Abstract
Based on the surface plasmon resonance imaging (SPRi) instrument, we established a new method of analyzing morphine in urine by processing a calibration curve. According to an inhibition immunoassay, gradient concentration of morphine and morphine-BSA fixed on the chip competitively combine with morphine antibody on the chip. Given the three mathematical models, the data of SPRi signals generated from SPRi with morphine was processed to obtain the calibration curve. Ultrafiltration was used to pretreat blank urine samples with adding morphine, and then investigated the advantages and disadvantages of each model. With a limit detection of 6.57 ng·mL−1, the method and mathematical models can provide robust support for SPRi sensors used in further environmental detection, such as the epidemiological study of sewage.
1 Introduction
At present, the abuse of opioids, especially the cases of death caused by taking or injecting opioids, is increasing. The primary metabolite of opioids in the human body is morphine. Therefore, the qualitative and quantitative detection of morphine in the body fluids of these people is the direct basis for judging whether they take opium drugs [1]. The typical drug detection methods include coloration assay [2], immunoassay [3], and chromatography assay [4], among which the coloration assay is simple and rapid. However, detecting traces or drugs of similar chemical structure is challenging, and impurities would significantly interfere with the results. Chromatographic assay, like gas chromatography [5] or liquid chromatography [6], which can accurately analyze the target drugs qualitatively and quantitatively under low detection limits, has become the laboratory’s most widely used analytical method. However, the complex pretreatment of samples and large-scale instruments limit its use in on-the-spot rapid detection. The basic principle of immunoassay is the specificity and reversibility of the binding reaction of antigen and antibody. Enzyme-linked immunosorbent assay (ELISA), also called enzyme immunoassay, is a standard immunoassay for drug analysis [7], which has a relatively low accuracy rate and specificity, resulting in false positive results. Nieddu et al. [8] showed that even if the concentration of methamphetamine in the urine is as high as 10,000 ng·mL−1, it cannot be detected by the ELISA kits, indicating a false negative. In addition, morphine is metabolized quickly in the body, and the morphine concentration in the urine of opioid abusers will soon drop to below 300 ng·mL−1 within 1–1.5 days [9]. The researchers analyzed effluent samples collected from different locations in New York City using by ultra-high performance liquid chromatography-tandem mass spectrometry, and the results showed that levels in raw influent wastewater samples (133.0–258.3 ng·L−1) and water from the sewage overflow area were positive (10.7 ng·L−1) [10].
Surface plasmon resonance (SPR) is an optical instrument used to characterize the change of surface refractive index and show the properties of materials attached to the metal surface in the SPR instrument [11]. SPR technology was first used by Liedberg [12] in the 1980s to detect the interaction between IgG antibody and its antigen. Then, this technology was applied in the field of biosensors and quickly penetrated it. In the 1990s, many mature commercial SPR instruments appeared [13], pushing SPR sensor research to a rapid development stage [14–16]. Compared with the traditional detection methods, SPR sensors show better rapidity and sensitivity. In addition, it can obtain the concentration, affinity, kinetic constant, and specificity of analytes, which has shown great potential in drug detection.
The applications of SPR in the detection of morphine have been reported. Sakai et al. [17] developed an SPR sensor based on the immune reaction between morphine-bovine serum albumin (MOP-BSA) and antibody and verified the feasibility of morphine detection. However, the SPR method is based on the combination of antigen and antibody, and the ratio of antigen and antibody depends on the proportion of antigen and antibody in the reaction system. Therefore, the design or selecting the appropriate mathematical model and then establishing the calibration curve is the basis of accurate quantitative analysis of morphine with SPR sensor.
In this study, a surface plasmon resonance imaging (SPRi) instrument was applied to detect morphine on gold surface sensor chips, combining with charge coupled device (CCD) spectroscopy to realize a multipoint monitor [18]. Initially, morphine antigen was immobilized on an SPRi chip. A blend of morphine antibody and morphine was then introduced to flow across the chip surface. The detection principle of the SPR sensor involves changes in the refractive index on the sensor chip’s surface, which generate signal variations. As illustrated in Figure 1, the chip surface is coated with a gold film to support surface plasmon waves. Specific probe molecules (e.g., antigen) are fixed on the sensor chip. Polarized light from the light source is coupled to the gold film through a prism. At a specific angle, photons couple with free electrons on the metal surface to form surface plasmon waves. The flow cell above the sensor chip has inlets and outlets for analyte solutions. The analyte (e.g., morphine and its antibody) binds to the probe molecules on the chip surface, changing the local refractive index and altering the SPR conditions (e.g., reflected light intensity or angle). These changes are recorded by the CCD detector, producing SPR images. By varying the morphine concentration, a calibration curve was generated based on the response values. SPRi technology allows array-chip, real-time, label-free detection of molecular interactions, providing high sensitivity, and data credibility.

SPRI detection schematic: the chip is mounted to the bottom of a triangular prism, the detection cell directs the solution flow through the chip, and the detector collects and converts the signal. Enlargement shown: (A) carboxy-base surface of chip, (B) immobilization of the MOP-BSA, and (C) the competitive binding of MOP-BSA and morphine to morphine antibody on the surface of the chip.
For the molecular weight of morphine, which is less than 10 kDa, we use inhibition immunoassay to perform a qualitative and quantitative analysis of morphine (Figure 1). With the mixture solution of morphine mAb and morphine flowing through the chip surface, the response SPRi signals were obtained. The concentration of morphine was taken as the independent variable and the received response signal value as the dependent variable. The standard curve was established by polynomial, Log-logit, and four-parameter logistical mathematical models and the recovery experiment evaluated these three kinds of standard curves.
2 Experimental
2.1 Chemicals and reagents
MOP-BSA (10 mg·mL−1) and anti-morphine monoclonal antibody (1 mg·mL−1) were purchased from EastCoast Bio. Co., Ltd. Standard samples (10 mmol·mL−1) of morphine, cocaine, methamphetamine, 3,4-methylenedioxymethamphetamine, ketamine, caffeine, and codeine were provided by the Institute of Forensic Science, Ministry of Public Security. N-(3-dimethylaminopropyl)-3-ethylcarbodiimide hydrochloride (EDC; 5 g, 98%) was purchased from Beijing Innochem Technology Co., Ltd. N-hydroxysuccinimide (NHS; 98%) was purchased from Sigma-Aldrich LLC. Ethanolamine (AR, 99%, 500 mL) was purchased from Shanghai Macklin Biochemical Co., Ltd. Phosphate buffer (PBS; 500 mL, pH = 7.4) was purchased from Sinopharm Chemical Reagent Co., Ltd. Glycine (≥99%, 100 g) was purchased from Shanghai Aladdin Biochemical Technology Co., Ltd. 11-Mercaptoundecanoic acid (98%) was purchased from Sun Chemical Technology (Shanghai) Co., Ltd.
Ethanolamine diluent (pH = 8.5, 1 mol·L−1) was prepared for the blocking solution. Mixture solution of hydrochloric acid and glycine (pH = 2) was prepared for the regeneration solution. Piranha solution was prepared with a volume ratio of sulfuric acid to water of 7:3.
2.2 Instruments
Experimental data were generated with PlexArray™ HT SPRi sensors equipped with Nanocapture™ SPR chips, which were purchased from Plexera Biotechnology Co., Ltd. YC-F20 shaker was purchased from Suzhou Jiangdong Precision Instrument Co., Ltd. TG-15M centrifuge was purchased from Hunan Pingfan Science and Technology Co., Ltd. Ultrafiltration centrifuge tubes (5 mL, molecular weight cut-off value: 3 kDa) were purchased from Sigma-Aldrich LLC.
2.3 Immobilization of MOP-BSA
The SPRi chip (coated with gold) was soaked in the Piranha solution for 1 h to remove all organic substances and to hydroxylate the chip. After washing the chips with deionized water and drying it by nitrogen gas, the SPRi chip was then soaked in 1 mmol·L−1 11-mercaptoundecanoic acid solution for 24 h, which make the surface of chip self-assembled with carboxyl groups.
EDC solution of 0.4 mol·L−1 and 0.1 mol·L−1 NHS solution were mixed in equal volume as activators for the carboxyl groups. The SPRi chip was soaked in an activation solution and vibrated on a shaker for half an hour. Then, the chip was taken out, rinsed, and blow-dried dried.
The SPRi chip was placed on the prepared mold board. 10, 50, 100, 250, 500, and 1,000 µg·mL−1 concentrations of MOP-BSA conjugates were successively spotted in the marked chip regions and then laid flat until the solution was dry. The unconjugated sites on the chip surface were blocked with 1 mol·L−1 ethanolamine solution immersed for 1 h. The polydimethylsiloxane microflow cell was fixed on the chip by pressing through the workbench.
