Studies on the flammability of polypropylene/ammonium polyphosphate and montmorillonite by using the cone calorimeter test
- DSC, FT-IR, NIR, NIR-PCA and NIR-ANOVA for determination of chemical stability of diuretic drugs: impact of excipients
- Antioxidant and Hepatoprotective Effects of Methanolic Extracts of Zilla spinosa and Hammada elegans Against Carbon Tetrachlorideinduced Hepatotoxicity in Rats
- Prunus cerasifera Ehrh. fabricated ZnO nano falcates and its photocatalytic and dose dependent in vitro bio-activity
- Organic biocides hosted in layered double hydroxides: enhancing antimicrobial activity
- Experimental study on the regulation of the cholinergic pathway in renal macrophages by microRNA-132 to alleviate inflammatory response
- Synthesis, characterization, in-vitro antimicrobial properties, molecular docking and DFT studies of 3-{(E)-[(4,6-dimethylpyrimidin-2-yl)imino]methyl} naphthalen-2-ol and Heteroleptic Mn(II), Co(II), Ni(II) and Zn(II) complexes
- M-Polynomials and Topological Indices of Dominating David Derived Networks
- Human Health Risk Assessment of Trace Metals in Surface Water Due to Leachate from the Municipal Dumpsite by Pollution Index: A Case Study from Ndawuse River, Abuja, Nigeria
- Analysis of Bowel Diseases from Blood Serum by Autofluorescence and Atomic Force Microscopy Techniques
- Hydrographic parameters and distribution of dissolved Cu, Ni, Zn and nutrients near Jeddah desalination plant
- Relationships between diatoms and environmental variables in industrial water biotopes of Trzuskawica S.A. (Poland)
- Optimum Conversion of Major Ginsenoside Rb1 to Minor Ginsenoside Rg3(S) by Pulsed Electric Field-Assisted Acid Hydrolysis Treatment
- Antioxidant, Anti-microbial Properties and Chemical Composition of Cumin Essential Oils Extracted by Three Methods
- Regulatory mechanism of ulinastatin on autophagy of macrophages and renal tubular epithelial cells
- Investigation of the sustained-release mechanism of hydroxypropyl methyl cellulose skeleton type Acipimox tablets
- Bio-accumulation of Polycyclic Aromatic Hydrocarbons in the Grey Mangrove (Avicennia marina) along Arabian Gulf, Saudi Coast
- Dynamic Change of Secondary Metabolites and spectrum-effect relationship of Malus halliana Koehne flowers during blooming
- Lipids constituents from Gardenia aqualla Stapf & Hutch
- Effect of using microwaves for catalysts preparation on the catalytic acetalization of glycerol with furfural to obtain fuel additives
- Effect of Humic Acid on the Degradation of Methylene Blue by Peroxymonosulfate
- Serum containing drugs of Gua Lou Xie Bai decoction (GLXB-D) can inhibit TGF-β1-Induced Epithelial to Mesenchymal Transition (EMT) in A549 Cells
- Antiulcer Activity of Different Extracts of Anvillea garcinii and Isolation of Two New Secondary Metabolites
- Analysis of Metabolites in Cabernet Sauvignon and Shiraz Dry Red Wines from Shanxi by 1H NMR Spectroscopy Combined with Pattern Recognition Analysis
- Can water temperature impact litter decomposition under pollution of copper and zinc mixture
- Released from ZrO2/SiO2 coating resveratrol inhibits senescence and oxidative stress of human adipose-derived stem cells (ASC)
- Validated thin-layer chromatographic method for alternative and simultaneous determination of two anti-gout agents in their fixed dose combinations
- Fast removal of pollutants from vehicle emissions during cold-start stage
- Review Article
- Catalytic activities of heterogeneous catalysts obtained by copolymerization of metal-containing 2-(acetoacetoxy)ethyl methacrylate
- Antibiotic Residue in the Aquatic Environment: Status in Africa
- Regular Articles
- Mercury fractionation in gypsum using temperature desorption and mass spectrometric detection
- Phytosynthetic Ag doped ZnO nanoparticles: Semiconducting green remediators
- Epithelial–Mesenchymal Transition Induced by SMAD4 Activation in Invasive Growth Hormone-Secreting Adenomas
