Home Physical Sciences Numerical analysis of bioconvection-MHD flow of Williamson nanofluid with gyrotactic microbes and thermal radiation: New iterative method
Article Open Access

Numerical analysis of bioconvection-MHD flow of Williamson nanofluid with gyrotactic microbes and thermal radiation: New iterative method

  • Muhammad Jebran Khan , Samina Zuhra , Rashid Nawaz , Balaganesh Duraisamy , Mohammed S. Alqahtani , Kottakkaran Sooppy Nisar EMAIL logo , Wasim Jamshed and Mohamed Abbas
Published/Copyright: June 17, 2022

Abstract

The aim of this study is to investigate the numerical analysis of an innovative model containing, bioconvection phenomena with a gyrotactic motile microorganism of magnetohydrodynamics Williamson nanofluids flow along with heat and mass transfer past a stretched surface. The effect of thickness variation and thermal conductivity feature is employed in the model. Bioconvection in nanofluid helps in bioscience such as in blood flow, drug delivery, micro-enzyme, biosensors, nanomedicine, for content detection, etc. For simulation procedure, the mathematical partial differential equations are converted into dimensionless systems owing to dimensionless variations such as magnetic field, power index velocity, Williamson parameter, wall thickness parameter, thermal conductivity variation, Prandtl number, thermal radiation, Brownian motion, Lewis number, Peclet number, and different concentration parameter, etc. For numerical simulation, New Iterative Technique (NIM) numerical algorithm is adopted and employed for the linear regression planned for the proposed model. For comparison purposes, the homotopy technique is employed on the flow model. Close agreement is seen between both methods revealing the accuracy and consistency of NIM numerical technique. Many features of no-scale constraints are evaluated through graphical data for a key profile of the flow model. Results show that microorganism concentration is heavy due to the magnetic effect and Hall current.

Abbreviations

A

stagnation quantity

A

coefficient of heat source/sink for space-dependency

B

magnetic field

B

coefficient of heat source/sink for temperature-dependency

B 0

constant magnetic field

Cp

specific heat

D T

thermophoretic diffusion-coefficient

f

dimensionless stream function

K

heat velocity slip factor

k

thermal conductivity [W(m k)−1]

k *

Rosseland mean absorption coefficient 1 m

Le = α D B

Lewis number

M = 2 σ B 0 2 U 0 ρ ( 1 + m )

elucidated magnetic field

m

flat sheet flow

N

velocity slip

N c ˆ = ρ ρ c ˆ ρ ρ c ˆ ( C ˆ w C ˆ )

nanofluid heat capacity

Nb = B T ˆ T ˆ D T ˆ ( C ˆ w C ˆ ) ( T ˆ w T ˆ )

Brownian diffusivity/thermophoretic diffusivity

Nt

thermophoresis parameter

Pe = b w c D m

Peclet numbers

Pr = v α

Prandtl number

Q

non-Fourier heat flux

q r

radiative heat flux

q′″

variable heat source/sink

Rd = 4 σ T ˆ 3 k k

radiation parameter

Sh x ˆ = X q w k ( T ˆ w T ˆ )

physical quantities

S c = v D B

Schmidt number

T

fluid temperature

T w

fluid temperature

T

ambient temperature

u w = aX

velocity

V

fluidic velocity

V w

mass transfer at wall

α = A U 0 ( 1 + m ) 2 v

wall thickness parameter

ε

elucidated magnetic field

ρ

fluid density

u ˜ , v ˜

velocity components

u ˜ = a 0 X

velocity of free stream

λ = T ˆ U 0 3 ( x ˆ + b ) 3 m 1 ( m + 1 ) v

Williamson fluid parameter and thermal conductivity parameter

Ω = N N w N

difference in microorganism concentration

1 Introduction

In recent years, researchers have focused on the importance of promoting thermal suspension (size less than 100 nm) of pure liquids such as oil, water (H2O), glycol, and other nanofluids and small particles. These nanoparticles, such as silver, alumina (Al2O3), copper oxide, etc., conduct and regulate heat transfer in freshwater, so these liquids play a vital role in the type of heat carrier in heat exchangers. Choi [1] proposed enhancing the thermal conductivity of fluids with nanoparticles in developments and applications of non-Newtonian flows.

These fluids play important roles in industrial and engineering applications like microelectronics, biomedical equipment, automotive cooling, and energy production. Hay et al. [2] discussed the structures of nanofluids in different forms and conditions decline in the production of entropy in nanofluids passing through a thin end under the influence of thermal radiation and the development of entropy is studied under the thermodynamic second law. Salleh et al. [3] investigated the the stabilization of the depth axis of the movement of a hydromagnetic fluid on the then narrow and Buongiorno mode is used for Brownian study and thermophoretic interference power in this system. Waini et al. [4] discussed uniform heat emission of mixed nanofluids on a flat tip. In this position, the sample measurements were converted into a draught form using sets of other variables and then adjusted the resulting numbers using Mathematica Programming. Gul et al. [5] discussed the flow of nanofluids on fine needles for convective nanotubes of fractional order. In the last few years, the debate on the thinning of needles has been very successful. According to Lee [6] and Narain and Uberoi [7], the strength as well as the absence of temperature as the nanofluids pass through a thin vertical needle of cold water is measured. In this expanded work, the authors consider the solution to the problems of metal flow locally and systematically. Chen and Smith [8] discussed heat transfer to a fine needle. In this article, the temperature properties, and the number and volume of the effect of Prandtl to accelerate the uniform flow of water are studied. Van [9] studied the combined flow of a hot needle plate placed on the handles. Finally, various studies have been conducted on water flowing through a good needle using different flow methods [10,11,12,13,14,15]. Ramesh et al. [16] discussed the therapeutic study of the hybrid nanofluid flow in a thin needle using the Darcy-Forchheimer characteristic of the upper package and the outer heat source.

The researcher of this article changed the modeling equation to that of the measurement model and thus changed the response rate to this set of measurement equations. Hamid et al. [17] discussed the properties of thermal electrophoresis of a continuously running nanofluid.

The behavior of driving in a nanofluid is explained in two types. One way is recommended by Buongiorno [18], and the other way is recommended by Das and Tiwari [19]. The Buongiorno model consists of more than one inhomogeneous substance in which the flow of pure fluid and nanoparticles is separated from zero. This mode showed more than six different ways to slide the flow of nano drinks. Magnetic fields, Magnus force, Brownian conduction, inertia, drainage, diffusion phosphorylation, and thermophoretic effects are examples of these processes. It has also been mentioned in the work of Buongiorno [18] that of the seven fine methods, only thermophoresis and Brown’s diffusion are important for liquids containing nanoparticles. Considering the value of the Buongiorno model, several researchers have successfully applied this model using different geometry and different flow conditions. Over the years, Nield and Kuznetsov [20,21] increased Buongiorno’s work. Both authors used the terms “thermophoretic” and “Brownian” and went to great lengths with electrical equations to study the effects of Brownian movement and thermophoresis on these equations by proposing several new scenarios that are on the verge of trouble. Finally, some researchers used the morning image model for flow to apply different types of flow patterns and states. Khan et al. [22,23] discussed the Buongiorno’s design for the flow of nanoparticles in a series of logs using different water methods. The authors of these studies addressed the hypotheses arising from the results by using appropriate equations and shapeless and partial analysis (homotopy analytical method, HAM) methods. The reader can continue to study the Buongiorno water cycle using a variety of geometry and different flow states in refs. [24,25,26,27,28].

Bioconvection is another fascinating area that has many physical and real-world forms. The movement of an object due to its density gradient on a small, microscopic step is defined as a dynamic change. This density gradient instability is caused by the swimming of microorganisms. This phenomenon usually occurs at the height of the fluid due to the condensation of the fluid in the affected area. Many physicians and procedures require these physical phenomena, such as biofuels, enzymes, micro-systems, biological cells, bacteria, and biotechnology, among others. Biological infection processes fall into different types, such as gyroscopic microorganisms and chemotaxis. and microbes found on land.

This classification depends on the dynamics of many microorganisms. Kuznetsov [29,30] studied biological convection using a large number of nanoparticles. Marikarjuna et al. [31] discussed in a vertical kiln, continuous biomarkers of nanoliquids and contracted microorganisms, transforming experimental problems into non-invasive models using a dimensionless variation, and the difference between numerical methods and finite numbers. Uddin et al. [32] discussed a mathematical structure for examining the effects of secondary velocity slides on horizontal filter plates. Chebyshev’s method was used in this study to get an approximate answer to the problem. The reader can search more for convection oil with different types of water and stream provisions [33,34,35,36,37].