2.4 SPRi analysis
PlexArray HT is a high-throughput SPRi platform, which mainly includes an optical sensing detection pool and a CCD detector, which produces grayscale images with different brightnesses. PlexArray HT is a high-throughput SPRi platform that mainly includes an optical sensing detection pool and a CCD detector, which produce grayscale images with different brightnesses. Load the SPRi chip into the instrument. PBS buffers as a blank control were flowed as the mobile phase first at a flow rate of 2 µL·s−1 for 5 min and the stability of the baseline was observed. After the baseline was stable, the sample was injected. The detection of each sample needs three steps: combination, dissociation, and regeneration. In the combination step, the mobile phase of the sample to be tested, flowing for 5 min at a flow rate of 2 µL·s−1. The sample to be tested will combine with the chip surface, increasing the SPRi signal value. In the dissociation step, PBS buffer was used as the mobile phase at a flow rate of 2 µL·s−1 for 5 min. During this time, SPRi signal value tended to be stable. The chip was regenerated with glycine hydrochloric acid solution to remove the binding antibody. The time of regeneration was 3 min at a flow rate of 5 µL·s−1.
2.5 Optimum of morphine antibody concentration
Different concentrations of morphine mAb 1, 5, 15, 25, 50, and 100 µg·mL−1 were successively flowed over the surface of the SPRi chip to obtain the SPRi signal value and investigated the optimal mass concentration of the antibody.
2.6 Inhibition immunoassay
Morphine antibody was mixed with a gradient concentration of morphine and diluted with PBS buffer. The mixture solutions of optimal concentration of morphine antibody and 0, 1, 5, 12.5, 16, 20, 25, 30, 50, 125, and 250 ng·mL−1 morphine were finally prepared. Each concentration of antibody was repeated three times, and the corresponding SPRi signal value was obtained.
2.7 Ultrafiltration displacement of the urine sample
Based on our previous research, ultrafiltration displacement is an effective pretreatment method to remove 99% of the proteins and salts from the urine, significantly reducing the potential interference [19]. The addition of morphine and morphine antibody to the blank urine samples were prepared, making the concentration of morphine antibody at the optimal mass concentration and the morphine concentration at 18, 20, 22, 25, and 30 ng·mL−1. The morphine-added urine samples were then added into the ultrafiltration tube and centrifuged for 15 min at a speed of 10,000 rpm. After centrifuging, repeatedly wash the membrane of the inner tube of the ultrafiltration tube with PBS buffer to reduce the adhesion of antibody to the membrane. Add PBS buffer into the inner tube, centrifuge again and wash the membrane repeatedly. The solution in the inner tube was taken out and detected by the SPRi instrument.
2.8 Selectivity experiment
A mixture containing antibodies against six drugs (cocaine, methamphetamine, 3,4-methylenedioxymethamphetamine, ketamine, caffeine, and morphine) was prepared with each drug at a concentration of 30 ng·mL−1. Additionally, another mixture combining morphine antibody with codeine was prepared at the same concentration. The specificity of this method for detecting morphine was evaluated according to the previously described procedures.
Furthermore, antibodies against the six drugs (cocaine, methamphetamine, 3,4-methylenedioxymethamphetamine, ketamine, caffeine, and morphine) were combined into a single mixture. This mixture of antibodies was then mixed with a solution containing morphine adjusted to a concentration of 100 ng·mL−1. A preliminary screening test for morphine was conducted, and the SPRi signal values of these two groups were compared.
3 Results and analysis
3.1 Optimization of MOP-BSA and antibody concentrations
Gradient concentrations of antibody solutions were flown over the multipoints of the surface of SPRi chips. As Figure 2 shows, the SPRi signals generated from 10, 50, 100, 250, 500, and 1,000 µg·mL−1 concentrations of the MOP-BSA fixed on the chip were recorded. As is shown in Table 1, the fitting result of the Langmuir equation (Y = (R max × k × x 1−c )/(1 + R max × k × x 1−c )) from the data calculated saturated binding amounts (R max) and absorption constants (k). The R max values rose with the increase of concentration of MOP-BSA. When the concentration of BSA changed from 500 to 1,000 µg·mL−1, the increase in SPRi signal value was not obvious, indicating that the chip surface tends to be saturated. Thus, 1,000 µg·mL−1 concentration of the MOP-BSA is optimal.

The variation curve of SPRi signal value against different morphine antibody concentrations obtained from six concentrations of MOP-BSA on the chip. Each diagram represents a detection point of different MOP-BSA concentrations (unit µg·mL−1).
Fitting result of the Langmuir equation (Y = (R max × k × x 1−c )/(1 + R max × k × x 1−c )), Y represents SPR signal, x represents the concentration of MOP-BSA, k represents absorption constants, and R max represents the maximum binding amounts
| x (µg·mL−1) | k | c | R max | r 2 |
|---|---|---|---|---|
| 10 | 1.14 ± 0.08 | 0.43 ± 0.07 | 1.68 ± 0.05 | 0.9927 |
| 50 | 0.72 ± 0.07 | 0.20 ± 0.11 | 3.97 ± 0.14 | 0.9849 |
| 100 | 0.42 ± 0.07 | −0.14 ± 0.15 | 7.98 ± 0.23 | 0.9839 |
| 250 | 0.50 ± 0.07 | −0.13 ± 0.16 | 9.14 ± 0.26 | 0.9829 |
| 500 | 0.01 ± 0.01 | −1.43 ± 0.30 | 15.84 ± 0.44 | 0.9934 |
| 1,000 | 0.02 ± 0.01 | −0.88 ± 0.22 | 18.33 ± 0.53 | 0.9933 |
The principle of antibody dosage in indirect competitive reaction: to make morphine in the sample and MOP-BSA fixed on the chip surface compete effectively for morphine antibody, the concentration of antibody prepared should be close to saturation specifically binding to the antigen of the chip surface. The relationship between different antibody mass concentrations and the corresponding SPRi signal is shown in Figure 2. Morphine antibody’s mass concentration of 15 µg·mL−1 can generate enough SPRi signal value, and the curve enters the plateau period. The signal value generated from morphine mAb concentrations higher than 25 µg·mL−1 would be slightly higher but make the cost rise. In addition, the activity of antibodies is also an important factor. Different batches, storage environments, and even transportation environments would differentiate the antibody activity. For the reliability of the experimental results, the data should be obtained from the same tube of antibodies. Therefore, the intensity of the SPRi signal and the dosage of antibodies should be balanced. In conclusion, we elected 15 µg·mL−1 concentration of morphine mAb as the optimum antibody concentration.
3.2 Acquirement of the calibration curve
The SPRi signal curve (average value from three groups of experiments) generated from the mixture of the optimal antibody concentration (15 µg·mL−1) and gradient concentrations of morphine is shown in Figure 3(a). We take the average value of 20 points (440–459 s) near the highest value of each curve and use this as the dependent variable. Then, draw the plot with the corresponding morphine mass concentration as the independent variable. The results are shown in Figure 3(b). The SPRi signal value decreases with the increase of morphine concentration, and the changing trend of the curve is a process from small to large and then to small.

(a) SPRi signal curve from different concentrations of morphine, (b) scattered data points of SPRi signal values against concentrations of morphine, (c) the signal interface of SPRi detector, and (d) the SPRi image of morphine samples at a range of concentrations on the sensor chip.
All samples were measured three times in parallel (relative standard deviation [RSD] < 3%), and using PBS buffer flow through the prepared BSA-morphine chip as a blank control, the resulting signal value was detected as noise. According to the theory of signal-to-noise ratio of 3 (S/N = 3), the limit of detection (LOD) was obtained to be 6.57 ng·mL−1.
There are many immunoassays that have developed their own analysis system. Radioimmunoassay (RIA) in the medical field is a typical one [20]. Over longer than a decade, a complete quality control system, including the establishment of a calibration curve, has been established in RIA. In an RIA process, radiolabeled and unlabeled antigens (the latter is the substance to be tested) compete for antibodies with a fixed concentration. Based on the radioactivity values of the conjugates of antigen and antibody under the conditions of different concentrations of unlabeled antigen, a calibration curve is obtained. Comparing with the RIA and SPRi indirect competitive methods, we found that the MOP-BSA fixed on the surface of the chip was equal to the radiolabeled antigen, the morphine was equivalent to the unlabeled antigen, and the radioactivity of the conjugates of antigen and antibody was comparable to the SPRi signal value generated from the combination of MOP-BSA immobilized on the surface of the chip and the morphine antibody. Therefore, the typical polynomial [21], Log-logit [21], and four-parameter logistic [22] models in RIA could be applied to establish the SPRi calibration curve.
