Exploring antioxidant potential and phenolic compound extraction from Vitis vinifera L. using ultrasound-assisted extraction
-
Ana G. Luque-Alcaraz
, Cynthia N. Hernández-Téllez
Abstract
The research investigates the extraction of antioxidant phenolic compounds from grape pomace, a wine fermentation byproduct. Ultrasound-assisted extraction (UAE), varying parameters such as solute:solvent ratio, power, and time were utilized. UAE was specifically applied to Vitis vinifera L. using high-intensity ultrasound with ratios of 1:18 and 1:42 g:mL, 250 and 400 W power levels, and extraction times of 15 and 20 minutes. Total phenolic content was quantified via the Folin–Ciocalteau reagent, and total flavonoids were determined using quercetin as a standard. Antioxidant capacity was evaluated through ABTS, FRAP, and DPPH Radical Scavenging Assays, with Trolox equivalent antioxidant capacity (TEAC) for comparison. Results indicated a total phenolic content of 50 to 80 μmol GAE/g d.w., with no significant differences among treatments. Total flavonoid concentration ranged from 2.5 to 4 μmol QE/g d.w. Importantly, the solute:solvent ratio impacted antioxidant capacity, with higher ratios showing increased ABTS radical capacity. Treatment 1, with the highest flavonoid content, exhibited the greatest antioxidant capacity against DPPH radicals. This study underscores the intrinsic correlation between cumulative bioactive compound content and the inherent antioxidant capacity of grape pomace extracts. This highlights the potential application of these extracts as antioxidant reservoirs, poised for integration into functional foods and biomedical nutraceuticals.
1 Introduction
The grape pomace is produced as a by-product of the wine industry and has been exploited as a source of natural bioactive compounds. In a study conducted by da Rocha and Noroña [1], phenolic compounds were extracted from grape pomace using microwave-assisted extraction (MAE) with an acidic aqueous solution containing 2% citric acid as the solvent. This method has also been employed by Álvarez et al. [2], who utilized microwave pretreatment for the extraction of polyphenols, particularly anthocyanins, from grape pomace. The investigation evaluated the impact of MAE pretreatment on extraction yield and product richness, selecting appropriate operating conditions. The polyphenolic yield experienced a notable augmentation of 57%, and the content of anthocyanins in the dried product reached 85%, surpassing the results obtained without microwave pretreatment.
Methanolic extraction has been utilized to assess the quantification of aggregate phenolic content, comprehensive proanthocyanidins, and inherent antioxidant capacity within the grape pomace derived from Vitis vinifera L. varietals, including Carmenere (CA), Cabernet Sauvignon (CS), Chardonnay (CH), and Sauvignon Blanc (SB) [3]. In a recent inquiry [4], an examination was conducted to scrutinize the phenolic composition of grape pomace from Syrah and Chardonnay varieties.
The relevant application of phenolic compounds derived from grape pomace lies in their antioxidant and bioactive properties, making them valuable for use in functional foods and nutraceuticals [5,6]. Recent consumer interest in health-promoting foods has spurred investigations into creating phenolic extracts for fortification and supplementation. Various studies have explored the integration of grape pomace extracts into a range of food products such as crackers, cakes, dairy items, and pasta [7,8,9,10]. These fortified foods not only improve product stability and shelf life but also offer health benefits, including antioxidant, anti-inflammatory, and antimicrobial effects for consumers [11]. Nevertheless, the interactions between phenolic compounds and the food matrix can influence factors like bioaccessibility and bioavailability [12]. Further research is still necessary to refine extraction methods and enhance the preservation of stability and activity in grape pomace phenolics throughout processing, storage, and consumption.
Apart from their antioxidant characteristics, recent research spanning the last decade has unveiled the anticancer effects inherent in phenolic compounds derived from grape pomace [13,14,15]. In vitro studies have illustrated their ability to impede proliferation [16], induce apoptosis [17], and hinder metastasis in various human cancer cell lines, including those associated with breast, colon, and prostate cancers [18]. To translate these promising outcomes, additional clinical trials are necessary, not only to establish the safety of grape pomace supplements but also to determine effective doses. Leveraging this anticancer potential could open the door to innovative therapeutic applications for this abundant by-product of winemaking.
This investigation aimed to evaluate not only their antioxidant and prooxidant characteristics but also their potential antiproliferative effects on melanoma cancer cells. The extraction of polyphenolic compounds was achieved through the utilization of a hydroalcoholic solvent (ethanol/water 1:1 v/v). A stronger prooxidant activity was observed when treating cells with 250 μg·mL−1 of the extract, and at higher doses of the extract (250 μg·mL−1 for 12/24 h), the viability of the cancer cells decreased by 25% to 50% compared to the control, depending on the treatment time, dose, and extract origin. Historically, established extraction techniques, including percolation, maceration, and solvent extraction, have been customary. Nevertheless, these methodologies are beset with constraints concerning their efficacy and extraction duration [19]. UAE is an emerging technique that is gaining importance for obtaining phenolic compounds from various raw materials. The UAE utilizes high-frequency sound waves to enhance the efficiency of the extraction process. The approach is founded upon the induction of cavitation, a phenomenon characterized by the creation and subsequent collapse of bubbles within a liquid medium induced by the influence of high-frequency sound waves. Cavitation induces intense agitation and improves the solubility of phenolic compounds in the liquid, thereby increasing the extraction efficiency [20]. Additionally, UAE reduces the extraction time compared to conventional methods. The technique is environmentally friendly as it avoids the use of toxic solvents and generates no harmful waste [21].
In the UAE, electromagnetic waves penetrate the materials and interact with polar groups, leading to the generation of heat and promoting the heating of both the solid and the solvent. This heating is based on ionic conduction and dipole rotation, which result in friction and collisions between ions and dipoles, ultimately causing disruption or alteration of the cellular structure and facilitating the extraction of bioactive compounds [22].
The choice of extraction method plays a crucial role in the yield and cost of phenolic extracts. It is essential to employ methods that provide high yields and quality of active compounds using non-toxic solvents and cost-effective procedures, ensuring the efficacy and commercial viability of the final product [23]. In fact, the UAE has emerged as a promising alternative to enhance the efficiency and speed of extraction of phenolic compounds with antioxidant and bioactive properties [24]. It has been successfully utilized for extracting phenolic compounds from a wide range of raw materials, including plants, fruits, vegetables, agricultural residues, and other biological materials. Numerous studies have investigated the antioxidant capacity of phenolic compounds extracted using UAE, demonstrating their potential to scavenge free radicals, inhibit lipid peroxidation, and protect against oxidative damage [25]. The increased extraction efficiency of UAE results in higher yields of phenolic compounds, leading to greater antioxidant activity. However, the antioxidant capacity can vary depending on factors such as extraction parameters (temperature, time, and power), solvent composition, and the source of the phenolic compounds [26]. Phenolic compounds constitute a multifaceted array of secondary metabolites, encompassing flavonoids, phenolic acids, tannins, and lignans. Their inherent antioxidant attributes emanate from their capacity to counteract free radicals and impede oxidative stress [27]. The present study focused on the valorization of grape pomace, a residual byproduct of the winemaking industry, through the implementation of UAE. This research converts grape pomace, typically regarded as waste, into a repository of bioactive antioxidant agents. The significance of this work lies in exploring the utilization of industrial residues generated in substantial quantities, positioning them as a sustainable and environmentally responsible source of bioactive compounds. The application of UAE technology not only enables the efficient extraction of these compounds but also contributes to the creation of a functional source of antioxidants with diverse beneficial applications for human health.
2 Materials and methods
2.1 Reagents
All utilized reagents and solvents were of analytical caliber. Folin–Ciocalteu’s phenol reagent and gallic acid were procured from Merck (Darmstadt, Germany). 6-Hydroxy-2,5,7,8-tetramethylchroman-2-carboxylic acid (Trolox), 2,2-diphenyl-1-picrylhydrazyl radical (DPPH), and 5,5-dimethyl-1-pyrroline-N-oxide (DMPO) spin trap were sourced from Sigma Aldrich (St. Louis, MO).
2.2 Sample collection and preparation
In this study, grape pomace (Vitis vinifera L.) of the Syrah variety was used, which was collected from the L.A. CETTO Plant in Valle de Guadalupe, Ensenada, Baja California Grape pomace is obtained as a byproduct of the wine industry. Initially, the grape pomace was transported in plastic bags to the Universidad Estatal de Sonora (UES) in Hermosillo, Sonora. Subsequently, it was placed in a freezer at a temperature of −18°C until further use. A manual cleaning was performed to separate the existing stems and leaves from the raw grape pomace, leaving only the seeds and skin. The sample was then lyophilized (Labconco FreeZone 12, Kansas City, MO, USA) at −61°C, 2.4 × 10−4 Pa, for 72 h. The lyophilized grape pomace (skin and seeds) was ground using a 600 W processor and sieved through a T20 sieve (0.085 mm, Marca FICCS S.A de CV México), the entire process is depicted in Figure 1. Finally, the sample was stored in darkness at room temperature until it was subjected to the extraction process.

Preparation and processing of grape pomace (Vitis vinifera L.).
2.3 Statistical analysis
UAE of grape pomace was conducted using a 2K factorial design, where k = 3 (solute:solvent ratio, 1:18 and 1:42 g:mL; power, 250 and 400 W; time, 15 and 20 min). Statistical evaluations of overall phenolic content, flavonoids, and antioxidant activity were executed through a two-way analysis of variance using NSCC v.8 for Windows. In all instances, the disparities between mean values were scrutinized via Tukey’s test, with a significance threshold of 5%.
2.4 Ultrasound-assisted extraction (UAE)
The extraction of antioxidant compounds from grape pomace was performed by ultrasonic irradiation using a high-intensity ultrasound processor, the Ultrasonic Processor Q500. The ultrasound was equipped with a sonotrode (head area of 3/4″). Sonication was performed at 20 kHz with an operation temperature of 30 ± 5°C monitored by a thermometer. The sonotrode was immersed for 2 cm in the extraction solution. Extractions were performed in duplicate in a 300-mL beaker, using 96% ethanol and ultrapure water as solvents in a 50% ratio (water 100 mL–ethanol 100 mL). Eight treatments with different extraction conditions were used (solute ratio, ultrasound power, and extraction time): treatment 1 (1:18, 250 W, and 15 min), treatment 2 (1:18, 250 W, and 20 min), treatment 3 (1:18, 400 W, and 15 min), treatment 4 (1:18, 400 W, and 20 min), treatment 5 (1:42, 250 W, and 15 min), treatment 6 (1:42, 250 W, and 20 min), treatment 7 (1:42, 400 W, and 15 min), and treatment 8 (1:42, 400 W, and 20 min). Once this process was carried out, the extracts were centrifuged (Heraeus Multifuge X3R) at 4°C at 9,000 rpm for 30 min. The ethanol contained in the supernatant was evaporated in a convection oven (Linderberg/Blue M, Asheville, NC, USA) at 40°C 72 h and subsequently lyophilized (Labconco FreeZone 12, Kansas City, MO, USA) at -61°C and 72 h to obtain the powdered extract. The entire process is depicted in Figure 2.

Ultrasound-Assisted Extraction (UAE) of antioxidant compounds from grape pomace (Vitis vinifera L.).