The magnetic field plays an important role in the field of hydrodynamics. The magnetic fields are very important. The term magnetohydrodynamics (MHD) was coined by the Swedish physician Noble Laurat Hannes Alfven. The thermal action and the large amount of MHD over a long period find useful applications in the fields of fiberglass manufacturing, polymer technology, and metallurgy. MHD nano contributes greatly to fluid flow and heat transfer. Akbar et al. [38] studied and investigated MHD nanofluidic flow caused by surface tension, compression, and slip effect. Several other studies have addressed the flow of MHD nanowires and recommended effective solutions [39,40,41,42,43,44]. Nadeem and Hussein [45] observed Williamson’s liquid on a rapidly rising surface and examined the heat transfer. Waheed [46] discussed mixed sensory heat transfer in rectangular containers guided by continuous horizontal plates. Acharya et al. [47] proposed unsteady bioconvective squeezing flow with higher‐order chemical reaction and second‐order slip effects. Acharya [48] studied spectral quasi linearization simulation on the radiative nanofluid spraying over a permeable inclined spinning disk considering the existence of a heat source/sink. Acharya et al. [49] studied spectral quasi linearization simulation of radiative nanofluidic transport over a bent surface considering the effects of multiple convective conditions. Shah et al. [50] investigated numerical modeling on hybrid nanofluid (Fe3O4 + MWCNT/H2O) migration considering MHD effect over a porous cylinder. Shah et al. [51] discussed the simulation of entropy optimization and thermal behavior of nanofluid through the porous media. Shah et al. [52] studied the impact of nanoparticle shape and radiation on the behavior of nanofluids under the Lorentz forces. Bilal et al. [53] investigated unsteady hybrid-nanofluid flow comprising ferrous oxide and CNTs through a porous horizontal channel with dilating/squeezing walls. Marzougui et al. [54] discussed entropy generation on the magneto-convective flow of copper–water nanofluid in a cavity with chamfers.

In 2006, a new method was developed called the new iterative method (NIM) for linear and nonlinear functional equations by Daftardar-Gejji and Jafari [55]. The fixed method operates linear and non-linear classifications in a straightforward polynomial way in nonlinear terms such as ADM. The need for the Lagrange function increases with its algorithm, such as VIM, and the need for route choice of route numbers. The judiciary is free from a small intellectual parliament, in contrast to the judicial tribunal. Since NIM is an iterative method, it needs the first condition to become its main value. Subsequently, the method was developed by many analysts for different problems, including algebraic equations, change equations, common and varied equations, and a system of non-linear measurement equations. Daftardar-Gejji and Bhalekar [56] discussed that lines tested with non-linear separation equilibrium equations terminate domains with the Dirichlet boundary conditions using a new repeating method. String and non-linear separation-wave equations were analyzed using the iterative method developed by Daftardar-Gejji and Bhalekar [57]. Bhalekar and Daftardar-Gejji [58] evaluated a separate component of effective use using a new iterative method. Bhalekar and Daftardar-Gejji [59] used the hypothetical method of control, which is complete in the context of the conversion of that method of decay. The new iterative approach was used to address the nth-command lines and non-linear integral-differentiation equations by Hemeda [60]. The Newell–Whitehead–Segel equation was investigated using NIM by Yaseen and Samraiz [61]. Patade and Bhalekar [62] showed an iterative method for correcting unequal equations that include only the first design function. A family of repeated regression models in which the system of linear equations was presented by Noor and Noor [63]. Noor et al. [64] promoted and evaluated alternative design relationships that create different classes of iterative behaviors for the informal investigation of problems using a combined simulation system. Shah and Noor [65] discussed the higher order iteration method for non-linear equations with decomposition technique.

2 Problem formulation

Considered a two dimensional, incompressible, hydromagnetic flow of Williamson nanofluid present across a horizontal stretching surface. A slit point is assumed in the center from which the surface is drawn in a fluid medium. The flow is assumed under the effect of thermal radiative flux and bioconvection with gyrotactic microorganisms. The Cartesian coordinate x-axis is in the stretchable sheet direction with the velocity u ˆ w = u ˆ 0 ( x ˆ + b ) m whereas y-axis lies in the normal direction of the stretchable sheet surface. Assume that the thickness of the surface is variable according to y ˆ = A ( x ˆ + b ) 1 m 2 , where A ≥ 0 indicates the constant of the surface and m is the velocity power index. Assume T w and C w are the wall temperature and concentration which are higher than the ambient temperature T and concentration C far away. The nanofluid is considered to not influence the way of swimming of microorganisms and their velocity. Magnetic field is exerted in y-axis direction of strength B with a low Reynolds number. Figure 1 shows the flow model configuration.

Figure 1 
               Geometry of microorganism nanofluids model.
Figure 1

Geometry of microorganism nanofluids model.

The mathematical expressions for mass, momentum, energy, nanofluid, and microorganism concentration are as follows:

(1) u ˆ x ˆ + u ˆ y ˆ = 0 ,

(2) u ˆ u ˆ x ˆ + v u ˆ y ˆ = v 2 u ˆ y ˆ 2 σ B 2 ρ u ˆ + 2 1 / 2 v Γ u ˆ y ˆ 2 u ˆ y ˆ 2 ,

(3) u ˆ T ˆ x ˆ + v T ˆ y ˆ = 1 ρ c ˆ ρ y ˆ k T ˆ y ˆ 1 ρ c ˆ p q r y ˆ + ρ c ˆ p p c ˆ f D B C ˆ y ˆ T ˆ y ˆ + D T ˆ T ˆ T ˆ y ˆ 2 ,

(4) u ˆ C ˆ x + v C ˆ y ˆ = D T ˆ T ˆ 2 T ˆ y ˆ 2 + D B 2 C ˆ y ˆ 2 ,

(5) u ˆ N ˆ x ˆ + v ˆ N ˆ y ˆ + b W c C ˆ w C ˆ N ˆ y ˆ C ˆ y ˆ + N ˆ 2 C ˆ y ˆ 2 = D m 2 N ˆ y ˆ 2 .

The corresponding boundary conditions are:

(6) u ˆ = u ˆ w ( x ˆ ) = U ˆ 0 ( x ˆ + b ) m , v ˆ = 0 , T ˆ = T ˆ w , C ˆ = C ˆ w , N ˆ = N ˆ w , for y ˆ = ( x ˆ + b ) 1 m 2 and u ˆ = 0 , T ˆ = T ˆ , C ˆ = C ˆ , N ˆ = N ˆ for y ˆ = .

Roseland approximation for radiation is defined by

(7) q r = 4 σ 3 k T ˆ 4 y ˆ ,

where extending the Taylor series at temperature T ˆ with ignoring higher order of T ˆ as,

(8) T ˆ 4 = 4 T ˆ 4 T ˆ 3 T ˆ 4 .

By utilizing Eqs. (7) and (8), we set:

(9) q r y ˆ = 16 σ T ˆ 3 3 k 2 T ˆ y ˆ 2 .

2.1 Transformation to ordinary differential equations (ODEs) system

To solve the mathematical expression of mass, momentum, energy, nanofluid concentration, and motile microorganism concentration Eqs. (16), suitable similarity transformations have been adopted that convert these partial differential equation (PDE) systems into simple ODEs which satisfy the mass equation.

Transformation variables are as follow:

(10) η = U ˆ 0 ( m 1 ) 2 v y ˆ ( x ˆ + b ) m 1 2 A , ψ = 2 v U ˆ 0 m + 1 ( x ˆ + b ) m + 1 2 f ( η ) , θ ( η ) = T ˆ T ˆ T ˆ w T ˆ , ϕ ( η ) = C ˆ C ˆ C ˆ w C ˆ , χ ( η ) = N ˆ N ˆ N ˆ w N ˆ .

Here Eq. (1) is true identically, while Eqs. (25) have the forms:

(11) f + λ f f + f f 2 m m + 1 ( f ) 2 M f = 0 ,

(12) ( 1 + 0.75 R d ) ( 1 + ε θ + θ + ε ( θ ) 2 ) + Pr f θ + Nc Le ϕ θ + Nc Le N b ( θ ) 2 = 0 ,

(13) ϕ + Le Pr f ϕ + 1 N b θ = 0 ,

(14) χ + 2 m + 1 m 1 S c f χ Pe ( χ ϕ + χ ϕ + Ω ϕ ) = 0 .

