Home Physical Sciences Numerical investigation of heat transfer in the nanofluids under the impact of length and radius of carbon nanotubes
Article Open Access

Numerical investigation of heat transfer in the nanofluids under the impact of length and radius of carbon nanotubes

  • Adnan EMAIL logo , Umar Khan , Naveed Ahmed , D. Baba Basha , Syed Tauseef Mohyud-Din , Omar Mahmoud and Ilyas Khan EMAIL logo
Published/Copyright: May 26, 2022

Abstract

The investigation of thermal transport in the nanofluid over a curved Riga surface is significant and extensively used in many industries as well as in engineering. Therefore, the study is conducted to analyze the thermal transport rate in H2O composed of nanomaterial, namely, carbon nanotubes (CNTs). To improve the thermal conductance, a thermal conductivity correlation based on the length and radius of CNTs is plugged in the energy equation. After that, the flow model was reduced into a self-similar form via feasible transformations and tackled numerically. From the plotted results, it is experienced that the nanofluid velocity drops against a more curved surface. The momentum boundary layer intensifies against larger curvature. An enhanced temperature is experienced in the nanofluid due to varying the parameters. Further, thermal conductivity of the nanofluids rises due to the high volume fraction factor, which plays a significant role in thermal transport. Moreover, the local thermal performance rises linearly against M.

Nomenclature

U*, V*

the velocities in s and r directions, respectively

p*

pressure

ρ ¯ ˘ n f

density of the nanofluids

k ¯ ˘ n f

thermal conductivity

( ρ C p ¯ ˘ ) n f

heat capacity

T*

temperature

nf

stands for nanofluid

ϕ

volume fraction

ρ ¯ ˘ f

H2O density

ρ ¯ ˘ cnt

CNTs density

( ρ C p ¯ ˘ ) f

H2O heat capacity

( ρ C p ¯ ˘ ) cnt

CNTs heat capacity

L

length of CNTs

R

radius of CNTs

k ¯ ˘ f

thermal conductivity of H2O

k ¯ ˘ c n t

thermal conductivity of CNTs

μ ¯ ˘ n f

dynamic viscosity

μ ¯ ˘ f

dynamic viscosity of H2O

C F

skin friction

Nu

Nusselt number

q w

heat flux

τ r s

shear stress

η

similarity variable

F ( η )

dimensionless velocity

β ( η )

dimensionless temperature

Θ

modified Hartmann number

M

thermal slip number

λ

reciprocal magnetic Prandtl number

γ

partial slip number

K 1

micropolar parameter

n

microgyration parameter

λ 1

slip parameter

ω

non-dimensional parameter

1 Introduction

Heat transfer analysis by considering the impacts of various physical phenomena like an imposed magnetic field, thermal radiation, and resistive heating is of great significance and a fascinating topic for more researchers, engineers, and industrialists. For many industrial and engineering purposes, a huge amount of heat transfer is required which accomplishes the process of many industrial products. Unlikely, the regular liquids failed to provide the required heat transfer characteristics. To reduce these issues faced by the engineers, industrialists, and scientists, a new effective class of fluids was required which successfully overcame the aforementioned problems. Therefore, a class of fluids was developed by dispersing the nanoscaled particles of various metal oxides, metals, carbon nanotubes (CNTs) and ferromagnetic in the regular liquid’s kerosene oil, ethylene glycol (EG), etc. This newly developed fluid became very popular due to its vital thermal performance. The new class of fluids is named as “nanofluids” in which the nanomaterial and host fluid is thermally compatible with a large amount of heat transfer properties. The nanofluids strengthen its roots in medical sciences, biotechnology, electronics, computer chips, electrical engineering, and in the manufacturing of home appliances.

Thermal conductivity of the nanoparticles and host liquids significantly interfere in the heat transfer analysis of resultant fluid namely nanofluid. Therefore, several thermal conductivity models were proposed by incorporating various factors like different shapes of nanomaterial, length and radius of CNTs, etc. A thermal conductance correlation particularly for spherical type nanoparticles was reported in ref. [1]. The nanoparticles shape factor-based model was developed by Hamilton [2]. The particular deals with blades, bricks, platelets and cylindrical shaped nanoparticles. A reliable thermal conductance correlation for EG and oil suspended by copper oxide was proposed by Koo and Kleinstreuer [3,4]. They incorporated the temperature factor in the correlation for better heat transfer phenomena. The extended version of Hamilton model was reported in ref. [5] by taking the shape factor equal to three.

A reliable thermal conductivity correlation for the mixture of water and aluminum oxide Al2O3 nanoparticles was developed by Li and Peterson [6]. For better heat transfer performance of the correlation, they used fraction and temperature factors in the model and found an excellent performance of the model. For metallic and oxides nanoparticles supported thermal conductivity correlation developed by Patel et al. [7]. They introduced the effects of particles and temperature to enhance the performance of the model. In 2010, Godson et al. [8] proposed a thermal conductivity model for gold/water nanofluid and explored interesting results. Thermal conductivity model for Al2O3/H2O nanofluid was reported by Corcione [9]. The model comprised the influences of freezing temperature and found the results for the proposed model.

The proposed thermal conductivity models attained much interest of the researchers, engineers, and scientists and they focused on the heat transfer investigation in the nanofluids by incorporating the various thermal conductance correlations in the energy equation. The heat transfer investigation in the nanofluid by implementing the KKL thermal conductivity correlation was reported by Sheikholeslami et al. [10].

Another nanomaterial termed as CNTs has remarkable mechanical and heat transfer characteristics due to high thermal conductivity. Thus, due to exciting heat transfer rate, CNTs have become very famous among the researchers. Therefore, heat transfer investigation by implementing CNTs-based thermal conductivity in the nanofluid models was reported and the contribution of CNTs in the heat transfer phenomena was found fascinating. In 2005, Xu [11] proposed thermal conductivity model for CNTs. In 2017, Saleh et al. [12] examined the heat transfer analysis in micropolar fluid of unsteady nature over a curved surface. The surface is permeable and capable of stretching and shrinking. They examined the significant role of CNTs-based thermal conductivity of the nanofluid in the heat transfer characteristics. In 2018, Ahmad and Khan [13] modeled the flow of Sisko nanofluid over a curved surface moving in cylindrical coordinates.