2.5 Quantification of total phenol content
Incubation procedures were carried out in test tubes by combining 50 µL of each sample with 3.0 mL of distilled water, 0.25 mL of Folin-Ciocalteau reagent, 0.75 mL of 20% Na2CO3, and 0.950 mL of distilled water. After a 3-minute interval, 1.0 mL of sodium carbonate solution was introduced, initiating a 60-minute reaction period conducted in darkness [28]. Subsequent spectrophotometric readings were taken at 765 nm. A calibration curve using gallic acid was established, and the results were expressed in micromoles of gallic acid equivalents per gram of dry weight (μmol GAE/g d.w). All analytical determinations were conducted in triplicate.
2.6 Quantification of total flavonoids
In this procedure, the AlCl3 test was conducted [29]. A 500 μL aliquot was withdrawn from each respective sample and mixed with 2 mL of water and 150 µL of a 10% (w/v) AlCl3 solution. Following a 10-minute incubation in the absence of light at room temperature, 1 mL of 1 M sodium hydroxide (NaOH) and 1.2 mL of distilled water were added to the mixture. After another 15-minute incubation in the dark at room temperature, the sample was analyzed using a spectrophotometer, with detection performed at a wavelength of 430 nm. Quercetin served as the reference standard in this procedure. Consequently, results are expressed in terms of micromoles of quercetin equivalent per gram of dry weight (μmol QE/g d.w) [30].
2.7 Antioxidant capacity ABTS assay
The antioxidant capacity of a sample can be measured by the ABTS method, which consists of the color change from green to blue produced by the radical cation. To do this, 19.2 mg of ABTS was dissolved in 5 mL of water and then propagated by oxidation with potassium persulfate (K2S2O8, 4.95 mM), for 12 h at 25°C, protecting from light. Then, to reach an absorbance of 0.7 at 734 nm, the ABTS was prepared at a concentration of 0.2 M, adjusted to pH 7.4. A reaction of 200 mL of the ABTS prepared with 20 mL of sample was carried out, and after 30 min, the absorbance was read at 734 nm. The antioxidant activity was reported as a percentage inhibition of ABTS radicals. Eq. 1 was obtained to determine the sweeping capacity.
where Abs0 is the absorbance of water (control); Abs1 is the absorbance of the sample with ABTS; Abs2 is the absorbance of water with ABTS.
The Trolox Equivalent Antioxidant Capacity (TEAC) assay is performed by comparing a reference antioxidant standard (Trolox®), which is based on the ability of a sample to reduce the ABTS radical. A curve was made in the range of 100 to 800 μmol·mL−1 of Trolox®, and the absorbance was measured in a microplate reader at 734 nm. Values were expressed as micromoles of Trolox® equivalent per g of sample (μmol TE/g d.p.).
2.8 Antioxidant capacity FRAP assay
The assessment of ferric reduction capacity was conducted utilizing the Ferric Reducing Antioxidant Power (FRAP) assay. The FRAP reagent was meticulously prepared using an acetate buffer with a pH of 3.6, comprising a 10 mM solution of 2,4,6-tri(2-pyridyl)-s-triazine (TPTZ) in 40 mM hydrochloric acid (HCl) and a 20 mM solution of iron (III) chloride, with these components being combined in volumetric ratios of 10:1:1 (v/v/v) [31]. The experimental treatments underwent diverse dilution protocols. After aliquoting 20 µL of the test sample, 280 µL of the FRAP reagent was introduced. In tandem, a standard Trolox solution was meticulously prepared and subsequently subjected to analogous conditions. The ensuing chemical reaction was sustained for a duration of 30 min, subsequent to which the absorbance was quantified at a wavelength of 638 nm. The final quantification was expressed in terms of micromoles of Trolox equivalent per gram of dry weight (µmol TE/g d.w).
2.9 DPPH radical scavenging assay
The assessment of DPPH radical scavenging efficacy was conducted following the methodology delineated by Hu et al. [32]. Initial preparations involved the dilution of experimental treatments at varying concentrations. Subsequently, each concentration (50 µL) was meticulously combined with a methanolic DPPH solution (0.2 mL) set at a concentration of 0.4 mM. This amalgam was subsequently introduced into dedicated wells within a 96-well microplate. The ensuing reaction was orchestrated under light-free conditions, maintaining a controlled temperature of 25°C for a duration of 30 minutes. Upon completion of the reaction, quantification of absorbance transpired at a specific wavelength of 515 nm. To provide a contextual reference, a standard Trolox solution underwent meticulous preparation and concomitant exposure to identical reaction conditions [31]. Moreover, the antioxidant concentration corresponding to a 50% inhibition of the DPPH radical (IC50 DPPH) was ascertained. This determination was achieved through the construction of a graphical representation depicting the scavenging percentage vis-à-vis the concentration of the antioxidant (mg·mL−1) under scrutiny, facilitated by the implementation of linear regression analysis [28].
2.10 Antioxidant capacity expressed in Trolox equivalent
The Trolox equivalent antioxidant capacity (TEAC) assay is predicated upon the intrinsic ability of a given specimen to effectuate the reduction of the ABTS radical in relation to a well-established reference (Trolox®). The construction of a calibration curve spanned the analytical range of 100–800 μmol·mL−1 Trolox® concentrations. The monitoring of absorbance occurred at a specific wavelength of 734 nm, with the resulting measurements translated into quantifications denoted as μmol of Trolox® antioxidant equivalence per gram of the assessed sample [33].
3 Results and discussion
3.1 Quantification of phenolic compounds
The quantification of phenolic compounds extracted from grape pomace in the UAE was carried out using the Folin–Ciocalteu method. This methodology has been reported for determining total phenolic compounds. Quantitative determination was executed via spectrophotometric analysis, a technique founded upon a redox reaction involving the phenolic constituents inherent to the specimen and the Folin–Ciocalteu reagent. This reagent contains a mixture of sodium tungstate and sodium molybdate in phosphoric acid, resulting in yellow phosphomolybdotungstic acid. This acid can be reduced by the phenolic groups in the sample, leading to an intense blue color. The colored product exhibits a maximum absorption at 760 nm [34]. Figure 3 illustrates the outcomes derived from the quantitative assessment of total phenolic content, thereby substantiating the presence of these compounds within the extracts acquired through distinct treatment modalities. It is noteworthy that Treatment 6 evinced a diminished concentration of total phenolic content, ranging between 50 and 60 μmol GAE/g d.w. Statistical scrutiny revealed that for the majority of treatment conditions, no statistically significant disparities (p > 0.05) were discerned as a consequence of the interplay among the three assessed variables, namely solute:solvent ratio, power, and time. The obtained results delineated a concentration spectrum spanning from 50 to 80 μmol GAE/g d.w., surpassing the value documented by Drevelegka and Goula [21], who performed UAE of grape pomace and obtained a maximum yield of 33.88 μmol GAE/g d.w. with a solute:solvent ratio of 8 g:mL, 40% amplitude, and a 10 min extraction time using 50% v/v ethanol. Their investigation encompassed the analysis of yield, activities, and the extraction process of antioxidants from grape pomace, culminating in the deduction that grape pomace indeed constitutes a viable and sustainable reservoir of inherent natural antioxidants and phenolic compounds. The outstanding performance achieved in this study can be primarily attributed to exposure to UAE, but above all, to the particle size of the sample prior to extraction. The use of a sieve size of 0.085 mm, as opposed to the 0.3 mm used in the mentioned experiment, may have led to a greater surface area of contact. The above achieved an increase in the efficiency of UAE.

The quantification of total phenols within grape pomace (Vitis vinifera L.) extracts acquired through distinct UAE treatments is presented. Each data point is denoted as the mean ± standard deviation (n = 4). The utilization of varying letters (a, b, c) indicates noteworthy differences in statistical significance (p < 0.05) among the depicted means.
In another study conducted by González-Centeno et al. [35], the effect of different variables on grape pomace extraction was evaluated, including ultrasound frequency (40, 80, and 120 kHz), ultrasound power (50, 100, and 150 W), and extraction time (5, 15, and 25 min) on total phenols. They found that a frequency of 40 kHz, a power of 150 W, and a 25-minute extraction time allowed for a maximum of 32.31 mmol GAE/g d.w. for total phenols. However, they observed a decrease in total phenolic compounds when increasing the ultrasound frequency to moderate values (70–80 kHz), and the highest quantity of phenols was obtained at low frequencies as ultrasound power increased. The observed disparities in the results can be attributed, primarily, to the particle size employed in the UAE technique. In the mentioned study, particles with an average size of 7 mm were utilized. Second, the differences may be linked to the power used in the process; whereas the mentioned study employed a maximum power of 150 W, in the current work, levels of 250 and 400 W were utilized. It is speculated that higher power in the UAE could have intensified the cavitation effect, resulting in increased efficiency in the extraction of bioactive compounds. On the other hand, Shirsath et al. [36] highlighted that applying frequencies in the range of 18–40 kHz can achieve sufficient cell wall disruption to enhance mass transfer, thereby aiding in compound extraction.
The use of UAE for obtaining bioactive compounds from grape pomace has proven to be useful, particularly in the extraction of phenolic compounds. A study published by Luo et al. [27] presented the UAE of phenols from grape pomace. The results showed that ultrasound extraction significantly increased the phenolic content compared to other conventional methods. Additionally, higher antioxidant activity was observed in the extracts obtained through the UAE. Another study conducted by Medina-Torres et al. [26] evaluated the influence of ultrasound extraction parameters, such as temperature and extraction time, on the phenolic content of grape pomace. They found that increasing the temperature and extraction time led to a higher phenolic content in the extracts. Moreover, the use of suitable solvents and optimization of ultrasound extraction parameters can further improve the yield of extracted phenols. Regarding the antioxidant capacity of the extracts, Turker and Isleroglu [25] conducted a study to investigate the antioxidant capacity of the UAE phenolic compounds (13.99 ± 1.8 μg GAE/g d.w) from grape pomace using 80% amplitude and 20 min. The results demonstrated that ultrasound extraction enhanced the antioxidant activity of the extracted phenols, indicating their potential as protective agents against oxidative damage.
The manifestation of antioxidant activity has been documented in bioactive compounds derived from diverse botanical origins, as evidenced by findings from a study conducted by Beres et al. [37]. In this study, the antioxidant activity of Pinot Noir grape pomace flour from Brazil was evaluated. The grape pomace flours were sieved and classified as coarse (G; particle diameter, >355 μm), which exhibited 0.2163 ± 0.0014 mg GAE/g d.w, medium (M; particle diameter, 354–250 μm) with 0.2671 ± 0.0028 mg GAE/g d.w., and fine (F; particle diameter, <249 μm) with 0.43 ± 0.049 GAE/g d.w. The assessment of ABTS scavenging capacity revealed a discernible augmentation in antioxidant activity concurrent with a reduction in particle size. This observation culminates in the deduction that there exists a positive correlation between the diminution of particle size and the concurrent enhancement of antioxidant activity. Therefore, it is important to consider particle size in the UAE process.
3.2 Quantification of total flavonoids
The determination of total flavonoid content within the grape pomace extracts was undertaken in accordance with the established procedure outlined by Domínguez-Perles et al. [38]. This is a spectrophotometric assay based on the formation of complexes with aluminum and relies on the formation of an Al–Flavonoid complex. First, the flavonoid is nitrated (with NaNO2) at C-3 or C-4 of an unsubstituted or sterically unhindered aromatic ring. Then, AlCl3 is added, where the hydroxyl groups at C-3 and C-5 of the B ring coordinate with an Al atom, forming a yellow-colored complex. Subsequently, an alkaline compound (NaOH) is added, and the reaction is stopped, resulting in an intense orange color that is measured at 510 nm. The results are reported as micromoles equivalents of quercetin per gram of dry sample (μmol QE/g d.w), which are calculated from a quercetin standard curve.