The corresponding boundary conditions

(15) f ( 0 ) = 1 , f ( 0 ) = α 1 m 1 + m , θ ( 0 ) = 1 , ϕ ( 0 ) = 1 , χ ( 0 ) = 1 , at η = 0 , and f ( ) = 0 , θ ( ) = 0 , ϕ ( ) = 0 , χ ( ) = 0 . at η = .

3 Numerical solution of ODE systems

A suitable numerical method is too much necessary for the computational of fluidic problems. Here we use a new iterative technique to solve the ODE systems in Eqs. (1115).

3.1 Basic principles of the NIM

The new iterative method (NIM) is enlightened in this sub-section (see, [55]). Let us consider the following differential equation

W ˆ ( η ) = L ( W ˆ ( η ) ) + g ˆ ( η ) + N ˆ ( W ˆ ( η ) ) .

According to our model

(16) f ˆ ( η ) = L ( f ˆ ( η ) + g ˆ + N ˆ ( f ˆ ( η ) ) , θ ˆ ( n ) = L ( θ ˆ f ˆ ( η ) + g ˆ ( η ) + N ˆ ( θ ˆ ( η ) ) , φ ˆ ( η ) + L ( φ ˆ f ˆ ( η ) + g ˆ ( η ) + N ˆ ( φ ˆ ( η ) ) , χ ˆ ( η ) = L ( χ ˆ ( η ) ) + g ˆ ( η ) + N ˆ ( χ ˆ ( η ) ) .

For a linear factor is indicated by L, g ˆ ( η ) is a known function and W ˆ ( η ) is an unknown function. Suppose that the solution of the new iterative method of Eq. (16) is of the form

(17) W ˆ ( η ) = i = 0 W ˆ i .

For the function of the proposed model, Eq. (17) can be formed as,

f ˆ ( η ) = i = o f ˆ i , θ ˆ ( η ) = i = o θ ˆ i , φ ˆ ( η ) = i = o φ ˆ i , χ ˆ ( η ) = i = o χ ˆ i .

As L ˆ is a linear operator, therefore

(18) L ˆ i = 0 W ˆ i = i = 0 f ˆ i + i = 0 θ i + i = 0 φ i + i = 0 x ˆ i .

The non-linear operator is given by ref. [47].

(19) N ˆ i = 0 W ˆ i = N ˆ ( W ˆ 0 ) + i = 1 N ˆ j = 0 i W ˆ j N ˆ j = 0 i 1 W ˆ j = i = 0 E i ,

Here

N ˆ i = 0 f ˆ i = N ˆ ( f ˆ 0 ) + i = 1 N ˆ j = 0 i f ˆ j N ˆ j = 0 i 1 f ˆ j = i = 0 E 1 i , N ˆ i = 0 θ ˆ i = N ˆ ( θ ˆ 0 ) + i = 1 N ˆ j = 0 i θ ˆ j N ˆ j = 0 i 1 θ ˆ j = i = 0 E 2 i , N ˆ i = 0 φ ˆ i = N ˆ ( φ ˆ 0 ) + i = 1 N ˆ j = 0 i φ ˆ j N ˆ j = 0 i 1 φ ˆ j = i = 0 E 3 i , N ˆ i = 0 χ ˆ i = N ˆ ( χ ˆ 0 ) + i = 1 N ˆ j = 0 i χ ˆ j N ˆ j = 0 i 1 χ ˆ j = i = 0 E 4 i ,

where E 0 = N ˆ ( W ˆ 0 ) and

(20) E i = N ˆ j = 0 i W ˆ j N ˆ j = 0 i 1 W ˆ j ,

Here

E 1 i = N ˆ j = 0 i f ˆ j N ˆ j = 0 i 1 f ˆ j , E 2 i = N ˆ j = 0 i θ ˆ j N ˆ j = 0 i 1 θ ˆ j , E 3 i = N ˆ j = 0 i φ ˆ j N ˆ j = 0 i 1 φ ˆ j , E 4 i = N ˆ j = 0 i χ ˆ j N ˆ j = 0 i 1 χ ˆ j .

Substituting Eqs. (1820) in Eq. (16) we obtain

(21) i = 0 W ˆ i = g ˆ ( η ) + j = 0 i L ˆ ( W ˆ j ) + i = 0 E i .

The final form of the model is as follows,

i = 0 f ˆ i = g ˆ ( η ) + j = 0 i L ˆ ( f ˆ j ) + i = 0 E 1 i , i = 0 θ ˆ i = g ˆ ( η ) + j = 0 i L ˆ ( θ ˆ j ) + i = 0 E 2 i , i = 0 φ ˆ i = g ˆ ( η ) + j = 0 i L ˆ ( φ ˆ j ) + i = 0 E 3 i , i = 0 χ ˆ i = g ˆ ( η ) + j = 0 i L ˆ ( χ ˆ j ) + i = 0 E 4 i .

3.2 Comparison of NIM with HAM

Computational outcomes of Eqs. (1115) is achieved via a new iterative technique and HAM. Excellent agreement between numerical and analytical solutions reveals the significance mode of NIM. Both methods’ comparison and their residual errors are expressed in Tables 14 and Figures 25. A falling tendency in average squared residual error is detected for higher-order deformations. Average residual errors for all computational outcomes ranging from 10−3 to 10−6 show that NIM is reliable and asymptotically convergent for fluidic problems.

Table 1

Numerical technique vs analytical solution for velocity profile

η NIM HAM Absolute error
0.0 1.00000 1.00000 1.25608 × 10–6
0.5 0.616065 0.616119 0.0000534592
1.0 0.376676 0.376915 0.000239218
1.5 0.229501 0.229725 0.000223707
2.0 0.139570 0.139729 0.000159905
2.5 0.0847875 0.0848917 0.000104138
3.0 0.0514753 0.0515406 0.0000653048
3.5 0.0312394 0.0312797 0.0000402754
4.0 0.0189543 0.0189789 0.0000246443
4.5 0.0114988 0.0115138 0.0000150203
5.0 0.00697525 0.00698438 9.13554 × 10–6
Table 2

Numerical technique vs analytical solution for temperature profile

η NIM HAM Absolute error
0.0 1.00628 1.00 0.00628196
0.5 0.52617 0.606531 0.0803606
1.0 0.300561 0.367879 0.0673187
1.5 0.178216 0.22313 0.0449137
2.0 0.107204 0.135335 0.0281313
2.5 0.0648315 0.082085 0.0172535
3.0 0.0392825 0.0497871 0.0105046
3.5 0.0238181 0.0301974 0.00637925
4.0 0.014445 0.0183156 0.0038706
4.5 0.00876119 0.011109 0.00234781
5.0 0.00531394 0.00673795 0.00142401
Table 3

Numerical technique vs analytical solution for nanofluid concentration profile

η NIM HAM Absolute error
0.0 1.00268 1.00002 0.002656
0.5 0.599198 0.606542 0.00734398
1.0 0.360821 0.367885 0.00706385
1.5 0.218048 0.223133 0.00508493
2.0 0.131995 0.135337 0.00334216
2.5 0.0799723 0.0820861 0.00211377
3.0 0.0484756 0.0497877 0.00131208
3.5 0.0293913 0.0301978 0.000806442
4.0 0.0178229 0.0183159 0.000492947
4.5 0.0108088 0.0111091 0.00030037
5.0 0.00655534 0.00673803 0.000182688
Table 4

Numerical technique vs analytical solution for nanofluid concentration profile

η NIM HAM Absolute error
0.0 1.00884 0.999987 0.00885519
0.5 0.611377 0.606524 0.00485344
1.0 0.370617 0.367876 0.00274073
1.5 0.224751 0.223129 0.00162255
2.0 0.136317 0.135335 0.000982388
2.5 0.0826835 0.0820848 0.000598777
3.0 0.0501521 0.049787 0.000365143
3.5 0.0304197 0.0301973 0.000222405
4.0 0.0184509 0.0183156 0.000135288
4.5 0.0111912 0.011109 0.0000822121
5.0 0.00678786 0.00673794 0.0000499239
Figure 2 
                  Absolute errors for the velocity, temperature, and concentration profile.
Figure 2

Absolute errors for the velocity, temperature, and concentration profile.

