Influence of chemical reaction on MHD Newtonian fluid flow on vertical plate in porous medium in conjunction with thermal radiation
-
Juan Zhang
, Fuzhang Wang , Muhammad Tamoor , Muhammad Kamran , Aamir Farooq, Sadique Rehman
, Amnah S. Aljohani , Ilyas Khan , Soliman Alkhatib and Hijaz Ahmad
Abstract
Our key objective in the present work is to elaborate the concept of activation energy in chemically reactive flow with the help of modeling and computation. The model investigated is fluid flow over a vertical cylinder in the porous medium with chemical reaction and radiation effect. The similarity transform converted the resulting constitutive equations and partial differential equations (PDEs) into ordinary differential equations (ODEs). The resulting non-linear momentum, heat transfer, and mass transfer coupled equations are computed with the Range–Kutta–Fehlberg method. Both assisting and non-assisting buoyant flow conditions are considered, and observed numeric solutions vary with the transport properties. Characteristics of momentum, heat, and concentration under the applied boundary conditions are analyzed. In addition, the increment in activation energy parameters boosts the Lorentz force and mass transfer rate.
Nomenclature
- B
-
magnetic field (Tesla)
- C
-
curvature parameter (m−1)
- C f
-
skin friction coefficient (Pascal)
- D
-
solute diffusivity (m2 s)
- E
-
activation energy (Joules)
- K
-
radiation parameter (–)
- L, S
-
velocity and temperature slip length (m)
- M
-
magnetic parameter (W m2)
- MHD
-
magnetohydrodynamic (–)
- n
-
constant number (–)
- Nu
-
Nusselt number (dimensionless number)
- Pr
-
Prandtl number (dimensionless number)
- q m
-
surface mass flux (kg m−2 s−1)
- q r
-
radiative heat flux (kg s−3)
- q w
-
surface heat flux (W m−2)
- Re
-
Reynold's number (–)
- Sc
-
Schmidt number (dimensionless number)
- T w
-
cylinder temperature (Kelvin)
- T ∞
-
ambient temperature (Kelvin)
- u, v
-
x, r – directions velocity (m s−1)
- ν
-
kinematic viscosity (m2 s−1)
- φ
-
concentration (volume fraction) (mol m3)
- θ
-
dimensionless temperature (–)
- ρ
-
density of fluid (kg m−3)
- η
-
dimensionless similarity variable (–)
- σ e
-
electrical conductivity
- σ
-
reaction rate
- λ
-
mixed convective parameter (W m−2 K−1)
- c p
-
specific heat (J kg−1 K−1)
- ψ
-
stream function (–)
- τ w
-
cylinder temperature (Kelvin)
- γ
-
thermal slip parameter (–)
- ε
-
temperature difference (Kelvin)
1 Introduction
The theory of Newtonian fluid is named after Isaac Newton and has received much attention in the last several years because the non-Newtonian fluids contain fewer complex derivations and singularities. It can describe the characteristics of fluid flow precisely. Isaac was the first who had used the differential equation to postulate the relation between the shear strain rate (s−1) and shear stress (mPa) for such fluids. This relationship is now known as Newton's law of viscosity (i.e., shear stress (τ) = viscosity (η) × shear rate (γ)). Some η examples of Newtonian fluids are water, organic solvents, and honey. These fluid's viscosity is only dependent on temperature. Due to ideal behavior, these fluids have applications only in the theoretical studies to understand the non-Newtonian fluids.
A boundary-layer flow (BLF) is a thin-layer of viscous-fluid close to the solid surface in contact with a moving stream in which the thickness of the flow velocity varies from zero at the wall and increases up to free stream velocity at the boundary. The BLF of fluids attracted numerous researchers due to its vast applications over stretching/shrinking surfaces in different sciences and engineering fields. In the study of aerodynamical forces and their types, one can understand that the phenomena is dependent on the BLF. Few other applications of BLF are elastic sheets, tinning and strengthening of copper wires, hot rolling, fiber turning, non-stop cooling, wire drawing, paper, food processing, and expulsion of polymers. Sakiadis et al. was the first who examined the BLF due to its strong influence on the latest developments [1,2,3]. Later on, many researchers considered boundary-layer flow of Newtonian and non-Newtonian fluids. Crane et al. had given further directions to investigate the Sakiadis problem by utilizing the stretching boundary and evaluated the exact solutions [4]. It should be noted that many works have been done on BLF. However, we considered recently published works of BLF over a stretching surface. Nazar et al. had studied the unsteady flow in a rotating fluid due to suddenly stretched surface [5]. They found a smooth transition from the small-time solution to the large-time or steady-state solution. Van Gorder et al. had presented similar solutions for the nano BLF with the Navier boundary condition [6]. They found expected results for fluid flows at nano-scale, i.e., the shear stress along the wall decreases with the increase in slip effect. Khan et al. had the investigated laminar fluid flow due to stretching of flat surface in a nanofluid [7]. They found that the reduced Nusselt number is a decreasing function of each dimensionless number. Ullah et al. had evaluated non-linear stretching of cylinder place in the porous medium [8]. They had noticed that wall shear stress magnitude is higher due to an increase in porosity. Fang et al. had studied the BLF over a stretching sheet with variable thickness [9]. They had observed that the stretching surface's curvature has a direct effect on the formation of the boundary layer along the wall, the velocity profiles, and the shear stress distribution in the fluid. Gireesha et al. had investigated numerically the effect of Copper as a nanoparticle and water with suspended particles as its base fluid on the BLF [10]. They found that momentum and thermal boundary layer are thinner due to the influence of suspended particles. Other researchers had also studied BLF [11,12,13,14] with different physical effects.
Most researchers kept up their work with the addition of assumption for different physical aspects – all this about getting close to the occurrence of real scenarios in the presence of a magnetic field, existence of magneto-hydrodynamics (MHD) flow. The projects related to engineering and technology, we mostly used MHD factor to control mass and heat transfer. In chemical engineering, experiments and numerical simulations are commonly conducted in the presence of MHD factor, see e.g. [15,16,17,18] for better understanding. The magnetic field and heat source/sink with different conditions were considered meticulously in refs. [19,20,21]. The presence of a magnetic field to control the different mechanisms in the material industry is important, and many researchers contributed their efforts in this direction [22,23,24,25].
The drag reduction phenomena in fluid dynamics with the surface walls are considered the slip effect. It is noticed that slip has altogether variable effects on the heat and thermal boundary layers. Slip flow due to a stretching cylinder was studied in ref. [26]. They discovered that slip significantly decreases the magnitudes of the velocities and shear stress. Hatte et al. had studied the analytical model for the evaluation of effective slip [27]. They discovered that liquid-infused engineered non-wetting surfaces have fluid flow with alternating no-slip and partial slip boundary conditions, resulting in decreased friction at the interface. Mukhopadhyay et al. explored the slip effects in the presence of MHD flow over a stretchable cylinder [28]. Numerous researchers discussed the flow problems by considering the slip conditions on the boundary [29,30,31].
Thermal-radiation has an important role in the surface heat transfer when the convection heat transfer coefficient is small. Its few significant applications are heating the earth by the sun, room by an open-hearth of the fireplace, circulating blood to the body, and light/heat sources in control heating systems. Due to this phenomenon, energy transfers from the source object in the form of rays. Sheikholeslami et al. had examined the thermal radiation effect on the MHD nanofluid flow between two horizontal rotating plates [32]. Li et al. had investigated the combined radiation and MHD effect on momentum and heat transfer in a vertical cylindrical annulus [33]. They observed a substantial change in temperature profile when scattering albedo reaches one. Alsagri et al. had founded the enhancement in the magnetic-radiations yields a decrease in the velocity field for nanoparticles [34]. Sinha et al. had presented the heat transfer characteristics by taking into account a steady heat supply at the wall and completely formed blood-flow through the capillary [35]. Their results revealed that the blood temperature can be controlled by regulating Joule-heating parameter. Few important studies in this physical aspect are conducted by refs. [36,37,38,39].
The heat and mass transfer in chemical reaction has important role in fluid mechanics. Due to its nature and engineering applications, it received stellar recognition. Some important applications include human transpiration, chemical catalytic reactors, nuclear reactors, electronic-equipment, gas turbines and propulsion devices, aerodynamic-extrusion of plastic sheets, filtration, refrigeration, and medicine diffusion in blood veins. The effect of the Arrhenius activation energy under the different physical conditions was discussed in [40,41,42]. They found that the activation energy of a chemical reaction is closely related to its rate, because molecules can only complete the reaction once they have reached the top of the activation energy barrier. Seddeek et al. had investigated the effect of chemical reaction on free convective flow and mass transfer over a stretching surface [43]. They noticed that an increase in the chemical parameters decreases the velocity, temperature and concentration in the boundary layer flow. Olanrewaju et al. analyzed the effects of thermal diffusion, including magnetic field intervention and suction/injection, on the chemical-reacting boundary-layer heat distribution and mass transfer onto a moving vertical plate [44]. Shahzed et al. had investigated the impacts on porous media of Casson fluid via chemical reaction, transfer of mass, and MHD flow [45].
It is obvious from the aforementioned debate that these physical effects have limited research data in a Newtonian fluid. This study has much importance to get the ideal results for understanding the behavior of the non-Newtonian fluid. The investigators plan on the collective impact of binary chemical, magnetic, and thermal radiations due to significant discussions. The model addressed here has fundamental importance. We used the numerical procedure because of the non-linearity of the mathematical model and the additional complexity factors. The numeric procedure used for the transformed dimensionless governing equations [46,47] is the Runge–Kutta–Fehlberg (RKF) method with shooting technique [48,49,50,51]. Further, surface friction and rate of heat and mass transfers are tabulated and examined for various pertinent parameters. Also, a comparison with the previous studies is mentioned for the validity of the computational process.
2 Governing equations
We will discuss the laminar BLF generated due to the non-linear stretching of the vertical cylinder (radius R). The cylinder is placed in a porous medium on the fixed surface and stretched upward. The induced magnetic field has less influence as compared to the applied magnetic field, i.e.,
where u
x
and u
r
are the velocity components, respectively, in x and r directions; u
e
is free stream velocity;
and

