Home Physical Sciences Nonlocal magneto-thermoelastic infinite half-space due to a periodically varying heat flow under Caputo–Fabrizio fractional derivative heat equation
Article Open Access

Nonlocal magneto-thermoelastic infinite half-space due to a periodically varying heat flow under Caputo–Fabrizio fractional derivative heat equation

  • Ahmed E. Abouelregal , Hijaz Ahmad , Maha A. Aldahlan and Xiao-Zhong Zhang EMAIL logo
Published/Copyright: May 4, 2022

Abstract

This article deals with a new modified heat conduction model with fractional order that includes the Caputo–Fabrizio differential operator (CF) and the thermal relaxation time. This new approach to the CF fractional derivative has attracted many researchers because it includes a nonsingular kernel. The nonlocal theory proposed by Eringen has also been applied to demonstrate the effect of scale-dependent thermoelastic materials. The problem of thermal isotropic semi-infinite space is addressed as an application of the presented model. The medium is exposed to regularly changing heat sources and is initially placed in a continuous external magnetic field. The system of governing equations was expressed in the field of the Laplace transform, and the problem in this field was solved by the state-space operation. The inverse of the transformed expressions of physical quantities is found numerically using Zakian’s algorithm. The effects of the nonlocal parameter, the fractal order parameter, and the magnetic field were graphically presented and analyzed in detail. Some of the previous investigations were extracted in some special cases.

1 Introduction

Nowadays, mathematical models derived from the fractional order have been given great importance because they are more accurate and more practical than traditional order models [1]. Motivated by the development of fractional calculus, many researchers have focused on searching for solutions to nonlinear differential equations by creating arithmetic or analytical techniques in order to find approximate solutions [2]. Over recent decades, fractional calculus has been used to model many physical problems. The main reason and motivation for using fractional derivatives is that many different systems represent memory and history, in addition to the fact that nonlocal effects are often difficult to model using integer derivatives. Given that the concept of the fractional derivative is very interesting to explain some of the phenomena represented in different differential equations, this concept has been generalized in many ways to the fractional derivatives. Also, in many areas of research, the use of fractional-order derivatives has appeared in many applications, such as bioengineering, economics, geophysics, and biology [3].

Calculus of nonintegral orders is a fractional calculus that has developed very rapidly in recent decades due to its applications in many different scientific fields [4,5]. To better explain the dynamics of various certain real-world phenomena, researchers aim to find the best definitions of the fractional operators. The reader can refer to [6] for an excellent evaluation of the major achievements of fractional calculus up to 1974, while information for an analysis of progress since then to the present can be found in refs. [7,8].

Both the Liouville and Caputo definitions were inspired by real-world considerations and the implementation of fractional arithmetic models, which are now naturalistic and known as the Riemann-Liouville or Caputo definitions. Each author created new fractional derivatives, which have never been used earlier, as they can be used to successfully model many real problems. The existence of some nonlocal systems with real-world applications to explain inhomogeneities and fluctuations that cannot be modeled by traditional local arithmetic or fractional calculus using singular kernels has motivated many researchers to define fractional models that are described by nonsingular kernels. However, until now, there has been some complaint about the overly complex mathematical expression of the concept of MF equations and the multiples that follow.

In this context, Caputo and Fabrizio [9,10] proposed a new concept for defining fractional derivatives, assuming that the temporal and spatial components are considered separate representations. The first description works on time variables, where the actual powers in solutions of standard fractional derivatives are converted to integer powers with some simplification of formulas and calculations. In this case, the Laplace transform is suitable for the application. The second clarification is related to spatial variables, and therefore, it is more appropriate to deal with the Fourier transform for a nonlocal fractional derivative.

In the past 2 years, many studies have been presented on the results of the new fractional Caputo–Fabrizio derivative, for example, as the related fractional integral and solutions of many straight fractional differential equations [11]. In refs. [12,13,14], the extreme theory of finite value issues is discussed as it plays an important role in solving many fractional propagation equations. Also, in many areas of mathematical modeling, the Caputo–Fabrizio fractional derivative has been used to model many real problems, for example, in the modeling of spring mass damper motion [15,16], the nonlinear Fisher diffusion equation [17], the elasticity model [18], the fluid transmission line model, and the Korteweg-de Vries-Burgers functional differential equation [15,19]. In addition to the Caputo–Fabrizio fractional derivative, some researchers have provided other definitions of fractional derivatives with nonsingular kernels [20,21,22,23,24,25,26,27,28,29].

The size dependence of mechanical behavior in micro- and nanomaterials is controversial because of the applicability of the traditional continuum theory. Previous research discovered that the independent classical continuity theory cannot capture the small effect, and thus, the mechanical behavior of micro- and nanostructures cannot be correctly predicted. Hence, nonclassical continuum theories have been generalized to include the effects of nanomaterials and nanomaterials. Examples of these theories presented are strain gradient theory, classical couple stress model, nonlocal elasticity theory, and modified couple stress model [30].

The theory of nonlocal elasticity has been applied to study nanomechanical uses such as elastic wave scattering, composite wave propagation, dislocation dynamics, mechanical fractures, and surface potential fluids. Studies have shown that it is more accurate than the classical theory in describing nanostructures. In 1972, in an attempt to deal with small-scale structural problems, Eringen introduced the theory of nonlocal continuity mechanics [31,32,33]. Nonlocal continuity theories consider the stress at some points to be a function of the stress at any point in the structure, while classical continuity mechanics states that the stress at some points depends only on the stress at that point. In this nonlocal theory, the equilibrium laws include nonlocal field residuals, and these residuals are related to the constitutive equations in which the constraint requirements are balanced by thermodynamics and stabilization. Also, component equations and nonpositional residuals work with deformation gradients and motions of all body points. On the basis of the nonlocal theory of thermoelasticity, Inan and Eringen [34] studied the propagation of thermoelastic waves in the plates. Wang and Dhaliwal [35] also introduce the energy and work equation in nonlocal generalized thermoelasticity and prove that the initial value and boundary problems have a unique solution.

Abouelregal et al. [36] introduced a nonlocal Bernoulli–Euler model and analyzed the thermoelastic interactions in nanoscale beams based on couple stress and generalized thermoelasticity theories. Nonlocal nanoscale beams have been discussed by Abouelregal et al. [37] according to the theories of Euler and Bernoulli and modified couple stress. It is also assumed that the thermal conductivity of the nanobeam depends on the change in temperature. Abouelregal et al. [38] introduced a new differential equation system that describes the theory of nonlocal thermoelasticity with higher derivatives and two-phase lag. To achieve this model, he used Eringen’s nonlocal continuum theory and Taylor’s expansive methodology for higher-order time derivatives. Koutsoumaris et al. [39] expressed the nonlocal continuum theory, either in integral or differential form, which is widely used to explain size effect phenomena in micro- and nanostructures. Liew et al. [40] introduced a literature review of recent research studies on the applications of a nonlocal elasticity theory in the modeling and simulation of graphene sheets. Rajneesh et al. [41] investigated the transient analysis of a nonlocal thermoelastic micro-stretch thick circular plate with phase lags. Solutions for various problems support nonlocal theory [42,43,44,45,46,47].

As far as we know, there is hardly any effort to analyze the nonlocal arrangement and fracture, which is extremely important in material handling applications, particularly in the context of preheated materials because the material adjacent to the surface approaches its melting temperature. In these cases, the theoretical model of nonlocal effect and fractional order is taken into account in the newly amended Fourier law and is necessary to analyze the thermoelastic responses of micro/nanoscale structures. This article presents a thermoelastic investigation of a rotating finite rod that, under Eringen’s nonlocal theory, is subject to a moving heat source. The study method demonstrates temporary nonlocal thermal stresses in a rotating rod with a constant angular speed. The changes in temperature, displacement, and distribution of stresses are studied along the axial direction. In all of the fields studied, the effects of the moveable heat source velocity, fractional-order parameter, nonlocal parameters, and magnetic field are considered.

Through studies and experiments, it was found that the classical Fourier model of thermal conductivity is no longer accurate for describing heat diffusion. With its application, only the infinite speed of heat diffusion can be expected. Hence, a variety of generalizations of Fourier’s law of thermal conductivity have been proposed to remove inconsistencies and flaws in the classical theory. In this context, as a broad-based theory in the field of thermoelasticity, Lord and Shulman [48] proposed a new model regarding thermal conductivity to replace the classical Fourier’s law, and the generalized theory of thermal elasticity was presented at the same time. The heat equation in this theory is a type of wave and thus ensures limited rates of heat and elastic wave propagation. The previous theory was not the only proposal in this context, but many generalized theories of thermoelasticity have been proposed. Many studies were also presented based on these generalized theories to show their effectiveness in solving problems and conflicts of the classical theory [49,50,51,52,53].