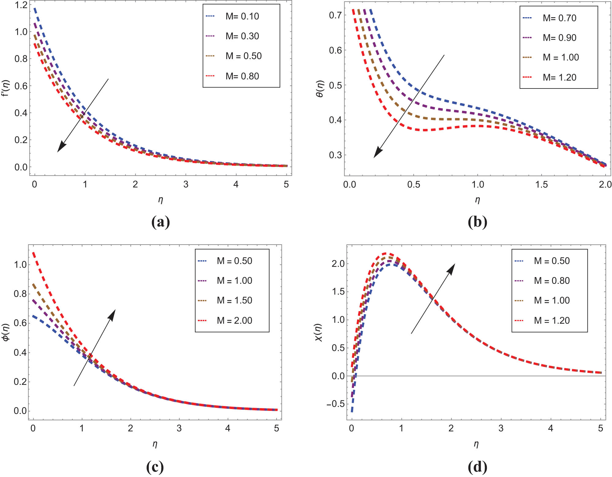
Figure 3 
                  Consequences of magnetic parameter on: (a) velocity profile, (b) temperature gradient, (c) nanofluid concentration, and (d) motile microorganism concentration.
Figure 3

Consequences of magnetic parameter on: (a) velocity profile, (b) temperature gradient, (c) nanofluid concentration, and (d) motile microorganism concentration.

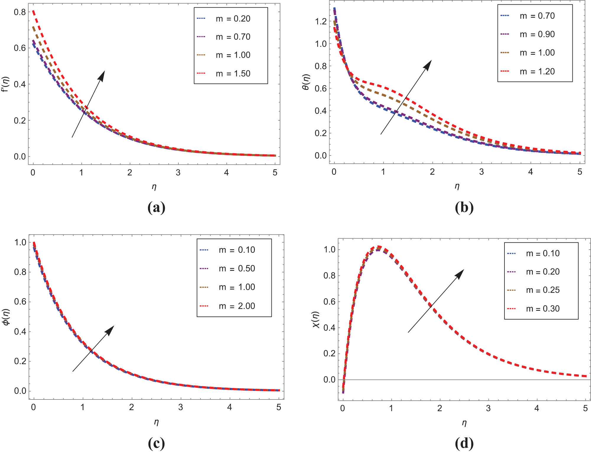
Figure 4 
                  Consequences of velocity power index on: (a) velocity profile, (b) temperature gradient, (c) nanofluid concentration, and (d) motile microorganism concentration.
Figure 4

Consequences of velocity power index on: (a) velocity profile, (b) temperature gradient, (c) nanofluid concentration, and (d) motile microorganism concentration.

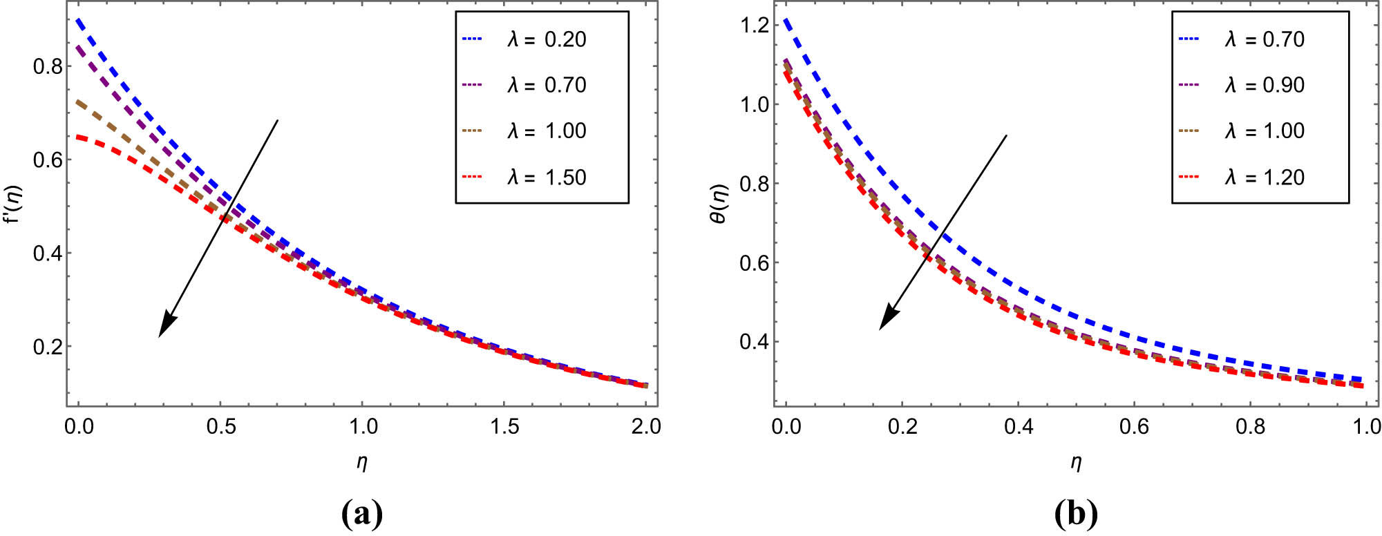
Figure 5 
                  Consequences of Williamson parameter on: (a) velocity profile and (b) temperature gradient.
Figure 5

Consequences of Williamson parameter on: (a) velocity profile and (b) temperature gradient.

4 Results and discussion (interpretation of variations)

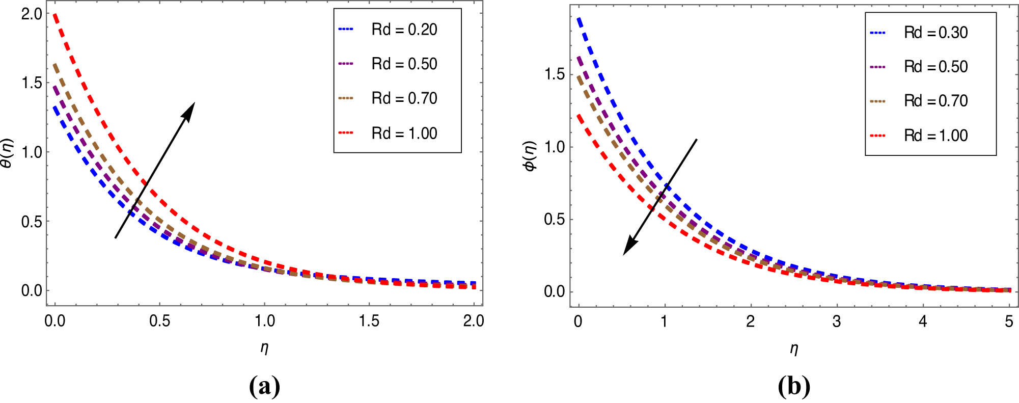
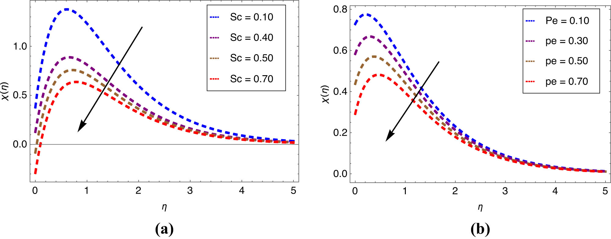
Demonstrates characteristics of variations such as magnetic field M, power index velocity m, Williamson parameter λ, wall thickness parameter α, thermal conductivity variation ε, Prandtl number Pr, thermal radiation Rd, Brownian motion Nb, Peclet number Pe, and different concentration parameter Ω against velocity profile f′(η), temperature distribution θ(η), solutal nanoparticles distribution ϕ(η), and concentration of motile microorganism distribution χ(η) of Eqs. (1114) with boundary conditions, Eq. (15) is analyzed in Figures 38. Properties of magnetic field effects M on the velocity, temperature, solutal, and microorganism concentration fields are described in Figure 3. Lorentz force is the force that a magnetic field exerts on a moving electric charge. The fluid viscosity increases due to the Lorentz force characteristic in the magnetic field, thereby reducing the velocity profile and temperature gradient as well, as shown in Figure 3(a and b), whereas Figure 3(c and d) dispatch the strong concentration behavior of nanofluid and microorganisms when the viscosity created by magnetic force increases. As the name shows, velocity power index m speeds up the momentum boundary layer thickness and thermal boundary layer thickness when the values of m vary. This causes the stability in diluted distribution of nanofluid and swimming microorganisms (Figure 4). A non-Newtonian fluid does not obey Newton’s law of viscosity, which states that viscosity should remain constant regardless of stress. In non-Newtonian fluids, viscosity can alter when subjected to force, becoming either more liquid or more solid. When shaken, ketchup, for example, gets runnier, making it a non-Newtonian fluid. Williamson parameter possesses the viscoelastic shear thinning characteristic of non-Newtonian fluid. The higher the non-Newtonian Williamson parameter, the greater the thickness of the boundary layer. In Figure 5, the flow rate and temperature distribution upsurge for a greater value of Williamson quantity. Thermal radiation refers to electromagnetic radiation that generates energy, which is emitted by a heated surface in all dimensions. Enhancing the thermal radiation parameter enhances the energy field but the higher electromagnetic radiation decreased the diluted concentration of Williamson nanofluid (Figure 6). Prandtl quantity is essential for the fluidic problem as it sets the fluid viscosity in correlation with thermal conductivity. Figure 7 displays the opposite impact of Prandtl number against the temperature field, concentration, and swimming microorganism profile. It controls the momentum thickness and thermal boundary layer; hence, the greater the Pr, the lesser the thermal boundary layer thickness. Figure 8(a) shows the Schmidt quantity (in a chemical process, it describes the hydrodynamic impact of the flowing fluid’s inertia and friction forces) against the microorganism concentration profile. It is the ratio of kinematic viscosity to microorganism molecular diffusivity. Elevation in kinematic viscosity (a value that represents a fluid’s dynamic viscosity per unit density) restricts the movement of motile microbes. To slow down this movement, Schmidt parameter is increased. Figure 8(b) shows the decreasing behavior of the density of microorganisms against the Peclet number, which is the study of transportation in the swimming continuum of microorganisms defined as maximum motile microbes’ swimming speed vs microbes’ diffusion rate (the quantity of diffusing molecules inside cell changes throughout time). Microbe’s diffusion is the movement of motile from a highly concentrated area to a lower concentration in the light of gyrotactic.