3.2.1 Polynomial model
The SPRi signal value generated from 0 ng·mL−1 concentration of morphine is R 0. The signal value corresponding to a certain concentration of morphine is R, and the inhibition rate/% = (R 0 − R)/R 0 × 100. Take the morphine concentration as an independent variable and the inhibition rate as the dependent variable, and then fit the standard curve with cubic function as a mathematical model in Origin. The results are shown in Figure 4. Although the function offers a good correlation (R 2 = 0.9997) in the range of 2.5–30 ng·mL−1 morphine concentration, it can only simulate the dose–response relationship in a particular region, which lacks universal applicability. Moreover, it is difficult to judge the existence of bad points.

Polynomial equation fitting diagram.
3.2.2 Log-logit model
Log-logit model is the most common mathematical method to linearize S-curve. Similarly, take the inhibition rate/% as y and the morphine concentration as x. y′ = lg [y/(100 − y)]; X′ = lg x. After Log-logit transferring, S-type curve is transferred into monotonic function. The fitting results from Origin software are shown in Figure 5, with the detection range of 2.5–125 ng·mL−1, R 2 = 0.9624.

Log-logit equation fitting diagram.
3.2.3 Four-parameter logistic model
In the four-parameter logistic equation, Y represents the inhibition rate (%), x represents the concentration of morphine, a represents the minimum inhibition rate (the inhibition rate when without morphine), d represents the maximum inhibition rate, c represents the concentration of morphine as the SPRi signal value is half of the maximum value, i.e., IC50, and b is a influence factor for the slope. The fitting result was obtained from Origin software. As is shown in Figure 6, the experimental results show a good correlation with the four-parameter logistic equation (the correlation coefficient (R 2) is 0.9996), and the quantitative detection range is IC20–IC80, i.e., 17.70–34.66 ng·mL−1.

Four-parameter logistic equation fitting diagram.
3.3 Evaluation of three mathematical models
Three concentrations of samples containing blank urine and standard samples (30, 25, 22, 20, 18 ng·mL−1) were tested. The experimental results are shown in Table 2. The RSD (n = 5) ranged from 1.52% to 2.77%, indicating that the SPRi signal value from the ultrafiltration displacement pretreatment is stable at the same concentration, which can be used as a pretreatment method. Three sets of data are brought into three mathematical models for the measured value and recovery rate. The polynomial model shows a strong adaptability in a certain range of concentration and gets a high correlation coefficient in the fitting. The recovery rate is also good (108.44–99.80%). However, the model shows a limited general applicability, and it is difficult to judge the scope of quantitative analysis, especially when there exist bad points. Log-logit model has a wide detection range of 2.5–125 ng·mL−1. However, the correlation of fitting curve is relatively poor (R 2 = 0.9624), so the recovery results deviate relatively greatly (93.22–131.80%). The four-parameter logistic model fits the curve well in the range of 1–250 ng·mL−1. Moreover, a high correlation coefficient (R 2 = 0.9996) and a reasonable recovery rate (94.60–105.30%) are obtained. However, the quantitative detection range is only within the range of IC20–IC80 (17.70–34.66 ng·mL−1). The function change rate higher or lower than this range is too small, and the signal is in a significant high or low value, which is not suitable for quantitative analysis. Although the polynomial model has good adaptability, it does not have universal applicability, especially in the future when using SPRi instrument for quantitative analysis of other small drug molecules, it is difficult to predict its fitting range. Although Log-logit model shows a wide detection range, the correlation of the fitting curve is poor. So, it can only be applicable for the primary evaluation of morphine content in samples. The four-parameter logistic model has the advantages of strong adaptability and good stability, but the detection range is relatively narrow. Because of the complexity of antigen–antibody reaction, the mathematical model we fit at present origins from the shape of the curve itself, but not the principal of antigen–antibody reaction.
Recovery rate of morphine in urine samples (n = 5)
| Morphine (ng·mL−1) | Mathematical models | Measured value (ng·mL−1) | Recovery (%) | RSD (%) |
|---|---|---|---|---|
| 30 | Polynomial | 29.94 | 99.80 | 2.77 |
| Log-logit | 39.54 | 131.80 | ||
| Logistic | 31.61 | 105.37 | ||
| 25 | Polynomial | 26.05 | 104.20 | 1.52 |
| Log-logit | 25.18 | 100.60 | ||
| Logistic | 24.15 | 96.60 | ||
| 22 | Polynomial | 23.68 | 107.64 | 1.99 |
| Log-logit | 20.65 | 93.86 | ||
| Logistic | 21.48 | 97.64 | ||
| 20 | Polynomial | 21.35 | 106.75 | 1.85 |
| Log-logit | 22.54 | 112.70 | ||
| Logistic | 18.92 | 94.60 | ||
| 18 | Polynomial | 19.52 | 108.44 | 2.22 |
| Log-logit | 16.78 | 93.22 | ||
| Logistic | 18.61 | 103.39 |
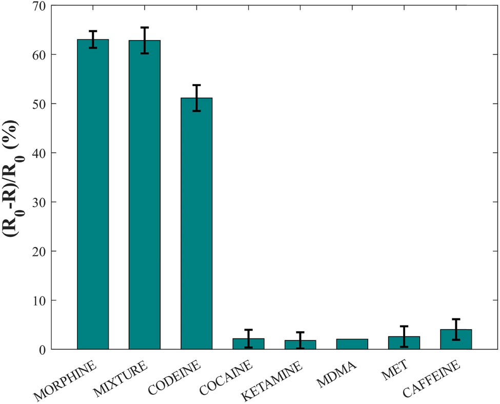
3.4 Selectivity and specificity
The morphine antibody, at its optimal concentration, was combined with six different drugs (morphine, cocaine, methamphetamine, 3,4-methylenedioxymethamphetamine, ketamine, and caffeine) as the mobile phase flowed across the chip surface. Figure 7 displays the resultant signal values, which closely resemble those observed when the morphine antibody was mixed solely with morphine. Furthermore, when the morphine antibody was mixed with the other five drugs, minimal inhibition rates were observed (<3%). These findings indicate that, except for morphine, the remaining five drugs did not interact with the target antibodies, thereby confirming no interference with morphine detection.

Specificities for morphine and other drugs.The symbols are the mean of at least three repetitive measurements and the error bars are the standard deviation.
However, the detection of the morphine and codeine mixture exhibited cross-reactivity, as illustrated in Figure 7. The structural similarity between morphine and codeine, differing by only one functional group, resulted in the antibodies being unable to distinguish between them specifically. Consequently, both morphine and codeine are bound to the morphine antibodies under these conditions.
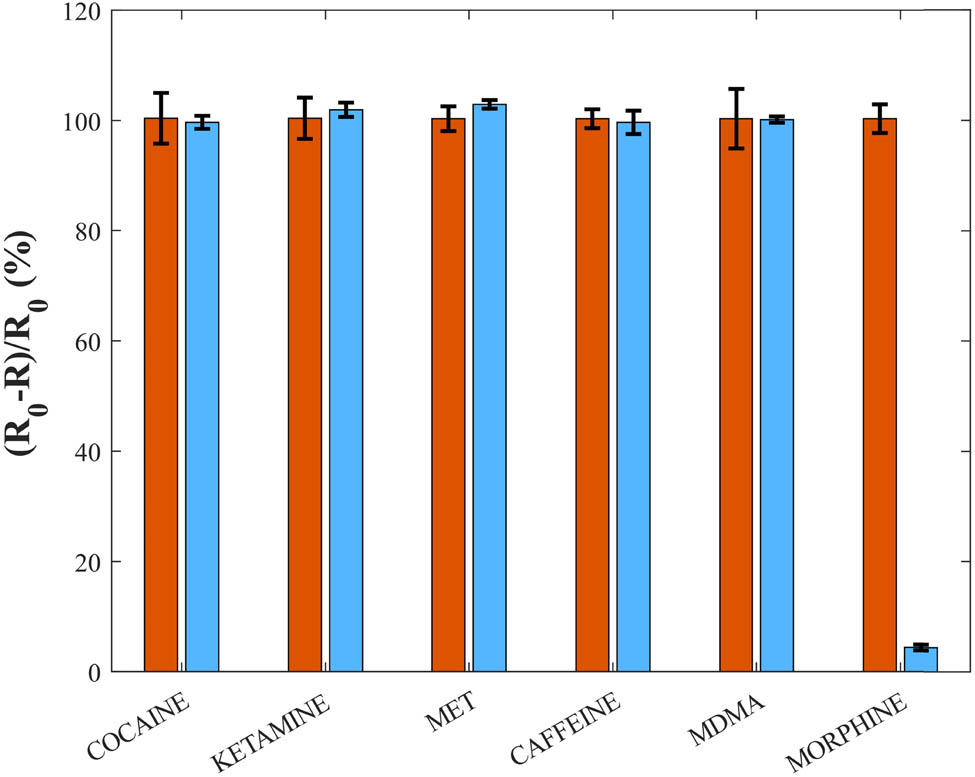
Due to the SPRi sensor’s ability to detect multiple resonance points simultaneously, we utilized an SPRi chip immobilized with various BSA conjugates to screen unknown compounds in the samples. As shown in Figure 8, when a mixture of antibodies against six drugs flowed over the chip surface, signals were observed at all corresponding points on the chip. Upon adding 100 ng·mL−1 of morphine to the antibody mixture, the signal intensity at points containing the morphine antigen decreased significantly. In contrast signals at other points showed negligible change (<3%), indicating specific detection of morphine in the mixture. This type of preliminary screening can be conducted prior to detailed analysis to determine the presence of multiple drugs in unknown samples.