- Physicochemical properties of stabilized sewage sludge admixtures by modified steel slag
- In Vitro Cytotoxic and Antiproliferative Activity of Cydonia oblonga flower petals, leaf and fruit pellet ethanolic extracts. Docking simulation of the active flavonoids on anti-apoptotic protein Bcl-2
- Synthesis and Characterization of Pd exchanged MMT Clay for Mizoroki-Heck Reaction
- A new selective, and sensitive method for the determination of lixivaptan, a vasopressin 2 (V2)-receptor antagonist, in mouse plasma and its application in a pharmacokinetic study
- Anti-EGFL7 antibodies inhibit rat prolactinoma MMQ cells proliferation and PRL secretion
- Density functional theory calculations, vibration spectral analysis and molecular docking of the antimicrobial agent 6-(1,3-benzodioxol-5-ylmethyl)-5-ethyl-2-{[2-(morpholin-4-yl)ethyl] sulfanyl}pyrimidin-4(3H)-one
- Effect of Nano Zeolite on the Transformation of Cadmium Speciation and Its Uptake by Tobacco in Cadmium-contaminated Soil
- Effects and Mechanisms of Jinniu Capsule on Methamphetamine-Induced Conditioned Place Preference in Rats
- Calculating the Degree-based Topological Indices of Dendrimers
- Efficient optimization and mineralization of UV absorbers: A comparative investigation with Fenton and UV/H2O2
- Metabolites of Tryptophane and Phenylalanine as Markers of Small Bowel Ischemia-Reperfusion Injury
- Adsorption and determination of polycyclic aromatic hydrocarbons in water through the aggregation of graphene oxide
- The role of NR2C2 in the prolactinomas
- Chromium removal from industrial wastewater using Phyllostachys pubescens biomass loaded Cu-S nanospheres
- Hydrotalcite Anchored Ruthenium Catalyst for CO2 Hydrogenation Reaction
- Preparation of Calcium Fluoride using Phosphogypsum by Orthogonal Experiment
- The mechanism of antibacterial activity of corylifolinin against three clinical bacteria from Psoralen corylifolia L
- 2-formyl-3,6-bis(hydroxymethyl)phenyl benzoate in Electrochemical Dry Cell
- Electro-photocatalytic degradation of amoxicillin using calcium titanate
- Effect of Malus halliana Koehne Polysaccharides on Functional Constipation
- Structural Properties and Nonlinear Optical Responses of Halogenated Compounds: A DFT Investigation on Molecular Modelling
- DMFDMA catalyzed synthesis of 2-((Dimethylamino)methylene)-3,4-dihydro-9-arylacridin-1(2H)-ones and their derivatives: in-vitro antifungal, antibacterial and antioxidant evaluations
- Production of Methanol as a Fuel Energy from CO2 Present in Polluted Seawater - A Photocatalytic Outlook
- Study of different extraction methods on finger print and fatty acid of raw beef fat using fourier transform infrared and gas chromatography-mass spectrometry
- Determination of trace fluoroquinolones in water solutions and in medicinal preparations by conventional and synchronous fluorescence spectrometry
- Extraction and determination of flavonoids in Carthamus tinctorius
- Therapeutic Application of Zinc and Vanadium Complexes against Diabetes Mellitus a Coronary Disease: A review
- Study of calcined eggshell as potential catalyst for biodiesel formation using used cooking oil
- Manganese oxalates - structure-based Insights
- Topological Indices of H-Naphtalenic Nanosheet
- Long-Term Dissolution of Glass Fibers in Water Described by Dissolving Cylinder Zero-Order Kinetic Model: Mass Loss and Radius Reduction
- Topological study of the para-line graphs of certain pentacene via topological indices
- A brief insight into the prediction of water vapor transmissibility in highly impermeable hybrid nanocomposites based on bromobutyl/epichlorohydrin rubber blends
- Comparative sulfite assay by voltammetry using Pt electrodes, photometry and titrimetry: Application to cider, vinegar and sugar analysis
- MicroRNA delivery mediated by PEGylated polyethylenimine for prostate cancer therapy
- Reversible Fluorescent Turn-on Sensors for Fe3+ based on a Receptor Composed of Tri-oxygen Atoms of Amide Groups in Water
