Abstract
During the last ten years, base metals have become very attractive to the organometallic and catalytic community on activation of C-H bonds for their catalytic functionalization. In contrast to the statement that base metals differ on their mode of action most of the manuscripts mistakenly rely on well-studied mechanisms for precious metals while proposing plausible mechanisms. Consequently, few literature examples are found where a thorough mechanistic investigation have been conducted with strong support either by theoretical calculations or experimentation. Therefore, we consider of highly scientific interest reviewing the last advances on mechanistic studies on Fe, Co and Mn on C-H functionalization in order to get a deep insight on how these systems could be handle to either enhance their catalytic activity or to study their own systems in a similar systematic fashion. Thus, in this review we try to cover the most insightful articles for mechanistic studies on C-H activation catalyzed by Fe, Co and Mn based on kinetic and competition experiments, stoichiometric reactions, isolation of intermediates and theoretical calculations.
1 Introduction
Application in organic synthesis of transition metal-catalyzed cross coupling reactions has been positioned as one of the most important breakthroughs during the new millennia. The seminal works based on Pd–catalysts in the 70’s by Heck, Noyori and Suzuki set a new frontier between homogeneous catalysis and synthetic organic chemistry [1-5]. Late transition metals, mostly the precious metals, stand as the most versatile catalytic systems for a variety of functionalization reactions demonstrating their robustness in several applications in organic synthesis [612]. Owing to the common interest in the catalysts mode of action by many research groups, nowadays we have a wide understanding of the mechanistic aspects of precious metal-catalyzed reactions. This has led to a great impact on the catalytic performance in different reactions that previously had been thought to be thermodynamically and kinetically inaccessible by changes in the ligands scaffolds and/or addition of co-catalytic systems.
On the other hand, during the last decade, base metal catalysts (e.g. Fe, Mn and Co catalytic systems) have shown a rapid increase in applicability in homogeneous catalysis, specifically on C–H activation reactions; having similar or even better reactivity than the precious metal-based catalysts [13]. Several research groups have been attracted in the base metal catalysts application in organic synthesis due to their most remarkable properties such as non-toxicity, environmental friendly, and relative high abundancy in the Earth crust, in addition to their low cost. However, since their premature blooming on this field, organometallic research groups have only recently focused their attention on mechanistic studies of these base metals. This has come together with the challenges on handling organometallic species with base metals due to the differences in reactivity when compared with their heavy counterparts. For instance, the formation of paramagnetic species, single electron transfer (SET) processes and higher nucleophilic character of reactive species, reduce considerably the common experimental procedures for mechanistic investigations. Therefore, new experimental strategies and indirect evidences on each catalytic step have been put together in order to understand such intriguing mechanisms for the improvement of those catalytic systems. Those investigations might contribute to the building of a new catalytic era depending on earth abundant elements for superior catalysts.
In this review, we cover the experimental evidence for the catalytic mechanisms of the C–H activation/ functionalization reactions catalyzed by iron, cobalt and manganese. The catalytic performance of these metals has shown a steady increase during the last 5 years, therefore, we will try to merge the mechanistic details from a critical perspective in order to have a general idea of the key points for improvement on these catalytic systems, remarking on the possibilities to enhance their performance in synthetic organic chemistry.
2 Mechanistic Considerations on C–H Functionalization
The constant improvement of technical equipment and laboratory expertise has strengthened the scientific skills to understand the mechanistic landscape of a chemical reaction. During the last decades, due to the burgeoning interest on catalytic C–H functionalization systems [14], many mechanistic aspects are known to set bases at the time of scrutinizing a novel chemical transformation. Owing to the deep understanding on the elementary steps in homogeneous catalysis, many researchers have improved considerably the activity and performances in catalytic systems, even for systems which only worked under stoichiometric regimes at the time of discovery. In catalytic systems for C–H functionalization, the anticipation of reaction mechanisms has led to a rapid exploitation of diverse pre-catalysts either varying the ligands backbones or biasing the substrate in order to get better activity and/or selectivity, respectively. In this section we describe briefly the broadly accepted mechanistic facts in the catalytic community in order to assess more easily the following sections during the discussion of each mechanistic proposal.
2.1 Directing groups for selective C–H activation
Owing to the complexity of organic substrates, several types of C–H bonds can be found in their chemical skeletons. Normally, the C–H activation favors the less energetically (i.e. more reactive) C–H bond in the structure, however, in terms of selectivity, controlling reactivity on one single bond is very challenging [15,16]. For this reason, the use of a donor group (DG) as a directing group is a very broadly applied strategy to selectively activate C–H bonds [17-20]. The DG is commonly a Lewis Base, and in terms of coordination chemistry, it is a ligand and coordinates thus to the metal center in order to bring the metal in close proximity towards the targeted bond for activation, even if it is not the most reactive at the molecule (Figure 2.1). One of the drawbacks of this method is the strict necessity of having a side DG to achieve the activation, however, recently this method has worked with labile DG which can be conveniently removed by a post-functionalization without ending at the product’s structure (Figure 2.1). Importantly, the DG should behave as a labile or semi-labile ligand at the metal center in order to not block a coordination site at the metal center permanently (i.e. catalyst poisoning). Therefore, mechanistically, the molecules having DGs must coordinate to the metal center, preceding the C–H activation, either by ligand substitution or simple coordination reaction.

Mode of action of the donor/directing group (DG) for the selective C–H activation.
2.2 Different mechanisms for C–H activation [21-24]
During the last decades many efforts on catalytic investigations on late-transition metals (e.g. Ru, Pd, Pt, Rh, Ir) have contributed to some generalities on the elementary steps on how a C–H bond is activated. Within the different mechanisms there are some well established, such as oxidative addition (OA), electrophilic aromatic substitution (SEAr), σ-bond metathesis (σBM), single electron transfer (SET); whereas others have been recently introduced in the field, such as concerted metalation deprotonation (CMD), and base-assisted intramolecular electrophilic-type substitution (BIES). Herein, we give a short description of each one of them:
Oxidative addition: it commonly occurs by having an electron-rich metal center (i.e. low-oxidation state) interacting strongly with the C–H bond in a synergistic fashion via a σ-C–H bond coordination to the metal and a dπ-backdonation to the σ*-C–H orbital, lowering its bond order, resulting with the bond cleavage in a homolytic manner and oxidizing the metal center in two units (Figure 2.2a). This will lead to the formation of a reactive organometallic species possessing a hydride and alkyl/ aryl ligands at the oxidized metal center.

Different mechanisms for C–H activation by a metal complex.
Electrophilic aromatic substitution (SEAr): Since the metallic centers could act as Lewis acids, this activation reaction is based on the electronic interaction between the π-electronic cloud of the substrate and the electrophilic metal center forming a new C(aryl)–M bond without changing the metal oxidation state (Figure 2.2b). This enhances tremendously the acidity on the vicinal C(aryl)–H bond which could be easily lost as a proton by re-aromatization or by the action of a base. In the case where the base is in the coordination sphere of the metal center, this mechanism is also known as a base-assisted intramolecular electrophilic-type substitution (Figure 2.2f).
σ-bond metathesis: This mechanism is favoured for electron poor metal centers (i.e. high oxidation state), since the bond cleavage and bond forming events go through a concerted mechanism via a four-membered metalacycle transition state without changing the oxidation state at the metal center (Figure 2.2c). As a result, new C–M and C–H bonds are formed without involving any metal hydride species.
Single electron transfer (SET): It is a two-electron process divided into two elementary steps involving one electron each. First a homolytic cleavage of the C–H bond occurs, forming the metal-hydride species and a carbon-centered radical (Figure 2.2d). Then, a recombination reaction between the radical and the metal center furnishes the alkyl/aryl-hydride metal oxidized species.
Concerted metalation deprotonation (CMD): This mechanism consists on the C–H activation by a close proximity of this bond to the metal center, usually promoted by a directing donor group. At the same time the metal center possesses a coordinated base which promotes the deprotonation of the C–H bond in a concerted fashion while the C–M bond is forming (Figure 2.2e).
2.3 Kinetic Isotope Effect (KIE) [25,26]
Herein, we intend to highlight the importance of KIE experiments for evaluating the C–H activation mechanism and we strongly suggest the reader to go to the cited references and references therein to gain more details about KIE regimes and scenarios for their own analyses. Within the mechanistic studies, the definition of the rate determining step (RDS) is often a time consuming task, carrying out a variety of experiments inter-correlating the results for an agreement on the most plausible mode of action. Recently, theoretical support by DFT calculations has helped to define the RDS, although, it is still as a bottle neck for mechanistic analyses. In C–H activation reactions, one can conduct a series of experiments known as kinetic isotope effect (KIE), which is based on the high mass difference between the hydrogen isotopes 1H and 2H (i.e. 200%). This difference makes the bond cleavage rate varies considerably since it depends directly on the bond’s reduced mass. However, because a catalytic cycle usually involves several elementary steps and the KIE is an experiment evaluating the reactants and products concentration, the KIE analysis is a result of the global reaction, and it can be misinterpreted. For instance, the obtained value could be influenced by the actual RDS in which the C–H cleavage could even not be involved. The evaluation of the KIE is often based on the ratio between the kinetic constants for the non-deuterated (kH) and deuterated (kD) substrates. Nevertheless, it is also estimated indirectly by the measurement of concentration ratio from either the products or the starting substrates.
After carrying out a KIE experiment obtaining a kH/kD ratio, researchers try to perform experiments under different reaction conditions (i.e. inter- vs intra-molecular) in order to have strong support on the mechanistic evaluation (Figure 2.3). However, in some cases a large difference could be obtained in the KIE values for each experiment providing different information. For instance, when kinetic constants are determined in parallel reactions, it does provide very strong support for the C–H cleavage being the RDS with a primary KIE (i.e. kH/kD >1). On the other hand, the intermolecular KIE experiment conducted under the same reaction vessel could also provide a primary KIE value without necessarily being the C–H activation the RDS since either it could be involved in the product-determining step, also known as a ‘selectivity-determining step’, or it could be related to other elementary steps associated with the substrate itself (e.g. coordination/decoordination to the metal center).
![Figure 2.3 Isotope labeled experiments for determination of the kinetic isotope effect (KIE) on C–H activation reactions. Adapted from [26].](/document/doi/10.1515/chem-2018-0102/asset/graphic/j_chem-2018-0102_fig_003.jpg)
Isotope labeled experiments for determination of the kinetic isotope effect (KIE) on C–H activation reactions. Adapted from [26].
The evaluation of the KIE is even more complex when the C–H activation reaction is reversible in nature, which is often the case observed for base-metal catalyzed reactions. For instance, systems with a primary KIE could be related to how the equilibrium is affected by the isotopic labeling altering the product determining step and not the RDS itself (vide supra), thus depending on the kinetics of the other elementary steps on the catalytic cycle.
3 Iron-Based Systems
Despite the first investigations on iron-based C–H activation stoichiometric reactions since the 1960s [2736], it was only after 2008 that the first discovery of iron catalyzed C–H bond activation appeared in the literature [37]. Prior to this report, the authors found an interesting side product, 2-biphenylpyridine, formed in 8% yield during the synthesis of 2-phenylpyridine by cross-coupling between 2-bromopyridine and a phenylzinc reagent (Scheme 3.1) [38]. Under the specified conditions, the reaction would never produce this double phenylation side product. However, they realized that i) oxygen, from an air leakage into the system acted as the oxidant necessary to achieve this transformation, and ii) the reaction required 2,2′-bipyridine as a ligand, which could be formed in-situ by the homocoupling of the 2-bromopyridine substrate.
![Scheme 3.1 Discovery of C–H arylation catalyzed by iron. Adapted from [38].](/document/doi/10.1515/chem-2018-0102/asset/graphic/j_chem-2018-0102_fig_004.jpg)
Discovery of C–H arylation catalyzed by iron. Adapted from [38].
Afterwards, the scope of the reaction was studied with the optimized conditions to furnish a quantitative yield for the C–H functionalized product. Benzoquinoline, 2-phenylpyridine, 2-phenylpyrimidine, 4-phenylpyrimidine, and 1-phenyl-1H-pyrazole reacted well with phenylzinc as a coupling partner, and 2,3-dichloroisobutane (DCIB) as an oxidant at temperatures as low as 0°C. The latter was presented as an important breakthrough in this field due to the stark contrast of the reaction temperatures when compared with the ones needed for precious metals as catalysts, which are often elevated [20,39-41]. This striking result is owing to the high reactivity of the putative alkyliron intermediates formed in the catalytic cycle (TON as high as 6500 has been reported) [42]. Additionally, the intrinsic inertness of a C–H bond, makes Fe-catalyzed C–H activations more chemoselective compared to the equivalent cross-coupling of organic halides substrates. The reaction was sensitive to steric hindrance but insensitive to the electronic effect of the substituents on the aryl group. In the substrates in which two ortho-C−H bonds were available, a mixture of mono and diarylated products were formed. On the other hand, when a meta substituent was present, there was no arylation on the sterically hindered C−H site at all, yielding the monoarylated product exclusively (Scheme 3.2). This report thus presented a novel class of iron-catalyzed reaction and set the stage for this C–C cross-coupling reaction through C–H activation catalyzed by this metal. Regarding the catalytic cycle, it is assumed that phenanthroline coordinates to iron, TMEDA coordinates to zinc, and DCIB acts as a mild oxidant of a reduced iron intermediate back to iron(III) (vide infra).
![Scheme 3.2 N-Directed C–H arylation catalyzed by iron. Adapted from [37].](/document/doi/10.1515/chem-2018-0102/asset/graphic/j_chem-2018-0102_fig_005.jpg)
N-Directed C–H arylation catalyzed by iron. Adapted from [37].
Since this seminal work by Nakamura and co-workers, there has been a steady increase in the investigations on Fe-catalyzed C–H bond activation reactions. Indeed, to date there are three reviews devoted to C–H functionalization catalyzed by iron [38,43,44]. However, concerning mechanistic aspects of this transformation, there have been few reports dedicated to getting insights into the catalytic cycle and the isolation and/or characterization of plausible catalytic intermediates. Basically, iron-mediated C−H activation can be summarized into two types: (1) oxidative addition of a C−H bond to a low-valent iron complex to form a C−Fe−H bond and (2) σ-bond metathesis or deprotonative metalation, in which the R group in the Fe−R complex removes the hydrogen atom as a proton (see Figure 2.2).
In 2011, Nakamura and co-workers reported the iron-catalyzed N-directed C–H activation for the ortho arylation of aryl pyridines and imines with Grignard reagents as coupling partners [45]. This methodology allowed them to obtain the ortho arylated products in good yields (Scheme 3.3) after 5 minutes of reaction at 0°C. Such a fast reaction was possible by carrying out a slow addition of Grignard reagent in order to avoid the reduction of aryliron species to Fe(0) which would poison the catalyst.
![Scheme 3.3 Ortho C–H arylation of arylpyridines and arylimines catalyzed by iron. Adapted from [45].](/document/doi/10.1515/chem-2018-0102/asset/graphic/j_chem-2018-0102_fig_006.jpg)
Ortho C–H arylation of arylpyridines and arylimines catalyzed by iron. Adapted from [45].
Intrigued by the catalyst mode of action, the authors performed mechanistic studies of this iron-catalyzed C−H functionalization with aryl Grignard reagents. Initially, a stoichiometric reaction between Fe(acac)3 (acac = acetylacetonate) and dtbpy (4,4′-di-tert-butyl-2,2′-dipyridyl) as a ligand together with slow addition of PhMgBr generated a metal intermediate, which was indirectly characterized by quenching with D2O to obtain the ortho-deuterated product in 80% yield with D-incorporation of 80%. In the same reaction with the absence of Fe(acac)3 or dtbpy, neither D-incorporation nor phenylation occurred. This result suggests the formation of a stable ferracycle intermediate Fe-I, which undergoes reductive elimination upon interaction with DCIB (Scheme 3.4). Further KIE experiments were carried out to gain a better understanding on the catalyst mode of action. Thus, two ortho C–H arylation with PhMgBr under catalytic conditions were performed: i) with mono ortho-deuterated 2-phenylpyridine as the sole substrate, and ii) a mixture of the same equivalents of penta-deuterated 2-phenylpyridine and non-deuterated 2-phenylpyridine. The KIE for both intra- and intermolecular reactions were similar, 3.1 and 3.4 for the former and latter, respectively. These results suggest that the C−H cleavage is the first irreversible step of the catalytic cycle (Scheme 3.5) [45].
![Scheme 3.4 Reaction of putative intermediate Fe-I with D2O. Adapted from [45].](/document/doi/10.1515/chem-2018-0102/asset/graphic/j_chem-2018-0102_fig_007.jpg)
Reaction of putative intermediate Fe-I with D2O. Adapted from [45].
![Scheme 3.5 KIEs in N-directed arylation of aryl pyridines catalyzed by iron. Adapted from [45].](/document/doi/10.1515/chem-2018-0102/asset/graphic/j_chem-2018-0102_fig_008.jpg)
KIEs in N-directed arylation of aryl pyridines catalyzed by iron. Adapted from [45].
Based on these experiments to elucidate a possible mechanism, the authors proposed a catalytic cycle displayed in the Scheme 3.6 [45]. Once the dtbpy ligand coordinates to iron followed by reaction with the Grignard reagent to form the Fe-II species (different arylmagnesiumbromide reagents work in the reaction and are depicted in the Scheme 3.6), the reversible coordination of the pyridyl group to iron takes place to yield the Fe-III species. Then, irreversible metalation of the ortho C−H bond with concomitant elimination of an arene through a metalation deprotonation process occurs to give Fe-IV species. This intermediate undergoes reductive elimination to form the carbon−carbon bond upon interaction with DCIB to generate the desired coupling product, isobutene, and dichloroiron(II) species Fe-V. Finally, the catalytically active species Fe-II is regenerated by transmetalation of Fe-V with aryl Grignard reagent to complete the catalytic cycle. Worth noticing is the reductive elimination step might be proceeded by either one or more steps. The reaction of organoiron species with DCIB either goes at the same time or after the C−C bond-forming event to regenerate the iron(II) species.
![Scheme 3.6 Mechanism proposed for N-directed C–H arylation of aryl pyridines catalyzed by iron. Adapted from [45].](/document/doi/10.1515/chem-2018-0102/asset/graphic/j_chem-2018-0102_fig_009.jpg)
Mechanism proposed for N-directed C–H arylation of aryl pyridines catalyzed by iron. Adapted from [45].
Interested in the results obtained by Nakamura and co-workers, Chen and collaborators reported in 2016 the use of extensive density functional theory and high-level ab initio coupled cluster calculations to shed light on the mechanism of iron-mediated C–H activations [46]. Their key mechanistic discovery for C−H arylation reactions revealed a two-state reactivity (TSR) scenario in which a low-spin Fe(II) singlet state, which is initially an excited state, crosses over a high-spin ground state and promotes C−H bond cleavage. This result seems plausible since Holland and co-workers had previously described the spin acceleration effect for several fundamental organometallic reactions such as β-hydride elimination [47]. The authors also found that the ligand sphere of iron plays a crucial role in the TSR mechanism by stabilization of the reactive low-spin state at the iron center mediating the C−H activation. This was in agreement with the unique ligand effect observed in experiments. Indeed, the conclusions of those DFT calculations supported the mechanism proposed by Nakamura on the basis of experimental studies [48]. The results also display that both Fe(II) and Fe(III) species, possibly present under different conditions, can efficiently promote C−H activation through a metalation-deprotonation mechanism. For more reductive reagents, Fe(II) species is preferred, whereas for less reductive reagents Fe(III) species is preferred. C–H activation reaction via oxidative addition of Fe(I) and Fe(0) species is less probable as they show higher free energies for the C–H activation step than both Fe(II) and Fe(III) species (i.e. Fe(I): 37.7/38.0/30.0 kcal/mol for the doublet/quartet/sextet spin states; Fe(0): 34.7/32.5/28.9 for the singlet/triplet/quintet spin states; Fe(II): 28.5/35.4/37.6 kcal/mol for the singlet/triplet/ quintet spin states; and Fe(III): 26.8/28.6/30.6 kcal/mol for the doublet/quartet/sextet spin states). Importantly, the calculations revealed that DCIB can oxidize Fe(II) to Fe(III) via SET, which may accelerate the C–C coupling step to form Fe(I). DCIB can also oxidize Fe(I) to Fe(II) through SET mechanism, while the direct oxidative addition of DCIB to Fe(I) to generate Fe(III) is not favored (vide supra). Based on these results, the authors proposed two catalytic cycles: i) Fe(II)/Fe(III)/Fe(I) (Scheme 3.7) or ii) Fe(III)/Fe(I) cycles (Scheme 3.8) [46,48]. In the former, once the substrate is coordinated to the Fe(II) pre-catalyst (Fe-VI), it undergoes transmetalation with diphenylzinc (Fe-VII) with subsequent C–H activation through metalation-deprotonation to form the ferracycle Fe-VIII species. The catalytic cycle continues with a subsequent transmetalation forming the Fe-IX species, followed by an oxidation of Fe(II) to Fe(III) in a SET step between Fe-IX and dichloroalkane furnishing the Fe-X species. Thus, the latter oxidized species promotes the reductive elimination step to obtain the C−C coupled product while forming an Fe(I) species (Fe-XI). Regeneration of the active catalyst Fe-VI involves SET oxidation of Fe-XI with DCIB. On the other hand, in the cycle ii) the mechanism is slightly different to the one previously described. First, coordination of the substrate to Fe(III) precursor occurs, followed by a transmetalation with Ph2Zn to form Fe-XII (not shown in Scheme 3.8). Subsequently, the C–H activation takes place by deprotonation forming the ferracycle Fe-XIII species. Then, this species reacts with Ph2Zn via a transmetalation reaction to form aryl Fe-XIV species. Coordination of a chloride anion (Fe-X) facilitates the reductive elimination, yielding the C–C coupled product and the Fe(I) species Fe-XI. Finally, Fe-XI undergoes transmetalation with Ph2Zn (Fe-XV) with a subsequent SET oxidation upon interaction with DCIB to regenerate the active catalyst Fe(III) species Fe-XII.
![Scheme 3.7 Fe(II)/Fe(III)/Fe(I) catalytic cycle for C–H arylation based on DFT calculations. Adapted from [46].](/document/doi/10.1515/chem-2018-0102/asset/graphic/j_chem-2018-0102_fig_010.jpg)
Fe(II)/Fe(III)/Fe(I) catalytic cycle for C–H arylation based on DFT calculations. Adapted from [46].
![Scheme 3.8 Fe(III)/ Fe(I) catalytic cycle for C–H arylation based on DFT calculations. Adapted from [46].](/document/doi/10.1515/chem-2018-0102/asset/graphic/j_chem-2018-0102_fig_011.jpg)
Fe(III)/ Fe(I) catalytic cycle for C–H arylation based on DFT calculations. Adapted from [46].
Continuing with their interest, Nakamura and co-workers reported in 2014 [48] a N-directed iron-catalyzed C−H arylation reaction by using the available boronic pinacolate ester pre-activating it upon treatment with n-BuLi to form the lithium boronate salt. This salt acts at the same time as a coupling partner and as a base to deprotonate the amide N−H and the C−H bond (Scheme 3.9). The pre-catalyst system consisted of Fe(acac)3, a Zn(II) salt, and a diphosphine ligand bearing a conjugated backbone (dppen = 1,2-bis(diphenylphosp hinoethene). Due to the lower nucleophilicity and better functional group compatibility of borate compared to the commonly used coupling reagents for these type of reactions (e.g. Grignard reagents or diarylzinc), the substrate scope of this reaction was broader, showing a good functional-group tolerance. Thus, substrates with functional groups such as ether, ester, cyano, sulfide, amine, trifluoromethyl, aromatic halides, were well tolerated, as well as heteroaromatics such as thiophene and indole substrates. The reaction presents no steric hindrance restrains, as o-tolylboronate and o-toluamide are suitable substrates. Regarding aryl substrates with meta substituents, monoarylation took place selectively, while for mono substituted and para-substituted aryl substrates, mono- and diarylated products were formed. Additionally, C–H activation took place also in alkene substrates, showing in some cases high selectivity to the Z isomer.
![Scheme 3.9 Iron catalyzed C–H arylation of arenes and alkenes with arylboron compounds. Adapted from [48].](/document/doi/10.1515/chem-2018-0102/asset/graphic/j_chem-2018-0102_fig_012.jpg)
Iron catalyzed C–H arylation of arenes and alkenes with arylboron compounds. Adapted from [48].
In addition to the substrate scope, the authors found important insights about the valence of iron species that cleave the C−H bond through a stoichiometric experiment. In this way, when a stoichiometric reaction between the substrate, lithium boronate and the pre-catalyst mixture (i.e. Fe(acac)3, dppen, and a Zn(II) salt) was conducted, the C−H arylated product formed in 95% yield, in addition to the biphenyl in 13% yield (Scheme 3.10). These results confirm that no reduction of iron takes place before C−H bond activation. This mechanistic evidence strongly supports that an organoiron(III) species cleaves the C–H bond and that the reductive elimination forming the C–C bond likely proceeds via an Fe(III) intermediate (Fe-XVI) yielding the product and an Fe(I) intermediate. Therefore, this stoichiometric experiment supports an Fe(III)/Fe(I) mechanism in which the Fe(I) intermediate interacts with DCIB to regenerate Fe(III) species. The SET oxidation of Fe(I) species by haloalkanes has been demonstrated by mechanistic studies in iron-catalyzed cross-coupling reactions between alkyl halides and an organometallic reagent [49-51]. Moreover, it is worth noticing the crucial role of the zinc co-catalyst and the unique efficacy of a bis(phosphine) bearing a conjugated backbone (dppen) in the reactivity attracted the authors to further study their influence on the mechanism. In order to get insights into the transmetalation process, the authors performed a 11B NMR experiment showing that the borate was able to transmetalate the aryl group to zinc in the absence of iron (Scheme 3.11). However, there is evidence that supports that, in the presence of the iron catalyst, either the organozinc reagent is not formed at all with the Zn(II) species simply assisting the transmetalation from boron to the iron center; or the slow formation of an organozinc reagent from borate is different from directly using preformed zinc reagent. The advantage of using borate to form the zinc reagent in situ is to retard the undesired reduction of iron(III) reactive species due to the borate provides a weakly reducing environment. It is analogous to a slow addition of the Grignard reagent, as mentioned previously. Based on the stoichiometric reactions, the authors proposed an Fe(III)/Fe(I) catalytic cycle (Scheme 3.12) [46,48]. The first event is the coordination of the areneamide to iron together with the transmetalation of the “R-Zn” reagent to iron to yield Fe-XVII. This Fe(III) species undergoes N-directed C–H activation through concerted metalation-deprotonation (CMD) mechanism to form the ferracycle Fe-XVIII. Subsequently, a reductive elimination reaction takes place to form the C–C bond and Fe(I) species Fe-XIX. The authors proposed that Fe-XIX is stabilized through metal-to-ligand charge transfer (MLCT), evidencing the redox-active nature of the dppen ligand due to the presence of the conjugated backbone in its structure. However, it should be noted that the authors apply the term MLCT in a wrong way. MLCT is restricted to optical transitions in metal-complexes. The stabilization of Fe-XIX is due to electron delocalization thanks to the conjugated backbone in the structure of the dppen ligand. This electron delocalization has often been observed for low-valent organoiron complexes [52].
![Scheme 3.10 Evidence of C–H bond cleavage by Fe(III) species. Adapted from [48].](/document/doi/10.1515/chem-2018-0102/asset/graphic/j_chem-2018-0102_fig_013.jpg)
Evidence of C–H bond cleavage by Fe(III) species. Adapted from [48].
![Scheme 3.11 Evidence by a 11B NMR experiment of transmetalation to zinc assisted by a boron compound. Adapted from [48].](/document/doi/10.1515/chem-2018-0102/asset/graphic/j_chem-2018-0102_fig_014.jpg)
Evidence by a 11B NMR experiment of transmetalation to zinc assisted by a boron compound. Adapted from [48].
![Scheme 3.12 Fe(III)/Fe(I) Mechanism proposed for N-directed C–H arylation with zinc reagents. Adapted from [48].](/document/doi/10.1515/chem-2018-0102/asset/graphic/j_chem-2018-0102_fig_015.jpg)
Fe(III)/Fe(I) Mechanism proposed for N-directed C–H arylation with zinc reagents. Adapted from [48].
On the other hand, Nakamura and co-workers [53] developed a reaction of C(sp3)−H functionalization catalyzed by iron. It is worth mentioning that the lack of a π-system for metal coordination makes this process more difficult to achieve than C(sp2)−H bond activation. However, the authors were able to overcome this problem during exploration of the cross-coupling of 4-iodotoluene with phenylzinc reagent in tetrahydrofuran as the solvent. Instead of the desired product, the authors found that arylation of the α-C−H bond in tetrahydrofuran took place, and the 4-iodotoluene served as the oxidant needed for this transformation (Scheme 3.13).
![Scheme 3.13. C–H phenylation of tetrahydrofuran catalyzed by iron. Adapted from [53].](/document/doi/10.1515/chem-2018-0102/asset/graphic/j_chem-2018-0102_fig_016.jpg)
C–H phenylation of tetrahydrofuran catalyzed by iron. Adapted from [53].
Based on this reactivity, the authors [53] designed an iron-catalyzed α-arylation of aliphatic amines through 1,5-hydrogen transfer using the oxidant intramolecurlaly (Scheme 3.14).
![Scheme 3.14. α-C–H functionalization of alkyl amines with Grignard reagents via 1,5-Hydrogen transfer catalyzed by iron. Adapted from [53].](/document/doi/10.1515/chem-2018-0102/asset/graphic/j_chem-2018-0102_fig_017.jpg)
α-C–H functionalization of alkyl amines with Grignard reagents via 1,5-Hydrogen transfer catalyzed by iron. Adapted from [53].
First, they discovered that a N-IBn (IBn, o-iodobenzyl) group in aliphatic amines serves as an internal trigger to generate an aryl radical upon interaction with organoiron species through a SET from iron (Fe-XX). Then, the aryl radical abstracts the α-hydrogen via 1,5-hydrogen transfer in an intramolecular fashion to generate a stabilized α-aminoalkyl radical (Fe-XXI). Fe-XXI recombines with the organoiron species to form Fe-XXII, followed by a reductive elimination to deliver the α-arylamine product. The iron halide species reacts with the organometallic reagent to regenerate the iron active species and thus re-start the catalytic cycle. Intriguingly, this reaction proceeds within 15−30 min, and the reaction rate is insensitive to the substituent on the aryl Grignard reagent. Thus, a broad range of aliphatic amines could be successfully employed, including both cyclic and acyclic amines.