Figure 6 
               Consequences of thermal radiation parameter on: (a) velocity profile and (b) temperature gradient.
Figure 6

Consequences of thermal radiation parameter on: (a) velocity profile and (b) temperature gradient.

Figure 7 
               Consequences of Prandtl number on: (a) temperature gradient, (b) nanofluid concentration, and (c) motile microorganism concentration.
Figure 7

Consequences of Prandtl number on: (a) temperature gradient, (b) nanofluid concentration, and (c) motile microorganism concentration.

Figure 8 
               Consequences of (a) Schmidt number, (b) Peclet number on motile microorganism concentration profile.
Figure 8

Consequences of (a) Schmidt number, (b) Peclet number on motile microorganism concentration profile.

5 Conclusion

This study makes various aspects of heat transfer and radiation effects on hydromagnetic boundary layer Williamson nanofluid flow via a new iterative technique. With few iterations, the correlation with the HAM is ranging from 10−6 to 10−3, which proves that the proposed technique is reliable, accurate, and rapid convergent for fluidic problems.

Additionally, the effects of the variations are highlighted as:

  • Flow rate upsurges for Hall current parameter and wall thickness quantity whereas it slows down for the increase in the range of the magnetic parameter and Williamson quantity.

  • Temperature distribution rises for Hall current parameter, wall thickness quantity, thermal conductivity parameter, and thermal radiation quantity but it has opposite fluctuation against the Prandtl number, magnetic force, Williamson quantity, and Lewis number.

  • Nanofluidic concentration has direct correlation with magnetic quantity, Hall current quantity, Williamson parameter, and thermal conductivity whereas the behavior of Lewis number and thermal radiation is seen to oppose this profile.

  • The Bioconvection microorganism concentration field goes fast in the presence of the magnetic field, Hall current parameter, and wall thickness quantity but it becomes slow for the higher value of Prandtl number, Schmidt number and Peclet number.

Acknowledgments

The authors extend their appreciation to the Deanship of Scientific Research at King Khalid University (KKU) for funding this research project Number (R.G.P1./92/40).

  1. Funding information: Deanship of Scientific Research at King Khalid University (KKU) (R.G.P1./92/40).

  2. Author contributions: All authors have accepted responsibility for the entire content of this manuscript and approved its submission.

  3. Conflict of interest: The authors state no conflict of interest.

References

[1] Choi SUS. Enhancing thermal conductivity of fluids with nanoparticles. In: Siginer DA, Wang HP, editors. Developments and applications of non-newtonian flows, FED. Vol. 231/MD-Vol. 66. New York: ASME; 1995. p. 99–105.Search in Google Scholar

[2] Khan MWA, Khan MI, Hayat T, Alsaedi A. Entropy generation minimization (EGM) of nanofluid flow by a thin moving needle with nonlinear thermal radiation. Phys B. 2018;534:113–9.10.1016/j.physb.2018.01.023Search in Google Scholar

[3] Salleh SNA, Bachok N, Arifin NM, Ali FM, Pop I. Magnetohydrodynamics flow past a moving vertical thin needle in a nanofluid with stability analysis. Energies. 2018;11(12):3297.10.3390/en11123297Search in Google Scholar

[4] Waini I, Ishak A, Pop I. Hybrid nanofluid flow and heat transfer past a vertical thin needle with prescribed surface heat flux. Int J Numer Methods Heat Fluid Flow. 2019;29(12):4875–94.10.1108/HFF-04-2019-0277Search in Google Scholar

[5] Gul T, Khan M, Noman W, Khan I, Abdullah Alkanhal T, Tlili I. Fractional order forced convection carbon nanotube nanofluid flow passing over a thin needle. Symmetry. 2019;11(3):312.10.3390/sym11030312Search in Google Scholar

[6] Lee LL. Boundary layer over a thin needle. Phys Fluids. 1967;10(4):820–2.10.1063/1.1762194Search in Google Scholar

[7] Narain JP, Uberoi MS. Combined forced and free-convection heat transfer from vertical thin needles in a uniform stream. Phys Fluids. 1972;15(11):1879–82.10.1063/1.1693798Search in Google Scholar

[8] Chen JLS, Smith TN. Forced convection heat transfer from nonisothermal thin needles. J Heat Transf. 1978;100(2):358–62. 10.1115/1.3450809.Search in Google Scholar

[9] Wang CY. Mixed convection on a vertical needle with heated tip. Phys Fluids A. 1990;2(4):622–5.10.1063/1.857709Search in Google Scholar

[10] Souayeh B, Reddy MG, Sreenivasulu P, Poornima T, Rahimi-Gorji M, Alarifi IM. Comparative analysis on non-linear radiative heat transfer on MHD Casson nanofluid past a thin needle. J Mol Liq. 2019;284:163–74.10.1016/j.molliq.2019.03.151Search in Google Scholar

[11] Ahmad S, Arifin NM, Nazar R, Pop I. Mixed convection boundary layer flow along vertical thin needles: Assisting and opposing flows. Int Commun Heat Mass Transf. 2008;35(2):157–62.10.1016/j.icheatmasstransfer.2007.07.005Search in Google Scholar

[12] Mabood F, Nayak MK, Chamkha AJ. Heat transfer on the cross flow of micropolar fluids over a thin needle moving in a parallel stream influenced by binary chemical reaction and Arrhenius activation energy. Eur Phys J Plus. 2019;134(9):427.10.1140/epjp/i2019-12716-9Search in Google Scholar

[13] Khan I, Khan WA, Qasim M, Afridi I, Alharbi SO. Thermodynamic analysis of entropy generation minimization in thermally dissipating flow over a thin needle moving in a parallel free stream of two Newtonian fluids. Entropy. 2019;21(1):74.10.3390/e21010074Search in Google Scholar PubMed PubMed Central

[14] Hamid A. Terrific effects of Ohmic-viscous dissipation on Casson nanofluid flow over a vertical thin needle: buoyancy assisting & opposing flow. J Mark Res. 2020;9(5):11220–30.10.1016/j.jmrt.2020.07.070Search in Google Scholar

[15] Tlili I, Nabwey HA, Reddy MG, Sandeep N, Pasupula M. Effect of resistive heating on incessantly poignant thin needle in magnetohydrodynamic Sakiadis hybrid nanofluid. Ain Shams Eng J. 2021;12(1):1025–32. 10.1016/j.asej.2020.09.009.Search in Google Scholar