Reddy et al. [14] discussed the dual solutions for nanofluid model over curved geometry. The effects of nonlinear thermal radiations and cross diffusion gradients are embedded in the energy and concentration equations. Saba et al. [15] examined the flow of nanofluid over curved surface and examined the results for nanofluid velocity.

From literature study, it is revealed that the flow of nanofluid by implementing two different thermal conductivity models and the influence of length and radius of CNTs over curved Riga surface are not presented so far. Therefore, this study is carried out to fill this research gap. Two different nanofluid models are discussed on the bases of two thermal conductivity models. Numerical treatment is adopted for the solution and graphical results.

2 Mathematical modeling of the model

2.1 Problem statement and geometry

The flow of water suspended by CNTs is considered over a curved Riga surface. The Riga surface is situated in the curvilinear coordinate system. The curve radius is denoted by R, wherears r and S are curvilinear coordinates. It is presumed that the colloidal suspension is thermally compatible. Moreover, the fluid is viscous and incompressible. Figure 1 highlights the flow configuration of water saturated by CNTs.

Figure 1 
                  Flow of H2O suspended by CNTs over curved Riga surface.
Figure 1

Flow of H2O suspended by CNTs over curved Riga surface.

2.2 Governing model

By using the abovementioned assumptions, the following are the governing equations for the particular nanofluid flow over a curved Riga surface [16]:

(1) r ( V ( r + R ) ) + R U S = 0 ,

(2) r ( H 1 ( r + R ) ) + R H 2 S = 0 ,

(3) U 2 r + R 1 ρ ¯ ˘ n f p r = 0 ,

(4) V U r + R U r + R U S + V U r + R + 1 ρ ¯ ˘ n f 1 r + R p s = μ ¯ ˘ n f ρ ¯ ˘ n f + K ρ n f 2 U r 2 U ( r + R ) 2 + 1 r + R U r K ρ ¯ ˘ n f N r + π J 0 M 0 8 ρ ¯ ˘ n f e π a r + μ e 4 π ρ e R H 1 r + R H 1 s + H 2 H 1 r + H 1 H 2 r + R ,

(5) R r + R U H 1 s + H 1 H 2 r + R + V H 1 r R H 1 r + R U S + V U r + R + H 2 V r = μ e 2 H 1 r 2 H 1 ( r + R ) 2 + 1 r + R H 1 r ,

(6) V N r + R U r + R N s = 1 ρ ¯ ˘ n f μ ¯ ˘ n f + K 1 2 1 r + R N r + 2 N r 2 K 1 2 ρ ¯ ˘ n f U r + 2 N + U r + R ,

(7) R U r + R T s + V T r = k ¯ ˘ n f ( ρ C p ¯ ˘ ) n f 1 r + R T r + 2 T r 2 ,

The Eqs. (1)–(7) represent the nonlinear flow model of micropolar nanofluid over a curved Riga sheet. The physical quantities incorporated in these constitutive relations are thermal conductivity ( k ¯ ˘ n f ), heat capacitance ( ( ρ C p ¯ ˘ ) n f ), effective density ( ρ ¯ ˘ n f ), dynamic viscosity ( μ ¯ ˘ n f ), and pressure (p*). Moreover, the conservation of mass, momentum, and the energy constitutive relations are described by Eqs. (1), (35), and (7).

The boundary conditions associated with the particular nanofluid flow model are described below:

(8) At curved Riga surface r 0 V = 0 U = a l exp s l + L k N + U r + R + U r T = T w + λ 1 k ¯ ˘ n f k f T r H 1 r = H 2 = 0 N = n U r Away from the Riga surface r U 0 H 1 H e ( s ) = H 0 l exp s l T T N 0 ,

2.3 Similarity transformations

The similarity variables that support the particular nanofluid model over curved Riga surface are as follows:

(9) T = T w + ( T T w ) β ( η ) η = a ν f r U = l a exp s l F ( η ) V = R r + R 1 l a ν f exp s l F ( η ) N = a ν f exp s l H ( η ) P = ρ l 2 exp 2 s l p ( η ) H 1 = H 0 l exp s l G ( η ) H 2 = H 0 R r + R ν f a exp s l G ( η ) ,

2.4 Effective characteristics of nanofluids

To improve the effective characteristics of the nanofluids, the following effective nanofluid models are used [17]:

(10) ρ ¯ ˘ n f = ( 1 ϕ ) + ϕ ρ ¯ ˘ c n t ρ ¯ ˘ f ρ ¯ ˘ f ,

(11) ( ρ C p ¯ ˘ ) n f = ( 1 ϕ ) + ϕ ( ρ C p ¯ ˘ ) c n t ( ρ C p ¯ ˘ ) f ( ρ C p ¯ ˘ ) f ,

(12) μ ¯ ˘ n f = μ ¯ ˘ f ( 1 ϕ ) 2.5 ,

(13) k ¯ ˘ n f = k ¯ ˘ f 1 k ¯ ˘ f k ¯ ˘ c n t L R ϕ 0.2 + 1 k ¯ ˘ f k ¯ ˘ c n t ϕ L R ϕ 0.2 + 2 ϕ k ¯ ˘ c n t k ¯ ˘ c n t k ¯ ˘ f ln ( k ¯ ˘ c n t + k ¯ ˘ f 2 k ¯ ˘ f ) 1 ϕ + 2 ϕ k ¯ ˘ c n t k ¯ ˘ c n t k ¯ ˘ f ln k ¯ ˘ c n t + k ¯ ˘ f 2 k ¯ ˘ f ,

(14) k ¯ ˘ n f = k ¯ ˘ f 1 ϕ 2 ϕ k ¯ ˘ c n t k ¯ ˘ c n t k ¯ ˘ f l n k ¯ ˘ c n t + k ¯ ˘ f 2 k ¯ ˘ f 1 ϕ + 2 ϕ k ¯ ˘ c n t k ¯ ˘ c n t k ¯ ˘ f ln k ¯ ˘ c n t + k ¯ ˘ f 2 k ¯ ˘ f .

The effective density, heat capacity, volume fraction, dynamic viscosity, and thermal conductivity of the nanofluid are denoted by ρ ¯ ˘ n f , ( ρ C p ¯ ˘ ) n f , ϕ , μ ¯ ˘ n f , and k ¯ ˘ n f , respectively.