Schematic representation of the geometry.
The appropriate Boundary Conditions (BCs) for the above problem are,
where
Making use of the similarity transformations,
Plugging Eq. (8) in Eqs. (1–7), we will obtain the required governing equations with associated BCs. Stream function identically satisfies the continuity equation in cylindrical coordinates,
Abovementioned pertinent parameters are curvature
The industrial interest quantities like skin friction coefficient (C f ), local Nusselt number (Nu x ), and local Sherwood number (Sh x ) are defined as,
where the shear stress (τ w ), surface heat flux (q w ), and surface mass flux (q m ) are given by,
Using the non-dimensional variables, we obtain
where
3 Numerical technique
In order to study the flow model, the numerical scheme RKF method is used, which is reliable and efficient. Following are the mathematical steps for the RKF method:
where y is 4th and z is 5th order RKF. To calculate next step, we have
We use
4 Results and discussion
To analyze the impact of the various parameters with the fixed values of these physical parameters includes nonlinearity n = 2.0, curvature C = 1.0, magnetic M = 1, porosity P = 0.3, mixed convection λ = 1.0, temperature ratio N
r
= 0.3, Prandtl number Pr = 0.5, thermal radiation K = 2.0, velocity slip and thermal slip
Table 1 presents a comparison between the results obtained currently and the previous results for the heat transfer rate
Comparison of heat transfer rate in the Eq. (10) without considering
| Prandtl number | Magnetic parameter | Radiation parameter | [52] | [53] | [54] | [55] | Present |
|---|---|---|---|---|---|---|---|
| 1 | 0 | 0 | 0.9548 | 0.9547 | 0.9548 | 0.9547 | 0.9548 |
| 2 | 1.4714 | 1.4715 | 1.4714 | 1.4715 | |||
| 3 | 1.8691 | 1.8691 | 1.8691 | 1.8691 | 1.8691 | ||
| 5 | 2.5001 | 2.5001 | 2.5001 | 2.5001 | |||
| 1 | 1 | 0.8611 | 0.8610 | 0.8612 | |||
| 0 | 1 | 0.5315 | 0.5312 | 0.5311 | 0.5313 | ||
| 1 | 0.4505 | 0.4503 | 0.4502 | ||||
| 2 | 0 | 0.5 | 1.0735 | 1.0734 | 1.0733 | ||
| 1 | 0.8627 | 0.8626 | 0.8625 | ||||
| 3 | 0.5 | 1.3807 | 1.3807 | 1.3807 | |||
| 1 | 1.1214 | 1.1213 | 1.1214 |
Influence of governing parameters on velocity, temperature, and concentration profiles are depicted in Figures 1–14. Figure 1 exhibits the effect of variation in n on the fluid velocity. It is noticed that an increase in it decreases the momentum of the fluid. This behavior occurs due to the disturbance generated in the fluid particles/molecules. As a result, collisions between them enhances, which decreases the momentum.

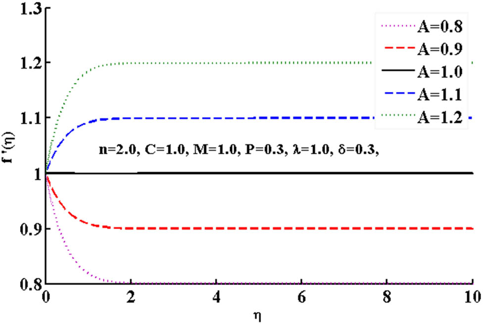
Effect of nonlinearly stretching parameter on fluid flow.

Effect of curvature parameter on fluid flow.

Effect of applied magnetic field parameter on fluid flow.

Effect of velocity slip parameter on fluid flow.

Effect of velocity ratio parameter on fluid flow.

Effect of curvature parameter on heat transfer.

Effect of temperature ratio parameter on heat transfer.

Effect of radiation parameter on heat transfer.

Effect of thermal slip parameter on heat transfer.

Effect of Schmidt number on mass transfer.

Effect of temperature difference parameter on mass transfer.

Effect of activation energy parameter on mass transfer.