This article aims to briefly summarize and clarify the possible future work on nanostructured materials based on the Eringen theory of nonlocal elasticity and with a focus on bending, vibration, and wave propagation within solid materials. A new model of the generalized thermal conductivity equation that includes a fractional derivative without a singular kernel is presented. This proposed model has been applied to explain the combined effect of nonlocal and magnetic field parameters on thermal and mechanical elastic waves in a semi-infinite medium. The medium was subjected to heating by a cyclic heat source and immersed in an external magnetic field of constant intensity. After formulating the system of paired governing equations, it is solved by applying the Laplace transform method. Also, to obtain the numerical results for the temperature, displacement, or nonlocal stress in the medium, a numerical Laplace inversion was performed using the Zakian algorithm [54,55]. Finally, the effect of the fractional derivatives with an exponential core on the studied fields, in addition to the strength of the heat source and magnetic fields, was studied.

2 Modified nonlocal fractional thermoelasticity with exponential kernels

In the light of the Cattaneo–Vernotte model, Lord and Shulman have made a remarkable change [48] to remove the deficiency of classical theory. Cattaneo–Vernotte gave a wider version of Fourier law by integrating the relaxation-time parameter with respect to the heat flow vector as follows:

(1) 1 + τ 0   t q ( x , t ) = K θ ( x , t ) .

Here, q refers to heat flux vector, K refers to thermal conductivity, θ = T T 0 refers to the variant of the temperature, T 0 is the reference temperature, and x is the position vector. The relaxation time parameter, abbreviated as τ 0 , is a nonnegative time delay.

The equation for the energy balance is as follows:

(2) ρ C E θ t + T 0 t ( β i j e i j ) = q i , i + Q ,

where C E stands for specific heat at constant strain, β i j = c i j k l α k l stands for thermal coupling coefficients, α k l stands for linear thermal expansion tensor, c i j k l stands for elastic constants, Q stands for heat source, and ρ represents material density.

Compared with the classical model, mathematical models with derivatives of fractional orders are more accurate and practical. In this context, many academics have sought to investigate solutions to nonlinear differential equations using the fractional operator, motivated by the advancement of fractional calculus, by developing a variety of analytical and computational strategies to obtain approximate solutions. Riemann–Liouville, Caputo, Hilfer, and other fractional operators are used in these differential equations [2,56,57]. Conversely, these operators have been shown to have a power law kernel and are limited in their ability to represent physical situations. To overcome this problem, an alternative kernel fractional differentiation factor with exponential decay was recently introduced by Caputo and Fabrizio [10,11]. The Caputo–Fabrizio factor (CF) of the fractional derivative has attracted many researchers due to the fact that it has a nonsingular kernel. The CF operator is also best suited for modeling a particular class of real-world problems that follow the law of exponential decay. In recent years, the development of mathematical modeling using the CF fractional-order derivative has become an exciting field of study and research [11].

The standard Caputo time fractional derivative of order α is given by

(3) D t ( α ) f ( t ) = 1 Γ ( 1 α ) 0 t f ̇ ( τ ) ( t τ ) α d τ .

Definition (3) holds true for ( 0 , 1 ) , f H 1 ( 0 , b ) and b > 0 . When replacing ( t τ ) α with exp α ( 1 α ) t and Γ ( 1 α ) with ( 1 α ) , Caputo–Fabrizio [8,58] obtains a new definition of fractional time derivative as follows:

(4) D t ( α ) f ( t ) = 1 1 α 0 t f ̇ ( τ ) exp α ( 1 α ) t d τ , t 0 ,   0 < α < 1 .

The new definition, like the usual Caputo derivative, makes it clear that if f ( t ) is a constant function, D t ( α ) f ( t ) = 0 . The main difference between the current and previous definitions is that the new kernel, unlike the previous one, does not have a singularity for t = τ . It can be observed that when t = τ , we get to the traditional first-order derivative, which is expressed as follows:

(5) lim α 1 D t ( α ) f ( t ) = f ̇ ( t ) .

The Laplace transform is widely known for its use in the study of differential equations. It is also worth noting that this new fractal idea comes with a number of advantages, as the Laplace transform can easily be used as follows:

(6) [ D t ( α ) f ( t ) ] = 1 s + α ( 1 s ) [ s [ f ( t ) ] f ( 0 ) ] .

Furthermore, the constitutive equation for heat flow in the generalized LS thermoelastic model (4) is further refined to include a Caputo–Fabrizio (CF) operator of fractional differentiation as follows:

(7) ( 1 + τ 0   D t ( α ) ) q ( x , t ) = K θ ( x , t ) .

In a finite case, Eq. (7) can be reduced to Cattaneo-Vernotte model at α 1 . Putting Eq. (7) into Eq. (2), the fractional heat transfer equation for generalized thermoelasticity including the Caputo–Fabrizio (CF) operator can be written as follows:

(8) ( 1 + τ 0 D t ( α ) ) ρ C E θ t + T 0 t ( β i j e i j ) Q = . ( K θ ) .

In a specific case ( α 1 ) from the previous equation, the heat transfer equation given by Lord and Shulman [48] can be derived as follows:

(9) . ( K θ ) = 1 + τ 0 t ρ C E θ t + γ T 0 t ( β i j e i j ) Q .

The basic equation for elastic and homogeneous materials based on the theory of nonlocal elasticity can be expressed as follows [31,32,33]:

(10) τ i j = V K ( x x , ξ ) σ i j d V ,

(11) σ i j = λ ε k k δ i j + 2 μ ε i j γ θ δ i j ,

(12) ε i j = 1 2 ( u i , j + u j , i ) ,

where τ i j is the nonlocal stress tensor, σ i j is the local stress tensor, ε i j is the strain tensor, and u i are the components of the displacement vector. Also, γ = ( 3 λ + 2 μ ) α t , λ and μ are Laḿe’s constants, α t is the thermal expansion coefficient, and δ i j is the Kronecker delta.

The influence of the stress at position x on the stress at the location x in the elastic body is defined by the nonlocal kernel K ( x x , ξ ) . The parameter ξ = e 0 a / l is determined by the material constants. The internal characteristic length denoted by the parameter a , while the external characteristic length is denoted by l . The constant e 0 is determined by the experiment. Furthermore, when ξ 0 is used, the kernel function K becomes the Dirac delta function δ ( x x ) .

The kernel K is determined based on the material, situation, and the problem studied. The most popular kernel functions are the exponential and Gaussian, with the modified Bessel function sometimes being employed. Eringen [31] explained that given the kernel in the form of a Bessel function, the following equation can be obtained:

(13) ( 1 ξ 2 2 ) τ i j = σ i j .

The equation of motion given by the linear momentum equilibrium is as follows:

(14) τ i j , j + F i = ρ u i ̈ .

where F i are the components of the body force.

The form of the nonlocal kinematic equation can be obtained by combining (13) and (14) as follows:

(15) σ i j , j + ( 1 ξ 2 2 ) F i = ρ ( 1 ξ 2 2 ) u i ̈ .

The equations of motion may be derived in terms of the temperature θ and the displacements u i as follows:

(16) ( λ + μ ) u j , i j + μ 2 u i , j j γ θ , i + ( 1 ξ 2 2 ) F i = ρ ( 1 ξ 2 2 ) u i ̈ .

The induced magnetic field h and the induced electric field E are constructed using magnetic field H and current density J . Maxwell’s equations for the electromagnetic field for an ideally conducting medium can be written as follows [58]:

(17)   J = × h ,   × E = μ 0 h t , J = σ 0 E + μ 0 u t × H , h = × ( u × H ) , h = 0 ,

where μ 0 is the magnetic permeability and σ 0 is the electric conductivity.

3 Modeling and formulation of the problem

In this section, the problem to which the proposed model is applied is defined and described, and then, a system of governing equations is constructed according to the constraint conditions imposed on the problem. Now, we will consider that an isotropic body has the shape of an infinite half-space x 0 at a reference temperature of T 0 with a periodically changing heat source spread over the surface along the x-direction so that the x-axis lies inside the body in a direction perpendicular to the free surface plane. It will also be assumed that the problem is one dimensional, and therefore, the turbulence of the medium will also be one dimensional. As a result, the components of the displacement vector u are as follows:

(18) u x = u ( x , t ) ,       u y = u z = 0 .

The applied magnetic field H is assumed to act orthogonal to the axial direction of the material, i.e., H = ( 0 , H x , 0 ) . The Lorentz force F = J × H coming from the application of a longitudinal magnetic field H , as indicated in motion Eq. (16), may be stated as follows using Maxwell’s equations:

(19) F = ( f x , f y , f z ) = σ 0 μ 0 H x 2 u t , 0 , 0 .

In the case of a one-dimensional problem, the constitutive relationship (13) representing nonlocal thermal stress is as follows:

(20) 1 ξ 2 2 x 2 τ x x = ( λ + 2 μ ) u x γ θ .

The equation of motion (16) can be written using Eqs. (19) and (20) as follows:

(21) ( λ + 2 μ ) 2 u x 2 γ θ x σ 0 μ 0 H x 2 1 ξ 2 2 x 2 u t = ρ 1 ξ 2 2 x 2 2 u t 2 .

The generalized thermal conductivity Eq. (8) based on the fractional Caputo–Fabrizio derivatives can be written in the following form:

(22) ( 1 + τ 0   D t ( α ) ) ρ C E θ t + γ T 0 t u x Q = K 2 θ x 2 .