[16] Ramesh GK, Shehzad SA, Izadi M. Thermal transport of hybrid liquid over thin needle with heat sink/source and Darcy– Forchheimer porous medium aspects. Arab J Sci Eng. 2020;45:9569–78.10.1007/s13369-020-04853-4Search in Google Scholar

[17] Hamid A, Khan M. Thermo-physical characteristics during the flow and heat transfer analysis of GO-nanoparticles adjacent to a continuously moving thin needle. Chin J Phys. 2020;64:227–40.10.1016/j.cjph.2019.12.003Search in Google Scholar

[18] Buongiorno J. Convective transport in nanofluids. J Heat Transf. 2006;128:240–50.10.1115/1.2150834Search in Google Scholar

[19] Tiwari RK, Das MK. Heat transfer augmentation in a two-sided lid-driven differentially heated square cavity utilizing nanofluids. Int J Heat Mass Transf. 2007;50(9–10):2002–18.10.1016/j.ijheatmasstransfer.2006.09.034Search in Google Scholar

[20] Nield DA, Kuznetsov AV. The Cheng-Minkowycz problem for natural convective boundary-layer flow in a porous medium saturated by a nanofluid. Int J Heat Mass Transf. 2009;52(25–26):5792–5.10.1016/j.ijheatmasstransfer.2009.07.024Search in Google Scholar

[21] Kuznetsov AV, Nield DA. The Cheng-Minkowycz problem for natural convective boundary layer flow in a porous medium saturated by a nanofluid: A revised model. Int J Heat Mass Transf. 2013;65:682–5.10.1016/j.ijheatmasstransfer.2013.06.054Search in Google Scholar

[22] Khan A, Shah Z, Alzahrani E, Islam S. Entropy generation and thermal analysis for rotary motion of hydromagnetic Casson nanofluid past a rotating cylinder with Joule heating effect. Int Commun Heat Mass Transf. 2020;119:104979.10.1016/j.icheatmasstransfer.2020.104979Search in Google Scholar

[23] Islam S, Khan A, Kumam P, Alrabaiah H, Shah Z, Khan W, et al. Radiative mixed convection flow of maxwell nanofluid over a stretching cylinder with Joule heating and heat source/sink effects. Sci Rep. 2020;10:17823.10.1038/s41598-020-74393-2Search in Google Scholar PubMed PubMed Central

[24] Tlili I, Khan WA, Ramadan K. MHD flow of nanofluid flow across horizontal circular cylinder: steady forced convection. J Nanofluids. 2019;8(1):179–86.10.1166/jon.2019.1574Search in Google Scholar

[25] Khan WA, Aziz A, Uddin N. Buongiorno model for nanofluid Blasius flow with surface heat and mass fluxes. J Thermophys Heat Transf. 2013;27(1):134–41.10.2514/1.T3916Search in Google Scholar

[26] Wakif A, Boulahia Z, Ali F, Eid MR, Sehaqui R. Numerical analysis of the unsteady natural convection MHD Couette nanofluid flow in the presence of thermal radiation using single and two-phase nanofluid models for Cu–water nanofluids. Int J Appl Comput Math. 2018;4(3):81.10.1007/s40819-018-0513-ySearch in Google Scholar

[27] Rahman MM, Rosca AV, Pop I. Boundary layer flow of a nanofluid past a permeable exponentially shrinking surface with convective boundary condition using Buongiorno’s model. Int J Numer Methods Heat Fluid Flow. 2015;25:299–319.10.1108/HFF-12-2013-0361Search in Google Scholar

[28] Eid MR, Mahny KL. Unsteady MHD heat and mass transfer of a non-Newtonian nanofluid flow of a two-phase model over a permeable stretching wall with heat generation/absorption. Adv Powder Technol. 2017;28(11):3063–73.10.1016/j.apt.2017.09.021Search in Google Scholar

[29] Kuznetsov AV. The onset of nanofluid bioconvection in a suspension containing both nanoparticles and gyrotactic microorganisms. Int Commun Heat Mass Transf. 2010;37:1421–5.10.1016/j.icheatmasstransfer.2010.08.015Search in Google Scholar

[30] Kuznetsov AV. Nanofluid bioconvection in water-based suspensions containing nanoparticles and oxytactic microorganisms: Oscillatory instability. Nanoscale Res Lett. 2011;6:100.10.1186/1556-276X-6-100Search in Google Scholar PubMed PubMed Central

[31] Mallikarjuna B, Rashad AM, Chamkha AJ, Abdou M. Mixed bioconvection flow of a nanofluid containing gyrotactic microorganisms past a vertical slender cylinder. Front Heat Mass Transf. 2018;10:21.10.5098/hmt.10.21Search in Google Scholar

[32] Uddin MJ, Alginahi Y, Beg OA, Kabir MN. Numerical solutions for gyrotactic bioconvection in nanofluid-saturated porous media with Stefan blowing and multiple slip effects. Comput Math Appl. 2016;72:2562–81.10.1016/j.camwa.2016.09.018Search in Google Scholar

[33] Amirsom NA, Uddin MJ, Ismail AIM. MHD boundary layer bionanoconvective non-Newtonian flow past a needle with Stefan blowing. Heat Transf Asian Res. 2018;48:727–43.10.1002/htj.21403Search in Google Scholar

[34] Khan WA, Rashad AM, Abdou M, Tlili I. Natural bioconvection flow of a nanofluid containing gyrotactic microorganisms about a truncated cone. Eur J Mech B Fluids. 2019;75:133–42.10.1016/j.euromechflu.2019.01.002Search in Google Scholar

[35] Waqas H, Hussain M, Alqarni MS, Eid MR, Muhammad T. Numerical simulation for magnetic dipole in bioconvection flow of Jeffrey nanofluid with swimming motile microorganisms. Waves Random Complex Media. 2021;1–18. 10.1080/17455030.2021.1948634.Search in Google Scholar

[36] Alwatban AM, Khan SU, Waqas H, Tlili I. Interaction of Wu’s slip features in bioconvection of Eyring Powell nanoparticles with activation energy. Processes. 2019;7(11):859.10.3390/pr7110859Search in Google Scholar

[37] Kumar A, Sugunamma V, Sandeep N, Jv RR. Impact of Brownian motion and thermophoresis on bioconvective flow of nanoliquids past a variable thickness surface with slip effects. Multidiscip Model Mater Struct. 2019;15(1):103–32.10.1108/MMMS-02-2018-0023Search in Google Scholar

[38] Akbar T, Batool S, Nawaz R, Zia QMZ. Magnetohydrodynamics flow of nanofluid due to stretching/shrinking surface with slip effect. Adv Mech Eng. 2017;9(12):1–11.10.1177/1687814017740266Search in Google Scholar

[39] Brown NM, Lai FC. Correlations for combined heat and mass transfer from an open cavity in a horizontal channel. Int Commun Heat Mass Transf. 2005;32(8):1000–8.10.1016/j.icheatmasstransfer.2004.10.029Search in Google Scholar

[40] Eastman JA, Choi SUS, Li S, Yu W, Thompson LJ. Anomalously increased effective thermal conductivities of ethylene glycol-based nanofluids containing copper nanoparticles. Appl Phys Lett. 2001;78(6):718–20.10.1063/1.1341218Search in Google Scholar

[41] Khudheyer AF. MHD mixed convection in double lid-driven differentially heated trapezoidal cavity. Int J Appl Innov Eng Manag. 2015;4(2):100–7.Search in Google Scholar

[42] Roy G, Nguyen CT, Lajoie PR. Numerical investigation of laminar flow and heat transfer in a radial flow cooling system with the use of nanofluids. Superlattices Microstruct. 2004;35(3–6):497–511.10.1016/j.spmi.2003.09.011Search in Google Scholar

[43] Kefayati GR, Gorji-Bandpy M, Sajjadi H, Ganji DD. Lattice Boltzmann simulation of MHD mixed convection in a lid-driven square cavity with linearly heated wall. Sci Iran. 2012;19(4):1053–65.10.1016/j.scient.2012.06.015Search in Google Scholar

[44] Jamshed W, Eid MR, Hussain SM, Abderrahmane A, Safdar R, Younis O, et al. Physical specifications of MHD mixed convective of Ostwald-de Waele nanofluids in a vented-cavity with inner elliptic cylinder. Int Commun Heat Mass Transf. 2022;134:106038.10.1016/j.icheatmasstransfer.2022.106038Search in Google Scholar