Effect of reaction rate parameter on mass transfer.

Effect of fitted rate constant parameter on mass transfer.
Figure 2 depicts the influence of C on the velocity profile. It is observed that with the increase in the cylinder bending (or reduction in the area of cross-section), the momentum of fluid also enhances. It is actually due to less friction accounted for because of a decrease in the total surface area of the cylinder.
Figure 3 elucidates the effect of M on the velocity profile. It is evident that the increasing values of M reduces the fluid velocity. Also, the momentum boundary layer becomes thinner when n increase. This happens due to the resistance generated by the Lorentz force.
Figure 4 presents the effect of the variation in velocity slip on the velocity profile. As expected, the strength of the slip enhances the fluid flow, but in this case, it reduces. This change may occur due to the thermal/magnetic-radiations and chemical activity.
Figure 5 displays the effect of variation in A on the velocity profile, for A > 1 momentum and boundary layer thickness increase and vice versa for A < 1. However, for A = 1 no significant change is found.
Figure 6 depicts the impact of C on the heat profile. By increasing curvature parameter the heat transfer reduces.
Figure 7 portrays the effect of variation in N r on the heat profile. The thermal boundary layer becomes thicker with the increase in the temperature ratio parameter. This is because the fluid temperature is much higher than the ambient temperature for increasing values of N r , which increases the thermal state of the fluid.
Figure 8 demonstrates the effect of K on the heat profile. As radiation parameter is representing the thermal dissipation via electromagnetic radiation discharge, the fluid's main energy is transformed into electromagnetic energy that enhances the internal kinetic development and collisions between the fluid molecules. Therefore, larger values of K increases the rate of heat transfer and linked thermal boundary layer. As more and more heat shift to the fluid, the temperature increases.
Figure 9 demonstrates the effect of γ on the heat profile. By increasing thermal slip parameter we noticed that the heat transfer decreases.
Figure 10 illustrates the effect of variation in S c on the mass profile. For higher values of S c , mass transfer reduces because the Brownian diffusion coefficient rises in such a way that it retards the mass transfer and decreases the boundary layer thickness.
Figure 11 displays the influence of ε on mass transfer. The mass transfer and boundary thickness both are decreasing due to increment in a temperature gradient. Our results contradict the evaluation of ref. [56]; this may be due to the stretching and shrinking effect or the radiations, and a chemical reaction occurs.
Figure 12 reveals the effect variation in E on the mass profile. From the graph, it can be seen that the concentration enhanced due to the increment in the activation energy parameter. This phenomenon is not only chemical but also physical. Therefore, to interpret the right results, more simulation and experimental results are needed by considering different kinetic parameters.
Figures 13 and 14 examine the effect variation in σ and m on the mass profile. It is clear that due to the influence of reaction rate, fitted rate increases the factor
In Table 2, the influence of variation in different parameters on the surface friction, heat transfer, and mass transfer rates are mentioned in detail.
Demonstrates the behavior of skin friction coefficient, heat, and mass transfer rates
| n | C | M | P | λ | δ | N r | Pr | K | γ | S c | ε | E | σ |
|
|
|
|---|---|---|---|---|---|---|---|---|---|---|---|---|---|---|---|---|
| 1 | 1 | 1 | 0.3 | 0 | 0.3 | 0.3 | 0.5 | 2 | 0.3 | 0.1 | 0.1 | 0.1 | 0.1 | 1.17553 | 0.66446 | |
| 2 | 1.24135 | 0.66833 | ||||||||||||||
| 2 | 2 | 1.36915 | 0.71031 | |||||||||||||
| 3 | 1.47602 | 0.74113 | ||||||||||||||
| 1 | 2 | 1.50675 | ||||||||||||||
| 3 | 1.74290 | |||||||||||||||
| 1 | 0.1 | 1.28878 | ||||||||||||||
| 1 | 1.32094 | |||||||||||||||
| 0.3 | −2 | 1.38645 | ||||||||||||||
| 2 | 1.10569 | |||||||||||||||
| 0 | 0.7 | 0.80898 | ||||||||||||||
| 1 | 0.64501 | |||||||||||||||
| 0.3 | 0.7 | 0.54183 | ||||||||||||||
| 1 | 0.51586 | |||||||||||||||
| 0.3 | 0.7 | 0.67113 | ||||||||||||||
| 1 | 0.67526 | |||||||||||||||
| 0.5 | 2 | 0.66833 | ||||||||||||||
| 3 | 0.65679 | |||||||||||||||
| 2 | 0.1 | 2.42921 | ||||||||||||||
| 0.7 | 0.86326 | |||||||||||||||
| 0.3 | 0.3 | 0.368195 | ||||||||||||||
| 0.7 | 0.606558 | |||||||||||||||
| 0.1 | 0.3 | 0.204370 | ||||||||||||||
| 0.7 | 0.206001 | |||||||||||||||
| 0.1 | 0.3 | 0.195759 | ||||||||||||||
| 0.7 | 0.183801 | |||||||||||||||
| 0.1 | 0.3 | 0.279629 | ||||||||||||||
| 0.7 | 0.392136 |
5 Summary and conclusion
Two-dimensional vertical cylindrical model considered with non-linear stretching in the porous medium. Few important physical aspects included are slip, radiation, and chemical reaction. The numeric data obtained from the model is compared with previously mentioned cases. It is found that the comparison of available open literature and obtained results are in good agreement:
An increment in the velocity slip parameter decreases the momentum of the fluid.
The influence of the thermal slip parameter increases the heat transfer rate.
An increase in the curvature of the cylinder makes the thermal boundary layer thinner.
The addition of radiation energy enhances the internal kinetic development and collisions between the fluid molecules.
Temperature gradient contains dual effects due to stretching/shrinking, radiation, and chemical reaction.
Enhancement of reaction rate parameter generates more interaction between the species.
6 Future perspectives
Much work needed for the future perspectives,
In the presence of radiation and chemical reaction models (specific reaction kinetics for different process).
The geometries used in industries with 3D modeling.
Comparison of the numerical methods and techniques for accuracy of these models are still required.
More relevant mathematical models related to engineering applications through simulation are needed.
Improvement needed in the numerical method algorithms.
-
Funding information: The authors state no funding involved.
-
Author contributions: All authors have accepted responsibility for the entire content of this manuscript and approved its submission.
-
Conflict of interest: The authors state no conflict of interest.
References
[1] Sakiadis BC. Boundary-layer behavior on continuous solid surfaces: I. Boundary-layer equations for two-dimensional and axisymmetric flow. AIChE J. 1961;7:26–8. 10.1002/aic.690070108.Search in Google Scholar
[2] Sakiadis BC. Boundary-layer behavior on continuous solid surfaces: II. The boundary layer on a continuous flat surface. AIChE J. 1961;7:221–5. 10.1002/aic.690070211.Search in Google Scholar
[3] Sakiadis BC. Boundary-layer behavior on continuous solid surfaces: III. The boundary layer on a continuous cylindrical surface. AIChE J. 1961;7:467–72. 10.1002/aic.690070325.Search in Google Scholar