2.5 First nanofluid model

By implementing the invertible variables, appropriate differentiation, effective nanofluid models, and Yamada and Ota thermal conductivity model described in Eq. (13), the following nanofluid model is obtained:

(15) 1 ( 1 ϕ ) + ϕ ρ ¯ ˘ c n t ρ ¯ ˘ f 1 1 ϕ 2.5 + K 1 F + 2 F ( k + η ) + F ( k + η ) 3 F ( k + η ) 2 + R 1 k ( k + η ) ( F F F F ) + R 1 ( k + η ) 2 ( F F F 2 ) R 1 k ( k + η ) 3 F F 1 ( 1 ϕ ) + ϕ ρ ¯ ˘ c n t ρ ¯ ˘ f R 1 K 1 H ω Θ exp ( ω η ) + β ( k + η ) G G + G G ( k + η ) 2 G G ' ' G G + G G ( k + η ) = 0 ,

(16) λ G + G ( k + η ) G ( k + η ) 2 + R 1 k ( k + η ) G F k 2 ( k + η ) 3 G F + k 2 ( k + η ) 2 G F k ( k + η ) 2 F F R 1 k ( k + η ) G F k ( k + η ) 2 G G ' k ( k + η ) F G = 0 ,

(17) 1 ( 1 ϕ ) + ϕ ρ ¯ ˘ c n t ρ ¯ ˘ f 1 1 ϕ 2.5 + K 1 2 H + H ( k + η ) R 1 2 K 1 ( k + η ) F H + R 1 2 K 1 ( k + η ) H F 1 ( 1 ϕ ) + ϕ ρ ¯ ˘ c n t ρ ¯ ˘ f R 1 K 1 2 2 H + F + F ( k + η ) = 0 ,

(18) k ¯ ˘ f 1 k ¯ ˘ f k ¯ ˘ c n t L R ϕ 0.2 + 1 k ¯ ˘ f k ¯ ˘ c n t ϕ L R ϕ 0.2 + 2 ϕ k ¯ ˘ c n t k ¯ ˘ c n t k ¯ ˘ f ln ( k ¯ ˘ c n t + k ¯ ˘ f 2 k ¯ ˘ f ) 1 ϕ + 2 ϕ k ¯ ˘ c n t k ¯ ˘ c n t k ¯ ˘ f ln k ¯ ˘ c n t + k ¯ ˘ f 2 k ¯ ˘ f ( 1 ϕ ) + ϕ ( ρ C p ¯ ˘ ) c n t ( ρ C p ¯ ˘ ) f β ' ' + 1 ( k + η ) β ' + k R 1 ( k + η ) β ' F k R 1 ( k + η ) β = 0 .

The supporting boundary conditions for the first model are defined as:

(19) At the curved Riga  surface  η = 0 F ( η ) = 1 + γ 1 k F ( η ) + F ( η ) ( 1 n ) F ( η ) = S H ( η ) = F ( η ) n G ( η ) = 0 G ' ' ( η ) = 0 β ( η ) = 1 + M k ¯ ˘ f 1 k ¯ ˘ f k ¯ ˘ c n t L R ϕ 0.2 + 1 k ¯ ˘ f k ¯ ˘ c n t ϕ L R ϕ 0.2 + 2 ϕ k ¯ ˘ c n t k ¯ ˘ c n t k ¯ ˘ f ln k ¯ ˘ c n t + k ¯ ˘ f 2 k ¯ ˘ f 1 ϕ + 2 ϕ k ¯ ˘ c n t k ¯ ˘ c n t k ¯ ˘ f ln k ¯ ˘ c n t + k ¯ ˘ f 2 k ¯ ˘ f β ( η ) Far from the Riga surface  η F ( η ) = 0 F ( η ) = 0 H ( η ) = 0 G ( η ) = 1 β ( η ) = 0 ,

2.6 Second nanofluid model

By implementing the second thermal conductivity model described in Eq. (14) which is known as Xue model, the following dimensionless nanofluid model is obtained after the successful calculation:

(20) 1 ( 1 ϕ ) + ϕ ρ ¯ ˘ c n t ρ ¯ ˘ f 1 1 ϕ 2.5 + K 1 F + 2 F ( k + η ) + F ( k + η ) 3 F ( k + η ) 2 + R 1 k ( k + η ) ( F F F F ) + R 1 ( k + η ) 2 ( F F F 2 ) R 1 k ( k + η ) 3 F F 1 ( 1 ϕ ) + ϕ ρ ¯ ˘ c n t ρ ¯ ˘ f R 1 K 1 H ω Θ exp ( ω η ) + β ( k + η ) G G + G G ( k + η ) 2 G G G G + G G ( k + η ) = 0 ,

(21) λ G + G ( k + η ) G ( k + η ) 2 + R 1 k ( k + η ) G F k 2 ( k + η ) 3 G F + k 2 ( k + η ) 2 G F k ( k + η ) 2 F F R 1 k ( k + η ) G F k ( k + η ) 2 G G k ( k + η ) F G = 0 ,

(22) 1 ( 1 ϕ ) + ϕ ρ ¯ ˘ c n t ρ ¯ ˘ f 1 1 ϕ 2.5 + K 1 2 H + H ( k + η ) R 1 2 K 1 ( k + η ) F H + R 1 2 K 1 ( k + η ) H F 1 ( 1 ϕ ) + ϕ ρ ¯ ˘ c n t ρ ¯ ˘ f R 1 K 1 2 2 H + F + F ( k + η ) = 0 ,

(23) k ¯ ˘ f 1 ϕ 2 ϕ k ¯ ˘ cnt k ¯ ˘ cnt k ¯ ˘ f l n k ¯ ˘ cnt + k ¯ ˘ f 2 k ¯ ˘ f 1 ϕ + 2 ϕ k ¯ ˘ cnt k ¯ ˘ cnt k ¯ ˘ f ln k ¯ ˘ cnt + k ¯ ˘ f 2 k ¯ ˘ f ( 1 ϕ ) + ϕ ( ρ C p ¯ ˘ ) cnt ( ρ C p ¯ ˘ ) f β + 1 ( k + η ) β + k R 1 ( k + η ) β F k R 1 ( k + η ) β = 0 ,

The supporting boundary conditions for the second nanofluid model are as under:

(24) At the curved Riga surface η = 0 F ( η ) = 1 + γ 1 k F ( η ) + F ( η ) ( 1 n ) F ( η ) = S H ( η ) = F ( η ) n G ( η ) = 0 G ( η ) = 0 β ( η ) = 1 + M k ¯ ˘ f 1 ϕ 2 ϕ k ¯ ˘ cnt k ¯ ˘ cnt k ¯ ˘ f l n k ¯ ˘ cnt + k ¯ ˘ f 2 k ¯ ˘ f 1 ϕ + 2 ϕ k ¯ ˘ cnt k ¯ ˘ cnt k ¯ ˘ f ln k ¯ ˘ cnt + k ¯ ˘ f 2 k ¯ ˘ f β ( η ) Far from the Riga surface η F ( η ) = 0 F ( η ) = 0 H ( η ) = 0 G ( η ) = 1 β ( η ) = 0 .