The following nondimensional variables will be used:

(23) { x , u } = c 0 ω 0 { x , u } ,     { t , τ 0 } = c 0 2 ω 0 { t , τ 0 } , ξ = c 0 2 ω 0 2 ξ ,    θ = θ T 0 ,     σ x = σ x μ ,      Q = Q K T 0 c 0 2 ω 0 2 ,    c 0 2 = ( λ + 2 μ ) ρ , ω 0 = ρ C E K .

The velocity of equal elastic wave propagation is indicated by the value c 0 . After applying the nondimensional parameters described earlier, the governing PDEs (20)–(22) have the following form (removing primes):

(24) 1 ξ 2 2 x 2 τ x x = β 2 u x b θ ,

(25) 1 ξ 2 2 x 2 2 u t 2 = 2 u x 2 b β 2 θ x ε 1 ξ 2 2 x 2 u t ,

(26) 2 θ x 2 = 1 + τ 0 t θ t + g t u x Q ,

where

(27) β 2 = ( λ + 2 μ ) μ ,   b = γ T 0 μ   ,     ε = σ 0 μ 0 H x 2 ρ c 0 2 ω 0 ,     g =   γ ρ C E    .

To investigate the issue, PDEs (24)–(26) must be solved, and temperature θ , displacement u , and nonlocal thermal stress τ x x distributions within the medium must be calculated. To solve the issue, the following basic circumstances are taken into account.

(28) θ ( x , 0 ) = θ ( x , 0 ) t = 0 = u ( x , 0 ) = u ( x , 0 ) t ,

(29) u ( x , t ) 0 , θ ( x , t ) 0 as x .

It will be taken into account that the surface of the surrounding plane of the medium at x = 0 is heated by a periodic heat source Q ( x , t ) radiating its energy with a constant density Q 0 in the direction of the x -axis. This nondimensional heat source can be represented as follows [59]:

(30) Q ( x , t ) = Q 0 δ ( x ) sin π t t 0 ,         0 t t 0 ,

where t 0 is a constant parameter and δ ( x ) symbolizes Dirac’s delta function.

4 Solution in the transformed domain

In engineering and some other areas of research, the Laplace transform is a useful tool for solving differential equations. But the problem with using the Laplace transform method is the difficulty of inverting complex transformed functions into the real field using traditional methods. As a result, some numerical algorithms are used to calculate the inverses, as we will discuss in this research. The Laplace transform described by the relationship below can be used to transform Eqs. (24)–(26)

(31) f ¯ ( x , t ) = 0 f ( x , t ) e s t d t ,

to obtain the following:

(32) 1 ξ 2 d 2 d x 2 τ ¯ x x = d u ¯ d x θ , ¯

(33) d 2 θ ¯ d x 2 = 1 + s τ 0 s + α ( 1 s ) s θ ¯ + s ε d u ¯ d x π t 0 Q 0 π 2 + s 2 t 0 2 δ ( x ) , s 2 1 ξ 2 d 2 d x 2 u ¯ = d 2 u ¯ d x 2 d θ ¯ d x s g 1 ξ 2 d 2 d x 2 u ¯ .

Eq. (33) may be expressed as a vector matrix, such as [60,61,62]:

(34) d V ( x , s ) dx = A ( s ) V ( x , s ) + f ( x , s ) ,

with

(35) V ( x , s ) = θ ¯ u ¯ d θ ¯ d x d u ¯ d x ,     A ( s ) = 0 0 1 0 0 0 0 1 α 4 0 0 α 5 0 α 2 α 1 α 3 α 1 0 , f ( x , s ) = 0 0 α 6 δ ( x ) 0 ,

where

(36) α 1 = 1 + s ξ 2 ( s + g ) ,     α 2 = s ( s + g ) ,   α 4 = s 1 + s τ 0 s + α ( 1 s ) , α 5 = s ε 1 + s τ 0 s + α ( 1 s ) ,    α 6 = π t 0 Q 0 1 + s τ 0 s + α ( 1 s ) π 2 + s 2 t 0 2 .  

The eigenvalue technique, which is explored in depth in refs. [49,50,51], can be used to analyze solutions for the functions u ¯ ( x ) and θ ¯ ( x ) . We obtain the following results when we apply the eigenvalue technique to the system (34) under the regular conditions case (29):

(37) u ¯ ( x , s ) = α 6 ( e k 2 x e k 1 x ) 2 ( k 1 2 k 2 2 ) ,

(38) θ ¯ ( x , s ) = α 6 ( k 1 ( α 2 α 1 k 2 2 ) e k 2 x k 2 ( α 2 α 1 k 1 2 ) e k 1 x ) 2 k 1 k 2 ( k 1 2 k 2 2 ) .

The variables k 1 2 and k 1 2 denote the roots of the following equation with the positive real parts:

(39) k 4 m 1 k 2 + m 2 = 0 ,

where m 1 and m 2 are coefficients that fulfill the relations:

(40) m 1 = α 4 + α 2 α 1 + α 5 α 1 ,      m 2 = α 2 α 4 α 1 .

We can derive the nonlocal stress τ ¯ x x by substituting Eqs. (37) and (38) into (32)

(41) τ ¯ x x ( x , s ) = α 6 k 1 e k 1 x 2 ( k 1 2 k 2 2 ) ( 1 ξ 2 k 1 2 ) α 6 k 2 e k 2 x 2 ( k 1 2 k 2 2 ) ( 1 ξ 2 k 2 2 ) + α 6 k 2 ( α 2 α 1 k 1 2 ) e k 1 x 2 k 1 k 2 ( k 1 2 k 2 2 ) ( 1 ξ 2 k 1 2 ) α 6 k 1 ( α 2 α 1 k 2 2 ) e k 2 x 2 k 1 k 2 ( k 1 2 k 2 2 ) ( 1 ξ 2 k 2 2 ) .

Also, the strain e ¯ ( x , s ) can be determined as follows:

(42) e ¯ ( x , s ) = d u ¯ ( x , s ) d x = α 6 ( k 1 e k 1 x k 2 e k 2 x ) 2 ( k 1 2 k 2 2 ) .

An approximate numerical technique is often used to invert the fields studied in the Laplace field because the analytic inversion of these functions is sometimes difficult to achieve. In the literature, several computing strategies can be used to do the inversion of Laplace transforms. Each of these methods often has a distinct application as it can be used for a specific purpose. In this presented work, the numerical results of evaluating the investigated fields will be obtained in the real-time domain, and the approximation approach of Zakian [54,55,63] will be applied.

5 Approximate Zakian method

By using the numerical inversion methods, the numerical solutions of the physical fields (37), (38), (41), and (42) are obtained in the time domain. Consideration will be given to the application of the Zakian technique [54,55,63] to approximate the functions in the time domain by applying the following relationship:

(43) f ( x , t ) = 2 t i = 1 N Re x , i F ¯ i t .

As shown in the aforementioned formula, this strategy is easy to implement and easy to use. In the forms i and i , the conjugated pairs may be real or complex. The number of terms that will be summed or shortened from the infinite sequence is the parameter N , which can be optimized and set based on the applied model. In Table 1, different values for i and i will be listed at N = 5 .

6 Special cases

We can obtain the following special cases from the introduced equation system and proposed model.

6.1 Models of thermoelasticity of differential operators with integer order

Calculations for classical and generalized models of thermoelasticity of differential operators with integer orders are performed when α 1 .

  • The nonlocal coupled thermoelasticity theory (NCTE) can be obtained by setting τ 0 = 0 and ξ > 0 .

  • The classical coupled theory of thermoelasticity (CTE) can be obtained by taking τ 0 = ξ = 0 .

  • The generalized nonlocal theory of thermoelasticity with relaxation time (NLS) can be obtained when τ 0 > 0 and taking ξ > 0 .

  • The generalized theory of thermoelasticity with relaxation time (LS) can be obtained by assuming τ 0 > 0 and putting ξ = 0 .

6.2 Models of thermoelasticity of Caputo–Fabrizio fractional differential operators

The computations for classical and generalized models of thermoelasticity of Caputo–Fabrizio fractional-order differential operators are performed when 0 < α < 1 .

  • The generalized nonlocal theory of thermoelasticity with fractional order and relaxation time (CFNLS) can be obtained by letting τ 0 0 and taking ξ > 0 .

  • The generalized theory of thermoelasticity with fractional order and relaxation time (CFLS) can be obtained by assuming τ 0 0 and putting ξ = 0 .

7 Numerical results

In this section, some numerical results will be presented to verify the proposed model and study the behavior of the temperature θ , the displacement u , the strain e , and the nonlocal thermal stress τ x x . For this purpose, the inverse approximation method (43) proposed by Zakian [43,44,45] is applied to Eqs. (37), (38), (41), and (42). The Mathematica programming language is used for all numerical arithmetic operations. Copper was taken into account for the purpose of numerical calculations. The corresponding physical parameters of this material are as follows [65]:

K = 386 W m 1 K 1 ,   C E = 384.56 J / kg K , α t = 1.78 × 10 5  K 1 , E = 128 GPa , T 0 = 293 K , ρ = 8954 kg m 3 ,   σ 0 = 10 9 / 36 π F m 1 , t = 0.2 s ,   μ 0 = 4 π × 10 7 H m 1 , H x   = 10 7 / 4 π A m 1 ,   ν = 0.36 .   