Quantification of total flavonoids confirmed the presence of these bioactive compounds in grape pomace extracts. The results are shown in Figure 4, indicating that the different treatments exhibited a concentration of total flavonoids within the range of 2.5–4 μmol QE/g d.w. It is noteworthy that the application of treatment 1 yielded the highest amount of flavonoids (p < 0.05), ranging from 3.7 to 4 μmol QE/g d.w. These findings align with a study conducted by Drosou et al. [39], where a recovery of grape pulp extract resulted in a flavonoid content of 4.36 ± 1.2 μmol QE/g d.w. The authors reported that the sample underwent a process of grinding and subsequent air drying, leading to the inference that the drying procedure and the concomitant augmentation in surface area due to the grinding process collectively contributed to the enhanced retrieval of these flavonoid compounds. Ozkan et al. [40] reported the total flavonoid content in fresh grapes (hybrid of V. labrusca-V. vinifera L.) to be 4.6 ± 0.2 μmol QE/g d.w. This content was influenced by the applied drying process (p > 0.05), as samples subjected to lyophilization showed a higher flavonoid content compared to those subjected to hot air drying at 60°C with an air velocity of 2 m·s−1, demonstrating the beneficial effect of lyophilization on extraction. Additionally, Gulati and Datta [41] report that the sonication process enhances the rate of water removal within the material’s surface by creating microscopic channels through compression and expansion. Hence, in the present study, UAE was employed for improved extraction of bioactive compounds. They also mention that the outer surface can act as an impermeable barrier, restricting water vapor transfer to the surrounding environment and potentially causing the waxy outer surface to become vitreous, thereby limiting water mobility and prolonging drying time when ultrasound is used.

Quantification of flavonoids in grape pomace (Vitis vinifera L.) extracts obtained by the different UAE treatments. Each data point is denoted as the mean ± standard deviation (n = 4). The utilization of varying letters (a, b, c) indicates noteworthy differences in statistical significance (p < 0.05) among the depicted means.
Peixoto et al. [42] assessed the phenolic profile inherent to grape pomace derived from Vitis vinifera L., encompassing the constituents present in the skins and seeds as well as their amalgamation. The results indicated the presence of flavonoids and flavan-3-ols (catechin, epicatechin, and pro anthocyanidins). Furthermore, it has been reported that grape skins exhibit high concentrations of anthocyanins (7.9 ± 0.1 μg·g−1), highlighting these by-products as an important source of bioactive molecules. Numerous studies have reported that flavonoids have received attention due to their diverse properties with medical relevance, such as their use as antiallergic, anti-inflammatory, antioxidant, antitumor, antimicrobial, estrogenic, and enzyme-inhibiting agents [43].
3.3 Antioxidant capacity-ABTS assay
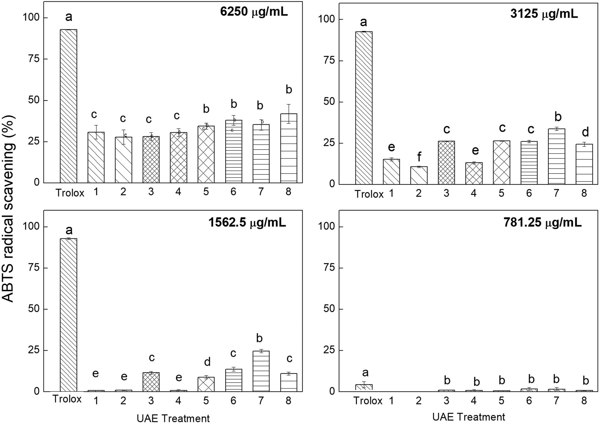
Grape pomace stands out as a notable biodegradable residue originating from the viticultural sector, encompassing grape seeds, skins, and stalks. It inherently harbors substantial quantities of phenolic compounds, flavonoids, and anthocyanins, which collectively exhibit robust antioxidant attributes [44]. Within the scope of the ongoing investigation, the evaluation of the antioxidant efficacy inherent to grape pomace extracts was undertaken employing the ABTS assay. This spectrophotometric assay is based on electron transfer and measures the ability of an antioxidant sample to reduce a color-changing oxidant. Precisely, this assay entails the quantification of color diminution that ensues upon the addition of an antioxidant to the blue-green chromophore, ABTS. The role of the antioxidant is to effectuate the reduction of ABTS•+ to ABTS, thereby resulting in the discoloration of the solution. This alteration in color intensity was subsequently measured at a wavelength of 734 nm [45]. Figure 5 displays the ABTS results, confirming the presence of antioxidant activity in the ethanolic extracts of grape pomace obtained through the UAE. The extracts derived from the array of eight treatment modalities did not manifest statistically significant variances (p > 0.05) when subjected to evaluation at a concentration of 781.25 μg·mL−1. However, when the concentration was increased to 1,562.5 and 3,125 μg·mL−1, significant differences (p < 0.05) were observed between the treatments. A clear effect of the solute:solvent ratio (g:mL) factor was observed when applying a concentration of 6,250 μg·mL−1, treatments 1, 2, 3, and 4 did not exhibit significant differences (p > 0.05), exhibiting 25–35% ABTS radical scavenging when using a solute:solvent ratio of 1:18 g:mL. This same behavior was observed when evaluating the antioxidant capacity of treatments 5,6,7 and 8 (1:42 g:mL solute:solvent ratio), showing results within a range of 30–45% ABTS radical scavenging. These results indicate that the highest solute:solvent ratio results in a higher antioxidant capacity against the ABTS radical.

Antioxidant capacity of grape pomace extract by ABTS using Trolox as a reference antioxidant. The utilization of varying letters (a, b, c) indicates noteworthy differences in statistical significance (p < 0.05) among the depicted means.
The antioxidant capacity of dried Isabel black grapes (a hybrid of V. labrusca L.V. vinifera L.) using different drying methods was also investigated, with the ABTS value of Isabel black grapes reported as 70.01 μmol TE/g d.w. The most effective drying method was found to be lyophilization [40]. Following a study by Breksa et al. [46], which reported ABTS values of 16 commercial raisins (Vitis vinifera L.) ranging from 7.7 to 60.9 μmol TE/g d.w., it can be concluded that the lyophilization drying method effectively retains compounds and enhances antioxidant capacity.
The results of the ABTS assay were consistent with findings reported by Zhang and Tsao [47], who explained that phenolic compounds and flavonoids possess effective radical scavenging activity. The authors also postulated that the observed antioxidant activity could potentially be attributed to the quantity and specific arrangement of hydroxyl groups within the molecular structure. Quercetin, which contains a 3-hydroxy group, exhibits relatively higher activity in neutralizing free radicals compared to those without this structure. In the present study, a quercetin standard curve was constructed, and the extracts were compared to this standard. The presence of antioxidant activity in a compound or sample inhibits the oxidation process and may also exhibit antiradical activity by inhibiting the activity of free radicals [45]. Based on the above, it can be inferred that the analyzed extracts in the present study have the potential to be used as antioxidants.
3.4 Antioxidant capacity – DPPH assay
The assessment of the antioxidant potential inherent in grape pomace extracts was additionally conducted via the DPPH assay. This technique employs spectrophotometric analysis to ascertain the capacity of compounds within the sample to effectuate the reduction of DPPH, a radical that is typically absent in biological contexts. This system utilizes a stable free radical, meaning that it provides information about its radical scavenging or antioxidant capacity. In this case, the color intensity decrease is related to the concentration of antioxidants in the sample and is determined at 515 nm [45].
The antioxidant activity can be considered one of the most notable bioactivities of phenolic compounds derived from grape pomace. It depends on the number of hydroxyl groups present in the specific molecule, and its activity can be enhanced by steric interference or hindrance [48]. The results of the assay (Figure 6) indicated low DPPH radical scavenging (%) when tested at 781.25 μg·mL−1. However, as the concentration increased to 1,562.5 μg·mL−1, the antioxidant capacity of the extracts from all treatments increased, reaching approximately 40–50%. Further increasing the concentration to 3,125 μg·mL−1 resulted in an even higher DPPH radical scavenging of 65–80%. The extracts obtained from treatment 1 exhibited the highest antioxidant capacity at concentrations of 1,562.5 and 3,125 μg·mL−1, and they also had the highest flavonoid content. Finally, when analyzing the effect of a concentration of 6,250 μg·mL−1, a substantial increase in the antioxidant effect of all treatments on DPPH radical scavenging (%) was observed.

The antioxidant capacity of grape pomace extract was evaluated through the DPPH assay, with Trolox employed as a reference antioxidant. The differentiation of letters (a, b, c) conveys the presence of statistically significant disparities (p < 0.05) among the represented values.
It is noteworthy to mention that the antioxidant properties of grape pomace extracts have been supported by similar outcomes derived from the pomace of red wine grape cultivars (Cabernet Franc) and white wine grape cultivars (Chardonnay). These extracts, formulated utilizing an ethanol concentration of 80% as the extraction solvent, exhibited significant DPPH radical scavenging capacities. Specifically, the assessment revealed that one milligram of red wine grape pomace and white wine grape pomace exhibited the capacity to quench 66.1 ± 0.6 and 67.4 ± 4.1% of DPPH radicals within the reaction medium, respectively. Notably, the comparison of these pomace extracts did not yield statistically significant distinctions (p > 0.05) [49]. Thus, it is discerned that the incorporation of grape pomace into the dietary landscape contributes substantively to the augmentation of cardiovascular well-being within the intestinal milieu. This beneficial impact can be attributed to the orchestration of factors such as blood lipid and glucose regulation, facilitation of appetite control, amelioration of inflammatory and oxidative stress responses, and the cultivation of a favorable composition of gut microbiota [11].
3.5 IC50 concentration
The IC50 value holds pervasive utility as a metric for the quantification of the antioxidant potential inherent in natural extracts. Grape pomace, a consequential by-product of the winemaking sector, has garnered noteworthy consideration owing to its discernible health-promoting attributes stemming from the abundance of phenolic compounds endowed with antioxidant attributes. The IC50 outcomes are detailed in Table 1. The DPPH and ABTS assays are commonly employed to assess the radical scavenging and reducing abilities of extracts. This research aimed to determine the IC50 values of grape pomace extracts using these assays, providing valuable insights into their antioxidant potential. In this investigation, different concentrations of the grape pomace extracts were mixed with DPPH and ABTS solutions and incubated for a specified time.
IC50 Values of UAE treatment samples as determined by abts and dpph methods antiradical potential expressed as IC50 (µg·mL−1), representing the concentration resulting in 50% ABTS and DPPH inhibition under defined conditions
UAE treatment | Solute:solvent ratio (g:mL) | Power (w) | Time (min) | ABTS (µg·mL−1) | DPPH (µg·mL−1) |
---|---|---|---|---|---|
1 | 1:18 | 250 | 15 | 9,843.29 | 2,428.52 |
2 | 1:18 | 250 | 20 | 14,688.00 | 1,808.54 |
3 | 1:18 | 400 | 15 | 7,255.75 | 1,821.24 |
4 | 1:18 | 400 | 20 | 22,465.71 | 2,103.14 |
5 | 1:42 | 250 | 15 | 17,152.88 | 2,013.21 |
6 | 1:42 | 250 | 20 | 10,458.40 | 2,048.56 |
7 | 1:42 | 400 | 15 | 11,014.00 | 1,858.20 |
8 | 1:42 | 400 | 20 | 11,664.48 | 2,164.17 |
The assessment involved measuring absorbance at a specific wavelength, followed by calculating the percentage inhibition of DPPH and ABTS. Subsequently, a dose–response curve was generated, allowing for the determination of the IC50 value. It is pertinent to note that multiple studies have indicated that the bioactive compound content and antioxidant activity of grape pomace extracts, obtained through UAE, can be influenced by various factors, including power, time, and their interactive effects [1]. The IC50 results for ABTS are shown in Table 1. It can be observed that in a solute:solvent ratio of 1:18, lower IC50 values were obtained in the extracts of treatments where ultrasound was applied for 15 min, while for a time of 20 min, the IC50 values were higher. On the other hand, when using a solute:solvent ratio of 1:42, similar IC50 values were obtained for treatments 7 and 8, indicating no effect of ultrasound time.