2.7 Quantities of engineering interest

The local thermal transport and wall shear stresses are very important from engineering aspects. The formulas for these quantities are as under:

(25) C F = τ r s ρ ¯ ˘ n f u w 2 ,

(26) Nu = q w s k ¯ ˘ n f ( T w T ) ,

The shear stresses and heat flux are given in the following formulas:

(27) τ r s = 1 ρ ¯ ˘ n f ( μ ¯ ˘ n f + K 1 ) U r + U r + R + k U r = 0 ,

(28) q w = k ¯ ˘ n f T r ,

By using the formulas described in Eqs. (27) and (28) in Eqs. (25) and (26), the following skin friction and Nusselt number expressions are obtained:

(29) Re s 1 / 2 = 1 ( 1 ϕ ) + ϕ ρ ¯ ˘ c n t ρ ¯ ˘ f 1 1 ϕ 2.5 + K 1 × F ( η ) + F ( η ) k n K 1 F ( η ) η = 0 ,

(30) Nusselt number expression for the first nanofluid model Re s Nu s = k ¯ ˘ f 1 k ¯ ˘ f k ¯ ˘ cnt L R ϕ 0.2 + 1 k ¯ ˘ f k ¯ ˘ cnt ϕ L R ϕ 0.2 + 2 ϕ k ¯ ˘ cnt k ¯ ˘ cnt k ¯ ˘ f ln ( k ¯ ˘ cnt + k ¯ ˘ f 2 k ¯ ˘ f ) 1 ϕ + 2 ϕ k ¯ ˘ cnt k ¯ ˘ cnt k ¯ ˘ f ln k ¯ cnt ˘ + k ¯ ˘ f 2 k ¯ ˘ f β ( 0 ) Nusselt number expression for the second nanofluid model Re s Nu s = k ¯ ˘ f 1 ϕ 2 ϕ k ¯ ˘ cnt k ¯ ˘ cnt k ¯ ˘ f ln k ¯ ˘ cnt + k ¯ ˘ f 2 k ¯ ˘ f 1 ϕ + 2 ϕ k ¯ ˘ cnt k ¯ ˘ cnt k ¯ ˘ f ln k ¯ ˘ cnt + k ¯ ˘ f 2 k ¯ ˘ f β ( 0 ) ,

where Re s = a u w ν f .

3 Mathematical analysis

The above described two nanofluid models are highly nonlinear coupled and tedious systems. For such nature of nanofluid models, analytical solutions are not reliable. Therefore, numerical approach is the best option to tackle such nanofluid models. Thus, numerical technique known as RK method together with Shooting technique [18] is implemented to tackle the particular nanofluid models. To initiate the said technique, the higher order system needs to reduce into first order initial value problem. Thus, the following transformations are made that transformed the particular models into a desired system:

(31) b 1 = F , b 2 = F , b 3 = F , b 4 = F , b 5 = G , b 6 = G , b 7 = G , b 8 = H , b 9 = H , b 10 = β , b 11 = β , ,

As the models are lengthy, we only defined the transformations and incorporated the results for the flow regimes. For further computations, MATHEMATICA 10.0 is used.

4 Results and discussion

This subsection organized is to examine the nanofluid flow behavior against Yamada and Ota and Xue models. The velocity and temperature trends are decorated with various pre-eminent flow parameters.

The velocity F′(η) against the partial slip parameter γ are painted in Figure 2a. By inspection of the results, it is perceived that the velocity of SWCNTs-H2O declines for higher thermal slip effects. Physically, the effects of frictional force are stronger near the surface and the fluid particles adjacent to it. Due to high frictional effects, the velocity drops promptly in this region. Apart from the surface, the velocity decrement becomes slow because the frictional force becomes weaker between the fluid layers. The velocity against microgyration number n is decorated in Figure 2b. It is pointed that due to microgyration effects, the velocity of the nanofluid enhances. Physically, due to the saturation of microgyration in the nanofluid, the frictional effects near the surface and the fluid layer adjacent to it reduced. Therefore, the velocity starts increasing abruptly in this region. Far from the surface, increasing trends in the nanofluid velocity becomes almost inconsequential.

Figure 2 
            
               F′(η) against (a) γ and (b) n.
Figure 2

F′(η) against (a) γ and (b) n.

The curvature effects on the velocity trends of SWCNTs-H2O are elucidated in Figure 3a. From the plotted results, it is examined that the velocity of SWCNTs-H2O drops for larger curvature of the surface. Physically, the surface becomes more bent against the larger curvature which resists the fluid particles; consequently, motion of the fluid particles drops which leads to a decline in the velocity. Near the surface, maximum decrement is found due to high curvature effects and these effects becomes minimal far from the surface. Similarly, decreasing trends in F′(η) are perceived in Figure 3b against increasing values of S.

Figure 3 
            
               F′(η) against (a) k and (b) S.
Figure 3

F′(η) against (a) k and (b) S.

The trends in thermal performance β(η) against multiple values of surface curvature are decorated in Figure 4. From Figure 4, reverse trends in the temperature of the nanofluids are pointed while the curvature parameter varies. For Xue based thermal conductance nanofluid model, the temperature rises near the surface against variation in k. Physically, as the curvature for smaller curvature the fluid particles flow freely due to which the collision between the molecules rises which lead to abrupt changes in the temperature. On the other side, the temperature drops for Yamada and Ota based on thermal conductance correlation. For larger curved surface, maximum decrement is observed.

Figure 4 
            
               β(η) for varying k.
Figure 4

β(η) for varying k.