[4] Crane LJ. Flow past a stretching plate. Z Angew Math Phys. 1970;21:645–7. 10.1007/BF01587695.Search in Google Scholar
[5] Nazar R, Amin N, Pop I. Unsteady boundary layer flow due to a stretching surface in a rotating fluid. Mech Res Commun. 2004;31:121–8. 10.1016/j.mechrescom.2003.09.004.Search in Google Scholar
[6] Van Gorder RA, Sweet E, Vajravelu K. Nano boundary layers over stretching surfaces. Commun Nonlinear Sci Numer Simul. 2010;15:1494–500. 10.1016/j.cnsns.2009.06.004.Search in Google Scholar
[7] Khan WA, Pop I. Boundary-layer flow of a nanofluid past a stretching sheet. Int J Heat Mass Transf. 2010;53:2477–83. 10.1016/j.ijheatmasstransfer.2010.01.032.Search in Google Scholar
[8] Ullah I, Alkanhal TA, Shafie S, Nisar KS, Khan I, Makinde OD. MHD slip flow of casson fluid along a nonlinear permeable stretching cylinder saturated in a porous medium with chemical reaction, viscous dissipation, and heat generation/absorption. Symmetry. 2019;11:531. 10.3390/sym11040531.Search in Google Scholar
[9] Fang T, Zhang J, Zhong Y. Boundary layer flow over a stretching sheet with variable thickness. Appl Math Comput. 2012;218:7241–52. 10.1016/j.amc.2011.12.094.Search in Google Scholar
[10] Gireesha BJ, Mahanthesh B, Gorla RSR. Suspended particle effect on nanofluid boundary layer flow past a stretching surface. J Nanofluids. 2014;3:267–77. 10.1166/jon.2014.1101.Search in Google Scholar
[11] Lund LA, Omar Z, Khan U, Khan I, Baleanu D, Nisar KS. Stability analysis and dual solutions of micropolar nanofluid over the inclined stretching/shrinking surface with convective boundary condition. Symmetry. 2020;12:74. 10.3390/sym12010074.Search in Google Scholar
[12] Lund LA, Omar Z, Khan I, Kadry S, Rho S, Mari IA, et al. Effect of viscous dissipation in heat transfer of MHD flow of micropolar fluid partial slip conditions: dual solutions and stability analysis. Energies. 2019;12:4617. 10.3390/en12244617.Search in Google Scholar
[13] Anwar MI, Rafique K, Misiran M, Khan I. Numerical solution of casson nanofluid flow over a non-linear inclined surface with soret and dufour effects by keller-box method. Frontiers in Physics. 2019 Oct 11;7:139. 10.3389/fphy.2019.00139.Search in Google Scholar
[14] Lund LA, Omar Z, Khan I, Seikh AH, Sherif E-SM, Nisar KS. Stability analysis and multiple solution of Cu–Al2O3/H2O nanofluid contains hybrid nanomaterials over a shrinking surface in the presence of viscous dissipation. J Mater Res Technol. 2020;9:421–32. 10.1016/j.jmrt.2019.10.071.Search in Google Scholar
[15] Vanita, Kumar A. Numerical study of effect of induced magnetic field on transient natural convection over a vertical cone. Alex Eng J. 2016;55:1211–23. 10.1016/j.aej.2016.04.007.Search in Google Scholar
[16] Xenos MA, Petropoulou EN, Siokis A, Mahabaleshwar US. Solving the nonlinear boundary layer flow equations with pressure gradient and radiation. Symmetry. 2020 May;12(5):710.10.3390/sym12050710Search in Google Scholar
[17] Ellahi R, Alamri SZ, Basit A, Majeed A. Effects of MHD and slip on heat transfer boundary layer flow over a moving plate based on specific entropy generation. J Taibah Univ Sci. 2018;12:476–82. 10.1080/16583655.2018.1483795.Search in Google Scholar
[18] Dholey S. Effect of magnetic field on the unsteady boundary layer flows induced by an impulsive motion of a plane surface. Z Naturforsch A. 2020;75:343–55. 10.1515/zna-2019-0334.Search in Google Scholar
[19] Alarifi IM, Abokhalil AG, Osman M, Lund LA, Ayed MB, Belmabrouk H, Tlili I. MHD flow and heat transfer over vertical stretching sheet with heat sink or source effect. Symmetry. 2019 Mar;11(3):297.10.3390/sym11030297Search in Google Scholar
[20] Waini I, Ishak A, Pop I. MHD flow and heat transfer of a hybrid nanofluid past a permeable stretching/shrinking wedge. Appl Math Mech. 2020 Mar;41(3):507–20.10.1007/s10483-020-2584-7Search in Google Scholar
[21] Zhang Y, Jiang J, Bai Y. MHD flow and heat transfer analysis of fractional Oldroyd-B nanofluid between two coaxial cylinders. Computers & Mathematics with Applications. 2019 Nov 15;78(10):3408–21.10.1016/j.camwa.2019.05.013Search in Google Scholar
[22] Aigbe UO, Das R, Ho WH, Srinivasu V, Maity A. A novel method for removal of Cr(VI) using polypyrrole magnetic nanocomposite in the presence of unsteady magnetic fields. Sep Purif Technol. 2018;194:377–87. 10.1016/j.seppur.2017.11.057.Search in Google Scholar
[23] Amiri M, Salavati-Niasari M, Akbari A. Magnetic nanocarriers: evolution of spinel ferrites for medical applications. Adv Colloid Interface Sci. 2019;265:29–44. 10.1016/j.cis.2019.01.003.Search in Google Scholar PubMed
[24] Tamoor M, Waqas M, Khan MI, Alsaedi A, Hayat T. Magnetohydrodynamic flow of Casson fluid over a stretching cylinder. Results Phys. 2017;7:498–502. 10.1016/j.rinp.2017.01.005.Search in Google Scholar
[25] Dogonchi AS, Waqas M, Seyyedi SM, Hashemi-Tilehnoee M, Ganji DD. CVFEM analysis for Fe3O4–H2O nanofluid in an annulus subject to thermal radiation. Int J Heat Mass Transf. 2019;132:473–83. 10.1016/j.ijheatmasstransfer.2018.11.124.Search in Google Scholar
[26] Wang CY, Ng C-O. Slip flow due to a stretching cylinder. Int J Non-Linear Mech. 2011;46:1191–4. 10.1016/j.ijnonlinmec.2011.05.014.Search in Google Scholar
[27] Hatte S, Pitchumani R. Analytical model for drag reduction on liquid-infused structured non-wetting surfaces. Soft Matter. 2021;17:1388–403. 10.1039/D0SM01272F.Search in Google Scholar
[28] Mukhopadhyay S. Slip effects on MHD boundary layer flow over an exponentially stretching sheet with suction/blowing and thermal radiation. Ain Shams Eng J. 2013;4:485–91. 10.1016/j.asej.2012.10.007.Search in Google Scholar
[29] Kumar KA, Sugunamma V, Sandeep N, Mustafa MT. Simultaneous solutions for first order and second order slips on micropolar fluid flow across a convective surface in the presence of Lorentz force and variable heat source/sink. Sci Rep. 2019;9:14706. 10.1038/s41598-019-51242-5.Search in Google Scholar PubMed PubMed Central
[30] Ibrahim W, Shanker B. MHD boundary layer flow and heat transfer of a nanofluid past a permeable stretching sheet with velocity, thermal and solutal slip boundary conditions. Comput Fluids. 2013;75:1–10. 10.1016/j.compfluid.2013.01.014.Search in Google Scholar
[31] Mohamed Isa SSP, Arifin N, Farooq U. The impact of slip conditions on magneto-hydrodynamics radiating fluid beyond an exponentially extended sheet. J Phys Conf Ser. 2018;1039:012015. 10.1088/1742-6596/1039/1/012015.Search in Google Scholar
[32] Sheikholeslami M, domiri ganji D, Javed M, Ellahi R. Effect of thermal radiation on magneto-hydrodynamics nanofluid flow and heat transfer by means of two phase model. J Magn Magn Mater. 2015;374:36–43. 10.1016/j.jmmm.2014.08.021.Search in Google Scholar
[33] Li B-W, Wang W, Zhang J-K. Combined effects of magnetic field and thermal radiation on fluid flow and heat transfer of mixed convection in a vertical cylindrical annulus. J Heat Transf. 2016 Jun 1;138(6). 10.1115/1.4032609.Search in Google Scholar
[34] Alsagri AS, Nasir S, Gul T, Islam S, Nisar KS, Shah Z, et al. MHD thin film flow and thermal analysis of blood with CNTs nanofluid. Coatings. 2019;9(3):175. 10.3390/coatings9030175.Search in Google Scholar