[45] Nadeem S, Hussain ST. Heat transfer analysis of Williamson fluid over exponentially stretching surface. Appl Math Mech (Engl Ed). 2014;35(4):489–502.10.1007/s10483-014-1807-6Search in Google Scholar

[46] Waheed MA. Mixed convective heat transfer in rectangular enclosures driven by a continuously moving horizontal plate. Int J Heat Mass Transf. 2009;52(21–22):5055–63.10.1016/j.ijheatmasstransfer.2009.05.011Search in Google Scholar

[47] Acharya N, Bag R, Kundu PK. Unsteady Bioconvective Squeezing Flow with Higher‐order Chemical Reaction and Second‐order Slip Effects. Heat Transf. Sept. 2021;50(6):5538–62. 10.1002/htj.22137 Search in Google Scholar

[48] Acharya N. Spectral quasi linearization simulation on the radiative nanofluid spraying over a permeable inclined spinning disk considering the existence of heat source/sink. Appl Math Comput. 2021:411:126547, 10.1016/j.amc.2021.126547.Search in Google Scholar

[49] Acharya N. Spectral quasi linearization simulation of radiative nanofluidic transport over a bended surface considering the effects of multiple convective conditions. Eur J Mech – B/Fluids. Nov. 2020;84:139–54. 10.1016/j.euromechflu.2020.06.004.Search in Google Scholar

[50] Shah Z, Saeed A, Khan I, Selim M, Ikramullah, Kumam P. Numerical modeling on hybrid nanofluid (Fe3O4 + MWCNT/H2O) migration considering MHD effect over a porous cylinder. PLoS One. July 2021;16(7):e0251744. 10.1371/journal.pone.0251744.Search in Google Scholar PubMed PubMed Central

[51] Shah Z, Sheikholeslami M, Ikramullah, Kumam P. Simulation of entropy optimization and thermal behavior of nanofluid through the porous media. Int Commun Heat Mass Transf. Jan. 2021;120:105039. 10.1016/j.icheatmasstransfer.2020.105039.Search in Google Scholar

[52] Shah Z, Ikramullah, Kumam P, Selim MM, Alshehri A. Impact of nanoparticles shape and radiation on the behavior of nanofluid under the Lorentz forces. Case Stud Therm Eng. Aug. 2021;26:101161. 10.1016/j.csite.2021.101161.Search in Google Scholar

[53] Bilal M, Arshad H, Ramzan M, Shah Z, Kumam P. Unsteady hybrid-nanofluid flow comprising ferrous oxide and CNTs through porous horizontal channel with dilating/squeezing walls. Sci Rep. June 2021;11(1):12637. 10.1038/s41598-021-91188-1.Search in Google Scholar PubMed PubMed Central

[54] Marzougui S, Mebarek-Oudina F, Assia A, Magherbi M, Shah Z, Ramesh K. Entropy generation on magneto-convective flow of copper–water nanofluid in a cavity with chamfers. J Therm Anal Calorim. Feb. 2021;143(3):2203–14. 10.1007/s10973-020-09662-3.Search in Google Scholar

[55] Daftardar-Gejji V, Jafari H. An iterative method for solving nonlinear functional equations. J Math Anal Appl. 2006;316(2):753–63.10.1016/j.jmaa.2005.05.009Search in Google Scholar

[56] Daftardar-Gejji V, Bhalekar S. Solving fractional boundary value problems with Dirichlet boundary conditions using a new iterative method. Comput Math Appl. 2010;59(5):1801–9.10.1016/j.camwa.2009.08.018Search in Google Scholar

[57] Daftardar-Gejji V, Bhalekar S. Solving fractional diffusion-wave equations using a new iterative method. Fract Calc Appl Anal. 2008;11(2):193–202.10.1016/j.amc.2008.01.027Search in Google Scholar

[58] Bhalekar S, Daftardar-Gejji V. Solving fractional-order logistic equation using a new iterative method. Int J Differ Equ. 2012;2012:1–12. 10.1155/2012/975829.Search in Google Scholar

[59] Bhalekar S, Daftardar-Gejji V. Convergence of the new iterative method. Int J Differ Equ. 2011;2011:1–10. 10.1155/2011/989065.Search in Google Scholar

[60] Hemeda AA. New iterative method: application to nth-order integro-differential equations. Int Math Forum. 2012;7(47):2317–32.Search in Google Scholar

[61] Yaseen M, Samraiz M. A modified new iterative method for solving linear and nonlinear Klein-Gordon Equations. Appl Math Sci. 2012;6:2979–87.Search in Google Scholar

[62] Patade J, Bhalekar S. Approximate analytical solutions of Newell-Whitehead-Segel equation using a new iterative method. World J Model Simul. 2015;11(2):94–103.Search in Google Scholar

[63] Noor KI, Noor MA. Iterative methods with fourth-order convergence for nonlinear equations. Appl Math Comput. 2007;189(1):221–7.10.1016/j.amc.2006.11.080Search in Google Scholar

[64] Noor MA, Waseem M, Noor KI. New iterative technique for solving a system of nonlinear equations. Appl Math Comput. 2015;271:446–66.10.1016/j.amc.2015.08.125Search in Google Scholar

[65] Shah FA, Noor MA. Higher order iterative schemes for nonlinear equations using decomposition technique. Appl MathComput. 2015;266:414–23.10.1016/j.amc.2015.05.054Search in Google Scholar

Received: 2022-02-11
Revised: 2022-03-30
Accepted: 2022-04-11
Published Online: 2022-06-17

© 2022 Muhammad Jebran Khan et al., published by De Gruyter

This work is licensed under the Creative Commons Attribution 4.0 International License.