The IC50 values obtained from the DPPH assay demonstrated a consistent pattern among the various treatments, except for treatment 1, where a distinct departure was evident. This discrepancy emphasizes the notable influence of the increased flavonoid content facilitated by treatment 1 in the extraction of bioactive compounds from grape pomace. These findings align cohesively with the established correlation illustrating the cumulative content of total phenolic and flavonoid compounds, coupled with the resultant antioxidant capacity displayed by the obtained extracts [50]. It is important to emphasize that there is evidence from research supporting the applications of grape pomace extracts in the treatment of various conditions. Among these, the antitumor activity of Bulgarian Mavrud grape pomace extracts and their antioxidant and antitumor effects against breast cancer have been highlighted. Dose–response curves were systematically interrogated within the cellular milieu of mammary gland type A adenocarcinoma (MCF-7) and the triple-negative breast cancer cell line (MDA MB-231) [51]. Concurrently, recent inquiries have elucidated the transient ramifications inherent to grape pomace extracts on mitochondrial functionality while concurrently distinguishing their impact from that exerted on the viability of HepG2 cells. Notably, the observed effects encompassed the amplification of mitochondrial respiration, with particular emphasis on the augmentation of the fraction of oxygen consumption dedicated to fueling adenosine triphosphate (ATP) synthesis. These discernible physiological alterations were accompanied by a conspicuous augmentation in the cellular antioxidative capacity [33].
3.6 Antioxidant capacity expressed in Trolox equivalent
The assessment of the antioxidant potential intrinsic to grape pomace extracts was further conducted through the utilization of the Ferric Reducing Antioxidant Power (FRAP) assay. This methodology entails a spectrophotometric technique designed to quantify the capability of a given sample to effectuate the reduction of ferric iron. The mechanism underlying this assay is predicated upon the reduction of the ferric iron and the ensuing transformation of the TPTZ complex into its ferrous form, a process executed under low pH conditions. The degree of reduction is quantified by monitoring the alteration in absorbance exhibited at a wavelength of 638 nm [45].
The observed reduction of ferric iron within grape pomace extracts serves as a corroborative indicator of the presence of constituents endowed with antioxidant activity. Table 2 shows the results, indicating values ranging from 26 to 45 µM TE/g d.w. It can be observed that treatments 1 and 7 were statistically equal in terms of Trolox equivalent (µmol TE/g d.w.) concerning FRAP, reflecting the effect of time (15 min). In the case of treatments 5, 6, and 8, they were statistically equal, demonstrating the effect of the solute:solvent ratio (1:42). In a study conducted by Zhu et al. [52], the antioxidant properties of grape pomace extracts were evaluated, and it was indicated that the reducing power of the compounds is closely related to their electron transfer capacity. Therefore, we can infer that the compounds present in the sample are antioxidants, as according to the values reported in this study, they can reduce Fe + by donating electrons, thus demonstrating a positive correlation between the content of bioactive compounds in the sample and its Fe + reduction capacity. The reduction of the ferric complex is increased by the phenolic content present in the grape pomace extract [53].
Assessment of antioxidant capacity in grape pomace extracts via ABTS, DPPH, and FRAP methods outcomes are presented as trolox equivalent micromoles per gram of dry sample (µmol TE/g d.w.)
UAE treatment | Solute:solvent ratio (g:mL) | Power (w) | Time (min) | ABTS | DPPH | FRAP |
---|---|---|---|---|---|---|
1 | 1:18 | 250 | 15 | 23.46 ± 2.53ª | 224.96 ± 0.55a | 26.49 ± 2.71a |
2 | 1:18 | 250 | 20 | 21.57 ± 1.12ª | 223.45 ± 2.67ª | 38.62 ± 1.12b |
3 | 1:18 | 400 | 15 | 20.75 ± 4.47ª | 224.30 ± 2.50ª | 41.51 ± 3.15b |
4 | 1:18 | 400 | 20 | 22.81 ± 1.29ª | 223.69 ± 2.39ª | 32.53 ± 1.81c |
5 | 1:42 | 250 | 15 | 24.52 ± 2.31ª | 226.72 ± 1.37ª | 34.90 ± 1.26c |
6 | 1:42 | 250 | 20 | 29.09 ± 1.83b | 225.39 ± 0.44ª | 32.21 ± 3.01c |
7 | 1:42 | 400 | 15 | 32.48 ± 3.51b | 225.22 ± 0.78ª | 27.16 ± 3.46a |
8 | 1:42 | 400 | 20 | 32.64 ± 3.36b | 225.75 ± 1.22ª | 31.64 ± 1.72c |
The reported data reflect mean values ± standard. Deviation (n = 3). Variable letters within a given row indicate statistically noteworthy distinctions (p < 0.05).
The ABTS results reveal a statistically significant difference among treatments, primarily attributed to the effect of the solute:solvent ratio. Lower Trolox equivalent values (µmol TE/g d.w.) are predominantly observed in treatments employing a 1:18 solute:solvent ratio. Conversely, in the case of DPPH, no significant differences (p > 0.05) were discerned among the results of the applied treatments, with values hovering around 225 µmol TE/g d.w. These outcomes align with those documented for grape pomace flour from Niagara Rosada (255 μg·mL−1) and Niagara Rosada 50% Bordo 50% (292.9 μg·mL−1) [6]. On the contrary, these values are surpassed by those reported for Syrah (360.41 µmol TE/g d.w) and Chardonnay (453.02 µmol TE/g d.w) extracts obtained using a hydroalcoholic solvent (ethanol/water 1:1 v/v) [4]. Notably, in grape pomace seeds of the Mavrud variety, the highest antioxidant activity was observed (653.77 μmol TE/g), indicating that grape seeds are inherently richer in antioxidant compounds [51].
4 Conclusions
The utilization of UAE finds widespread acceptance in industries and investigation fields for the extraction of phenolic compounds from renewable raw materials. This methodology obviates the necessity for deleterious solvents, diminishes energy consumption, and notably curtails both extraction time and temperature. The quantitative evaluation of total phenolic content and total flavonoids, the results obtained revealed a concentration spectrum ranging from 50 to 80 μmol GAE/g d.w. and total flavonoids in the interval of 2.5 to 4 μmol QE/g d.w. This substantiates the presence of these compounds in extracts acquired through distinct treatment modalities. The adoption of UAE is particularly advantageous for extracting thermo-sensitive compounds, rendering it a preferred method in the investigation. In this case, UAE proved to be an effective technique for procuring phenolic compounds endowed with high antioxidant capacity, the IC50 values fell within the range of 7,255 to 22,465.710 μg·mL−1 for ABTS and 1,808.54 to 2,828.52 μg·mL−1 for DPPH. Assessing the antioxidant capacity in grape pomace extracts yielded values in the ranges of 20.75 to 32.64, 223.45 to 226.72, and 26.49 to 41.51 (µmol TE/g d.w.) for ABTS, DPPH, and FRAP methods, respectively. These outcomes align with the established correlation between the cumulative content of total phenolic and flavonoid compounds and the resultant antioxidant capacity exhibited by the acquired extracts.
Further research is imperative to optimize extraction parameters and investigate the potential synergistic effects of phenolic compounds in different matrices. The antioxidant potential of phenolic extracts obtained through UAE underscores their relevance in the development of functional biomedical materials.
Acknowledgements
The authors extend their sincere appreciation to Dra. Maria Jesús Moreno Vásquez for her valuable assistance in the analytical procedures conducted during this study.
-
Funding information: This research endeavor was financially supported by an internal project facilitated by the Universidad Estatal de Sonora under the designation UES-PII-21-UAH-IB-01.
-
Author contributions: Ana G. Luque-Alcaraz: conceptualization, methodology, investigation, writing – original draft, writing – review and editing, project administration; Cynthia N. Hernández-Téllez: methodology, writing – review and editing; Abril Z. Graciano-Verdugo: formal analysis; Alma R. Toledo-Guillén: formal analysis; Pedro A. Hernández-Abril: investigation and writing – original draft.
-
Conflict of interest: The authors state no conflict of interest.
-
Data availability statement: The data sets generated during and/or analyzed during the current study are available from the corresponding author on reasonable request.