[35] Sinha A, Shit GC. Electromagnetohydrodynamic flow of blood and heat transfer in a capillary with thermal radiation. J Magn Magn Mater. 2015;378:143–51. 101016/jjmmm201411029.Search in Google Scholar
[36] Xu HJ, Xing ZB, Wang FQ, Cheng ZM. Review on heat conduction, heat convection, thermal radiation and phase change heat transfer of nanofluids in porous media: fundamentals and applications. Chem Eng Sci. 2019;195:462–83.10.1016/j.ces.2018.09.045Search in Google Scholar
[37] Wu H, Gui N, Yang X, Tu J, Jiang S. Numerical simulation of heat transfer in packed pebble beds: CFD-DEM coupled with particle thermal radiation. Int J Heat Mass Transf.2017;110:393–405.10.1016/j.ijheatmasstransfer.2017.03.035Search in Google Scholar
[38] Rashid M, Khan MI, Hayat T, Khan MI, Alsaedi A. Entropy generation in flow of ferromagnetic liquid with non-linear radiation and slip condition. J Mol Liq. 2019;276:441–52.10.1016/j.molliq.2018.11.148Search in Google Scholar
[39] Daniel YS, Aziz ZA, Ismail Z, Salah F. Effects of thermal radiation, viscous and Joule heating on electrical MHD nanofluid with double stratification. Chin J Phys. 2017;55:630–51.10.1016/j.cjph.2017.04.001Search in Google Scholar
[40] Bestman AR. Radiative heat transfer to flow of a combustible mixture in a vertical pipe. Int J Energy Res. 1991;15:179–84. 10.1002/er.4440150305.Search in Google Scholar
[41] Ahmad U, Ashraf M, Khan I, Nisar K. Modeling and analysis of the impact of exothermic catalytic chemical reaction and viscous dissipation on natural convection flow driven along a curved surface. Therm Sci. 2020;24:1–11.10.2298/TSCI20S1001ASearch in Google Scholar
[42] Salawu S, Fatunmbi E, Okoya S. MHD heat and mass transport of Maxwell Arrhenius kinetic nanofluid flow over stretching surface with non-linear variable properties. Results Chem. 2021;3:100125.10.1016/j.rechem.2021.100125Search in Google Scholar
[43] Seddeek M, Almushigeh A. Effects of radiation and variable viscosity on MHD free convective flow and mass transfer over a stretching sheet with chemical reaction. An Int J. 2010;5:181–97.Search in Google Scholar
[44] Olanrewaju PO, Makinde OD. Effects of thermal diffusion and diffusion thermo on chemically reacting mhd boundary layer flow of heat and mass transfer past a moving vertical plate with suction/injection. Arab J Sci Eng. 2011;36:1607–19. 10.1007/s13369-011-0143-8.Search in Google Scholar
[45] Shehzad SA, Hayat T, Qasim M, Asghar S. Effects of mass transfer on MHD flow of Casson fluid with chemical reaction and suction. Braz J Chem Eng. 2013;30:187–95.10.1590/S0104-66322013000100020Search in Google Scholar
[46] Ali Lund L, Ching DL, Omar Z, Khan I, Nisar KS. Triple local similarity solutions of Darcy-Forchheimer magnetohydrodynamic (MHD) flow of micropolar nanofluid over an exponential shrinking surface: stability analysis. Coatings. 2019 Aug;9(8):527. 10.3390/coatings9080527.Search in Google Scholar
[47] Rasool G, Shafiq A, Khan I, Baleanu D, Sooppy Nisar K, Shahzadi G. Entropy generation and consequences of MHD in Darcy–Forchheimer nanofluid flow bounded by non-linearly stretching surface. Symmetry. 2020;12(4):652. 10.3390/sym12040652.Search in Google Scholar
[48] Hayat T, Tamoor M, Khan MI, Alsaedi A. Numerical simulation for non-linear radiative flow by convective cylinder. Results Phys. 2016;6:1031–5. 10.1016/j.rinp.2016.11.026.Search in Google Scholar
[49] Khan MI, Tamoor M, Hayat T, Alsaedi A. MHD boundary layer thermal slip flow by nonlinearly stretching cylinder with suction/blowing and radiation. Results Phys. 2017;7:1207–11.10.1016/j.rinp.2017.03.009Search in Google Scholar
[50] Rafiq M, Kamran M, Ahmed N, Mohyud-Din ST, Bashir Y, Haider SA, et al. Analytical solution for the flow of second grade fluid over a stretching sheet. AIP Adv. 2019;9:055313. 10.1063/1.5093158.Search in Google Scholar
[51] Shahzad A, Ali R, Kamran M, Khan SU-D, Khan SU-D, Farooq A. Axisymmetric flow with heat transfer over exponentially stretching sheet: a computational approach. Phys A Stat Mech Appl. 2020;554:124242. 10.1016/j.physa.2020.124242.Search in Google Scholar
[52] Magyari E, Keller B. Heat and mass transfer in the boundary layers on an exponentially stretching continuous surface. J Phys D Appl Phys. 1999;32:577–85. 10.1088/0022-3727/32/5/012.Search in Google Scholar
[53] Bidin B, Nazar R. Numerical solution of the boundary layer flow over an exponentially stretching sheet with thermal radiation. Eur J Sci Res. 2009;33:1450–216.Search in Google Scholar
[54] Ishak A. MHD boundary layer flow due to an exponentially stretching sheet with radiation effect. Sains Malaysiana. 2011;40:391–5.Search in Google Scholar
[55] Mukhopadhyay S. MHD boundary layer slip flow along a stretching cylinder. Ain Shams Eng J. 2013;4:317–24. 10.1016/j.asej.2012.07.003.Search in Google Scholar
[56] Eldabe N, Abu Zeid M. Thermal diffusion and diffusion thermo effects on the viscous fluid flow with heat and mass transfer through porous medium over a shrinking sheet. J Appl Math. 2013;2013:584534. 10.1155/2013/584534.Search in Google Scholar
© 2022 Juan Zhang et al., published by De Gruyter
This work is licensed under the Creative Commons Attribution 4.0 International License.
Articles in the same Issue
- Regular Articles
- Test influence of screen thickness on double-N six-light-screen sky screen target
- Analysis on the speed properties of the shock wave in light curtain
- Abundant accurate analytical and semi-analytical solutions of the positive Gardner–Kadomtsev–Petviashvili equation
- Measured distribution of cloud chamber tracks from radioactive decay: A new empirical approach to investigating the quantum measurement problem
- Nuclear radiation detection based on the convolutional neural network under public surveillance scenarios
- Effect of process parameters on density and mechanical behaviour of a selective laser melted 17-4PH stainless steel alloy
- Performance evaluation of self-mixing interferometer with the ceramic type piezoelectric accelerometers
- Effect of geometry error on the non-Newtonian flow in the ceramic microchannel molded by SLA
- Numerical investigation of ozone decomposition by self-excited oscillation cavitation jet
- Modeling electrostatic potential in FDSOI MOSFETS: An approach based on homotopy perturbations
- Modeling analysis of microenvironment of 3D cell mechanics based on machine vision
- Numerical solution for two-dimensional partial differential equations using SM’s method
- Multiple velocity composition in the standard synchronization
- Electroosmotic flow for Eyring fluid with Navier slip boundary condition under high zeta potential in a parallel microchannel
- Soliton solutions of Calogero–Degasperis–Fokas dynamical equation via modified mathematical methods
- Performance evaluation of a high-performance offshore cementing wastes accelerating agent
- Sapphire irradiation by phosphorus as an approach to improve its optical properties
- A physical model for calculating cementing quality based on the XGboost algorithm
- Experimental investigation and numerical analysis of stress concentration distribution at the typical slots for stiffeners
- An analytical model for solute transport from blood to tissue