- Sonocatalytic degradation of methyl orange in aqueous solution using Fe-doped TiO2 nanoparticles under mechanical agitation
- Hydrotalcite Anchored Ruthenium Catalyst for CO2 Hydrogenation Reaction
- Production and Analysis of Recycled Ammonium Perrhenate from CMSX-4 superalloys
- Topical Issue on Agriculture
- New phosphorus biofertilizers from renewable raw materials in the aspect of cadmium and lead contents in soil and plants
- Survey of content of cadmium, calcium, chromium, copper, iron, lead, magnesium, manganese, mercury, sodium and zinc in chamomile and green tea leaves by electrothermal or flame atomizer atomic absorption spectrometry
- Biogas digestate – benefits and risks for soil fertility and crop quality – an evaluation of grain maize response
- A numerical analysis of heat transfer in a cross-current heat exchanger with controlled and newly designed air flows
- Freshwater green macroalgae as a biosorbent of Cr(III) ions
- The main influencing factors of soil mechanical characteristics of the gravity erosion environment in the dry-hot valley of Jinsha river
- Free amino acids in Viola tricolor in relation to different habitat conditions
- The influence of filler amount on selected properties of new experimental resin dental composite
- Effect of poultry wastewater irrigation on nitrogen, phosphorus and carbon contents in farmland soil
- Response of spring wheat to NPK and S fertilization. The content and uptake of macronutrients and the value of ionic ratios
- The Effect of Macroalgal Extracts and Near Infrared Radiation on Germination of Soybean Seedlings: Preliminary Research Results
- Content of Zn, Cd and Pb in purple moor-grass in soils heavily contaminated with heavy metals around a zinc and lead ore tailing landfill
- Topical Issue on Research for Natural Bioactive Products
- Synthesis of (±)-3,4-dimethoxybenzyl-4-methyloctanoate as a novel internal standard for capsinoid determination by HPLC-ESI-MS/MS(QTOF)
- Repellent activity of monoterpenoid esters with neurotransmitter amino acids against yellow fever mosquito, Aedes aegypti
- Effect of Flammulina velutipes (golden needle mushroom, eno-kitake) polysaccharides on constipation
- Bioassay-directed fractionation of a blood coagulation factor Xa inhibitor, betulinic acid from Lycopus lucidus
- Antifungal and repellent activities of the essential oils from three aromatic herbs from western Himalaya
- Chemical composition and microbiological evaluation of essential oil from Hyssopus officinalis L. with white and pink flowers
- Bioassay-guided isolation and identification of Aedes aegypti larvicidal and biting deterrent compounds from Veratrum lobelianum
- α-Terpineol, a natural monoterpene: A review of its biological properties
- Utility of essential oils for development of host-based lures for Xyleborus glabratus (Coleoptera: Curculionidae: Scolytinae), vector of laurel wilt
- Phenolic composition and antioxidant potential of different organs of Kazakh Crataegus almaatensis Pojark: A comparison with the European Crataegus oxyacantha L. flowers
- Isolation of eudesmane type sesquiterpene ketone from Prangos heyniae H.Duman & M.F.Watson essential oil and mosquitocidal activity of the essential oils
- Comparative analysis of the polyphenols profiles and the antioxidant and cytotoxicity properties of various blue honeysuckle varieties
- Special Issue on ICCESEN 2017
- Modelling world energy security data from multinomial distribution by generalized linear model under different cumulative link functions
- Pine Cone and Boron Compounds Effect as Reinforcement on Mechanical and Flammability Properties of Polyester Composites
- Artificial Neural Network Modelling for Prediction of SNR Effected by Probe Properties on Ultrasonic Inspection of Austenitic Stainless Steel Weldments
- Calculation and 3D analyses of ERR in the band crack front contained in a rectangular plate made of multilayered material