In order to gain a better understanding on the 1,5-hydrogen transfer, deuterium-labeling experiments were performed. Thus, a reaction of a 1:1 mixture of tetradeuterated N,N-diethylamine and piperidine substrates with 2.0 equiv of 4-fluorophenylmagnesium bromide gave both arylation products quantitatively. However, deuterium was only detected in the ortho position of the tetradeuterated substrate with 100% incorporation without any H–D crossover. This result clearly suggests that the 1,5-hydrogen transfer takes place intramolecularly (Scheme 3.15a). Moreover, an intermolecular KIE experiment indicates that 1,5-hydrogen transfer is not the turnover-limiting step (Scheme 3.15b).
![Scheme 3.15. (a) Evidence for intramolecular 1,5-hydrogen transfer in the iron-catalyzed α C–H functionalization of alkyl amines, and (b) intermolecular KIE experiment. Adapted from [53].](/document/doi/10.1515/chem-2018-0102/asset/graphic/j_chem-2018-0102_fig_018.jpg)
(a) Evidence for intramolecular 1,5-hydrogen transfer in the iron-catalyzed α C–H functionalization of alkyl amines, and (b) intermolecular KIE experiment. Adapted from [53].
In another work, the same authors reported the arylation of the allylic C−H bond of olefins, and even the C−H bond of unactivated alkanes catalyzed by iron [54]. The mechanism proposed by the authors is shown in the Scheme 3.16. It is assumed that a Grignard reagent first reacts with an iron(III) species to generate a phenyliron species, which reacts with mesityl iodide to generate Fe-XXIII. Then, the olefin is coordinated to this species to generate the intermediate Fe-XXIV. Subsequently, the aryl groups abstract the allylic hydrogen to yield the allyliron species Fe-XXV and Fe-XXVI. Reductive elimination takes place selectively from intermediate Fe-XXV to form the arylation product, as no reductive elimination from intermediate Fe-XXVI was observed. Most likely, the steric hindrance from the mesityl group does not favour a reductive elimination in Fe-XXVI.
![Scheme 3.16. C–H allylic arylation of olefins with Grignard reagents catalyzed by iron. Adapted from [54].](/document/doi/10.1515/chem-2018-0102/asset/graphic/j_chem-2018-0102_fig_019.jpg)
C–H allylic arylation of olefins with Grignard reagents catalyzed by iron. Adapted from [54].
The reaction was able to work at 0 °C, with a catalyst turnover up to 240. The scope of the reaction was moderately broad. Importantly, PhMgBr was able to phenylate cyclohexane in 10% yield at 0 °C (framed in Scheme 3.16), indicating the potential of this methodology for the functionalization of simple hydrocarbons. In order to support the hydrogen-abstraction mechanism, deuterium-labeling experiments were carried out. Thus, both butylbenzene and mesitylene suffered deuterium incorporation when the reaction of deuterated cyclohexene with 4-BuC6H4MgBr was performed (Scheme 3.17a). Additionally, in an intermolecular KIE experiment, it was proposed that hydrogen abstraction is the rate-determining step of the reaction (kH/kD = 8, Scheme 3.17b) [54].
![Scheme 3.17. Deuterium-labeling experiments for C–H allylic arylation of olefins catalyzed by iron: (a) Evidence for hydrogen-abstraction mechanism, and (b) intermolecular KIE experiment. Adapted from [54].](/document/doi/10.1515/chem-2018-0102/asset/graphic/j_chem-2018-0102_fig_020.jpg)
Deuterium-labeling experiments for C–H allylic arylation of olefins catalyzed by iron: (a) Evidence for hydrogen-abstraction mechanism, and (b) intermolecular KIE experiment. Adapted from [54].
Yoshikai and co-workers [55] reported in 2015 alkylation and alkenylation reactions of indole with styrenes and alkynes at the C2-position through an imine-directed C−H activation catalyzed by an iron/N-Heterocyclic carbene system (Schemes 3.18 and 3.19). The pre-catalyst mixture was composed by the iron precursor Fe(acac)3, an imidazolium salt and a Grignard reagent which after reaction generated in-situ the iron catalyst. The reaction worked well with different olefins, as well as with various alkynes, including diaryl alkynes, dialkyl alkynes, and silyl alkyne. For the latter case, the reaction proceeded with good stereo- and regioselectivity: E-isomers were the major isomer with E/Z selectivity up to 99/1 (Scheme 3.19). When an unsymmetrical diaryl acetylene was used as a substrate, the alkenylation product was formed in good yield and selectivity forming the C–C bond adjacent to the less sterically hindered substituent on the alkyne. Intrigued by the catalyst mode of action, the authors performed a deuterium-labeling experiment, in which they observed that deuterium at the C2-indole position was completely incorporated (97% incorporation) into the vinylic position. This result clearly suggests a mechanism in which oxidative addition of the C−H bond to a low-valent iron−carbene complex (Fe-XXVII) is preferred over a deprotonation mechanism. Subsequently, an insertion of alkyne or alkene into the Fe–H bond yields Fe-XXVIII species, that delivers the product by reductive elimination to regenerate the active iron catalyst (Scheme 3.20) [55].
![Scheme 3.18. N-directed C–H alkylation of indoles with styrenes catalyzed by iron. Adapted from [55].](/document/doi/10.1515/chem-2018-0102/asset/graphic/j_chem-2018-0102_fig_021.jpg)
N-directed C–H alkylation of indoles with styrenes catalyzed by iron. Adapted from [55].
![Scheme 3.19. N-directed C–H alkenylation of indoles with alkynes catalyzed by iron. Adapted from [55].](/document/doi/10.1515/chem-2018-0102/asset/graphic/j_chem-2018-0102_fig_022.jpg)
N-directed C–H alkenylation of indoles with alkynes catalyzed by iron. Adapted from [55].
![Scheme 3.20. Evidence for C–H bond activation via oxidative addition to Fe/N-heterocyclic carbene complex and proposed mechanism. Adapted from [55].](/document/doi/10.1515/chem-2018-0102/asset/graphic/j_chem-2018-0102_fig_023.jpg)
Evidence for C–H bond activation via oxidative addition to Fe/N-heterocyclic carbene complex and proposed mechanism. Adapted from [55].
Another kind of C–H activation promoted by iron based complexes is the borylation of C–H bonds. Thus, Tatsumi and co-workers [56] reported a borylation of furan and thiophene derivatives with pinacolborane in the presence of an alkene as a hydrogen acceptor catalyzed by a Cp*-half-sandwich N-heterocyclic carbene iron complex. This methodology provided borylated products in high yields (Scheme 3.21).
![Scheme 3.21. C–H borylation of furan and tiophene derivatives catalyzed by half-sandwich iron N-heterocyclic carbene complex. Adapted from [56].](/document/doi/10.1515/chem-2018-0102/asset/graphic/j_chem-2018-0102_fig_024.jpg)
C–H borylation of furan and tiophene derivatives catalyzed by half-sandwich iron N-heterocyclic carbene complex. Adapted from [56].
Intrigued by the catalyst mode of action, the authors performed stoichiometric transformations. They found that the Cp*-iron-carbene complex readily reacts with an arene through deprotonation mechanism to form the aryl iron derivative (Scheme 3.22a). This new iron complex can react with pinacolborane to yield an iron borohydride complex with concomitant formation of the borylated product. Thus, based on these stoichiometric reactions, the authors proposed the catalytic cycle shown in Scheme 3.22b: The half-sandwich methyliron carbene complex (Fe-XXIX) reacts with furan to generate a 2-furyliron complex Fe-XXX. Subsequently, Fe-XXX reacts with HBpin to deliver the borylated product with formation of an iron hydride complex Fe-XXXI, followed by insertion of tert-butylethylene into the Fe–H bond to yield Fe-XXXII. Finally, Fe-XXXII reacts with furan to regenerate the active species Fe-XXX. It should be noted that the iron borohydride complex (Fe-XXXIII) does not react in the catalytic cycle and only leads to decomposition, its formation disturbs the catalytic cycle.
![Scheme 3.22. (a) Stoichiometric reactions and (b) catalytic cycle for C–H borylation of furan and tiophene derivatives catalyzed by FeCp*(N-heterocyclic carbene) complex. Adapted from [56].](/document/doi/10.1515/chem-2018-0102/asset/graphic/j_chem-2018-0102_fig_025.jpg)
(a) Stoichiometric reactions and (b) catalytic cycle for C–H borylation of furan and tiophene derivatives catalyzed by FeCp*(N-heterocyclic carbene) complex. Adapted from [56].
In 2015, Darcel and co-workers reported the dehydrogenative borylation of simple (hetero) arenes with pinacolborane under UV irradiation catalyzed by a (dmpe)2Fe(II) complex (dmpe = 1,2-bis(dimethylphosphino)ethane) [57]. Both FeH2(dmpe)2 and FeMe2(dmpe)2 showed to be good catalysts for this transformation, but an analogue complex using dppe (1,2-bis(diphenylphosphino)ethane) as a ligand was completely inefficient. It is likely due to the directed ortho metalation that can proceed on a phenyl group in dppe poisoning the catalyst [27, 34] (Scheme 3.23).
![Scheme 3.23. Irradiation-promoted C–H borylation of arenes catalyzed by iron. Adapted from [57].](/document/doi/10.1515/chem-2018-0102/asset/graphic/j_chem-2018-0102_fig_026.jpg)
Irradiation-promoted C–H borylation of arenes catalyzed by iron. Adapted from [57].
The authors were able to prepare and isolate an iron boryl complex (Fe-XXXVII) formed from the iron pre-catalyst and proved its role in the catalytic cycle. Based on the results of stoichiometric reactions (not shown in the scheme), the authors proposed a mechanism shown in Scheme 3.24. First, (dmpe)2Fe(0) complex (Fe-XXXIV) undergoes a reversible oxidative addition of an arene to form the iron(II) aryl hydride complex (Fe-XXXV). This hydride complex reacts with HBpin to form the borylated product, generating an iron dihydride species (Fe-XXXVI), followed by a reductive elimination of dihydrogen to regenerate the active species (Fe-XXXIV). The authors also found that the reaction may also proceed through another pathway involving their isolated iron boryl hydride intermediate (Fe-XXXVII).
![Scheme 3.24. Mechanism proposed for irradiation-promoted C–H borylation of arenes catalyzed by iron. Adapted from [57].](/document/doi/10.1515/chem-2018-0102/asset/graphic/j_chem-2018-0102_fig_027.jpg)
Mechanism proposed for irradiation-promoted C–H borylation of arenes catalyzed by iron. Adapted from [57].
4 Cobalt-Based Systems
Since the seminal work by Karash and Fields in 1941 on cobalt-catalyzed homocoupling of Grignard reagents [58], many investigations on homogeneous catalysis have positioned it at the top as one of the most promising metals for the future in catalysis. Latest investigations in homogeneous catalysis have shown its great versatility for useful chemical transformations such as hydroformylation [59-61], hydrosililations [62-67] and C–H activation reactions [68-70]. Recently, the activity of cobalt has overwhelmed the scientific community since it can act as a very cheap homologue of iridium- and rhodium-based catalysts for several applications including the C–H activation/functionalization reactions.
Within the existing organometallic cobalt complexes there are a broad variety that have been synthesized by C–H activation in stoichiometric fashion forming mainly cobaltacycles with [CoMe(PMe3)4] as a cobalt precursor (Scheme 4.1a) [71]. Intriguingly, most of the cobaltacycles were not studied for further reactivity on the Co–C bond. However, a reaction of the cobaltacycle Co-I in a CO atmosphere produced the insertion product forming the acyl five-membered cobaltacycle complex Co-III [72]. Previously, hypothesizing that Co-II could act as a potential intermediate, Murahashi applied the [Co2(CO)8] precursor as a pre-catalyst for the carbonylative cyclization of azobenzene (Scheme 4.1b) [73]. Despite the high CO pressure of 150 atm, this seminal work served as a proof of concept for the application of such cobaltacycles as catalysts for valuable chemical transformations.

(a) Synthetic strategy for formation of organocobaltacycles and (b) first C–H carbonylation reaction catalyzed by Co2(CO)8.
Based on the accessibility of cobaltacycles, many research groups focused their attention on whether they could be used as potential intermediates for the formation of different bonds such as C–X, where X could be any heteroatom or carbon, with C–H as parent bond. The cobalt catalysis on C–H activation reactions started being explored with Co(I) precursors as pre-catalyst, however, recently high valent cobalt complexes, mainly Co(III), have been used as pre-catalysts for such transformations. Thus, the cobalt catalytic systems are known in two scenarios identified as low-valent and high-valent [68-70]. As expected, due to their difference in oxidation states, their mode of action and catalytic cycles are expected to be well differentiated.
Strangely, despite of a lot of studies on C–H activation cobalt catalytic systems, scarce mechanistic studies are found in the literature. Lately, many research groups have strengthened their experimental efforts in order to understand the mechanistic details on its mode of action. Herein we try to cover the mechanistic studies that have provided useful insights in order to understand the metal catalytic mode of action.
4.1 Low-valent cobalt catalytic systems
As the interest in base metals was gaining strength, Nakamura and co-workers explored in 2011 the alkylation of arenes with alkyl chlorides assisted by an ortho-benzamide group via coordination of the metal center (Scheme 4.2) [74].
![Scheme 4.2. Cobalt-catalyzed ortho-alkylation of benzamides by C–H activation. Adapted from reference [74].](/document/doi/10.1515/chem-2018-0102/asset/graphic/j_chem-2018-0102_fig_029.jpg)
Cobalt-catalyzed ortho-alkylation of benzamides by C–H activation. Adapted from reference [74].
Despite the novel reactivity the authors just made a few comments about the catalytic mode of action according to the reactivity of a specific alkyl chloride, tBuCl. When it reacted under the catalytic conditions the product ended up as the substituted iBu without any presence of the tBu group. Additionally, a competition experiment using nBuCl and tBuCl showed predominant formation of the iBu-Ar product. These results strongly suggested that the alkyl chloride should be activated by the cobalt center by a SET process, forming a tBu radical that rapidly rearranges to an iBu radical. Then, the latter species recombine with the cobalt center to obtain the product by a reductive elimination process (vide infra). Even though, this result gave strong support for a radical-based catalytic cycle, the authors did not comment about the C–H activation process neither about the oxidation state of the metal center.
During the same time, Yoshikai and co-workers were working on a different strategy that consisted of the hydroarylation of olefins to obtain the same kind of alkylated arenes (Scheme 4.3) [75, 76]. First, they found that a C(sp2)–H bond could be added into a C=C bond of styrenes under a catalytic amount of a cobalt salt accompanied by a ligand, either phosphine or carbene, in the presence of a Grignard reagent (Scheme 4.3a) [75]. Strikingly, changing the ligand also promoted a change in the regioselectivity of the reaction forming one of the regioisomers, either the linear or the branched. Although, this tendency was not only ligand dependent since the substituents on the aromatic ring play a crucial role on the branched/linear ratio. It shows that reaction pathways to both products are competing to each other and the outcome is affected by the ligand and the substrates electronic structure. Moreover, varying the ligand to a phenanthroline-type the hydroarylation could be accessed on aliphatic olefins (Scheme 4.3b) [76].
![Scheme 4.3. Cobalt-catalyzed hydroarylation of styrenes/olefins by C–H activation. Co-PCy3 catalysis: CoBr2 (10 mol%), PCy3 (10 mol%), Me3SiCH2MgBr (80 mol%), 40-80 °C, 12-72 h; Co-IMes catalysis: CoBr2(10mol %),IMes . Hcl (10 mol %),tBuCH2MgBr (100 mol %), 40-80 °C, 12-72 h. IMes⍰HCl (1,3-dimesitylimidazolium chloride). Adapted from references [75] and [76].](/document/doi/10.1515/chem-2018-0102/asset/graphic/j_chem-2018-0102_fig_030.jpg)
Cobalt-catalyzed hydroarylation of styrenes/olefins by C–H activation. Co-PCy3 catalysis: CoBr2 (10 mol%), PCy3 (10 mol%), Me3SiCH2MgBr (80 mol%), 40-80 °C, 12-72 h; Co-IMes catalysis: CoBr2(10mol %),IMes . Hcl (10 mol %),tBuCH2MgBr (100 mol %), 40-80 °C, 12-72 h. IMes⍰HCl (1,3-dimesitylimidazolium chloride). Adapted from references [75] and [76].
Attracted by the different reactivity on both catalytic systems, the authors conducted deuterium labeled experiments in order to understand the C–H activation process (Scheme 4.4). Thus, deuterated substrates, 2-phenylpyridine-d5 and aldimine-d5 reacted with the specific olefin under catalytic conditions and evaluated at the early stage of the total reaction time. H/ D scrambling between both reagents could be observed prior the product formation showed by a significant reduced D-content at the ortho position of 2-phenylpyridine-d5 and an appreciable D-content increment at the α and β positions of the olefin (Scheme 4.4a) [75]. This reactivity led to partial deuterated products at both α and β positions. However, under the Co-PCy3 catalytic regime the D-content was considerably higher at the β position than at the α position being contrary under the Co-IMes catalytic regime. Interestingly, for the phenanthroline catalytic system the H/ D scrambling between the aromatic imine and the allylsilane was substantially lower than the previous cases (Scheme 4.4b) [76].
Based on the described results, the authors proposed a general mechanism for the hydroarylation of olefins (Scheme 4.5) [75, 76]. First, the C–H bond is oxidatively added into the low-valent cobalt center in a reversible manner, forming a cobaltacycle hydride species Co-IV. Then, insertion of the olefin into the Co–H bond occurs, reversibly forming either the linear or branched alkyl-cobalt species Co-V/Co-V’. Finally, reductive elimination furnishes the alkylated product and the low-valent cobalt active species. This step is claimed to be the rate and product determining step. The regioselectivity is controlled either thermodynamically for the Co-PCy3 catalyst or kinetically for the Co-IMes catalyst due to its steric hindrance. Since the catalytic system using a phenanthroline-type ligand presented a lower proportion in the H/D scrambling, Yoshikai and co-workers suggested that the equilibrium reactions (i.e. oxidative addition and olefin insertion) may not be significantly faster than the reductive elimination process. It is worth noticing that no clear evidence was obtained about the actual oxidation state of the cobalt during the catalytic cycle, however, the authors speculated that it might be a Co(0)/Co(II) and the excess of the Grignard reagent helped for the formation of the Co(0) species but no experimental evidences supported this hypothesis.
Despite this good ligand-controlled regioselectivity, Yoshikai and co-workers continued exploring a more selective system towards the branched product. In 2013 they reported an improved method where the branched/ linear selectivity could exceed 99:1, in addition to excluding the dependence of the pyridine as an assisted donor group for the C–H activation, changing it to a more versatile aldimine functional group [77]. This permitted the access to molecules that might serve as starting materials for more complex molecules with pharmaceutical activity.
Interestingly, the conducted deuterium-labeled experiments showed different results to those obtained previously with the 2-phenylpyridine-d5. Strangely, the aldimine-d5 did not react at all with already effective olefins. Only reacted with 2-vinylnaphthalene and this system presented a little H/D scrambling between the substrates (Scheme 4.6) [77]. More importantly, the deuterium distribution at the alkylated product was strangely rare, being insignificant at the benzyl proton and partial at the methyl protons. Additionally, the branched/ linear selectivity was altered by the action of different Grignard reagents suggesting that it might have an influence on the active species to the product-determining step. These results were in contrast to the previously described catalytic cycle with the major difference on the relative rates on each elementary step. Thus, the results suggested that the C–H oxidative addition must be a rate-determining step for this case. This conclusion showed very clearly the challenge for the mechanistic studies since alike systems might be governed by different kinetics and mechanistic scenarios leading to a different outcome.
![Scheme 4.6. Deuterium labeled experiments for the cobalt-catalyzed hydroarylation of olefins by C–H activation. Adapted from reference [77].](/document/doi/10.1515/chem-2018-0102/asset/graphic/j_chem-2018-0102_fig_033.jpg)
Deuterium labeled experiments for the cobalt-catalyzed hydroarylation of olefins by C–H activation. Adapted from reference [77].
Based on these mechanistic insights the Yoshikai group could extend the hydroarylation of olefins to a highly improved linear selective reaction by varying the ligand backbone [78]; moreover, to an enantioselective reaction using chiral biphosphine ligands [79].
Extending the reactivity of hydroarylation to non-saturated substrates, the Yoshikai group additionally explored this reactivity with alkynes forming alkenylated arenes. Using an ortho-imine group a broad variety of functional groups were tolerated for this reactivity (Scheme 4.7) [80].
![Scheme 4.7. Cobalt-catalyzed hydroarylation of alkynes by C–H activation. Adapted from references [80].](/document/doi/10.1515/chem-2018-0102/asset/graphic/j_chem-2018-0102_fig_034.jpg)
Cobalt-catalyzed hydroarylation of alkynes by C–H activation. Adapted from references [80].
In order to understand better the complexity of this catalytic system, the authors elegantly conducted detailed and insightful mechanistic studies. Deuterium-labeled experiments showed no H/D crossover in the product (Scheme 4.8a) demonstrating that the aryl and the hydrogen added into the alkyne come from the same reactant molecules excluding the concerted base-assisted deprotonation (CDM) mechanism and supporting the oxidative addition–olefin insertion–reductive elimination catalytic scenario. Additionally, competition experiments showed KIEs of 4.3 and 5.2 for the intermolecular reactions in an equimolar mixture and parallel reactions, respectively (Scheme 4.8b). These values suggested that the C–H activation or the C–H bond formation could be the RDS for the catalytic cycle. Kinetic experiments showed a first-order dependence of the initial rate on the imine concentration whereas the alkyne showed a saturation (i.e. zero-order) at high concentrations. Thus, the C–H activation step was concluded as the RDS for the cycle. Interestingly, when different alkynes were tested a substantial difference in the initial reaction rates were observed (Scheme 4.8c). Yoshikai and co-workers explained this difference to the better π-accepting character of the diphenylacetylene than the 4-octyne, thus accessing the alkyne coordination to the low-valent cobalt species.
![Scheme 4.8. Deuterium labeled and competition experiments for the cobalt-catalyzed hydroarylation of alkynes. Cat. Conds. CoBr2 (5 mol%), P(3-ClC6H4)3 (10 mol%), tBuCH2MgBr (50 mol%), pyridine (80 mol%), THF, 20 oC. Adapted from reference [80].](/document/doi/10.1515/chem-2018-0102/asset/graphic/j_chem-2018-0102_fig_035.jpg)
Deuterium labeled and competition experiments for the cobalt-catalyzed hydroarylation of alkynes. Cat. Conds. CoBr2 (5 mol%), P(3-ClC6H4)3 (10 mol%), tBuCH2MgBr (50 mol%), pyridine (80 mol%), THF, 20 oC. Adapted from reference [80].
Based on the results, the authors favored a plausible catalytic cycle (Scheme 4.9) [80] starting from the reduction of the CoBr2 by the Grignard reagent to a low-valent cobalt species (e.g. Co(0) or Co(I)).[1] Then, coordination of the alkyne favored by π-backdonation forms the η2-alkyne-cobalt species Co-VI. This is followed by the coordination of the imine assisting the ortho C–H bond oxidative addition into the low-valent cobalt center forming the hydride cobaltacycle species Co-VII. Then, the olefin is syn-inserted into the Co–H bond forming the alkenyl cobaltacycle Co-VIII. Finally, the product and the low-valent cobalt species are formed by a reductive elimination process.
![Scheme 4.9. Proposed mechanism for the cobalt-catalyzed imine-assisted hydroarylation of alkynes. Adapted from reference [80].](/document/doi/10.1515/chem-2018-0102/asset/graphic/j_chem-2018-0102_fig_036.jpg)
Proposed mechanism for the cobalt-catalyzed imine-assisted hydroarylation of alkynes. Adapted from reference [80].
Based on different synthetic strategies, Ackermann and Song reported in 2012 the arylation and benzylation using phenol derivatives such as sulfamates, carbamates and phosphates as coupling partners of the C–H activated substrate ortho-phenyl- and ortho-indole-pyridine [81]. They found that using a carbene as a ligand, a Co(II) precursor and a Grignard reagent the C–H and C–O bonds could be cleaved to promote the formation of the biaryl products (Scheme 4.10a). Years later in 2015, Ackermann and co-workers expanded this reactivity to alkenyl acetates, carbonates, phosphates and carbamates (Scheme 4.10b) [82]. Strikingly, the reaction showed a very good steroconvergent behavior favoring only one steroisomer starting from a trisubstituted alkene with both Z and E configurations. Analyzing the residual substrate, the authors found that the alkenyl acetate isomerizes in the reaction medium forming the pure Z-isomer.
![Scheme 4.10. Cobalt-catalyzed pyridine and pyrimidine assisted alkenylation of indoles and arenes by C–H activation with alkenyl sulfamates, carbamates and acetates. Cy = cyclohexyl; acac = acetylacetonate; Pym = pyrimidine; IMesHCl = N,N-bis(mesityl) imidazolium chloride; IPrHCl = N,N-bis(2,6-diisopropylphenyl) imidazolium chloride; DMPU = 1,3-dimethyl-3,4,5,6-tetrahydro-2-pyrimidinone. Adapted from references [81] and [82].](/document/doi/10.1515/chem-2018-0102/asset/graphic/j_chem-2018-0102_fig_037.jpg)
Cobalt-catalyzed pyridine and pyrimidine assisted alkenylation of indoles and arenes by C–H activation with alkenyl sulfamates, carbamates and acetates. Cy = cyclohexyl; acac = acetylacetonate; Pym = pyrimidine; IMesHCl = N,N-bis(mesityl) imidazolium chloride; IPrHCl = N,N-bis(2,6-diisopropylphenyl) imidazolium chloride; DMPU = 1,3-dimethyl-3,4,5,6-tetrahydro-2-pyrimidinone. Adapted from references [81] and [82].
Very attracted by the applicability of this cobalt-based catalytic system, the authors were interested in its mode of action [81]. Different intermolecular competition experiments were conducted in order to evaluate the influence of the electronic structure on the reactivity (Scheme 4.11a). Surprisingly, acetates and carbamates were more reactive than sulfamates and phosphates showing that the reactivity was not governed by the dissociation energies of the cleaved C–O bond. Additionally, the electron deficient carbamates showed to be more prone to react (Scheme 4.11b) and reaction under the presence of TEMPO unaffected the total outcome of the reaction ruling out a radical-based mechanism. These results showed that the activation of the C–O bond must be mediated by the metal center in an inner sphere mechanism excluding a SEAr-type mechanism. On the other hand, competition experiments with different substrates varying the inherent acidity of the C–H bond (Scheme 4.11c and d) demonstrated that the reactivity of the arene is kinetically driven by the C–H bond acidity due to the exclusive formation of the product with the more acidic C–H bond.
![Scheme 4.11. Competition experiments for the cobalt-catalyzed arylation of arenes with aryl carbamates and sulfamates. Cat. Conds: CyMgCl (1 equiv), Co(acac)2 (10 mol%), IMesHCl (20 mol%), DMPU, 60 oC, 16 h. Adapted from reference [81].](/document/doi/10.1515/chem-2018-0102/asset/graphic/j_chem-2018-0102_fig_038.jpg)
Competition experiments for the cobalt-catalyzed arylation of arenes with aryl carbamates and sulfamates. Cat. Conds: CyMgCl (1 equiv), Co(acac)2 (10 mol%), IMesHCl (20 mol%), DMPU, 60 oC, 16 h. Adapted from reference [81].
Based on the mechanistic studies, the Ackerman group proposed a plausible mechanism where, depending on the substrate (i.e. aryl or alkenyl), the C–O bond activation differs in each case (Scheme 4.12). Strangely, even though the authors observed no detrimental activity under the presence of a radical scavenger such as TEMPO, they proposed [68] a radical-based mechanism for the aryl-carbamates and sulfamates due to their similar reactivity with the aryl halides (vide infra). Therefore, herein we proposed a Co(I)/Co(III) catalytic cycle for the aryl substrates under an oxidative addition–reductive elimination scenario. This is consistent with the experimental observations discussed previously where electron deficient substrates should favour the oxidative addition on the electron rich Co(I) center for their C–O bond activation. Thus, the catalytic cycle commences by activation of the pre-catalyst mixture generating a carbene-cyclohexylcobalt(I) species which metalates by deprotonating the substrate forming the cobaltacycle species Co-IX. For the alkenyl substrates, a coordination by π-backdonation to the metal center occurs after isomerization favoring the reaction with the Z-isomer forming the Co-X species. Then, migratory insertion and β-carbamate elimination furnishes the alkenylated product and a carbamate-cobalt species. The latter reacts with the Grignard reagent by a transmetallation reaction to recover the cobalt-cyclohexyl active species. For the aryl substrates, the intermediate Co-IX species reacts with the aryl-carbamate via oxidative addition forming the pentacoordinated Co-XI species. Then, the arylated product is formed by a reductive elimination forming the carbamate-cobalt species which after a transmetallation reaction with the Grignard reagent forms the cyclohexylcobalt active species.

Proposed mechanism for the cobalt-catalyzed arylation/alkenylation of arenes with arenes/alkenyl carbamates, sulfamates, carbonates, phosphates by C–H activation.
Based on the seminal work of Nakamura on alkylation of arylamides with alkyl chlorides [74], the Ackermann [83] and Yoshikai [84] groups independently reported the arylation/alkylation of phenylpyridines, indoles and aldimines with aryl/alkyl halides (Scheme 4.13).