- Finite-size effects in one-dimensional Bose–Einstein condensation of photons
- Drying kinetics of Pleurotus eryngii slices during hot air drying
- Computer-aided measurement technology for Cu2ZnSnS4 thin-film solar cell characteristics
- QCD phase diagram in a finite volume in the PNJL model
- Study on abundant analytical solutions of the new coupled Konno–Oono equation in the magnetic field
- Experimental analysis of a laser beam propagating in angular turbulence
- Numerical investigation of heat transfer in the nanofluids under the impact of length and radius of carbon nanotubes
- Multiple rogue wave solutions of a generalized (3+1)-dimensional variable-coefficient Kadomtsev--Petviashvili equation
- Optical properties and thermal stability of the H+-implanted Dy3+/Tm3+-codoped GeS2–Ga2S3–PbI2 chalcohalide glass waveguide
- Nonlinear dynamics for different nonautonomous wave structure solutions
- Numerical analysis of bioconvection-MHD flow of Williamson nanofluid with gyrotactic microbes and thermal radiation: New iterative method
- Modeling extreme value data with an upside down bathtub-shaped failure rate model
- Abundant optical soliton structures to the Fokas system arising in monomode optical fibers
- Analysis of the partially ionized kerosene oil-based ternary nanofluid flow over a convectively heated rotating surface
- Multiple-scale analysis of the parametric-driven sine-Gordon equation with phase shifts
- Magnetofluid unsteady electroosmotic flow of Jeffrey fluid at high zeta potential in parallel microchannels
- Effect of plasma-activated water on microbial quality and physicochemical properties of fresh beef
- The finite element modeling of the impacting process of hard particles on pump components
- Analysis of respiratory mechanics models with different kernels
- Extended warranty decision model of failure dependence wind turbine system based on cost-effectiveness analysis
- Breather wave and double-periodic soliton solutions for a (2+1)-dimensional generalized Hirota–Satsuma–Ito equation
- First-principle calculation of electronic structure and optical properties of (P, Ga, P–Ga) doped graphene
- Numerical simulation of nanofluid flow between two parallel disks using 3-stage Lobatto III-A formula
- Optimization method for detection a flying bullet
- Angle error control model of laser profilometer contact measurement
- Numerical study on flue gas–liquid flow with side-entering mixing
- Travelling waves solutions of the KP equation in weakly dispersive media
- Characterization of damage morphology of structural SiO2 film induced by nanosecond pulsed laser
- A study of generalized hypergeometric Matrix functions via two-parameter Mittag–Leffler matrix function
- Study of the length and influencing factors of air plasma ignition time
- Analysis of parametric effects in the wave profile of the variant Boussinesq equation through two analytical approaches
- The nonlinear vibration and dispersive wave systems with extended homoclinic breather wave solutions
- Generalized notion of integral inequalities of variables
- The seasonal variation in the polarization (Ex/Ey) of the characteristic wave in ionosphere plasma
- Impact of COVID 19 on the demand for an inventory model under preservation technology and advance payment facility
- Approximate solution of linear integral equations by Taylor ordering method: Applied mathematical approach
- Exploring the new optical solitons to the time-fractional integrable generalized (2+1)-dimensional nonlinear Schrödinger system via three different methods
- Irreversibility analysis in time-dependent Darcy–Forchheimer flow of viscous fluid with diffusion-thermo and thermo-diffusion effects
- Double diffusion in a combined cavity occupied by a nanofluid and heterogeneous porous media
- NTIM solution of the fractional order parabolic partial differential equations
- Jointly Rayleigh lifetime products in the presence of competing risks model
- Abundant exact solutions of higher-order dispersion variable coefficient KdV equation
- Laser cutting tobacco slice experiment: Effects of cutting power and cutting speed
- Performance evaluation of common-aperture visible and long-wave infrared imaging system based on a comprehensive resolution
- Diesel engine small-sample transfer learning fault diagnosis algorithm based on STFT time–frequency image and hyperparameter autonomous optimization deep convolutional network improved by PSO–GWO–BPNN surrogate model
- Analyses of electrokinetic energy conversion for periodic electromagnetohydrodynamic (EMHD) nanofluid through the rectangular microchannel under the Hall effects
- Propagation properties of cosh-Airy beams in an inhomogeneous medium with Gaussian PT-symmetric potentials
- Dynamics investigation on a Kadomtsev–Petviashvili equation with variable coefficients
- Study on fine characterization and reconstruction modeling of porous media based on spatially-resolved nuclear magnetic resonance technology
- Optimal block replacement policy for two-dimensional products considering imperfect maintenance with improved Salp swarm algorithm
- A hybrid forecasting model based on the group method of data handling and wavelet decomposition for monthly rivers streamflow data sets
- Hybrid pencil beam model based on photon characteristic line algorithm for lung radiotherapy in small fields
- Surface waves on a coated incompressible elastic half-space
- Radiation dose measurement on bone scintigraphy and planning clinical management
- Lie symmetry analysis for generalized short pulse equation
- Spectroscopic characteristics and dissociation of nitrogen trifluoride under external electric fields: Theoretical study
- Cross electromagnetic nanofluid flow examination with infinite shear rate viscosity and melting heat through Skan-Falkner wedge
- Convection heat–mass transfer of generalized Maxwell fluid with radiation effect, exponential heating, and chemical reaction using fractional Caputo–Fabrizio derivatives
- Weak nonlinear analysis of nanofluid convection with g-jitter using the Ginzburg--Landau model
- Strip waveguides in Yb3+-doped silicate glass formed by combination of He+ ion implantation and precise ultrashort pulse laser ablation
- Best selected forecasting models for COVID-19 pandemic
- Research on attenuation motion test at oblique incidence based on double-N six-light-screen system
- Review Articles
- Progress in epitaxial growth of stanene
- Review and validation of photovoltaic solar simulation tools/software based on case study
- Brief Report
- The Debye–Scherrer technique – rapid detection for applications
- Rapid Communication
- Radial oscillations of an electron in a Coulomb attracting field
- Special Issue on Novel Numerical and Analytical Techniques for Fractional Nonlinear Schrodinger Type - Part II
- The exact solutions of the stochastic fractional-space Allen–Cahn equation
- Propagation of some new traveling wave patterns of the double dispersive equation
- A new modified technique to study the dynamics of fractional hyperbolic-telegraph equations
- An orthotropic thermo-viscoelastic infinite medium with a cylindrical cavity of temperature dependent properties via MGT thermoelasticity