4.1 Streamlines profile

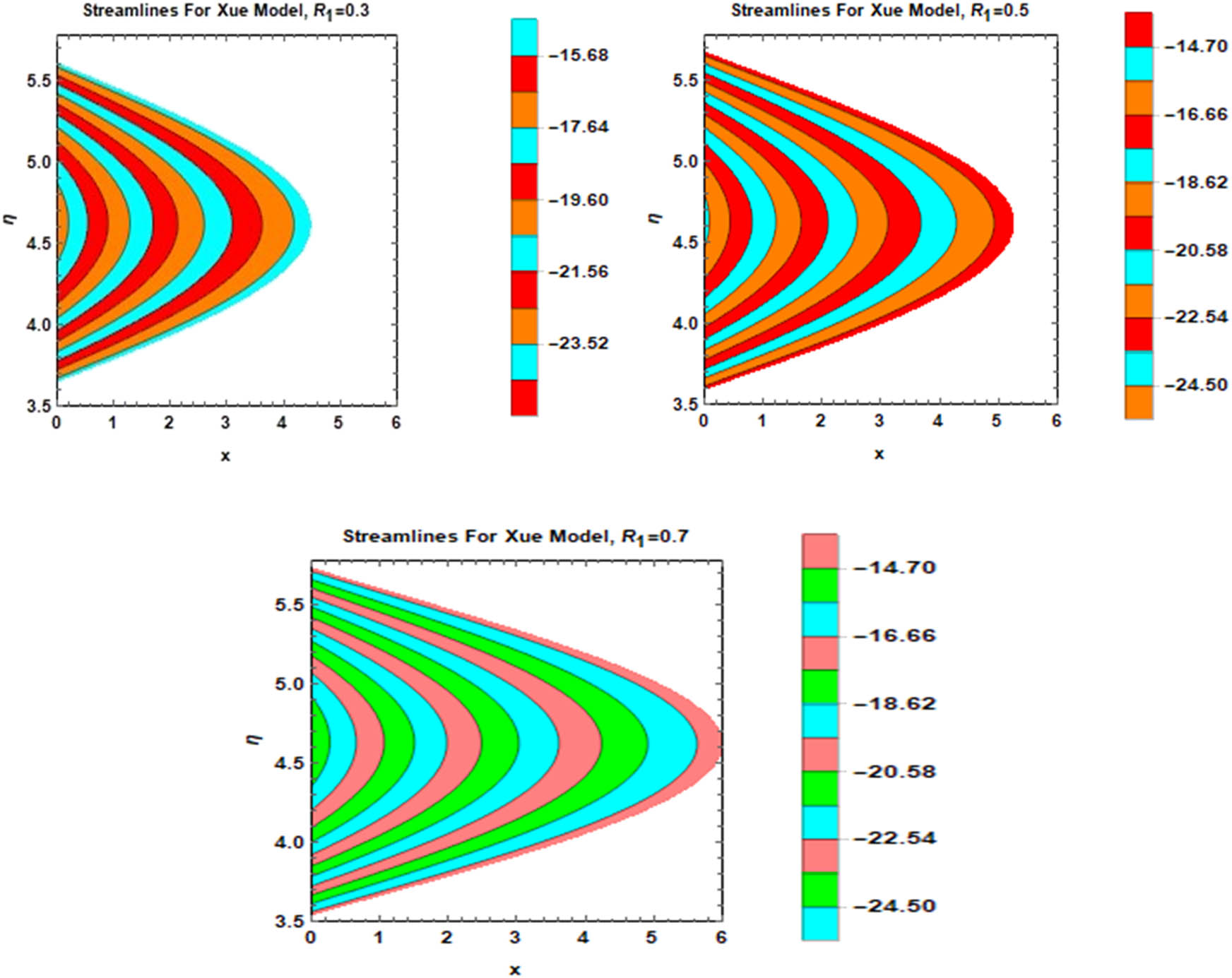
The impact of multiple parameters on the streamline’s behavior are decorated in Figures 510. 3D view of the streamlines against the preemenant flow parameters is also painted. The streamline’s behavior for multiple surface curvature is painted in Figure 5, while corresponding 3D scenario is decorated in Figure 6. Deep penetration effects on the streamline’s behavior are examined against smaller surface curvature and these are pointed in Figure 5. When the curvature rises, the streamlines bend vertically and the penetrating effects are reduced. At the mid portion of the surface, the streamline’s shape is almost parabolic type, while against higher curvature the parabola bends vertically. Similarly, the trends in streamlines are elaborated by altering R 1 as shown in Figure 7. High penetrating effects are perceived for increase in R 1 and the parabolic streamlines shrinked towards the center of the surface. 3D view of the streamline’s pattern for multiple R 1 is depicted in Figure 8. From Figure 9, fewer penetrating effects are detected against R 1 and 3D profile of the streamlines is displayed in Figure 10.

Figure 5 
                  Streamlines for varying curvature.
Figure 5

Streamlines for varying curvature.

Figure 6 
            3D view of streamlines for varying curvature.
Figure 6

3D view of streamlines for varying curvature.

Figure 7 
                  Streamlines for varying R
                     1.
Figure 7

Streamlines for varying R 1.

Figure 8 
            3D view of streamlines for varying R
               1.
Figure 8

3D view of streamlines for varying R 1.

Figure 9 
                  Streamlines’ behavior for R
                     1 for Xue model.
Figure 9

Streamlines’ behavior for R 1 for Xue model.

Figure 10 
                  3D view of streamlines for R
                     1 for Xue model.
Figure 10

3D view of streamlines for R 1 for Xue model.

4.2 Isotherms profile

The trends of isotherms against the pre-eminent flow parameters are decorated in Figures 1114. Figure 11 depicts the pattern of isotherms against surface curvature. More penetration in the isotherms is reflected against smaller curvature and it reduces for higher surface curvature. As the curvature increases, the isotherms become flat towards the horizontal axis. In Figure 12, the reverse pattern in isotherms is reflected for increase in R 1. More penetrating effects of isotherms are pointed for larger R 1. Figures 13 and 14 depict the behavior of isotherms for the surface curvature and R 1 against Yamada and Ota correlation based nanofluid. For this, more penetrating effects are reflected along vertical axis in both the cases.

Figure 11 
                  Isotherms profile for varying curvature.
Figure 11

Isotherms profile for varying curvature.

Figure 12 
                  Isotherms profile for varying R
                     1.
Figure 12

Isotherms profile for varying R 1.

Figure 13 
                  Isotherms profile for varying k and Yamada model.
Figure 13

Isotherms profile for varying k and Yamada model.

Figure 14 
                  Isotherms profile for varying R
                     1 and Yamada model.
Figure 14

Isotherms profile for varying R 1 and Yamada model.