- Improvement of fuel properties of biodiesel with bioadditive ethyl levulinate
- Properties of AlSi9Cu3 metal matrix micro and nano composites produced via stir casting
- Investigation of Antibacterial Properties of Ag Doped TiO2 Nanofibers Prepared by Electrospinning Process
- Modeling of Total Phenolic contents in Various Tea samples by Experimental Design Methods
- Nickel doping effect on the structural and optical properties of indium sulfide thin films by SILAR
- The effect mechanism of Ginnalin A as a homeopathic agent on various cancer cell lines
- Excitation functions of proton induced reactions of some radioisotopes used in medicine
- Oxide ionic conductivity and microstructures of Pr and Sm co-doped CeO2-based systems
- Rapid Synthesis of Metallic Reinforced in Situ Intermetallic Composites in Ti-Al-Nb System via Resistive Sintering
- Oxidation Behavior of NiCr/YSZ Thermal Barrier Coatings (TBCs)
- Clustering Analysis of Normal Strength Concretes Produced with Different Aggregate Types
- Magnetic Nano-Sized Solid Acid Catalyst Bearing Sulfonic Acid Groups for Biodiesel Synthesis
- The biological activities of Arabis alpina L. subsp. brevifolia (DC.) Cullen against food pathogens
- Humidity properties of Schiff base polymers
- Free Vibration Analysis of Fiber Metal Laminated Straight Beam
- Comparative study of in vitro antioxidant, acetylcholinesterase and butyrylcholinesterase activity of alfalfa (Medicago sativa L.) collected during different growth stages
- Isothermal Oxidation Behavior of Gadolinium Zirconate (Gd2Zr2O7) Thermal Barrier Coatings (TBCs) produced by Electron Beam Physical Vapor Deposition (EB-PVD) technique
- Optimization of Adsorption Parameters for Ultra-Fine Calcite Using a Box-Behnken Experimental Design
- The Microstructural Investigation of Vermiculite-Infiltrated Electron Beam Physical Vapor Deposition Thermal Barrier Coatings
- Modelling Porosity Permeability of Ceramic Tiles using Fuzzy Taguchi Method
- Experimental and theoretical study of a novel naphthoquinone Schiff base
- Physicochemical properties of heat treated sille stone for ceramic industry
- Sand Dune Characterization for Preparing Metallurgical Grade Silicon
- Catalytic Applications of Large Pore Sulfonic Acid-Functionalized SBA-15 Mesoporous Silica for Esterification
- One-photon Absorption Characterizations, Dipole Polarizabilities and Second Hyperpolarizabilities of Chlorophyll a and Crocin
- The Optical and Crystallite Characterization of Bilayer TiO2 Films Coated on Different ITO layers
- Topical Issue on Bond Activation
- Metal-mediated reactions towards the synthesis of a novel deaminolysed bisurea, dicarbamolyamine
- The structure of ortho-(trifluoromethyl)phenol in comparison to its homologues – A combined experimental and theoretical study
- Heterogeneous catalysis with encapsulated haem and other synthetic porphyrins: Harnessing the power of porphyrins for oxidation reactions
- Recent Advances on Mechanistic Studies on C–H Activation Catalyzed by Base Metals
- Reactions of the organoplatinum complex [Pt(cod) (neoSi)Cl] (neoSi = trimethylsilylmethyl) with the non-coordinating anions SbF6– and BPh4–
- Erratum
- Investigation on Two Compounds of O, O’-dithiophosphate Derivatives as Corrosion Inhibitors for Q235 Steel in Hydrochloric Acid Solution
Articles in the same Issue
- Regular Articles
- The effect of CuO modification for a TiO2 nanotube confined CeO2 catalyst on the catalytic combustion of butane
- The preparation and antibacterial activity of cellulose/ZnO composite: a review
- Linde Type A and nano magnetite/NaA zeolites: cytotoxicity and doxorubicin loading efficiency
- Performance and thermal decomposition analysis of foaming agent NPL-10 for use in heavy oil recovery by steam injection
- Spectroscopic (FT-IR, FT-Raman, UV, 1H and 13C NMR) insights, electronic profiling and DFT computations on ({(E)-[3-(1H-imidazol-1-yl)-1-phenylpropylidene] amino}oxy)(4-nitrophenyl)methanone, an imidazole-bearing anti-Candida agent