- Modeling of hepatitis B epidemic model with fractional operator
- Special Issue on Transport phenomena and thermal analysis in micro/nano-scale structure surfaces - Part III
- Investigation of effective thermal conductivity of SiC foam ceramics with various pore densities
- Nonlocal magneto-thermoelastic infinite half-space due to a periodically varying heat flow under Caputo–Fabrizio fractional derivative heat equation
- The flow and heat transfer characteristics of DPF porous media with different structures based on LBM
- Homotopy analysis method with application to thin-film flow of couple stress fluid through a vertical cylinder
- Special Issue on Advanced Topics on the Modelling and Assessment of Complicated Physical Phenomena - Part II
- Asymptotic analysis of hepatitis B epidemic model using Caputo Fabrizio fractional operator
- Influence of chemical reaction on MHD Newtonian fluid flow on vertical plate in porous medium in conjunction with thermal radiation
- Structure of analytical ion-acoustic solitary wave solutions for the dynamical system of nonlinear wave propagation
- Evaluation of ESBL resistance dynamics in Escherichia coli isolates by mathematical modeling
- On theoretical analysis of nonlinear fractional order partial Benney equations under nonsingular kernel
- The solutions of nonlinear fractional partial differential equations by using a novel technique
- Modelling and graphing the Wi-Fi wave field using the shape function
- Generalized invexity and duality in multiobjective variational problems involving non-singular fractional derivative
- Impact of the convergent geometric profile on boundary layer separation in the supersonic over-expanded nozzle
- Variable stepsize construction of a two-step optimized hybrid block method with relative stability
- Thermal transport with nanoparticles of fractional Oldroyd-B fluid under the effects of magnetic field, radiations, and viscous dissipation: Entropy generation; via finite difference method
- Special Issue on Advanced Energy Materials - Part I
- Voltage regulation and power-saving method of asynchronous motor based on fuzzy control theory
- The structure design of mobile charging piles
- Analysis and modeling of pitaya slices in a heat pump drying system
- Design of pulse laser high-precision ranging algorithm under low signal-to-noise ratio
- Special Issue on Geological Modeling and Geospatial Data Analysis
- Determination of luminescent characteristics of organometallic complex in land and coal mining
- InSAR terrain mapping error sources based on satellite interferometry
Articles in the same Issue
- Regular Articles
- Test influence of screen thickness on double-N six-light-screen sky screen target
- Analysis on the speed properties of the shock wave in light curtain
- Abundant accurate analytical and semi-analytical solutions of the positive Gardner–Kadomtsev–Petviashvili equation
- Measured distribution of cloud chamber tracks from radioactive decay: A new empirical approach to investigating the quantum measurement problem
- Nuclear radiation detection based on the convolutional neural network under public surveillance scenarios
- Effect of process parameters on density and mechanical behaviour of a selective laser melted 17-4PH stainless steel alloy
- Performance evaluation of self-mixing interferometer with the ceramic type piezoelectric accelerometers
- Effect of geometry error on the non-Newtonian flow in the ceramic microchannel molded by SLA
- Numerical investigation of ozone decomposition by self-excited oscillation cavitation jet
- Modeling electrostatic potential in FDSOI MOSFETS: An approach based on homotopy perturbations
- Modeling analysis of microenvironment of 3D cell mechanics based on machine vision
- Numerical solution for two-dimensional partial differential equations using SM’s method
- Multiple velocity composition in the standard synchronization
- Electroosmotic flow for Eyring fluid with Navier slip boundary condition under high zeta potential in a parallel microchannel
- Soliton solutions of Calogero–Degasperis–Fokas dynamical equation via modified mathematical methods
- Performance evaluation of a high-performance offshore cementing wastes accelerating agent
- Sapphire irradiation by phosphorus as an approach to improve its optical properties
- A physical model for calculating cementing quality based on the XGboost algorithm
- Experimental investigation and numerical analysis of stress concentration distribution at the typical slots for stiffeners
- An analytical model for solute transport from blood to tissue
- Finite-size effects in one-dimensional Bose–Einstein condensation of photons
- Drying kinetics of Pleurotus eryngii slices during hot air drying
- Computer-aided measurement technology for Cu2ZnSnS4 thin-film solar cell characteristics
- QCD phase diagram in a finite volume in the PNJL model
- Study on abundant analytical solutions of the new coupled Konno–Oono equation in the magnetic field
- Experimental analysis of a laser beam propagating in angular turbulence
- Numerical investigation of heat transfer in the nanofluids under the impact of length and radius of carbon nanotubes
- Multiple rogue wave solutions of a generalized (3+1)-dimensional variable-coefficient Kadomtsev--Petviashvili equation
- Optical properties and thermal stability of the H+-implanted Dy3+/Tm3+-codoped GeS2–Ga2S3–PbI2 chalcohalide glass waveguide
- Nonlinear dynamics for different nonautonomous wave structure solutions
- Numerical analysis of bioconvection-MHD flow of Williamson nanofluid with gyrotactic microbes and thermal radiation: New iterative method
- Modeling extreme value data with an upside down bathtub-shaped failure rate model
- Abundant optical soliton structures to the Fokas system arising in monomode optical fibers
- Analysis of the partially ionized kerosene oil-based ternary nanofluid flow over a convectively heated rotating surface
- Multiple-scale analysis of the parametric-driven sine-Gordon equation with phase shifts
- Magnetofluid unsteady electroosmotic flow of Jeffrey fluid at high zeta potential in parallel microchannels
- Effect of plasma-activated water on microbial quality and physicochemical properties of fresh beef
- The finite element modeling of the impacting process of hard particles on pump components
- Analysis of respiratory mechanics models with different kernels
- Extended warranty decision model of failure dependence wind turbine system based on cost-effectiveness analysis
- Breather wave and double-periodic soliton solutions for a (2+1)-dimensional generalized Hirota–Satsuma–Ito equation
- First-principle calculation of electronic structure and optical properties of (P, Ga, P–Ga) doped graphene
- Numerical simulation of nanofluid flow between two parallel disks using 3-stage Lobatto III-A formula
- Optimization method for detection a flying bullet
- Angle error control model of laser profilometer contact measurement
- Numerical study on flue gas–liquid flow with side-entering mixing
- Travelling waves solutions of the KP equation in weakly dispersive media
- Characterization of damage morphology of structural SiO2 film induced by nanosecond pulsed laser