References
[1] da Rocha CB, Noreña CPZ. Microwave-assisted extraction and ultrasound-assisted extraction of bioactive compounds from grape pomace. Int J Food Eng. 2020;16(1–2):1–10. 10.1515/ijfe-2019-0191.Search in Google Scholar
[2] Álvarez A, Poejo J, Matias AA, Duarte CMM, Cocero MJ, Mato RB. Microwave pretreatment to improve extraction efficiency and polyphenol extract richness from grape pomace. Effect on antioxidant bioactivity. Food and Bioproducts Processing. 2017;106:162–70. 10.1016/j.fbp.2017.09.007.Search in Google Scholar
[3] de la Cerda-Carrasco A, López-Solís R, Nuñez-Kalasic H, Peña-Neira Á, Obreque-Slier E. Phenolic composition and antioxidant capacity of pomaces from four grape varieties (Vitis vinifera L.). J Sci Food Agric. 2015;95(7):1521–7. 10.1002/jsfa.6856.Search in Google Scholar PubMed
[4] Spissu Y, Gil KA, Dore A, Sanna G, Palmieri G, Sanna A, et al. Anti- and pro-oxidant activity of polyphenols extracts of syrah and chardonnay grapevine pomaces on melanoma cancer cells. Antioxidants. 2022;12(1):80. 10.3390/antiox12010080.Search in Google Scholar PubMed PubMed Central
[5] Kurek M, Hlupić L, Elez Garofulić I, Descours E, Ščetar M, Galić K. Comparison of protective supports and antioxidative capacity of two bio-based films with revalorised fruit pomaces extracted from blueberry and red grape skin. Food Packag Shelf Life. 2019;20:100315. 10.1016/j.fpsl.2019.100315.Search in Google Scholar
[6] Monteiro GC, Minatel IO, Junior AP, Gomez-Gomez HA, de Camargo JPC, Diamante MS, et al. Bioactive compounds and antioxidant capacity of grape pomace flours. LWT. 2021;135:110053. 10.1016/j.lwt.2020.110053.Search in Google Scholar
[7] Zhu F, Du B, Zheng L, Li J. Advance on the bioactivity and potential applications of dietary fibre from grape pomace. Food Chem. 2015;186:207–12. 10.1016/j.foodchem.2014.07.057.Search in Google Scholar PubMed
[8] Theagarajan R, Malur Narayanaswamy L, Dutta S, Moses JA, Chinnaswamy A. Valorisation of grape pomace (cv. Muscat) for development of functional cookies. Int J Food Sci Technol. 2019;54(4):1299–305. 10.1111/ijfs.14119.Search in Google Scholar
[9] Yu J, Ahmedna M. Functional components of grape pomace: Their composition, biological properties and potential applications. Int J Food Sci Technol. 2013;48(2):221–37. 10.1111/j.1365-2621.2012.03197.x.Search in Google Scholar
[10] Balli D, Cecchi L, Innocenti M, Bellumori M, Mulinacci N. Food by-products valorisation: Grape pomace and olive pomace (pâté) as sources of phenolic compounds and fiber for enrichment of tagliatelle pasta. Food Chem. 2021;355:129642. 10.1016/j.foodchem.2021.129642.Search in Google Scholar PubMed
[11] Taladrid D, Rebollo-Hernanz M, Martin-Cabrejas MA, Moreno-Arribas MV, Bartolomé B. Grape pomace as a cardiometabolic health-promoting ingredient: Activity in the intestinal environment. Antioxidants. 2023;12(4):979. 10.3390/antiox12040979.Search in Google Scholar PubMed PubMed Central
[12] Shahidi F, Peng H. Bioaccessibility and bioavailability of phenolic compounds. J Food Bioact. 2018;4:11–68. 10.31665/JFB.2018.4162.Search in Google Scholar
[13] Abbaszadeh H, Keikhaei B, Mottaghi S. A review of molecular mechanisms involved in anticancer and antiangiogenic effects of natural polyphenolic compounds. Phytotherapy Research. 2019;33(8):2002–14. 10.1002/ptr.6403.Search in Google Scholar PubMed
[14] Rahaiee S, Assadpour E, Faridi Esfanjani A, Silva AS, Jafari SM. Application of nano/microencapsulated phenolic compounds against cancer. Adv Colloid Interface Sci. 2020;279:102153. 10.1016/j.cis.2020.102153.Search in Google Scholar PubMed
[15] Rasouli H, Farzaei M, Mansouri K, Mohammadzadeh S, Khodarahmi R. Plant cell cancer: May natural phenolic compounds prevent onset and development of plant cell malignancy? A literature review. Molecules. 2016;21(9):1104. 10.3390/molecules21091104.Search in Google Scholar PubMed PubMed Central
[16] Carocho M, Ferreira I. The role of phenolic compounds in the fight against cancer – a review. Anticancer Agents Med Chem. 2013;13(8):1236–58. 10.2174/18715206113139990301.Search in Google Scholar PubMed
[17] Curti V, Di Lorenzo A, Dacrema M, Xiao J, Nabavi SM, Daglia M. In vitro polyphenol effects on apoptosis: An update of literature data. Semin Cancer Biol. 2017;46:119–31. 10.1016/j.semcancer.2017.08.005.Search in Google Scholar PubMed
[18] Fantini M, Benvenuto M, Masuelli L, Frajese GV, Tresoldi I, Modesti A, et al. In vitro and in vivo antitumoral effects of combinations of polyphenols, or polyphenols and anticancer drugs: Perspectives on cancer treatment. Int J Mol Sci. 2015;16(12):9236–82. 10.3390/ijms16059236.Search in Google Scholar PubMed PubMed Central
[19] Khadhraoui B, Fabiano-Tixier AS, Petitcolas E, Robinet P, Imbert R, El Maâtaoui M, et al. Microscopic imaging as a tool to target spatial and temporal extraction of bioactive compounds through ultrasound intensification. Ultrason Sonochem. 2019;53:214–25. 10.1016/j.ultsonch.2019.01.006.Search in Google Scholar PubMed
[20] Goula AM, Ververi M, Adamopoulou A, Kaderides K. Green ultrasound-assisted extraction of carotenoids from pomegranate wastes using vegetable oils. Ultrason Sonochem. 2017;34:821–30. 10.1016/j.ultsonch.2016.07.022.Search in Google Scholar PubMed
[21] Drevelegka I, Goula AM. Recovery of grape pomace phenolic compounds through optimized extraction and adsorption processes. Chem Eng.Process: Process Intensif. 2020;149:107845. 10.1016/j.cep.2020.107845.Search in Google Scholar
[22] Caldas TW, Mazza KEL, Teles ASC, Mattos GN, Brígida AIS, Conte-Junior CA, et al. Phenolic compounds recovery from grape skin using conventional and non-conventional extraction methods. Ind Crops Prod. 2018;111:86–91. 10.1016/j.indcrop.2017.10.012.Search in Google Scholar
[23] Manconi M, Marongiu F, Manca ML, Caddeo C, Sarais G, Cencetti C, et al. Nanoincorporation of bioactive compounds from red grape pomaces: In vitro and ex vivo evaluation of antioxidant activity. Int J Pharm. 2017;523(1):159–66. 10.1016/j.ijpharm.2017.03.037.Search in Google Scholar PubMed
[24] Santos NC, Almeida RLJ, da Silva GM, de Alcântara Silva VM, de Alcântara Ribeiro VH, de Oliveira Brito AC, et al. Impact of pretreatments with ethanol and freezing on drying slice papaya: Drying performance and kinetic of ultrasound‐assisted extraction of phenolics compounds. J Sci Food Agric. 2023;103(1):125–34. 10.1002/jsfa.12119.Search in Google Scholar PubMed
[25] Turker I, Isleroglu H. Optimization of extraction conditions of bioactive compounds by ultrasonic-assisted extraction from artichoke wastes. Acta Chim Slov. 2021;68(3):658–66. 10.17344/acsi.2021.6679.Search in Google Scholar
[26] Medina-Torres N, Ayora-Talavera T, Espinosa-Andrews H, Sánchez-Contreras A, Pacheco N. Ultrasound assisted extraction for the recovery of phenolic compounds from vegetable sources. Agronomy. 2017;7(3):47. 10.3390/agronomy7030047.Search in Google Scholar
[27] Luo X, Cui J, Zhang H, Duan Y, Zhang D, Cai M, et al. Ultrasound assisted extraction of polyphenolic compounds from red sorghum (Sorghum bicolor L.) bran and their biological activities and polyphenolic compositions. Ind Crops Prod. 2018;112:296–304. 10.1016/j.indcrop.2017.12.019.Search in Google Scholar
[28] Silva Júnior ME, Araújo MVRL, Santana AA, Silva FLH, Maciel MIS. Ultrasound-assisted extraction of bioactive compounds from ciriguela (Spondias purpurea L.) peel: Optimization and comparison with conventional extraction and microwave. Arab J Chem. 2021;14(8):103260. 10.1016/j.arabjc.2021.103260.Search in Google Scholar
[29] Chen C, Mokhtar RAM, Sani MSA, Noor NQIM. The effect of maturity and extraction solvents on bioactive compounds and antioxidant activity of mulberry (Morus alba) fruits and leaves. Molecules. 2022;27(8):2406. 10.3390/molecules27082406.Search in Google Scholar PubMed PubMed Central
[30] Maksimović Z, Malenčić Đ, Kovačević N. Polyphenol contents and antioxidant activity of Maydis stigma extracts. Bioresour Technol. 2005;96(8):873–7. 10.1016/j.biortech.2004.09.006.Search in Google Scholar PubMed
[31] Moreno-Vásquez MJ, Plascencia-Jatomea M, Sánchez-Valdes S, Tanori-Córdova JC, Castillo-Yañez FJ, Quintero-Reyes IE, et al. Characterization of epigallocatechin-gallate-grafted chitosan nanoparticles and evaluation of their antibacterial and antioxidant potential. Polymers (Basel). 2021;13(9):1375. 10.3390/polym13091375.Search in Google Scholar PubMed PubMed Central
[32] Hu B, Wang Y, Xie M, Hu G, Ma F, Zeng X. Polymer nanoparticles composed with gallic acid grafted chitosan and bioactive peptides combined antioxidant, anticancer activities and improved delivery property for labile polyphenols. J Funct Foods. 2015;15:593–603. 10.1016/j.jff.2015.04.009.Search in Google Scholar
[33] de Sales N, Silva da Costa L, Carneiro T, Minuzzo DA, Oliveira FL, Cabral L, et al. Anthocyanin-rich grape pomace extract (Vitis vinifera L.) from wine industry affects mitochondrial bioenergetics and glucose metabolism in human hepatocarcinoma HepG2 cells. Molecules. 2018;23(3):611. 10.3390/molecules23030611.Search in Google Scholar PubMed PubMed Central
[34] Andrs-Lacueva C, Medina-Remon A, Llorach R et al. Phenolic compounds: Chemistry and occurrence in fruits and vegetables. Fruit and vegetable phytochemicals. Hoboken, NJ, USA: Wiley-Blackwell; 2009. p. 53–88. 10.1002/9780813809397.ch2.Search in Google Scholar
[35] González-Centeno MR, Knoerzer K, Sabarez H, Simal S, Rosselló C, Femenia A. Effect of acoustic frequency and power density on the aqueous ultrasonic-assisted extraction of grape pomace (Vitis vinifera L.) – A response surface approach. Ultrason Sonochem. 2014;21(6):2176–84. 10.1016/j.ultsonch.2014.01.021.Search in Google Scholar PubMed
[36] Shirsath SR, Sonawane SH, Gogate PR. Intensification of extraction of natural products using ultrasonic irradiations—A review of current status. Chem Eng Process.: Process Intensif. 2012;53:10–23. 10.1016/j.cep.2012.01.003.Search in Google Scholar
[37] Beres C, Simas-Tosin FF, Cabezudo I, Freitas SP, Iacomini M, Mellinger-Silva C, et al. Antioxidant dietary fibre recovery from Brazilian Pinot noir grape pomace. Food Chem. 2016;201:145–52. 10.1016/j.foodchem.2016.01.039.Search in Google Scholar PubMed
[38] Domínguez-Perles R, Guedes A, Queiroz M, Silva AM, Barros, AIRNA. Oxidative stress prevention and anti-apoptosis activity of grape (Vitis vinifera L.) stems in human keratinocytes. Food Res Int. 2016;87:92–102. 10.1016/j.foodres.2016.06.030.Search in Google Scholar PubMed
[39] Drosou C, Kyriakopoulou K, Bimpilas A, Tsimogiannis D, Krokida M. A comparative study on different extraction techniques to recover red grape pomace polyphenols from vinification byproducts. Ind Crops Prod. 2015;75:141–9. 10.1016/j.indcrop.2015.05.063.Search in Google Scholar
[40] Ozkan K, Karadag A, Sagdic O. The effects of different drying methods on the in vitro bioaccessibility of phenolics, antioxidant capacity, minerals and morphology of black ‘Isabel’ grape. LWT. 2022;158:113185. 10.1016/j.lwt.2022.113185.Search in Google Scholar
[41] Gulati T, Datta AK. Mechanistic understanding of case-hardening and texture development during drying of food materials. J Food Eng. 2015;166:119–38. 10.1016/j.jfoodeng.2015.05.031.Search in Google Scholar
[42] Peixoto CM, Dias MI, Alves MJ, Calhelha RC, Barros L, Pinho SP, et al. Grape pomace as a source of phenolic compounds and diverse bioactive properties. Food Chem. 2018;253:132–8. 10.1016/j.foodchem.2018.01.163.Search in Google Scholar PubMed
[43] Sati P, Dhyani P, Bhatt ID, Pandey A. Ginkgo biloba flavonoid glycosides in antimicrobial perspective with reference to extraction method. J Tradit Complement Med. 2019;9(1):15–23. 10.1016/j.jtcme.2017.10.003.Search in Google Scholar PubMed PubMed Central
[44] Sirohi R, Tarafdar A, Singh S, Negi T, Gaur VK, Gnansounou E, et al. Green processing and biotechnological potential of grape pomace: Current trends and opportunities for sustainable biorefinery. Bioresour Technol. 2020;314:123771. 10.1016/j.biortech.2020.123771.Search in Google Scholar PubMed
[45] Youssef MM, Moharram HA, Youssef MM. Methods for determining the antioxidant activity: A review. Alex J Fd Sci & Technol. 2014;11(1):31–42, https://www.researchgate.net/publication/274669600.10.12816/0025348Search in Google Scholar
[46] Breksa AP, Takeoka GR, Hidalgo MB, Vilches A, Vasse J, Ramming DW. Antioxidant activity and phenolic content of 16 raisin grape (Vitis vinifera L.) cultivars and selections. Food Chem. 2010;121(3):740–5. 10.1016/j.foodchem.2010.01.029.Search in Google Scholar
[47] Zhang H, Tsao R. Dietary polyphenols, oxidative stress and antioxidant and anti-inflammatory effects. Curr Opin Food Sci. 2016;8:33–42. 10.1016/j.cofs.2016.02.002.Search in Google Scholar
[48] Ilyas T, Chowdhary P, Chaurasia D, Gnansounou E, Pandey A, Chaturvedi P. Sustainable green processing of grape pomace for the production of value-added products: An overview. Environ Technol Innov. 2021;23:101592. 10.1016/j.eti.2021.101592.Search in Google Scholar
[49] Hogan S, Zhang L, Li J, Sun S, Canning C, Zhou K. Antioxidant rich grape pomace extract suppresses postprandial hyperglycemia in diabetic mice by specifically inhibiting alpha-glucosidase. Nutr Metab (Lond). 2010;7(1):71. 10.1186/1743-7075-7-71.Search in Google Scholar PubMed PubMed Central
[50] Chaouche TM, Haddouchi F, Ksouri R, Atik-Bekkara F. Evaluation of antioxidant activity of hydromethanolic extracts of some medicinal species from South Algeria. J Chin Med Assoc. 2014;77(6):302–7. 10.1016/j.jcma.2014.01.009.Search in Google Scholar PubMed
[51] Radoeva R, Yankova I, Enchev B, Karsheva M, Ivanova E, Iliev I. Polyphenols of grape pomace from local bulgarian variety mavrud. Antioxidant and antitumor effect against breast cancer. J Chem Technol Metall. 2022;57:508–21.Search in Google Scholar
[52] Zhu M, Huang Y, Wang Y, Shi T, Zhang L, Chen Y, et al. Comparison of (poly)phenolic compounds and antioxidant properties of pomace extracts from kiwi and grape juice. Food Chem. 2019;271:425–32. 10.1016/j.foodchem.2018.07.151.Search in Google Scholar PubMed
[53] Rockenbach II, Rodrigues E, Gonzaga LV, Caliari V, Genovese MI, Gonçalves AESS, et al. Phenolic compounds content and antioxidant activity in pomace from selected red grapes (Vitis vinifera L. and Vitis labrusca L.) widely produced in Brazil. Food Chem. 2011;127(1):174–9. 10.1016/j.foodchem.2010.12.137.Search in Google Scholar
© 2024 the author(s), published by De Gruyter
This work is licensed under the Creative Commons Attribution 4.0 International License.