The numerical calculations of field variables for different orders of the nonlocal Caputo–Fabrizio (CF) differential operator α , the nonlocal parameter ξ , the heat source density, and the magnetic field H x were studied. The results were analyzed graphically at different x positions within the medium in Figures 112. The study and discussion of numerical calculations as well as graphs were divided into three groups.

Figure 1 
               The varaiation of the displacement 
                     
                        
                        
                           u
                        
                        u
                     
                   with nonlocal parameter 
                     
                        
                        
                           ξ
                        
                        \xi 
                     
                  .
Figure 1

The varaiation of the displacement u with nonlocal parameter ξ .

Figure 2 
               The varaiation of the temperature 
                     
                        
                        
                           θ
                        
                        \theta 
                     
                   with nonlocal parameter 
                     
                        
                        
                           ξ
                        
                        \xi 
                     
                  .
Figure 2

The varaiation of the temperature θ with nonlocal parameter ξ .

Figure 3 
               The varaiation of the nonlocal stress 
                     
                        
                        
                           
                              
                                 τ
                              
                              
                                 x
                                 x
                              
                           
                        
                        {\tau }_{xx}
                     
                   with nonlocal parameter 
                     
                        
                        
                           ξ
                        
                        \xi 
                     
                  .
Figure 3

The varaiation of the nonlocal stress τ x x with nonlocal parameter ξ .

Figure 4 
               The varaiation of the strain 
                     
                        
                        
                           e
                        
                        e
                     
                   with nonlocal parameter 
                     
                        
                        
                           ξ
                        
                        \xi 
                     
                  .
Figure 4

The varaiation of the strain e with nonlocal parameter ξ .

Figure 5 
               The displacement 
                     
                        
                        
                           u
                        
                        u
                     
                   for various fractional-order parameter 
                     
                        
                        
                           α
                        
                        \alpha 
                     
                  .
Figure 5

The displacement u for various fractional-order parameter α .

Figure 6 
               The temperature 
                     
                        
                        
                           θ
                        
                        \theta 
                     
                   for various fractional-order parameter 
                     
                        
                        
                           α
                        
                        \alpha 
                     
                  .
Figure 6

The temperature θ for various fractional-order parameter α .

Figure 7 
               The nonlocal thermal stress 
                     
                        
                        
                           
                              
                                 τ
                              
                              
                                 x
                                 x
                              
                           
                        
                        {\tau }_{xx}
                     
                   for various fractional-order parameter 
                     
                        
                        
                           α
                        
                        \alpha 
                     
                  .
Figure 7

The nonlocal thermal stress τ x x for various fractional-order parameter α .

Figure 8 
               The distributions of the strain 
                     
                        
                        
                           e
                        
                        e
                     
                   for various fractional-order parameter 
                     
                        
                        
                           α
                        
                        \alpha 
                     
                  .
Figure 8

The distributions of the strain e for various fractional-order parameter α .

Figure 9 
               The displacement 
                     
                        
                        
                           u
                        
                        u
                     
                   under the effect of the applied magnetic field.
Figure 9

The displacement u under the effect of the applied magnetic field.

Figure 10 
               The temperature 
                     
                        
                        
                           θ
                        
                        \theta 
                     
                   under the effect of the applied magnetic field.
Figure 10

The temperature θ under the effect of the applied magnetic field.

Figure 11 
               The nonlocal stress 
                     
                        
                        
                           
                              
                                 τ
                              
                              
                                 x
                                 x
                              
                           
                        
                        {\tau }_{xx}
                     
                   under the effect of the applied magnetic field.
Figure 11

The nonlocal stress τ x x under the effect of the applied magnetic field.

Figure 12 
               The stain 
                     
                        
                        
                           e
                        
                        e
                     
                   under the effect of the applied magnetic field.
Figure 12

The stain e under the effect of the applied magnetic field.

7.1 Verification of the results

A numerical comparison with the results of Abouelregal et al. [66] was done to validate the numerical results and the validity of the proposed thermoelastic model containing Caputo–Fabrizio fractional-order derivatives. The governing equations in ref. [66] have been applied using the nonlocal Moore–Gibson–Thompson thermoelastic model, while in the current model, the nonlocal thermoelastic fractional model with one relaxation time [48] has been introduced and applied. Table 1 compares the current dimensionless temperature and thermal stress with the similar temperature θ and nonlocal thermal stress τ x x from reference [66] when the Caputo–Fabrizio (CF) differential operator is absent ( α = 0 ) (Table 2).

Table 1

The values of the parameters i and i for N = 5 [64]

j i i
1 12.83767675 + i 666063445 36902.08210 + i 196990.4257
2 2   12.22613209 +   i 5.012718792 61277.02524   i 95408.62551
3 3   10.93430308   +   i 8.409673116 28916.56288   +   i 18169.18531
4 4   8.776434715   +   i 11.92185389 4655.361138     i 1.901528642
5 5   5.225453361   +   i 15.72952905 118.7414011     i 141.3036911
Table 2

Comparison of the temperature θ and thermal stress τ x x with ref. [66]

x Temperature θ Thermal stress τ x x
Present Ref. [66] Present Ref. [66]
0.0 0.49124 0.546272 −0.155985 −0.214435
0.1 0.318432 0.339959 −0.0988131 −0.0578964
0.2 0.0423645 0.0449211 −0.143225 −0.13072
0.3 0.016466 0.0190259 −0.0641543 −0.0890927
0.4 0.0088852 0.00956508 −0.022701 −0.0300153
0.5 0.0017586 0.00189095 −0.00748039 −0.00763243
0.6 0.000629663 0.000708719 −0.00339493 −0.00395257
0.7 0.000274229 0.000296909 −0.00189069 −0.00314844
0.8 0.00006661 7.22195 × 10−5 −0.00099898 −0.002033
0.9 2.29003 × 10−5 2.54472 × 10−5 −0.00047606 −0.00105175
1.0 8.84 × 10−6 9.61 × 10−6 −0.00021383 −0.000473434

From Table 2, it was discovered that the fractional-order parameter α of the Caputo–Fabrizio derivative operators has a significant effect on the studied fields despite the agreement in behavior and the convergence in numerical values. In addition, according to the data presented in the table, the values of the temperature θ and thermal stress in the case of the nonlocal thermoelastic model are larger than in the fractional nonlocal thermoelastic model version. This means that the presence of fractional-order parameter α in the proposed model reduces and relaxes the mechanical and thermal wave behavior.

7.2 The effect of the nonlocal parameter

Based on new technologies in nanotechnology, the demand for small devices is increasing. To design the tools of such devices, it is important to understand their dynamic behavior. In the past few years, great emphasis has been placed on the static and dynamic behavior of such nanostructures. This section aims to focus on the investigation of flexural, vibration, and diffusion properties of nanostructures based on the theory of nonlocal elasticity proposed by Eringen.

The results obtained to investigate the effect of the nonlocal parameter on temperature, displacement, strain, and nonlocal heat pressure are presented in Figures 14. It can be seen that the nonlocal parameter ξ = 0 denotes the classical local model of thermoelasticity, whereas other values ( ξ = 0.1 ,   0.3 ) denote nonlocal models of elasticity and thermoelasticity. In this case, the values α = 0.75 , τ 0 = 0.02 , Q 0 = 1 , and ε = 1 were taken into account. Figures (14) indicate the prominent effect of the nonlocal coefficient ξ on the behavior of all studied domains. It is further shown from the figures that, depending on the value of the nonlocal parameter, the mechanical and thermal waves reach a steady state. The goal of the figures is to show how the size of the half-space affects its vibrations, and we accomplish a fairly noticeable impact of the medium size here. As shown in the figures, the thermoelastic vibrations of the solid alter dramatically as the material’s length increased in relation to its height.

Figure 1 shows the difference in displacement u versus distance x for different values of the nonlocal parameter ξ . From the figure, it is observed that the absolute value of the displacement first increases with distance very quickly until it reaches its maximum value and then decreases to zero when x 3 . As the heat source changes periodically over time (a sinusoidal pulse active for a short period), the displacement is large near the turbulence region. It is also observed from the figure that the minimum values of the displacement decrease with the value of the nonlocal parameter ξ . In the field of 0 x 3 , the effect of the parameter appears for a while and then disappears away from the thermal turbulence region.

To study the effect of the nonlocal parameter ξ on temperature distribution θ in the context of generalized models of thermoelasticity involving the Caputo–Fabrizio fractional-order differential operator, the variation in temperature θ versus distance x is presented in Figure 2. In line with theoretical and physical observations, low-temperature changes are observed to heat and finally exceed the thermal wavefront located at x = 3 . The figure shows that the value of temperature θ decreases with respect to the constant x as the parameter ξ increases. This is because, for a short period of time, the heat source varies periodically and the turbulence region decreases. The same behavior has been observed in the literature [64,65].