The Ackermann group conducted mechanistic experiments to shed light into the catalytic cycle [83]. Similar to the previously discussed couplings with phenol derivatives (vide supra), competition experiments showed that electron deficient arenes and electron rich heteroaromatic indole react preferentially with the organic halides. Therefore, it can be deduced that the substrate reactivity is directly correlated to the acidic character of the activated C–H bond. In order to understand the activation of the organic halides, Ackermann and co-workers conducted catalytic experiments under the presence of the radical scavenger TEMPO and a competition experiment with an electron-rich or electron-deficient aryl chloride (Scheme 4.14a and b). Interestingly, these experiments showed a higher reactivity for the electron-deficient substrate and a significantly reduced reactivity under the presence of TEMPO. Additionally, Yoshikai excluded potential formation of olefins as intermediates on the activation of alkyl halides by β-elimination since the hydroarylation to the olefins was in lower reactivity that the alkyl halide (Scheme 4.14c) [84]. These results suggested that the activation of the organic halide most likely goes via a SET with the metal center. This is in strong agreement with the results obtained by Yoshikai while using an enantiomerically pure and stereoenriched substrates (Scheme 4.13c) demonstrating that the stereochemical information was considerably reduced after the reaction, indicating the formation of a carbon-centered radical.
![Scheme 4.14. Mechanistic experiments for the cobalt-catalyzed arylation/alkylation of arenes with aryl/alkyl halides. Cat. Conds A: CyMgCl (1 equiv), Co(acac)2 (5-10 mol%), IMesHCl or IPrHCl (10-20 mol%), DMPU, 23 ºC, 16 h. Cat. Conds B: tBuCH2MgBr (2 equiv), CoBr2 (10 mol%), L (10 mol%), THF, rt, 12 h. Adapted from reference [83].](/document/doi/10.1515/chem-2018-0102/asset/graphic/j_chem-2018-0102_fig_041.jpg)
Mechanistic experiments for the cobalt-catalyzed arylation/alkylation of arenes with aryl/alkyl halides. Cat. Conds A: CyMgCl (1 equiv), Co(acac)2 (5-10 mol%), IMesHCl or IPrHCl (10-20 mol%), DMPU, 23 ºC, 16 h. Cat. Conds B: tBuCH2MgBr (2 equiv), CoBr2 (10 mol%), L (10 mol%), THF, rt, 12 h. Adapted from reference [83].
Based on the mechanistic studies by the Ackermann and Yoshikai groups, a likely radical-based mechanism was proposed, initiated by activating the cobalt precursor by reduction with the Grignard reagent forming the alkyl-cobalt(I) active species (Scheme 4.15). Then, this species reacts with the arene substrate by a CMD forming the cobaltacycle Co-XII. The activation of the organic halide is then suggested to proceed via a SET process obtaining the Co(II) species Co-XIII which then recombines with the alkyl/aryl radical to form the Co(III) species Co-XIV. Finally, the product is released by reductive elimination by a subsequent transmetallation with the Grignard reagent to form the active alkyl-cobalt(I) species.

Proposed mechanism for the cobalt-catalyzed arylation/alkylation of arenes with aryl/alkyl halides by C–H activation.
The Petit group inspired by their own work on dimerization of arylacetylenes and the work by the Yoshikai group on hydroarylation of unsaturated substrates [80, 85], in 2015 reported the hydroarylation of alkynes but simplifying the catalyst to a well-defined low-valent cobalt complex such as Co(PMe3)4 (Scheme 4.16) [86]. Due to the hypothesis of using Grignard reagents as reducing agent for the Co(II) precursor, the authors made use of this Co(0) precursor in order to avoid more complexity in the system and understand better the mechanistic details on this C–H activation process. The catalytic system not only showed good activity but a good diatereoselectivity towards the Z-isomer product in contrast to Yoshikai’s results.
![Scheme 4.16. Cobalt-catalyzed hydroarylation of alkynes by chelation-assisted imine C–H activation. Adapted from reference [86].](/document/doi/10.1515/chem-2018-0102/asset/graphic/j_chem-2018-0102_fig_043.jpg)
Cobalt-catalyzed hydroarylation of alkynes by chelation-assisted imine C–H activation. Adapted from reference [86].
Through the simplicity of the system, a clearer understanding on the C–H process could be accessed than in the Yoshikai’s conditions. After a very elegant and meticulous set up of reactions, the authors succeeded in observing very interesting mechanistic features [86]. First, deuterium-labeled experiments showed no-crossover in the final product showing that the olefinic hydrogen is transferred intramolecularly ruling out any deprotonation step (Scheme 4.17a). Second, competition experiment showed a low KIE value of 1.4 suggesting that the C–H activation might not be the rate-determining step (Scheme 4.17b). Third, a stoichiometric reaction between the substrates aldimine-d5 (1 equiv), diphenylacetylene (2 equiv) and the cobalt-hydride complex HCo(PMe3)4 produced a pure deuterium transfer to the alkyne without any hydride transfer from the metal complex (Scheme 4.17c). Additionally, no oxidative addition on the C–H was observed by 1H NMR when the aldimine and HCo(PMe3)4 were heated up. The above results were supported by DFT calculations evaluating the transition state for the C–H activation process. The authors found that after losing 3 PMe3, the low-coordinated cobalt center acts as a mediator between both substrates leading to a σ-bond metathesis also known as ligand-to-ligand hydrogen transfer (LLHT) [24, 87].
![Scheme 4.17. Deuterium-labeled experiments for the cobalt-catalyzed hydroarylation of alkynes by chelation-assisted imine C–H activation. Adapted from reference [86].](/document/doi/10.1515/chem-2018-0102/asset/graphic/j_chem-2018-0102_fig_044.jpg)
Deuterium-labeled experiments for the cobalt-catalyzed hydroarylation of alkynes by chelation-assisted imine C–H activation. Adapted from reference [86].
Based on the thorough mechanistic results, the authors proposed a plausible mechanism in which the cobalt center acts as a mediator via low-valent Co(0) species Co-XV for hydrogen transfer for the C–H activation by a concerted mechanism forming the oxidized cobaltacycle species Co-XVI (Scheme 4.18) [86]. Then, a reductive elimination allows to form the C–C bond forming the Co-XVII species. Although, prior to release the product a subsequent isomerization on the olefin must occur as observed in the anti-selectivity Co-XVII’, supported by DFT calculations which showed lower energy for the anti than the syn by 2.27 kcal/mol. Finally, the product is ligand substituted by the substrates recovering the active cobalt intermediate Co-XV.
![Scheme 4.18. Proposed mechanism for the cobalt-catalyzed hydroarylation of alkynes by chelation-assisted imine C–H activation. Adapted from reference [86].](/document/doi/10.1515/chem-2018-0102/asset/graphic/j_chem-2018-0102_fig_045.jpg)
Proposed mechanism for the cobalt-catalyzed hydroarylation of alkynes by chelation-assisted imine C–H activation. Adapted from reference [86].
In 2016 direct alkynylations of C–H bonds catalyzed by late transition metals were broadly studied but scarce examples were found in cobalt catalysis. Balaraman and co-workers studied the ortho alkynylation of amides and benzylamines using as a donor assisted group 8-quinoline and picoline, respectively (Scheme 4.19) [88, 89]. The catalytic systems presented a broad functional group tolerance in addition to the possibility of double alkynylation reaction at both ortho positions. Moreover, the alkynylation of amines permitted to work with enantiopure substrates without detrimental on the enantiomeric excess.
Interestingly, even though both catalytic systems were almost similar in additives and reaction conditions, the mechanistic studies concluded a completely different mode of action. First, the alkynylation of aromatic amides (i.e. quinoline system) was completely inhibited under the presence of TEMPO whereas the alkynylation of amines (i.e. picoline system) did occur under the presence of different radical scavengers such as TEMPO, cyclohexa-1,4-diene, and prop-1-en-2-ylbenzene (Scheme 4.20a) [88, 89]. This result showed clearly a radical based mechanism for the former reaction in contrast to the latter reaction in which a radical mechanism can be ruled out.
![Scheme 4.20. Radical scavenger and competition experiments for the cobalt-catalyzed alkynylations of arenes by quinoline (Q) and picoline (Pico) assisted C–H activation. Cat. Conds A [88]: Co(acac)3 (10 mol%), Ag2CO3 (2.5 equiv), PhCO2Na (20 mol%), 1,3-bis(trifluoromethyl)benzene, 150 °C, 18 h under argon. Cat. Conds B [89]: CoBr2 (10 mol%), Ag2CO3 (2 equiv), PhCO2Na (25 mol%), trifluorotoluene, 150 °C, 18 h under argon. Adapted from references [88] and [89].](/document/doi/10.1515/chem-2018-0102/asset/graphic/j_chem-2018-0102_fig_047.jpg)
Radical scavenger and competition experiments for the cobalt-catalyzed alkynylations of arenes by quinoline (Q) and picoline (Pico) assisted C–H activation. Cat. Conds A [88]: Co(acac)3 (10 mol%), Ag2CO3 (2.5 equiv), PhCO2Na (20 mol%), 1,3-bis(trifluoromethyl)benzene, 150 °C, 18 h under argon. Cat. Conds B [89]: CoBr2 (10 mol%), Ag2CO3 (2 equiv), PhCO2Na (25 mol%), trifluorotoluene, 150 °C, 18 h under argon. Adapted from references [88] and [89].
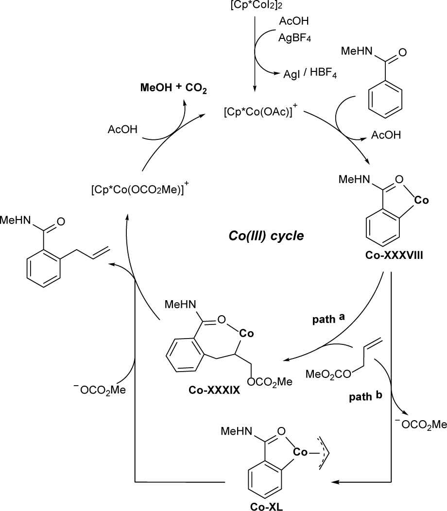
However, for the C–H activation step, both reactions presented some similarities due to a higher reactivity for electron deficient arenes presented in both cases, suggesting an important role of the ortho C–H acidity (Scheme 4.20b). Deuterium-labeled experiments demonstrated the reversibility of C–H activation by a H/ D scrambling at the ortho C–H. In addition, a KIE of 2.6 of two parallel reactions with deuterated and non-deuterated substrate indicated the C–H activation as the RDS. This was in agreement with the kinetic studies conducted at different substrate, additive and catalyst concentrations. Even though, the authors claimed just a fractional order with respect to the cobalt precursor, looking at the supporting data there is some dependency of the reaction rate with respect to the sodium benzoate and the amine. These results indicate a likely CMD mechanism assisted by the substrate. The authors did not mention further details concerning the activation of the alkynyl halide and a complete mechanism was not depicted for this case. Therefore, despite these mechanistic efforts, Balaraman proposed uniquely a reaction mechanism for the alkynylation of amides (Scheme 4.21) with strong support on the C–H activation step [88]. The first step is the deprotonation of the N–H bond forming the 8-quinoline coordinated five membered cobaltacycle Co-XVIII, followed by a base assisted CMD forming the pincer-like cobaltacycle Co-XIX. Then, this species might recombined with the silver-assisted generated alkyne radical to give a Co(IV) complex Co-XX, which by reductive elimination affords the alkynylated product and a Co(II) species, that might oxidize by the silver additive to form the active Co(III) species. It is worth noticing that the role of the additives and the oxidant is not fully understood at the moment and the proposed mechanism should be taken as that and not definite.
![Scheme 4.21. Proposed mechanism for the cobalt-catalyzed alkynylations of arenes by quinolone assisted C–H activation. Adapted from reference [88].](/document/doi/10.1515/chem-2018-0102/asset/graphic/j_chem-2018-0102_fig_048.jpg)
Proposed mechanism for the cobalt-catalyzed alkynylations of arenes by quinolone assisted C–H activation. Adapted from reference [88].
Looking for well-defined cobalt-based catalysts for C–H activation, the Chirik group focused its attention on the formation of C–B bonds using their already well known and defined cobalt pincer-type pre-catalyst [iPr-PNP]Co-CH2SiMe3 [90]. In 2016 Chirik and co-workers described thoroughly and elegantly the complete mechanism for their previously reported cobalt-catalyzed borylation of C(sp2)–H heteroarenes and arenes (Scheme 4.22) [90, 91]. First, carrying out kinetics studies based on the method of initial rates, the authors found a rate law with a first order dependence for the pre-catalyst as well as for the substrate 2,6-lutidine and zero order for the B2Pin2. In addition, deuterium-labeled experiments showed a KIE of 2.9 concluding the C–H activation as the RDS. Second, they could define the resting states of the catalyst Co-XXI and Co-XXII by their independent synthesis and detailed 1H and 31P NMR studies (Scheme 4.23 and Figure 4.1); where Co-XXI predominates at lower reaction times (i.e. null or lower concentration of HBPin) and Co-XXII predominates at the end of the reaction (i.e. higher concentration of HBPin, Figure 4.1). Importantly, they could observe a facile borylation on the ligand backbone at the C4-pyridine position at high concentration of B2Pin2 which lead them to block this site to improve the ligand for a second generation catalyst (vide infra).

Synthesis of the catalyst resting states during the cobalt-catalyzed borylations of arenes/heteroarenes by C–H activation.
After defining the catalyst resting states and the RDS, the authors proposed the catalytic cycle based on Co(I)/ Co(III) oxidation states of the metal center (Scheme 4.24). The pre-catalyst [iPr-PNP]Co-CH2SiMe3 is activated by reaction with B2Pin2 under N2 atmosphere to generate species Co-XXIII and release PinBCH2SiMe3. Then, the resting state of the catalyst is formed by a borylation of the complex backbone favored by the increased acidity due to the metal para-effect and occurring likely through a bimolecular process. Losing the labile N2 ligand produces the Co(I) catalytic active species Co-XXIV with a free coordination site to undergo oxidative addition with 2,6-lutidine generating a pseudooctahedral Co(III)-hydride-boryl-aryl intermediate Co-XXV. This is followed by the product formation via reductive elimination to form a Co(I)-hydride species Co-XXVI. Oxidative addition of B2Pin2 generates the Co(III)-hydride bisboryl complex Co-XXVII with a concomitant reductive elimination of HBpin to complete the catalytic cycle. Notice that with more turnovers, more HBpin is formed allowing the Co-XXVI species to react with it, producing the other catalyst resting state Co-XXII.
![Scheme 4.24. Proposed catalytic cycle for the cobalt-catalyzed borylation of arenes/heteroarenes with B2Pin2 by C–H activation. Adapted from reference [91].](/document/doi/10.1515/chem-2018-0102/asset/graphic/j_chem-2018-0102_fig_051.jpg)
Proposed catalytic cycle for the cobalt-catalyzed borylation of arenes/heteroarenes with B2Pin2 by C–H activation. Adapted from reference [91].
![Figure 4.1. ORTEP structure of the catalyst resting state CoXXII. Adapted from [91].](/document/doi/10.1515/chem-2018-0102/asset/graphic/j_chem-2018-0102_fig_052.jpg)
ORTEP structure of the catalyst resting state CoXXII. Adapted from [91].
Because of the borylation on the ligand backbone during the catalysis, Chirik and co-workers sought to synthesize a set of second generation catalysts with a variety of substituents at the C4-pyridine position. This would improve not only the catalyst’s stability but also the electronic density at the metal center. Indeed, the authors found that having an electron donor group at the C4-pyridine moiety such as pyrroyl improved considerably the kinetics of the reaction. Moreover, the KIE showed a very significant reduction to 1.6, showing that the C–H activation might not be the RDS for this catalyst [91]. Certainly, this result strongly supported the catalytic proposed mechanism since at higher electron density at the metal the C–H oxidative addition is kinetically favored but the C–B reductive elimination is less kinetically favored than in the previous case, then, turning to be the RDS but with an overall lower energy barrier for a more rapid turnover [91].
Additionally to the previous mechanistic studies the Chirik group also contributed to the understanding on the mechanistic details of borylation of heteroarenes using HBPin instead B2Pin2 (Scheme 4.25) [92]. Notably, even though the reaction conditions may look like the reaction with B2Pin2, they found that the mechanism varies considerably. First, they found only one catalyst resting state during the whole reaction being the Co(III)-dihydride species trans-[iPr-PNP]Co(H)2BPin (Co-XXVIII) without any post-modification on the ligand backbone. Second, the deuterium labeled experiments resulted in a KIE of 1.9 being significantly lower than the KIE obtained for the borylation of 2,6-lutidine, indicating that the RDS is another elementary step rather than the C–H bond activation. Thus, determining the rate law by the method of initial rates they described a first order dependence for the pre-catalyst and zero order for the substrates. This result suggested that the RDS must be the reductive elimination of H2 instead of HBPin from the catalyst resting state otherwise it would have dependence on heteroarene or HBPin. However, for the reductive elimination to release H2 from the catalyst resting state, an isomerization must occur to form the cis-[iPr-PNP] Co(H)2BPin (Co-XXVIII’) required for this reaction to take place.
![Scheme 4.25. Proposed catalytic cycle for the cobalt-catalyzed borylation of arenes/heteroarenes with HBPin by C–H activation. Adapted from reference [92].](/document/doi/10.1515/chem-2018-0102/asset/graphic/j_chem-2018-0102_fig_053.jpg)
Proposed catalytic cycle for the cobalt-catalyzed borylation of arenes/heteroarenes with HBPin by C–H activation. Adapted from reference [92].
Thus Chirik and co-workers proposed [92] a catalytic cycle supported by the mechanistic studies in which the pre-catalyst is activated by the reaction with HBPin releasing PinBCH2SiMe3 and forming the cobalt hydride species Co-XXIX (Scheme 4.25). Oxidative addition of HBPin into the Co(I) center produces the catalyst resting state Co-XXVIII. A trans to cis isomerization equilibrium reaction might occur by phosphine dissociation accessing the Co-XXVIII’ complex which by a concomitant H2 reductive elimination (RDS) forms the active species Co-XXX. Then, the heteroarene is C–H activated by an oxidative addition obtaining the pseudoctahedral aryl-boryl species Co-XXXI and finally the product is formed by a C–B reductive elimination regenerating the cobalt hydride species Co-XXIX in the cycle.
Further experiments helped to confirm this mechanistic proposal based on the electronic effects from the ligand backbone. The authors evaluated the effect of different substituents on the ligand at the C4-pyridine position, finding that the catalytic activity was enhanced with an electron-withdrawing group such as BPin [92]. This is in strong agreement with the RDS since the H2 reductive elimination will be kinetically favored (i.e. lower energy barrier) in an electron-deficient metal center. This result is in stark contrast to the previously borylation reaction with B2Pin2, demonstrating the complexity for ligand design which dramatically depends on the identity of the substrates.
4.2 High-valent Cp*Co(III) catalytic systems
As mentioned earlier, catalytic systems based on cobalt for C–H activation methods were fully dominated by low-valent cobalt species. However, due to the broad applicability of Cp*Rh(III) systems as catalyst for C–H activation protocols and the easy access to its lighter Cp*Co(III) counterpart, many research groups were attracted to explore such complexes as catalyst for C–H activation and more importantly understand their mode of action [68, 69]. Thus, it was just until 2014 when Cp*Co(III) complexes came into the catalytic arena for several reactions in C–H functionalization such as addition to polar electrophiles, oxidative coupling, hydroarylation, and heterocycle synthesis [69, 70]. Kanai, Matsunaga and co-workers realized a very insightful analysis of their cobalt-catalyzed carbamoyl-assisted alkenylation or alkenylation/annulation sequence of indoles with alkynes (Scheme 4.26) [93]. Strikingly, they found that the Cp*Co(III) not only presented good reactivity but better than the heavier Cp*Rh(III) counterpart.
![Scheme 4.26. Cobalt-catalyzed alkenylation/annulation of heteroarenes with alkynes by C–H activation. Adapted from reference [93].](/document/doi/10.1515/chem-2018-0102/asset/graphic/j_chem-2018-0102_fig_054.jpg)
Cobalt-catalyzed alkenylation/annulation of heteroarenes with alkynes by C–H activation. Adapted from reference [93].
Using the Cp*Co(III)-based catalysts the annulation reaction was promoted only with certain N-carbamoyl groups, whereas the Cp*Rh(III)-based catalysts always stopped at the alkenylation product. This exclusive reactivity suggested a defined differentiation on the organometallic species involved as intermediates. The isolation of the cobaltacycle Co-XXXII (Scheme 4.27, Figure 4.2) led them to calculate and study the natural population analysis (NPA) finding that the Co–C bond is more polarized than the Rh–C bond, thus, conferring a higher nucleophilic character to this carbon center [93]. The same behavior could be assumed for the next likely intermediate after insertion of the alkyne, therefore, promoting a nucleophilic attack on the carbamoyl for the annulation reaction.
![Scheme 4.27. Synthesis of the first cobaltacycle bearing a Cp* as coligand on the high-valent cobalt-catalyzed C–H activation. Adapted from reference [93].](/document/doi/10.1515/chem-2018-0102/asset/graphic/j_chem-2018-0102_fig_055.jpg)
Synthesis of the first cobaltacycle bearing a Cp* as coligand on the high-valent cobalt-catalyzed C–H activation. Adapted from reference [93].
![Figure 4.2. ORTEP structure of the catalyst resting state Co-XXXII. Adapted from [93].](/document/doi/10.1515/chem-2018-0102/asset/graphic/j_chem-2018-0102_fig_056.jpg)
ORTEP structure of the catalyst resting state Co-XXXII. Adapted from [93].
In order to understand the C–H activation steps the authors conducted deuterium-labeled experiments and thorough DFT calculations. Interestingly, a H/ D scrambling occurred exclusively at the C2-indole position under the catalytic conditions whereas either under absence of KOAc or using Sc(OTf)3, as a Lewis acid, the H/ D scrambling was exclusively observed at the C3-indole position (Scheme 4.28a). These results showed clearly the reversibility of the acetate-assisted deprotonation-metalation. The important role of the acetate was defined by DFT calculations finding a CMD mechanism via a 6-membered ring transition state (Scheme 4.28b) from the carbamoyl-coordinated cobalt complex [93]. Recently, Sakata and co-workers reported further DFT studies on the following steps [94]. They depicted that the alkyne coordination and insertion into the Co–C bond is kinetically and thermodynamically favored forming a seven-membered cobaltacycle. In addition, the calculations demonstrated the low difference in Gibbs free energy between the transition states for the annulation and alkenylation pathways, therefore, both are thermodynamically relevant. However, the alkenylation is the kinetically favored and at lower temperatures it predominates being in strong agreement to the experimental results.
Based on the experimental and DFT results the authors proposed a plausible mechanism based on an already known mechanism for heavier elements (Scheme 4.29). The catalytic cycle starts by a thermal dissociation of benzene from the pre-catalyst [Cp*Co(C6H6)]2+ favoring the coordination of the acetate ions forming the bis-acetate catalyst resting state. Dissociation of one acetate forms the cationic active species [Cp*Co(OAc)]+. Then, the substrate coordinates by the carbamoyl group forming the acetate-cabamoyl species which favors the regioselective acetate-assisted CMD at the C2-indole position to afford the cobaltacycle species Co-XXXIII. Insertion of the alkyne generates the nucleophilic alkenyl-cobaltacycle species Co-XXXIV which forms the annulation by intramolecular nucleophilic attack (path a). Further proto-demetalation with AcOH releases the final product and regenerates the cationic active species [Cp*Co(OAc)]+. However, if the carbamoyl moiety is not electrophilic enough, the product would be the alkenylated indole instead (path b).

Proposed catalytic cycle for the cobalt-catalyzed alkenylation/annulation of heteroarenes with alkynes by C–H activation.
Independently, Li and Ackermann reported in 2015 similar mechanistic results on the C–H activation in a Cp*Co(III)-catalyzed C–H cyanation of arenes and hetroarenes (Scheme 4.30) [95]. After carrying out deuterium-labeled experiments they observed H/D scrambling at the ortho position; also they obtained KIEs factors of 1.0 and 1.1 for inter- and intramolecular, respectively. Moreover, competition experiments showed just a slight preference for the electron-rich arene suggesting that the C–H metalation step is not the rate-determining step. Indeed, a Hammet analysis demonstrated that the rate-determining step changes depending on the substituents at the aromatic ring making the system more complex to analyze. Further analysis on the insertion of the N-cyano-N-phenyl-p-toluenesulfonamide to yield the product was not evaluated. Although, the authors proposed a complete reaction mechanism starting on a CDM of the substrate by the [Cp*Co(OAc)]+ active species (Scheme 4.31) [95]. Then, an N-coordination by the cyano substrate promotes the insertion of the triple C–N bond into the Co–C bond forming the seven-membered cobaltacycle intermediate Co-XXXV. Finally, a protodemetallation furnishes the product and recovers the cationic [Cp*Co(OAc)]+ active species.
![Scheme 4.30. Cobalt-catalyzed cyanation of arenes/heteroarenes by C–H activation. Adapted from reference [95].](/document/doi/10.1515/chem-2018-0102/asset/graphic/j_chem-2018-0102_fig_059.jpg)
Cobalt-catalyzed cyanation of arenes/heteroarenes by C–H activation. Adapted from reference [95].
![Scheme 4.31. Proposed mechanism for the cobalt-catalyzed cyanation of arenes/heteroarenes by C–H activation. Adapted from reference [95].](/document/doi/10.1515/chem-2018-0102/asset/graphic/j_chem-2018-0102_fig_060.jpg)
Proposed mechanism for the cobalt-catalyzed cyanation of arenes/heteroarenes by C–H activation. Adapted from reference [95].
In a computational and an experimental study for the Co(II)-catalyzed C–H alkoxylation Wei, Niu and co-workers explored the activity of the Cp*Co(III) systems as a proof of concept on C–H activation via radical-based mechanism [96]. The authors not only found good activity (Scheme 4.32) but also important mechanistic insights for such a reaction. In addition to deuterium labeled experiments with insignificant KIEs around 1.0, the catalytic activity was completely quenched in the presence of TEMPO suggesting a radical-based mechanism. They confirmed this result by EPR spectroscopy in which a single electron radical was observed at g = 2.23003. Then, the authors calculated the most plausible mechanism based on this observation by DFT calculations, finding the RDS as the SET process between the substrate and the cobalt catalyst, based on the reaction energy profile.
![Scheme 4.32. Cobalt-catalyzed alkoxylation of arenes/heteroarenes by C–H activation. Adapted from reference [96].](/document/doi/10.1515/chem-2018-0102/asset/graphic/j_chem-2018-0102_fig_061.jpg)
Cobalt-catalyzed alkoxylation of arenes/heteroarenes by C–H activation. Adapted from reference [96].
Based on the experimental and calculated results, the authors proposed a Co(II)/Co(III) catalytic cycle for the C–O alkoxylation (Scheme 4.33). First the oxidant AgOR is generated from the Ag2O with the corresponding alcohol and the substrate is deprotonated by a base. This deprotonated species react with the cobalt catalyst by a intramolecular SET, generating the cationic radical-centered substrate and the Co(II) species which are easily oxidized by the AgOR forming the alkoxide [Cp*Co(III) OR] species. The radical-deprotonated substrate then coordinates and recombined by homolytic cleavage of the CoII–OR bond with this cobalt species generating the Co(II) cobaltacycle species Co-XXXVI. Re-aromatization by a proton abstraction forms then the alkoxylated arene Co(II) cobaltacycle species Co-XXXVII. Finally, proto-demetalation and re-oxidation of the cobalt center by AgOR regenerates the Co(III)-alkoxyde active species.
![Scheme 4.33. Proposed mechanism for the cobalt-catalyzed alkoxylation of arenes/heteroarenes by C–H activation (L = halide anion and/or alkoxyde). Adapted from reference [96].](/document/doi/10.1515/chem-2018-0102/asset/graphic/j_chem-2018-0102_fig_062.jpg)
Proposed mechanism for the cobalt-catalyzed alkoxylation of arenes/heteroarenes by C–H activation (L = halide anion and/or alkoxyde). Adapted from reference [96].
In 2014 and 2015 the Glorius group explored the allylation of arenes (i.e. indoline, aromatic amides) by C–H activation catalyzed by a Cp*Co(III) species using a carbonate as the leaving group in the allyl substrate (Scheme 4.34) [97, 98].
In order to understand whether the Cp*Co(III) metalates the C–H or acted as a Lewis acid the authors conducted mechanistic studies with deuterium labeled substrates and other Lewis acids [98]. First, the reaction failed with the strong Lewis acid Sc(OTf)3. Second, H/ D scrambling on the aromatic amide at the ortho position and competition and parallel experiments showed high KIE values showcasing the C–H activation process as the RDS (Scheme 4.35a). In addition, using an α deuterium disubstituted allyl methyl carbonate furnished majorly the γ deuterium disubstituted product (Scheme 4.35b). This result suggested a β-methylcarbonate elimination from a cobalt alkyl species.
Based on these results the authors proposed a plausible Co(III) catalytic cycle forming the active species [Cp*Co(OAc)]+ via activation of [Cp*CoI2]2 with the additive AgBF4 and AcOH (Scheme 4.36) [98]. Then, this active species forms a cationic cobaltacycle intermediate Co-XXXVIII via CMD favored by the OAc–. The olefin inserts on the Co–C(sp2) bond (path a), however, due to the product distribution on the deuterium labeled experiments with 9% of α deuterium disubstituted product (Scheme 4.35b), the formation of π-allyl species Co-XL might occur predeceasing the nucleophilic attack from the Co–C to the cationic allyl moiety (path b). Although, for substituted olefins the steric hindrance plays a crucial role for the high regioselectivity of the reaction, favoring path a.
![Scheme 4.35. Deuterium-labeled experiments in the cobalt-catalyzed allylation of arenes/heteroarenes. Adapted from reference [98].](/document/doi/10.1515/chem-2018-0102/asset/graphic/j_chem-2018-0102_fig_064.jpg)
Deuterium-labeled experiments in the cobalt-catalyzed allylation of arenes/heteroarenes. Adapted from reference [98].

Proposed catalytic cycle for the cobalt-catalyzed allylation of arenes/heteroarenes.
Independently, Matsunaga, Kanai and co-workers reported the cobalt-catalyzed C–H allylation of arenes but using allylic alcohols without the need of any protecting group on this functional group [99]. Even though, while the authors did not conduct any mechanistic experiments they did thorough calculations on a plausible mechanism supporting the β-hydroxide elimination like the previous mechanism proposed by the Glorious group (Scheme 4.36, path a).