4.3 Thermophysical characteristics

The role of thermal conductivity is significant in the analysis of nanofluids. This subsection highlights the role of lengths, radius, and volumetric fraction of CNTs on thermal conductance. It is evident that with the increment in the length of CNTs, the thermal conductivity enhances abruptly. Also, it can be seen that larger radius of CNTs increases thermal conductivity of the nanofluid. The volumetric fraction is a significant parameter in the study of nanofluids. These effects on thermal conductivity are plotted and investigations show that for higher volume fraction, thermal conductivity increases abruptly (Figure 15).

Figure 15 
                  Effective characteristics of the nanofluids.
Figure 15

Effective characteristics of the nanofluids.

4.4 Skin friction

The variations in shear stress for volume fraction, S, and curvature parameter are depicted in Figure 16. The volume fraction favors the shear stress and the direct relation between the volume fraction and shear stress is examined. Whereas the parameter S and increase in curvature oppose the shear stress. The inverse proportion relation between the parameter S and curvature of the Riga surface is investigated.

Figure 16 
                  Skin friction for varying ϕ, S, and k.
Figure 16

Skin friction for varying ϕ, S, and k.

4.5 Authentication of the analysis

It is a prominent fact that the nanofluid models can be reduced into conventional fluid model as the volumetric fraction of the nanomaterial tends to zero. Therefore, a comparison is provided by imposing some restrictions on the nanofluid model. These are S = 0, R 1 = 1, β* = 0, Θ = 0, γ = 0, ϕ = 0, and ω = 0, and the results are computed for −Re s C F . From the numerical results, it is examined that the presented study is valid under aforementioned assumptions and is in excellent agreement with previous science literature (Table 1).

Table 1

The validity of the analysis under certain parameter assumptions

k Present Sajid et al. [19]
5 0.757631 0.75763
10 0.873489 0.87349
20 0.93561 0.93561
30 0.970198 0.95686
40 0.942587 0.96759
50 0.974049 0.97405

5 Conclusion

The flow of SWCNTs-H2O in the existence of velocity and thermal slip is conducted over a Riga geometry. For thermal enhancement, two different thermal conductance correlations are plugged in the energy equation. The resultant colloidal models were handled numerically. It is detected that the velocity promptly drops against higher surface curvature. The decrement in the nanofluid velocity is noticed for stronger partial slip parameter and it rises for microgyration parameter n. The thermal performance signifies for Xue based colloidal mixture and reverse variations are detected for Yamada and Ota based model. The local heat transfer rate enhances for both the models and prevailed trends are observed for Xue model. The high-volume fraction resists the shear stress.

  1. Funding information: The author D. Baba Basha would like to thank the Deanship of Scientific research at Majmaah University for supporting this work under project number No. R-2022-57.

  2. Author contributions: All authors have accepted responsibility for the entire content of this manuscript and approved its submission.

  3. Conflict of interest: The authors state no conflict of interest.

References

[1] Bruggeman DAG. Berechnung verschiedener physikalischer konstanten von heterogenen substanzen, I – Dielektrizitatskonstanten und leitfahigkeiten der mischkorper aus isotropen substanzen. Annalen der Physik Leipz. 1935;24:636–79.10.1002/andp.19354160705Search in Google Scholar

[2] Hamilton HL, Crosser OK. Thermal conductivity of heterogeneous two-component systems. Ind Eng Chem Fundam. 1962;1(3):187–91.10.1021/i160003a005Search in Google Scholar

[3] Koo J, Kleinstreuer C. Laminar nanofluid flow in micro-heat sinks. Int J Heat Mass Transf. 2005;48(13):2652–61.10.1016/j.ijheatmasstransfer.2005.01.029Search in Google Scholar

[4] Koo J, Kleinstreuer C. A new thermal conductivity model for nanofluids. J Nanopart Res. 2004;6(6):577–88.10.1007/s11051-004-3170-5Search in Google Scholar

[5] Wasp FJ. Solid–liquid slurry pipeline transportation. Trans Techniques Berlin; 1977.Search in Google Scholar

[6] Li CH, Peterson GP. Experimental investigation of temperature and volume fraction variations on the effective thermal conductivity of nanoparticle suspensions (nanofluids). J Appl Phys. 2006;99(8):084314.10.1063/1.2191571Search in Google Scholar

[7] Patel HE, Sundararajan T, Das SK. An experimental investigation into the thermal conductivity enhancement in oxide and metallic nanofluids. J Nanopart Res. 2010;12:1015–31.10.1007/s11051-009-9658-2Search in Google Scholar

[8] Godson RL, Mohan LB, Wongwises DS. Experimental investigation on the thermal conductivity and viscosity of silver – deionized water nanofluid. Exp Heat Transf. 2010;23:317–32.10.1080/08916150903564796Search in Google Scholar

[9] Corcione M. Rayleigh–Bénard convection heat transfer in nanoparticle suspensions. Int J Heat Fluid Flow. 2011;32:65–77.10.1016/j.ijheatfluidflow.2010.08.004Search in Google Scholar

[10] Sheikholeslami M, Zia QMZ, Ellahi R. Influence of induced magnetic field on free convection of nanofluid considering Koo-Kleinstreuer-Li (KKL) correlation. Appl Sci. 2016;6(11):1–13.10.3390/app6110324Search in Google Scholar

[11] Xue QZ. Model for thermal conductivity of carbon nanotubes based composites. Nanotechnology. 2005;17:1655–60.10.1016/j.physb.2005.07.024Search in Google Scholar

[12] Saleh SHM, Arifin NM, Nazar R, Pop I. Unsteady micropolar fluid over a permeable curved stretching shrinking surface. Math Probl Eng. 2017;2017:3085249. 10.1155/2017/3085249.Search in Google Scholar

[13] Ahmad L, Khan M. Numerical simulation for MHD flow of Sisko nanofluid over a moving curved surface: A revised model. Microsyst Technol. 2018;25:2411–28. 10.1007/s00542-018-4128-3.Search in Google Scholar

[14] Reddy JVR, Sugunamma V, Sandeep N. Dual solutions for nanofluid flow past a curved surface with nonlinear radiation, Soret and Dufour effects. J Phys. 2018;1000:012152. 10.1088/1742-6596/1000/1/012152.Search in Google Scholar

