Abstract
It is well known that drugs can directly react with excipients. In addition, excipients can be a source of impurities that either directly react with drugs or catalyze their degradation. Thus, binary mixtures of three diuretics, torasemide, furosemide and amiloride with different excipients, i.e. citric acid anhydrous, povidone K25 (PVP), magnesium stearate (Mg stearate), lactose, D-mannitol, glycine, calcium hydrogen phosphate anhydrous (CaHPO4) and starch, were examined to detect interactions. High temperature and humidity or UV/VIS irradiation were applied as stressing conditions. Differential scanning calorimetry (DSC), FT-IR and NIR were used to adequately collect information. In addition, chemometric assessments of NIR signals with principal component analysis (PCA) and ANOVA were applied.
Between the excipients examined, lactose and starch did not show any interactions while citric acid, PVP, Mg stearate and glycine were peculiarly operative. Some of these interactions were shown without any stress, while others were caused or accelerated by high temperature and humidity, and less by UV/VIS light. Based on these results, potential mechanisms for the observed interactions were proposed Finally, we conclude that selection of appropriate excipients for torasemide, furosemide and amiloride is an important question to minimize their degradation processes, especially when new types of formulations are being manufactured.
Graphical Abstract

1 Introduction
Torasemide and furosemide belong to the group of loop diuretics which selectively inhibit NaCl reabsorption in the thick ascending limb of Henle’s loop. Amiloride belongs to potassium sparing diuretics which antagonize aldosterone effects at the late distal and cortical collecting tubules. This antagonism may be due to inhibition of sodium influx through ion channels in the luminal membrane [1]. Chemically, torasemide and furosemide are the sulfonamide derivatives while amiloride is a pyrazine compound with a guanidinium group. In the literature, only few papers exist in which chemical stability of torasemide and furosemide was examined in a solid state [2,3,4,5,6]. In addition, the experiments on the chemical stability of amiloride in a solid state have not been found in the literature. There is also scarce information about its interactions with excipients [7,8,9,10]. Furthermore, there are no reports about chemical stability of torasemide, furosemide and amiloride in which chemometric methods were added to typical analytical tools like differential scanning calorimetry (DSC) or spectrophotometry.
All guidelines emphasize the importance of testing chemical stability of drugs in final products, especially with respect to excipients. It is well known that drugs may directly react with excipients, for example in hydrolytic or oxidative way. In addition, excipients may have acidic or basic properties, depending on their chemical nature, and may contribute to the instability of pH labile drugs. Excipients may also affect drugs by altering the moisture content, which greatly increases the possibility of degradation. Moreover, excipients can be a new source of impurities that either directly react with drugs or catalyze their degradation [11].
Therefore, the purpose of the present study was to evaluate the impact of excipients on chemical stability of torasemide, furosemide and amiloride under standard laboratory conditions, at high temperature and humidity or under UV/VIS irradiation. To reach more definite conclusions, three analytical techniques, i.e. DSC, FT-IR and NIR as well as NIR together with chemometric assessments were applied.
2 Experimental Procedures
2.1 Drugs and excipients
Amiloride, furosemide, citric acid anhydrous, povidone K25 (PVP), magnesium stearate (Mg stearate), lactose, D-mannitol, glycine, calcium hydrogen phosphate anhydrous (CaHPO4) and starch from Sigma Aldrich (USA), and torasemide from Biofarm Sp. z o.o. (Poland) were used. All materials were of pharmacopoeial purity and they were used as obtained. Each drug and each excipient were placed in tightly closed containers and then stored in a dessicator. Physical mixtures of the drugs with excipients were prepared at 1:1 ratio (w/w) by mixing the components in an agate mortar with a pestle for approximately 10 min. Then, the mixtures were placed in tightly closed containers and stored in a dessicator.
2.2 Stress conditions
Individual drugs, individual excipients and the mixtures were located in small alumina crucibles as thin layers ca. 3 mm. Then, these samples were stored in a climate chamber KBF P240 (WTC Binder, Germany) at high temperature and humidity (70°C/80% RH) for 30 and 60 days. The UV/ VIS stress was performed in a photostability chamber Suntest CPS Plus (Atlas GmbH, Germany) equipped with a xenon lamp and a ID65 filter system. Two irradiance levels, i.e. 56706 kJ/m2 and 113412 kJ/m2, were applied while the temperature in the chamber did not exceed 35°C. After finishing each phase of the stress, the samples were transferred to tightly closed containers and stored in a dessicator until evaluation.
2.3 Analysis
A DSC Q200 calorimeter (TA Instruments, USA) was used to study thermal transformations of individual drugs, excipients and respective binary mixtures. The samples weighing 2-3 mg were closed in aluminum pans (Tzero Pan, TA Instruments), placed under a nitrogen pure atmosphere and heated from 0 to 370°C at a heating rate of 10°C/min. An empty aluminum pan was used as a reference.
FT-IR spectra were recorded on a Nicolet 6700 spectrometer (Thermo Scientific, USA), equipped with a Smart iTR accessory. After recording a background spectrum, the samples weighing 1-2 mg were placed on the diamond. Then, four scans were recorded for each sample over the range 4000-800 cm-1 with a resolution of 4 cm-1
Reflectance NIR spectra were measured using a Near IR Integrating Sphere from Thermo Scientific. Each spectrum was an average of four scans over the range 10000-4000 cm-1 with a resolution of 4 cm-1.
2.4 Chemometrics
All chemometric computations were performed using a free GNU R computational environment, version 3.4.0. NIR spectra were standardized with Standard Normal Variate (SNV) algorithm to remove random shifts and random intensity changes, and to preserve only the shape information. Principal component analysis (PCA) was done without scaling because it is a standard strategy during spectral data analysis. ANOVA and MANOVA were used without further data pretreatment. The permutation tests were done in a standard configuration to see the distribution of ANOVA F coefficient among the permuted datasets. PCA, ANOVA and MANOVA were carried out by the built-in functions “princomp”, “aov” and “manova”, respectively while permutation tests were conducted using “lmPerm” extension package with a function “aovp”.
Ethical approval: The conducted research is not related to either human or animals use.
3 Results and Discussion
3.1 General
The binary mixtures were prepared in 1:1 proportions of each drug to each excipient in order to maximize interactions. First, the individual components and their mixtures were analyzed using DSC, FT-IR and NIR. Secondly, the influence of stress on the individual components and their binary mixtures was evaluated using the same methods. In the next step, the differences between the stressed mixtures and the untreated ones were studied. At this stage, chemometric assessments of the NIR spectra were added. Only the differences which appeared at both levels of stress, i.e. after storing under 70°C/80% RH for 30 and 60 days or after irradiation with 56706 kJ/m2 and 113412 kJ/m2, were taken into account. Occurrence of these differences assigned to the applied methods are summarized in Table 1. However, only the differences which were confirmed by at least two applied methods were taken into account in our further discussion.
Differences between the stressed and the untreated binary mixtures of torasemide, furosemide and amiloride with operative excipients.
| Method | Citric acid | PVP | Mg stearate | D-Mannitol | Glycine | CaHPO4 |
|---|---|---|---|---|---|---|
| Torasemide | ||||||
| DSC | [+] | - | - | - | - | - |
| FT-IR | [+] | - | - | - | - | - |
| NIR | [+] | - | - | - | - | - |
| NIR-ANOVA | - | - | [+] | - | - | - |
| Furosemide | ||||||
| DSC | [+] | [+] | - | - | [+] | - |
| FT-IR | [+] | [+] | [+] | - | [++] | - |
| NIR | [+] | - | [+] | - | [+] | - |
| NIR-ANOVA | [+] | - | [+] | [+] | - | [+] |
| Amiloride | ||||||
| DSC | [+] | [+] | - | - | [+] | - |
| FT-IR | [+] | [+] | - | - | - | - |
| NIR | - | - | - | - | [+] | - |
| NIR-ANOVA | - | [+] | - | - | [+] | + |
3.2 DSC experiments
The details of thermal processes observed for individual drugs and excipients (not stressed) are listed in Table 2. Generally the presented results are, both qualitatively and quantitatively, similar to the results published by other authors [6,9,12,13,14,16].
DSC and FT-IR characteristics of torasemide, furosemide, amiloride and operative excipients (not stressed)
| Drug or excipient | DSC | FT-IR | ||
|---|---|---|---|---|
| Tm [C°] | Enthalpy [kJ/mol] | Bands [cm-1] | Vibrations | |
| Torasemide | 165(endo) melting | 36.8 | 3349 | N-H stretching |
| 2977 | C-H stretching | |||
| 1693 | C=O stretching | |||
| 1608, 1396, 1262, 1233 | ||||
| 1109 | SO2 stretching | |||
| 1045 | C-N stretching | |||
| Furosemide | 137 (endo) melting | 2.65 | 3398, 3351, 3282 | N-H (Ar-NH-CH2) |
| 220 (exo) | 42.3 | 1667 | C=O stretching | |
| 270 (endo) | 11.6 | 1590, 1561 | SO2NH2 | |
| 1262, 1238 | C-O stretching | |||
| 1140 | SO2 stretching | |||
| Amiloride | 130 (endo) | 80.8 | 3294, 3165 | N-H stretching |
| 210 (exo) | 2.3 | 1543 | N-H bending | |
| 290 (endo) melting | 29.3 | 1675 | C=O stretching | |
| 1246 | N-aromatic ring | |||
| Citric acid | 55 (endo) | 36.6 | 3491 | O-H (COOH) |
| 155 (endo) melting | 38.4 | 1752 | C=O (COOH) | |
| 214 (endo) | 122.8 | 1719 | ||
| 1207 | C-OH stretching | |||
| 1169 | C-OH bending | |||
| PVP | 81 (endo) | 244.6 | 3395 | O-H stretching |
| 185 (endo) | 16.1 | 2951 | C-H stretching | |
| 1646 | C=O stretching | |||
| 1424 | ||||
| 1287 | C-N stretching | |||
| 1166 | ||||
| Mg stearate | 92 (endo) | 2954, 2917, 2848 | C-H stretching | |
| 116 (endo) melting | 134.1(cumulatively) | 1577 | COO- stretching | |
| 121 (endo) | 1337 | |||
| Glycine | 254 (endo) | 74.1 | 3152 | |
| 3008 | ||||
| 2824, 2703, 2602, 2517 | ||||
| 1577 | COO- stretching | |||
| 1502 | ||||
| 1178, 1032 | C-N stretching | |||
High temperature and humidity as well as UV/ VIS light did not influence the thermal processes of torasemide. Similarly, high temperature and humidity did not affect any thermal process of furosemide. However, UV/VIS irradiation of individual furosemide caused shifting the exotherm from 220°C to 210°C and the second endotherm from 270°C to 280°C. In the case of amiloride, the stress caused shifting the first endotherm to 115°C (high temperature and humidity) or to 123°C (UV/VIS irradiation). Thermal processes of melting and decomposition of citric acid were influenced by high temperature and humidity. It was observed as moving the first endotherm from 55°C to 112°C and broadening the third one at 214°C. For glycine and Mg stearate, slight broadening of the melting endotherms was observed for the stressed samples (high temperature and humidity). In the case of PVP, the influence of high temperature and humidity was observed as flattening the first endotherm at 81°C and shifting the second one from 185°C to 152°C.