In addition to the previous reactivities, the Cp*Co(III) systems have shown very good catalytic activity in annulation reactions to obtain heterocycles with potential medicinal applicability. In 2015 the Ackerman group reported the cobalt-catalyzed oxidative annulation of oximes and alkynes by C–H/N–O functionalization (Scheme 4.37) [100]. Remarkably, this procedure did not require an external oxidant and various examples required as low as 15 min to furnish the total yield. Like in their previous studies, Ackermann and co-workers conducted systematic mechanistic studies in order to understand the catalytic mechanism. First, inter- and intramolecular competition experiments showed that electron-rich arenes are inherently more reactive (Scheme 4.38a and b) suggesting that the C–H activation occurs via a base-assisted intramolecular electrophilic-type substitution mechanism (BIES) by the cationic [Cp*Co(OAc)]+ species. Additionally, the alkynes with aromatic substituents were more reactive than the aliphatic (Scheme 4.38c). Deuterium-labeled experiments were in agreement to this result due to the low KIE of 1.5 suggested that the C–H activation is not the RDS. Moreover, reversibility of the C–H activation was observed by the H/ D scrambling at the ortho position of both, substrate and product, including a rare scrambling at the methyl group in the product. A potential organic intermediate such as the alkenylated oxyme was ruled out since under the catalytic conditions furnished the product just in stoichiometric amounts (Scheme 4.38d). Therefore, the authors proposed a plausible mechanism according to their results (Scheme 4.39). First, a reversible C–H activation forming the cobaltacycle Co-XLI which reacts with the alkyne via a migratory insertion, most likely the RDS, forming a proposed seven-membered cobaltacycle Co-XLII intermediate. Next, the latter species forms the C–N bond via a concerted bond formation-acetate transfer from the nitrogen to the cobalt center releasing the product and regenerating the catalytic active species [Cp*Co(OAc)]+.
![Scheme 4.37. Cobalt-catalyzed oxidative annulation of oximes and alkynes by C–H/N–O activation. Adapted from reference [100].](/document/doi/10.1515/chem-2018-0102/asset/graphic/j_chem-2018-0102_fig_066.jpg)
Cobalt-catalyzed oxidative annulation of oximes and alkynes by C–H/N–O activation. Adapted from reference [100].
![Scheme 4.38. Competition and mechanistic experiments for the cobalt-catalyzed oxidative annulation of oximes and alkynes. Adapted from reference [100].](/document/doi/10.1515/chem-2018-0102/asset/graphic/j_chem-2018-0102_fig_067.jpg)
Competition and mechanistic experiments for the cobalt-catalyzed oxidative annulation of oximes and alkynes. Adapted from reference [100].
![Scheme 4.39. Proposed catalytic cycle for the cobalt-catalyzed oxidative annulation of oximes and alkynes by C–H/N–O activation. Adapted from reference [100].](/document/doi/10.1515/chem-2018-0102/asset/graphic/j_chem-2018-0102_fig_068.jpg)
Proposed catalytic cycle for the cobalt-catalyzed oxidative annulation of oximes and alkynes by C–H/N–O activation. Adapted from reference [100].
Extending the Cp*Co(III) catalytic applicability the Ellmann group explored the synthesis of indazoles and furans by a sequence of C–H functionalization–addition– cyclization processes (Scheme 4.40) [101]. In addition to this novel reactivity, the authors conducted a series of thorough experiments in order to understand its mode of action. Deuterium-labeled substrates demonstrated clearly the reversibility of the C–H metalation by the H/ D scrambling at the ortho positions at the remaining azobenzene as well as at the product. Interestingly, competition experiments with either electron-rich or electron-poor substrates showed lower reactivity than the standard azobenzene and benzaldehyde. This result showed clearly the RDS dependence on the substrate due to the many processes involved for the product formation. First, the CMD is less favored with an electron-withdrawing group; and second, the expected alcohol as an intermediate, after aldehyde insertion, cyclizes by intramolecular nucleophilic attack from the azo-group to the carbon bonded to the hydroxyl group by either an SN1 or S N2 process. The latter would be expected to be kinetically less favorable with electron-withdrawing groups as well. Interestingly, the reversibility for the aldehyde insertion was found by a cross-over experiment with a speculated azobenzene-benzyl alcohol intermediate and p-methylbenzaldehyde under the catalytic conditions obtaining a mixture of both cyclized products (Scheme 4.41).
![Scheme 4.40. Cobalt-catalyzed cycloaddition of azobenzenes/ oximes with aldehydes for the synthesis of indazoles and furans by C–H activation. Adapted from reference [101].](/document/doi/10.1515/chem-2018-0102/asset/graphic/j_chem-2018-0102_fig_069.jpg)
Cobalt-catalyzed cycloaddition of azobenzenes/ oximes with aldehydes for the synthesis of indazoles and furans by C–H activation. Adapted from reference [101].

Cross-over experiment for the reversibility of aldehyde insertion in the cobalt-catalyzed cyclization of azobenzenes and aldehydes.
Based on the experimental results the authors proposed a mechanism driven by the cyclized product (Scheme 4.42) [101]. First the pre-catalyst [Cp*Co(C6H6)] (PF6)2 is thermally activated by the loss of benzene forming the cationic active species [Cp*Co]2+. This species is coordinated with the azobenzene followed by a reversible cyclometalation forming the cobaltacycle Co-XLIII. A reversible aldehyde coordination and migratory insertion affords the seven-membered cobaltacycle Co-XLIV. Then a proto-demetalation releases the alcohol product and the cobalt cationic active species [Cp*Co]2+. Finally, the alcohol intermediate cyclizes intramolecurlarly releasing H2O with a concomitant re-aromatization to furnish the indazole.
![Scheme 4.42. Proposed mechanism for the cobalt-catalyzed addition of azobenzenes with aldehydes with further cyclization for the synthesis of indazoles. Adapted from reference [101].](/document/doi/10.1515/chem-2018-0102/asset/graphic/j_chem-2018-0102_fig_071.jpg)
Proposed mechanism for the cobalt-catalyzed addition of azobenzenes with aldehydes with further cyclization for the synthesis of indazoles. Adapted from reference [101].
In a similar study to the Ackermann group on oxidative annulations [100], the Li group reported the annulation of alkynes with arylamides in order to produce quinolines and H2O as a byproduct (Scheme 4.43) [102]. In addition to the broad substrate scope for amides and alkynes, the authors carried out further experiments in order to understand the catalytic mechanism. Remarkably, deuterium-labeled experiments showed very high intermolecular KIE values of 3.4 and 5.3 for parallel reactions and an equimolar mixture reaction of the deuterated and not deuterated amide, respectively. This result disclosed the C–H activation as the RDS. The competition experiments showed reactivity preference for the electron-rich arylamide which is consistent with a higher nucleophilic character of the Co–C(sp2) bond formed after metalation (Scheme 4.44a). Additionally, the annulation reaction was confirmed to be mediated by the cobalt center since the product was inaccessible when the ortho-alkenylated amide was subjected under the catalytic conditions, instead an indoline product was generated by hydroamination of the olefin in good yield (Scheme 4.44b).
![Scheme 4.43. Cobalt-catalyzed annulation of arylamides and alkynes by C–H activation. Adapted from reference [102].](/document/doi/10.1515/chem-2018-0102/asset/graphic/j_chem-2018-0102_fig_072.jpg)
Cobalt-catalyzed annulation of arylamides and alkynes by C–H activation. Adapted from reference [102].
![Scheme 4.44. Mechanistic studies for the cobalt catalyzed annulation arylamides and alkynes. Adapted from reference [102].](/document/doi/10.1515/chem-2018-0102/asset/graphic/j_chem-2018-0102_fig_073.jpg)
Mechanistic studies for the cobalt catalyzed annulation arylamides and alkynes. Adapted from reference [102].
Based on the experiments, the authors proposed a plausible mechanism (Scheme 4.45). First the pre-catalyst is activated by the silver additive to generate the believed active species [Cp*Co(NTf)2]. The latter species reacts with the arylamide forming the six-membered cobaltacycle Co-XLV. Then, alkyne migratory insertion generates the eight-membered cobaltacycle Co-XLVI which promotes an intramolecular nucleophillic attack on the carbonyl forming an alkoxide-cobalt complex Co-XLVII. Finally, the product is formed by a proto-demetalation with a subsequent dehydratation of the tertiary alcohol. Even though this mechanism is congruent with the experimental results, the authors did not point out the need for stoichiometric amounts of the silver(I) additive. This suggests that the catalytic cycle might involve radical and/ or redox species in order to fulfill the turnover.
![Scheme 4.45. Proposed mechanism for the cobalt-catalyzed annulation of arylamides and alkynes. Adapted from reference [102].](/document/doi/10.1515/chem-2018-0102/asset/graphic/j_chem-2018-0102_fig_074.jpg)
Proposed mechanism for the cobalt-catalyzed annulation of arylamides and alkynes. Adapted from reference [102].
In their way of expanding the high-valent cobalt catalysis the Ackerman group reported the amidation reaction using oxazolinyl as a directing group for the arene C–H functionalization. For this purpose, the authors used dioxazolones as coupling partners for the accessibility of the amide function after a CO2 extrusion (Scheme 4.46) [103]. Remarkably, the reaction possesses a very broad functional group tolerance as well as high chemoselectivity. In order to understand the catalyst mode of action the authors conducted different mechanistic studies excluding first any radical-based or heterogeneous-based mechanism since under the presence of several radical scavengers and a mercury drop, the catalytic performance was unaltered. Interestingly, deuterium-labeled experiments revealed H/D scrambling at the 2-aryloxazonyline ortho position but only in the absence of dioxazolones (Scheme 4.47). In addition, the significant intermolecular KIE values of 2.3 and 3.0 measured for parallel reactions and an equimolar mixture respectively, showed that the C–H activation is kinetically relevant and is reversible in nature. However, this reversibility is less kinetically favored than the dioxazolone insertion under the catalytic conditions. According to the favorable reactivity for electron-rich substrates the authors concluded a base-assisted intermolecular electrophilic substitution-type C–H metalation mechanism (BIES), which is in agreement with the systems previously described with similar trend in reactivity.
![Scheme 4.46. Cobalt-catalyzed amidation of 2-aryloxazolynes with dioxazolones by C–H activation. Adapted from reference [103].](/document/doi/10.1515/chem-2018-0102/asset/graphic/j_chem-2018-0102_fig_075.jpg)
Cobalt-catalyzed amidation of 2-aryloxazolynes with dioxazolones by C–H activation. Adapted from reference [103].

H/D scrambling experiments for the Cobalt-catalyzed amidation of 2-aryloxazolynes with dioxazolones.
Based on the mechanistic findings Ackermann and co-workers proposed a plausible mechanism starting from activating the pre-catalyst [Cp*Co(CO)I2] by the silver and sodium additives forming the cationic active species [Cp*Co(OAc)]+ (Scheme 4.48). This species reacts in the kinetically relevant C–H metalation forming the five-membered cobaltacycle Co-XLVIII. Subsequent coordination of the dioxazolone forms the intermediate Co-XLIX, which undergoes insertion into the Co–C bond and CO2 extrusion, although no experimental evidences confirmed this step. Finally, proto-demetalation of Co-L by acetic acid forms the product and regenerates the catalytic active cobalt(III) species.
![Scheme 4.48. Proposed mechanism for the cobalt-catalyzed amidation of 2-aryloxazolynes with dioxazolones. Adapted from reference [103].](/document/doi/10.1515/chem-2018-0102/asset/graphic/j_chem-2018-0102_fig_077.jpg)
Proposed mechanism for the cobalt-catalyzed amidation of 2-aryloxazolynes with dioxazolones. Adapted from reference [103].
Continuing the expanding of the substrate scope in high-valent cobalt catalysis, the Ackermann group conducted the hydroarylation of allenes with high functional group tolerance and good site-selectivity (Scheme 4.49) [104]. Attracted by this novel reactivity Ackermann and co-workers conducted thorough and judicious mechanistic experiments supported by DFT calculations in order to understand the mechanistic landscape of this high-valent cobalt catalytic system. First, deuterium labeled experiments allowed them to exclude a radical-based C–H activation mechanism due to the high H/ D scrambling under the presence of CH3OD but not with CD3OH. In addition, conducting the reaction between deuterated substrates and the allene, they observed a significant deuteration at the γ carbon in the product (Scheme 4.50). Due to the high H/ D scrambling presented in the system under the reaction conditions the deuteration ratio was relatively low. Second, the KIE value of 2.2 for independent reactions suggested the C–H activation process to be kinetically relevant.
![Scheme 4.49. Cobalt-catalyzed hydroarylation of allenes by C–H activation. Adapted from reference [104].](/document/doi/10.1515/chem-2018-0102/asset/graphic/j_chem-2018-0102_fig_078.jpg)
Cobalt-catalyzed hydroarylation of allenes by C–H activation. Adapted from reference [104].
![Scheme 4.50. Deuterium labeled experiments for the cobalt-catalyzed hydroarylation of allenes. Adapted from reference [104].](/document/doi/10.1515/chem-2018-0102/asset/graphic/j_chem-2018-0102_fig_079.jpg)
Deuterium labeled experiments for the cobalt-catalyzed hydroarylation of allenes. Adapted from reference [104].
Conducting additional kinetic experiments with different substrate and catalyst concentrations, in order to define the rate-law, the authors found a clear first order dependence on the pre-catalyst [Cp*Co(CO)I2], inverse first order dependence on the aromatic substrate and zero order on the allene. These results together with the KIE suggested that the C–H activation as the RDS proceeding by a ligand-to-ligand hydrogen transfer mechanism (LLHT), based on the C–H activation dependence on aromatic substrate dissociation from the metal center. Moreover, the authors strongly supported this activation mode by a Hammet analysis showing higher reactivity (i.e. higher reaction rates) for electron-poor arenes due to the increment in C–H acidity for such systems.
In order to understand the allene insertion step into the Co–C(sp2) bond, Ackermann and co-workers synthesized and submitted an allylated indole under the catalytic conditions without observing any isomerization indicating that isomerization of the C=C double bond is not occurring through a C–H allylation (Scheme 4.51a). Therefore, the C–H alkenylation must occur after an irreversible C–C bond formation. Additional DFT calculations supported this result showing the thermodynamically favored pathway for olefin isomerization after allene insertion (Scheme 4.51b).
![Scheme 4.51. Experimental and calculated evaluation of the allene insertion and post-olefin isomerization. Energies are given in kcal/ mol. Adapted from [104].](/document/doi/10.1515/chem-2018-0102/asset/graphic/j_chem-2018-0102_fig_080.jpg)
Experimental and calculated evaluation of the allene insertion and post-olefin isomerization. Energies are given in kcal/ mol. Adapted from [104].
Based on these experimental results and complementary DFT calculations, the authors proposed the most plausible mechanism for this reaction (Scheme 4.52). First, the pre-catalyst [Cp*Co(CO)I2] is activated forming the cationic [Cp*Co]2+ active species by reacting with AgSbF6. This species is coordinated by two pyrazole molecules in order to allow the RDS C–H metalation by a LLHT mechanism producing the five-membered cobaltacycle Co-L species. Then, allene coordination and migratory insertion furnish the seven-membered cobaltacycle Co-LI intermediate which is followed by double bond isomerization and protonation obtaining the product coordinated at the metal center by the N of the pyrazole and η2-olefin (Co-LII). Finally, olefin decoordination and ligand substitution by another molecule of pyrazole regenerate the cobalt active species coordinated by two heteroarene ligands which allows the LLHT for the next C–H functionalization turnover.
![Scheme 4.52. Proposed mechanism for the cobalt-catalyzed hydroarylation of allenes. Adapted from reference [104].](/document/doi/10.1515/chem-2018-0102/asset/graphic/j_chem-2018-0102_fig_081.jpg)
Proposed mechanism for the cobalt-catalyzed hydroarylation of allenes. Adapted from reference [104].
Later on, the Ackermann group studied the high-valent cobalt-catalyzed hydroarylation of olefins [105] in contrast to that previously reported low-valent cobalt-catalyzed by the Yoshikai group [75-77]. Wisely applying the plausible mechanisms for the C–H activation under a high-valent cobalt regime, the authors explored the switchable selectivity towards the linear or the branched products. Previously Yoshikai and co-workers found a ligand-controlled selectivity for such a reaction [75, 77], however, Ackermann and co-workers found that varying the nature of an additional organic acid this selectivity could be tuned under the Cp*Co(III) catalytic system. Thus, they could selectively obtain either the linear or the branched products in high regioselectivity using the same catalyst but varying an added additive such as 1-adamantanecarboxylic acid (Scheme 4.53). Important to highlight is the chemoselectivity monofunctionalization of terminal dienes, the aliphatic alcohol functional group and aromatic halides for further post-functionalization of those products.
![Scheme 4.53. Cobalt-catalyzed regioselective hydroarylation of olefins by C–H activation. 1-AdCO2H = 1-adamantanecarboxylic acid. Adapted from reference [105].](/document/doi/10.1515/chem-2018-0102/asset/graphic/j_chem-2018-0102_fig_082.jpg)
Cobalt-catalyzed regioselective hydroarylation of olefins by C–H activation. 1-AdCO2H = 1-adamantanecarboxylic acid. Adapted from reference [105].
In order to understand this exquisite regioselectivity, Ackermann and co-workers conducted different mechanistic studies and theoretical calculations. First, deuterium-labeled experiments showed insignificant KIE values of 1.2 and 1.7 for the linear- and branched-selective reactions, respectively. Additionally, H/D scrambling at the activated C–H indicated the reversibility of the none-kinetically relevant C–H activation step. Detailed kinetic analysis with the initial rates method showed for the linear-selective reaction a first order dependence on the indole as well as on the pre-catalyst. Whereas for the branched-selective reaction showed a zero order dependence on the indole, and first order dependence on the pre-catalyst as well as on the carboxylic acid. Moreover, a competition experiment between electron-rich and electron poor substrates showed higher reactivity for the electron-rich arene, supporting a base-assisted intramolecular electrophilic substitution (BIES) C–H activation process. Based on these results, the authors rationalized both selectivities under different mechanistic regimes. For the linear selective the RDS is the proto-demetalation by the LLHT pathway involving a new molecule of indole as the protonating agent for the final product. On the other hand, for the branched-selective the RDS is the proto-demetalation mediated by the carboxylate anion presented in the medium.
The authors demonstrated clearly this regioselectivity with detailed calculations on the full mechanism. They found that under the absence of the sterically crowded carboxylic acid (not shown here), the transition states for the rate-determining LLHT pathway were differentiated by 4.4 kcal/mol favoring the linear product (Scheme 4.54a); whereas under the presence of the carboxylic acid the proto-demetalation pathway is the RDS differentiating the transition states by 6.5 kcal/mol favoring the branched product (Scheme 4.54b).
![Scheme 4.54. Calculated energies in kcal/mol for the rate determining steps in the regioselective cobalt-catalyzed hydroarylation of olefins. Data taken and adapted from [105].](/document/doi/10.1515/chem-2018-0102/asset/graphic/j_chem-2018-0102_fig_083.jpg)
Calculated energies in kcal/mol for the rate determining steps in the regioselective cobalt-catalyzed hydroarylation of olefins. Data taken and adapted from [105].
Up to now we have disclosed the relevant mechanistic studies based on kinetic data which have given a clearer mechanistic understanding on the C–H functionalization. However, the reaction intermediates have remained elusive for their isolation leading still to certain black holes to fulfill in the catalytic cycles. The isolation of such intermediates might give a full understanding of the experimental data leading to an improvement on the catalytic performance. Recently, few research groups have focused their attention on such intermediates and study their reactivities complementing nicely the already known data for the C–H activation initiation pathway.
In 2017 Perez-Temprano and co-workers isolated high-valent cobalt intermediates in the oxidative annulation of arenes with alkynes [106]. Due to the reversibility in C–H metalation observed by ortho H/D scrambling, the authors synthesized the organometallic cobaltacycle Co-LIII via an oxidative addition on a C(sp2)–I bond, avoiding any presence of acid/base or a protic solvent, yielding quantitatively the product (Scheme 4.55a) which is in stark contrast to the low-yield obtained previously for such a species reported by Kanai and co-workers in a transmetallation fashion [93]. Further reactivity of Co-LIII with a silver salt allowed them to isolated the cationic cobaltacycle Co-LIV stabilized by an acetonitrile molecule (Scheme 4.55b and Figure 4.3).
![Scheme 4.55. Synthesis of Co(III) cobaltacycles by oxidative addition and salt metathesis reactions. Adapted from reference [106].](/document/doi/10.1515/chem-2018-0102/asset/graphic/j_chem-2018-0102_fig_084.jpg)
Synthesis of Co(III) cobaltacycles by oxidative addition and salt metathesis reactions. Adapted from reference [106].
Strikingly, the authors noticed a very fast alkyne insertion reaction when 1 equiv of diphenylacetylene was added to a Co-LIV NMR sample in CD2Cl2, in addition to long lasting NMR signals for an intermediate which vanished with the time while increasing the signals for the annulated product. Isolation and full characterization of this intermediate demonstrated for the first time the continuously proposed seven-membered cobaltacycle Co-LV after the alkyne insertion (Scheme 4.56 and figure 4.4). Interestingly, after conducting a catalytic reaction at higher catalyst loading the authors observed that Co-LV was the catalysts resting state. Thus, conducting the stoichiometric reaction under an excess of a coordinating solvent such as acetonitrile prolonged the half-life time of such an intermediate, concluding that the acetonitrile must de-coordinate in order for the reaction to proceed for the next elementary step. The slow formation of the annulated product suggested that a reductive elimination might be the RDS with the release of a very reactive [Cp*Co(I)] species. Due to the reactive nature of the latter species, Perez-Temprano and co-workers indirectly characterized it by forming in-situ the cobaltacycle Co-LIII adding 2-(2-iodophenyl)pyridine which allows the oxidative addition on the C(sp2)–I bond at the low-valent metal center (Scheme 4.56). In addition to the stoichiometric studies, they showed an improvement in the catalytic performance of the cationic cobaltacycle Co-LIV when compared with the pre-catalyst [Cp*Co(CO) I2], supporting the intermediacy of such species as well as the effectiveness of avoiding pre-catalyst activation for that catalytic activity in such systems.
![Scheme 4.56. Stoichiometric alkyne insertion and reductive elimination pathways for the cobalt-catalyzed oxidative annulation of arenes with alkynes. Adapted from reference [106].](/document/doi/10.1515/chem-2018-0102/asset/graphic/j_chem-2018-0102_fig_085.jpg)
Stoichiometric alkyne insertion and reductive elimination pathways for the cobalt-catalyzed oxidative annulation of arenes with alkynes. Adapted from reference [106].
![Figure 4.3. ORTEP structure of the catalyst resting state Co-LIV. Adapted from [106].](/document/doi/10.1515/chem-2018-0102/asset/graphic/j_chem-2018-0102_fig_086.jpg)
ORTEP structure of the catalyst resting state Co-LIV. Adapted from [106].
![Figure 4.4. ORTEP structure of the catalyst resting state Co-LV. Adapted from [106].](/document/doi/10.1515/chem-2018-0102/asset/graphic/j_chem-2018-0102_fig_087.jpg)
ORTEP structure of the catalyst resting state Co-LV. Adapted from [106].
Based on the results, the authors proposed the most plausible mechanism (Scheme 4.57). First, the cationic cobaltacycle Co-LIV releases the acetonitrile molecule to form Co-LVI with a subsequent alkyne coordination and fast migratory insertion into the Co–C(sp2) bond forming the seven-membered cobaltacycle Co-LVII species. The latter is stabilized by a coordination of an acetonitrile molecule to form the catalyst resting state Co-LV, out of the catalytic cycle. Then a slow reductive elimination forms the annulated product and the reactive [Cp*Co(I)] species which are oxidized to the active species [Cp*Co(III)]2+ by the stoichiometric additives, copper or silver salts. Then the reversible C–H metalation regenerates the cationic cobaltacycle Co-LVI.
![Scheme 4.57. Proposed mechanism for the cobalt-catalyzed oxidative annulation of arenes with alkynes. Adapted from reference [106].](/document/doi/10.1515/chem-2018-0102/asset/graphic/j_chem-2018-0102_fig_088.jpg)
Proposed mechanism for the cobalt-catalyzed oxidative annulation of arenes with alkynes. Adapted from reference [106].
Parallel to the previous work, Zhu and co-workers could isolate reaction intermediates by a C–H activation reaction for the cobalt catalyzed oxidative alkyne annulation reaction, although with other substrate such as N-chlorobenzamides (Scheme 4.58) [107]. Despite the likely reversibility of the C–H activation, the authors could push the equilibrium with a large excess of base in order to isolate the five-membered cobaltacycles Co-LVIII and Co-LIX albeit in low yields (Scheme 4.59, Figure 4.5) as reported previously for Co-XXXII by Kanai using a transmetalation reaction [93]. Further stoichiometric and catalytic reactivity of Co-LVIII proved its intermediacy in the catalytic cycle. Additional H/D scrambling experiments and a deuterium-labeled competition experiment with a KIE value of 4.0 showed the reversibility and kinetically relevant nature of the C–H activation step. Moreover, a competition experiment showed favorability for electron-poor arenes suggesting a CMD mechanism for this C–H activation.
![Figure 4.5. ORTEP structure of the cobaltacycle complex Co-LVIII. Adapted from [107].](/document/doi/10.1515/chem-2018-0102/asset/graphic/j_chem-2018-0102_fig_089.jpg)
ORTEP structure of the cobaltacycle complex Co-LVIII. Adapted from [107].
![Scheme 4.58. Cobalt-catalyzed oxidative annulation of N-chlorobenzamides with alkynes by C–H activation. Adapted from reference [107].](/document/doi/10.1515/chem-2018-0102/asset/graphic/j_chem-2018-0102_fig_090.jpg)
Cobalt-catalyzed oxidative annulation of N-chlorobenzamides with alkynes by C–H activation. Adapted from reference [107].

Synthesis of cobaltacycles with N-chlorobenzamides.
Based on these results, the authors proposed a plausible mechanism, however, the proposal is just based on the formation of these cobaltacycles and reduced support information for the next elementary steps was provided. For instance, after the formation of cobaltacycle by C–H metalation the authors claimed to have an oxidation of the cobalt center from Co(III) to Co(V) by the N–Cl bond forming a very rare imido species (i.e. Co=N bond). If this would be the case, the synthesis and isolation of Co-LVIII and Co-LIX would not be as handy as they described in the supporting information purifying by flash column chromatography. Additionally, the extra experiments from our point of view are not enough to strongly support the postulated mechanism. Thus, the authors proposed a very unlikely Co(III)/Co(V) mechanism (Scheme 4.60), based on the fact that a Rh(V) intermediate has been suggested in the literature, which is quite unlikely for such a ligand environment. When compared this reaction with the oxidative annulation of oximes with alkynes (Scheme 4.39) [100], it is very likely this reaction could also work under a Co(III) cycle passing through a C–N concerted bond formation-chlorine transfer from the nitrogen to the cobalt center releasing the product and regenerating the catalytic active species [Cp*CoCl]+. Therefore, we proposed a more likely Co(I)/ Co(III) mechanism in which after the reductive elimination from Co-LXII, the heterocycle product chlorobenzamide oxidizes the Co(I) species to Co(III) transferring the chlorine atom to the metal center and the final product is formed by a subsequent protonation (Scheme 4.60).
![Scheme 4.60. Proposed mechanisms for the cobalt-catalyzed oxidative annulation of N-chlorobenzamides with alkynes. Adapted from reference [107].](/document/doi/10.1515/chem-2018-0102/asset/graphic/j_chem-2018-0102_fig_092.jpg)
Proposed mechanisms for the cobalt-catalyzed oxidative annulation of N-chlorobenzamides with alkynes. Adapted from reference [107].
Additionally to the study of the Cp* systems, recently an insightful study by Ribas and co-workers provided evidences on the high-valent cobalt-catalyzed C–H activation reaction, although starting from a Co(II) precursor and using a macrocyclic ligand environment around the cobalt center (Scheme 4.61) [108]. Through a direct coordination of a Co(II) precursor in the macrocyclic ligand they could observe that the C–H activation did not occur under inert atmosphere (Co-LXIII, Figure 4.6a), although the C–H metalation did happen under the presence of an oxidant environment (i.e. air, O2, Ag+, TEMPO) forming the Co(III) cobaltacycle Co-LXIV (Figure 4.6b). Additionally, the requirement of a base to quantitatively obtain the organometallic products strongly suggests a CMD C–H activation mechanism. Important to highlight is the thorough spectroscopic characterization of these cobalt complexes defining not only their chemical structure but also the oxidation state at the metal center.
![Scheme 4.61. Synthesis of macrocyclic cobaltacycle Co-LXIV through Co(III) C–H activation. Adapted from reference [108].](/document/doi/10.1515/chem-2018-0102/asset/graphic/j_chem-2018-0102_fig_093.jpg)
Synthesis of macrocyclic cobaltacycle Co-LXIV through Co(III) C–H activation. Adapted from reference [108].
![Figure 4.6. ORTEP structures for the high-valent cobaltacycles (a) Co-LXIII and (b) Co-LXIV-(MeCN)2. Adapted from [108].](/document/doi/10.1515/chem-2018-0102/asset/graphic/j_chem-2018-0102_fig_094.jpg)
ORTEP structures for the high-valent cobaltacycles (a) Co-LXIII and (b) Co-LXIV-(MeCN)2. Adapted from [108].
The authors carried out further reactivity of these cobaltacycles with terminal alkynes finding a very rare formation of a five-membered heterocycle as a product in contrast to the annulation reactions forming six-membered heterocycles (Scheme 4.62a). Varying the reaction temperature, the ratio between both products showed the five-membered heterocycle as the thermodynamic product. However, changing the electronic structure in the alkyne tuned this product selectivity. Catalytic studies showed the isolated cobaltacycles having similar catalytic performance of that Co(OAc)2 for the annulation reaction, although, at a higher temperature than the stoichiometric reactions (Scheme 4.62b). This result strongly suggested the C–H activation step as the RDS for such a transformation. Additionally, the high catalytic performance under air showed the need of an oxidant for completion of the catalytic turnover.
![Scheme 4.62. Stoichiometric and catalytic reactions in the cobalt-catalyzed arene annulation with terminal alkynes by C–H activation. Adapted from reference [108].](/document/doi/10.1515/chem-2018-0102/asset/graphic/j_chem-2018-0102_fig_095.jpg)
Stoichiometric and catalytic reactions in the cobalt-catalyzed arene annulation with terminal alkynes by C–H activation. Adapted from reference [108].