[15] Saba F, Ahmed N, Hussain S, Khan U, Mohyud-Din ST, Darus M. Thermal analysis of nanofluid flow over a curved stretching surface suspended by carbon nanotubes with internal heat generation. Appl Sci. 2018;8:1–15.10.3390/app8030395Search in Google Scholar

[16] Abbas N, Malik YM, Nadeem S. Transportation of magnetized micropolar hybrid nanomaterial fluid flow over a Riga curface surface. Comput Methods Programs Biomed. 2019;185:105136. 10.1016/j.cmpb.2019.105136.Search in Google Scholar PubMed

[17] Nadeem S, Khan AU, Hussain ST. Model based study of SWCNT and MWCNT thermal conductivities effect on the heat transfer due to the oscillating wall conditions. Int J Hydrog Energy. 2017;42:28945–57.10.1016/j.ijhydene.2017.09.114Search in Google Scholar

[18] Ahmed N, Khan AU, Mohyud-Din ST. Unsteady radiative flow of chemically reacting fluid over a convectively heated stretchable surface with cross-diffusion gradients. Int J Therm Sci. 2017;121:182–91.10.1016/j.ijthermalsci.2017.07.012Search in Google Scholar

[19] Sajid M, Ali N, Javed T, Abbas Z. Stretching a curved surface in a viscous fluid. Chin Phys Lett. 2010;27:024703. 10.1088/0256-307X/27/2/024703.Search in Google Scholar

Received: 2021-03-25
Revised: 2022-05-05
Accepted: 2022-05-05
Published Online: 2022-05-26

© 2022 Adnan et al., published by De Gruyter

This work is licensed under the Creative Commons Attribution 4.0 International License.