As far as binary mixtures were concerned, the changes were observed for torasemide with citric acid, furosemide with citric acid, PVP and glycine, and amiloride with citric acid, PVP and glycine, even if the mixtures were not stressed.
The thermogram of torasemide mixed with citric acid was considerably different from the thermograms of both individual components. A new endotherm at 130°C appeared and all thermal processes above 150°C fused into one broad endotherm with maximum around 180°C. Such broadening indicates interactions, more specifically hydrogen bonds between the N-H group of the drug and the C=O group of citric acid. After the stress, both endotherms overlapped and the main body of these thermal processes shifted to higher temperatures (Figure 1a). However, the enthalpy values for these endotherms were similar in the untreated and in the stressed mixtures (71.8-69.4 kJ/mol).

Torasemide and citric acid: DSC scans (a), FT-IR spectra (b) and NIR spectra (c) for the mixture stressed with high temperature/humidity (T/RH) and the untreated mixture (standard) against pure torasemide.
In the mixture of furosemide with citric acid, the exotherm at 220°C due to decomposition of furosemide disappeared and a wide endotherm between 180°C and 220°C with enthalpy equal 60.3 kJ/mol appeared, suggesting that decomposition of the drug was intensified in the presence of citric acid. In the stressed mixture, this endotherm slightly enlarged (to 64.4 kJ/mol) and shifted to around 200°C. At the same time, the peak of furosemide melting enlarged and shifted from 137°C to 144°C, probably as a result of overlapping with the melting endotherm of citric acid which shifted from 155°C to lower temperatures. The enthalpy value of this overlapped process was 17.9 kJ/ mol. When the untreated mixture of furosemide with citric acid was compared, the enthalpy value of furosemide melting was 3.9 kJ/mol and the enthalpy value of citric acid melting was 43.8 kJ/mol (Figure 2a).

Furosemide and citric acid: DSC scans (a), FT-IR spectra (b) and NIR spectra (c) for the mixture stressed with high temperature/ humidity (T/RH) and the untreated mixture (standard) against pure furosemide.
In the mixture of furosemide with PVP, main thermal processes of both components were observed without considerable temperature shifting while the enthalpy of furosemide exotherm at 220°C increased to 45.6 kJ/ mol in comparison to 42.3 kJ/mol for the individual drug. In addition, high temperature and humidity stress resulted in an essential blurring of all thermal processes (Figure 3a).

Furosemide and PVP: DSC scans (a) and FT-IR spectra (b) for the mixture stressed with high temperature/humidity (T/RH) and the untreated mixture (standard) against pure furosemide.
In the mixture of furosemide with glycine, the exotherm at 220°C and the endotherm at 270°C, both of furosemide, and the endotherm at 254°C of glycine were replaced by a broad endotherm between 210°C and 250°C. Because the peaks corresponding to the drug and the excipient were shortened and broadened, formation of hydrogen bonds between furosemide and glycine was probable. For the stressed mixture, the fused broad endotherm was narrower with lower enthalpy value, i.e. 59.8 kJ/mol versus 72.3 kJ/mol for the untreated mixture. Therefore, we expected that degradation of furosemide was facilitated in the presence of glycine. Another effect of the stress was observed as a decrease of the endotherm due to melting of furosemide at 137°C (Figure 4a).

Furosemide and glycine: DSC scans (a), FT-IR spectra (b) and NIR spectra (c) for the mixture stressed with high temperature/ humidity (T/RH) and the untreated mixture (standard) against pure furosemide.
In the mixture of amiloride with citric acid, the melting endotherms of both components shifted to lower temperatures and probably fused. The observed shifting indicates formation of intermolecular hydrogen bonds between the N-H group of amiloride and the C=O group of citric acid. In the untreated mixture, three distinct endotherms between 100°C and 200°C were observed with total enthalpy equal 78.3 kJ/mol. After stressing, total enthalpy for these peaks decreased to 72.3 kJ/mol (Figure 5a).

Amiloride and citric acid: DSC scans (a) and FT-IR spectra (b) for the mixture stressed with high temperature/humidity (T/RH) and the untreated mixture (standard) against pure amiloride.
In the mixture of amiloride with PVP, the main thermal processes of both components were not affected. However, high temperature and humidity stress resulted in an essential blurring of all thermal processes (Figure 6a).

Amiloride and PVP: DSC scans (a) and FT-IR spectra (b) for the mixture stressed with high temperature/humidity (T/RH) and the untreated mixture (standard) against pure amiloride.
In the mixture of amiloride with glycine, a strong effect of glycine itself on all thermal processes of amiloride was observed. The main endotherm of amiloride decreased from 80.8 kJ/mol for an individual drug to 26.0 kJ/mol in the mixture. At the same time, its second endotherm almost disappeared, probably because of fusion with the endotherm of glycine which shifted to 245°C. This observation suggests formation of hydrogen bonds between the N-H group of amiloride and the C=O group of glycine. After high temperature and humidity stress, the first endotherm of amiloride broadened and flattened to 4.9 kJ/mol. In addition, the enthalpy of the main thermal process rose to 75.5 kJ/mol in the stressed mixture (from 40.9 kJ/mol in the untreated mixture) (Figure 7a).

Amiloride and glycine: DSC scans (a) and NIR spectra (b) for the mixture stressed with high temperature/humidity (T/RH) and the untreated mixture (standard) against pure amiloride.
The DSC scans obtained for the mixtures of torasemide, furosemide and amiloride with lactose, D-mannitol, CaHPO4 and starch did not show significant changes, for both, the untreated mixtures and the stressed ones.
3.3 FT-IR study
The characteristics of the spectra for individual drugs and individual excipients (non stressed) are presented in Table 2. Generally, the presented results are similar to the results published by other authors [6,7,14,15].
From the spectra obtained for the individual drugs stressed at high temperature and humidity or under UV/ VIS light, it was clearly seen that torasemide, furosemide and amiloride did not change. Also, the individual excipients did not show changes after the stress. On the contrary, FT-IR spectra of the binary mixtures, even if the mixtures were not stressed, showed changes for torasemide with citric acid, furosemide with citric acid, PVP, Mg stearate and glycine, and amiloride with citric acid and PVP. In addition, the mixture of furosemide with glycine was affected by UV/VIS light.