Changes in signal values of points on the SPRi chip in the absence (left) and presence (right) of 100 ng·mL−1 morphine. The symbols are the mean of at least three repetitive measurements and the error bars are the standard deviation.
4 Conclusion
In this research, relying on an SPRi instrument, we developed a detection method for morphine qualitatively and quantitatively. The method shows good sensitivity with the lower LOD to 6.57 ng·mL−1. Moreover, the detection time is less than 20 min, and complex pretreatment is not required. Compared with large instruments such as liquid chromatography, SPRi detection has the advantages of rapid detection and simultaneous detection of multiple samples. Compared with rapid detection methods such as colloidal gold and immunoassay strips, SPRi detection has advantages in detection limit and detection accuracy [23–27]. This equipment can be mounted on a test vehicle or miniaturized for use in the field because it does not have the exact high environmental requirements for vibration, airborne humidity, contaminants, and dust as larger laboratory equipment. We processed the data through three mathematical models and evaluated the correlation coefficient and recovery rate of each model. Each method has its own disadvantages; however, from the current practice, it is a relatively ideal way to use the four-parameter logistic model to fit the curve. This SPRi immuno-based sensor technology and data process can be further applied to detect many other small molecular drugs or combined with smartphones for on-the-spot detection [28,29].
Acknowledgements
This work was supported by the Academician Foundation of the Forensic Center of Ministry of Public Security in China (2011/23323131), the Fundamental Research Funds for the Central Universities, the National Natural Science Foundation of China (81871523), the Opening Project of Key Laboratory of Evidence Science (China University of Political Science and Law), the Ministry of Education (2021KFKTO5, 2019KFKT01), and the Fundamental Research Funds for the Central Universities.
-
Author contributions: Jianuo Sun: writing, validation, data analysis, and visualization; Haokun Ke: investigation, methodology, formal analysis, and writing – original draft; Jinghan Wang: writing – review & editing; Xianchao Du: visualization, editing, and formal analysis; Hongxia Hao: supervision, methodology, experimental design, funding acquisition, and review; Hong Zhou: supervision, resources, and project administration.
-
Conflict of interest: Authors state no conflict of interest.
-
Data availability statement: The datasets generated during and/or analyzed during the current study are available from the corresponding author on reasonable request.
References
[1] Deng Y. Drug testing Beijing China. Beijing: People’s Public Security University Press; 2007.Search in Google Scholar
[2] Liu Z. Practical toxicant analysis. Beijing: People’s Health Press; 1984.Search in Google Scholar
[3] Cone EJ, Dickerson S, Paul BD, Mitchell JM. Forensic drug testing for opiates. IV. analytical sensitivity, specificity, and accuracy of commercial urine opiate immunoassays. J Anal Toxicol. 1992;16(2):72–8. 10.1093/jat/16.2.72.Search in Google Scholar PubMed
[4] Yeh SY, Gorodetzky CW, Krebs HA. Isolation and identification of morphine 3- and 6-glucuronides, morphine 3,6-diglucuronide, morphine 3-ethereal sulfate, normorphine, and normorphine 6-glucuronide as morphine metabolites in humans. J Pharm Sci. 1977;66(9):1288–93. 10.1002/jps.2600660921.Search in Google Scholar PubMed
[5] Lee MR, Yu SC, Hwang BH, Chen CY. Determining morphine in biologic fluids of rats by gas chromatography–mass spectrometry. Anal Chim Acta. 2006;559(1):25–9. 10.1016/j.aca.2005.11.059.Search in Google Scholar
[6] Umans JG, Chiu TSK, Lipman RA, Schultz MF, Shin SU, Inturrisi CE. Determination of heroin and its metabolites by high-performance liquid chromatography. J Chromatogr B Biomed Sci Appl. 1982;233:213–5. 10.1016/S0378-4347(00)81748-X.Search in Google Scholar
[7] Laurie D, Manson A, Rowell F, Seviour J. A rapid, qualitative ELISA test for the specific detection of morphine in serum or urine. Clin Chim Acta. 1989;183(2):183–95. 10.1016/0009-8981(89)90334-3.Search in Google Scholar PubMed
[8] Nieddu M, Burrai L, Baralla E, Valeria P, Maria VV, Irene B, et al. ELISA detection of 30 new amphetamine designer drugs in whole blood, urine and oral fluid using neogen® “amphetamine” and “methamphetamine/MDMA” kits. J Anal Toxicol. 2016;40(7):492–7. 10.1093/jat/bkw060.Search in Google Scholar PubMed
[9] Vandevenne M, Vandenbussche H, Verstraete A. Detection time of drugs of abuse in urine. Acta Clin Belgica. 2000;55(6):323–33. 10.1080/17843286.2000.11754319.Search in Google Scholar PubMed
[10] Jacox A, Wetzel J, Cheng SY, Concheiro M. Quantitative analysis of opioids and cannabinoids in wastewater samples. Forensic Sci Res. 2017;2(1):18–25.10.1080/20961790.2016.1270812Search in Google Scholar PubMed PubMed Central
[11] McDonnell JM. Surface plasmon resonance: towards an understanding of the mechanisms of biological molecular recognition. Curr Opin Chem Biol. 2001;5(5):572–7. 10.1016/S1367-5931(00)00251-9.Search in Google Scholar
[12] Rich RL, Myszka DG. Advances in surface plasmon resonance biosensor analysis. Curr Opin Biotech. 2000;11(1):54–61. 10.1016/S0958-1669(99)00054-3.Search in Google Scholar
[13] Frostell-Karlsson A, Remaeus A, Roos H, Andersson K, Borg P, Hämäläinen M, et al. Biosensor analysis of the interaction between immobilized human serum albumin and drug compounds for prediction of human serum albumin binding levels. J Med Chem. 2000;43(10):1986–92. 10.1021/jm991174y.Search in Google Scholar PubMed
[14] Fang Y. Ligand–receptor interaction platforms and their applications for drug discovery. Expert Opin Drug Discov. 2012;7(10):969–88. 10.1517/17460441.2012.715631.Search in Google Scholar PubMed
[15] Shabani A, Tabrizian M. Design of a universal biointerface for sensitive, selective, and multiplex detection of biomarkers using surface plasmon resonance imaging. Analyst. 2013;138(20):6052–62. 10.1039/c3an01374j.Search in Google Scholar PubMed
[16] Scarano S, Mascini M, Turner APF, Minunni M. Surface plasmon resonance imaging for affinity-based biosensors. Biosens Bioeletron. 2010;25(5):957–66. 10.1016/j.bios.2009.08.039.Search in Google Scholar PubMed
[17] Sakai G, Ogata K, Uda T, Miura N, Yamazoe N. A surface plasmon resonance-based immunosensor for highly sensitive detection of morphine. Sens Actuators B. 1998;49(1):5–12. 10.1016/S0925-4005(98)00107-5.Search in Google Scholar
[18] Rothenhäusler B, Knoll W. Surface plasmon microscopy. Nature. 1988;332:615–7. 10.1038/332615a0.Search in Google Scholar
[19] Ke H, Du X, Wang L, Wang X, Zhu J, Gao Y, et al. Detection of morphine in urine based on a surface plasmon resonance imaging immunoassay. Anal Methods. 2020;12(23):3038–44. 10.1039/D0AY00648C.Search in Google Scholar
[20] Odell WD, Ross GT, Rayford PL. Radioimmunoassay for luteinizing hormone in human plasma or serum: physiological studies. J Clin Invest. 1967;46(2):248–55. 10.1172/JCI105527.Search in Google Scholar PubMed PubMed Central
[21] Dudley RA, Edwards P, Ekins RP, Finney DJ, McKenzie IG, Raab GN, et al. Guideline for immunoassy data-processing. Clin Chem. 1985;31(8):1264–71. 10.1093/clinchem/31.8.1264.Search in Google Scholar
[22] O’Connell MA, Belanger BA, Haaland PD. Calibration and assay development using the four-parameter logistic model. Chemom Intell Lab. 1993;20(2):97–144. 10.1016/0169-7439(93)80008-6.Search in Google Scholar
[23] Gandhi S, Banga I, Maurya PK, Eremin SA. A gold nanoparticle-single-chain fragment variable antibody as an immunoprobe for rapid detection of morphine by dipstick. RSC Adv. 2018;8(3):1511–8. 10.1039/C7RA12810J.Search in Google Scholar PubMed PubMed Central
[24] Atta NF, Galal A, Azab SM. Determination of morphine at gold nanoparticles/Nafion® carbon paste modified sensor electrode. Analyst. 2011;136(22):4682–91. 10.1039/C1AN15423K.Search in Google Scholar PubMed
[25] Yu B, Cao C, Li P, Mao M, Xie Q, Yang L. Sensitive and simple determination of zwitterionic morphine in human urine based on liquid–liquid micro-extraction coupled with surface-enhanced Raman spectroscopy. Talanta. 2018;186:427–32. 10.1016/j.talanta.2018.04.094.Search in Google Scholar PubMed
[26] Bonanno LM, DeLouise LA. Tunable detection sensitivity of opiates in urine via a label-free porous silicon competitive inhibition immunosensor. Anal Chem. 2010;82(2):714–22. 10.1021/ac902453h.Search in Google Scholar PubMed PubMed Central