Articles in the same Issue
- Research Articles
- Green polymer electrolyte and activated charcoal-based supercapacitor for energy harvesting application: Electrochemical characteristics
- Research on the adsorption of Co2+ ions using halloysite clay and the ability to recover them by electrodeposition method
- Simultaneous estimation of ibuprofen, caffeine, and paracetamol in commercial products using a green reverse-phase HPTLC method
- Isolation, screening and optimization of alkaliphilic cellulolytic fungi for production of cellulase
- Functionalized gold nanoparticles coated with bacterial alginate and their antibacterial and anticancer activities
- Comparative analysis of bio-based amino acid surfactants obtained via Diels–Alder reaction of cyclic anhydrides
- Biosynthesis of silver nanoparticles on yellow phosphorus slag and its application in organic coatings
- Exploring antioxidant potential and phenolic compound extraction from Vitis vinifera L. using ultrasound-assisted extraction
- Manganese and copper-coated nickel oxide nanoparticles synthesized from Carica papaya leaf extract induce antimicrobial activity and breast cancer cell death by triggering mitochondrial caspases and p53
- Insight into heating method and Mozafari method as green processing techniques for the synthesis of micro- and nano-drug carriers
- Silicotungstic acid supported on Bi-based MOF-derived metal oxide for photodegradation of organic dyes
- Synthesis and characterization of capsaicin nanoparticles: An attempt to enhance its bioavailability and pharmacological actions
- Synthesis of Lawsonia inermis-encased silver–copper bimetallic nanoparticles with antioxidant, antibacterial, and cytotoxic activity
- Facile, polyherbal drug-mediated green synthesis of CuO nanoparticles and their potent biological applications
- Zinc oxide-manganese oxide/carboxymethyl cellulose-folic acid-sesamol hybrid nanomaterials: A molecularly targeted strategy for advanced triple-negative breast cancer therapy
- Exploring the antimicrobial potential of biogenically synthesized graphene oxide nanoparticles against targeted bacterial and fungal pathogens
- Biofabrication of silver nanoparticles using Uncaria tomentosa L.: Insight into characterization, antibacterial activities combined with antibiotics, and effect on Triticum aestivum germination
- Membrane distillation of synthetic urine for use in space structural habitat systems
- Investigation on mechanical properties of the green synthesis bamboo fiber/eggshell/coconut shell powder-based hybrid biocomposites under NaOH conditions
- Green synthesis of magnesium oxide nanoparticles using endophytic fungal strain to improve the growth, metabolic activities, yield traits, and phenolic compounds content of Nigella sativa L.
- Estimation of greenhouse gas emissions from rice and annual upland crops in Red River Delta of Vietnam using the denitrification–decomposition model
- Synthesis of humic acid with the obtaining of potassium humate based on coal waste from the Lenger deposit, Kazakhstan
- Ascorbic acid-mediated selenium nanoparticles as potential antihyperuricemic, antioxidant, anticoagulant, and thrombolytic agents
- Green synthesis of silver nanoparticles using Illicium verum extract: Optimization and characterization for biomedical applications
- Antibacterial and dynamical behaviour of silicon nanoparticles influenced sustainable waste flax fibre-reinforced epoxy composite for biomedical application
- Optimising coagulation/flocculation using response surface methodology and application of floc in biofertilisation
- Green synthesis and multifaceted characterization of iron oxide nanoparticles derived from Senna bicapsularis for enhanced in vitro and in vivo biological investigation
- Potent antibacterial nanocomposites from okra mucilage/chitosan/silver nanoparticles for multidrug-resistant Salmonella Typhimurium eradication
- Trachyspermum copticum aqueous seed extract-derived silver nanoparticles: Exploration of their structural characterization and comparative antibacterial performance against gram-positive and gram-negative bacteria
- Microwave-assisted ultrafine silver nanoparticle synthesis using Mitragyna speciosa for antimalarial applications
- Green synthesis and characterisation of spherical structure Ag/Fe2O3/TiO2 nanocomposite using acacia in the presence of neem and tulsi oils
- Green quantitative methods for linagliptin and empagliflozin in dosage forms
- Enhancement efficacy of omeprazole by conjugation with silver nanoparticles as a urease inhibitor
- Residual, sequential extraction, and ecological risk assessment of some metals in ash from municipal solid waste incineration, Vietnam
- Green synthesis of ZnO nanoparticles using the mangosteen (Garcinia mangostana L.) leaf extract: Comparative preliminary in vitro antibacterial study
- Simultaneous determination of lesinurad and febuxostat in commercial fixed-dose combinations using a greener normal-phase HPTLC method
- A greener RP-HPLC method for quaternary estimation of caffeine, paracetamol, levocetirizine, and phenylephrine acquiring AQbD with stability studies
- Optimization of biomass durian peel as a heterogeneous catalyst in biodiesel production using microwave irradiation
- Thermal treatment impact on the evolution of active phases in layered double hydroxide-based ZnCr photocatalysts: Photodegradation and antibacterial performance
- Preparation of silymarin-loaded zein polysaccharide core–shell nanostructures and evaluation of their biological potentials
- Preparation and characterization of composite-modified PA6 fiber for spectral heating and heat storage applications
- Preparation and electrocatalytic oxygen evolution of bimetallic phosphates (NiFe)2P/NF
- Rod-shaped Mo(vi) trichalcogenide–Mo(vi) oxide decorated on poly(1-H pyrrole) as a promising nanocomposite photoelectrode for green hydrogen generation from sewage water with high efficiency
- Green synthesis and studies on citrus medica leaf extract-mediated Au–ZnO nanocomposites: A sustainable approach for efficient photocatalytic degradation of rhodamine B dye in aqueous media
- Cellulosic materials for the removal of ciprofloxacin from aqueous environments
- The analytical assessment of metal contamination in industrial soils of Saudi Arabia using the inductively coupled plasma technology
- The effect of modified oily sludge on the slurry ability and combustion performance of coal water slurry
- Eggshell waste transformation to calcium chloride anhydride as food-grade additive and eggshell membranes as enzyme immobilization carrier
- Synthesis of EPAN and applications in the encapsulation of potassium humate
- Biosynthesis and characterization of silver nanoparticles from Cedrela toona leaf extracts: An exploration into their antibacterial, anticancer, and antioxidant potential
- Enhancing mechanical and rheological properties of HDPE films through annealing for eco-friendly agricultural applications
- Immobilisation of catalase purified from mushroom (Hydnum repandum) onto glutaraldehyde-activated chitosan and characterisation: Its application for the removal of hydrogen peroxide from artificial wastewater
- Sodium titanium oxide/zinc oxide (STO/ZnO) photocomposites for efficient dye degradation applications
- Effect of ex situ, eco-friendly ZnONPs incorporating green synthesised Moringa oleifera leaf extract in enhancing biochemical and molecular aspects of Vicia faba L. under salt stress
- Biosynthesis and characterization of selenium and silver nanoparticles using Trichoderma viride filtrate and their impact on Culex pipiens
- Photocatalytic degradation of organic dyes and biological potentials of biogenic zinc oxide nanoparticles synthesized using the polar extract of Cyperus scariosus R.Br. (Cyperaceae)
- Assessment of antiproliferative activity of green-synthesized nickel oxide nanoparticles against glioblastoma cells using Terminalia chebula
- Chlorine-free synthesis of phosphinic derivatives by change in the P-function
- Anticancer, antioxidant, and antimicrobial activities of nanoemulsions based on water-in-olive oil and loaded on biogenic silver nanoparticles
- Study and mechanism of formation of phosphorus production waste in Kazakhstan
- Synthesis and stabilization of anatase form of biomimetic TiO2 nanoparticles for enhancing anti-tumor potential
- Microwave-supported one-pot reaction for the synthesis of 5-alkyl/arylidene-2-(morpholin/thiomorpholin-4-yl)-1,3-thiazol-4(5H)-one derivatives over MgO solid base
- Screening the phytochemicals in Perilla leaves and phytosynthesis of bioactive silver nanoparticles for potential antioxidant and wound-healing application
- Graphene oxide/chitosan/manganese/folic acid-brucine functionalized nanocomposites show anticancer activity against liver cancer cells
- Nature of serpentinite interactions with low-concentration sulfuric acid solutions
- Multi-objective statistical optimisation utilising response surface methodology to predict engine performance using biofuels from waste plastic oil in CRDi engines
- Microwave-assisted extraction of acetosolv lignin from sugarcane bagasse and electrospinning of lignin/PEO nanofibres for carbon fibre production
- Biosynthesis, characterization, and investigation of cytotoxic activities of selenium nanoparticles utilizing Limosilactobacillus fermentum
- Highly photocatalytic materials based on the decoration of poly(O-chloroaniline) with molybdenum trichalcogenide oxide for green hydrogen generation from Red Sea water
- Highly efficient oil–water separation using superhydrophobic cellulose aerogels derived from corn straw
- Beta-cyclodextrin–Phyllanthus emblica emulsion for zinc oxide nanoparticles: Characteristics and photocatalysis