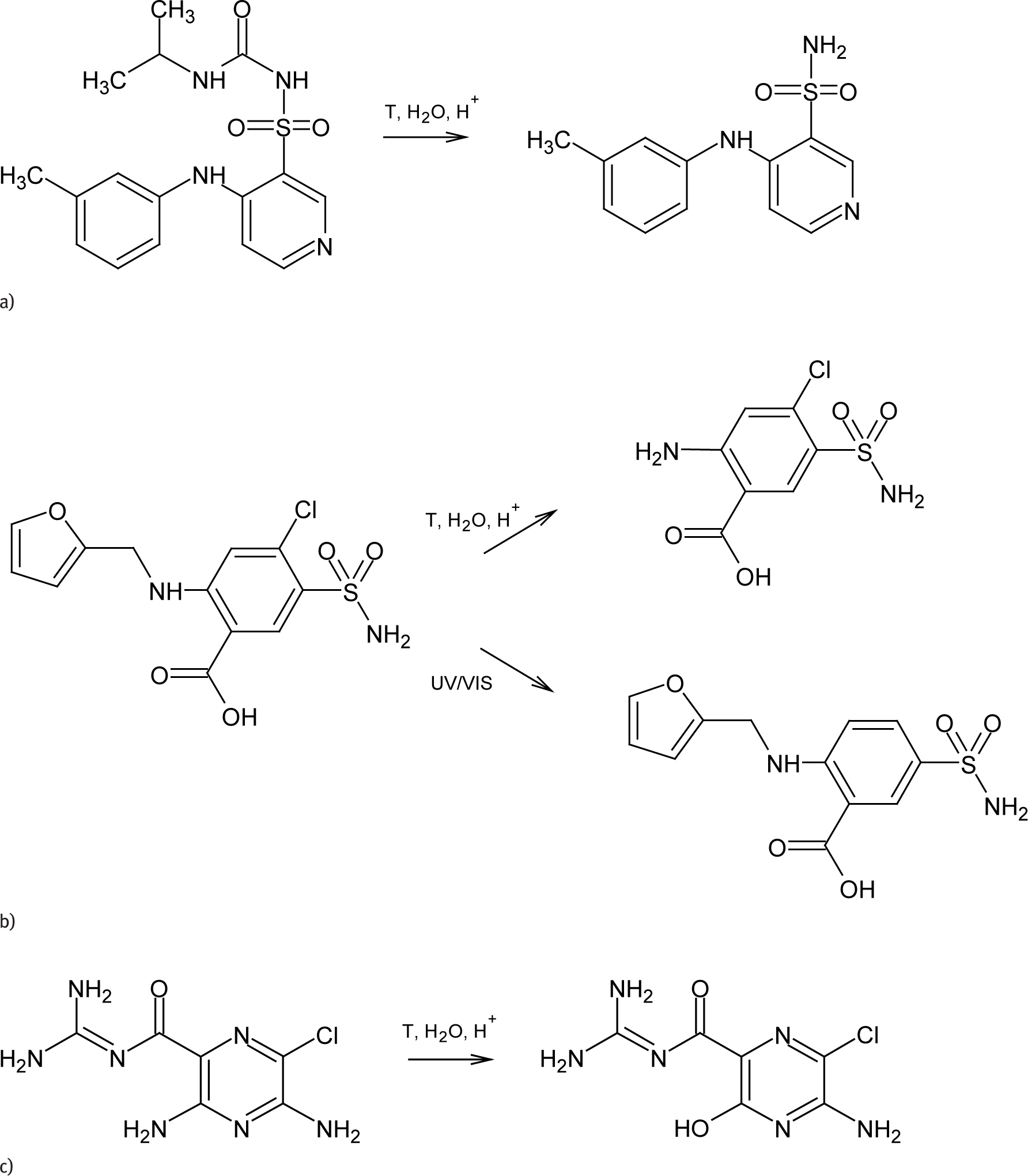
The spectrum of the untreated mixture of torasemide with citric acid showed flattening of a broad peak at 3349 cm-1 due to N-H vibrations of torasemide. At the same time, the peak at 1719 cm-1 due to C=O vibrations of citric acid shifted to 1690 cm-1 and overlapped that of torasemide. The observed shifting to lower wavenumbers suggests formation of intermolecular hydrogen bonds between the N-H group of torasemide and the C=O group of citric acid which was also shown by our DSC results. When this mixture was treated with high temperature and humidity, new changes in the spectrum were observed as shifting the characteristic peaks of torasemide from 1109 cm-1 and 1045 cm-1 (Figure 1b). It is known that a humid environment, high temperature and acidic additives can facilitate hydrolytic reactions [17]. Therefore the acid catalyzed hydrolysis of the sulfonyl urea moiety of torasemide was possible in our conditions (Figure 8a). Similarly, in the study of Jovic et al. [2] and Patel et al. [3], the acid catalyzed hydrolysis of torasemide through the loss of an amine from the sulfonyl urea, yielding the sulfonamide group, was confirmed. In addition, data from the literature show that citric acid may facilitate degradation of some drugs in a solid state, e.g. quinapril [18] and atorvastatin [19]. In the mixture of furosemide with citric acid, even if the mixture was not stressed, the characteristic peaks of citric acid at 3228 and 3350 cm-1 almost disappeared. We expected that in the presence of furosemide, the intramolecular hydrogen bonds in the citric acid molecule were weakened. When this mixture was treated with high temperature and humidity, the changes were observed as appearance of new bands in the region 3100-3550 cm-1 attributed to the amine group (Figure 2b). It is known that furosemide is a labile substance and its main degradation product is 4-chloro-5-sulfamoyl anthranilic acid [6]. Based on the observed changes we suppose that citric acid may intensify such degradation of the drug (Figure 8b).

Hypothetical degradation pathways of torasemide (a), furosemide (b, c) and amiloride (d) influenced by operative excipients or stress conditions.
In the literature, solid dispersions of furosemide with PVP were frequently studied [7,8,9,20]. Bearing in mind the structures of both components, hydrogen bonding between the O-H group of the drug and the C=O group of the excipient can be expected. However, in our experiment, the FT-IR spectrum of this mixture did not show formation of hydrogen bonds between the components. Similarly, hydrogen bonding between furosemide and PVP was not observed using DSC, FT-IR and powder X-ray diffraction in the study of Patel et al. [9]. On the other hand, Kaminska et al. [20] supposed that hydrogen bonding between furosemide and PVP catalyzes chemical degradation of furosemide to 4-chloro-5-sulfamoyl anthranilic acid. This fact is quite intriguing but our FT-IR experiment does not confirm this. Moreover, even at high temperature and humidity, we only observed that the peaks of furosemide at 1262 and 1238 cm-1 gently changed their shapes while the peak of PVP at 1166 cm-1 slightly decreased (Figure 3b).
The spectrum obtained for the mixture of furosemide with Mg stearate showed the lack of the peak at 1577 cm-1 due to COO- group of Mg stearate. Therefore, the interaction via hydrogen bonding of furosemide with the COO- group of Mg stearate can be taken into account. In the literature, similar interactions between captopril and Mg stearate was confirmed [21]. Another important factor to consider is alkalinity of Mg stearate. When this lubricant is present in solid mixtures, it may increase the pH of the microenvironment and in consequence, accelerate alkaline hydrolysis. When our mixture of furosemide with Mg stearate was treated with high temperature and humidity, the lack of the peak at 3398 cm-1 and broadening the peak at 3282 cm-1, both due to the secondary amine group of the drug, were observed (Figure 9a). Based on these changes we suppose that the amine group of furosemide may be affected in presence of Mg stearate that was previously reported for drugs containing amine groups [22].

Furosemide and Mg stearate: FT-IR spectra (a) and NIR spectra (b) for the mixture stressed with high temperature/humidity (T/RH) and the untreated mixture (standard) against pure furosemide.
The spectrum of furosemide mixed with glycine, even if the mixture was not stressed, showed the lack of peaks corresponding to
The mixture of amiloride with citric acid showed the changes, even if the mixture was not stressed. The peak of citric acid at 1752 cm-1 shifted to 1690 cm-1 confirming some changes in its C=O group. The amiloride molecule comprises a guanidine group and several amino groups which have very good functionality for hydrogen bonding. The observed shifting to a lower wavenumber suggests formation of intermolecular hydrogen bonds between the C=O group of citric acid and the N-H group of amiloride, similarly to our DSC results. When high temperature and humidity were applied to this mixture, a new band at 3520 cm-1 appeared. In the literature, the possibility of acid catalyzed hydrolysis of amiloride with converting one of the NH2 group on the pyrazine ring to the OH group was described (Figure 8c) [23]. Another possibility is forming the amide group in the presence of citric acid. In the literature, such interaction was described for the mixture of citric acid with carvedilol [24]. In our experiment, however, the peak due to the C=O amide group of amiloride was not clearly seen (Figure 5b).
The mixture of amiloride with PVP showed the spectrum with some peaks shifted around 2-3 cm-1 and with small reduction of the intensity of these peaks. At the same time, the peak of PVP due to the C=O group was not affected suggesting the lack of hydrogen bonds, although in the literature, the possibility of hydrogen bonding between the C=O group of PVP and the NH2 group of amiloride was shown [22,25]. After high temperature and humidity stress, we observed that the peak corresponding to the C=O group broadened and shifted to a lower wavenumber but we could not draw a credible conclusion from this observation (Figure 6b).
In the mixtures of torasemide, furosemide and amiloride with lactose, D-mannitol, CaHPO4 and starch, the changes in the FT-IR spectra were not significant, for both the untreated mixtures and the stressed ones.
3.4 NIR experiments
From the obtained NIR spectra it was seen that torasemide, furosemide and amiloride themselves did not visibly change at high temperature and humidity or under UV/VIS irradiation. Also, the NIR spectra of individual excipients did not show changes after the stress. Similarly, the NIR spectra obtained for the mixtures of torasemide, furosemide and amiloride with lactose, D-mannitol, CaHPO4 and starch, did not show changes in the nature of the absorption patterns, for both the untreated mixtures and the stressed ones. However, the rest of the excipients showed interactions, even if these mixtures were not stressed. It was clearly seen for torasemide with citric acid (Figure 1c) and furosemide with citric acid (Figure 2c). In addition, the spectra of these two mixtures showed visible changes at high temperature and humidity. Additionally, interactions of torasemide and furosemide with citric acid were also shown by our DSC and FT-IR results. Next, the NIR spectra showed interactions for the stressed mixtures of furosemide with Mg stearate (Figure 9b), furosemide with glycine (Figure 4c) and amiloride with glycine (Figure 7b). As far as the mixture of furosemide with glycine was concerned, the interactions were also shown by our DSC and FT-IR results. On the other hand, the NIR spectra did not show changes after UV/VIS irradiation.
It is known that direct interpretation the NIR profiles is difficult. Moreover, the discussion on the visually observed differences in the NIR region can be subjective to some extent. Therefore we decided to use chemometric methods to objectively evaluate the differences between the NIR spectra of the stressed and the untreated mixtures.