Based on those experimental results the authors conducted DFT calculations for the plausible catalytic cycle (Scheme 4.63) in order to understand the reaction thermodynamics and selectivity. Interestingly, they found that the formation of an alkenyl-cobalt(III) species allowed a spin-crossing from singlet to triplet state promoting the C–C coupling between the aryl and alkynyl substituents at the metal center. Thus, the coupled product furnishes the five-membered heterocycle by intramolecular cyclization assisted by the colbalt(I) species. The other plausible catalytic pathway by alkyne β-migratory insertion was also evaluated, although, it showed to be more energetically demanding (△G‡ = 29.4 kcal/mol) than the acetylide pathway (△G‡ = 20.2 kcal/mol).
![Scheme 4.63. Proposed mechanism for the cobalt-catalyzed arene annulation with terminal alkynes by C–H activation. Adapted from reference [108].](/document/doi/10.1515/chem-2018-0102/asset/graphic/j_chem-2018-0102_fig_096.jpg)
Proposed mechanism for the cobalt-catalyzed arene annulation with terminal alkynes by C–H activation. Adapted from reference [108].
5 Manganese-Based Systems
Additional to the broad applicability of the iron and cobalt catalytic systems, recently manganese-based compounds have been used in catalytic transformations, opening a new synthetic door in organic synthesis due to the low toxicity and high abundance of this metal in the Earth crust [109]. In nature manganese forms part of important enzymes which often are involved in activation of strong and selective bonds, otherwise challenging to be activated in vitro (e.g. homolytic cleavage of C–H). For this reason, many catalytic systems have been tested, starting from different manganese precursors such as [Mn2(CO)10] and [MnBr(CO)5] to see whether this bio-inspired activity could be accessed. During the last five years plenty of manganese-based systems have shown great potential as robust catalytic systems for different organic reactions forming complex molecules that even with precious metals could not be obtained [109]. Owing to the effort of many research groups working in manganese-based catalysts on C–H activation, currently we have some evidences for their mechanistic landscape. Many of the experimental evidences are based on kinetic studies and radical scavengers. It is worth noticing that no manganese-based intermediates have been isolated so far, although, recently spectroscopic measurements have shown some potential intermediates in solution.
Before the application of manganese precursors in catalysis, an organometallic reaction back in the 1970’s was carried out by Stone, Bruce and co-workers obtaining a manganacycle via C–H activation reacting the manganese precursor [MnMe(CO)5] with a diazo compound as a donor directing group (Scheme 5.1a) [110]. This seminal work promoted the formation of other manganacycles at the time for further exploration of stoichiometric reactions (Scheme 5.1b) [111-114].

Stoichiometric organometallic reactions with manganese precursors.
Due to the exploitation of precious metals as catalysts (e.g. Pd, Ru) during the 80’s and 90’s, the investigation on manganese-based catalytic systems remained underground in the catalytic arena. Inspired by those stoichiometric reactions, in 2007 Kuninobu, Takai and co-workers recovered these systems and put them on the ground by using [MnBr(CO)5] as pre-catalyst on the aromatic C–H activation in the coupling of an aromatic substituted imidazole with aldehydes (Scheme 5.2) [115]. Despite the novelty of this work, the mechanistic studies were very scarce, suggesting a possible reaction intermediate of a seven-member metallacycle that was speculated but neither isolated nor spectroscopically studied (Scheme 5.3). Although, intriguingly they observed non-catalytic reactivity under absence of the hydrosilane; additionally the reaction proceeded with specific silanes but with others did not work at all. The authors claimed the necessity of a hydrosilane to act as a reducing agent to promote the reductive elimination of the product from the [Mn] catalyst having a Mn(I)/Mn(III) cycle, but did not consider the activation of the pre-catalyst instead (Scheme 5.3, Mn(I) cycle). However, the results were not conclusive, and they suggested the possibility of having a likely mechanism involving just Mn(I) species but without any experimental evidence. Therefore, both plausible mechanisms were just proposals but lacking in strong experimental evidence to be considered as definite.
![Scheme 5.2. Manganese-catalyzed coupling of aldehydes with arylimidazoles by C–H activation. Adapted from reference [115].](/document/doi/10.1515/chem-2018-0102/asset/graphic/j_chem-2018-0102_fig_098.jpg)
Manganese-catalyzed coupling of aldehydes with arylimidazoles by C–H activation. Adapted from reference [115].

Plausible mechanisms for the manganese-catalyzed coupling of aldehydes with arylimidazoles.
The application of manganese in catalysis remained somehow silent most likely due to the burgeoning applicability on this field of iron-based systems. However, in 2013 Chen, Wang and co-workers reported the first manganese-catalyzed alkenylation with terminal alkynes of aromatic C–H bonds (Scheme 5.4) [116]. Within a variety of manganese precursors tested, the [MgBr(CO)5] complex was the best manganese precursor as a catalyst for this reaction, whereas [Mn2(CO)10] showed less reactivity and [Mn(acac)3] had no catalytic activity. Aside from the high chemo–, regio– and stereoselectivity of the reaction, the C–H activation occurred only by the assistance of a base in the reaction media. Among the tested bases, HNCy2 gave the best results for the catalytic system. This result strongly suggested that the activation occurs via a concerted metalation-deprotonation (CMD) mechanism in which the C–H bond is activated by an agostic interaction with the metal, increasing its acidity.
![Scheme 5.4. Manganese-catalyzed alkenylation of 2-aryl-pyridines with terminal alkynes by C–H activation. Adapted from reference [116].](/document/doi/10.1515/chem-2018-0102/asset/graphic/j_chem-2018-0102_fig_100.jpg)
Manganese-catalyzed alkenylation of 2-aryl-pyridines with terminal alkynes by C–H activation. Adapted from reference [116].
By insightful and detailed mechanistic studies, the authors could access a better understanding on the catalyst’s mode of action. Separately stoichiometric reactions with the substrates showed the unlikely formation of alkynyl manganese species (Mn-II) but the formation and isolation of the activated catalyst as a five-membered manganacycle (Mn-I) by the reaction of 2-phenylpyridine and [MnBr(CO)5] in the presence of HNCy2 (Scheme 5.5a and b) [116]. Interestingly, further stoichiometric reaction of Mn-I with tolylacetylene formed the disubstituted bisolefin (Scheme 5.5c), proving its intermediacy role in yielding the final product. Due to the stoichiometric conditions and the lack of excess of 2-phenylpyridine, after the first alkyne insertion to the manganacycle, a second alkyne molecule was ortho inserted in the substrate. This result suggested the most likely intermediacy of an alkynyl manganese intermediate when the substrate substitutes the product to coordinate the metal center. Therefore, the authors elegantly synthesized the alkynyl manganese species Mn-II by a transmetalation reaction with a lithium alkynyl precursor (Scheme 5.5b). Then, Mn-II reacted with 2-phenylpyridine forming the manganacycle Mn-I albeit in a low yield (Scheme 5.5d) Moreover, the two organometallic manganese species Mn-I and Mn-II were catalytic competent for the reaction with 62% and 63% reaction yields, respectively.
![Scheme 5.5. Organometallic reactions for the synthesis and evaluation of manganese intermediates. Adapted from reference [116].](/document/doi/10.1515/chem-2018-0102/asset/graphic/j_chem-2018-0102_fig_101.jpg)
Organometallic reactions for the synthesis and evaluation of manganese intermediates. Adapted from reference [116].
Additionally, the authors conducted deuterium-labeled experiments either using 2-phenylpyridine-d5 or the deuterated alkyne (Scheme 5.6). They found a very complex system where substrates and product presented H/ D scrambling. DFT calculations showed that the product protonation likely proceeded via a second alkyne molecule (more favored pathway by 2.3 kcal/mol) rather than the ammonium ion +NH2Cy2 present in the medium. Although, the results showed some contradiction because when the deuterated terminal alkyne was used, the product showed less deuteration on the β position than the one when no-deuterated alkyne was used (Scheme 5.6a and b). Therefore, analyzing prudently the reaction conditions with a temperature of 80 °C we might consider that the reaction is controlled under thermodynamic regime. Then, an energy barrier with a difference of 2.3 kcal/mol between both transition states is insufficient to control the reaction, suggesting that the product protonation by a second alkyne might be the kinetically favored but not the thermodynamic pathway. This is in agreement with the result showed when the reaction was conducted with D2O (4.0 equiv) isolating the product with a similar deuterated pattern on the olefin backbone than the reaction with the 2-phenylpyridine-d5 (Scheme 5.6c).
![Scheme 5.6. Deuterated experiments for the manganese-catalyzed C–H alkenylation (R = CH2CO2Ph; Cat. Conds: [MnBr(CO)5] 10 mol%, HNCy2 20 mol%, 100 oC, 12 h, Et2O as solvent). Adapted from reference [116].](/document/doi/10.1515/chem-2018-0102/asset/graphic/j_chem-2018-0102_fig_102.jpg)
Deuterated experiments for the manganese-catalyzed C–H alkenylation (R = CH2CO2Ph; Cat. Conds: [MnBr(CO)5] 10 mol%, HNCy2 20 mol%, 100 oC, 12 h, Et2O as solvent). Adapted from reference [116].
Based on the previously described stoichiometric reactions and DFT calculations the authors proposed a plausible mechanism in which several manganacycles are involved as reaction intermediates (Scheme 5.7). First the C–H activation was conducted by a base-assisted CMD mechanism from the cationic [Mn(2-phenylpyridine) (CO)4]+ species to form the manganacycle Mn-I. Then an endothermic ligand substitution reaction of a CO by the alkyne occurs forming Mn-III, proceeded by the alkyne insertion into the Mn–C bond to form the seven-membered manganacycle Mn-IV. Due to the crowded environment, the alkyne insertion only occurs in the energetically more favored configuration which accounts for the high chemo-, regio- and stereoselectivity of the reaction. The authors claimed the coordination of a second molecule of an alkyne with a concerted protonation-metalation obtaining Mn-VI, however, as discussed previously this is in contradiction to the deuterated experiments. Even though, as shown by the DFT calculations the reaction is energetically favored and cannot be ruled out. Finally, the product is released by ligand exchange with another molecule of 2-phenylpyridine to form the alkynyl-manganese species Mn-VII. Then, after metalation-deprotonation the active catalytic species Mn-III are recovered. Nevertheless, if the protonation and deprotonation reactions were mediated by the ammonium cation, similar reaction intermediates might be present but without involving an alkynyl-manganese species, as suggested in this reaction mechanism.
![Scheme 5.7. Proposed catalytic cycle for the manganese-catalyzed C–H alkenylation. Adapted from reference [116]](/document/doi/10.1515/chem-2018-0102/asset/graphic/j_chem-2018-0102_fig_103.jpg)
Proposed catalytic cycle for the manganese-catalyzed C–H alkenylation. Adapted from reference [116]
A year later in 2014, Chen, Wang and co-workers used the same catalytic system for the conjugate addition of the manganacycle Mn-I to an α,β-unsaturated carbonyl substrates (Scheme 5.8) [117]. Remarkably, the reaction showed high versatility on the carbonyl substrate where not only esters but ketones also worked.
![Scheme 5.8. Manganese-catalyzed alkylation of 2-arylpyridines with terminal alkenes by C–H activation. Adapted from reference [117].](/document/doi/10.1515/chem-2018-0102/asset/graphic/j_chem-2018-0102_fig_104.jpg)
Manganese-catalyzed alkylation of 2-arylpyridines with terminal alkenes by C–H activation. Adapted from reference [117].
Using the previously synthesized manganacycle Mn-I, the authors conducted stoichiometric reactions to understand the catalyst mode of action. Reacting Mn-I with 1.0 equiv of methyl acrylate under the reaction conditions furnished the final product albeit in low yield (34%). Additionally, Mn-I served as a catalyst (10 mol%) under catalytic conditions obtaining the product in 71% yield. These results indicate the likely instability of the suggested intermediate formed after olefin insertion into the Mn–C(sp2) bond, in addition to the intermediacy of Mn-I in the catalytic cycle.
On account of the deuterium-labeled experiments, using 2-phenylpyridine-d5 under the catalytic conditions, only 9% of deuteration was observed at the α position of the alkylated product with no β deuteration (Scheme 5.9a). Although, H/ D scrambling was observed in both reactants at the ortho and β positions of the 2-phenylpyridine-d5 and acrylate, respectively. The reversibility of the C–H activation was proven by adding D2O under catalytic conditions with no-labeled reactants showing high D-incorporation as well as at the α position in the product (Scheme 5.9b). Additionally, no D/H exchange was observed in the acrylate nor the product separately, probing that the D-incorporation likely proceeds in an irreversible fashion during the catalytic cycle. Altogether indicated the role of HNCy2 as proton shuttle from 2-phenylpyridine to the final product at the α position. In an effort to understand the D-incorporation into the acrylate at the β position, the authors realized DFT calculations using different manganese compounds that might be present during the reaction. They showed the important role of 2-phenylpyridine for this H/ D scrambling since it reduces considerably the energy of the most likely intermediate Mn-VIII (△E = 19.5 kcal/mol vs 67.9 and 73.5 kcal/mol). In the calculated mechanism, the acrylate substitutes two CO ligands forming a chelate intermediate by coordinating the olefin in a η2 fashion accompanied by a coordination of the ester function (Scheme 5.10). Thus, this result indicated the likely presence of such an intermediate in the catalytic cycle previously to the olefin insertion on the Mn–C(sp2) bond.
![Scheme 5.9. Deuterated experiments for the manganese-catalyzed C–H alkylation (R = 2-ethylhexyl; Cat. Conds: [MnBr(CO)5] 10 mol%, HNCy2 20 mol%, 100 ⍛C, 12 h, Et2O as solvent). Adapted from reference [117].](/document/doi/10.1515/chem-2018-0102/asset/graphic/j_chem-2018-0102_fig_105.jpg)
Deuterated experiments for the manganese-catalyzed C–H alkylation (R = 2-ethylhexyl; Cat. Conds: [MnBr(CO)5] 10 mol%, HNCy2 20 mol%, 100 ⍛C, 12 h, Et2O as solvent). Adapted from reference [117].
![Scheme 5.10. Proposed catalytic cycle for the manganese-catalyzed C–H alkylation. Adapted from reference [117].](/document/doi/10.1515/chem-2018-0102/asset/graphic/j_chem-2018-0102_fig_106.jpg)
Proposed catalytic cycle for the manganese-catalyzed C–H alkylation. Adapted from reference [117].
Based on the experimental evidence with additional DFT calculations, a plausible catalytic cycle was proposed (Scheme 5.10). After the base-assisted C–H activation, the acrylate inserts into the Mn–C bond via the η2-olefin intermediate complex Mn-VIII. Thus, the resulting enolate complex Mn-IX gets protonated by the +NH2Cy2 present in the reaction medium, forming the cationic manganacycle Mn-X. Finally, the product is released by a ligand substitution reaction with the starting reactants forming a cationic complex (Mn-XI) which recovers the manganacycle Mn-VIII by a base-assisted CMD mechanism.
Leaving aside the pyridine systems, Wang and co-workers in 2014 reported the alkyne dehydrogenative annulation reaction to obtain isoquinolines using an aromatic imine as the substrate for C–H activation (Scheme 5.11) [118]. Remarkably, no oxidant was needed for this reactivity and again [MnBr(CO)5] served as the best manganese precursor for this transformation. Interestingly, the reaction showed a broad substrate scope from terminal to asymmetric internal alkynes in addition to the good functional group tolerance. This reactivity is quite remarkable because under the catalytic conditions the alkenylated product was not observed in contrast to the previously reported reactivity between 2-arylpyridines and alkynes [116].
![Scheme 5.11. Manganese-catalyzed alkyne dehydrogenative annulation with imines by C–H activation. PMP = p-methoxyphenyl; TMS = trimethylsilyl. Adapted from reference [118].](/document/doi/10.1515/chem-2018-0102/asset/graphic/j_chem-2018-0102_fig_107.jpg)
Manganese-catalyzed alkyne dehydrogenative annulation with imines by C–H activation. PMP = p-methoxyphenyl; TMS = trimethylsilyl. Adapted from reference [118].
Interested in this different reactivity, the authors were intrigued to explore in detail the catalytic cycle by stoichiometric reactions and KIE experiments. They selected as a model reaction the imine and the phenylacetylene as reactants (Scheme 5.12a) [118]. Thus, the isoquinoline was obtained in good yield under catalytic conditions. To rule out the intermediacy of the alkenylated product, this was subjected into the catalytic conditions without observing the formation of the isoquinoline but the 3,4-dihydroisoquinoline instead, in low yield, accompanied with the recovery of the starting substrate (Scheme 5.12b). Moreover, the result of the reaction under the presence of 1.5 equiv of phenylacetylene resulted more complicated where only 5% of the isoquinoline was obtained. In addition to the formation of the 3,4-dihydroisoquinoline in 22% yield, other two major products were formed, accounting for the reaction on the imine’s side aromatic group (not shown here). Thus, the additional products were the alkenylated and the annulated. Based on this completely different selectivity, it was unambiguously proven that the alkenylated product is not an intermediary during the formation of the isoquinoline.
![Scheme 5.12. Stoichiometric reactions manganese-catalyzed alkyne dehydrogenative annulation with imines. Adapted from reference [118].](/document/doi/10.1515/chem-2018-0102/asset/graphic/j_chem-2018-0102_fig_108.jpg)
Stoichiometric reactions manganese-catalyzed alkyne dehydrogenative annulation with imines. Adapted from reference [118].
Interestingly, the reaction between the imine and [MnBr(CO)5] furnished the manganacycle Mn-XII in medium isolated yield without the need of any base (Scheme 5.12c). Reacting Mn-XII with diphenylacetylene produced the isoquinoline in 84% yield accompanied by the formation of the diphenylethene in 15% yield (Scheme 5.12d). The presence of the latter species was explained by the insertion of the alkyne into a metal hydride species that might have formed during the annulation process. Moreover, the manganacycle Mn-XII showed to be catalytically competent for the reaction, showing its intermediacy in the catalytic cycle.
In order to get more insight on this C–H activation reaction detailed KIE experiments were also explored. First, the unsymmetrically deuterated-labeled imine-d5 was used obtaining an intramolecular KIE of 1.9, in addition to no deuterium loss on the starting imine (Scheme 5.13a). Moreover, the intermolecular experiments with the fully deuterated imine-d10 gave KIE values of 2.0 and 2.2 for in-situ and parallel reactions, respectively (Scheme 5.13b and c). These results suggested that the C–H bond cleavage is irreversible and might be involved in the RDS. Finally, a GC analysis of the head space of the reaction showed the presence of molecular hydrogen being formed and CO from the catalyst. Based on these results, the authors proposed a plausible catalytic cycle via alkyne insertion into the Mn–C(sp2) bond forming a seven-membered manganacycle Mn-XIII (Scheme 5.14). These species promoted the annulation to get the product by releasing a manganese hydride species [MnH(CO)4]. Even though there is much experimental evidence, at the moment it is unclear whether this step either goes via methatesis of Mn–C(sp2) and N–H bonds (Mn(I)-cycle) or N–H oxidative addition on the Mn(I) center with concomitant C(sp2)–N bond reductive elimination (Mn(I)/Mn(III)-cycle). Then, the hydride species combine with another molecule of substrate via imine coordination to promote a CMD to recover Mn-XII, producing H2. Additionally, in a parallel cycle the hydride species could react with the alkyne via insertion into the Mn–H bond, promoting the further CMD reaction with the imine forming the diphenylethene as the side product and the Mn-XII species, however, based on the catalytic performance, the first pathway is predominantly for the catalyst mode of action.
![Scheme 5.13. Deuterated experiments for the manganese-catalyzed annulation of imines with alkynes; Cat. Conds: [MnBr(CO)5] 10 mol%, 105 °C, 1,4-dioxane as solvent). Adapted from reference [118].](/document/doi/10.1515/chem-2018-0102/asset/graphic/j_chem-2018-0102_fig_109.jpg)
Deuterated experiments for the manganese-catalyzed annulation of imines with alkynes; Cat. Conds: [MnBr(CO)5] 10 mol%, 105 °C, 1,4-dioxane as solvent). Adapted from reference [118].
![Scheme 5.14. Proposed catalytic cycle for the manganese-catalyzed annulation of imines with alkynes. Adapted from reference [118].](/document/doi/10.1515/chem-2018-0102/asset/graphic/j_chem-2018-0102_fig_110.jpg)
Proposed catalytic cycle for the manganese-catalyzed annulation of imines with alkynes. Adapted from reference [118].
In a similar reactivity Lei, Li and co-workers reported in 2015 the managanese-catalyzed C–H functionalization of indoles to produce indolylalkenes by reaction with terminal and internal alkynes (Scheme 5.15) [119]. Interestingly, a reaction mixture of benzoic acid and N,N-diisopropylethylamine (DIPEA) was needed for the reaction to proceed. Several substrates were evaluated showing the broad functional group tolerance with high reaction yields. Intriguingly, under the same reaction conditions but in the absence of benzoic acid the reaction turned the selectivity towards the formation of carbazoles albeit in low yields (<30%, not shown here).
![Scheme 5.15. Manganese-catalyzed alkenylation of indoles with alkynes by C–H functionalization. Adapted from reference [119].](/document/doi/10.1515/chem-2018-0102/asset/graphic/j_chem-2018-0102_fig_111.jpg)
Manganese-catalyzed alkenylation of indoles with alkynes by C–H functionalization. Adapted from reference [119].
Using the strategy to synthesize manganacycles the authors could isolate the complex Mn-XIV in medium yields starting with [MnBr(CO)5], the indole and DIPEA (Scheme 5.16a,Figure 5.1). Intriguingly, when the latter species was tested as a catalyst, the reaction yielded quantitatively the product but under the absence of benzoic acid the reaction did not proceed at all (Scheme 5.16b). Thus, carrying out H/D scrambling experiments using MeOD as a deuterium source, this was observed at the C2-indole merely under the presence of benzoic acid (Scheme 5.16c). These results showed its important role as a proton shuttle for this alkenylation reaction. Moreover, the intramolecular KIE experiments showed values of 3.5 and 4.1 for in-situ and parallel reactions, respectively, showing that the C–H activation step is most likely the RDS for such a transformation (Scheme 5.16d and e).
![Figure 5.1. ORTEP structure of the manganacycle complex Mn-XIV. Adapted from [119].](/document/doi/10.1515/chem-2018-0102/asset/graphic/j_chem-2018-0102_fig_112.jpg)
ORTEP structure of the manganacycle complex Mn-XIV. Adapted from [119].
![Scheme 5.16. Stoichiometric and deuterated experiments for the manganese-catalyzed alkenylation of indoles with alkynes; Cat. Conds: [MnBr(CO)5] 10 mol%, DIPEA 20 mol%, PhCO2H 20 mol%, 80 °C, Et2O as solvent. Adapted from reference [119].](/document/doi/10.1515/chem-2018-0102/asset/graphic/j_chem-2018-0102_fig_113.jpg)
Stoichiometric and deuterated experiments for the manganese-catalyzed alkenylation of indoles with alkynes; Cat. Conds: [MnBr(CO)5] 10 mol%, DIPEA 20 mol%, PhCO2H 20 mol%, 80 °C, Et2O as solvent. Adapted from reference [119].
Based on the experimental results, the authors proposed a plausible mechanism where the alkyne insertion into the Mn–C(sp2) bond forms a postulated seven-membered manganacycle Mn-XV despite the lack of experimental evidence (Scheme 5.17). Then, under the presence of the protonated base H-DIPEA, the benzoate acts as a proton shuttle to protonate the product as well as forming a benzoate-manganese complex [Mn(CO)4(O2CPh)]. Finally, the latter species reacts with the indole to recover the manganacycle Mn-XIV via a CDM mechanism.
![Scheme 5.17. Proposed catalytic cycle for the manganese-catalyzed alkenylation of indoles with alkynes (DIPEA = N,N-diisopropylethylamine). Adapted from reference [119].](/document/doi/10.1515/chem-2018-0102/asset/graphic/j_chem-2018-0102_fig_114.jpg)
Proposed catalytic cycle for the manganese-catalyzed alkenylation of indoles with alkynes (DIPEA = N,N-diisopropylethylamine). Adapted from reference [119].
Ackermann and co-workers in 2015, exploring new frontiers on the reactivity of manganese catalytic systems, described the synthesis of amides via C–H activation of indoles and similar heteroarenes, reacting them with isocyanates. Remarkably, after testing different manganese precursors the versatile [MnBr(CO)5] proved to be the best, in addition to the very broad substrate scope where bulky substituents at the isocyanate were tolerated as well as a variety of functional groups on both substrates (Scheme 5.18) [120].
![Scheme 5.18. Manganese-catalyzed aminocarbonylation of indoles with isocyanates by C–H functionalization. Adapted from reference [120].](/document/doi/10.1515/chem-2018-0102/asset/graphic/j_chem-2018-0102_fig_115.jpg)
Manganese-catalyzed aminocarbonylation of indoles with isocyanates by C–H functionalization. Adapted from reference [120].
In order to get deep insight on the catalyst mode of action, the authors conducted a variety of experiments. First, indole H/D scrambling was observed at the C2 (D-86%) and C3 (D-61%) under the catalytic conditions with additional D2O in the solvent. The catalyst action was verified by the sole H/ D scrambling at the C3 (D-33%) under the same conditions without [MnBr(CO)5]. These high deuteration rates, in addition to isotope labelling experiments with a very low KIE of 1.4, strongly suggests a fast and reversible C–H activation process for this reaction (Scheme 5.19a). Therefore, contrary to the previously described manganese catalytic systems, the C–H activation is unlikely to be the RDS. Further competition reactions confirmed that electronics on the substrate played a crucial role on the reactivity. Thus, electron-deficient isocyanates and electron-rich indoles inherently showed to be the most reactive substrates for the reaction (Scheme 5.19b and c), suggesting that the RDS is likely related to the nucleophilic attack of the manganacycle Mn–C(sp2) Mn-XVI on the electrophilic isocyanate (Scheme 5.20). Moreover, the authors showed a pure organometallic mode of action by conducting experiments under air and in the presence of TEMPO, without any considerable loss in reactivity, ruling out any radical-based mechanism (Scheme 5.19d).
![Scheme 5.19. Deuterated and competition experiments for the manganese-catalyzed aminocarbonylation of indoles with isocyanates; Cat. Conds: [MnBr(CO)5] 10 mol%, 100 °C, 16 h, Et2O as solvent. Adapted from reference [120].](/document/doi/10.1515/chem-2018-0102/asset/graphic/j_chem-2018-0102_fig_116.jpg)
Deuterated and competition experiments for the manganese-catalyzed aminocarbonylation of indoles with isocyanates; Cat. Conds: [MnBr(CO)5] 10 mol%, 100 °C, 16 h, Et2O as solvent. Adapted from reference [120].
![Scheme 5.20. Proposed mechanism for the manganese-catalyzed aminocarbonylation of indoles with isocyanates. Adapted from reference [120].](/document/doi/10.1515/chem-2018-0102/asset/graphic/j_chem-2018-0102_fig_117.jpg)
Proposed mechanism for the manganese-catalyzed aminocarbonylation of indoles with isocyanates. Adapted from reference [120].
Gathering this experimental evidence, the authors proposed a catalytic cycle controlled by the isocyanate insertion (Scheme 5.20). First, a fast and reversible C(sp2)–H metalation reaction occurs via pyridine coordination of the substituted indole forming the manganacycle Mn-XVI. Then, the rate determining step occurs via a nucleophilic attack of the Mn–C(sp2) bond on the pre-coordinated isocyanate forming a seven-membered manganacycle Mn-XVII. Despite the great detail of the mechanistic studies, no experimental evidence of these likely intermediates manganacycles Mn-XVI and Mn-XVII were reported. Finally, protonation of the latter species furnished the product and the catalytic active species [MnBr(CO)5].
Additionally, Ackermann and co-workers reported in 2015 the site- and regio-selective α,β-unsaturated esters annulation with ketimines catalyzed by the manganese dimer [Mn2(CO)10]. The organometallic C–H activation occurred efficiently with high functional group tolerance, delivering densely functionalized β-amino acid derivatives with an ample scope (Scheme 5.21) [121]. Insightful mechanistic studies led to an fruitful analysis on the catalyst mode of action in addition to the unusual selectivity towards the cis configuration of the product. Throughout intra- and intermolecular competition experiments with a variety of arenes showed a minor influence of the electronics on the reactivity (Scheme 5.22). Moreover, isotope labelling experiments showed a reversible C–H activation process by H/D scrambling under the presence of D2O together to the deuterated at the free-ortho position and methyl group of the product. Moreover, deuterium-labeled experiments showed intra-and intermolecular KIE values of 2.4 and 2.7 giving a strong indication of the kinetically relevant C–H activation process. The authors could rule out a radical-based mechanism due to the unaltered catalytic performance either under the presence of TEMPO or opened to air.
![Scheme 5.21. Manganese-catalyzed ketimines annulation with α,β-unsaturated esters by C–H activation. Adapted from reference [121].](/document/doi/10.1515/chem-2018-0102/asset/graphic/j_chem-2018-0102_fig_118.jpg)
Manganese-catalyzed ketimines annulation with α,β-unsaturated esters by C–H activation. Adapted from reference [121].
![Scheme 5.22. Intra- and intermolecular competition experiments for the manganese-catalyzed ketimines annulation with α,β-unsaturated esters. The major regioisomer is shown and the regioisomeric ratios are given in parentheses. Adapted from reference [121].](/document/doi/10.1515/chem-2018-0102/asset/graphic/j_chem-2018-0102_fig_119.jpg)
Intra- and intermolecular competition experiments for the manganese-catalyzed ketimines annulation with α,β-unsaturated esters. The major regioisomer is shown and the regioisomeric ratios are given in parentheses. Adapted from reference [121].