- A study of generalized hypergeometric Matrix functions via two-parameter Mittag–Leffler matrix function
- Study of the length and influencing factors of air plasma ignition time
- Analysis of parametric effects in the wave profile of the variant Boussinesq equation through two analytical approaches
- The nonlinear vibration and dispersive wave systems with extended homoclinic breather wave solutions
- Generalized notion of integral inequalities of variables
- The seasonal variation in the polarization (Ex/Ey) of the characteristic wave in ionosphere plasma
- Impact of COVID 19 on the demand for an inventory model under preservation technology and advance payment facility
- Approximate solution of linear integral equations by Taylor ordering method: Applied mathematical approach
- Exploring the new optical solitons to the time-fractional integrable generalized (2+1)-dimensional nonlinear Schrödinger system via three different methods
- Irreversibility analysis in time-dependent Darcy–Forchheimer flow of viscous fluid with diffusion-thermo and thermo-diffusion effects
- Double diffusion in a combined cavity occupied by a nanofluid and heterogeneous porous media
- NTIM solution of the fractional order parabolic partial differential equations
- Jointly Rayleigh lifetime products in the presence of competing risks model
- Abundant exact solutions of higher-order dispersion variable coefficient KdV equation
- Laser cutting tobacco slice experiment: Effects of cutting power and cutting speed
- Performance evaluation of common-aperture visible and long-wave infrared imaging system based on a comprehensive resolution
- Diesel engine small-sample transfer learning fault diagnosis algorithm based on STFT time–frequency image and hyperparameter autonomous optimization deep convolutional network improved by PSO–GWO–BPNN surrogate model
- Analyses of electrokinetic energy conversion for periodic electromagnetohydrodynamic (EMHD) nanofluid through the rectangular microchannel under the Hall effects
- Propagation properties of cosh-Airy beams in an inhomogeneous medium with Gaussian PT-symmetric potentials
- Dynamics investigation on a Kadomtsev–Petviashvili equation with variable coefficients
- Study on fine characterization and reconstruction modeling of porous media based on spatially-resolved nuclear magnetic resonance technology
- Optimal block replacement policy for two-dimensional products considering imperfect maintenance with improved Salp swarm algorithm
- A hybrid forecasting model based on the group method of data handling and wavelet decomposition for monthly rivers streamflow data sets
- Hybrid pencil beam model based on photon characteristic line algorithm for lung radiotherapy in small fields
- Surface waves on a coated incompressible elastic half-space
- Radiation dose measurement on bone scintigraphy and planning clinical management
- Lie symmetry analysis for generalized short pulse equation
- Spectroscopic characteristics and dissociation of nitrogen trifluoride under external electric fields: Theoretical study
- Cross electromagnetic nanofluid flow examination with infinite shear rate viscosity and melting heat through Skan-Falkner wedge
- Convection heat–mass transfer of generalized Maxwell fluid with radiation effect, exponential heating, and chemical reaction using fractional Caputo–Fabrizio derivatives
- Weak nonlinear analysis of nanofluid convection with g-jitter using the Ginzburg--Landau model
- Strip waveguides in Yb3+-doped silicate glass formed by combination of He+ ion implantation and precise ultrashort pulse laser ablation
- Best selected forecasting models for COVID-19 pandemic
- Research on attenuation motion test at oblique incidence based on double-N six-light-screen system
- Review Articles
- Progress in epitaxial growth of stanene
- Review and validation of photovoltaic solar simulation tools/software based on case study
- Brief Report
- The Debye–Scherrer technique – rapid detection for applications
- Rapid Communication
- Radial oscillations of an electron in a Coulomb attracting field
- Special Issue on Novel Numerical and Analytical Techniques for Fractional Nonlinear Schrodinger Type - Part II
- The exact solutions of the stochastic fractional-space Allen–Cahn equation
- Propagation of some new traveling wave patterns of the double dispersive equation
- A new modified technique to study the dynamics of fractional hyperbolic-telegraph equations
- An orthotropic thermo-viscoelastic infinite medium with a cylindrical cavity of temperature dependent properties via MGT thermoelasticity
- Modeling of hepatitis B epidemic model with fractional operator
- Special Issue on Transport phenomena and thermal analysis in micro/nano-scale structure surfaces - Part III
- Investigation of effective thermal conductivity of SiC foam ceramics with various pore densities
- Nonlocal magneto-thermoelastic infinite half-space due to a periodically varying heat flow under Caputo–Fabrizio fractional derivative heat equation
- The flow and heat transfer characteristics of DPF porous media with different structures based on LBM
- Homotopy analysis method with application to thin-film flow of couple stress fluid through a vertical cylinder
- Special Issue on Advanced Topics on the Modelling and Assessment of Complicated Physical Phenomena - Part II
- Asymptotic analysis of hepatitis B epidemic model using Caputo Fabrizio fractional operator
- Influence of chemical reaction on MHD Newtonian fluid flow on vertical plate in porous medium in conjunction with thermal radiation
- Structure of analytical ion-acoustic solitary wave solutions for the dynamical system of nonlinear wave propagation
- Evaluation of ESBL resistance dynamics in Escherichia coli isolates by mathematical modeling
- On theoretical analysis of nonlinear fractional order partial Benney equations under nonsingular kernel
- The solutions of nonlinear fractional partial differential equations by using a novel technique
- Modelling and graphing the Wi-Fi wave field using the shape function
- Generalized invexity and duality in multiobjective variational problems involving non-singular fractional derivative
- Impact of the convergent geometric profile on boundary layer separation in the supersonic over-expanded nozzle
- Variable stepsize construction of a two-step optimized hybrid block method with relative stability
- Thermal transport with nanoparticles of fractional Oldroyd-B fluid under the effects of magnetic field, radiations, and viscous dissipation: Entropy generation; via finite difference method
- Special Issue on Advanced Energy Materials - Part I
- Voltage regulation and power-saving method of asynchronous motor based on fuzzy control theory
- The structure design of mobile charging piles
- Analysis and modeling of pitaya slices in a heat pump drying system
- Design of pulse laser high-precision ranging algorithm under low signal-to-noise ratio
- Special Issue on Geological Modeling and Geospatial Data Analysis
- Determination of luminescent characteristics of organometallic complex in land and coal mining
- InSAR terrain mapping error sources based on satellite interferometry