Figure 3 shows the variance of the nonlocal stress increase τ x x with respect to the distance x in the case of three different values ξ = 0.0 ,   0.1 ,   0.3 . It is noticed from the figure that with the decrease of the nonlocal parameter ξ , the magnitude of the nonlocal stress increases. It is also noted that the effect of periodically changing heat sources distributed throughout the flat region x = 0 will imply these types of activity in all studied field variables. It is first observed that stress and displacement are compressions, then they begin to decrease in size, and finally, they tend to zero in all cases. The maximum stress is close to the half-space boundary near the turbulence region.

Figure 4 represents the strain variance e for different values of nonlocal modulus ξ versus distance x . This figure shows that the strain e decreases with increasing distance and eventually reaches zero. We can also see from the figure that the amount of strain e increases with the increase of the parameter ξ in some periods and decreases with it in others. This may be because the heat source periodically changes over time.

From the previous results and discussions, it was found that the micro-scale effect is not obvious for structures with dimensions on the order of micrometers, while it can be observed in nanostructures, and this is consistent with the results obtained by Wang and Liew observed in ref. [67]. Also, when determining the stress at the source of the nano-heating problem, the nonlocal behavior is a critical factor that cannot be ignored [39,40,41].

7.3 The effect of the fractional-order parameter

In Section 7.3, an investigation was performed into the influence of the fractional order α in the presence of an initial magnetic field on the thermoelastic conducing material. Calculation for ξ = 0.1 , τ 0 = 0.02 , Q 0 = 1 , and ε = 1 have been carried out. The findings are graphically depicted at various positions of x and are shown in Figure 10. For normal case α = 1 , the numerical results are consistent with all previous results of applications taken in the sense of generalized nonlocal theory of thermoelasticity with one relaxation time (LS). In the case of 0 < α < 1 , the numerical results based on the Caputo–Fabrizio model of fractional differential heat conduction have been studied.

Figures 5−8 display the spatial variability of the nondimensional thermodynamic temperature fields, stress, displacement, and strain for different values of the fractional differentiation modulus of the Caputo–Fabrizio fractional operator. Note that case α = 1 indicates the old mode (nonfractional LS thermoelastic model) and case α = 0.75 ,   0.5 indicates the Caputo–Fabrizio model (fractional CF thermoelastic model).

The graphs clearly show that the Caputo–Fabrizio fractional differential operator (CF) (fractional-order factor α ) significantly affects all the studied fields. In addition, thermal and mechanical waves reach a steady state according to the values of the fractal order α . It was also found that the increase in the value of the fractal parameter α increases the propagation velocity of the studied waves toward the surface of the solid body affected by the periodic heat source, which disappears faster with increasing distance inside the elastic body.

The numerical results have shown that an increase in the value of the fractional parameter α increases the thermodynamic temperature θ and stress e , while the increase in the value of the fractional parameter α decreases the displacement u and the nonlocal stress τ x x .

Moreover, we are sure that this new CF derivative will play a major role in studying the macroscopic behavior of some materials related to nonlocal exchanges, which predominate in the characterization of materials.

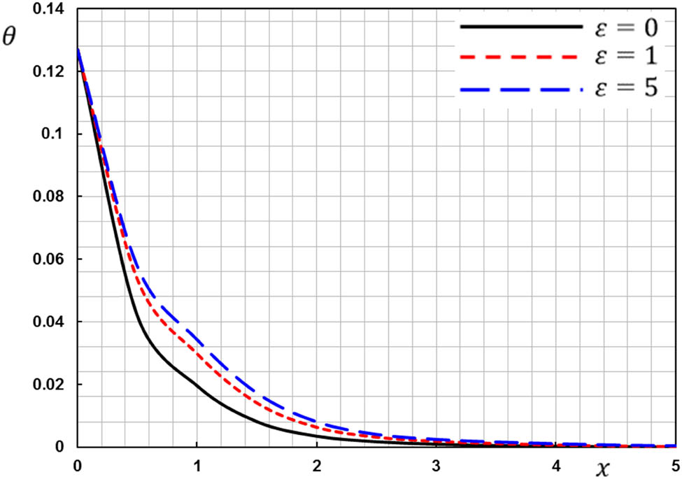
7.4 The effect of the applied magnetic field

In this third case, Figures 9−12 show the diversity of the fields studied when α = 0.75 and ξ = 0.1 with respect to three different values of the applied magnetic field. The parameter ε = σ 0 μ 0 H x 2 / ( ρ c 0 2 ω 0 ) denotes the amount of magnetic field propagation on the surface perpendicular to the x-axis. We will consider three values of the coefficient, the first case in the absence of a magnetic field ( ε = 0 ), and the second in the presence of a magnetic field ( ε = 1 , 5 ). The figures show a significant influence of displacement u , strain e , temperature θ , and nonlocal heat pressure τ x x due to the presence of the magnetic field.

In Figure 9, an increase in the magnetic field value leads to a decrease in the displacement amounts, which is very noticeable at the peaks of the curves. Thus, the magnetic field is able to dampen the thermal expansion of the medium. These results are similar to those in the literature [55]. It is shown in Figure 10 that the applied magnetic field has little effect on changes in the temperature distribution. The temperature changes and increases slightly with the increase of the magnetic field affecting the medium. The same behavior observed in these forms is similar to the behavior of many materials and minerals, and this has been proven in many studies as mentioned in refs. [68,69].

It is shown in Figure 11 that the increase in the magnetic field parameter ε increases the value of the nonlocal pressure field τ x x , which is very noticeable at the starting and peak points as seen from the curves. The nonlocal stress starts with negative values, then increases to its peak and gradually decreases to zero values with increasing distance x. As a result of the fluctuation of the strain behavior, as in the previous cases, it can be seen from Figure 12 that the strain e increases in some periods with the increase of the magnetic field and decreases in others.

8 Conclusion

In this study, a new thermal conductivity model for generalized thermoelasticity is proposed based on the concept of CF’s fractional calculus. Fourier’s law has been improved to include both the heat flow vector and its fractional time derivatives. Also, the fractional heat conduction model is based on the use of a nonsingular exponentially decreasing kernel, in contrast to the conventional fractional operators. Also, Eringen’s nonlocal theory has been used as it accurately formulates nanostructures and covers the gap between experimental and classical results. The governing equations were solved using the Laplace transform and the numerical results for the nondimensional temperature, displacement, and nonlocal pressure were obtained using the Zakian algorithm approximation. The results showed that different field quantities depend not only on instantaneous space and time coordinates but also on effective parameters such as nonlocal modulus and fractional differentiation parameter, in addition to the applied magnetic field. This article provides an explanation of the use of the CF partial derivative as a model for real-world problems involving history and memory as well as nonlocal effects.

It can be inferred from the discussions and results obtained and discussed that the nonlocal parameters have an important influence on the distributions of the studied fields. It was also found that the behavior of different domains reaches a degree of stability based on the nonlocal parameter values. The results also showed the prominent effect of the fractional differential order of the new fractional calculus operator, as they showed its role in reducing the propagation of thermal and mechanical waves within the medium. The results also show the important effect of the applied magnetic field on the behavior of the studied variables, and therefore, its effect on the design process cannot be neglected. The new model was physically validated, and it was observed that the values of the different variables are large near the turbulence region where the effect of the cyclic heat source is fading away from the surface. In other words, the new model predicts infinite speeds of heat wave propagation, contrary to the traditional theories. The results of this work are useful and appreciated as a theoretical basis for nanostructural design, especially for those based on different heat sources.

  1. Funding information: The authors state no funding involved.

  2. Author contributions: All authors have accepted responsibility for the entire content of this manuscript and approved its submission.

  3. Conflict of interest: The authors state no conflict of interest.

References

[1] Magin RL. Fractional calculus models of complex dynamics in biological tissues. Comput Math Appl. 2010;59:1586–93.10.1016/j.camwa.2009.08.039Search in Google Scholar

[2] Shaikh A, Tassaddiq A, Nisar KS, Baleanu D. Analysis of differential equations involving Caputo-Fabrizio fractional operator and its applications to reaction–diffusion equations. Adv Differ Equ. 2019;2019:178. 10.1186/s13662-019-2115-3.Search in Google Scholar

[3] Sun H, Zhang Y, Baleanu D, Chen W, Chen Y. A new collection of real world applications of fractional calculus in science and engineering. Commun Nonlinear Sci Numer Simul. 2018;64:213–31.10.1016/j.cnsns.2018.04.019Search in Google Scholar

[4] Podlubny I. fractional differential equations. San Diego: Academic Press; 1999.Search in Google Scholar

[5] Samko SG, Kilbas AA, Marichev OI. fractional integrals and derivatives: theory and applications. London: Taylor & Francis; 2002.Search in Google Scholar

[6] Ross B, Brief A. History and exposition of the fundamental theory of fractional calculus. In: Ross B, editor. Fractional calculus and its applications, lecture notes in mathematics no 457. Heidelberg: Springer; 1975.10.1007/BFb0067096Search in Google Scholar

[7] Baleanu D, Diethelm K, Scalas E, Trujillo JJ. Fractional calculus: models and numerical methods. Singapore: World Scientific; 2012.10.1142/8180Search in Google Scholar

[8] Uchaikin VV. Fractional derivatives for physicists and engineers. Berlin: Springer; 2013.10.1007/978-3-642-33911-0Search in Google Scholar