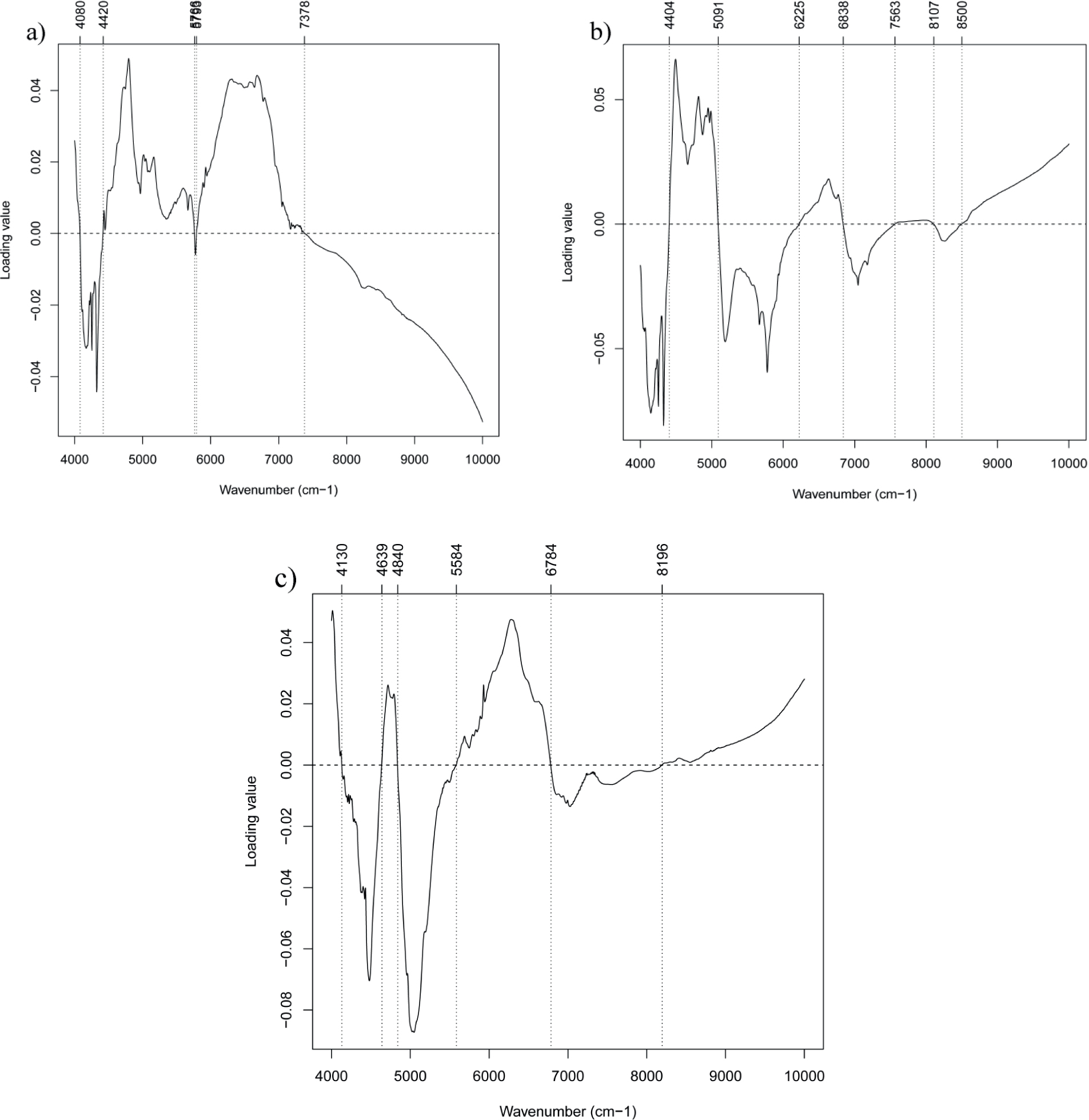
Before chemometric treatment, respective NIR spectra were scaled to unit variance and zero mean (SNV algorithm). This standard procedure reduced random spectral shifts and preserved that only the shape of the spectra was taken into account. Then, the spectra were subjected to PCA in order to reduce the dimensionality. As a result, the first five principal components (PCs) accounted for 36.9%, 19.0%, 16.2%, 12.4% and 6.1% of the explained variance, respectively.
Inspecting the first loading value (Figure 10a), it was concluded that the main source of variability was connected with an increase of absorbance in the region 4500-5000 cm-1 (the combinations of N-H and O-H) and the region 5800-7300 cm-1 (the first overtones of C-H, N-H and O-H). The second trend (Figure 10b) was related to an increase of absorbance in the region 4400-5100 cm-1 (the C-H and O-H combinations) and the region 6200-6350 cm-1 (the first overtones of N-H). However, there was a difference within the region 5000-6200 cm-1, where the loading value was negative. In this region, the combinations of O-H, the first overtones of C-H and the second overtones of C=O occurred. The third PC (Figure 10c) represented a trend where the region 4600-4800 cm-1 (the combinations of O-H and N-H) and the region 5500-6700 cm-1 (the first overtones of C-H and the second overtones of C=O) had their absorbance increased, together with a decrease in the region 5500-4800 cm-1 (the combinations of O-H). The fourth and fifth PCs were rather noisy so we did not interpret them. Summarizing the first, second and third PC observations we conclude that these trends confirm our FT-IR and DSC results because the N-H and C=O groups are the main source of variation.

Loading values of the first (a), the second (b) and the third (c) PCs of the NIR dataset.
In the next step, the PCs were used as a new dataset in multi-way analysis of variance. The preliminary experiments with built-in univariate multi-way ANOVA (with the first PC only) and multivariate multi-way ANOVA (with several first PCs inserted into the model) gave similar results with increasing significance (decreasing p value) when subsequent components were included.
This is a normal phenomenon in such analysis and in the present experiment, taking one from several PCs was the best choice.
Being aware about deviations from normality what raises a question about reliability of p values, we decided to perform the univariate multiway ANOVA based on the permutation tests. The dataset was split into three subsets for each drug. In each subset, two-way interactions were checked between the presence of excipients and various stress conditions (the second factor with several levels).
The results of the permutation ANOVA showed a significant influence of excipients on the degradation processes for the following mixtures: torasemide with Mg stearate (p<1×10-5), furosemide with citric acid (p<1×10-5), furosemide with Mg stearate (p=0.0102), furosemide with D-mannitol (p=0.03919), furosemide with CaHPO4 (p=0.0022), amiloride with PVP (p<1×10-5), amiloride with Mg stearate (p<1×10-5), amiloride with glycine (p<1×10-5) and amiloride with CaHPO4 (p<1×10-5). These results confirmed the interactions of furosemide with citric acid, furosemide with Mg stearate, amiloride with PVP as well as amiloride and glycine. Thus, our results obtained by NIR-ANOVA were in partial agreement with the results obtained by DSC, FT-IR and NIR methods (Table 1), although some differences were not surprising. It is obvious that the DSC results contain additional information about the heating of the samples, whereas IR signals are registered at room temperature. Moreover, the NIR spectra contain different information than the FT-IR ones.
3.5 Photoreactivity of torasemide, furosemide and amiloride
Torasemide shows significant absorption above 300 nm suggesting its potential photoreactivity. However, torasemide in a solid state was stable under photolytic conditions equal 1.2 million luxh and 200 Wh/m2. Also, there was no significant degradation when the drug was exposed to similar light energy in solution [2]. In our study, torasemide did not show degradation in a solid state under 56706 kJ/m2 and 113412 kJ/m2 irradiation which constituted three and six times bigger doses of energy. Therefore, photostability of torasemide was confirmed.
It is well known that furosemide in solution undergoes photochemical degradation through hydrolysis and oxidation to form two products, 4-chloro-5-sulfamoylanthranilic acid and N-furfuryl-5-sulfamoyl anthranilic acid [6,7]. However, in a solid state, the drug was less sensitive to the light resulting in ca. 1.5% degradation after exposition to 2.1×106 luxh and 576 Wh/m2 [4,5]. In the present experiment, the DSC scan of furosemide stressed by UV/VIS light showed shifting the exotherm from 220°C to 210°C and the second endotherm from 270°C to 280°C suggesting that furosemide components responsible for this process changed. In addition, the FT-IR spectrum of the stressed mixture of furosemide with glycine showed the lack of peaks at 3398, 3351 and 3282 cm-1due to the Ar-NH-CH2 group of the drug. Therefore, we conclude that furosemide in a solid state may be degraded by UV/VIS light and that glycine may facilitate the process of degradation.
According to the literature, the most probable product of such degradation is N-furfuryl-5-sulfamoyl anthranilic acid (Figure 8b) [6,7].
Amiloride has a strong absorption at 360 nm showing its potential photoreactivity. When amiloride in water was irradiated at the level of 30 W/m2 for 30 min, the degradation of ca. 50% was observed [23]. Photodegradation of amiloride was also observed in the pH range 4.5-11 [18]. In our experiment, photoreactivity of amiloride was observed in DSC scan as shifting the first endotherm from 130°C to 123°C, suggesting that amiloride components responsible for this process changed. As a result, we suppose that amiloride is photolabile in a solid state.
4 Conclusions
Three different methods, i.e. DSC, FT-IR, NIR as well as NIR with chemometric assessments were used to examine interactions of three diuretics, torasemide, furosemide and amiloride with eight excipients. It was found that these drugs showed interactions with citric acid, PVP, Mg stearate and glycine. Our results were mostly consistent, offering complementary information about the functional groups involved in the drug-excipient interactions. For these drugs, the hydrogen-bond type interactions with some of the excipients were postulated. In addition, other types of interactions were indicated, including accelerated degradation at high temperature and humidity. In addition, furosemide and amiloride, as individuals or in the mixture with glycine, showed the lack of stability under UV/VIS irradiation. Naturally, we realize that the mechanisms proposed for the observed interactions require further confirmation by additional methods, e.g. LC-MS. However, we can conclude that a selection of appropriate excipients for torasemide, furosemide and amiloride is a very important question for minimizing their degradation processes.
Acknowledgements
The paper was developed using the equipment purchased within the Project “The equipment of innovative laboratories doing research on new medicines used in the therapy of civilization and neoplastic disease” within the Operational Program Development of Eastern Poland (2007-2013), priority Axis I Modern Economy, Operations I.3 Innovation Promotion.
The Authors wish to thank Biofarm Sp. z o. o. (Poland) for kindly supplying torasemide pure substance.
Conflict of interest: Authors state no conflict of interest.