Based on the mechanistic studies, Ackermann and co-workers proposed a plausible mechanism starting from the activation of the pre-catalyst by substrate coordination to the manganese center (Scheme 5.23). The RDS C–H activation proceeds by a base-assisted metalation forming the manganacycle Mn-XVIII. Then, the α,β-unsaturated ester inserts into the Mn–C bond in a regioselective manner forming the intermediate species Mn-XIX. The latter favored an intramolecular nucleophilic attack at the carbon of the imine moiety favored in a diastereoselective manner due to the chelation constrained at the metal center, thus, forming of the cis product manganacycle Mn-XX. Finally a proto-demetalation and coordination of a new substrate regenerates the manganese catalytic active species and releases the product.
![Scheme 5.23. Proposed mechanism for the manganese-catalyzed ketimines annulation with α,β-unsaturated esters. Adapted from reference [121].](/document/doi/10.1515/chem-2018-0102/asset/graphic/j_chem-2018-0102_fig_120.jpg)
Proposed mechanism for the manganese-catalyzed ketimines annulation with α,β-unsaturated esters. Adapted from reference [121].
Based on the hydroarylation reactions towards unsaturated substrates (i.e. multiple bonds) Wang and co-workers studied the manganese-catalyzed C(sp2)–H addition into aldehydes and nitriles (Scheme 5.24) [122]. A very broad substrate scope was evaluated having arenes and olefins as suitable substrates to add into the unsaturation of aldehydes and nitriles. In addition, the catalytic system showed robustness with a good functional group tolerance.
![Scheme 5.24. Manganese-catalyzed C(sp2)–H addition into aldehydes and nitriles by C–H activation. Adapted from reference [122].](/document/doi/10.1515/chem-2018-0102/asset/graphic/j_chem-2018-0102_fig_121.jpg)
Manganese-catalyzed C(sp2)–H addition into aldehydes and nitriles by C–H activation. Adapted from reference [122].
Attracted by the versatility of this reaction the authors conducted mechanistic studies in order to understand its mode of action. First, the manganacycle Mn-XXI was synthesized by reacting in a stoichiometric manner the [MnBr(CO)5], 2-phenylpyridine and ZnMe2, acting as a base in a similar fashion to their previous base-assisted metalation procedures (Scheme 5.25a, Figure 5.2). Additionally, the authors could evidence the formation of [MnMe(CO)5] by NMR studies. Strikingly, further reaction of Mn-XXI and the aldehyde required ZnBr2 in order to furnish the product showing the necessity of this additive as a Lewis acid for the activation of the aldehyde (Scheme 5.25b). This synergistic effect with the zinc additives was strongly evidenced with the nitrile substrate (Scheme 5.25c). Interestingly, after carrying out deuterium labeled experiments, no H/ D scrambling was observed at the ortho position of the remaining substrate and the product. This result remarkably showed the irreversible nature of the C–H activation. Furthermore, the little KIE values of 1.3 and 1.0 concluded that the C–H activation is not likely the RDS which is in stark contrast to the other manganese catalytic systems. Finally, the intermediacy of [MnMe(CO)5] and manganacycle Mn-XXI was proven by their similar catalytic performance than the pre-catalyst [MnBr(CO)5].
![Scheme 5.25. Influence of the zinc additives into the stoichiometric reactions for the insertion of Mn–C(sp2) into aldehydes and nitriles. Adapted from reference [122].](/document/doi/10.1515/chem-2018-0102/asset/graphic/j_chem-2018-0102_fig_122.jpg)
Influence of the zinc additives into the stoichiometric reactions for the insertion of Mn–C(sp2) into aldehydes and nitriles. Adapted from reference [122].
![Figure 5.2. ORTEP structure of the manganacycle complex Mn-XXI. Adapted from [122].](/document/doi/10.1515/chem-2018-0102/asset/graphic/j_chem-2018-0102_fig_123.jpg)
ORTEP structure of the manganacycle complex Mn-XXI. Adapted from [122].
Based on those mechanistic results the authors proposed a plausible mechanism which commences in the activation of the pre-catalyst by reaction of [MnBr(CO)5] with ZnMe2 to generate [MnMe(CO)5] (Scheme 5.26). The latter species reacts with the substrate releasing CH 4 and forms the manganacycle Mn-XXI. Then, the insertion of the previously activated aldehyde or nitrile by ZnBr2 occurs forming a seven-membered manganacycle Mn-XXII. This is followed by a transmetallation reaction with ZnMe2 producing a methylmanganese intermediate Mn-XXIII. Ligand substitution reaction with another molecule of 2-phenylpyridine furnishes a manganese intermediate Mn-XXIV and a zinc species that upon hydrolysis the desired product is obtained. Then, Mn-XXIV regenerates the manganacycle active species Mn-XXI by C–H activation releasing CH 4.
![Scheme 5.26. Proposed mechanism for the manganese-catalyzed C(sp2)–H addition into aldehydes and nitriles. Adapted from reference [122].](/document/doi/10.1515/chem-2018-0102/asset/graphic/j_chem-2018-0102_fig_124.jpg)
Proposed mechanism for the manganese-catalyzed C(sp2)–H addition into aldehydes and nitriles. Adapted from reference [122].
Looking to expand the frontiers of manganese(I) catalysis, the Ackermann group studied the catalytic allylation reaction of aromatic C–H bonds with allylcarbonates catalyzed by manganese-carbonyl pre-catalyst (Scheme 5.27) [123]. The catalytic system showed a good group tolerance at the aromatic ring substituents and remarkably also worked for heteroaromatic systems with a very reactive functional group such as an aldehyde highlighting the chemoselectivity of this reaction.
![Scheme 5.27. Manganese-catalyzed allylation of arenes/heteroarenes with allyl carbonates by C–H activation. Adapted from reference [123].](/document/doi/10.1515/chem-2018-0102/asset/graphic/j_chem-2018-0102_fig_125.jpg)
Manganese-catalyzed allylation of arenes/heteroarenes with allyl carbonates by C–H activation. Adapted from reference [123].
Interested in the manganese-catalyst mode of action, Ackermann and co-workers carried out detailed mechanistic analysis through several reactions. First, deuterium-labeled experiments showed H/ D scrambling not only at the ortho position but at the methyl group of the remaining substrate and product. Additionally, a competition experiment showed higher reactivity for the electron-rich substrate being in accordance to a base-assisted electrophilic substitution (BIES) type C–H activation. Secondly, the low KIE values of 1.2 and 1.1 for intra- and intermolecular, respectively, strongly suggest a fast and not RDS C–H metalation. Third, the full catalytic performance under the presence of a series of radical scavengers such as TEMPO, BHT, and 1,1-diphenyl-ethene confirmed a pure inner sphere mechanism without formation of any radical for substrate activation.
The authors could access the manganacycle Mn-XXV in a good isolated yield using the base assisted stoichiometric reaction between N-(2-pyridinyl)-indole and [MnBr(CO)5] (Scheme 5.28a). Further reactivity in stoichiometric and catalytic fashion proved the intermediacy of this manganacycle species (Scheme 5.28b and c). Based on these results the authors proposed a catalytic cycle starting from the manganese(I)-acetate complex [Mn(OAc)(CO)5] formed by the activation of [Mn2(CO)10] in the reaction medium (Scheme 5.29). The reversible C–H metalation likely occurs by an acetate-assisted CMD forming the five-membered manganacycle Mn-XXV. Then, the α,β-unsaturated carbonate substitutes two carbonyl ligands forming the η2-olefin-carbonate manganacycle Mn-XXVI species. Migratory insertion into the Mn–C bond forms the seven-membered manganacycle intermediate Mn-XXVII. However, at this point the authors claimed this step might also proceed via an oxidative addition of the C–O bond onto the Mn(I) center. Due to the lack of experimental and DFT evidences, we strongly suggest that both pathways should be taken into consideration. Finally, a β-carbonate elimination furnishes the product and a manganese-carbonate intermediate [Mn(O2COMe)(CO)5]. The latter species are readily to undergo CO2 extrusion forming a methoxide-manganese intermediate [Mn(OMe)(CO)5] which after protonation with acetic acid regenerates the active manganese(I)-acetate active species.
![Scheme 5.28. Stoichiometric ad catalytic reactions with the manganacycle intermediate species. Adapted from reference [123].](/document/doi/10.1515/chem-2018-0102/asset/graphic/j_chem-2018-0102_fig_126.jpg)
Stoichiometric ad catalytic reactions with the manganacycle intermediate species. Adapted from reference [123].
![Scheme 5.29. Proposed mechanism for the manganese-catalyzed allylation of arenes/heteroarenes with allyl carbonates. Adapted from reference [123].](/document/doi/10.1515/chem-2018-0102/asset/graphic/j_chem-2018-0102_fig_127.jpg)
Proposed mechanism for the manganese-catalyzed allylation of arenes/heteroarenes with allyl carbonates. Adapted from reference [123].
Continuing to explore further reactivity on manganese catalysis and C–H transformations, the Ackermann group reported in 2016 the first cyanation with such a catalytic system. However, the manganese pre-catalyst required a zinc co-catalyst for a highly improved catalytic performance (Scheme 5.30) [124]. The broad applicability based on the mild conditions and broad group tolerance made the authors intrigued by the need for the co-catalyst in this reactivity. Therefore, after carrying out competition experiments and DFT calculations some important mechanistic details could be extracted to evaluate the catalyst mode of action. Intermolecular competition experiments showed higher reactivity for electron-rich substrates and deuterium labeled studies presented H/D scrambling at the C2- and C3-indole positions, higher for the C2-indole, revealing the reversibility of the C–H activation governed by a base-assisted intramolecular electrophilic substitution (BIES) type mechanism. Additionally, the intermolecular KIE value of 1.1 strongly suggested the C–H activation is not kinetically relevant for this chemical transformation. This lead the authors to conduct DFT calculations on the insertion of N-cyano-N-phenyl-p-toluenesulfonamide onto the Mn–C bond in the manganacycle intermediate after C–H metalation. Strikingly, the presence of ZnCl2 as a co-catalyst showed an important reduction on the free energy for the transition state while the formation of a seven-membered manganacycle intermediate by activating the cyano-reagent via coordination through the N in the cyano group (Figure 5.3). This result resembles the proposed mechanism by Wang and co-workers for the C(sp2)–H addition into nitriles at the insertion step where they found a synergistic effect of the zinc salt pre-activating the nitrile (Schemes 5.25 and 5.26).
![Scheme 5.30. Manganese-catalyzed cyanation of heteroarenes by C–H activation. Adapted from reference [124].](/document/doi/10.1515/chem-2018-0102/asset/graphic/j_chem-2018-0102_fig_128.jpg)
Manganese-catalyzed cyanation of heteroarenes by C–H activation. Adapted from reference [124].
![Figure 5.3. Calculated energy profile for the insertion reaction of the cyanating agent into the C–Mn bond in the presence and absence of ZnCl2. Adapted from reference [124].](/document/doi/10.1515/chem-2018-0102/asset/graphic/j_chem-2018-0102_fig_129.jpg)
Calculated energy profile for the insertion reaction of the cyanating agent into the C–Mn bond in the presence and absence of ZnCl2. Adapted from reference [124].
Up to now we have described catalytic methods in which a full description on the C–H pathway have been addressed. However, scarce experimental information about the next elementary steps of the catalytic cycles can be found in the literature most probably due to the challenge of studying such intermediate species. Recently, Lynam, Fairlamb and co-workers could spectroscopically characterize a seven-membered manganacycle after an alkyne insertion into a Mn–C(sp2) bond [125]. Using the electron-deficient 2-pyrone linked to a 2-pyridyl as a directing group, they accessed the stabilization of this reactive intermediate. First, a stoichiometric reaction between a 2-pyrone derivative and [MnBr(CO)5] at reflux furnished a five-membered manganacycle Mn-XXVIII by C–H metalation (Scheme 5.31a, Figure 5.4). Then, irradiating with UV a NMR sample of a mixture of Mn-XXVIII and phenylacetylene in THF-d8 promoted the dissociation of a CO coligand favoring the alkyne coordination and subsequent insertion (Scheme 5.31b). Although, the intermediate’s instability under UV radiation led to formation of paramagnetic species and NMR signals broadening. Even though, a thorough NMR structural analysis, in addition to mass spectra in solution, confirmed the proposed structure of the seven-membered manganacycle Mn-XXIX for the first time in such a catalytic system. Further DFT calculation determined a weak interaction between the metal center and π-system of 2-pyrone as depicted in the structure. Worth noticing that the authors did not comment on the possible structure this must have a meridional coordination fashion due to the π-system constrain at the ligand.
![Scheme 5.31. Synthesis and reactivity of organometallic manganese species involved in the manganese-catalyzed oxidative annulation of 2-arylpyridines and alkynes. Adapted from reference [125].](/document/doi/10.1515/chem-2018-0102/asset/graphic/j_chem-2018-0102_fig_130.jpg)
Synthesis and reactivity of organometallic manganese species involved in the manganese-catalyzed oxidative annulation of 2-arylpyridines and alkynes. Adapted from reference [125].
![Figure 5.4. ORTEP structure for the manganacycle complex Mn-XXVIII. Adapted from [125].](/document/doi/10.1515/chem-2018-0102/asset/graphic/j_chem-2018-0102_fig_131.jpg)
ORTEP structure for the manganacycle complex Mn-XXVIII. Adapted from [125].
After warming up a manganacycle Mn-XXIX THF-d8 solution the authors realized the formation of the annulated product by reductive elimination. Remarkably, they could get the crystal structure where the anionic species [Mn(CO)3]– co-crystalized as counter anion of the cationic structure (Scheme 5.31b and Figure 5.5) [125]. Additionally, the formation of the same species by thermal conditions proved the same mechanism either by UV-radiation or heating. Additional experiments and DFT calculations proved the favorability for this substrate to furnish the annulated instead of the alkenylated product. Both reaction pathways are kinetically accessible under the reaction conditions, however, due to the lack of an excess of phenylacetylene in the catalysis, the reaction proceeds towards the annulation. The authors confirmed this result by conducting the reaction under neat phenylacetylene producing the alkenylated product and other per-alkenylated byproducts without traces of the annulated product (Scheme 5.32). Important to highlight, as the authors stated, this favorability on the reaction pathways (i.e. annulation or H-transfer) is strongly substrate dependent in which minor changes in substrate structures might have an influence in the product outcome.

Evaluation of the reactivity manganacycle Mn-XXVIII under an excess of phenylacetylene.
![Figure 5.5. ORTEP structure for the anionic manganese species [Mn(CO)3]– co-crystalized as counter anion of the cationic product. Adapted from [125].](/document/doi/10.1515/chem-2018-0102/asset/graphic/j_chem-2018-0102_fig_133.jpg)
ORTEP structure for the anionic manganese species [Mn(CO)3]– co-crystalized as counter anion of the cationic product. Adapted from [125].
6 Conclusion
Despite the burgeoning advance in base-metal catalyzed C–H activation reactions, few studies have focused the efforts on the catalyst mode of action. During the last decade, research working on the iron, manganese and cobalt catalyzed C–H functionalization reactions has explored deeper into the mechanistic details in order to improve their catalytic performance, presenting even competitive catalytic activities to their heavier counterparts. However, we think the mechanistic studies are still on the tip of the iceberg because of the absence of laboratory skills on the handling of potential reaction intermediates with such metals, since most of the mechanistic studies have been based mainly from the organic perspective. For this reason, more organometallic synthetic groups have been attracted to tackle the challenges this topic presents, opening novel synthetic strategies to access the intermediates and gain more insights on the mechanistic scenarios for the base-metal catalyzed C–H activation reactions.
After reviewing the different articles with actual content on mechanistic studies, we can conclude that this is an issue with many challenges to overcome, based on the complexities presented in each specific system. Depending on the ligand, metallic precursor and more importantly the substrate to be activated, the catalyst mode of action might vary considerably. Therefore, one must be careful to draw superfluous conclusions without a complete study on the mechanistic landscape from the different perspectives such as organic, organometallic and theoretical, complementing each other leading to a strong and well-supported mechanism. Hence, due to the time consuming nature of each of these pillars in this tripod of mechanistic knowledge, studies covering a full mechanistic scenario are often scarce. This must lead to strong collaborations between different research groups working in an interdisciplinary manner to strength the mechanistic studies, leading to a faster catalytic improvement on earth-abundant metal catalysts.
Most of the mechanistic studies on C–H activation from the organic perspective are based mainly on isotopic labelling and kinetic studies. Those, to gain insights into the rate determining step and the catalyst mode of action on the C–H activation step to see whether the metal acts by itself (e.g., oxidative addition) or other species are involved (e.g., base assisted metalation-deprotonation). However, the results have not shown triviality at the time of evaluating the C–H activation mechanism with base-metals in contrast to the heavier late-transition metals in which the selectivity is comparatively much higher, thus reducing the complexity for the analysis. Several H/D scrambling along the organic skeletons in the substrates and products showed complex systems to evaluate without being as straightforward as with other metals. Additionally, the reversibility of the C–H activation often leads to failure in the isolation of potential reaction intermediates. Thus, the analysis of these kinetic studies, as mentioned in the introductory section 2, has to be carried out judiciously covering the several possibilities of reaction pathways since their evaluations are based on the reaction outcome and not on the actual reaction intermediates.
Recently, organometallic groups have been attracted to investigate the mechanistic scenarios of such catalytic systems. This is because of the challenge of isolation of very reactive organometallic species that might participate as intermediates in such reactions. Only during the last 2 years, isolation of reaction intermediates contributed on the understanding of the electronic structure of the metal center (i.e., oxidation state) and structural features of the reaction intermediates giving a strong support to the theoretical calculations on the mechanistic landscape. Additionally, it has allowed the study of stoichiometric reactions in order to understand fully the elementary steps in the cycles. It clearly opens a new door of analysis for the poorly understood role of the additives. Since this area of investigation is still at its infant stage and the reaction intermediates are often difficult to handle, the access to more spectroscopic data such as EPR, Mössbauer, magnetic susceptibility, and electrochemical measurements, is very difficult at this time. However, we believe that more investigations in this field will lead to the development of methods and/or special probes for such experiments. It might offer access to more information about the electronic structure of the metal centers and analyze fully the reactions involving SET processes, which are characteristic in base-metal based catalysts.
Moreover, during the last years theoretical methods have shown to be very certain as a tool of explanation and even prediction of experimental situations. Therefore, theoretical calculations must be seen as essential part of these investigations. However, one must be aware about the limitations of the method in order to know whether it is applicable to your system or not, and how good the calculation might represent it. In order to overcome this unambiguity, we strongly suggest, if possible, to conduct the calculations hand-to-hand with the laboratory experiments. Thus, the uncertainty on whether a calculation defines well or not the experimental conditions will be decrease completely by a series of iterative laboratory-computational cycles.
As seen across the reviewed articles and the already published reviews about the potential application of the base-metal catalysis on C–H functionalization, the versatility of such systems, in contrast to the precious metals, lies on their several modes of action depending on the reaction conditions. Thus, high reactivity at mild reaction conditions with very broad substrate scope has been accessed. Even, C–H activation reaction in hydrocarbons has been achieved. Hence, these systems are even more attractive than their common heavier metal-transition counterparts, for obvious reasons (cost, toxicity, abundance, etc). This will lead surely to a base-metal catalytic era.
We think that the last advances reviewed herein, on mechanistic understanding on base-metal catalysis, will motivate more research groups working on this field. Since, even though all the reported mechanistic studies described important reaction pathways, there are still open questions to be figured out. For instance, the good description on the oxidation states of the metal centers at the reaction intermediates, the mechanism of SET processes, and the role of additives and/ or co-catalysts.
References
[1] Suzuki A., Cross-Coupling Reactions Of Organoboranes: An Easy Way To Construct C–C Bonds (Nobel Lecture), Angew. Chem. Int. Ed., 2011, 50, 6722-6737.10.1002/anie.201101379Search in Google Scholar PubMed
[2] Negishi E.-i., Magical Power of Transition Metals: Past, Present, and Future (Nobel Lecture), Angew. Chem. Int. Ed., 2011, 50, 6738-6764.10.1002/anie.201101380Search in Google Scholar PubMed
[3] Heck R.F., Nolley J.P., Palladium-catalyzed vinylic hydrogen substitution reactions with aryl, benzyl, and styryl halides, J. Org. Chem., 1972, 37, 2320-2322.10.1021/jo00979a024Search in Google Scholar
[4] Dieck H.A., Heck R.F., Organophosphinepalladium complexes as catalysts for vinylic hydrogen substitution reactions, J. Am. Chem. Soc., 1974, 96, 1133-1136.10.1021/ja00811a029Search in Google Scholar
[5] Johansson Seechurn C.C.C., Kitching M.O., Colacot T.J., Snieckus V., Palladium-Catalyzed Cross-Coupling: A Historical Contextual Perspective to the 2010 Nobel Prize, Angew. Chem. Int. Ed., 2012, 51, 5062-5085.10.1002/anie.201107017Search in Google Scholar PubMed
[6] Ruiz-Castillo P., Buchwald S.L., Applications of Palladium-Catalyzed C–N Cross-Coupling Reactions, Chem. Rev., 2016, 116, 12564-12649.10.1021/acs.chemrev.6b00512Search in Google Scholar PubMed PubMed Central
[7] Cherney A.H., Kadunce N.T., Reisman S.E., Enantioselective and Enantiospecific Transition-Metal-Catalyzed Cross-Coupling Reactions of Organometallic Reagents To Construct C–C Bonds, Chem. Rev., 2015, 115, 9587-9652.10.1021/acs.chemrev.5b00162Search in Google Scholar PubMed PubMed Central
[8] Hartwig J.F., Regioselectivity of the borylation of alkanes and arenes, Chem. Soc. Rev., 2011, 40, 1992-2002.10.1039/c0cs00156bSearch in Google Scholar PubMed
[9] Cheng C., Hartwig J.F., Catalytic Silylation of Unactivated C–H Bonds, Chem. Rev., 2015, 115, 8946-8975.10.1021/cr5006414Search in Google Scholar PubMed
[10] Dorel R., Echavarren A.M., Gold(I)-Catalyzed Activation of Alkynes for the Construction of Molecular Complexity, Chem. Rev., 2015, 115, 9028-9072.10.1021/cr500691kSearch in Google Scholar PubMed PubMed Central
[11] Souillart L., Cramer N., Catalytic C–C Bond Activations via Oxidative Addition to Transition Metals, Chem. Rev., 2015, 115, 9410-9464.10.1021/acs.chemrev.5b00138Search in Google Scholar PubMed
[12] Yang Y., Lan J., You J., Oxidative C–H/C–H Coupling Reactions between Two (Hetero)arenes, Chemical Reviews, 2017, 117, 8787-8863.10.1021/acs.chemrev.6b00567Search in Google Scholar PubMed
[13] Chirik P., Morris R., Getting Down to Earth: The Renaissance of Catalysis with Abundant Metals, Acc. Chem. Res., 2015, 48, 2495-2495, and references in the special issue “Earth Abundant Metals in Homogeneous Catalysis”.10.1021/acs.accounts.5b00385Search in Google Scholar PubMed
[14] Davies H.M.L., Morton D., Recent Advances in C–H Functionalization, J. Org. Chem., 2016, 81, 343-350.10.1021/acs.joc.5b02818Search in Google Scholar PubMed
[15] Blanksby S.J., Ellison G.B., Bond Dissociation Energies of Organic Molecules, Acc. Chem. Res., 2003, 36, 255-263.10.1021/ar020230dSearch in Google Scholar PubMed
[16] Xue X.-S., Ji P., Zhou B., Cheng J.-P., The Essential Role of Bond Energetics in C–H Activation/Functionalization, Chem. Rev., 2017, 117, 8622-8648.10.1021/acs.chemrev.6b00664Search in Google Scholar PubMed