[9] Caputo M, Fabrizio M. A new definition of fractional derivative without singular Kernel. Prog Fract Differ Appl. 2015;1(2):73–85.Search in Google Scholar

[10] Caputo M, Fabrizio M. On the notion of fractional derivative and applications to the hysteresis phenomena. Meccanica. 2017;52:3043–52.10.1007/s11012-017-0652-ySearch in Google Scholar

[11] Losada J, Nieto JJ. Properties of a new fractional derivative without singular Kernel. Progr Fract Differ Appl. 2015;1(No. 2):87–92.Search in Google Scholar

[12] Al-Refai M, Abdeljawad T. Analysis of the fractional diffusion equations with fractional derivative of non-singular kernel. Adv Differ Equ. 2017;315(2017):315.10.1186/s13662-017-1356-2Search in Google Scholar

[13] Atangana A. On the new fractional derivative and application to nonlinear Fisher’s reaction-diffusion equation. Appl MathComput. 2016;273:948–56.10.1016/j.amc.2015.10.021Search in Google Scholar

[14] Kaczorek T, Borawski K. Fractional descriptor continuous-time linear systems described by the Caputo-Fabrizio derivative. Int J Apll Math Comput Sci. 2016;26(3):533–41.10.1515/amcs-2016-0037Search in Google Scholar

[15] Alkahtani BST, Atangana A. Controlling the wave movement on the surface of shallow water with the Caputo-Fabrizio derivative with fractional order. Chaos Solit Fract. 2016;89:539–46.10.1016/j.chaos.2016.03.012Search in Google Scholar

[16] Al-Salti N, Karimov E, Sadarangani K. On a differential equation with Caputo-Fabrizio fractional derivative of order 1 < β < 2 and application to mass-spring-damper system. Progr Fract Differ Appl. 2016;2(4):257–63.10.18576/pfda/020403Search in Google Scholar

[17] Caputo M, Fabrizio M. Applications of new time and spatial fractional derivatives with exponential kernels. Prog Fract Differ Appl. 2016;2:1–11.10.18576/pfda/020101Search in Google Scholar

[18] Gómez-Aguilar JF, Torres L, Yépez-Martínez HY, Baleanu D, Reyes JM, Sosa IO. Fractional Liénard type model of a pipeline within the fractional derivative without singular kernel. Adv Differ Equ. 2016;2016:173. 10.1186/s13662-016-0908-1.Search in Google Scholar

[19] Goufo EFD. Application of the Caputo-Fabrizio fractional derivative without singular kernel to Korteweg-de Vries-Bergers equation. Math Mod Anal. 2016;21(2):188–98.10.3846/13926292.2016.1145607Search in Google Scholar

[20] Yang X, Mahmoud A, Cattani C. A new general fractional-order derivative with Rabotnov fractional-exponential kernel applied to model the anomalous heat transfer. Therm Sci. 2019;23:1677–81.10.2298/TSCI180320239YSearch in Google Scholar

[21] Gao W, Ghanbari B, Baskonus HM. New numerical simulations for some real world problems with Atangana-Baleanu fractional derivative. Chaos Solit Fract. 2019;128:34–43.10.1016/j.chaos.2019.07.037Search in Google Scholar

[22] Atangana A, Baleanu D. New fractional derivative with non-local and non-singular kernel. Therm Sci. 2016;20:757–63.10.2298/TSCI160111018ASearch in Google Scholar

[23] Ahmad H, Abouelregal AE, Benhamed M, Alotaibi MF, Jendoubi A. Vibration analysis of nanobeams subjected to gradient-type heating due to a static magnetic field under the theory of nonlocal elasticity. Sci Rep. 2022 Feb 3;12(1):1–8.10.1038/s41598-022-05934-0Search in Google Scholar PubMed PubMed Central

[24] Abouelregal AE, Zakaria K, Sirwah MA, Ahmad H, Rashid AF. Viscoelastic initially stressed microbeam heated by an intense pulse laser via photo-thermoelasticity with two-phase lag. Int J Mod Phys C. 2022 Jan 14;2250073. doi: 10.1142/S0129183122500735.10.1142/S0129183122500735Search in Google Scholar

[25] Elhagary MA. Fractional thermoelastic diffusion problem for an infinite medium with a spherical cavity using Modified Caputo-Fabrizio’s definition. Waves Random Complex Media. 2021;1–22. 10.1080/17455030.2021.1959672.Search in Google Scholar

[26] Abouelregal AE, Ahmad H, Badr SK, Elmasry Y, Yao SW. Thermo‐viscoelastic behavior in an infinitely thin orthotropic hollow cylinder with variable properties under the non‐Fourier MGT thermoelastic model. ZAMM J Appl Math Mech/Zeitschrift für Angew Mathematik und Mechanik. 2021. 10.1002/zamm.202000344.Search in Google Scholar

[27] Razzaque A, Rani A, Nazar M. Generalization of thermal and mass fluxes for the flow of differential type fluid with caputo-fabrizio approach of fractional derivative. Complexity. 2021. Vol. 2021. Article ID 6052437.10.1155/2021/6052437Search in Google Scholar

[28] Abouelregal AE, Ahmad H, Elagan SK, Alshehri NA. Modified Moore–Gibson–Thompson photo-thermoelastic model for a rotating semiconductor half-space subjected to a magnetic field. Int J Modern Phys C. 2021;32(12):1–26.10.1142/S0129183121501631Search in Google Scholar

[29] Abouelregal AE, Ahmad H, Yao SW, Abu-Zinadah H. Thermo-viscoelastic orthotropic constraint cylindrical cavity with variable thermal properties heated by laser pulse via the MGT thermoelasticity model. Open Phys. 2021 Jan 1;19(1):504–18.10.1515/phys-2021-0034Search in Google Scholar

[30] Salehipour H, Shahidi AR, Nahvi H. Modified nonlocal elasticity theory for functionally graded materials. Int J Eng Sci. 2015;90:44–57.10.1016/j.ijengsci.2015.01.005Search in Google Scholar

[31] Eringen AC. Nonlocal polar elastic continua. Int J Eng Sci. 1972;10:1–16.10.1016/0020-7225(72)90070-5Search in Google Scholar

[32] Eringen AC, Edelen DGB. On nonlocal elasticity. Int J Eng Sci. 1972;10:233–48.10.1016/0020-7225(72)90039-0Search in Google Scholar

[33] Eringen AC. On differential equations of nonlocal elasticity and solutions of screw dislocation and surface waves. J Appl Phys. 1983;54:4703–10.10.1063/1.332803Search in Google Scholar

[34] Inan E, Eringen AC. Nonlocal theory of wave propagation in thermoelastic plates. Int J Eng Sci. 1991;29:831–43.10.1016/0020-7225(91)90005-NSearch in Google Scholar

[35] Wang J, Dhaliwal RS. Uniqueness in generalized nonlocal thermoelasticity. J Therm Stresses. 1993;16:71–7.10.1080/01495739308946217Search in Google Scholar

[36] Abouelregal AE, Ahmad H, Yahya AM, Saidi A, Alfadil H. Generalized thermoelastic responses in an infinite solid cylinder under the thermoelastic-diffusion model with four lags. Chin J Phys. 2021. 10.1016/j.cjph.2021.08.015.Search in Google Scholar

[37] Abouelregal AE, Ahmad H, Badr SK, Almutairi B, Almohsen B. Viscoelastic stressed microbeam analysis based on Moore–Gibson–Thompson heat equation and laser excitation resting on Winkler foundation. J Low Frequency Noise, Vib Active Control. 2021. 10.1177/14613484211040318.Search in Google Scholar

[38] Abouelregal AE, Ahmad H, Badr SK, Almutairi B, Almohsen B. Viscoelastic stressed microbeam analysis based on Moore–Gibson–Thompson heat equation and laser excitation resting on Winkler foundation. J Low Frequency Noise, Vib Active Control. 2021 Aug 30. 10.1177/14613484211040318.Search in Google Scholar

[39] Koutsoumaris C, Eptaimeros KG, Tsamasphyros GJ. A different approach to Eringen’s nonlocal integral stress model with applications for beams. Int J Solid Struct. 2017;112:222–38.10.1016/j.ijsolstr.2016.09.007Search in Google Scholar

[40] Liew KM, Zhang Y, Zhang LW. Nonlocal elasticity theory for grapheme modeling and simulation: prospects and challenges. J Modeling Mech Mater. 2017;1:20160159. 10.1515/jmmm-2016-0159.Search in Google Scholar

[41] Rajneesh K, Aseem M, Rekha R. Transient analysis of nonolocal microstretch thermoelastic thick circular plate with phase lags. Mediterranean J Modeling Simul. 2018;9:25–42.Search in Google Scholar

[42] Abouelregal AE, Ahmad H, Nofal TA, Abu-Zinadah H. Moore–Gibson–Thompson thermoelasticity model with temperature-dependent properties for thermo-viscoelastic orthotropic solid cylinder of infinite length under a temperature pulse. Phys Scrip. 2021.10.1088/1402-4896/abfd63Search in Google Scholar