References
[1] Kaufman G., Diuretics: how they work, cautions and contraindications, Nursing and Residental Care, 2014, 16, 83-86.10.12968/nrec.2014.16.2.83Search in Google Scholar
[2] Jovic Z., Zivanovic L., Protic A., Radisic M., Lausevic M., Malesevic M., et al., Forced degradation study of torasemide: characterization of its degradation products, J. Liq. Chrom. Rel. Technol., 2013, 36, 2082-2094.10.1080/10826076.2012.712932Search in Google Scholar
[3] Patel H.B., Reversed-phase ultra-performance liquid chromatographic method development and validation for determination of impurities related to torasemide tablets, J. AOAC Int., 2011, 94, 143-149.10.1093/jaoac/94.1.143Search in Google Scholar
[4] Kurmi M., Kumar S., Singh B., Singh S., Implementation of design of experiments for optimization of forced degradation conditions and development of a stability-indicating method for furosemide, J. Pharm. Biomed. Anal., 2014, 96, 135-143.10.1016/j.jpba.2014.03.035Search in Google Scholar
[5] Fiori J., Ballardini R., Andrisano V., Cavrini V., Photostability studies on the furosemide-triamterene drug association, Il Farmaco, 2003, 58, 867-873.10.1016/S0014-827X(03)00098-3Search in Google Scholar
[6] Beyers H., Malan F., Van der Watt J.G., de Villiers M.M., Structure-solubility relationship and thermal decomposition of furosemide, Drug Dev. Ind. Pharm., 2000, 26, 1077-1083.10.1081/DDC-100100271Search in Google Scholar
[7] Adrjanowicz K., Kaminski K., Grzybowska K., Hawelek L., Paluch M., Gruszka I., et al., Effect of cryogrinding on chemical stability of the sparingly water-soluble drug furosemide, Pharm. Res., 2011, 28, 3220-3236.10.1007/s11095-011-0496-4Search in Google Scholar PubMed PubMed Central
[8] Doherty C. and York P., Evidence for solid- and liquid-state interactions in a furosemide-polyvinylpyrrolidone solid dispersion, J. Pharm. Sci., 1987, 76, 731-737.10.1002/jps.2600760912Search in Google Scholar PubMed
[9] Patel R.P., Patel D.J., Bhimani D.B., Patel K.K., Physicochemical characterization and dissolution study of solid dispersions of furosemide with polyethylene glycol 6000 and polyvinylpyrrolidone K30, Dissolution Technologies, August 2008, 17-25.10.14227/DT150308P17Search in Google Scholar
[10] Akbuga J., Gursoy A., Kendi E., The preparation and stability of fast release furosemide-PVP solid dispersion, Drug Dev. Ind. Pharm., 2008, 14, 1439-1464.10.3109/03639048809151942Search in Google Scholar
[11] Hotha K.K., Roychowdhury S., Subramanian V., Drug-excipient interactions: case studies and overwiew of drug degradation pathways, Am. J. Anal. Chem., 2016, 7, 107-140.10.4236/ajac.2016.71011Search in Google Scholar
[12] Garnero C., Chattah A.K., Marcela Longhi M., Supramolecular complexes of maltodextrin and furosemide polymorphs: a new approach for delivery systems, Carbohydrate Polymers, 2013, 94, 292-300.10.1016/j.carbpol.2013.01.055Search in Google Scholar
[13] Wyrzykowski D., Hebanowska E., Nowak-Wiczk G., Makowski M., Chmurzynski L., Thermal behaviour of citric acid and isomeric aconitic acids, J. Ther. Anal. Calorim., 2011, 104, 731-735.10.1007/s10973-010-1015-2Search in Google Scholar
[14] Thakral S. and Madan A.K., Adduction of amiloride hydrochloride in urea through a modified technique for the dissolution enhancement, J. Pharm. Sci., 2008, 97, 1191-1201.10.1002/jps.21050Search in Google Scholar
[15] Rollinger J.M., Gstrein E.M., Burger A., Crystal forms of torasemide: new insights, Eur. J. Pharm. Biopharm., 2002, 53, 75-86.10.1016/S0939-6411(01)00206-5Search in Google Scholar
[16] Farias de R.F., Thermogravimetric and differential scanning calorimetric investigations of manganese-glycine interactions, Transition Metal Chemistry, 2002, 27, 594-597.10.1023/A:1019813515019Search in Google Scholar
[17] Blatnik S.U., Dreu R., Srcic S., Influence of pH modifiers on the dissolution and stability of hydrochlorothiazide in the bi- and three-layer tablets, Acta Pharm., 2015, 65, 383-397.10.1515/acph-2015-0031Search in Google Scholar
[18] Li Y.N., Moore D.E., Tattam B.N., Photodegradation of amiloride in aqueous solution, Int. J. Pharm., 1999, 183, 109-116.10.1016/S0378-5173(99)00035-6Search in Google Scholar
[19] Govindarajan R., Landis M., Hancock B., Gatlin L.A., Suryanarayanan R., Shalaev E.Y., Surface acidity and solid-state compatibility of excipients with an acid-sensitive API: case study of atorvastatin calcium, AAPS PharmSciTech., 2015, 16, 354-363.10.1208/s12249-014-0231-7Search in Google Scholar PubMed PubMed Central
[20] Kaminska E., Adrjanowicz K., Kaminski K., Wlodarczyk P., Hawelek L., Kołodziejczyk K., et al., A new way of stabilization of furosemide upon cryogenic grinding by using acylated saccharides matrices. The role of hydrogen bonds in decomposition mechanism, Mol. Pharm., 2013, 10, 1824-1835.10.1021/mp300606pSearch in Google Scholar PubMed
[21] Li J. and Wu Y., Lubricants in pharmaceutical solid dosage forms, Lubricants, 2014, 2, 21-43.10.3390/lubricants2010021Search in Google Scholar
[22] Bharate S.S., Bharate S.B., Bajaj A.N., Interactions and incompatibilities of pharmaceutical excipients with active pharmaceutical ingredients; a comprehensive review, J. Excipients and Food Chem., 2010, 1, 3-26.10.1002/chin.201147271Search in Google Scholar
[23] Calza P., Massolino C., Monaco G., Medana C., Baiocchi C., Study of the photolytic and photocatalytic transformation of amiloride in water, J. Pharm. Biomed. Anal., 2008, 48, 315-320.10.1016/j.jpba.2008.01.014Search in Google Scholar PubMed
[24] Larsen J., Cornett C., Jaroszewski J.W., Hansen S.H., Reaction between drug substances and pharmaceutical excipients: formation of citric acid esters and amides of carvedilol in the solid state, J. Pharm. Biomed. Anal., 2009, 49, 11-17.10.1016/j.jpba.2008.09.039Search in Google Scholar PubMed
[25] Paudel A., Van Humbeeck J., Van den Mooter G., Theoretical and experimental investigation on the solid solubility and miscibility of naproxen in poly(vinylpyrrolidone), Mol. Pharmaceut., 2010, 7, 1133-1148.10.1021/mp100013pSearch in Google Scholar PubMed
List of abbreviations
- CaHPO4
calcium hydrogen phosphate anhydrous
- DSC
differential scanning calorimetry
- Mg stearate
magnesium stearate
- PVP
povidone K25
- PCA
principal component analysis
- PCs
principal components
- SNV
standard normal variate
© 2018 Anna Gumieniczek et al., published by De Gruyter
This work is licensed under the Creative Commons Attribution-NonCommercial-NoDerivatives 4.0 License.
Articles in the same Issue
- Regular Articles
- The effect of CuO modification for a TiO2 nanotube confined CeO2 catalyst on the catalytic combustion of butane
- The preparation and antibacterial activity of cellulose/ZnO composite: a review
- Linde Type A and nano magnetite/NaA zeolites: cytotoxicity and doxorubicin loading efficiency
- Performance and thermal decomposition analysis of foaming agent NPL-10 for use in heavy oil recovery by steam injection
- Spectroscopic (FT-IR, FT-Raman, UV, 1H and 13C NMR) insights, electronic profiling and DFT computations on ({(E)-[3-(1H-imidazol-1-yl)-1-phenylpropylidene] amino}oxy)(4-nitrophenyl)methanone, an imidazole-bearing anti-Candida agent
- A Simplistic Preliminary Assessment of Ginstling-Brounstein Model for Solid Spherical Particles in the Context of a Diffusion-Controlled Synthesis
- M-Polynomials And Topological Indices Of Zigzag And Rhombic Benzenoid Systems
- Photochemical Transformation of some 3-benzyloxy-2-(benzo[b]thiophen-2-yl)-4Hchromen-4-ones: A Remote Substituent Effect
- Dynamic Changes of Secondary Metabolites and Antioxidant Activity of Ligustrum lucidum During Fruit Growth
- Studies on the flammability of polypropylene/ammonium polyphosphate and montmorillonite by using the cone calorimeter test
- DSC, FT-IR, NIR, NIR-PCA and NIR-ANOVA for determination of chemical stability of diuretic drugs: impact of excipients
- Antioxidant and Hepatoprotective Effects of Methanolic Extracts of Zilla spinosa and Hammada elegans Against Carbon Tetrachlorideinduced Hepatotoxicity in Rats
- Prunus cerasifera Ehrh. fabricated ZnO nano falcates and its photocatalytic and dose dependent in vitro bio-activity
- Organic biocides hosted in layered double hydroxides: enhancing antimicrobial activity
- Experimental study on the regulation of the cholinergic pathway in renal macrophages by microRNA-132 to alleviate inflammatory response
- Synthesis, characterization, in-vitro antimicrobial properties, molecular docking and DFT studies of 3-{(E)-[(4,6-dimethylpyrimidin-2-yl)imino]methyl} naphthalen-2-ol and Heteroleptic Mn(II), Co(II), Ni(II) and Zn(II) complexes
- M-Polynomials and Topological Indices of Dominating David Derived Networks
- Human Health Risk Assessment of Trace Metals in Surface Water Due to Leachate from the Municipal Dumpsite by Pollution Index: A Case Study from Ndawuse River, Abuja, Nigeria
- Analysis of Bowel Diseases from Blood Serum by Autofluorescence and Atomic Force Microscopy Techniques
- Hydrographic parameters and distribution of dissolved Cu, Ni, Zn and nutrients near Jeddah desalination plant
- Relationships between diatoms and environmental variables in industrial water biotopes of Trzuskawica S.A. (Poland)
- Optimum Conversion of Major Ginsenoside Rb1 to Minor Ginsenoside Rg3(S) by Pulsed Electric Field-Assisted Acid Hydrolysis Treatment
- Antioxidant, Anti-microbial Properties and Chemical Composition of Cumin Essential Oils Extracted by Three Methods
- Regulatory mechanism of ulinastatin on autophagy of macrophages and renal tubular epithelial cells
- Investigation of the sustained-release mechanism of hydroxypropyl methyl cellulose skeleton type Acipimox tablets
- Bio-accumulation of Polycyclic Aromatic Hydrocarbons in the Grey Mangrove (Avicennia marina) along Arabian Gulf, Saudi Coast