[17] Murai S., Kakiuchi F., Sekine S., Tanaka Y., Kamatani A., Sonoda M., et al., Efficient catalytic addition of aromatic carbon-hydrogen bonds to olefins, Nature, 1993, 366, 529.10.1038/366529a0Search in Google Scholar
[18] Kakiuchi F., Kan S., Igi K., Chatani N., Murai S., A Ruthenium-Catalyzed Reaction of Aromatic Ketones with Arylboronates: A New Method for the Arylation of Aromatic Compounds via C−H Bond Cleavage, J. Am. Chem. Soc., 2003, 125, 1698-1699.10.1021/ja029273fSearch in Google Scholar PubMed
[19] Gensch T., Hopkinson M.N., Glorius F., Wencel-Delord J., Mild metal-catalyzed C–H activation: examples and concepts, Chem. Soc. Rev., 2016, 45, 2900-2936.10.1039/C6CS00075DSearch in Google Scholar
[20] Arockiam P.B., Bruneau C., Dixneuf P.H., Ruthenium(II)-Catalyzed C–H Bond Activation and Functionalization, Chem. Rev., 2012, 112, 5879-5918.10.1021/cr300153jSearch in Google Scholar PubMed
[21] Goldman A.S., Goldberg K.I., Organometallic C–H Bond Activation: An Introduction, In: Activation and Functionalization of C–H Bonds, American Chemical Society, 885, 2004.10.1021/bk-2004-0885Search in Google Scholar
[22] Lapointe D., Fagnou K., Overview of the Mechanistic Work on the Concerted Metallation–Deprotonation Pathway, Chem. Lett., 2010, 39, 1118-1126.10.1246/cl.2010.1118Search in Google Scholar
[23] Ackermann L., Carboxylate-Assisted Transition-Metal-Catalyzed C−H Bond Functionalizations: Mechanism and Scope, Chem. Rev., 2011, 111, 1315-1345.10.1021/cr100412jSearch in Google Scholar PubMed
[24] Balcells D., Clot E., Eisenstein O., C−H Bond Activation in Transition Metal Species from a Computational Perspective, Chem. Rev., 2010, 110, 749–823.10.1021/cr900315kSearch in Google Scholar PubMed
[25] Gomez-Gallego M., Sierra M.A., Kinetic isotope effects in the study of organometallic reaction mechanisms, Chem. Rev., 2011, 111, 4857-4963.10.1021/cr100436kSearch in Google Scholar PubMed
[26] Simmons E.M., Hartwig J.F., On the Interpretation of Deuterium Kinetic Isotope Effects in C−H Bond Functionalizations by Transition-Metal Complexes, Angew. Chem. Int. Ed., 2012, 51, 3066-3072.10.1002/anie.201107334Search in Google Scholar PubMed
[27] Hata G., Kondo H., Miyake A., Ethylenebis(diphenylphosphine) complexes of iron and cobalt. Hydrogen transfer between the ligand and iron atom, J. Am. Chem. Soc., 1968, 90, 2278-2281.10.1021/ja01011a012Search in Google Scholar
[28] Cerveau G., Colomer E., Corriu R., The reaction between organosilyl derivatives of dicarbonyl(η5-cyclopentadienyl)iron and triphenyl phosphite. New evidence for ortho-metalated phosphite ligands, J. Organomet. Chem., 1977, 136, 349-354.10.1002/chin.197751330Search in Google Scholar
[29] Tolman C.A., Ittel S.D., English A.D., Jesson J.P., The chemistry of 2-naphthyl bis[bis(dimethylphosphino)ethane] hydride complexes of iron, ruthenium, and osmium. 1. Characterization and reactions with hydrogen and Lewis base ligands, J. Am. Chem. Soc., 1978, 100, 4080-4089.10.1021/ja00481a016Search in Google Scholar
[30] Ittel S.D., Tolman C.A., English A.D., Jesson J.P., The chemistry of 2-naphthyl bis[bis(dimethylphosphino)ethane] hydride complexes of iron, ruthenium, and osmium. 2. Cleavage of spand sp3 carbon-hydrogen, carbon-oxygen, and carbon-halogen bonds. Coupling of carbon dioxide and acetonitrile, J. Am. Chem. Soc., 1978, 100, 7577-7585.10.1021/ja00492a024Search in Google Scholar
[31] Tolman C.A., Ittel S.D., English A.D., Jesson J.P., Chemistry of 2-naphthyl bis[bis(dimethylphosphino)ethane] hydride complexes of iron, ruthenium, and osmium. 3. Cleavage of sp2 carbon-hydrogen bonds, J. Am. Chem. Soc., 1979, 101, 17421751.10.1021/ja00501a017Search in Google Scholar
[32] Baker M.V., Field L.D., Reaction of sp2 carbon-hydrogen bonds in unactivated alkenes with bis(diphosphine) complexes of iron, J. Am. Chem. Soc., 1986, 108, 7433-7434.10.1021/ja00283a062Search in Google Scholar
[33] Whittlesey M.K., Mawby R.J., Osman R., Perutz R.N., Field L.D., Wilkinson M.P., et al., Transient and matrix photochemistry of Fe(dmpe)2H2 (dmpe = Me2PCH2CH2Me2): dynamics of C−H and H−H activation, J. Am. Chem. Soc., 1993, 115, 8627-8637.10.1021/ja00072a016Search in Google Scholar
[34] Azizian H., Morris R.H., Photochemical synthesis and reactions of FeH(C6H4PPhCH2CH2PPh2)(PPh2PCH2CH2PPh2), Inorg. Chem., 1983, 22, 6-9.10.1021/ic00143a002Search in Google Scholar
[35] Ittel S.D., Tolman C.A., Krusic P.J., English A.D., Jesson J.P., Bis(diphenylphosphino)ethane complexes of iron, Inorg. Chem., 1978, 17, 3432-3438.10.1021/ic50190a026Search in Google Scholar
[36] Taylor K.H., Kalman S.E., Gunnoe T.B., Sabat M., Combined Furan C−H Activation and Furyl Ring-Opening by an Iron(II) Complex, Organometallics, 2016, 35, 1978-1985.10.1021/acs.organomet.6b00276Search in Google Scholar
[37] Yoshikai N., Matsumoto A., Norinder J., Nakamura E., Iron-catalyzed direct arylation of aryl pyridines and imines using oxygen as an oxidant, Synlett., 2010, 2, 313-316.10.1055/s-0029-1219184Search in Google Scholar
[38] Shang R., Ilies L., Nakamura E., Iron-Catalyzed C−H Bond Activation, Chem. Rev., 2017, 117, 9086-9139.10.1021/acs.chemrev.6b00772Search in Google Scholar PubMed
[39] Chen X., Engle K.M., Wang D.-H., Yu J.-Q., Palladium(II)-Catalyzed C−H Activation/C−C Cross-Coupling Reactions: Versatility and Practicality, Angew. Chem. Int. Ed., 2009, 48, 5094-5115.10.1002/anie.200806273Search in Google Scholar PubMed PubMed Central
[40] Lyons T.W., Sanford M.S., Palladium-Catalyzed Ligand-Directed C−H Functionalization Reactions, Chem. Rev., 2010, 110, 11471169.10.1021/cr900184eSearch in Google Scholar PubMed PubMed Central
[41] Colby D.A., Bergman R.G., Ellman J.A., Rhodium-catalyzed C−C bond formation via heteroatom-directed C−H bond activation, Chem. Rev., 2010, 110, 624-655.10.1021/cr900005nSearch in Google Scholar PubMed PubMed Central
[42] Shang R., Ilies L., Nakamura E., Iron-Catalyzed Directed C(sp2)−H and C(sp3)−H Functionalization with Trimethylaluminum, J. Am. Chem. Soc., 2015, 137, 7660-7663.10.1021/jacs.5b04818Search in Google Scholar PubMed
[43] Ilies L., Nakamura E., Iron-Catalyzed C–H Bond Activation, In: Dixneuf P.H., Doucet H. (Eds.), C−H Bond Activation and Catalytic Functionalization II, Springer International Publishing, 2016.10.1007/3418_2015_129Search in Google Scholar
[44] Cera G., Ackermann L., Iron-Catalyzed C−H Functionalization Processes, Top. Curr. Chem., 2016, 374, 57-90.10.1007/978-3-319-49784-6_7Search in Google Scholar
[45] Yoshikai N., Asako S., Yamakawa T., Ilies L., Nakamura E., Iron-Catalyzed C−H Bond Activation for the ortho-Arylation of Aryl Pyridines and Imines with Grignard Reagents, Chem. Asian J., 2011, 6, 3059-3065.10.1002/asia.201100470Search in Google Scholar PubMed
[46] Sun Y., Tang H., Chen K., Hu L., Yao J., Shaik S., et al., Two-State Reactivity in Low-Valent Iron-Mediated C−H Activation and the Implications for Other First-Row Transition Metals, J. Am. Chem. Soc., 2016, 138, 3715-3730.10.1021/jacs.5b12150Search in Google Scholar PubMed
[47] Holland P.L., Distinctive Reaction Pathways at Base Metals in High-Spin Organometallic Catalysts, Acc. Chem. Res., 2015, 48, 1696-1702.10.1021/acs.accounts.5b00036Search in Google Scholar PubMed
[48] Shang R., Ilies L., Asako S., Nakamura E., Iron-Catalyzed C(sp2)−H Bond Functionalization with Organoboron Compounds, J. Am. Chem. Soc., 2014, 136, 14349-14352.10.1021/ja5070763Search in Google Scholar PubMed
[49] Bedford R.B., How Low Does Iron Go? Chasing the Active Species in Fe-Catalyzed Cross-Coupling Reactions, Acc. Chem. Res., 2015, 48, 1485-1493.10.1021/acs.accounts.5b00042Search in Google Scholar PubMed
[50] Kochi J.K., Electron-transfer mechanisms for organometallic intermediates in catalytic reactions, Acc. Chem. Res., 1974, 7, 351-360.10.1021/ar50082a006Search in Google Scholar
[51] Cassani C., Bergonzini G., Wallentin C.-J., Active Species and Mechanistic Pathways in Iron-Catalyzed C-C Bond-Forming Cross-Coupling Reactions, ACS Catal., 2016, 6, 1640-1648.10.1021/acscatal.5b02441Search in Google Scholar
[52] Blanchard S., Derat E., Desage-El Murr M., Fensterbank L., Malacria M., Mouries-Mansuy V., Non-Innocent Ligands: New Opportunities in Iron Catalysis, Eur. J. Inorg. Chem., 2012, 2012, 376-389.10.1002/ejic.201100985Search in Google Scholar
[53] Yoshikai N., Mieczkowski A., Matsumoto A., Ilies L., Nakamura E., Iron-Catalyzed C−C Bond Formation at α-Position of Aliphatic Amines via C−H Bond Activation through 1,5-Hydrogen Transfer, J. Am. Chem. Soc., 2010, 132, 55685569.10.1021/ja100651tSearch in Google Scholar PubMed
[54] Sekine M., Ilies L., Nakamura E., Iron-Catalyzed Allylic Arylation of Olefins via C(sp3)−H Activation under Mild Conditions, Org. Lett., 2013, 15, 714-717.10.1021/ol400056zSearch in Google Scholar PubMed
[55] Wong M.Y., Yamakawa T., Yoshikai N., Iron-Catalyzed Directed C2-Alkylation and Alkenylation of Indole with Vinylarenes and Alkynes, Org. Lett., 2015, 17, 442-445.10.1021/ol503395gSearch in Google Scholar PubMed
[56] Hatanaka T., Ohki Y., Tatsumi K., C−H Bond activation/ borylation of furans and thiophenes catalyzed by a half-sandwich iron N-heterocyclic carbene complex, Chem. Asian J., 2010, 5, 1657-1666.10.1002/asia.201000140Search in Google Scholar PubMed
[57] Dombray T., Werncke C. G., Jiang S., Grellier M., Vendier L., Bontemps S., et al., Iron-Catalyzed C−H Borylation of Arenes, J. Am. Chem. Soc., 2015, 137, 4062-4065.10.1021/jacs.5b00895Search in Google Scholar PubMed
[58] Kharasch M.S., Fields E.K., Factors Determining the Course and Mechanisms of Grignard Reactions. IV. The Effect of Metallic Halides on the Reaction of Aryl Grignard Reagents and Organic Halides, J. Am. Chem. Soc., 1941, 63, 2316-2320.10.1021/ja01854a006Search in Google Scholar
[59] Hebrard F., Kalck P., Cobalt-Catalyzed Hydroformylation of Alkenes: Generation and Recycling of the Carbonyl Species, and Catalytic Cycle, Chem. Rev., 2009, 109, 4272-4282.10.1021/cr8002533Search in Google Scholar PubMed
[60] Gonsalvi L., Guerriero A., Monflier E., Hapiot F., Peruzzini M., The Role of Metals and Ligands in Organic Hdroformylation, Top. Curr. Chem., 2013, 342, 1-48.10.1007/128_2013_430Search in Google Scholar PubMed
[61] van Leeuwen P.W.N.M., Cobalt Catalysed Hydroformylation, In: Homogeneous Catalysis, Springer, Dordrecht, 2014.Search in Google Scholar
[62] Marciniec B., Hydrosilylation of Alkenes and Their Derivatives, In: Marciniec B. (Ed.), Hydrosilylation: A Comprehensive Review on Recent Advances, Springer Science & Business Media, 2008.Search in Google Scholar
[63] Teo W.J., Wang C., Tan Y.W., Ge S., Cobalt-Catalyzed Z-Selective Hydrosilylation of Terminal Alkynes, Angew. Chem. Int. Ed., 2017, 56, 4328-4332.10.1002/anie.201700868Search in Google Scholar
[64] Sun J., Deng L., Cobalt Complex-Catalyzed Hydrosilylation of Alkenes and Alkynes, ACS Catal., 2016, 6, 290-300.10.1021/acscatal.5b02308Search in Google Scholar
[65] Wang C., Teo W.J., Ge S., Cobalt-Catalyzed Regiodivergent Hydrosilylation of Vinylarenes and Aliphatic Alkenes: Ligand-and Silane-Dependent Regioselectivities, ACS Catal., 2017, 7, 855-863.10.1021/acscatal.6b02518Search in Google Scholar
[66] Liu Y., Deng L., Mode of Activation of Cobalt(II) Amides for Catalytic Hydrosilylation of Alkenes with Tertiary Silanes, J. Am. Chem. Soc., 2017, 139, 1798-1801.10.1021/jacs.6b12938Search in Google Scholar
[67] Cheng B., Lu P., Zhang H., Cheng X., Lu Z., Highly Enantioselective Cobalt-Catalyzed Hydrosilylation of Alkenes, J. Am. Chem. Soc., 2017, 139, 9439-9442.10.1021/jacs.7b04137Search in Google Scholar
[68] Moselage M., Li J., Ackermann L., Cobalt-Catalyzed C–H Activation, ACS Catal., 2015, 6, 498-525.10.1021/acscatal.5b02344Search in Google Scholar
[69] Chirila P.G., Whiteoak C.J., Recent advances using [Cp*Co(CO) I2] catalysts as a powerful tool for C−H functionalisation, Dalton Trans., 2017, 46, 9721-9739.10.1039/C7DT01980GSearch in Google Scholar
[70] Yoshino T., Matsunaga S., (Pentamethylcyclopentadienyl) cobalt(III)-Catalyzed C−H Bond Functionalization: From Discovery to Unique Reactivity and Selectivity, Adv. Synth. & Catal., 2017, 359, 1245-1262.10.1002/adsc.201700042Search in Google Scholar
[71] Klein H.-F., Helwig M., Koch U., Floerke U., Haupt H.-J., Coordination and Reactions of Diazenes in Trimethylphosphinecobalt(I). Complexes - Syntheses and Structures of Complexes Containing u2-(NN)-Benzo[c]cinnoline and 2-Azobenzene Ligands, Z. Naturforsch. B, 1993, 48, 778784.10.1515/znb-1993-0612Search in Google Scholar
[72] Klein H.-F., Schneider S., He M., Floerke U., Haupt H.-J., ortho-Metalation of Triarylphosphane at Cobalt and Template Synthesis of Chelating 2-(Diarylphosphanyl)aroyl Ligands, Eur. J. Inorg. Chem., 2000, 10, 2295-2301.10.1002/1099-0682(200010)2000:10<2295::AID-EJIC2295>3.0.CO;2-CSearch in Google Scholar
[73] Murahashi S., Horiie S., The Reaction of Azobenzene and Carbon Monoxide, J. Am. Chem. Soc., 1956, 78, 4816-4817.10.1021/ja01599a079Search in Google Scholar
[74] Chen Q., Ilies L., Nakamura E., Cobalt-Catalyzed ortho-Alkylation of Secondary Benzamide with Alkyl Chloride through Directed C−H Bond Activation, J. Am. Chem. Soc., 2011, 133, 428-429.10.1021/ja1099853Search in Google Scholar PubMed
[75] Gao K., Yoshikai N., Regioselectivity-Switchable Hydroarylation of Styrenes, J. Am. Chem. Soc., 2011, 133, 400402.10.1021/ja108809uSearch in Google Scholar PubMed
[76] Gao K., Yoshikai N., Cobalt-phenanthroline catalysts for the ortho alkylation of aromatic imines under mild reaction conditions, Angew. Chem. Int. Ed., 2011, 50, 6888-6892.10.1002/anie.201101823Search in Google Scholar PubMed
[77] Lee P.S., Yoshikai N., Aldimine-directed branched-selective hydroarylation of styrenes, Angew. Chem. Int. Ed., 2013, 52, 1240-1244.10.1002/anie.201207958Search in Google Scholar PubMed
[78] Xu W., Yoshikai N., Highly linear selective cobalt-catalyzed addition of aryl imines to styrenes: reversing intrinsic regioselectivity by ligand elaboration, Angew. Chem. Int. Ed., 2014, 53, 14166-14170.10.1002/anie.201408028Search in Google Scholar PubMed
[79] Yang J., Yoshikai N., Cobalt-catalyzed enantioselective intramolecular hydroacylation of ketones and olefins, J. Am. Chem. Soc., 2014, 136, 16748-16751.10.1021/ja509919xSearch in Google Scholar PubMed
[80] Lee P.S., Fujita T., Yoshikai N., Cobalt-catalyzed, room-temperature addition of aromatic imines to alkynes via directed C−H bond activation, J. Am. Chem. Soc., 2011, 133, 17283-17295.10.1021/ja2047073Search in Google Scholar PubMed
[81] Song W., Ackermann L., Cobalt-catalyzed direct arylation and benzylation by C−H/C−O cleavage with sulfamates, carbamates, and phosphates, Angew. Chem. Int. Ed., 2012, 51, 8251-8254.10.1002/anie.201202466Search in Google Scholar PubMed
[82] Moselage M., Sauermann N., Richter S.C., Ackermann L., C−H alkenylations with alkenyl acetates, phosphates, carbonates, and carbamates by cobalt catalysis at 23 °C, Angew. Chem. Int. Ed., 2015, 54, 6352-6355.10.1002/anie.201412319Search in Google Scholar PubMed
[83] Punji B., Song W., Shevchenko G.A., Ackermann L., Cobalt-catalyzed C−H bond functionalizations with aryl and alkyl chlorides, Chem. Eur. J., 2013, 19, 10605-10610.10.1002/chem.201301409Search in Google Scholar PubMed
[84] Gao K., Yoshikai N., Cobalt-catalyzed ortho alkylation of aromatic imines with primary and secondary alkyl halides, J. Am. Chem. Soc., 2013, 135, 9279-9282.10.1021/ja403759xSearch in Google Scholar PubMed
[85] Yang J., Seto Y.W., Yoshikai N., Cobalt-Catalyzed Intermolecular Hydroacylation of Olefins through Chelation-Assisted Imidoyl C–H Activation, ACS Catal., 2015, 5, 3054-3057.10.1021/acscatal.5b00581Search in Google Scholar
[86] Fallon B.J., Derat E., Amatore M., Aubert C., Chemla F., Ferreira F., et al., C–H activation/functionalization catalyzed by simple, well-defined low valent cobalt complexes, J. Am. Chem. Soc., 2015, 137, 2448-2451.10.1021/ja512728fSearch in Google Scholar PubMed
[87] Vastine B.A., Hall M.B., Carbon-Hydrogen Bond Activation: Two, Three, or More Mechanisms?, J. Am. Chem. Soc., 2007, 129, 12068-12069.10.1021/ja074518fSearch in Google Scholar PubMed
[88] Landge V.G., Jaiswal G., Balaraman E., Cobalt-Catalyzed Bis-alkynylation of Amides via Double C−H Bond Activation, Org. Lett., 2016, 18, 812-815.10.1021/acs.orglett.6b00095Search in Google Scholar PubMed
[89] Landge V.G., Midya S.P., Rana J., Shinde D.R., Balaraman E., Expedient Cobalt-Catalyzed C−H Alkynylation of (Enantiopure) Benzylamines, Org. Lett., 2016, 18, 5252−5255.10.1021/acs.orglett.6b02549Search in Google Scholar PubMed
[90] Obligacion J.V., Semproni S.P., Chirik P.J., Cobalt-catalyzed C−H borylation, J. Am. Chem. Soc., 2014, 136, 4133-4136.10.1021/ja500712zSearch in Google Scholar PubMed
[91] Obligacion J.V., Semproni S.P., Pappas I., Chirik P.J., Cobalt-Catalyzed C(sp2)−H Borylation: Mechanistic Insights Inspire Catalyst Design, J. Am. Chem. Soc., 2016, 138, 10645-10653.10.1021/jacs.6b06144Search in Google Scholar PubMed
[92] Obligacion J.V., Chirik P.J., Mechanistic Studies of Cobalt-Catalyzed C(sp2)−H Borylation of Five-Membered Heteroarenes with Pinacolborane, ACS Catal., 2017, 7, 4366–4371.10.1021/acscatal.7b01151Search in Google Scholar PubMed PubMed Central
[93] Ikemoto H., Yoshino T., Sakata K., Matsunaga S., Kanai M., Pyrroloindolone synthesis via a Cp*Co(III)-catalyzed redox-neutral directed C−H alkenylation/annulation sequence, J. Am. Chem. Soc., 2014, 136, 5424-5431.10.1021/ja5008432Search in Google Scholar PubMed
[94] Sakata K., Eda M., Kitaoka Y., Yoshino T., Matsunaga S., Cp*Co(III)-Catalyzed C−H Alkenylation/Annulation Reactions of Indoles with Alkynes: A DFT Study, J. Org. Chem., 2017, 82, 7379-7387.10.1021/acs.joc.7b01047Search in Google Scholar PubMed
[95] Li J., Ackermann L., Cobalt-catalyzed C−H cyanation of arenes and heteroarenes, Angew. Chem. Int. Ed., 2015, 54, 36353638.10.1002/anie.201409247Search in Google Scholar PubMed
[96] Guo X.-K., Zhang L.-B., Wei D., Niu J.-L., Mechanistic insights into cobalt(II/III)-catalyzed C–H oxidation: a combined theoretical and experimental study, Chem. Sci., 2015, 6, 70597071.10.1039/C5SC01807BSearch in Google Scholar PubMed PubMed Central
[97] Yu D.G., Gensch T., de Azambuja F., Vasquez-Cespedes S., Glorius F., Co(III)-catalyzed C−H activation/formal SN-type reactions: selective and efficient cyanation, halogenation, and allylation, J. Am. Chem. Soc., 2014, 136, 17722-17725.10.1021/ja511011mSearch in Google Scholar PubMed
[98] Gensch T., Vasquez-Cespedes S., Yu D.G., Glorius F., Cobalt(III)-Catalyzed Directed C−H Allylation, Org. Lett., 2015, 17, 3714-3717.10.1021/acs.orglett.5b01701Search in Google Scholar PubMed
[99] Suzuki Y., Sun B., Sakata K., Yoshino T., Matsunaga S., Kanai M., Dehydrative Direct C−H Allylation with Allylic Alcohols under [Cp*Co(III)] Catalysis, Angew. Chem. Int. Ed., 2015, 54, 9944-9947.10.1002/anie.201503704Search in Google Scholar PubMed
[100] Wang H., Koeller J., Liu W., Ackermann L., Cobalt(III)-Catalyzed C−H/N−O Functionalizations: Isohypsic Access to Isoquinolines, Chem. Eur. J., 2015, 21, 15525-15528.10.1002/chem.201503624Search in Google Scholar PubMed
[101] Hummel J.R., Ellman J.A., Cobalt(III)-catalyzed synthesis of indazoles and furans by C−H bond functionalization/addition/ cyclization cascades, J. Am. Chem. Soc., 2015, 137, 490-498.10.1021/ja5116452Search in Google Scholar PubMed PubMed Central
[102] Kong L., Yu S., Zhou X., Li X., Redox-Neutral Couplings between Amides and Alkynes via Cobalt(III)-Catalyzed C−H Activation, Org. Lett., 2016, 18, 588-591.10.1021/acs.orglett.5b03629Search in Google Scholar PubMed
[103] Mei R., Loup J., Ackermann L., Oxazolinyl-Assisted C–H Amidation by Cobalt(III) Catalysis, ACS Catal., 2016, 6, 793797.10.1021/acscatal.5b02661Search in Google Scholar
[104] Nakanowatari S., Mei R., Feldt M., Ackermann L., Cobalt(III)-Catalyzed Hydroarylation of Allenes via C–H Activation, ACS Catal., 2017, 7, 2511-2515.10.1021/acscatal.7b00207Search in Google Scholar
[105] Zell D., Bursch M., Muller V., Grimme S., Ackermann L., Full Selectivity Control in Cobalt(III)-Catalyzed C−H Alkylations by Switching of the C−H Activation Mechanism, Angew. Chem. Int. Ed., 2017, 56, 10378-10382.10.1002/anie.201704196Search in Google Scholar PubMed
[106] Sanjosé-Orduna J., Gallego D., Garcia-Roca A., Martin E., Benet-Buchholz J., Pérez-Temprano M.H., Capturing Elusive Cobaltacycle Intermediates: A Real-Time Snapshot of the Cp*CoIII-Catalyzed Oxidative Alkyne Annulation, Angew. Chem. Int. Ed., 2017, 56, 12137-12141.10.1002/anie.201704744Search in Google Scholar PubMed
[107] Yu X., Chen K., Guo S., Shi P., Song C., Zhu J., Direct Access to Cobaltacycles via C−H Activation: N-Chloroamide-Enabled Room-Temperature Synthesis of Heterocycles, Org. Lett., 2017, 19, 5348-5351.10.1021/acs.orglett.7b02632Search in Google Scholar PubMed
[108] Planas O., Whiteoak C.J., Martin-Diaconescu V., Gamba I., Luis J.M., Parella T., et al., Isolation of Key Organometallic Aryl-Co(III) Intermediates in Cobalt-Catalyzed C(sp2)–H Functionalizations and New Insights into Alkyne Annulation Reaction Mechanisms, J. Am. Chem. Soc., 2016, 138, 1438814397.10.1021/jacs.6b08593Search in Google Scholar PubMed
[109] Liu W., Ackermann L., Manganese-Catalyzed C–H Activation, ACS Catal., 2016, 6, 3743-3752.10.1021/acscatal.6b00993Search in Google Scholar
[110] Bruce M.I., Iqbal M.Z., Stone F.G.A., ortho-Metalation reactions. Part I. Reactions of azobenzene with some metal carbonyl complexes of sub-groups VI, VII, and VIII, J. Chem. Soc. A, 1970, 3204-3209.10.1039/j19700003204Search in Google Scholar
[111] Cooney J.M., Gommans L.H.P., Main L., Nicholson B.K., Ortho-manganated arenes in synthesis: IV.Ortho-manganation of substituted acetophenones and of heteroaromatic methyl ketones. The crystal structures of two cyclometallated acetylthiophene derivatives, J. Organomet. Chem., 1988, 349, 197-207.10.1002/chin.198851279Search in Google Scholar
[112] Depree G.J., Main L., Nicholson B.K., Robinson N.P., Jameson G.B., Synthesis and alkyne-coupling chemistry of cyclomanganated 1- and 3-acetylindoles, 3-formylindole and analogues, J. Organomet. Chem., 2006, 691, 667-679.10.1016/j.jorganchem.2005.09.049Search in Google Scholar
[113] Robinson N.P., Main L.N., Nicholson B.K., Ortho-manganated arenes in synthesis: V. Ortho-manganation of N-acyl heteroaromatics, benzamides and substituted benzaldehydes. Crystal structure of (h2-O,C-1-acetyl-2-indolyl) tetracarbonylmanganese, J. Organomet. Chem., 1988, 349, 209-218.10.1016/0022-328X(88)80450-9Search in Google Scholar
[114] Albert J., Cadena J.M., Granell J., Solans X., Font-Bardia M., Regioselective cyclomanganation of Schiff bases. An unexpected effect of chloro substituents, J. Organomet. Chem., 2004, 689, 4889-4896.10.1016/j.jorganchem.2004.07.010Search in Google Scholar
[115] Kuninobu Y., Nishina Y., Takeuchi T., Takai K., Manganese-catalyzed insertion of aldehydes into a C−H bond, Angew. Chem. Int. Ed., 2007, 46, 6518-6520.10.1002/anie.200702256Search in Google Scholar PubMed
[116] Zhou B., Chen H., Wang C., Mn-catalyzed aromatic C−H alkenylation with terminal alkynes, J. Am. Chem. Soc., 2013, 135, 1264-1267.10.1021/ja311689kSearch in Google Scholar PubMed
[117] Zhou B., Ma P., Chen H., Wang C., Amine-accelerated manganese-catalyzed aromatic C−H conjugate addition to α,β-unsaturated carbonyls, Chem. Comm., 2014, 50, 14558-14561.10.1039/C4CC07598FSearch in Google Scholar PubMed
[118] He R., Huang Z.T., Zheng Q.Y., Wang C., Manganese-catalyzed dehydrogenative [4+2] annulation of N−H imines and alkynes by C−H/N−H activation, Angew. Chem. Int. Ed., 2014, 53, 4950-4953.10.1002/anie.201402575Search in Google Scholar PubMed
[119] Shi L., Zhong X., She H., Lei Z., Li F., Manganese catalyzed C−H functionalization of indoles with alkynes to synthesize bis/ trisubstituted indolylalkenes and carbazoles: the acid is the key to control selectivity, Chem. Comm., 2015, 51, 7136-7139.10.1039/C5CC00249DSearch in Google Scholar PubMed
[120] Liu W., Bang J., Zhang Y., Ackermann L., Manganese(I)-Catalyzed C−H Aminocarbonylation of Heteroarenes, Angew. Chem. Int. Ed., 2015, 54, 14137-14140.10.1002/anie.201507087Search in Google Scholar PubMed
[121] Liu W., Zell D., John M., Ackermann L., Manganese-catalyzed synthesis of cis-β-amino acid esters through organometallic C-H activation of ketimines, Angew. Chem. Int. Ed., 2015, 54, 4092-4096.10.1002/chin.201531112Search in Google Scholar
[122] Zhou B., Hu Y., Wang C., Manganese-Catalyzed Direct Nucleophilic C(sp2)−H Addition to Aldehydes and Nitriles, Angew. Chem. Int. Ed., 2015, 54, 13659-13663.10.1002/anie.201506187Search in Google Scholar PubMed
[123] Liu W., Richter S.C., Zhang Y., Ackermann L., Manganese(I)-Catalyzed Substitutive C−H Allylation, Angew. Chem. Int. Ed., 2016, 55, 7747-7750.10.1002/anie.201601560Search in Google Scholar PubMed
[124] Liu W., Richter S.C., Mei R., Feldt M., Ackermann L., Synergistic Heterobimetallic Manifold for Expedient Manganese(I)-Catalyzed C−H Cyanation, Chem. Eur. J., 2016, 22, 1795817961.10.1002/chem.201604621Search in Google Scholar PubMed
[125] Yahaya N.P., Appleby K.M., Teh M., Wagner C., Troschke E., Bray J.T., et al., Manganese(I)-Catalyzed C−H Activation: The Key Role of a 7-Membered Manganacycle in H-Transfer and Reductive Elimination, Angew. Chem. Int. Ed., 2016, 55, 1245512459.10.1002/anie.201606236Search in Google Scholar PubMed PubMed Central
© 2018 Daniel Gallego, Edwin A. Baquero, published by De Gruyter
This work is licensed under the Creative Commons Attribution-NonCommercial-NoDerivatives 4.0 License.