- A Simplistic Preliminary Assessment of Ginstling-Brounstein Model for Solid Spherical Particles in the Context of a Diffusion-Controlled Synthesis
- M-Polynomials And Topological Indices Of Zigzag And Rhombic Benzenoid Systems
- Photochemical Transformation of some 3-benzyloxy-2-(benzo[b]thiophen-2-yl)-4Hchromen-4-ones: A Remote Substituent Effect
- Dynamic Changes of Secondary Metabolites and Antioxidant Activity of Ligustrum lucidum During Fruit Growth
- Studies on the flammability of polypropylene/ammonium polyphosphate and montmorillonite by using the cone calorimeter test
- DSC, FT-IR, NIR, NIR-PCA and NIR-ANOVA for determination of chemical stability of diuretic drugs: impact of excipients
- Antioxidant and Hepatoprotective Effects of Methanolic Extracts of Zilla spinosa and Hammada elegans Against Carbon Tetrachlorideinduced Hepatotoxicity in Rats
- Prunus cerasifera Ehrh. fabricated ZnO nano falcates and its photocatalytic and dose dependent in vitro bio-activity
- Organic biocides hosted in layered double hydroxides: enhancing antimicrobial activity
- Experimental study on the regulation of the cholinergic pathway in renal macrophages by microRNA-132 to alleviate inflammatory response
- Synthesis, characterization, in-vitro antimicrobial properties, molecular docking and DFT studies of 3-{(E)-[(4,6-dimethylpyrimidin-2-yl)imino]methyl} naphthalen-2-ol and Heteroleptic Mn(II), Co(II), Ni(II) and Zn(II) complexes
- M-Polynomials and Topological Indices of Dominating David Derived Networks
- Human Health Risk Assessment of Trace Metals in Surface Water Due to Leachate from the Municipal Dumpsite by Pollution Index: A Case Study from Ndawuse River, Abuja, Nigeria
- Analysis of Bowel Diseases from Blood Serum by Autofluorescence and Atomic Force Microscopy Techniques
- Hydrographic parameters and distribution of dissolved Cu, Ni, Zn and nutrients near Jeddah desalination plant
- Relationships between diatoms and environmental variables in industrial water biotopes of Trzuskawica S.A. (Poland)
- Optimum Conversion of Major Ginsenoside Rb1 to Minor Ginsenoside Rg3(S) by Pulsed Electric Field-Assisted Acid Hydrolysis Treatment
- Antioxidant, Anti-microbial Properties and Chemical Composition of Cumin Essential Oils Extracted by Three Methods
- Regulatory mechanism of ulinastatin on autophagy of macrophages and renal tubular epithelial cells
- Investigation of the sustained-release mechanism of hydroxypropyl methyl cellulose skeleton type Acipimox tablets
- Bio-accumulation of Polycyclic Aromatic Hydrocarbons in the Grey Mangrove (Avicennia marina) along Arabian Gulf, Saudi Coast
- Dynamic Change of Secondary Metabolites and spectrum-effect relationship of Malus halliana Koehne flowers during blooming
- Lipids constituents from Gardenia aqualla Stapf & Hutch
- Effect of using microwaves for catalysts preparation on the catalytic acetalization of glycerol with furfural to obtain fuel additives
- Effect of Humic Acid on the Degradation of Methylene Blue by Peroxymonosulfate
- Serum containing drugs of Gua Lou Xie Bai decoction (GLXB-D) can inhibit TGF-β1-Induced Epithelial to Mesenchymal Transition (EMT) in A549 Cells
- Antiulcer Activity of Different Extracts of Anvillea garcinii and Isolation of Two New Secondary Metabolites
- Analysis of Metabolites in Cabernet Sauvignon and Shiraz Dry Red Wines from Shanxi by 1H NMR Spectroscopy Combined with Pattern Recognition Analysis
- Can water temperature impact litter decomposition under pollution of copper and zinc mixture
- Released from ZrO2/SiO2 coating resveratrol inhibits senescence and oxidative stress of human adipose-derived stem cells (ASC)
- Validated thin-layer chromatographic method for alternative and simultaneous determination of two anti-gout agents in their fixed dose combinations