[27] Hao HX, Zhou H, Chang J, Zhu J, Wei TX. Molecularly imprinted polymers for highly sensitive detection of morphine using surface plasmon resonance spectroscopy. Chin Chem Lett. 2011;22(4):477–80. 10.1016/j.cclet.2010.11.004.Search in Google Scholar
[28] Singh GP, Sardana N. Smartphone-based surface plasmon resonance sensors: a review. Plasmonics. 2002;17:1869–88. 10.1007/s11468-022-01672-1.Search in Google Scholar PubMed PubMed Central
[29] Chi X, Georgina R, Michel WFN, Jens E, Gert IJS, Wing CM. A portable smartphone-based imaging surface plasmon resonance biosensor for allergen detection in plant-based milks. Talanta. 2023;257:124366. 10.1016/j.talanta.2023.124366.Search in Google Scholar PubMed
© 2024 the author(s), published by De Gruyter
This work is licensed under the Creative Commons Attribution 4.0 International License.
Articles in the same Issue
- Research Articles
- Green polymer electrolyte and activated charcoal-based supercapacitor for energy harvesting application: Electrochemical characteristics
- Research on the adsorption of Co2+ ions using halloysite clay and the ability to recover them by electrodeposition method
- Simultaneous estimation of ibuprofen, caffeine, and paracetamol in commercial products using a green reverse-phase HPTLC method
- Isolation, screening and optimization of alkaliphilic cellulolytic fungi for production of cellulase
- Functionalized gold nanoparticles coated with bacterial alginate and their antibacterial and anticancer activities
- Comparative analysis of bio-based amino acid surfactants obtained via Diels–Alder reaction of cyclic anhydrides
- Biosynthesis of silver nanoparticles on yellow phosphorus slag and its application in organic coatings
- Exploring antioxidant potential and phenolic compound extraction from Vitis vinifera L. using ultrasound-assisted extraction
- Manganese and copper-coated nickel oxide nanoparticles synthesized from Carica papaya leaf extract induce antimicrobial activity and breast cancer cell death by triggering mitochondrial caspases and p53
- Insight into heating method and Mozafari method as green processing techniques for the synthesis of micro- and nano-drug carriers
- Silicotungstic acid supported on Bi-based MOF-derived metal oxide for photodegradation of organic dyes
- Synthesis and characterization of capsaicin nanoparticles: An attempt to enhance its bioavailability and pharmacological actions
- Synthesis of Lawsonia inermis-encased silver–copper bimetallic nanoparticles with antioxidant, antibacterial, and cytotoxic activity
- Facile, polyherbal drug-mediated green synthesis of CuO nanoparticles and their potent biological applications
- Zinc oxide-manganese oxide/carboxymethyl cellulose-folic acid-sesamol hybrid nanomaterials: A molecularly targeted strategy for advanced triple-negative breast cancer therapy
- Exploring the antimicrobial potential of biogenically synthesized graphene oxide nanoparticles against targeted bacterial and fungal pathogens
- Biofabrication of silver nanoparticles using Uncaria tomentosa L.: Insight into characterization, antibacterial activities combined with antibiotics, and effect on Triticum aestivum germination
- Membrane distillation of synthetic urine for use in space structural habitat systems
- Investigation on mechanical properties of the green synthesis bamboo fiber/eggshell/coconut shell powder-based hybrid biocomposites under NaOH conditions
- Green synthesis of magnesium oxide nanoparticles using endophytic fungal strain to improve the growth, metabolic activities, yield traits, and phenolic compounds content of Nigella sativa L.
- Estimation of greenhouse gas emissions from rice and annual upland crops in Red River Delta of Vietnam using the denitrification–decomposition model
- Synthesis of humic acid with the obtaining of potassium humate based on coal waste from the Lenger deposit, Kazakhstan
- Ascorbic acid-mediated selenium nanoparticles as potential antihyperuricemic, antioxidant, anticoagulant, and thrombolytic agents
- Green synthesis of silver nanoparticles using Illicium verum extract: Optimization and characterization for biomedical applications
- Antibacterial and dynamical behaviour of silicon nanoparticles influenced sustainable waste flax fibre-reinforced epoxy composite for biomedical application
- Optimising coagulation/flocculation using response surface methodology and application of floc in biofertilisation
- Green synthesis and multifaceted characterization of iron oxide nanoparticles derived from Senna bicapsularis for enhanced in vitro and in vivo biological investigation
- Potent antibacterial nanocomposites from okra mucilage/chitosan/silver nanoparticles for multidrug-resistant Salmonella Typhimurium eradication
- Trachyspermum copticum aqueous seed extract-derived silver nanoparticles: Exploration of their structural characterization and comparative antibacterial performance against gram-positive and gram-negative bacteria
- Microwave-assisted ultrafine silver nanoparticle synthesis using Mitragyna speciosa for antimalarial applications
- Green synthesis and characterisation of spherical structure Ag/Fe2O3/TiO2 nanocomposite using acacia in the presence of neem and tulsi oils
- Green quantitative methods for linagliptin and empagliflozin in dosage forms
- Enhancement efficacy of omeprazole by conjugation with silver nanoparticles as a urease inhibitor
- Residual, sequential extraction, and ecological risk assessment of some metals in ash from municipal solid waste incineration, Vietnam
- Green synthesis of ZnO nanoparticles using the mangosteen (Garcinia mangostana L.) leaf extract: Comparative preliminary in vitro antibacterial study
- Simultaneous determination of lesinurad and febuxostat in commercial fixed-dose combinations using a greener normal-phase HPTLC method
- A greener RP-HPLC method for quaternary estimation of caffeine, paracetamol, levocetirizine, and phenylephrine acquiring AQbD with stability studies
- Optimization of biomass durian peel as a heterogeneous catalyst in biodiesel production using microwave irradiation
- Thermal treatment impact on the evolution of active phases in layered double hydroxide-based ZnCr photocatalysts: Photodegradation and antibacterial performance
- Preparation of silymarin-loaded zein polysaccharide core–shell nanostructures and evaluation of their biological potentials
- Preparation and characterization of composite-modified PA6 fiber for spectral heating and heat storage applications
- Preparation and electrocatalytic oxygen evolution of bimetallic phosphates (NiFe)2P/NF
- Rod-shaped Mo(vi) trichalcogenide–Mo(vi) oxide decorated on poly(1-H pyrrole) as a promising nanocomposite photoelectrode for green hydrogen generation from sewage water with high efficiency
- Green synthesis and studies on citrus medica leaf extract-mediated Au–ZnO nanocomposites: A sustainable approach for efficient photocatalytic degradation of rhodamine B dye in aqueous media
- Cellulosic materials for the removal of ciprofloxacin from aqueous environments
- The analytical assessment of metal contamination in industrial soils of Saudi Arabia using the inductively coupled plasma technology
- The effect of modified oily sludge on the slurry ability and combustion performance of coal water slurry
- Eggshell waste transformation to calcium chloride anhydride as food-grade additive and eggshell membranes as enzyme immobilization carrier
- Synthesis of EPAN and applications in the encapsulation of potassium humate
- Biosynthesis and characterization of silver nanoparticles from Cedrela toona leaf extracts: An exploration into their antibacterial, anticancer, and antioxidant potential
- Enhancing mechanical and rheological properties of HDPE films through annealing for eco-friendly agricultural applications
- Immobilisation of catalase purified from mushroom (Hydnum repandum) onto glutaraldehyde-activated chitosan and characterisation: Its application for the removal of hydrogen peroxide from artificial wastewater
- Sodium titanium oxide/zinc oxide (STO/ZnO) photocomposites for efficient dye degradation applications
- Effect of ex situ, eco-friendly ZnONPs incorporating green synthesised Moringa oleifera leaf extract in enhancing biochemical and molecular aspects of Vicia faba L. under salt stress
- Biosynthesis and characterization of selenium and silver nanoparticles using Trichoderma viride filtrate and their impact on Culex pipiens
- Photocatalytic degradation of organic dyes and biological potentials of biogenic zinc oxide nanoparticles synthesized using the polar extract of Cyperus scariosus R.Br. (Cyperaceae)