- Dynamic Change of Secondary Metabolites and spectrum-effect relationship of Malus halliana Koehne flowers during blooming
- Lipids constituents from Gardenia aqualla Stapf & Hutch
- Effect of using microwaves for catalysts preparation on the catalytic acetalization of glycerol with furfural to obtain fuel additives
- Effect of Humic Acid on the Degradation of Methylene Blue by Peroxymonosulfate
- Serum containing drugs of Gua Lou Xie Bai decoction (GLXB-D) can inhibit TGF-β1-Induced Epithelial to Mesenchymal Transition (EMT) in A549 Cells
- Antiulcer Activity of Different Extracts of Anvillea garcinii and Isolation of Two New Secondary Metabolites
- Analysis of Metabolites in Cabernet Sauvignon and Shiraz Dry Red Wines from Shanxi by 1H NMR Spectroscopy Combined with Pattern Recognition Analysis
- Can water temperature impact litter decomposition under pollution of copper and zinc mixture
- Released from ZrO2/SiO2 coating resveratrol inhibits senescence and oxidative stress of human adipose-derived stem cells (ASC)
- Validated thin-layer chromatographic method for alternative and simultaneous determination of two anti-gout agents in their fixed dose combinations
- Fast removal of pollutants from vehicle emissions during cold-start stage
- Review Article
- Catalytic activities of heterogeneous catalysts obtained by copolymerization of metal-containing 2-(acetoacetoxy)ethyl methacrylate
- Antibiotic Residue in the Aquatic Environment: Status in Africa
- Regular Articles
- Mercury fractionation in gypsum using temperature desorption and mass spectrometric detection
- Phytosynthetic Ag doped ZnO nanoparticles: Semiconducting green remediators
- Epithelial–Mesenchymal Transition Induced by SMAD4 Activation in Invasive Growth Hormone-Secreting Adenomas
- Physicochemical properties of stabilized sewage sludge admixtures by modified steel slag
- In Vitro Cytotoxic and Antiproliferative Activity of Cydonia oblonga flower petals, leaf and fruit pellet ethanolic extracts. Docking simulation of the active flavonoids on anti-apoptotic protein Bcl-2
- Synthesis and Characterization of Pd exchanged MMT Clay for Mizoroki-Heck Reaction
- A new selective, and sensitive method for the determination of lixivaptan, a vasopressin 2 (V2)-receptor antagonist, in mouse plasma and its application in a pharmacokinetic study
- Anti-EGFL7 antibodies inhibit rat prolactinoma MMQ cells proliferation and PRL secretion
- Density functional theory calculations, vibration spectral analysis and molecular docking of the antimicrobial agent 6-(1,3-benzodioxol-5-ylmethyl)-5-ethyl-2-{[2-(morpholin-4-yl)ethyl] sulfanyl}pyrimidin-4(3H)-one
- Effect of Nano Zeolite on the Transformation of Cadmium Speciation and Its Uptake by Tobacco in Cadmium-contaminated Soil
- Effects and Mechanisms of Jinniu Capsule on Methamphetamine-Induced Conditioned Place Preference in Rats
- Calculating the Degree-based Topological Indices of Dendrimers
- Efficient optimization and mineralization of UV absorbers: A comparative investigation with Fenton and UV/H2O2
- Metabolites of Tryptophane and Phenylalanine as Markers of Small Bowel Ischemia-Reperfusion Injury
- Adsorption and determination of polycyclic aromatic hydrocarbons in water through the aggregation of graphene oxide
- The role of NR2C2 in the prolactinomas
- Chromium removal from industrial wastewater using Phyllostachys pubescens biomass loaded Cu-S nanospheres
- Hydrotalcite Anchored Ruthenium Catalyst for CO2 Hydrogenation Reaction
- Preparation of Calcium Fluoride using Phosphogypsum by Orthogonal Experiment
- The mechanism of antibacterial activity of corylifolinin against three clinical bacteria from Psoralen corylifolia L
- 2-formyl-3,6-bis(hydroxymethyl)phenyl benzoate in Electrochemical Dry Cell
- Electro-photocatalytic degradation of amoxicillin using calcium titanate
- Effect of Malus halliana Koehne Polysaccharides on Functional Constipation
- Structural Properties and Nonlinear Optical Responses of Halogenated Compounds: A DFT Investigation on Molecular Modelling
- DMFDMA catalyzed synthesis of 2-((Dimethylamino)methylene)-3,4-dihydro-9-arylacridin-1(2H)-ones and their derivatives: in-vitro antifungal, antibacterial and antioxidant evaluations
- Production of Methanol as a Fuel Energy from CO2 Present in Polluted Seawater - A Photocatalytic Outlook
- Study of different extraction methods on finger print and fatty acid of raw beef fat using fourier transform infrared and gas chromatography-mass spectrometry
- Determination of trace fluoroquinolones in water solutions and in medicinal preparations by conventional and synchronous fluorescence spectrometry
- Extraction and determination of flavonoids in Carthamus tinctorius
- Therapeutic Application of Zinc and Vanadium Complexes against Diabetes Mellitus a Coronary Disease: A review
- Study of calcined eggshell as potential catalyst for biodiesel formation using used cooking oil
- Manganese oxalates - structure-based Insights
- Topological Indices of H-Naphtalenic Nanosheet
- Long-Term Dissolution of Glass Fibers in Water Described by Dissolving Cylinder Zero-Order Kinetic Model: Mass Loss and Radius Reduction
- Topological study of the para-line graphs of certain pentacene via topological indices
- A brief insight into the prediction of water vapor transmissibility in highly impermeable hybrid nanocomposites based on bromobutyl/epichlorohydrin rubber blends
- Comparative sulfite assay by voltammetry using Pt electrodes, photometry and titrimetry: Application to cider, vinegar and sugar analysis
- MicroRNA delivery mediated by PEGylated polyethylenimine for prostate cancer therapy
- Reversible Fluorescent Turn-on Sensors for Fe3+ based on a Receptor Composed of Tri-oxygen Atoms of Amide Groups in Water
- Sonocatalytic degradation of methyl orange in aqueous solution using Fe-doped TiO2 nanoparticles under mechanical agitation
- Hydrotalcite Anchored Ruthenium Catalyst for CO2 Hydrogenation Reaction
- Production and Analysis of Recycled Ammonium Perrhenate from CMSX-4 superalloys
- Topical Issue on Agriculture
- New phosphorus biofertilizers from renewable raw materials in the aspect of cadmium and lead contents in soil and plants
- Survey of content of cadmium, calcium, chromium, copper, iron, lead, magnesium, manganese, mercury, sodium and zinc in chamomile and green tea leaves by electrothermal or flame atomizer atomic absorption spectrometry
- Biogas digestate – benefits and risks for soil fertility and crop quality – an evaluation of grain maize response
- A numerical analysis of heat transfer in a cross-current heat exchanger with controlled and newly designed air flows
- Freshwater green macroalgae as a biosorbent of Cr(III) ions
- The main influencing factors of soil mechanical characteristics of the gravity erosion environment in the dry-hot valley of Jinsha river
- Free amino acids in Viola tricolor in relation to different habitat conditions
- The influence of filler amount on selected properties of new experimental resin dental composite
- Effect of poultry wastewater irrigation on nitrogen, phosphorus and carbon contents in farmland soil
- Response of spring wheat to NPK and S fertilization. The content and uptake of macronutrients and the value of ionic ratios
- The Effect of Macroalgal Extracts and Near Infrared Radiation on Germination of Soybean Seedlings: Preliminary Research Results
- Content of Zn, Cd and Pb in purple moor-grass in soils heavily contaminated with heavy metals around a zinc and lead ore tailing landfill
- Topical Issue on Research for Natural Bioactive Products
- Synthesis of (±)-3,4-dimethoxybenzyl-4-methyloctanoate as a novel internal standard for capsinoid determination by HPLC-ESI-MS/MS(QTOF)
- Repellent activity of monoterpenoid esters with neurotransmitter amino acids against yellow fever mosquito, Aedes aegypti
- Effect of Flammulina velutipes (golden needle mushroom, eno-kitake) polysaccharides on constipation
- Bioassay-directed fractionation of a blood coagulation factor Xa inhibitor, betulinic acid from Lycopus lucidus
- Antifungal and repellent activities of the essential oils from three aromatic herbs from western Himalaya
- Chemical composition and microbiological evaluation of essential oil from Hyssopus officinalis L. with white and pink flowers
- Bioassay-guided isolation and identification of Aedes aegypti larvicidal and biting deterrent compounds from Veratrum lobelianum
- α-Terpineol, a natural monoterpene: A review of its biological properties
- Utility of essential oils for development of host-based lures for Xyleborus glabratus (Coleoptera: Curculionidae: Scolytinae), vector of laurel wilt
- Phenolic composition and antioxidant potential of different organs of Kazakh Crataegus almaatensis Pojark: A comparison with the European Crataegus oxyacantha L. flowers
- Isolation of eudesmane type sesquiterpene ketone from Prangos heyniae H.Duman & M.F.Watson essential oil and mosquitocidal activity of the essential oils
- Comparative analysis of the polyphenols profiles and the antioxidant and cytotoxicity properties of various blue honeysuckle varieties
- Special Issue on ICCESEN 2017
- Modelling world energy security data from multinomial distribution by generalized linear model under different cumulative link functions
- Pine Cone and Boron Compounds Effect as Reinforcement on Mechanical and Flammability Properties of Polyester Composites
- Artificial Neural Network Modelling for Prediction of SNR Effected by Probe Properties on Ultrasonic Inspection of Austenitic Stainless Steel Weldments
- Calculation and 3D analyses of ERR in the band crack front contained in a rectangular plate made of multilayered material
- Improvement of fuel properties of biodiesel with bioadditive ethyl levulinate