- Fast removal of pollutants from vehicle emissions during cold-start stage
- Review Article
- Catalytic activities of heterogeneous catalysts obtained by copolymerization of metal-containing 2-(acetoacetoxy)ethyl methacrylate
- Antibiotic Residue in the Aquatic Environment: Status in Africa
- Regular Articles
- Mercury fractionation in gypsum using temperature desorption and mass spectrometric detection
- Phytosynthetic Ag doped ZnO nanoparticles: Semiconducting green remediators
- Epithelial–Mesenchymal Transition Induced by SMAD4 Activation in Invasive Growth Hormone-Secreting Adenomas
- Physicochemical properties of stabilized sewage sludge admixtures by modified steel slag
- In Vitro Cytotoxic and Antiproliferative Activity of Cydonia oblonga flower petals, leaf and fruit pellet ethanolic extracts. Docking simulation of the active flavonoids on anti-apoptotic protein Bcl-2
- Synthesis and Characterization of Pd exchanged MMT Clay for Mizoroki-Heck Reaction
- A new selective, and sensitive method for the determination of lixivaptan, a vasopressin 2 (V2)-receptor antagonist, in mouse plasma and its application in a pharmacokinetic study
- Anti-EGFL7 antibodies inhibit rat prolactinoma MMQ cells proliferation and PRL secretion
- Density functional theory calculations, vibration spectral analysis and molecular docking of the antimicrobial agent 6-(1,3-benzodioxol-5-ylmethyl)-5-ethyl-2-{[2-(morpholin-4-yl)ethyl] sulfanyl}pyrimidin-4(3H)-one
- Effect of Nano Zeolite on the Transformation of Cadmium Speciation and Its Uptake by Tobacco in Cadmium-contaminated Soil
- Effects and Mechanisms of Jinniu Capsule on Methamphetamine-Induced Conditioned Place Preference in Rats
- Calculating the Degree-based Topological Indices of Dendrimers
- Efficient optimization and mineralization of UV absorbers: A comparative investigation with Fenton and UV/H2O2
- Metabolites of Tryptophane and Phenylalanine as Markers of Small Bowel Ischemia-Reperfusion Injury
- Adsorption and determination of polycyclic aromatic hydrocarbons in water through the aggregation of graphene oxide
- The role of NR2C2 in the prolactinomas
- Chromium removal from industrial wastewater using Phyllostachys pubescens biomass loaded Cu-S nanospheres
- Hydrotalcite Anchored Ruthenium Catalyst for CO2 Hydrogenation Reaction
- Preparation of Calcium Fluoride using Phosphogypsum by Orthogonal Experiment
- The mechanism of antibacterial activity of corylifolinin against three clinical bacteria from Psoralen corylifolia L
- 2-formyl-3,6-bis(hydroxymethyl)phenyl benzoate in Electrochemical Dry Cell
- Electro-photocatalytic degradation of amoxicillin using calcium titanate
- Effect of Malus halliana Koehne Polysaccharides on Functional Constipation
- Structural Properties and Nonlinear Optical Responses of Halogenated Compounds: A DFT Investigation on Molecular Modelling
- DMFDMA catalyzed synthesis of 2-((Dimethylamino)methylene)-3,4-dihydro-9-arylacridin-1(2H)-ones and their derivatives: in-vitro antifungal, antibacterial and antioxidant evaluations
- Production of Methanol as a Fuel Energy from CO2 Present in Polluted Seawater - A Photocatalytic Outlook
- Study of different extraction methods on finger print and fatty acid of raw beef fat using fourier transform infrared and gas chromatography-mass spectrometry
- Determination of trace fluoroquinolones in water solutions and in medicinal preparations by conventional and synchronous fluorescence spectrometry
- Extraction and determination of flavonoids in Carthamus tinctorius
- Therapeutic Application of Zinc and Vanadium Complexes against Diabetes Mellitus a Coronary Disease: A review
- Study of calcined eggshell as potential catalyst for biodiesel formation using used cooking oil
- Manganese oxalates - structure-based Insights
- Topological Indices of H-Naphtalenic Nanosheet
- Long-Term Dissolution of Glass Fibers in Water Described by Dissolving Cylinder Zero-Order Kinetic Model: Mass Loss and Radius Reduction