- Assessment of antiproliferative activity of green-synthesized nickel oxide nanoparticles against glioblastoma cells using Terminalia chebula
- Chlorine-free synthesis of phosphinic derivatives by change in the P-function
- Anticancer, antioxidant, and antimicrobial activities of nanoemulsions based on water-in-olive oil and loaded on biogenic silver nanoparticles
- Study and mechanism of formation of phosphorus production waste in Kazakhstan
- Synthesis and stabilization of anatase form of biomimetic TiO2 nanoparticles for enhancing anti-tumor potential
- Microwave-supported one-pot reaction for the synthesis of 5-alkyl/arylidene-2-(morpholin/thiomorpholin-4-yl)-1,3-thiazol-4(5H)-one derivatives over MgO solid base
- Screening the phytochemicals in Perilla leaves and phytosynthesis of bioactive silver nanoparticles for potential antioxidant and wound-healing application
- Graphene oxide/chitosan/manganese/folic acid-brucine functionalized nanocomposites show anticancer activity against liver cancer cells
- Nature of serpentinite interactions with low-concentration sulfuric acid solutions
- Multi-objective statistical optimisation utilising response surface methodology to predict engine performance using biofuels from waste plastic oil in CRDi engines
- Microwave-assisted extraction of acetosolv lignin from sugarcane bagasse and electrospinning of lignin/PEO nanofibres for carbon fibre production
- Biosynthesis, characterization, and investigation of cytotoxic activities of selenium nanoparticles utilizing Limosilactobacillus fermentum
- Highly photocatalytic materials based on the decoration of poly(O-chloroaniline) with molybdenum trichalcogenide oxide for green hydrogen generation from Red Sea water
- Highly efficient oil–water separation using superhydrophobic cellulose aerogels derived from corn straw
- Beta-cyclodextrin–Phyllanthus emblica emulsion for zinc oxide nanoparticles: Characteristics and photocatalysis
- Assessment of antimicrobial activity and methyl orange dye removal by Klebsiella pneumoniae-mediated silver nanoparticles
- Influential eradication of resistant Salmonella Typhimurium using bioactive nanocomposites from chitosan and radish seed-synthesized nanoselenium
- Antimicrobial activities and neuroprotective potential for Alzheimer’s disease of pure, Mn, Co, and Al-doped ZnO ultra-small nanoparticles
- Green synthesis of silver nanoparticles from Bauhinia variegata and their biological applications
- Synthesis and optimization of long-chain fatty acids via the oxidation of long-chain fatty alcohols
- Eminent Red Sea water hydrogen generation via a Pb(ii)-iodide/poly(1H-pyrrole) nanocomposite photocathode
- Green synthesis and effective genistein production by fungal β-glucosidase immobilized on Al2O3 nanocrystals synthesized in Cajanus cajan L. (Millsp.) leaf extracts
- Green stability-indicating RP-HPTLC technique for determining croconazole hydrochloride
- Green synthesis of La2O3–LaPO4 nanocomposites using Charybdis natator for DNA binding, cytotoxic, catalytic, and luminescence applications
- Eco-friendly drugs induce cellular changes in colistin-resistant bacteria
- Tangerine fruit peel extract mediated biogenic synthesized silver nanoparticles and their potential antimicrobial, antioxidant, and cytotoxic assessments
- Green synthesis on performance characteristics of a direct injection diesel engine using sandbox seed oil
- A highly sensitive β-AKBA-Ag-based fluorescent “turn off” chemosensor for rapid detection of abamectin in tomatoes
- Green synthesis and physical characterization of zinc oxide nanoparticles (ZnO NPs) derived from the methanol extract of Euphorbia dracunculoides Lam. (Euphorbiaceae) with enhanced biosafe applications
- Detection of morphine and data processing using surface plasmon resonance imaging sensor
- Effects of nanoparticles on the anaerobic digestion properties of sulfamethoxazole-containing chicken manure and analysis of bio-enzymes
- Bromic acid-thiourea synergistic leaching of sulfide gold ore
- Green chemistry approach to synthesize titanium dioxide nanoparticles using Fagonia Cretica extract, novel strategy for developing antimicrobial and antidiabetic therapies
- Green synthesis and effective utilization of biogenic Al2O3-nanocoupled fungal lipase in the resolution of active homochiral 2-octanol and its immobilization via aluminium oxide nanoparticles
- Eco-friendly RP-HPLC approach for simultaneously estimating the promising combination of pentoxifylline and simvastatin in therapeutic potential for breast cancer: Appraisal of greenness, whiteness, and Box–Behnken design
- Use of a humidity adsorbent derived from cockleshell waste in Thai fried fish crackers (Keropok)
- One-pot green synthesis, biological evaluation, and in silico study of pyrazole derivatives obtained from chalcones
- Bio-sorption of methylene blue and production of biofuel by brown alga Cystoseira sp. collected from Neom region, Kingdom of Saudi Arabia
- Synthesis of motexafin gadolinium: A promising radiosensitizer and imaging agent for cancer therapy
- The impact of varying sizes of silver nanoparticles on the induction of cellular damage in Klebsiella pneumoniae involving diverse mechanisms
- Microwave-assisted green synthesis, characterization, and in vitro antibacterial activity of NiO nanoparticles obtained from lemon peel extract
- Rhus microphylla-mediated biosynthesis of copper oxide nanoparticles for enhanced antibacterial and antibiofilm efficacy
- Harnessing trichalcogenide–molybdenum(vi) sulfide and molybdenum(vi) oxide within poly(1-amino-2-mercaptobenzene) frameworks as a photocathode for sustainable green hydrogen production from seawater without sacrificial agents
- Magnetically recyclable Fe3O4@SiO2 supported phosphonium ionic liquids for efficient and sustainable transformation of CO2 into oxazolidinones
- A comparative study of Fagonia arabica fabricated silver sulfide nanoparticles (Ag2S) and silver nanoparticles (AgNPs) with distinct antimicrobial, anticancer, and antioxidant properties
- Visible light photocatalytic degradation and biological activities of Aegle marmelos-mediated cerium oxide nanoparticles
- Physical intrinsic characteristics of spheroidal particles in coal gasification fine slag
- Exploring the effect of tea dust magnetic biochar on agricultural crops grown in polycyclic aromatic hydrocarbon contaminated soil
- Crosslinked chitosan-modified ultrafiltration membranes for efficient surface water treatment and enhanced anti-fouling performances
- Study on adsorption characteristics of biochars and their modified biochars for removal of organic dyes from aqueous solution
- Zein polymer nanocarrier for Ocimum basilicum var. purpurascens extract: Potential biomedical use
- Green synthesis, characterization, and in vitro and in vivo biological screening of iron oxide nanoparticles (Fe3O4) generated with hydroalcoholic extract of aerial parts of Euphorbia milii
- Novel microwave-based green approach for the synthesis of dual-loaded cyclodextrin nanosponges: Characterization, pharmacodynamics, and pharmacokinetics evaluation
- Bi2O3–BiOCl/poly-m-methyl aniline nanocomposite thin film for broad-spectrum light-sensing
- Green synthesis and characterization of CuO/ZnO nanocomposite using Musa acuminata leaf extract for cytotoxic studies on colorectal cancer cells (HCC2998)
- Review Articles
- Materials-based drug delivery approaches: Recent advances and future perspectives
- A review of thermal treatment for bamboo and its composites
- An overview of the role of nanoherbicides in tackling challenges of weed management in wheat: A novel approach
- An updated review on carbon nanomaterials: Types, synthesis, functionalization and applications, degradation and toxicity
- Special Issue: Emerging green nanomaterials for sustainable waste management and biomedical applications
- Green synthesis of silver nanoparticles using mature-pseudostem extracts of Alpinia nigra and their bioactivities
- Special Issue: New insights into nanopythotechnology: current trends and future prospects
- Green synthesis of FeO nanoparticles from coffee and its application for antibacterial, antifungal, and anti-oxidation activity
- Dye degradation activity of biogenically synthesized Cu/Fe/Ag trimetallic nanoparticles
- Special Issue: Composites and green composites
- Recent trends and advancements in the utilization of green composites and polymeric nanocarriers for enhancing food quality and sustainable processing
- Retraction
- Retraction of “Biosynthesis and characterization of silver nanoparticles from Cedrela toona leaf extracts: An exploration into their antibacterial, anticancer, and antioxidant potential”