- Assessment of antimicrobial activity and methyl orange dye removal by Klebsiella pneumoniae-mediated silver nanoparticles
- Influential eradication of resistant Salmonella Typhimurium using bioactive nanocomposites from chitosan and radish seed-synthesized nanoselenium
- Antimicrobial activities and neuroprotective potential for Alzheimer’s disease of pure, Mn, Co, and Al-doped ZnO ultra-small nanoparticles
- Green synthesis of silver nanoparticles from Bauhinia variegata and their biological applications
- Synthesis and optimization of long-chain fatty acids via the oxidation of long-chain fatty alcohols
- Eminent Red Sea water hydrogen generation via a Pb(ii)-iodide/poly(1H-pyrrole) nanocomposite photocathode
- Green synthesis and effective genistein production by fungal β-glucosidase immobilized on Al2O3 nanocrystals synthesized in Cajanus cajan L. (Millsp.) leaf extracts
- Green stability-indicating RP-HPTLC technique for determining croconazole hydrochloride
- Green synthesis of La2O3–LaPO4 nanocomposites using Charybdis natator for DNA binding, cytotoxic, catalytic, and luminescence applications
- Eco-friendly drugs induce cellular changes in colistin-resistant bacteria
- Tangerine fruit peel extract mediated biogenic synthesized silver nanoparticles and their potential antimicrobial, antioxidant, and cytotoxic assessments
- Green synthesis on performance characteristics of a direct injection diesel engine using sandbox seed oil
- A highly sensitive β-AKBA-Ag-based fluorescent “turn off” chemosensor for rapid detection of abamectin in tomatoes
- Green synthesis and physical characterization of zinc oxide nanoparticles (ZnO NPs) derived from the methanol extract of Euphorbia dracunculoides Lam. (Euphorbiaceae) with enhanced biosafe applications
- Detection of morphine and data processing using surface plasmon resonance imaging sensor
- Effects of nanoparticles on the anaerobic digestion properties of sulfamethoxazole-containing chicken manure and analysis of bio-enzymes
- Bromic acid-thiourea synergistic leaching of sulfide gold ore
- Green chemistry approach to synthesize titanium dioxide nanoparticles using Fagonia Cretica extract, novel strategy for developing antimicrobial and antidiabetic therapies
- Green synthesis and effective utilization of biogenic Al2O3-nanocoupled fungal lipase in the resolution of active homochiral 2-octanol and its immobilization via aluminium oxide nanoparticles
- Eco-friendly RP-HPLC approach for simultaneously estimating the promising combination of pentoxifylline and simvastatin in therapeutic potential for breast cancer: Appraisal of greenness, whiteness, and Box–Behnken design
- Use of a humidity adsorbent derived from cockleshell waste in Thai fried fish crackers (Keropok)
- One-pot green synthesis, biological evaluation, and in silico study of pyrazole derivatives obtained from chalcones
- Bio-sorption of methylene blue and production of biofuel by brown alga Cystoseira sp. collected from Neom region, Kingdom of Saudi Arabia
- Synthesis of motexafin gadolinium: A promising radiosensitizer and imaging agent for cancer therapy
- The impact of varying sizes of silver nanoparticles on the induction of cellular damage in Klebsiella pneumoniae involving diverse mechanisms
- Microwave-assisted green synthesis, characterization, and in vitro antibacterial activity of NiO nanoparticles obtained from lemon peel extract
- Rhus microphylla-mediated biosynthesis of copper oxide nanoparticles for enhanced antibacterial and antibiofilm efficacy
- Harnessing trichalcogenide–molybdenum(vi) sulfide and molybdenum(vi) oxide within poly(1-amino-2-mercaptobenzene) frameworks as a photocathode for sustainable green hydrogen production from seawater without sacrificial agents
- Magnetically recyclable Fe3O4@SiO2 supported phosphonium ionic liquids for efficient and sustainable transformation of CO2 into oxazolidinones
- A comparative study of Fagonia arabica fabricated silver sulfide nanoparticles (Ag2S) and silver nanoparticles (AgNPs) with distinct antimicrobial, anticancer, and antioxidant properties
- Visible light photocatalytic degradation and biological activities of Aegle marmelos-mediated cerium oxide nanoparticles
- Physical intrinsic characteristics of spheroidal particles in coal gasification fine slag
- Exploring the effect of tea dust magnetic biochar on agricultural crops grown in polycyclic aromatic hydrocarbon contaminated soil
- Crosslinked chitosan-modified ultrafiltration membranes for efficient surface water treatment and enhanced anti-fouling performances
- Study on adsorption characteristics of biochars and their modified biochars for removal of organic dyes from aqueous solution
- Zein polymer nanocarrier for Ocimum basilicum var. purpurascens extract: Potential biomedical use
- Green synthesis, characterization, and in vitro and in vivo biological screening of iron oxide nanoparticles (Fe3O4) generated with hydroalcoholic extract of aerial parts of Euphorbia milii
- Novel microwave-based green approach for the synthesis of dual-loaded cyclodextrin nanosponges: Characterization, pharmacodynamics, and pharmacokinetics evaluation
- Bi2O3–BiOCl/poly-m-methyl aniline nanocomposite thin film for broad-spectrum light-sensing
- Green synthesis and characterization of CuO/ZnO nanocomposite using Musa acuminata leaf extract for cytotoxic studies on colorectal cancer cells (HCC2998)
- Review Articles
- Materials-based drug delivery approaches: Recent advances and future perspectives
- A review of thermal treatment for bamboo and its composites
- An overview of the role of nanoherbicides in tackling challenges of weed management in wheat: A novel approach
- An updated review on carbon nanomaterials: Types, synthesis, functionalization and applications, degradation and toxicity
- Special Issue: Emerging green nanomaterials for sustainable waste management and biomedical applications
- Green synthesis of silver nanoparticles using mature-pseudostem extracts of Alpinia nigra and their bioactivities
- Special Issue: New insights into nanopythotechnology: current trends and future prospects
- Green synthesis of FeO nanoparticles from coffee and its application for antibacterial, antifungal, and anti-oxidation activity
- Dye degradation activity of biogenically synthesized Cu/Fe/Ag trimetallic nanoparticles
- Special Issue: Composites and green composites
- Recent trends and advancements in the utilization of green composites and polymeric nanocarriers for enhancing food quality and sustainable processing
- Retraction
- Retraction of “Biosynthesis and characterization of silver nanoparticles from Cedrela toona leaf extracts: An exploration into their antibacterial, anticancer, and antioxidant potential”
- Retraction of “Photocatalytic degradation of organic dyes and biological potentials of biogenic zinc oxide nanoparticles synthesized using the polar extract of Cyperus scariosus R.Br. (Cyperaceae)”
- Retraction to “Green synthesis on performance characteristics of a direct injection diesel engine using sandbox seed oil”
Articles in the same Issue
- Research Articles
- Green polymer electrolyte and activated charcoal-based supercapacitor for energy harvesting application: Electrochemical characteristics
- Research on the adsorption of Co2+ ions using halloysite clay and the ability to recover them by electrodeposition method
- Simultaneous estimation of ibuprofen, caffeine, and paracetamol in commercial products using a green reverse-phase HPTLC method
- Isolation, screening and optimization of alkaliphilic cellulolytic fungi for production of cellulase
- Functionalized gold nanoparticles coated with bacterial alginate and their antibacterial and anticancer activities
- Comparative analysis of bio-based amino acid surfactants obtained via Diels–Alder reaction of cyclic anhydrides
- Biosynthesis of silver nanoparticles on yellow phosphorus slag and its application in organic coatings
- Exploring antioxidant potential and phenolic compound extraction from Vitis vinifera L. using ultrasound-assisted extraction
- Manganese and copper-coated nickel oxide nanoparticles synthesized from Carica papaya leaf extract induce antimicrobial activity and breast cancer cell death by triggering mitochondrial caspases and p53
- Insight into heating method and Mozafari method as green processing techniques for the synthesis of micro- and nano-drug carriers
- Silicotungstic acid supported on Bi-based MOF-derived metal oxide for photodegradation of organic dyes
- Synthesis and characterization of capsaicin nanoparticles: An attempt to enhance its bioavailability and pharmacological actions
- Synthesis of Lawsonia inermis-encased silver–copper bimetallic nanoparticles with antioxidant, antibacterial, and cytotoxic activity
- Facile, polyherbal drug-mediated green synthesis of CuO nanoparticles and their potent biological applications
- Zinc oxide-manganese oxide/carboxymethyl cellulose-folic acid-sesamol hybrid nanomaterials: A molecularly targeted strategy for advanced triple-negative breast cancer therapy
- Exploring the antimicrobial potential of biogenically synthesized graphene oxide nanoparticles against targeted bacterial and fungal pathogens
- Biofabrication of silver nanoparticles using Uncaria tomentosa L.: Insight into characterization, antibacterial activities combined with antibiotics, and effect on Triticum aestivum germination
- Membrane distillation of synthetic urine for use in space structural habitat systems
- Investigation on mechanical properties of the green synthesis bamboo fiber/eggshell/coconut shell powder-based hybrid biocomposites under NaOH conditions
- Green synthesis of magnesium oxide nanoparticles using endophytic fungal strain to improve the growth, metabolic activities, yield traits, and phenolic compounds content of Nigella sativa L.