- Properties of AlSi9Cu3 metal matrix micro and nano composites produced via stir casting
- Investigation of Antibacterial Properties of Ag Doped TiO2 Nanofibers Prepared by Electrospinning Process
- Modeling of Total Phenolic contents in Various Tea samples by Experimental Design Methods
- Nickel doping effect on the structural and optical properties of indium sulfide thin films by SILAR
- The effect mechanism of Ginnalin A as a homeopathic agent on various cancer cell lines
- Excitation functions of proton induced reactions of some radioisotopes used in medicine
- Oxide ionic conductivity and microstructures of Pr and Sm co-doped CeO2-based systems
- Rapid Synthesis of Metallic Reinforced in Situ Intermetallic Composites in Ti-Al-Nb System via Resistive Sintering
- Oxidation Behavior of NiCr/YSZ Thermal Barrier Coatings (TBCs)
- Clustering Analysis of Normal Strength Concretes Produced with Different Aggregate Types
- Magnetic Nano-Sized Solid Acid Catalyst Bearing Sulfonic Acid Groups for Biodiesel Synthesis
- The biological activities of Arabis alpina L. subsp. brevifolia (DC.) Cullen against food pathogens
- Humidity properties of Schiff base polymers
- Free Vibration Analysis of Fiber Metal Laminated Straight Beam
- Comparative study of in vitro antioxidant, acetylcholinesterase and butyrylcholinesterase activity of alfalfa (Medicago sativa L.) collected during different growth stages
- Isothermal Oxidation Behavior of Gadolinium Zirconate (Gd2Zr2O7) Thermal Barrier Coatings (TBCs) produced by Electron Beam Physical Vapor Deposition (EB-PVD) technique
- Optimization of Adsorption Parameters for Ultra-Fine Calcite Using a Box-Behnken Experimental Design
- The Microstructural Investigation of Vermiculite-Infiltrated Electron Beam Physical Vapor Deposition Thermal Barrier Coatings
- Modelling Porosity Permeability of Ceramic Tiles using Fuzzy Taguchi Method
- Experimental and theoretical study of a novel naphthoquinone Schiff base
- Physicochemical properties of heat treated sille stone for ceramic industry
- Sand Dune Characterization for Preparing Metallurgical Grade Silicon
- Catalytic Applications of Large Pore Sulfonic Acid-Functionalized SBA-15 Mesoporous Silica for Esterification
- One-photon Absorption Characterizations, Dipole Polarizabilities and Second Hyperpolarizabilities of Chlorophyll a and Crocin
- The Optical and Crystallite Characterization of Bilayer TiO2 Films Coated on Different ITO layers
- Topical Issue on Bond Activation
- Metal-mediated reactions towards the synthesis of a novel deaminolysed bisurea, dicarbamolyamine
- The structure of ortho-(trifluoromethyl)phenol in comparison to its homologues – A combined experimental and theoretical study
- Heterogeneous catalysis with encapsulated haem and other synthetic porphyrins: Harnessing the power of porphyrins for oxidation reactions
- Recent Advances on Mechanistic Studies on C–H Activation Catalyzed by Base Metals
- Reactions of the organoplatinum complex [Pt(cod) (neoSi)Cl] (neoSi = trimethylsilylmethyl) with the non-coordinating anions SbF6– and BPh4–
- Erratum
- Investigation on Two Compounds of O, O’-dithiophosphate Derivatives as Corrosion Inhibitors for Q235 Steel in Hydrochloric Acid Solution
Articles in the same Issue
- Regular Articles
- The effect of CuO modification for a TiO2 nanotube confined CeO2 catalyst on the catalytic combustion of butane
- The preparation and antibacterial activity of cellulose/ZnO composite: a review
- Linde Type A and nano magnetite/NaA zeolites: cytotoxicity and doxorubicin loading efficiency
- Performance and thermal decomposition analysis of foaming agent NPL-10 for use in heavy oil recovery by steam injection
- Spectroscopic (FT-IR, FT-Raman, UV, 1H and 13C NMR) insights, electronic profiling and DFT computations on ({(E)-[3-(1H-imidazol-1-yl)-1-phenylpropylidene] amino}oxy)(4-nitrophenyl)methanone, an imidazole-bearing anti-Candida agent
- A Simplistic Preliminary Assessment of Ginstling-Brounstein Model for Solid Spherical Particles in the Context of a Diffusion-Controlled Synthesis
- M-Polynomials And Topological Indices Of Zigzag And Rhombic Benzenoid Systems
- Photochemical Transformation of some 3-benzyloxy-2-(benzo[b]thiophen-2-yl)-4Hchromen-4-ones: A Remote Substituent Effect
- Dynamic Changes of Secondary Metabolites and Antioxidant Activity of Ligustrum lucidum During Fruit Growth
- Studies on the flammability of polypropylene/ammonium polyphosphate and montmorillonite by using the cone calorimeter test
- DSC, FT-IR, NIR, NIR-PCA and NIR-ANOVA for determination of chemical stability of diuretic drugs: impact of excipients
- Antioxidant and Hepatoprotective Effects of Methanolic Extracts of Zilla spinosa and Hammada elegans Against Carbon Tetrachlorideinduced Hepatotoxicity in Rats
- Prunus cerasifera Ehrh. fabricated ZnO nano falcates and its photocatalytic and dose dependent in vitro bio-activity
- Organic biocides hosted in layered double hydroxides: enhancing antimicrobial activity
- Experimental study on the regulation of the cholinergic pathway in renal macrophages by microRNA-132 to alleviate inflammatory response
- Synthesis, characterization, in-vitro antimicrobial properties, molecular docking and DFT studies of 3-{(E)-[(4,6-dimethylpyrimidin-2-yl)imino]methyl} naphthalen-2-ol and Heteroleptic Mn(II), Co(II), Ni(II) and Zn(II) complexes
- M-Polynomials and Topological Indices of Dominating David Derived Networks
- Human Health Risk Assessment of Trace Metals in Surface Water Due to Leachate from the Municipal Dumpsite by Pollution Index: A Case Study from Ndawuse River, Abuja, Nigeria
- Analysis of Bowel Diseases from Blood Serum by Autofluorescence and Atomic Force Microscopy Techniques
- Hydrographic parameters and distribution of dissolved Cu, Ni, Zn and nutrients near Jeddah desalination plant
- Relationships between diatoms and environmental variables in industrial water biotopes of Trzuskawica S.A. (Poland)
- Optimum Conversion of Major Ginsenoside Rb1 to Minor Ginsenoside Rg3(S) by Pulsed Electric Field-Assisted Acid Hydrolysis Treatment
- Antioxidant, Anti-microbial Properties and Chemical Composition of Cumin Essential Oils Extracted by Three Methods
- Regulatory mechanism of ulinastatin on autophagy of macrophages and renal tubular epithelial cells
- Investigation of the sustained-release mechanism of hydroxypropyl methyl cellulose skeleton type Acipimox tablets
- Bio-accumulation of Polycyclic Aromatic Hydrocarbons in the Grey Mangrove (Avicennia marina) along Arabian Gulf, Saudi Coast
- Dynamic Change of Secondary Metabolites and spectrum-effect relationship of Malus halliana Koehne flowers during blooming
- Lipids constituents from Gardenia aqualla Stapf & Hutch
- Effect of using microwaves for catalysts preparation on the catalytic acetalization of glycerol with furfural to obtain fuel additives
- Effect of Humic Acid on the Degradation of Methylene Blue by Peroxymonosulfate
- Serum containing drugs of Gua Lou Xie Bai decoction (GLXB-D) can inhibit TGF-β1-Induced Epithelial to Mesenchymal Transition (EMT) in A549 Cells
- Antiulcer Activity of Different Extracts of Anvillea garcinii and Isolation of Two New Secondary Metabolites
- Analysis of Metabolites in Cabernet Sauvignon and Shiraz Dry Red Wines from Shanxi by 1H NMR Spectroscopy Combined with Pattern Recognition Analysis
- Can water temperature impact litter decomposition under pollution of copper and zinc mixture
- Released from ZrO2/SiO2 coating resveratrol inhibits senescence and oxidative stress of human adipose-derived stem cells (ASC)
- Validated thin-layer chromatographic method for alternative and simultaneous determination of two anti-gout agents in their fixed dose combinations
- Fast removal of pollutants from vehicle emissions during cold-start stage
- Review Article
- Catalytic activities of heterogeneous catalysts obtained by copolymerization of metal-containing 2-(acetoacetoxy)ethyl methacrylate
- Antibiotic Residue in the Aquatic Environment: Status in Africa
- Regular Articles
- Mercury fractionation in gypsum using temperature desorption and mass spectrometric detection
- Phytosynthetic Ag doped ZnO nanoparticles: Semiconducting green remediators
- Epithelial–Mesenchymal Transition Induced by SMAD4 Activation in Invasive Growth Hormone-Secreting Adenomas
- Physicochemical properties of stabilized sewage sludge admixtures by modified steel slag
- In Vitro Cytotoxic and Antiproliferative Activity of Cydonia oblonga flower petals, leaf and fruit pellet ethanolic extracts. Docking simulation of the active flavonoids on anti-apoptotic protein Bcl-2
- Synthesis and Characterization of Pd exchanged MMT Clay for Mizoroki-Heck Reaction
- A new selective, and sensitive method for the determination of lixivaptan, a vasopressin 2 (V2)-receptor antagonist, in mouse plasma and its application in a pharmacokinetic study
- Anti-EGFL7 antibodies inhibit rat prolactinoma MMQ cells proliferation and PRL secretion
- Density functional theory calculations, vibration spectral analysis and molecular docking of the antimicrobial agent 6-(1,3-benzodioxol-5-ylmethyl)-5-ethyl-2-{[2-(morpholin-4-yl)ethyl] sulfanyl}pyrimidin-4(3H)-one
- Effect of Nano Zeolite on the Transformation of Cadmium Speciation and Its Uptake by Tobacco in Cadmium-contaminated Soil
- Effects and Mechanisms of Jinniu Capsule on Methamphetamine-Induced Conditioned Place Preference in Rats
- Calculating the Degree-based Topological Indices of Dendrimers
- Efficient optimization and mineralization of UV absorbers: A comparative investigation with Fenton and UV/H2O2
- Metabolites of Tryptophane and Phenylalanine as Markers of Small Bowel Ischemia-Reperfusion Injury
- Adsorption and determination of polycyclic aromatic hydrocarbons in water through the aggregation of graphene oxide