Articles in the same Issue

  1. Regular Articles
  2. Test influence of screen thickness on double-N six-light-screen sky screen target
  3. Analysis on the speed properties of the shock wave in light curtain
  4. Abundant accurate analytical and semi-analytical solutions of the positive Gardner–Kadomtsev–Petviashvili equation
  5. Measured distribution of cloud chamber tracks from radioactive decay: A new empirical approach to investigating the quantum measurement problem
  6. Nuclear radiation detection based on the convolutional neural network under public surveillance scenarios
  7. Effect of process parameters on density and mechanical behaviour of a selective laser melted 17-4PH stainless steel alloy
  8. Performance evaluation of self-mixing interferometer with the ceramic type piezoelectric accelerometers
  9. Effect of geometry error on the non-Newtonian flow in the ceramic microchannel molded by SLA
  10. Numerical investigation of ozone decomposition by self-excited oscillation cavitation jet
  11. Modeling electrostatic potential in FDSOI MOSFETS: An approach based on homotopy perturbations
  12. Modeling analysis of microenvironment of 3D cell mechanics based on machine vision
  13. Numerical solution for two-dimensional partial differential equations using SM’s method
  14. Multiple velocity composition in the standard synchronization
  15. Electroosmotic flow for Eyring fluid with Navier slip boundary condition under high zeta potential in a parallel microchannel
  16. Soliton solutions of Calogero–Degasperis–Fokas dynamical equation via modified mathematical methods
  17. Performance evaluation of a high-performance offshore cementing wastes accelerating agent
  18. Sapphire irradiation by phosphorus as an approach to improve its optical properties
  19. A physical model for calculating cementing quality based on the XGboost algorithm
  20. Experimental investigation and numerical analysis of stress concentration distribution at the typical slots for stiffeners
  21. An analytical model for solute transport from blood to tissue
  22. Finite-size effects in one-dimensional Bose–Einstein condensation of photons
  23. Drying kinetics of Pleurotus eryngii slices during hot air drying
  24. Computer-aided measurement technology for Cu2ZnSnS4 thin-film solar cell characteristics
  25. QCD phase diagram in a finite volume in the PNJL model
  26. Study on abundant analytical solutions of the new coupled Konno–Oono equation in the magnetic field
  27. Experimental analysis of a laser beam propagating in angular turbulence
  28. Numerical investigation of heat transfer in the nanofluids under the impact of length and radius of carbon nanotubes
  29. Multiple rogue wave solutions of a generalized (3+1)-dimensional variable-coefficient Kadomtsev--Petviashvili equation
  30. Optical properties and thermal stability of the H+-implanted Dy3+/Tm3+-codoped GeS2–Ga2S3–PbI2 chalcohalide glass waveguide
  31. Nonlinear dynamics for different nonautonomous wave structure solutions
  32. Numerical analysis of bioconvection-MHD flow of Williamson nanofluid with gyrotactic microbes and thermal radiation: New iterative method
  33. Modeling extreme value data with an upside down bathtub-shaped failure rate model
  34. Abundant optical soliton structures to the Fokas system arising in monomode optical fibers
  35. Analysis of the partially ionized kerosene oil-based ternary nanofluid flow over a convectively heated rotating surface
  36. Multiple-scale analysis of the parametric-driven sine-Gordon equation with phase shifts
  37. Magnetofluid unsteady electroosmotic flow of Jeffrey fluid at high zeta potential in parallel microchannels
  38. Effect of plasma-activated water on microbial quality and physicochemical properties of fresh beef
  39. The finite element modeling of the impacting process of hard particles on pump components
  40. Analysis of respiratory mechanics models with different kernels
  41. Extended warranty decision model of failure dependence wind turbine system based on cost-effectiveness analysis
  42. Breather wave and double-periodic soliton solutions for a (2+1)-dimensional generalized Hirota–Satsuma–Ito equation
  43. First-principle calculation of electronic structure and optical properties of (P, Ga, P–Ga) doped graphene
  44. Numerical simulation of nanofluid flow between two parallel disks using 3-stage Lobatto III-A formula
  45. Optimization method for detection a flying bullet
  46. Angle error control model of laser profilometer contact measurement
  47. Numerical study on flue gas–liquid flow with side-entering mixing
  48. Travelling waves solutions of the KP equation in weakly dispersive media
  49. Characterization of damage morphology of structural SiO2 film induced by nanosecond pulsed laser
  50. A study of generalized hypergeometric Matrix functions via two-parameter Mittag–Leffler matrix function
  51. Study of the length and influencing factors of air plasma ignition time
  52. Analysis of parametric effects in the wave profile of the variant Boussinesq equation through two analytical approaches
  53. The nonlinear vibration and dispersive wave systems with extended homoclinic breather wave solutions
  54. Generalized notion of integral inequalities of variables
  55. The seasonal variation in the polarization (Ex/Ey) of the characteristic wave in ionosphere plasma
  56. Impact of COVID 19 on the demand for an inventory model under preservation technology and advance payment facility
  57. Approximate solution of linear integral equations by Taylor ordering method: Applied mathematical approach
  58. Exploring the new optical solitons to the time-fractional integrable generalized (2+1)-dimensional nonlinear Schrödinger system via three different methods
  59. Irreversibility analysis in time-dependent Darcy–Forchheimer flow of viscous fluid with diffusion-thermo and thermo-diffusion effects
  60. Double diffusion in a combined cavity occupied by a nanofluid and heterogeneous porous media
  61. NTIM solution of the fractional order parabolic partial differential equations
  62. Jointly Rayleigh lifetime products in the presence of competing risks model
  63. Abundant exact solutions of higher-order dispersion variable coefficient KdV equation
  64. Laser cutting tobacco slice experiment: Effects of cutting power and cutting speed
  65. Performance evaluation of common-aperture visible and long-wave infrared imaging system based on a comprehensive resolution
  66. Diesel engine small-sample transfer learning fault diagnosis algorithm based on STFT time–frequency image and hyperparameter autonomous optimization deep convolutional network improved by PSO–GWO–BPNN surrogate model
  67. Analyses of electrokinetic energy conversion for periodic electromagnetohydrodynamic (EMHD) nanofluid through the rectangular microchannel under the Hall effects
  68. Propagation properties of cosh-Airy beams in an inhomogeneous medium with Gaussian PT-symmetric potentials
  69. Dynamics investigation on a Kadomtsev–Petviashvili equation with variable coefficients
  70. Study on fine characterization and reconstruction modeling of porous media based on spatially-resolved nuclear magnetic resonance technology
  71. Optimal block replacement policy for two-dimensional products considering imperfect maintenance with improved Salp swarm algorithm
  72. A hybrid forecasting model based on the group method of data handling and wavelet decomposition for monthly rivers streamflow data sets
  73. Hybrid pencil beam model based on photon characteristic line algorithm for lung radiotherapy in small fields
  74. Surface waves on a coated incompressible elastic half-space
  75. Radiation dose measurement on bone scintigraphy and planning clinical management
  76. Lie symmetry analysis for generalized short pulse equation
  77. Spectroscopic characteristics and dissociation of nitrogen trifluoride under external electric fields: Theoretical study
  78. Cross electromagnetic nanofluid flow examination with infinite shear rate viscosity and melting heat through Skan-Falkner wedge
  79. Convection heat–mass transfer of generalized Maxwell fluid with radiation effect, exponential heating, and chemical reaction using fractional Caputo–Fabrizio derivatives
  80. Weak nonlinear analysis of nanofluid convection with g-jitter using the Ginzburg--Landau model
  81. Strip waveguides in Yb3+-doped silicate glass formed by combination of He+ ion implantation and precise ultrashort pulse laser ablation
  82. Best selected forecasting models for COVID-19 pandemic
  83. Research on attenuation motion test at oblique incidence based on double-N six-light-screen system
  84. Review Articles
  85. Progress in epitaxial growth of stanene
  86. Review and validation of photovoltaic solar simulation tools/software based on case study
  87. Brief Report
  88. The Debye–Scherrer technique – rapid detection for applications
  89. Rapid Communication
  90. Radial oscillations of an electron in a Coulomb attracting field
  91. Special Issue on Novel Numerical and Analytical Techniques for Fractional Nonlinear Schrodinger Type - Part II
  92. The exact solutions of the stochastic fractional-space Allen–Cahn equation
  93. Propagation of some new traveling wave patterns of the double dispersive equation
  94. A new modified technique to study the dynamics of fractional hyperbolic-telegraph equations
  95. An orthotropic thermo-viscoelastic infinite medium with a cylindrical cavity of temperature dependent properties via MGT thermoelasticity
  96. Modeling of hepatitis B epidemic model with fractional operator
  97. Special Issue on Transport phenomena and thermal analysis in micro/nano-scale structure surfaces - Part III
  98. Investigation of effective thermal conductivity of SiC foam ceramics with various pore densities
  99. Nonlocal magneto-thermoelastic infinite half-space due to a periodically varying heat flow under Caputo–Fabrizio fractional derivative heat equation
  100. The flow and heat transfer characteristics of DPF porous media with different structures based on LBM
  101. Homotopy analysis method with application to thin-film flow of couple stress fluid through a vertical cylinder
  102. Special Issue on Advanced Topics on the Modelling and Assessment of Complicated Physical Phenomena - Part II
  103. Asymptotic analysis of hepatitis B epidemic model using Caputo Fabrizio fractional operator
  104. Influence of chemical reaction on MHD Newtonian fluid flow on vertical plate in porous medium in conjunction with thermal radiation
  105. Structure of analytical ion-acoustic solitary wave solutions for the dynamical system of nonlinear wave propagation
  106. Evaluation of ESBL resistance dynamics in Escherichia coli isolates by mathematical modeling
  107. On theoretical analysis of nonlinear fractional order partial Benney equations under nonsingular kernel
  108. The solutions of nonlinear fractional partial differential equations by using a novel technique
  109. Modelling and graphing the Wi-Fi wave field using the shape function
  110. Generalized invexity and duality in multiobjective variational problems involving non-singular fractional derivative
  111. Impact of the convergent geometric profile on boundary layer separation in the supersonic over-expanded nozzle
  112. Variable stepsize construction of a two-step optimized hybrid block method with relative stability
  113. Thermal transport with nanoparticles of fractional Oldroyd-B fluid under the effects of magnetic field, radiations, and viscous dissipation: Entropy generation; via finite difference method
  114. Special Issue on Advanced Energy Materials - Part I
  115. Voltage regulation and power-saving method of asynchronous motor based on fuzzy control theory
  116. The structure design of mobile charging piles
  117. Analysis and modeling of pitaya slices in a heat pump drying system
  118. Design of pulse laser high-precision ranging algorithm under low signal-to-noise ratio
  119. Special Issue on Geological Modeling and Geospatial Data Analysis
  120. Determination of luminescent characteristics of organometallic complex in land and coal mining
  121. InSAR terrain mapping error sources based on satellite interferometry
Downloaded on 29.12.2025 from https://www.degruyterbrill.com/document/doi/10.1515/phys-2022-0040/html
Scroll to top button