- Topological study of the para-line graphs of certain pentacene via topological indices
- A brief insight into the prediction of water vapor transmissibility in highly impermeable hybrid nanocomposites based on bromobutyl/epichlorohydrin rubber blends
- Comparative sulfite assay by voltammetry using Pt electrodes, photometry and titrimetry: Application to cider, vinegar and sugar analysis
- MicroRNA delivery mediated by PEGylated polyethylenimine for prostate cancer therapy
- Reversible Fluorescent Turn-on Sensors for Fe3+ based on a Receptor Composed of Tri-oxygen Atoms of Amide Groups in Water
- Sonocatalytic degradation of methyl orange in aqueous solution using Fe-doped TiO2 nanoparticles under mechanical agitation
- Hydrotalcite Anchored Ruthenium Catalyst for CO2 Hydrogenation Reaction
- Production and Analysis of Recycled Ammonium Perrhenate from CMSX-4 superalloys
- Topical Issue on Agriculture
- New phosphorus biofertilizers from renewable raw materials in the aspect of cadmium and lead contents in soil and plants
- Survey of content of cadmium, calcium, chromium, copper, iron, lead, magnesium, manganese, mercury, sodium and zinc in chamomile and green tea leaves by electrothermal or flame atomizer atomic absorption spectrometry
- Biogas digestate – benefits and risks for soil fertility and crop quality – an evaluation of grain maize response
- A numerical analysis of heat transfer in a cross-current heat exchanger with controlled and newly designed air flows
- Freshwater green macroalgae as a biosorbent of Cr(III) ions
- The main influencing factors of soil mechanical characteristics of the gravity erosion environment in the dry-hot valley of Jinsha river
- Free amino acids in Viola tricolor in relation to different habitat conditions
- The influence of filler amount on selected properties of new experimental resin dental composite
- Effect of poultry wastewater irrigation on nitrogen, phosphorus and carbon contents in farmland soil
- Response of spring wheat to NPK and S fertilization. The content and uptake of macronutrients and the value of ionic ratios
- The Effect of Macroalgal Extracts and Near Infrared Radiation on Germination of Soybean Seedlings: Preliminary Research Results
- Content of Zn, Cd and Pb in purple moor-grass in soils heavily contaminated with heavy metals around a zinc and lead ore tailing landfill
- Topical Issue on Research for Natural Bioactive Products
- Synthesis of (±)-3,4-dimethoxybenzyl-4-methyloctanoate as a novel internal standard for capsinoid determination by HPLC-ESI-MS/MS(QTOF)
- Repellent activity of monoterpenoid esters with neurotransmitter amino acids against yellow fever mosquito, Aedes aegypti
- Effect of Flammulina velutipes (golden needle mushroom, eno-kitake) polysaccharides on constipation
- Bioassay-directed fractionation of a blood coagulation factor Xa inhibitor, betulinic acid from Lycopus lucidus
- Antifungal and repellent activities of the essential oils from three aromatic herbs from western Himalaya
- Chemical composition and microbiological evaluation of essential oil from Hyssopus officinalis L. with white and pink flowers
- Bioassay-guided isolation and identification of Aedes aegypti larvicidal and biting deterrent compounds from Veratrum lobelianum
- α-Terpineol, a natural monoterpene: A review of its biological properties
- Utility of essential oils for development of host-based lures for Xyleborus glabratus (Coleoptera: Curculionidae: Scolytinae), vector of laurel wilt
- Phenolic composition and antioxidant potential of different organs of Kazakh Crataegus almaatensis Pojark: A comparison with the European Crataegus oxyacantha L. flowers
- Isolation of eudesmane type sesquiterpene ketone from Prangos heyniae H.Duman & M.F.Watson essential oil and mosquitocidal activity of the essential oils
- Comparative analysis of the polyphenols profiles and the antioxidant and cytotoxicity properties of various blue honeysuckle varieties