Articles in the same Issue

  1. Regular Articles
  2. Test influence of screen thickness on double-N six-light-screen sky screen target
  3. Analysis on the speed properties of the shock wave in light curtain
  4. Abundant accurate analytical and semi-analytical solutions of the positive Gardner–Kadomtsev–Petviashvili equation
  5. Measured distribution of cloud chamber tracks from radioactive decay: A new empirical approach to investigating the quantum measurement problem
  6. Nuclear radiation detection based on the convolutional neural network under public surveillance scenarios
  7. Effect of process parameters on density and mechanical behaviour of a selective laser melted 17-4PH stainless steel alloy
  8. Performance evaluation of self-mixing interferometer with the ceramic type piezoelectric accelerometers
  9. Effect of geometry error on the non-Newtonian flow in the ceramic microchannel molded by SLA
  10. Numerical investigation of ozone decomposition by self-excited oscillation cavitation jet
  11. Modeling electrostatic potential in FDSOI MOSFETS: An approach based on homotopy perturbations
  12. Modeling analysis of microenvironment of 3D cell mechanics based on machine vision
  13. Numerical solution for two-dimensional partial differential equations using SM’s method
  14. Multiple velocity composition in the standard synchronization
  15. Electroosmotic flow for Eyring fluid with Navier slip boundary condition under high zeta potential in a parallel microchannel
  16. Soliton solutions of Calogero–Degasperis–Fokas dynamical equation via modified mathematical methods
  17. Performance evaluation of a high-performance offshore cementing wastes accelerating agent
  18. Sapphire irradiation by phosphorus as an approach to improve its optical properties
  19. A physical model for calculating cementing quality based on the XGboost algorithm
  20. Experimental investigation and numerical analysis of stress concentration distribution at the typical slots for stiffeners
  21. An analytical model for solute transport from blood to tissue
  22. Finite-size effects in one-dimensional Bose–Einstein condensation of photons
  23. Drying kinetics of Pleurotus eryngii slices during hot air drying
  24. Computer-aided measurement technology for Cu2ZnSnS4 thin-film solar cell characteristics
  25. QCD phase diagram in a finite volume in the PNJL model
  26. Study on abundant analytical solutions of the new coupled Konno–Oono equation in the magnetic field
  27. Experimental analysis of a laser beam propagating in angular turbulence
  28. Numerical investigation of heat transfer in the nanofluids under the impact of length and radius of carbon nanotubes
  29. Multiple rogue wave solutions of a generalized (3+1)-dimensional variable-coefficient Kadomtsev--Petviashvili equation
  30. Optical properties and thermal stability of the H+-implanted Dy3+/Tm3+-codoped GeS2–Ga2S3–PbI2 chalcohalide glass waveguide
  31. Nonlinear dynamics for different nonautonomous wave structure solutions
  32. Numerical analysis of bioconvection-MHD flow of Williamson nanofluid with gyrotactic microbes and thermal radiation: New iterative method
  33. Modeling extreme value data with an upside down bathtub-shaped failure rate model
  34. Abundant optical soliton structures to the Fokas system arising in monomode optical fibers
  35. Analysis of the partially ionized kerosene oil-based ternary nanofluid flow over a convectively heated rotating surface
  36. Multiple-scale analysis of the parametric-driven sine-Gordon equation with phase shifts
  37. Magnetofluid unsteady electroosmotic flow of Jeffrey fluid at high zeta potential in parallel microchannels
  38. Effect of plasma-activated water on microbial quality and physicochemical properties of fresh beef
  39. The finite element modeling of the impacting process of hard particles on pump components
  40. Analysis of respiratory mechanics models with different kernels
  41. Extended warranty decision model of failure dependence wind turbine system based on cost-effectiveness analysis
  42. Breather wave and double-periodic soliton solutions for a (2+1)-dimensional generalized Hirota–Satsuma–Ito equation
  43. First-principle calculation of electronic structure and optical properties of (P, Ga, P–Ga) doped graphene
  44. Numerical simulation of nanofluid flow between two parallel disks using 3-stage Lobatto III-A formula
  45. Optimization method for detection a flying bullet
  46. Angle error control model of laser profilometer contact measurement
  47. Numerical study on flue gas–liquid flow with side-entering mixing
  48. Travelling waves solutions of the KP equation in weakly dispersive media
  49. Characterization of damage morphology of structural SiO2 film induced by nanosecond pulsed laser
  50. A study of generalized hypergeometric Matrix functions via two-parameter Mittag–Leffler matrix function
  51. Study of the length and influencing factors of air plasma ignition time
  52. Analysis of parametric effects in the wave profile of the variant Boussinesq equation through two analytical approaches
  53. The nonlinear vibration and dispersive wave systems with extended homoclinic breather wave solutions
  54. Generalized notion of integral inequalities of variables
  55. The seasonal variation in the polarization (Ex/Ey) of the characteristic wave in ionosphere plasma
  56. Impact of COVID 19 on the demand for an inventory model under preservation technology and advance payment facility
  57. Approximate solution of linear integral equations by Taylor ordering method: Applied mathematical approach
  58. Exploring the new optical solitons to the time-fractional integrable generalized (2+1)-dimensional nonlinear Schrödinger system via three different methods
  59. Irreversibility analysis in time-dependent Darcy–Forchheimer flow of viscous fluid with diffusion-thermo and thermo-diffusion effects
  60. Double diffusion in a combined cavity occupied by a nanofluid and heterogeneous porous media
  61. NTIM solution of the fractional order parabolic partial differential equations
  62. Jointly Rayleigh lifetime products in the presence of competing risks model
  63. Abundant exact solutions of higher-order dispersion variable coefficient KdV equation
  64. Laser cutting tobacco slice experiment: Effects of cutting power and cutting speed
  65. Performance evaluation of common-aperture visible and long-wave infrared imaging system based on a comprehensive resolution
  66. Diesel engine small-sample transfer learning fault diagnosis algorithm based on STFT time–frequency image and hyperparameter autonomous optimization deep convolutional network improved by PSO–GWO–BPNN surrogate model
  67. Analyses of electrokinetic energy conversion for periodic electromagnetohydrodynamic (EMHD) nanofluid through the rectangular microchannel under the Hall effects
  68. Propagation properties of cosh-Airy beams in an inhomogeneous medium with Gaussian PT-symmetric potentials
  69. Dynamics investigation on a Kadomtsev–Petviashvili equation with variable coefficients
  70. Study on fine characterization and reconstruction modeling of porous media based on spatially-resolved nuclear magnetic resonance technology
  71. Optimal block replacement policy for two-dimensional products considering imperfect maintenance with improved Salp swarm algorithm
  72. A hybrid forecasting model based on the group method of data handling and wavelet decomposition for monthly rivers streamflow data sets
  73. Hybrid pencil beam model based on photon characteristic line algorithm for lung radiotherapy in small fields
  74. Surface waves on a coated incompressible elastic half-space
  75. Radiation dose measurement on bone scintigraphy and planning clinical management
  76. Lie symmetry analysis for generalized short pulse equation
  77. Spectroscopic characteristics and dissociation of nitrogen trifluoride under external electric fields: Theoretical study
  78. Cross electromagnetic nanofluid flow examination with infinite shear rate viscosity and melting heat through Skan-Falkner wedge
  79. Convection heat–mass transfer of generalized Maxwell fluid with radiation effect, exponential heating, and chemical reaction using fractional Caputo–Fabrizio derivatives
  80. Weak nonlinear analysis of nanofluid convection with g-jitter using the Ginzburg--Landau model
  81. Strip waveguides in Yb3+-doped silicate glass formed by combination of He+ ion implantation and precise ultrashort pulse laser ablation
  82. Best selected forecasting models for COVID-19 pandemic
  83. Research on attenuation motion test at oblique incidence based on double-N six-light-screen system
  84. Review Articles
  85. Progress in epitaxial growth of stanene
  86. Review and validation of photovoltaic solar simulation tools/software based on case study
  87. Brief Report
  88. The Debye–Scherrer technique – rapid detection for applications
  89. Rapid Communication
  90. Radial oscillations of an electron in a Coulomb attracting field
  91. Special Issue on Novel Numerical and Analytical Techniques for Fractional Nonlinear Schrodinger Type - Part II
  92. The exact solutions of the stochastic fractional-space Allen–Cahn equation
  93. Propagation of some new traveling wave patterns of the double dispersive equation
  94. A new modified technique to study the dynamics of fractional hyperbolic-telegraph equations
  95. An orthotropic thermo-viscoelastic infinite medium with a cylindrical cavity of temperature dependent properties via MGT thermoelasticity
  96. Modeling of hepatitis B epidemic model with fractional operator
  97. Special Issue on Transport phenomena and thermal analysis in micro/nano-scale structure surfaces - Part III
  98. Investigation of effective thermal conductivity of SiC foam ceramics with various pore densities
  99. Nonlocal magneto-thermoelastic infinite half-space due to a periodically varying heat flow under Caputo–Fabrizio fractional derivative heat equation
  100. The flow and heat transfer characteristics of DPF porous media with different structures based on LBM
  101. Homotopy analysis method with application to thin-film flow of couple stress fluid through a vertical cylinder
  102. Special Issue on Advanced Topics on the Modelling and Assessment of Complicated Physical Phenomena - Part II
  103. Asymptotic analysis of hepatitis B epidemic model using Caputo Fabrizio fractional operator
  104. Influence of chemical reaction on MHD Newtonian fluid flow on vertical plate in porous medium in conjunction with thermal radiation
  105. Structure of analytical ion-acoustic solitary wave solutions for the dynamical system of nonlinear wave propagation
  106. Evaluation of ESBL resistance dynamics in Escherichia coli isolates by mathematical modeling
  107. On theoretical analysis of nonlinear fractional order partial Benney equations under nonsingular kernel
  108. The solutions of nonlinear fractional partial differential equations by using a novel technique
  109. Modelling and graphing the Wi-Fi wave field using the shape function
  110. Generalized invexity and duality in multiobjective variational problems involving non-singular fractional derivative
  111. Impact of the convergent geometric profile on boundary layer separation in the supersonic over-expanded nozzle
  112. Variable stepsize construction of a two-step optimized hybrid block method with relative stability
  113. Thermal transport with nanoparticles of fractional Oldroyd-B fluid under the effects of magnetic field, radiations, and viscous dissipation: Entropy generation; via finite difference method
  114. Special Issue on Advanced Energy Materials - Part I
  115. Voltage regulation and power-saving method of asynchronous motor based on fuzzy control theory
  116. The structure design of mobile charging piles
  117. Analysis and modeling of pitaya slices in a heat pump drying system
  118. Design of pulse laser high-precision ranging algorithm under low signal-to-noise ratio
  119. Special Issue on Geological Modeling and Geospatial Data Analysis
  120. Determination of luminescent characteristics of organometallic complex in land and coal mining
  121. InSAR terrain mapping error sources based on satellite interferometry
Downloaded on 13.12.2025 from https://www.degruyterbrill.com/document/doi/10.1515/phys-2022-0036/html
Scroll to top button