- Retraction of “Photocatalytic degradation of organic dyes and biological potentials of biogenic zinc oxide nanoparticles synthesized using the polar extract of Cyperus scariosus R.Br. (Cyperaceae)”
- Retraction to “Green synthesis on performance characteristics of a direct injection diesel engine using sandbox seed oil”
Articles in the same Issue
- Research Articles
- Green polymer electrolyte and activated charcoal-based supercapacitor for energy harvesting application: Electrochemical characteristics
- Research on the adsorption of Co2+ ions using halloysite clay and the ability to recover them by electrodeposition method
- Simultaneous estimation of ibuprofen, caffeine, and paracetamol in commercial products using a green reverse-phase HPTLC method
- Isolation, screening and optimization of alkaliphilic cellulolytic fungi for production of cellulase
- Functionalized gold nanoparticles coated with bacterial alginate and their antibacterial and anticancer activities
- Comparative analysis of bio-based amino acid surfactants obtained via Diels–Alder reaction of cyclic anhydrides
- Biosynthesis of silver nanoparticles on yellow phosphorus slag and its application in organic coatings
- Exploring antioxidant potential and phenolic compound extraction from Vitis vinifera L. using ultrasound-assisted extraction
- Manganese and copper-coated nickel oxide nanoparticles synthesized from Carica papaya leaf extract induce antimicrobial activity and breast cancer cell death by triggering mitochondrial caspases and p53
- Insight into heating method and Mozafari method as green processing techniques for the synthesis of micro- and nano-drug carriers
- Silicotungstic acid supported on Bi-based MOF-derived metal oxide for photodegradation of organic dyes
- Synthesis and characterization of capsaicin nanoparticles: An attempt to enhance its bioavailability and pharmacological actions
- Synthesis of Lawsonia inermis-encased silver–copper bimetallic nanoparticles with antioxidant, antibacterial, and cytotoxic activity
- Facile, polyherbal drug-mediated green synthesis of CuO nanoparticles and their potent biological applications
- Zinc oxide-manganese oxide/carboxymethyl cellulose-folic acid-sesamol hybrid nanomaterials: A molecularly targeted strategy for advanced triple-negative breast cancer therapy
- Exploring the antimicrobial potential of biogenically synthesized graphene oxide nanoparticles against targeted bacterial and fungal pathogens
- Biofabrication of silver nanoparticles using Uncaria tomentosa L.: Insight into characterization, antibacterial activities combined with antibiotics, and effect on Triticum aestivum germination
- Membrane distillation of synthetic urine for use in space structural habitat systems
- Investigation on mechanical properties of the green synthesis bamboo fiber/eggshell/coconut shell powder-based hybrid biocomposites under NaOH conditions
- Green synthesis of magnesium oxide nanoparticles using endophytic fungal strain to improve the growth, metabolic activities, yield traits, and phenolic compounds content of Nigella sativa L.
- Estimation of greenhouse gas emissions from rice and annual upland crops in Red River Delta of Vietnam using the denitrification–decomposition model
- Synthesis of humic acid with the obtaining of potassium humate based on coal waste from the Lenger deposit, Kazakhstan
- Ascorbic acid-mediated selenium nanoparticles as potential antihyperuricemic, antioxidant, anticoagulant, and thrombolytic agents
- Green synthesis of silver nanoparticles using Illicium verum extract: Optimization and characterization for biomedical applications
- Antibacterial and dynamical behaviour of silicon nanoparticles influenced sustainable waste flax fibre-reinforced epoxy composite for biomedical application
- Optimising coagulation/flocculation using response surface methodology and application of floc in biofertilisation
- Green synthesis and multifaceted characterization of iron oxide nanoparticles derived from Senna bicapsularis for enhanced in vitro and in vivo biological investigation
- Potent antibacterial nanocomposites from okra mucilage/chitosan/silver nanoparticles for multidrug-resistant Salmonella Typhimurium eradication
- Trachyspermum copticum aqueous seed extract-derived silver nanoparticles: Exploration of their structural characterization and comparative antibacterial performance against gram-positive and gram-negative bacteria
- Microwave-assisted ultrafine silver nanoparticle synthesis using Mitragyna speciosa for antimalarial applications
- Green synthesis and characterisation of spherical structure Ag/Fe2O3/TiO2 nanocomposite using acacia in the presence of neem and tulsi oils
- Green quantitative methods for linagliptin and empagliflozin in dosage forms
- Enhancement efficacy of omeprazole by conjugation with silver nanoparticles as a urease inhibitor
- Residual, sequential extraction, and ecological risk assessment of some metals in ash from municipal solid waste incineration, Vietnam
- Green synthesis of ZnO nanoparticles using the mangosteen (Garcinia mangostana L.) leaf extract: Comparative preliminary in vitro antibacterial study
- Simultaneous determination of lesinurad and febuxostat in commercial fixed-dose combinations using a greener normal-phase HPTLC method
- A greener RP-HPLC method for quaternary estimation of caffeine, paracetamol, levocetirizine, and phenylephrine acquiring AQbD with stability studies
- Optimization of biomass durian peel as a heterogeneous catalyst in biodiesel production using microwave irradiation
- Thermal treatment impact on the evolution of active phases in layered double hydroxide-based ZnCr photocatalysts: Photodegradation and antibacterial performance
- Preparation of silymarin-loaded zein polysaccharide core–shell nanostructures and evaluation of their biological potentials
- Preparation and characterization of composite-modified PA6 fiber for spectral heating and heat storage applications
- Preparation and electrocatalytic oxygen evolution of bimetallic phosphates (NiFe)2P/NF
- Rod-shaped Mo(vi) trichalcogenide–Mo(vi) oxide decorated on poly(1-H pyrrole) as a promising nanocomposite photoelectrode for green hydrogen generation from sewage water with high efficiency
- Green synthesis and studies on citrus medica leaf extract-mediated Au–ZnO nanocomposites: A sustainable approach for efficient photocatalytic degradation of rhodamine B dye in aqueous media
- Cellulosic materials for the removal of ciprofloxacin from aqueous environments
- The analytical assessment of metal contamination in industrial soils of Saudi Arabia using the inductively coupled plasma technology
- The effect of modified oily sludge on the slurry ability and combustion performance of coal water slurry
- Eggshell waste transformation to calcium chloride anhydride as food-grade additive and eggshell membranes as enzyme immobilization carrier
- Synthesis of EPAN and applications in the encapsulation of potassium humate
- Biosynthesis and characterization of silver nanoparticles from Cedrela toona leaf extracts: An exploration into their antibacterial, anticancer, and antioxidant potential
- Enhancing mechanical and rheological properties of HDPE films through annealing for eco-friendly agricultural applications
- Immobilisation of catalase purified from mushroom (Hydnum repandum) onto glutaraldehyde-activated chitosan and characterisation: Its application for the removal of hydrogen peroxide from artificial wastewater
- Sodium titanium oxide/zinc oxide (STO/ZnO) photocomposites for efficient dye degradation applications
- Effect of ex situ, eco-friendly ZnONPs incorporating green synthesised Moringa oleifera leaf extract in enhancing biochemical and molecular aspects of Vicia faba L. under salt stress
- Biosynthesis and characterization of selenium and silver nanoparticles using Trichoderma viride filtrate and their impact on Culex pipiens
- Photocatalytic degradation of organic dyes and biological potentials of biogenic zinc oxide nanoparticles synthesized using the polar extract of Cyperus scariosus R.Br. (Cyperaceae)
- Assessment of antiproliferative activity of green-synthesized nickel oxide nanoparticles against glioblastoma cells using Terminalia chebula
- Chlorine-free synthesis of phosphinic derivatives by change in the P-function
- Anticancer, antioxidant, and antimicrobial activities of nanoemulsions based on water-in-olive oil and loaded on biogenic silver nanoparticles