- Special Issue on ICCESEN 2017
- Modelling world energy security data from multinomial distribution by generalized linear model under different cumulative link functions
- Pine Cone and Boron Compounds Effect as Reinforcement on Mechanical and Flammability Properties of Polyester Composites
- Artificial Neural Network Modelling for Prediction of SNR Effected by Probe Properties on Ultrasonic Inspection of Austenitic Stainless Steel Weldments
- Calculation and 3D analyses of ERR in the band crack front contained in a rectangular plate made of multilayered material
- Improvement of fuel properties of biodiesel with bioadditive ethyl levulinate
- Properties of AlSi9Cu3 metal matrix micro and nano composites produced via stir casting
- Investigation of Antibacterial Properties of Ag Doped TiO2 Nanofibers Prepared by Electrospinning Process
- Modeling of Total Phenolic contents in Various Tea samples by Experimental Design Methods
- Nickel doping effect on the structural and optical properties of indium sulfide thin films by SILAR
- The effect mechanism of Ginnalin A as a homeopathic agent on various cancer cell lines
- Excitation functions of proton induced reactions of some radioisotopes used in medicine
- Oxide ionic conductivity and microstructures of Pr and Sm co-doped CeO2-based systems
- Rapid Synthesis of Metallic Reinforced in Situ Intermetallic Composites in Ti-Al-Nb System via Resistive Sintering
- Oxidation Behavior of NiCr/YSZ Thermal Barrier Coatings (TBCs)
- Clustering Analysis of Normal Strength Concretes Produced with Different Aggregate Types
- Magnetic Nano-Sized Solid Acid Catalyst Bearing Sulfonic Acid Groups for Biodiesel Synthesis
- The biological activities of Arabis alpina L. subsp. brevifolia (DC.) Cullen against food pathogens
- Humidity properties of Schiff base polymers
- Free Vibration Analysis of Fiber Metal Laminated Straight Beam
- Comparative study of in vitro antioxidant, acetylcholinesterase and butyrylcholinesterase activity of alfalfa (Medicago sativa L.) collected during different growth stages
- Isothermal Oxidation Behavior of Gadolinium Zirconate (Gd2Zr2O7) Thermal Barrier Coatings (TBCs) produced by Electron Beam Physical Vapor Deposition (EB-PVD) technique
- Optimization of Adsorption Parameters for Ultra-Fine Calcite Using a Box-Behnken Experimental Design
- The Microstructural Investigation of Vermiculite-Infiltrated Electron Beam Physical Vapor Deposition Thermal Barrier Coatings
- Modelling Porosity Permeability of Ceramic Tiles using Fuzzy Taguchi Method
- Experimental and theoretical study of a novel naphthoquinone Schiff base
- Physicochemical properties of heat treated sille stone for ceramic industry
- Sand Dune Characterization for Preparing Metallurgical Grade Silicon
- Catalytic Applications of Large Pore Sulfonic Acid-Functionalized SBA-15 Mesoporous Silica for Esterification
- One-photon Absorption Characterizations, Dipole Polarizabilities and Second Hyperpolarizabilities of Chlorophyll a and Crocin
- The Optical and Crystallite Characterization of Bilayer TiO2 Films Coated on Different ITO layers
- Topical Issue on Bond Activation
- Metal-mediated reactions towards the synthesis of a novel deaminolysed bisurea, dicarbamolyamine
- The structure of ortho-(trifluoromethyl)phenol in comparison to its homologues – A combined experimental and theoretical study
- Heterogeneous catalysis with encapsulated haem and other synthetic porphyrins: Harnessing the power of porphyrins for oxidation reactions
- Recent Advances on Mechanistic Studies on C–H Activation Catalyzed by Base Metals
- Reactions of the organoplatinum complex [Pt(cod) (neoSi)Cl] (neoSi = trimethylsilylmethyl) with the non-coordinating anions SbF6– and BPh4–
- Erratum
- Investigation on Two Compounds of O, O’-dithiophosphate Derivatives as Corrosion Inhibitors for Q235 Steel in Hydrochloric Acid Solution