[43] Abouelregal AE, Ahmad H, Nofal TA, Abu-Zinadah H. Thermo-viscoelastic fractional model of rotating nanobeams with variable thermal conductivity due to mechanical and thermal loads. Mod Phys Lett B. 2021 Apr 22;35:2150297.10.1142/S0217984921502973Search in Google Scholar

[44] Abouelregal AE, Ahmad H, Gepreeld KA, Thounthong P. Modelling of vibrations of rotating nanoscale beams surrounded by a magnetic field and subjected to a harmonic thermal field using a state-space approach. Eur Phys J Plus. 2021 Mar;136(3):1–23.10.1140/epjp/s13360-021-01257-7Search in Google Scholar

[45] Abouelregal AE, Ahmad H. Thermodynamic modeling of viscoelastic thin rotating microbeam based on non-Fourier heat conduction. Appl Math Model. 2020;91:973–88.10.1016/j.apm.2020.10.006Search in Google Scholar

[46] Abouelregal AE, Ahmad H. Response of thermoviscoelastic microbeams affected by the heating of laser pulse under thermal and magnetic fields. Phys Scr. 2020;95:125501. 10.1088/1402-4896/abc03d.Search in Google Scholar

[47] Abouelregal AE, Ahmad H, Yao SW. Functionally graded piezoelectric medium exposed to a movable heat flow based on a heat equation with a memory-dependent derivative. Materials. 2020;13(18):3953.10.3390/ma13183953Search in Google Scholar

[48] Lord HW, Shulman Y. A generalized dynamical theory of thermoelasticity. J Mech Phys Solid. 1967;15:299–309.10.1016/0022-5096(67)90024-5Search in Google Scholar

[49] Abouelregal AE, Ahmad H, Yao SW, Abu-Zinadah H. Thermo-viscoelastic orthotropic constraint cylindrical cavity with variable thermal properties heated by laser pulse via the MGT thermoelasticity model. Open Phys. 2021;19(1):504–18.10.1515/phys-2021-0034Search in Google Scholar

[50] Tiwari R. Magneto-thermoelastic interactions in generalized thermoelastic half-space for varying thermal and electrical conductivity. Waves Random Complex Media. 2021;1–17. 10.1080/17455030.2021.1948146.Search in Google Scholar

[51] Rakhi T. Magneto-thermoelastic interactions in generalized thermoelastic half-space for varying thermal and electrical conductivity. Waves Random Complex Media. 2021;1–17. 10.1080/17455030.2021.1948146.Search in Google Scholar

[52] Tiwari R, Mukhopadhyay S. On electromagneto-thermoelastic plane waves under Green–Naghdi theory of thermoelasticity-II. J Therm Stresses. 2017;40(8):1040–62.10.1080/01495739.2017.1307094Search in Google Scholar

[53] Tiwari R, Mukhopadhyay S. On harmonic plane wave propagation under fractional order thermoelasticity: an analysis of fractional order heat conduction equation. Math Mech Solids. 2015;22(4):782–97.10.1177/1081286515612528Search in Google Scholar

[54] Zakian V. Numerical inversions of Laplace transforms. Electron Lett. 1969;5:120–1.10.1049/el:19690090Search in Google Scholar

[55] Zakian V. Properties of IMN approximants. In: Graves-Morris PR, editor. Pade approximants and their applications. London: Academic Press; 1973. p.141–4.Search in Google Scholar

[56] Furati KM, Kassim MD, Tatar NT. Existence and uniqueness for a problem involving Hilfer fractional derivative. Comput Math Appl. 2012;64:1616–26.10.1016/j.camwa.2012.01.009Search in Google Scholar

[57] Veeresha P, Prakasha DG, Baskonus HM. New numerical surfaces to the mathematical model of cancer chemotherapy effect in Caputo fractional derivatives. Chaos. 2019;29:013119.10.1063/1.5074099Search in Google Scholar PubMed

[58] Wang H, Dong K, Men F, Yan YJ, Wang X. Influences of longitudinal magnetic field on wave propagation in carbon nanotubes embedded in elastic matrix. Appl Math Model. 2010;34:878–89.10.1016/j.apm.2009.07.005Search in Google Scholar

[59] Mallik SH, Kanoria M. Generalized thermoelastic functionally graded solid with a periodically varying heat source. Int J Solids Struct. 2007;44:7633–45.10.1016/j.ijsolstr.2007.05.001Search in Google Scholar

[60] Das NC, Lahiri A, Sarkar S. “Eigenvalue value approach three dimensional coupled thermoelasticity in a rotating transversly isotropic medium”. Tamsui Oxf J Math Sci. 2009;25:237–57.Search in Google Scholar

[61] Bachher M, Sarkar N, Lahiri A. “Generalized thermoelastic infinite medium with voids subjected to a instantaneous heat sources with fractional derivative heat transfer”. Int J Mech Sci. 2012;89:84–91.10.1016/j.ijmecsci.2014.08.029Search in Google Scholar

[62] Roychoudhuri SK, Dutta PS. Thermoelastic interaction without energy dissipation in an infinite solid with distributed periodically varying heat sources. Int J Solids Struct. 2005;42:4192–203.10.1016/j.ijsolstr.2004.12.013Search in Google Scholar

[63] Halsted DJ, Brown DE. Zakian’s technique for inverting Laplace transform. Chem Eng J. 1972;3:312–3.10.1016/0300-9467(72)85037-8Search in Google Scholar

[64] Mondal S, Sur A, Kanoria M. Magneto-thermoelastic interaction in a reinforced medium with cylindrical cavity in the context of Caputo-Fabrizio heat transport law. Acta Mech. 2019;230:4367–84.10.1007/s00707-019-02498-5Search in Google Scholar

[65] Abouelregal AE. Rotating magneto-thermoelastic rod with finite length due to moving heat sources via Eringen’s nonlocal model. J Comput Appl Mech. 2019;50(1):118–26.Search in Google Scholar

[66] Abouelregal AE, Mohammad-Sedighi H, Shirazi AH, Malikan M, Eremeyev VA. Computational analysis of an infinite magneto-thermoelastic solid periodically dispersed with varying heat flow based on non-local Moore–Gibson–Thompson approach. Contin Mech Thermodyn. 2021. 10.1007/s00161-021-00998-1.Search in Google Scholar

[67] Wang Q, Liew KM. Application of nonlocal continuum mechanics to static analysis of micro- and nano-structures. Phys Lett A. 2007;363(3):236–42.10.1016/j.physleta.2006.10.093Search in Google Scholar

[68] He T, Cao L. A problem of generalized magneto-thermoelastic thin slim strip subjected to a moving heat source. Math Comp Model. 2009;49:1710–20.10.1016/j.mcm.2008.12.004Search in Google Scholar

[69] Tian XG, Shen YP. Study on generalized magneto-thermoelastic problems by FEM in time domain. Acta Mech Sin. 2005;21:380–7.10.1007/s10409-005-0046-6Search in Google Scholar

Received: 2021-11-14
Revised: 2022-01-29
Accepted: 2022-02-16
Published Online: 2022-05-04

© 2022 Ahmed E. Abouelregal et al., published by De Gruyter

This work is licensed under the Creative Commons Attribution 4.0 International License.