- Study and mechanism of formation of phosphorus production waste in Kazakhstan
- Synthesis and stabilization of anatase form of biomimetic TiO2 nanoparticles for enhancing anti-tumor potential
- Microwave-supported one-pot reaction for the synthesis of 5-alkyl/arylidene-2-(morpholin/thiomorpholin-4-yl)-1,3-thiazol-4(5H)-one derivatives over MgO solid base
- Screening the phytochemicals in Perilla leaves and phytosynthesis of bioactive silver nanoparticles for potential antioxidant and wound-healing application
- Graphene oxide/chitosan/manganese/folic acid-brucine functionalized nanocomposites show anticancer activity against liver cancer cells
- Nature of serpentinite interactions with low-concentration sulfuric acid solutions
- Multi-objective statistical optimisation utilising response surface methodology to predict engine performance using biofuels from waste plastic oil in CRDi engines
- Microwave-assisted extraction of acetosolv lignin from sugarcane bagasse and electrospinning of lignin/PEO nanofibres for carbon fibre production
- Biosynthesis, characterization, and investigation of cytotoxic activities of selenium nanoparticles utilizing Limosilactobacillus fermentum
- Highly photocatalytic materials based on the decoration of poly(O-chloroaniline) with molybdenum trichalcogenide oxide for green hydrogen generation from Red Sea water
- Highly efficient oil–water separation using superhydrophobic cellulose aerogels derived from corn straw
- Beta-cyclodextrin–Phyllanthus emblica emulsion for zinc oxide nanoparticles: Characteristics and photocatalysis
- Assessment of antimicrobial activity and methyl orange dye removal by Klebsiella pneumoniae-mediated silver nanoparticles
- Influential eradication of resistant Salmonella Typhimurium using bioactive nanocomposites from chitosan and radish seed-synthesized nanoselenium
- Antimicrobial activities and neuroprotective potential for Alzheimer’s disease of pure, Mn, Co, and Al-doped ZnO ultra-small nanoparticles
- Green synthesis of silver nanoparticles from Bauhinia variegata and their biological applications
- Synthesis and optimization of long-chain fatty acids via the oxidation of long-chain fatty alcohols
- Eminent Red Sea water hydrogen generation via a Pb(ii)-iodide/poly(1H-pyrrole) nanocomposite photocathode
- Green synthesis and effective genistein production by fungal β-glucosidase immobilized on Al2O3 nanocrystals synthesized in Cajanus cajan L. (Millsp.) leaf extracts
- Green stability-indicating RP-HPTLC technique for determining croconazole hydrochloride
- Green synthesis of La2O3–LaPO4 nanocomposites using Charybdis natator for DNA binding, cytotoxic, catalytic, and luminescence applications
- Eco-friendly drugs induce cellular changes in colistin-resistant bacteria
- Tangerine fruit peel extract mediated biogenic synthesized silver nanoparticles and their potential antimicrobial, antioxidant, and cytotoxic assessments
- Green synthesis on performance characteristics of a direct injection diesel engine using sandbox seed oil
- A highly sensitive β-AKBA-Ag-based fluorescent “turn off” chemosensor for rapid detection of abamectin in tomatoes
- Green synthesis and physical characterization of zinc oxide nanoparticles (ZnO NPs) derived from the methanol extract of Euphorbia dracunculoides Lam. (Euphorbiaceae) with enhanced biosafe applications
- Detection of morphine and data processing using surface plasmon resonance imaging sensor
- Effects of nanoparticles on the anaerobic digestion properties of sulfamethoxazole-containing chicken manure and analysis of bio-enzymes
- Bromic acid-thiourea synergistic leaching of sulfide gold ore
- Green chemistry approach to synthesize titanium dioxide nanoparticles using Fagonia Cretica extract, novel strategy for developing antimicrobial and antidiabetic therapies
- Green synthesis and effective utilization of biogenic Al2O3-nanocoupled fungal lipase in the resolution of active homochiral 2-octanol and its immobilization via aluminium oxide nanoparticles
- Eco-friendly RP-HPLC approach for simultaneously estimating the promising combination of pentoxifylline and simvastatin in therapeutic potential for breast cancer: Appraisal of greenness, whiteness, and Box–Behnken design
- Use of a humidity adsorbent derived from cockleshell waste in Thai fried fish crackers (Keropok)
- One-pot green synthesis, biological evaluation, and in silico study of pyrazole derivatives obtained from chalcones
- Bio-sorption of methylene blue and production of biofuel by brown alga Cystoseira sp. collected from Neom region, Kingdom of Saudi Arabia
- Synthesis of motexafin gadolinium: A promising radiosensitizer and imaging agent for cancer therapy
- The impact of varying sizes of silver nanoparticles on the induction of cellular damage in Klebsiella pneumoniae involving diverse mechanisms
- Microwave-assisted green synthesis, characterization, and in vitro antibacterial activity of NiO nanoparticles obtained from lemon peel extract
- Rhus microphylla-mediated biosynthesis of copper oxide nanoparticles for enhanced antibacterial and antibiofilm efficacy
- Harnessing trichalcogenide–molybdenum(vi) sulfide and molybdenum(vi) oxide within poly(1-amino-2-mercaptobenzene) frameworks as a photocathode for sustainable green hydrogen production from seawater without sacrificial agents
- Magnetically recyclable Fe3O4@SiO2 supported phosphonium ionic liquids for efficient and sustainable transformation of CO2 into oxazolidinones
- A comparative study of Fagonia arabica fabricated silver sulfide nanoparticles (Ag2S) and silver nanoparticles (AgNPs) with distinct antimicrobial, anticancer, and antioxidant properties
- Visible light photocatalytic degradation and biological activities of Aegle marmelos-mediated cerium oxide nanoparticles
- Physical intrinsic characteristics of spheroidal particles in coal gasification fine slag
- Exploring the effect of tea dust magnetic biochar on agricultural crops grown in polycyclic aromatic hydrocarbon contaminated soil
- Crosslinked chitosan-modified ultrafiltration membranes for efficient surface water treatment and enhanced anti-fouling performances
- Study on adsorption characteristics of biochars and their modified biochars for removal of organic dyes from aqueous solution
- Zein polymer nanocarrier for Ocimum basilicum var. purpurascens extract: Potential biomedical use
- Green synthesis, characterization, and in vitro and in vivo biological screening of iron oxide nanoparticles (Fe3O4) generated with hydroalcoholic extract of aerial parts of Euphorbia milii
- Novel microwave-based green approach for the synthesis of dual-loaded cyclodextrin nanosponges: Characterization, pharmacodynamics, and pharmacokinetics evaluation
- Bi2O3–BiOCl/poly-m-methyl aniline nanocomposite thin film for broad-spectrum light-sensing
- Green synthesis and characterization of CuO/ZnO nanocomposite using Musa acuminata leaf extract for cytotoxic studies on colorectal cancer cells (HCC2998)
- Review Articles
- Materials-based drug delivery approaches: Recent advances and future perspectives
- A review of thermal treatment for bamboo and its composites
- An overview of the role of nanoherbicides in tackling challenges of weed management in wheat: A novel approach
- An updated review on carbon nanomaterials: Types, synthesis, functionalization and applications, degradation and toxicity
- Special Issue: Emerging green nanomaterials for sustainable waste management and biomedical applications
- Green synthesis of silver nanoparticles using mature-pseudostem extracts of Alpinia nigra and their bioactivities
- Special Issue: New insights into nanopythotechnology: current trends and future prospects
- Green synthesis of FeO nanoparticles from coffee and its application for antibacterial, antifungal, and anti-oxidation activity
- Dye degradation activity of biogenically synthesized Cu/Fe/Ag trimetallic nanoparticles
- Special Issue: Composites and green composites
- Recent trends and advancements in the utilization of green composites and polymeric nanocarriers for enhancing food quality and sustainable processing
- Retraction
- Retraction of “Biosynthesis and characterization of silver nanoparticles from Cedrela toona leaf extracts: An exploration into their antibacterial, anticancer, and antioxidant potential”
- Retraction of “Photocatalytic degradation of organic dyes and biological potentials of biogenic zinc oxide nanoparticles synthesized using the polar extract of Cyperus scariosus R.Br. (Cyperaceae)”
- Retraction to “Green synthesis on performance characteristics of a direct injection diesel engine using sandbox seed oil”