- The role of NR2C2 in the prolactinomas
- Chromium removal from industrial wastewater using Phyllostachys pubescens biomass loaded Cu-S nanospheres
- Hydrotalcite Anchored Ruthenium Catalyst for CO2 Hydrogenation Reaction
- Preparation of Calcium Fluoride using Phosphogypsum by Orthogonal Experiment
- The mechanism of antibacterial activity of corylifolinin against three clinical bacteria from Psoralen corylifolia L
- 2-formyl-3,6-bis(hydroxymethyl)phenyl benzoate in Electrochemical Dry Cell
- Electro-photocatalytic degradation of amoxicillin using calcium titanate
- Effect of Malus halliana Koehne Polysaccharides on Functional Constipation
- Structural Properties and Nonlinear Optical Responses of Halogenated Compounds: A DFT Investigation on Molecular Modelling
- DMFDMA catalyzed synthesis of 2-((Dimethylamino)methylene)-3,4-dihydro-9-arylacridin-1(2H)-ones and their derivatives: in-vitro antifungal, antibacterial and antioxidant evaluations
- Production of Methanol as a Fuel Energy from CO2 Present in Polluted Seawater - A Photocatalytic Outlook
- Study of different extraction methods on finger print and fatty acid of raw beef fat using fourier transform infrared and gas chromatography-mass spectrometry
- Determination of trace fluoroquinolones in water solutions and in medicinal preparations by conventional and synchronous fluorescence spectrometry
- Extraction and determination of flavonoids in Carthamus tinctorius
- Therapeutic Application of Zinc and Vanadium Complexes against Diabetes Mellitus a Coronary Disease: A review
- Study of calcined eggshell as potential catalyst for biodiesel formation using used cooking oil
- Manganese oxalates - structure-based Insights
- Topological Indices of H-Naphtalenic Nanosheet
- Long-Term Dissolution of Glass Fibers in Water Described by Dissolving Cylinder Zero-Order Kinetic Model: Mass Loss and Radius Reduction
- Topological study of the para-line graphs of certain pentacene via topological indices
- A brief insight into the prediction of water vapor transmissibility in highly impermeable hybrid nanocomposites based on bromobutyl/epichlorohydrin rubber blends
- Comparative sulfite assay by voltammetry using Pt electrodes, photometry and titrimetry: Application to cider, vinegar and sugar analysis
- MicroRNA delivery mediated by PEGylated polyethylenimine for prostate cancer therapy
- Reversible Fluorescent Turn-on Sensors for Fe3+ based on a Receptor Composed of Tri-oxygen Atoms of Amide Groups in Water
- Sonocatalytic degradation of methyl orange in aqueous solution using Fe-doped TiO2 nanoparticles under mechanical agitation
- Hydrotalcite Anchored Ruthenium Catalyst for CO2 Hydrogenation Reaction
- Production and Analysis of Recycled Ammonium Perrhenate from CMSX-4 superalloys
- Topical Issue on Agriculture
- New phosphorus biofertilizers from renewable raw materials in the aspect of cadmium and lead contents in soil and plants
- Survey of content of cadmium, calcium, chromium, copper, iron, lead, magnesium, manganese, mercury, sodium and zinc in chamomile and green tea leaves by electrothermal or flame atomizer atomic absorption spectrometry
- Biogas digestate – benefits and risks for soil fertility and crop quality – an evaluation of grain maize response
- A numerical analysis of heat transfer in a cross-current heat exchanger with controlled and newly designed air flows
- Freshwater green macroalgae as a biosorbent of Cr(III) ions
- The main influencing factors of soil mechanical characteristics of the gravity erosion environment in the dry-hot valley of Jinsha river
- Free amino acids in Viola tricolor in relation to different habitat conditions
- The influence of filler amount on selected properties of new experimental resin dental composite
- Effect of poultry wastewater irrigation on nitrogen, phosphorus and carbon contents in farmland soil
- Response of spring wheat to NPK and S fertilization. The content and uptake of macronutrients and the value of ionic ratios
- The Effect of Macroalgal Extracts and Near Infrared Radiation on Germination of Soybean Seedlings: Preliminary Research Results
- Content of Zn, Cd and Pb in purple moor-grass in soils heavily contaminated with heavy metals around a zinc and lead ore tailing landfill
- Topical Issue on Research for Natural Bioactive Products
- Synthesis of (±)-3,4-dimethoxybenzyl-4-methyloctanoate as a novel internal standard for capsinoid determination by HPLC-ESI-MS/MS(QTOF)
- Repellent activity of monoterpenoid esters with neurotransmitter amino acids against yellow fever mosquito, Aedes aegypti
- Effect of Flammulina velutipes (golden needle mushroom, eno-kitake) polysaccharides on constipation
- Bioassay-directed fractionation of a blood coagulation factor Xa inhibitor, betulinic acid from Lycopus lucidus
- Antifungal and repellent activities of the essential oils from three aromatic herbs from western Himalaya
- Chemical composition and microbiological evaluation of essential oil from Hyssopus officinalis L. with white and pink flowers
- Bioassay-guided isolation and identification of Aedes aegypti larvicidal and biting deterrent compounds from Veratrum lobelianum
- α-Terpineol, a natural monoterpene: A review of its biological properties
- Utility of essential oils for development of host-based lures for Xyleborus glabratus (Coleoptera: Curculionidae: Scolytinae), vector of laurel wilt
- Phenolic composition and antioxidant potential of different organs of Kazakh Crataegus almaatensis Pojark: A comparison with the European Crataegus oxyacantha L. flowers
- Isolation of eudesmane type sesquiterpene ketone from Prangos heyniae H.Duman & M.F.Watson essential oil and mosquitocidal activity of the essential oils
- Comparative analysis of the polyphenols profiles and the antioxidant and cytotoxicity properties of various blue honeysuckle varieties
- Special Issue on ICCESEN 2017
- Modelling world energy security data from multinomial distribution by generalized linear model under different cumulative link functions
- Pine Cone and Boron Compounds Effect as Reinforcement on Mechanical and Flammability Properties of Polyester Composites
- Artificial Neural Network Modelling for Prediction of SNR Effected by Probe Properties on Ultrasonic Inspection of Austenitic Stainless Steel Weldments
- Calculation and 3D analyses of ERR in the band crack front contained in a rectangular plate made of multilayered material
- Improvement of fuel properties of biodiesel with bioadditive ethyl levulinate
- Properties of AlSi9Cu3 metal matrix micro and nano composites produced via stir casting
- Investigation of Antibacterial Properties of Ag Doped TiO2 Nanofibers Prepared by Electrospinning Process
- Modeling of Total Phenolic contents in Various Tea samples by Experimental Design Methods
- Nickel doping effect on the structural and optical properties of indium sulfide thin films by SILAR
- The effect mechanism of Ginnalin A as a homeopathic agent on various cancer cell lines
- Excitation functions of proton induced reactions of some radioisotopes used in medicine
- Oxide ionic conductivity and microstructures of Pr and Sm co-doped CeO2-based systems
- Rapid Synthesis of Metallic Reinforced in Situ Intermetallic Composites in Ti-Al-Nb System via Resistive Sintering
- Oxidation Behavior of NiCr/YSZ Thermal Barrier Coatings (TBCs)
- Clustering Analysis of Normal Strength Concretes Produced with Different Aggregate Types
- Magnetic Nano-Sized Solid Acid Catalyst Bearing Sulfonic Acid Groups for Biodiesel Synthesis
- The biological activities of Arabis alpina L. subsp. brevifolia (DC.) Cullen against food pathogens
- Humidity properties of Schiff base polymers
- Free Vibration Analysis of Fiber Metal Laminated Straight Beam
- Comparative study of in vitro antioxidant, acetylcholinesterase and butyrylcholinesterase activity of alfalfa (Medicago sativa L.) collected during different growth stages
- Isothermal Oxidation Behavior of Gadolinium Zirconate (Gd2Zr2O7) Thermal Barrier Coatings (TBCs) produced by Electron Beam Physical Vapor Deposition (EB-PVD) technique
- Optimization of Adsorption Parameters for Ultra-Fine Calcite Using a Box-Behnken Experimental Design
- The Microstructural Investigation of Vermiculite-Infiltrated Electron Beam Physical Vapor Deposition Thermal Barrier Coatings
- Modelling Porosity Permeability of Ceramic Tiles using Fuzzy Taguchi Method
- Experimental and theoretical study of a novel naphthoquinone Schiff base
- Physicochemical properties of heat treated sille stone for ceramic industry
- Sand Dune Characterization for Preparing Metallurgical Grade Silicon
- Catalytic Applications of Large Pore Sulfonic Acid-Functionalized SBA-15 Mesoporous Silica for Esterification
- One-photon Absorption Characterizations, Dipole Polarizabilities and Second Hyperpolarizabilities of Chlorophyll a and Crocin
- The Optical and Crystallite Characterization of Bilayer TiO2 Films Coated on Different ITO layers
- Topical Issue on Bond Activation
- Metal-mediated reactions towards the synthesis of a novel deaminolysed bisurea, dicarbamolyamine
- The structure of ortho-(trifluoromethyl)phenol in comparison to its homologues – A combined experimental and theoretical study
- Heterogeneous catalysis with encapsulated haem and other synthetic porphyrins: Harnessing the power of porphyrins for oxidation reactions
- Recent Advances on Mechanistic Studies on C–H Activation Catalyzed by Base Metals
- Reactions of the organoplatinum complex [Pt(cod) (neoSi)Cl] (neoSi = trimethylsilylmethyl) with the non-coordinating anions SbF6– and BPh4–
- Erratum
- Investigation on Two Compounds of O, O’-dithiophosphate Derivatives as Corrosion Inhibitors for Q235 Steel in Hydrochloric Acid Solution