Articles in the same Issue

  1. Regular Articles
  2. Test influence of screen thickness on double-N six-light-screen sky screen target
  3. Analysis on the speed properties of the shock wave in light curtain
  4. Abundant accurate analytical and semi-analytical solutions of the positive Gardner–Kadomtsev–Petviashvili equation
  5. Measured distribution of cloud chamber tracks from radioactive decay: A new empirical approach to investigating the quantum measurement problem
  6. Nuclear radiation detection based on the convolutional neural network under public surveillance scenarios
  7. Effect of process parameters on density and mechanical behaviour of a selective laser melted 17-4PH stainless steel alloy
  8. Performance evaluation of self-mixing interferometer with the ceramic type piezoelectric accelerometers
  9. Effect of geometry error on the non-Newtonian flow in the ceramic microchannel molded by SLA
  10. Numerical investigation of ozone decomposition by self-excited oscillation cavitation jet
  11. Modeling electrostatic potential in FDSOI MOSFETS: An approach based on homotopy perturbations
  12. Modeling analysis of microenvironment of 3D cell mechanics based on machine vision
  13. Numerical solution for two-dimensional partial differential equations using SM’s method
  14. Multiple velocity composition in the standard synchronization
  15. Electroosmotic flow for Eyring fluid with Navier slip boundary condition under high zeta potential in a parallel microchannel
  16. Soliton solutions of Calogero–Degasperis–Fokas dynamical equation via modified mathematical methods
  17. Performance evaluation of a high-performance offshore cementing wastes accelerating agent
  18. Sapphire irradiation by phosphorus as an approach to improve its optical properties
  19. A physical model for calculating cementing quality based on the XGboost algorithm
  20. Experimental investigation and numerical analysis of stress concentration distribution at the typical slots for stiffeners
  21. An analytical model for solute transport from blood to tissue
  22. Finite-size effects in one-dimensional Bose–Einstein condensation of photons
  23. Drying kinetics of Pleurotus eryngii slices during hot air drying
  24. Computer-aided measurement technology for Cu2ZnSnS4 thin-film solar cell characteristics
  25. QCD phase diagram in a finite volume in the PNJL model
  26. Study on abundant analytical solutions of the new coupled Konno–Oono equation in the magnetic field
  27. Experimental analysis of a laser beam propagating in angular turbulence
  28. Numerical investigation of heat transfer in the nanofluids under the impact of length and radius of carbon nanotubes
  29. Multiple rogue wave solutions of a generalized (3+1)-dimensional variable-coefficient Kadomtsev--Petviashvili equation
  30. Optical properties and thermal stability of the H+-implanted Dy3+/Tm3+-codoped GeS2–Ga2S3–PbI2 chalcohalide glass waveguide
  31. Nonlinear dynamics for different nonautonomous wave structure solutions
  32. Numerical analysis of bioconvection-MHD flow of Williamson nanofluid with gyrotactic microbes and thermal radiation: New iterative method
  33. Modeling extreme value data with an upside down bathtub-shaped failure rate model
  34. Abundant optical soliton structures to the Fokas system arising in monomode optical fibers
  35. Analysis of the partially ionized kerosene oil-based ternary nanofluid flow over a convectively heated rotating surface
  36. Multiple-scale analysis of the parametric-driven sine-Gordon equation with phase shifts
  37. Magnetofluid unsteady electroosmotic flow of Jeffrey fluid at high zeta potential in parallel microchannels
  38. Effect of plasma-activated water on microbial quality and physicochemical properties of fresh beef
  39. The finite element modeling of the impacting process of hard particles on pump components
  40. Analysis of respiratory mechanics models with different kernels
  41. Extended warranty decision model of failure dependence wind turbine system based on cost-effectiveness analysis
  42. Breather wave and double-periodic soliton solutions for a (2+1)-dimensional generalized Hirota–Satsuma–Ito equation
  43. First-principle calculation of electronic structure and optical properties of (P, Ga, P–Ga) doped graphene
  44. Numerical simulation of nanofluid flow between two parallel disks using 3-stage Lobatto III-A formula
  45. Optimization method for detection a flying bullet
  46. Angle error control model of laser profilometer contact measurement
  47. Numerical study on flue gas–liquid flow with side-entering mixing
  48. Travelling waves solutions of the KP equation in weakly dispersive media
  49. Characterization of damage morphology of structural SiO2 film induced by nanosecond pulsed laser
  50. A study of generalized hypergeometric Matrix functions via two-parameter Mittag–Leffler matrix function
  51. Study of the length and influencing factors of air plasma ignition time
  52. Analysis of parametric effects in the wave profile of the variant Boussinesq equation through two analytical approaches
  53. The nonlinear vibration and dispersive wave systems with extended homoclinic breather wave solutions
  54. Generalized notion of integral inequalities of variables
  55. The seasonal variation in the polarization (Ex/Ey) of the characteristic wave in ionosphere plasma
  56. Impact of COVID 19 on the demand for an inventory model under preservation technology and advance payment facility
  57. Approximate solution of linear integral equations by Taylor ordering method: Applied mathematical approach
  58. Exploring the new optical solitons to the time-fractional integrable generalized (2+1)-dimensional nonlinear Schrödinger system via three different methods
  59. Irreversibility analysis in time-dependent Darcy–Forchheimer flow of viscous fluid with diffusion-thermo and thermo-diffusion effects
  60. Double diffusion in a combined cavity occupied by a nanofluid and heterogeneous porous media
  61. NTIM solution of the fractional order parabolic partial differential equations
  62. Jointly Rayleigh lifetime products in the presence of competing risks model
  63. Abundant exact solutions of higher-order dispersion variable coefficient KdV equation
  64. Laser cutting tobacco slice experiment: Effects of cutting power and cutting speed
  65. Performance evaluation of common-aperture visible and long-wave infrared imaging system based on a comprehensive resolution
  66. Diesel engine small-sample transfer learning fault diagnosis algorithm based on STFT time–frequency image and hyperparameter autonomous optimization deep convolutional network improved by PSO–GWO–BPNN surrogate model
  67. Analyses of electrokinetic energy conversion for periodic electromagnetohydrodynamic (EMHD) nanofluid through the rectangular microchannel under the Hall effects
  68. Propagation properties of cosh-Airy beams in an inhomogeneous medium with Gaussian PT-symmetric potentials
  69. Dynamics investigation on a Kadomtsev–Petviashvili equation with variable coefficients
  70. Study on fine characterization and reconstruction modeling of porous media based on spatially-resolved nuclear magnetic resonance technology
  71. Optimal block replacement policy for two-dimensional products considering imperfect maintenance with improved Salp swarm algorithm
  72. A hybrid forecasting model based on the group method of data handling and wavelet decomposition for monthly rivers streamflow data sets
  73. Hybrid pencil beam model based on photon characteristic line algorithm for lung radiotherapy in small fields
  74. Surface waves on a coated incompressible elastic half-space
  75. Radiation dose measurement on bone scintigraphy and planning clinical management
  76. Lie symmetry analysis for generalized short pulse equation
  77. Spectroscopic characteristics and dissociation of nitrogen trifluoride under external electric fields: Theoretical study
  78. Cross electromagnetic nanofluid flow examination with infinite shear rate viscosity and melting heat through Skan-Falkner wedge
  79. Convection heat–mass transfer of generalized Maxwell fluid with radiation effect, exponential heating, and chemical reaction using fractional Caputo–Fabrizio derivatives
  80. Weak nonlinear analysis of nanofluid convection with g-jitter using the Ginzburg--Landau model
  81. Strip waveguides in Yb3+-doped silicate glass formed by combination of He+ ion implantation and precise ultrashort pulse laser ablation
  82. Best selected forecasting models for COVID-19 pandemic
  83. Research on attenuation motion test at oblique incidence based on double-N six-light-screen system
  84. Review Articles
  85. Progress in epitaxial growth of stanene
  86. Review and validation of photovoltaic solar simulation tools/software based on case study
  87. Brief Report
  88. The Debye–Scherrer technique – rapid detection for applications
  89. Rapid Communication
  90. Radial oscillations of an electron in a Coulomb attracting field
  91. Special Issue on Novel Numerical and Analytical Techniques for Fractional Nonlinear Schrodinger Type - Part II
  92. The exact solutions of the stochastic fractional-space Allen–Cahn equation
  93. Propagation of some new traveling wave patterns of the double dispersive equation
  94. A new modified technique to study the dynamics of fractional hyperbolic-telegraph equations
  95. An orthotropic thermo-viscoelastic infinite medium with a cylindrical cavity of temperature dependent properties via MGT thermoelasticity
  96. Modeling of hepatitis B epidemic model with fractional operator
  97. Special Issue on Transport phenomena and thermal analysis in micro/nano-scale structure surfaces - Part III
  98. Investigation of effective thermal conductivity of SiC foam ceramics with various pore densities
  99. Nonlocal magneto-thermoelastic infinite half-space due to a periodically varying heat flow under Caputo–Fabrizio fractional derivative heat equation
  100. The flow and heat transfer characteristics of DPF porous media with different structures based on LBM
  101. Homotopy analysis method with application to thin-film flow of couple stress fluid through a vertical cylinder
  102. Special Issue on Advanced Topics on the Modelling and Assessment of Complicated Physical Phenomena - Part II
  103. Asymptotic analysis of hepatitis B epidemic model using Caputo Fabrizio fractional operator
  104. Influence of chemical reaction on MHD Newtonian fluid flow on vertical plate in porous medium in conjunction with thermal radiation
  105. Structure of analytical ion-acoustic solitary wave solutions for the dynamical system of nonlinear wave propagation
  106. Evaluation of ESBL resistance dynamics in Escherichia coli isolates by mathematical modeling
  107. On theoretical analysis of nonlinear fractional order partial Benney equations under nonsingular kernel
  108. The solutions of nonlinear fractional partial differential equations by using a novel technique
  109. Modelling and graphing the Wi-Fi wave field using the shape function
  110. Generalized invexity and duality in multiobjective variational problems involving non-singular fractional derivative
  111. Impact of the convergent geometric profile on boundary layer separation in the supersonic over-expanded nozzle
  112. Variable stepsize construction of a two-step optimized hybrid block method with relative stability
  113. Thermal transport with nanoparticles of fractional Oldroyd-B fluid under the effects of magnetic field, radiations, and viscous dissipation: Entropy generation; via finite difference method
  114. Special Issue on Advanced Energy Materials - Part I
  115. Voltage regulation and power-saving method of asynchronous motor based on fuzzy control theory
  116. The structure design of mobile charging piles
  117. Analysis and modeling of pitaya slices in a heat pump drying system
  118. Design of pulse laser high-precision ranging algorithm under low signal-to-noise ratio
  119. Special Issue on Geological Modeling and Geospatial Data Analysis
  120. Determination of luminescent characteristics of organometallic complex in land and coal mining
  121. InSAR terrain mapping error sources based on satellite interferometry
Downloaded on 29.12.2025 from https://www.degruyterbrill.com/document/doi/10.1515/phys-2022-0019/html
Scroll to top button