Articles in the same Issue
- Regular Articles
- The effect of CuO modification for a TiO2 nanotube confined CeO2 catalyst on the catalytic combustion of butane
- The preparation and antibacterial activity of cellulose/ZnO composite: a review
- Linde Type A and nano magnetite/NaA zeolites: cytotoxicity and doxorubicin loading efficiency
- Performance and thermal decomposition analysis of foaming agent NPL-10 for use in heavy oil recovery by steam injection
- Spectroscopic (FT-IR, FT-Raman, UV, 1H and 13C NMR) insights, electronic profiling and DFT computations on ({(E)-[3-(1H-imidazol-1-yl)-1-phenylpropylidene] amino}oxy)(4-nitrophenyl)methanone, an imidazole-bearing anti-Candida agent
- A Simplistic Preliminary Assessment of Ginstling-Brounstein Model for Solid Spherical Particles in the Context of a Diffusion-Controlled Synthesis
- M-Polynomials And Topological Indices Of Zigzag And Rhombic Benzenoid Systems
- Photochemical Transformation of some 3-benzyloxy-2-(benzo[b]thiophen-2-yl)-4Hchromen-4-ones: A Remote Substituent Effect
- Dynamic Changes of Secondary Metabolites and Antioxidant Activity of Ligustrum lucidum During Fruit Growth
- Studies on the flammability of polypropylene/ammonium polyphosphate and montmorillonite by using the cone calorimeter test
- DSC, FT-IR, NIR, NIR-PCA and NIR-ANOVA for determination of chemical stability of diuretic drugs: impact of excipients
- Antioxidant and Hepatoprotective Effects of Methanolic Extracts of Zilla spinosa and Hammada elegans Against Carbon Tetrachlorideinduced Hepatotoxicity in Rats
- Prunus cerasifera Ehrh. fabricated ZnO nano falcates and its photocatalytic and dose dependent in vitro bio-activity
- Organic biocides hosted in layered double hydroxides: enhancing antimicrobial activity
- Experimental study on the regulation of the cholinergic pathway in renal macrophages by microRNA-132 to alleviate inflammatory response
- Synthesis, characterization, in-vitro antimicrobial properties, molecular docking and DFT studies of 3-{(E)-[(4,6-dimethylpyrimidin-2-yl)imino]methyl} naphthalen-2-ol and Heteroleptic Mn(II), Co(II), Ni(II) and Zn(II) complexes
- M-Polynomials and Topological Indices of Dominating David Derived Networks
- Human Health Risk Assessment of Trace Metals in Surface Water Due to Leachate from the Municipal Dumpsite by Pollution Index: A Case Study from Ndawuse River, Abuja, Nigeria
- Analysis of Bowel Diseases from Blood Serum by Autofluorescence and Atomic Force Microscopy Techniques
- Hydrographic parameters and distribution of dissolved Cu, Ni, Zn and nutrients near Jeddah desalination plant
- Relationships between diatoms and environmental variables in industrial water biotopes of Trzuskawica S.A. (Poland)
- Optimum Conversion of Major Ginsenoside Rb1 to Minor Ginsenoside Rg3(S) by Pulsed Electric Field-Assisted Acid Hydrolysis Treatment
- Antioxidant, Anti-microbial Properties and Chemical Composition of Cumin Essential Oils Extracted by Three Methods
- Regulatory mechanism of ulinastatin on autophagy of macrophages and renal tubular epithelial cells
- Investigation of the sustained-release mechanism of hydroxypropyl methyl cellulose skeleton type Acipimox tablets
- Bio-accumulation of Polycyclic Aromatic Hydrocarbons in the Grey Mangrove (Avicennia marina) along Arabian Gulf, Saudi Coast
- Dynamic Change of Secondary Metabolites and spectrum-effect relationship of Malus halliana Koehne flowers during blooming
- Lipids constituents from Gardenia aqualla Stapf & Hutch
- Effect of using microwaves for catalysts preparation on the catalytic acetalization of glycerol with furfural to obtain fuel additives
- Effect of Humic Acid on the Degradation of Methylene Blue by Peroxymonosulfate
- Serum containing drugs of Gua Lou Xie Bai decoction (GLXB-D) can inhibit TGF-β1-Induced Epithelial to Mesenchymal Transition (EMT) in A549 Cells
- Antiulcer Activity of Different Extracts of Anvillea garcinii and Isolation of Two New Secondary Metabolites
- Analysis of Metabolites in Cabernet Sauvignon and Shiraz Dry Red Wines from Shanxi by 1H NMR Spectroscopy Combined with Pattern Recognition Analysis
- Can water temperature impact litter decomposition under pollution of copper and zinc mixture
- Released from ZrO2/SiO2 coating resveratrol inhibits senescence and oxidative stress of human adipose-derived stem cells (ASC)
- Validated thin-layer chromatographic method for alternative and simultaneous determination of two anti-gout agents in their fixed dose combinations
- Fast removal of pollutants from vehicle emissions during cold-start stage
- Review Article
- Catalytic activities of heterogeneous catalysts obtained by copolymerization of metal-containing 2-(acetoacetoxy)ethyl methacrylate
- Antibiotic Residue in the Aquatic Environment: Status in Africa
- Regular Articles
- Mercury fractionation in gypsum using temperature desorption and mass spectrometric detection
- Phytosynthetic Ag doped ZnO nanoparticles: Semiconducting green remediators
- Epithelial–Mesenchymal Transition Induced by SMAD4 Activation in Invasive Growth Hormone-Secreting Adenomas
- Physicochemical properties of stabilized sewage sludge admixtures by modified steel slag
- In Vitro Cytotoxic and Antiproliferative Activity of Cydonia oblonga flower petals, leaf and fruit pellet ethanolic extracts. Docking simulation of the active flavonoids on anti-apoptotic protein Bcl-2
- Synthesis and Characterization of Pd exchanged MMT Clay for Mizoroki-Heck Reaction
- A new selective, and sensitive method for the determination of lixivaptan, a vasopressin 2 (V2)-receptor antagonist, in mouse plasma and its application in a pharmacokinetic study
- Anti-EGFL7 antibodies inhibit rat prolactinoma MMQ cells proliferation and PRL secretion
- Density functional theory calculations, vibration spectral analysis and molecular docking of the antimicrobial agent 6-(1,3-benzodioxol-5-ylmethyl)-5-ethyl-2-{[2-(morpholin-4-yl)ethyl] sulfanyl}pyrimidin-4(3H)-one
- Effect of Nano Zeolite on the Transformation of Cadmium Speciation and Its Uptake by Tobacco in Cadmium-contaminated Soil
- Effects and Mechanisms of Jinniu Capsule on Methamphetamine-Induced Conditioned Place Preference in Rats
- Calculating the Degree-based Topological Indices of Dendrimers
- Efficient optimization and mineralization of UV absorbers: A comparative investigation with Fenton and UV/H2O2
- Metabolites of Tryptophane and Phenylalanine as Markers of Small Bowel Ischemia-Reperfusion Injury
- Adsorption and determination of polycyclic aromatic hydrocarbons in water through the aggregation of graphene oxide
- The role of NR2C2 in the prolactinomas
- Chromium removal from industrial wastewater using Phyllostachys pubescens biomass loaded Cu-S nanospheres
- Hydrotalcite Anchored Ruthenium Catalyst for CO2 Hydrogenation Reaction
- Preparation of Calcium Fluoride using Phosphogypsum by Orthogonal Experiment
- The mechanism of antibacterial activity of corylifolinin against three clinical bacteria from Psoralen corylifolia L
- 2-formyl-3,6-bis(hydroxymethyl)phenyl benzoate in Electrochemical Dry Cell
- Electro-photocatalytic degradation of amoxicillin using calcium titanate
- Effect of Malus halliana Koehne Polysaccharides on Functional Constipation
- Structural Properties and Nonlinear Optical Responses of Halogenated Compounds: A DFT Investigation on Molecular Modelling
- DMFDMA catalyzed synthesis of 2-((Dimethylamino)methylene)-3,4-dihydro-9-arylacridin-1(2H)-ones and their derivatives: in-vitro antifungal, antibacterial and antioxidant evaluations
- Production of Methanol as a Fuel Energy from CO2 Present in Polluted Seawater - A Photocatalytic Outlook
- Study of different extraction methods on finger print and fatty acid of raw beef fat using fourier transform infrared and gas chromatography-mass spectrometry
- Determination of trace fluoroquinolones in water solutions and in medicinal preparations by conventional and synchronous fluorescence spectrometry
- Extraction and determination of flavonoids in Carthamus tinctorius
- Therapeutic Application of Zinc and Vanadium Complexes against Diabetes Mellitus a Coronary Disease: A review
- Study of calcined eggshell as potential catalyst for biodiesel formation using used cooking oil
- Manganese oxalates - structure-based Insights
- Topological Indices of H-Naphtalenic Nanosheet
- Long-Term Dissolution of Glass Fibers in Water Described by Dissolving Cylinder Zero-Order Kinetic Model: Mass Loss and Radius Reduction
- Topological study of the para-line graphs of certain pentacene via topological indices
- A brief insight into the prediction of water vapor transmissibility in highly impermeable hybrid nanocomposites based on bromobutyl/epichlorohydrin rubber blends
- Comparative sulfite assay by voltammetry using Pt electrodes, photometry and titrimetry: Application to cider, vinegar and sugar analysis
- MicroRNA delivery mediated by PEGylated polyethylenimine for prostate cancer therapy
- Reversible Fluorescent Turn-on Sensors for Fe3+ based on a Receptor Composed of Tri-oxygen Atoms of Amide Groups in Water
- Sonocatalytic degradation of methyl orange in aqueous solution using Fe-doped TiO2 nanoparticles under mechanical agitation
- Hydrotalcite Anchored Ruthenium Catalyst for CO2 Hydrogenation Reaction
- Production and Analysis of Recycled Ammonium Perrhenate from CMSX-4 superalloys
- Topical Issue on Agriculture
- New phosphorus biofertilizers from renewable raw materials in the aspect of cadmium and lead contents in soil and plants
- Survey of content of cadmium, calcium, chromium, copper, iron, lead, magnesium, manganese, mercury, sodium and zinc in chamomile and green tea leaves by electrothermal or flame atomizer atomic absorption spectrometry
- Biogas digestate – benefits and risks for soil fertility and crop quality – an evaluation of grain maize response
- A numerical analysis of heat transfer in a cross-current heat exchanger with controlled and newly designed air flows
- Freshwater green macroalgae as a biosorbent of Cr(III) ions
- The main influencing factors of soil mechanical characteristics of the gravity erosion environment in the dry-hot valley of Jinsha river
- Free amino acids in Viola tricolor in relation to different habitat conditions
- The influence of filler amount on selected properties of new experimental resin dental composite
- Effect of poultry wastewater irrigation on nitrogen, phosphorus and carbon contents in farmland soil
- Response of spring wheat to NPK and S fertilization. The content and uptake of macronutrients and the value of ionic ratios
- The Effect of Macroalgal Extracts and Near Infrared Radiation on Germination of Soybean Seedlings: Preliminary Research Results
- Content of Zn, Cd and Pb in purple moor-grass in soils heavily contaminated with heavy metals around a zinc and lead ore tailing landfill
- Topical Issue on Research for Natural Bioactive Products
- Synthesis of (±)-3,4-dimethoxybenzyl-4-methyloctanoate as a novel internal standard for capsinoid determination by HPLC-ESI-MS/MS(QTOF)
- Repellent activity of monoterpenoid esters with neurotransmitter amino acids against yellow fever mosquito, Aedes aegypti
- Effect of Flammulina velutipes (golden needle mushroom, eno-kitake) polysaccharides on constipation
- Bioassay-directed fractionation of a blood coagulation factor Xa inhibitor, betulinic acid from Lycopus lucidus
- Antifungal and repellent activities of the essential oils from three aromatic herbs from western Himalaya
- Chemical composition and microbiological evaluation of essential oil from Hyssopus officinalis L. with white and pink flowers
- Bioassay-guided isolation and identification of Aedes aegypti larvicidal and biting deterrent compounds from Veratrum lobelianum
- α-Terpineol, a natural monoterpene: A review of its biological properties
- Utility of essential oils for development of host-based lures for Xyleborus glabratus (Coleoptera: Curculionidae: Scolytinae), vector of laurel wilt
- Phenolic composition and antioxidant potential of different organs of Kazakh Crataegus almaatensis Pojark: A comparison with the European Crataegus oxyacantha L. flowers
- Isolation of eudesmane type sesquiterpene ketone from Prangos heyniae H.Duman & M.F.Watson essential oil and mosquitocidal activity of the essential oils
- Comparative analysis of the polyphenols profiles and the antioxidant and cytotoxicity properties of various blue honeysuckle varieties
- Special Issue on ICCESEN 2017
- Modelling world energy security data from multinomial distribution by generalized linear model under different cumulative link functions
- Pine Cone and Boron Compounds Effect as Reinforcement on Mechanical and Flammability Properties of Polyester Composites
- Artificial Neural Network Modelling for Prediction of SNR Effected by Probe Properties on Ultrasonic Inspection of Austenitic Stainless Steel Weldments
- Calculation and 3D analyses of ERR in the band crack front contained in a rectangular plate made of multilayered material
- Improvement of fuel properties of biodiesel with bioadditive ethyl levulinate
- Properties of AlSi9Cu3 metal matrix micro and nano composites produced via stir casting
- Investigation of Antibacterial Properties of Ag Doped TiO2 Nanofibers Prepared by Electrospinning Process
- Modeling of Total Phenolic contents in Various Tea samples by Experimental Design Methods
- Nickel doping effect on the structural and optical properties of indium sulfide thin films by SILAR
- The effect mechanism of Ginnalin A as a homeopathic agent on various cancer cell lines
- Excitation functions of proton induced reactions of some radioisotopes used in medicine
- Oxide ionic conductivity and microstructures of Pr and Sm co-doped CeO2-based systems
- Rapid Synthesis of Metallic Reinforced in Situ Intermetallic Composites in Ti-Al-Nb System via Resistive Sintering
- Oxidation Behavior of NiCr/YSZ Thermal Barrier Coatings (TBCs)
- Clustering Analysis of Normal Strength Concretes Produced with Different Aggregate Types
- Magnetic Nano-Sized Solid Acid Catalyst Bearing Sulfonic Acid Groups for Biodiesel Synthesis
- The biological activities of Arabis alpina L. subsp. brevifolia (DC.) Cullen against food pathogens
- Humidity properties of Schiff base polymers
- Free Vibration Analysis of Fiber Metal Laminated Straight Beam
- Comparative study of in vitro antioxidant, acetylcholinesterase and butyrylcholinesterase activity of alfalfa (Medicago sativa L.) collected during different growth stages
- Isothermal Oxidation Behavior of Gadolinium Zirconate (Gd2Zr2O7) Thermal Barrier Coatings (TBCs) produced by Electron Beam Physical Vapor Deposition (EB-PVD) technique
- Optimization of Adsorption Parameters for Ultra-Fine Calcite Using a Box-Behnken Experimental Design
- The Microstructural Investigation of Vermiculite-Infiltrated Electron Beam Physical Vapor Deposition Thermal Barrier Coatings
- Modelling Porosity Permeability of Ceramic Tiles using Fuzzy Taguchi Method
- Experimental and theoretical study of a novel naphthoquinone Schiff base
- Physicochemical properties of heat treated sille stone for ceramic industry
- Sand Dune Characterization for Preparing Metallurgical Grade Silicon
- Catalytic Applications of Large Pore Sulfonic Acid-Functionalized SBA-15 Mesoporous Silica for Esterification
- One-photon Absorption Characterizations, Dipole Polarizabilities and Second Hyperpolarizabilities of Chlorophyll a and Crocin
- The Optical and Crystallite Characterization of Bilayer TiO2 Films Coated on Different ITO layers
- Topical Issue on Bond Activation
- Metal-mediated reactions towards the synthesis of a novel deaminolysed bisurea, dicarbamolyamine
- The structure of ortho-(trifluoromethyl)phenol in comparison to its homologues – A combined experimental and theoretical study
- Heterogeneous catalysis with encapsulated haem and other synthetic porphyrins: Harnessing the power of porphyrins for oxidation reactions
- Recent Advances on Mechanistic Studies on C–H Activation Catalyzed by Base Metals
- Reactions of the organoplatinum complex [Pt(cod) (neoSi)Cl] (neoSi = trimethylsilylmethyl) with the non-coordinating anions SbF6– and BPh4–
- Erratum
- Investigation on Two Compounds of O, O’-dithiophosphate Derivatives as Corrosion Inhibitors for Q235 Steel in Hydrochloric Acid Solution
Articles in the same Issue
- Regular Articles
- The effect of CuO modification for a TiO2 nanotube confined CeO2 catalyst on the catalytic combustion of butane
- The preparation and antibacterial activity of cellulose/ZnO composite: a review
- Linde Type A and nano magnetite/NaA zeolites: cytotoxicity and doxorubicin loading efficiency
- Performance and thermal decomposition analysis of foaming agent NPL-10 for use in heavy oil recovery by steam injection
- Spectroscopic (FT-IR, FT-Raman, UV, 1H and 13C NMR) insights, electronic profiling and DFT computations on ({(E)-[3-(1H-imidazol-1-yl)-1-phenylpropylidene] amino}oxy)(4-nitrophenyl)methanone, an imidazole-bearing anti-Candida agent
- A Simplistic Preliminary Assessment of Ginstling-Brounstein Model for Solid Spherical Particles in the Context of a Diffusion-Controlled Synthesis
- M-Polynomials And Topological Indices Of Zigzag And Rhombic Benzenoid Systems
- Photochemical Transformation of some 3-benzyloxy-2-(benzo[b]thiophen-2-yl)-4Hchromen-4-ones: A Remote Substituent Effect
- Dynamic Changes of Secondary Metabolites and Antioxidant Activity of Ligustrum lucidum During Fruit Growth
- Studies on the flammability of polypropylene/ammonium polyphosphate and montmorillonite by using the cone calorimeter test
- DSC, FT-IR, NIR, NIR-PCA and NIR-ANOVA for determination of chemical stability of diuretic drugs: impact of excipients
- Antioxidant and Hepatoprotective Effects of Methanolic Extracts of Zilla spinosa and Hammada elegans Against Carbon Tetrachlorideinduced Hepatotoxicity in Rats
- Prunus cerasifera Ehrh. fabricated ZnO nano falcates and its photocatalytic and dose dependent in vitro bio-activity
- Organic biocides hosted in layered double hydroxides: enhancing antimicrobial activity
- Experimental study on the regulation of the cholinergic pathway in renal macrophages by microRNA-132 to alleviate inflammatory response
- Synthesis, characterization, in-vitro antimicrobial properties, molecular docking and DFT studies of 3-{(E)-[(4,6-dimethylpyrimidin-2-yl)imino]methyl} naphthalen-2-ol and Heteroleptic Mn(II), Co(II), Ni(II) and Zn(II) complexes
- M-Polynomials and Topological Indices of Dominating David Derived Networks
- Human Health Risk Assessment of Trace Metals in Surface Water Due to Leachate from the Municipal Dumpsite by Pollution Index: A Case Study from Ndawuse River, Abuja, Nigeria
- Analysis of Bowel Diseases from Blood Serum by Autofluorescence and Atomic Force Microscopy Techniques
- Hydrographic parameters and distribution of dissolved Cu, Ni, Zn and nutrients near Jeddah desalination plant
- Relationships between diatoms and environmental variables in industrial water biotopes of Trzuskawica S.A. (Poland)
- Optimum Conversion of Major Ginsenoside Rb1 to Minor Ginsenoside Rg3(S) by Pulsed Electric Field-Assisted Acid Hydrolysis Treatment
- Antioxidant, Anti-microbial Properties and Chemical Composition of Cumin Essential Oils Extracted by Three Methods
- Regulatory mechanism of ulinastatin on autophagy of macrophages and renal tubular epithelial cells
- Investigation of the sustained-release mechanism of hydroxypropyl methyl cellulose skeleton type Acipimox tablets
- Bio-accumulation of Polycyclic Aromatic Hydrocarbons in the Grey Mangrove (Avicennia marina) along Arabian Gulf, Saudi Coast
- Dynamic Change of Secondary Metabolites and spectrum-effect relationship of Malus halliana Koehne flowers during blooming
- Lipids constituents from Gardenia aqualla Stapf & Hutch
- Effect of using microwaves for catalysts preparation on the catalytic acetalization of glycerol with furfural to obtain fuel additives
- Effect of Humic Acid on the Degradation of Methylene Blue by Peroxymonosulfate
- Serum containing drugs of Gua Lou Xie Bai decoction (GLXB-D) can inhibit TGF-β1-Induced Epithelial to Mesenchymal Transition (EMT) in A549 Cells
- Antiulcer Activity of Different Extracts of Anvillea garcinii and Isolation of Two New Secondary Metabolites
- Analysis of Metabolites in Cabernet Sauvignon and Shiraz Dry Red Wines from Shanxi by 1H NMR Spectroscopy Combined with Pattern Recognition Analysis
- Can water temperature impact litter decomposition under pollution of copper and zinc mixture
- Released from ZrO2/SiO2 coating resveratrol inhibits senescence and oxidative stress of human adipose-derived stem cells (ASC)
- Validated thin-layer chromatographic method for alternative and simultaneous determination of two anti-gout agents in their fixed dose combinations
- Fast removal of pollutants from vehicle emissions during cold-start stage
- Review Article
- Catalytic activities of heterogeneous catalysts obtained by copolymerization of metal-containing 2-(acetoacetoxy)ethyl methacrylate
- Antibiotic Residue in the Aquatic Environment: Status in Africa
- Regular Articles
- Mercury fractionation in gypsum using temperature desorption and mass spectrometric detection
- Phytosynthetic Ag doped ZnO nanoparticles: Semiconducting green remediators
- Epithelial–Mesenchymal Transition Induced by SMAD4 Activation in Invasive Growth Hormone-Secreting Adenomas
- Physicochemical properties of stabilized sewage sludge admixtures by modified steel slag
- In Vitro Cytotoxic and Antiproliferative Activity of Cydonia oblonga flower petals, leaf and fruit pellet ethanolic extracts. Docking simulation of the active flavonoids on anti-apoptotic protein Bcl-2
- Synthesis and Characterization of Pd exchanged MMT Clay for Mizoroki-Heck Reaction
- A new selective, and sensitive method for the determination of lixivaptan, a vasopressin 2 (V2)-receptor antagonist, in mouse plasma and its application in a pharmacokinetic study
- Anti-EGFL7 antibodies inhibit rat prolactinoma MMQ cells proliferation and PRL secretion
- Density functional theory calculations, vibration spectral analysis and molecular docking of the antimicrobial agent 6-(1,3-benzodioxol-5-ylmethyl)-5-ethyl-2-{[2-(morpholin-4-yl)ethyl] sulfanyl}pyrimidin-4(3H)-one
- Effect of Nano Zeolite on the Transformation of Cadmium Speciation and Its Uptake by Tobacco in Cadmium-contaminated Soil
- Effects and Mechanisms of Jinniu Capsule on Methamphetamine-Induced Conditioned Place Preference in Rats
- Calculating the Degree-based Topological Indices of Dendrimers
- Efficient optimization and mineralization of UV absorbers: A comparative investigation with Fenton and UV/H2O2
- Metabolites of Tryptophane and Phenylalanine as Markers of Small Bowel Ischemia-Reperfusion Injury
- Adsorption and determination of polycyclic aromatic hydrocarbons in water through the aggregation of graphene oxide
- The role of NR2C2 in the prolactinomas
- Chromium removal from industrial wastewater using Phyllostachys pubescens biomass loaded Cu-S nanospheres
- Hydrotalcite Anchored Ruthenium Catalyst for CO2 Hydrogenation Reaction
- Preparation of Calcium Fluoride using Phosphogypsum by Orthogonal Experiment
- The mechanism of antibacterial activity of corylifolinin against three clinical bacteria from Psoralen corylifolia L
- 2-formyl-3,6-bis(hydroxymethyl)phenyl benzoate in Electrochemical Dry Cell
- Electro-photocatalytic degradation of amoxicillin using calcium titanate
- Effect of Malus halliana Koehne Polysaccharides on Functional Constipation
- Structural Properties and Nonlinear Optical Responses of Halogenated Compounds: A DFT Investigation on Molecular Modelling
- DMFDMA catalyzed synthesis of 2-((Dimethylamino)methylene)-3,4-dihydro-9-arylacridin-1(2H)-ones and their derivatives: in-vitro antifungal, antibacterial and antioxidant evaluations
- Production of Methanol as a Fuel Energy from CO2 Present in Polluted Seawater - A Photocatalytic Outlook
- Study of different extraction methods on finger print and fatty acid of raw beef fat using fourier transform infrared and gas chromatography-mass spectrometry
- Determination of trace fluoroquinolones in water solutions and in medicinal preparations by conventional and synchronous fluorescence spectrometry
- Extraction and determination of flavonoids in Carthamus tinctorius
- Therapeutic Application of Zinc and Vanadium Complexes against Diabetes Mellitus a Coronary Disease: A review
- Study of calcined eggshell as potential catalyst for biodiesel formation using used cooking oil
- Manganese oxalates - structure-based Insights
- Topological Indices of H-Naphtalenic Nanosheet
- Long-Term Dissolution of Glass Fibers in Water Described by Dissolving Cylinder Zero-Order Kinetic Model: Mass Loss and Radius Reduction
- Topological study of the para-line graphs of certain pentacene via topological indices
- A brief insight into the prediction of water vapor transmissibility in highly impermeable hybrid nanocomposites based on bromobutyl/epichlorohydrin rubber blends
- Comparative sulfite assay by voltammetry using Pt electrodes, photometry and titrimetry: Application to cider, vinegar and sugar analysis
- MicroRNA delivery mediated by PEGylated polyethylenimine for prostate cancer therapy
- Reversible Fluorescent Turn-on Sensors for Fe3+ based on a Receptor Composed of Tri-oxygen Atoms of Amide Groups in Water
- Sonocatalytic degradation of methyl orange in aqueous solution using Fe-doped TiO2 nanoparticles under mechanical agitation
- Hydrotalcite Anchored Ruthenium Catalyst for CO2 Hydrogenation Reaction
- Production and Analysis of Recycled Ammonium Perrhenate from CMSX-4 superalloys
- Topical Issue on Agriculture
- New phosphorus biofertilizers from renewable raw materials in the aspect of cadmium and lead contents in soil and plants
- Survey of content of cadmium, calcium, chromium, copper, iron, lead, magnesium, manganese, mercury, sodium and zinc in chamomile and green tea leaves by electrothermal or flame atomizer atomic absorption spectrometry
- Biogas digestate – benefits and risks for soil fertility and crop quality – an evaluation of grain maize response
- A numerical analysis of heat transfer in a cross-current heat exchanger with controlled and newly designed air flows
- Freshwater green macroalgae as a biosorbent of Cr(III) ions
- The main influencing factors of soil mechanical characteristics of the gravity erosion environment in the dry-hot valley of Jinsha river
- Free amino acids in Viola tricolor in relation to different habitat conditions
- The influence of filler amount on selected properties of new experimental resin dental composite
- Effect of poultry wastewater irrigation on nitrogen, phosphorus and carbon contents in farmland soil
- Response of spring wheat to NPK and S fertilization. The content and uptake of macronutrients and the value of ionic ratios
- The Effect of Macroalgal Extracts and Near Infrared Radiation on Germination of Soybean Seedlings: Preliminary Research Results
- Content of Zn, Cd and Pb in purple moor-grass in soils heavily contaminated with heavy metals around a zinc and lead ore tailing landfill
- Topical Issue on Research for Natural Bioactive Products
- Synthesis of (±)-3,4-dimethoxybenzyl-4-methyloctanoate as a novel internal standard for capsinoid determination by HPLC-ESI-MS/MS(QTOF)
- Repellent activity of monoterpenoid esters with neurotransmitter amino acids against yellow fever mosquito, Aedes aegypti
- Effect of Flammulina velutipes (golden needle mushroom, eno-kitake) polysaccharides on constipation
- Bioassay-directed fractionation of a blood coagulation factor Xa inhibitor, betulinic acid from Lycopus lucidus
- Antifungal and repellent activities of the essential oils from three aromatic herbs from western Himalaya
- Chemical composition and microbiological evaluation of essential oil from Hyssopus officinalis L. with white and pink flowers
- Bioassay-guided isolation and identification of Aedes aegypti larvicidal and biting deterrent compounds from Veratrum lobelianum
- α-Terpineol, a natural monoterpene: A review of its biological properties
- Utility of essential oils for development of host-based lures for Xyleborus glabratus (Coleoptera: Curculionidae: Scolytinae), vector of laurel wilt
- Phenolic composition and antioxidant potential of different organs of Kazakh Crataegus almaatensis Pojark: A comparison with the European Crataegus oxyacantha L. flowers
- Isolation of eudesmane type sesquiterpene ketone from Prangos heyniae H.Duman & M.F.Watson essential oil and mosquitocidal activity of the essential oils
- Comparative analysis of the polyphenols profiles and the antioxidant and cytotoxicity properties of various blue honeysuckle varieties
- Special Issue on ICCESEN 2017
- Modelling world energy security data from multinomial distribution by generalized linear model under different cumulative link functions
- Pine Cone and Boron Compounds Effect as Reinforcement on Mechanical and Flammability Properties of Polyester Composites
- Artificial Neural Network Modelling for Prediction of SNR Effected by Probe Properties on Ultrasonic Inspection of Austenitic Stainless Steel Weldments
- Calculation and 3D analyses of ERR in the band crack front contained in a rectangular plate made of multilayered material
- Improvement of fuel properties of biodiesel with bioadditive ethyl levulinate
- Properties of AlSi9Cu3 metal matrix micro and nano composites produced via stir casting
- Investigation of Antibacterial Properties of Ag Doped TiO2 Nanofibers Prepared by Electrospinning Process
- Modeling of Total Phenolic contents in Various Tea samples by Experimental Design Methods
- Nickel doping effect on the structural and optical properties of indium sulfide thin films by SILAR
- The effect mechanism of Ginnalin A as a homeopathic agent on various cancer cell lines
- Excitation functions of proton induced reactions of some radioisotopes used in medicine
- Oxide ionic conductivity and microstructures of Pr and Sm co-doped CeO2-based systems
- Rapid Synthesis of Metallic Reinforced in Situ Intermetallic Composites in Ti-Al-Nb System via Resistive Sintering
- Oxidation Behavior of NiCr/YSZ Thermal Barrier Coatings (TBCs)
- Clustering Analysis of Normal Strength Concretes Produced with Different Aggregate Types
- Magnetic Nano-Sized Solid Acid Catalyst Bearing Sulfonic Acid Groups for Biodiesel Synthesis
- The biological activities of Arabis alpina L. subsp. brevifolia (DC.) Cullen against food pathogens
- Humidity properties of Schiff base polymers
- Free Vibration Analysis of Fiber Metal Laminated Straight Beam
- Comparative study of in vitro antioxidant, acetylcholinesterase and butyrylcholinesterase activity of alfalfa (Medicago sativa L.) collected during different growth stages
- Isothermal Oxidation Behavior of Gadolinium Zirconate (Gd2Zr2O7) Thermal Barrier Coatings (TBCs) produced by Electron Beam Physical Vapor Deposition (EB-PVD) technique
- Optimization of Adsorption Parameters for Ultra-Fine Calcite Using a Box-Behnken Experimental Design
- The Microstructural Investigation of Vermiculite-Infiltrated Electron Beam Physical Vapor Deposition Thermal Barrier Coatings
- Modelling Porosity Permeability of Ceramic Tiles using Fuzzy Taguchi Method
- Experimental and theoretical study of a novel naphthoquinone Schiff base
- Physicochemical properties of heat treated sille stone for ceramic industry
- Sand Dune Characterization for Preparing Metallurgical Grade Silicon
- Catalytic Applications of Large Pore Sulfonic Acid-Functionalized SBA-15 Mesoporous Silica for Esterification
- One-photon Absorption Characterizations, Dipole Polarizabilities and Second Hyperpolarizabilities of Chlorophyll a and Crocin
- The Optical and Crystallite Characterization of Bilayer TiO2 Films Coated on Different ITO layers
- Topical Issue on Bond Activation
- Metal-mediated reactions towards the synthesis of a novel deaminolysed bisurea, dicarbamolyamine
- The structure of ortho-(trifluoromethyl)phenol in comparison to its homologues – A combined experimental and theoretical study
- Heterogeneous catalysis with encapsulated haem and other synthetic porphyrins: Harnessing the power of porphyrins for oxidation reactions
- Recent Advances on Mechanistic Studies on C–H Activation Catalyzed by Base Metals
- Reactions of the organoplatinum complex [Pt(cod) (neoSi)Cl] (neoSi = trimethylsilylmethyl) with the non-coordinating anions SbF6– and BPh4–
- Erratum
- Investigation on Two Compounds of O, O’-dithiophosphate Derivatives as Corrosion Inhibitors for Q235 Steel in Hydrochloric Acid Solution
![Scheme 4.4. Deuterium labeling experiments for the cobalt-catalyzed hydroarylation of olefins by C–H activation. Adapted from references [75] and [76].](/document/doi/10.1515/chem-2018-0102/asset/graphic/j_chem-2018-0102_fig_031.jpg)
![Scheme 4.5. Proposed mechanism of cobalt-catalyzed hydroarylation of olefins by C–H activation. Adapted from references [75] and [76].](/document/doi/10.1515/chem-2018-0102/asset/graphic/j_chem-2018-0102_fig_032.jpg)
![Scheme 4.13. Cobalt-catalyzed arylation/alkylation of arenes with aryl/alkyl haides by C–H activation. Adapted from references [83] and [84].](/document/doi/10.1515/chem-2018-0102/asset/graphic/j_chem-2018-0102_fig_040.jpg)
![Scheme 4.19. Cobalt-catalyzed alkynylations of arenes by quinoline (Q) and picoline (Pico) assisted C–H activation. Adapted from references [88] and [89].](/document/doi/10.1515/chem-2018-0102/asset/graphic/j_chem-2018-0102_fig_046.jpg)
![Scheme 4.22. Cobalt-catalyzed borylation of arenes/heteroarenes by C–H activation. Adapted from references [90] and [91].](/document/doi/10.1515/chem-2018-0102/asset/graphic/j_chem-2018-0102_fig_049.jpg)
![Scheme 4.28. (a) Evaluation of H/D scrambling at the indole for the Cp*Co(III) C–H activation and (b) DFT calculated structures for the C–H activation CMD mechanism. Adapted from references [93] and [94].](/document/doi/10.1515/chem-2018-0102/asset/graphic/j_chem-2018-0102_fig_057.jpg)
![Scheme 4.34. Cobalt-catalyzed allylation of arenes/heteroarenes with allyl carbonates by C–H activation. Adapted from references [97] and [98].](/document/doi/10.1515/chem-2018-0102/asset/graphic/j_chem-2018-0102_fig_063.jpg)