- Estimation of greenhouse gas emissions from rice and annual upland crops in Red River Delta of Vietnam using the denitrification–decomposition model
- Synthesis of humic acid with the obtaining of potassium humate based on coal waste from the Lenger deposit, Kazakhstan
- Ascorbic acid-mediated selenium nanoparticles as potential antihyperuricemic, antioxidant, anticoagulant, and thrombolytic agents
- Green synthesis of silver nanoparticles using Illicium verum extract: Optimization and characterization for biomedical applications
- Antibacterial and dynamical behaviour of silicon nanoparticles influenced sustainable waste flax fibre-reinforced epoxy composite for biomedical application
- Optimising coagulation/flocculation using response surface methodology and application of floc in biofertilisation
- Green synthesis and multifaceted characterization of iron oxide nanoparticles derived from Senna bicapsularis for enhanced in vitro and in vivo biological investigation
- Potent antibacterial nanocomposites from okra mucilage/chitosan/silver nanoparticles for multidrug-resistant Salmonella Typhimurium eradication
- Trachyspermum copticum aqueous seed extract-derived silver nanoparticles: Exploration of their structural characterization and comparative antibacterial performance against gram-positive and gram-negative bacteria
- Microwave-assisted ultrafine silver nanoparticle synthesis using Mitragyna speciosa for antimalarial applications
- Green synthesis and characterisation of spherical structure Ag/Fe2O3/TiO2 nanocomposite using acacia in the presence of neem and tulsi oils
- Green quantitative methods for linagliptin and empagliflozin in dosage forms
- Enhancement efficacy of omeprazole by conjugation with silver nanoparticles as a urease inhibitor
- Residual, sequential extraction, and ecological risk assessment of some metals in ash from municipal solid waste incineration, Vietnam
- Green synthesis of ZnO nanoparticles using the mangosteen (Garcinia mangostana L.) leaf extract: Comparative preliminary in vitro antibacterial study
- Simultaneous determination of lesinurad and febuxostat in commercial fixed-dose combinations using a greener normal-phase HPTLC method
- A greener RP-HPLC method for quaternary estimation of caffeine, paracetamol, levocetirizine, and phenylephrine acquiring AQbD with stability studies
- Optimization of biomass durian peel as a heterogeneous catalyst in biodiesel production using microwave irradiation
- Thermal treatment impact on the evolution of active phases in layered double hydroxide-based ZnCr photocatalysts: Photodegradation and antibacterial performance
- Preparation of silymarin-loaded zein polysaccharide core–shell nanostructures and evaluation of their biological potentials
- Preparation and characterization of composite-modified PA6 fiber for spectral heating and heat storage applications
- Preparation and electrocatalytic oxygen evolution of bimetallic phosphates (NiFe)2P/NF
- Rod-shaped Mo(vi) trichalcogenide–Mo(vi) oxide decorated on poly(1-H pyrrole) as a promising nanocomposite photoelectrode for green hydrogen generation from sewage water with high efficiency
- Green synthesis and studies on citrus medica leaf extract-mediated Au–ZnO nanocomposites: A sustainable approach for efficient photocatalytic degradation of rhodamine B dye in aqueous media
- Cellulosic materials for the removal of ciprofloxacin from aqueous environments
- The analytical assessment of metal contamination in industrial soils of Saudi Arabia using the inductively coupled plasma technology
- The effect of modified oily sludge on the slurry ability and combustion performance of coal water slurry
- Eggshell waste transformation to calcium chloride anhydride as food-grade additive and eggshell membranes as enzyme immobilization carrier
- Synthesis of EPAN and applications in the encapsulation of potassium humate
- Biosynthesis and characterization of silver nanoparticles from Cedrela toona leaf extracts: An exploration into their antibacterial, anticancer, and antioxidant potential
- Enhancing mechanical and rheological properties of HDPE films through annealing for eco-friendly agricultural applications
- Immobilisation of catalase purified from mushroom (Hydnum repandum) onto glutaraldehyde-activated chitosan and characterisation: Its application for the removal of hydrogen peroxide from artificial wastewater
- Sodium titanium oxide/zinc oxide (STO/ZnO) photocomposites for efficient dye degradation applications
- Effect of ex situ, eco-friendly ZnONPs incorporating green synthesised Moringa oleifera leaf extract in enhancing biochemical and molecular aspects of Vicia faba L. under salt stress
- Biosynthesis and characterization of selenium and silver nanoparticles using Trichoderma viride filtrate and their impact on Culex pipiens
- Photocatalytic degradation of organic dyes and biological potentials of biogenic zinc oxide nanoparticles synthesized using the polar extract of Cyperus scariosus R.Br. (Cyperaceae)
- Assessment of antiproliferative activity of green-synthesized nickel oxide nanoparticles against glioblastoma cells using Terminalia chebula
- Chlorine-free synthesis of phosphinic derivatives by change in the P-function
- Anticancer, antioxidant, and antimicrobial activities of nanoemulsions based on water-in-olive oil and loaded on biogenic silver nanoparticles
- Study and mechanism of formation of phosphorus production waste in Kazakhstan
- Synthesis and stabilization of anatase form of biomimetic TiO2 nanoparticles for enhancing anti-tumor potential
- Microwave-supported one-pot reaction for the synthesis of 5-alkyl/arylidene-2-(morpholin/thiomorpholin-4-yl)-1,3-thiazol-4(5H)-one derivatives over MgO solid base
- Screening the phytochemicals in Perilla leaves and phytosynthesis of bioactive silver nanoparticles for potential antioxidant and wound-healing application
- Graphene oxide/chitosan/manganese/folic acid-brucine functionalized nanocomposites show anticancer activity against liver cancer cells
- Nature of serpentinite interactions with low-concentration sulfuric acid solutions
- Multi-objective statistical optimisation utilising response surface methodology to predict engine performance using biofuels from waste plastic oil in CRDi engines
- Microwave-assisted extraction of acetosolv lignin from sugarcane bagasse and electrospinning of lignin/PEO nanofibres for carbon fibre production
- Biosynthesis, characterization, and investigation of cytotoxic activities of selenium nanoparticles utilizing Limosilactobacillus fermentum
- Highly photocatalytic materials based on the decoration of poly(O-chloroaniline) with molybdenum trichalcogenide oxide for green hydrogen generation from Red Sea water
- Highly efficient oil–water separation using superhydrophobic cellulose aerogels derived from corn straw
- Beta-cyclodextrin–Phyllanthus emblica emulsion for zinc oxide nanoparticles: Characteristics and photocatalysis
- Assessment of antimicrobial activity and methyl orange dye removal by Klebsiella pneumoniae-mediated silver nanoparticles
- Influential eradication of resistant Salmonella Typhimurium using bioactive nanocomposites from chitosan and radish seed-synthesized nanoselenium
- Antimicrobial activities and neuroprotective potential for Alzheimer’s disease of pure, Mn, Co, and Al-doped ZnO ultra-small nanoparticles
- Green synthesis of silver nanoparticles from Bauhinia variegata and their biological applications
- Synthesis and optimization of long-chain fatty acids via the oxidation of long-chain fatty alcohols
- Eminent Red Sea water hydrogen generation via a Pb(ii)-iodide/poly(1H-pyrrole) nanocomposite photocathode
- Green synthesis and effective genistein production by fungal β-glucosidase immobilized on Al2O3 nanocrystals synthesized in Cajanus cajan L. (Millsp.) leaf extracts
- Green stability-indicating RP-HPTLC technique for determining croconazole hydrochloride
- Green synthesis of La2O3–LaPO4 nanocomposites using Charybdis natator for DNA binding, cytotoxic, catalytic, and luminescence applications
- Eco-friendly drugs induce cellular changes in colistin-resistant bacteria
- Tangerine fruit peel extract mediated biogenic synthesized silver nanoparticles and their potential antimicrobial, antioxidant, and cytotoxic assessments
- Green synthesis on performance characteristics of a direct injection diesel engine using sandbox seed oil
- A highly sensitive β-AKBA-Ag-based fluorescent “turn off” chemosensor for rapid detection of abamectin in tomatoes
- Green synthesis and physical characterization of zinc oxide nanoparticles (ZnO NPs) derived from the methanol extract of Euphorbia dracunculoides Lam. (Euphorbiaceae) with enhanced biosafe applications
- Detection of morphine and data processing using surface plasmon resonance imaging sensor
- Effects of nanoparticles on the anaerobic digestion properties of sulfamethoxazole-containing chicken manure and analysis of bio-enzymes
- Bromic acid-thiourea synergistic leaching of sulfide gold ore
- Green chemistry approach to synthesize titanium dioxide nanoparticles using Fagonia Cretica extract, novel strategy for developing antimicrobial and antidiabetic therapies
- Green synthesis and effective utilization of biogenic Al2O3-nanocoupled fungal lipase in the resolution of active homochiral 2-octanol and its immobilization via aluminium oxide nanoparticles
- Eco-friendly RP-HPLC approach for simultaneously estimating the promising combination of pentoxifylline and simvastatin in therapeutic potential for breast cancer: Appraisal of greenness, whiteness, and Box–Behnken design
- Use of a humidity adsorbent derived from cockleshell waste in Thai fried fish crackers (Keropok)
- One-pot green synthesis, biological evaluation, and in silico study of pyrazole derivatives obtained from chalcones
- Bio-sorption of methylene blue and production of biofuel by brown alga Cystoseira sp. collected from Neom region, Kingdom of Saudi Arabia
- Synthesis of motexafin gadolinium: A promising radiosensitizer and imaging agent for cancer therapy
- The impact of varying sizes of silver nanoparticles on the induction of cellular damage in Klebsiella pneumoniae involving diverse mechanisms
- Microwave-assisted green synthesis, characterization, and in vitro antibacterial activity of NiO nanoparticles obtained from lemon peel extract
- Rhus microphylla-mediated biosynthesis of copper oxide nanoparticles for enhanced antibacterial and antibiofilm efficacy
- Harnessing trichalcogenide–molybdenum(vi) sulfide and molybdenum(vi) oxide within poly(1-amino-2-mercaptobenzene) frameworks as a photocathode for sustainable green hydrogen production from seawater without sacrificial agents
- Magnetically recyclable Fe3O4@SiO2 supported phosphonium ionic liquids for efficient and sustainable transformation of CO2 into oxazolidinones
- A comparative study of Fagonia arabica fabricated silver sulfide nanoparticles (Ag2S) and silver nanoparticles (AgNPs) with distinct antimicrobial, anticancer, and antioxidant properties
- Visible light photocatalytic degradation and biological activities of Aegle marmelos-mediated cerium oxide nanoparticles
- Physical intrinsic characteristics of spheroidal particles in coal gasification fine slag
- Exploring the effect of tea dust magnetic biochar on agricultural crops grown in polycyclic aromatic hydrocarbon contaminated soil
- Crosslinked chitosan-modified ultrafiltration membranes for efficient surface water treatment and enhanced anti-fouling performances
- Study on adsorption characteristics of biochars and their modified biochars for removal of organic dyes from aqueous solution
- Zein polymer nanocarrier for Ocimum basilicum var. purpurascens extract: Potential biomedical use
- Green synthesis, characterization, and in vitro and in vivo biological screening of iron oxide nanoparticles (Fe3O4) generated with hydroalcoholic extract of aerial parts of Euphorbia milii
- Novel microwave-based green approach for the synthesis of dual-loaded cyclodextrin nanosponges: Characterization, pharmacodynamics, and pharmacokinetics evaluation
- Bi2O3–BiOCl/poly-m-methyl aniline nanocomposite thin film for broad-spectrum light-sensing
- Green synthesis and characterization of CuO/ZnO nanocomposite using Musa acuminata leaf extract for cytotoxic studies on colorectal cancer cells (HCC2998)
- Review Articles
- Materials-based drug delivery approaches: Recent advances and future perspectives
- A review of thermal treatment for bamboo and its composites
- An overview of the role of nanoherbicides in tackling challenges of weed management in wheat: A novel approach
- An updated review on carbon nanomaterials: Types, synthesis, functionalization and applications, degradation and toxicity
- Special Issue: Emerging green nanomaterials for sustainable waste management and biomedical applications
- Green synthesis of silver nanoparticles using mature-pseudostem extracts of Alpinia nigra and their bioactivities
- Special Issue: New insights into nanopythotechnology: current trends and future prospects
- Green synthesis of FeO nanoparticles from coffee and its application for antibacterial, antifungal, and anti-oxidation activity
- Dye degradation activity of biogenically synthesized Cu/Fe/Ag trimetallic nanoparticles
- Special Issue: Composites and green composites
- Recent trends and advancements in the utilization of green composites and polymeric nanocarriers for enhancing food quality and sustainable processing
- Retraction
- Retraction of “Biosynthesis and characterization of silver nanoparticles from Cedrela toona leaf extracts: An exploration into their antibacterial, anticancer, and antioxidant potential”
- Retraction of “Photocatalytic degradation of organic dyes and biological potentials of biogenic zinc oxide nanoparticles synthesized using the polar extract of Cyperus scariosus R.Br. (Cyperaceae)”
- Retraction to “Green synthesis on performance characteristics of a direct injection diesel engine using sandbox seed oil”