Eminent Red Sea water hydrogen generation via a Pb(ii)-iodide/poly(1H-pyrrole) nanocomposite photocathode
-
Fatemah Homoud Alkallas
, Asmaa Mahmoud Mohamed Abd Elsayed, Amira Ben Gouider Trabelsi
, Tahani Abdullah Alrebdi , Mohamed Rabiaand Fedor V. Kusmartsev
Abstract
The development of a photocathode based on a Pb(ii)-iodide/poly(1H-pyrrole) porous spherical (PbI2/P1HP PS) nanocomposite has been successfully achieved in the efficient production of H2 gas from Red Sea water. The distinguishable spherical and porous shapes of these nanocomposites are characterized by a minimum surface measuring approximately 25 nm. This structural configuration, coupled with the nanocomposite’s substantial light absorbance, results in a modest bandgap of 2.4 eV. This turns the nanocomposite into a highly promising candidate for renewable energy applications, particularly for H2 gas generation from natural sources like Red Sea water. The economic viability of the PbI2/P1HP PS nanocomposite, relying on a glass substrate, mass production, and straightforward fabrication techniques, adds to its promising profile for H2 gas evolution. The photocathode exhibits significant potential for H2 gas production, with a notable current density (J ph) value of 1.0 mA·cm−2 in a three-electrode cell configuration. The IPCE reaches 3.1%, reflecting the successful evolution of 24 µmol·h−1 10 cm2 of the photocathode. Importantly, the use of natural Red Sea water as an electrolyte underscores a key feature for H2 gas production: utilizing freely available natural resources. This aspect holds considerable promise for industrial applications, emphasizing the environmentally sustainable nature of the photocathode.
1 Introduction
In today’s context, there is a noteworthy emphasis on environmental conservation, prompting a shift toward sustainable energy solutions. Hydrogen generation has emerged as a particularly promising avenue for environmentally friendly energy. Particularly, photocatalytic hydrogen generation has demonstrated remarkable ability in hydrogen generation, leveraging the power of sunlight. In this process, the prepared material is illuminated by sunlight, leading to photocatalysis, which effectively splits sewage or seawater and produces hydrogen [1,2]. This approach has captivated the attention of researchers, driving efforts to enhance photocatalyst activity through the development of more advanced materials that can ensure a prolonged lifetime for the excited charge carriers [3,4].
The photocatalytic hydrogen generation method holds immense potential for sustainable and clean energy production. By harnessing solar energy, it allows for the environmentally benign splitting of water sources, including sewage and seawater, into hydrogen, a clean and versatile energy carrier. This technique aligns with the overarching goal of transitioning toward eco-friendly energy sources and mitigating the environmental impact associated with conventional energy production methods [5]. The focus on advancing photocatalyst materials stems from the recognition that the efficiency of the photocatalytic process depends on the material’s ability to absorb sunlight and facilitate the separation and migration of charge carriers. Developing more sophisticated materials becomes crucial for ensuring not only higher efficiency but also an extended lifespan for the charge carriers involved in the photocatalytic reaction. Prolonging the lifetime of these excited charge carriers is essential for sustaining the catalytic activity over time and maximizing the overall efficiency of hydrogen generation [6,7].
Researchers are actively exploring novel materials with enhanced photocatalytic properties to address the challenges and limitations of existing technologies. These advanced materials often feature tailored structures and compositions that optimize light absorption, charge carrier separation, and migration. The goal is to create materials that not only exhibit high performance in hydrogen generation but also demonstrate resilience and stability over an extended period of use.
Polymer photocatalysts face significant challenges, including low efficiency in hydrogen generation, electrode corrosion, and potential environmental impacts on natural water sources. In addition to its role in providing a renewable hydrogen energy source through water-splitting reactions, the conjugated polymer demonstrates effective use as a catalyst for harvesting atmospheric water. This capability offers a valuable water source in remote locations. The polymer’s unique properties enable it to function efficiently in capturing and condensing water from the air, thus addressing water scarcity issues in areas lacking accessible water supplies. By leveraging its catalytic properties, the conjugated polymer can facilitate the condensation process, making atmospheric water harvesting a viable solution for providing clean water in distant or arid regions [8].
Despite these obstacles, the synthesis of P1HP stands out as a simple and cost-effective alternative compared to other materials [9,10,11]. Recent advancements have introduced new classes of photocatalysts involving pristine-conjugated polymers combined with other narrow band gap materials, spanning energy levels between 1.3 and 2.5 eV. These innovative materials have found extensive applications in water treatment and the environmentally friendly generation of hydrogen gas, addressing the limitations of traditional polymer photocatalysts [12].
The incorporation of pristine-conjugated polymers into these novel photocatalyst formulations represents a significant improvement in their performance. The simplicity and cost-effectiveness of P1HP synthesis contribute to the attractiveness of these materials in comparison to alternative options. The expanded range of narrow band gap materials enhances the ability of the photocatalyst to harness a broader spectrum of light, optimizing its efficiency in driving photocatalytic reactions.
To further enhance the stability and performance of these conjugated polymer-based photocatalysts, various semiconductors have been introduced. Blending polymers with other materials, such as oxides, offers advantages such as enhanced stability, cost-effective growth processes, and the potential for mass production. This combination of materials aims to overcome the limitations associated with electrode corrosion and environmental concerns, ensuring a more sustainable and effective photocatalytic process [13].
P1HP stands out as a widely utilized polymer known for its notable characteristics, including high stability, cost-effectiveness, porosity, and a small bandgap. In parallel, lead iodide (PbI2) possesses distinct optoelectronic properties, particularly a small bandgap ranging from 2.3 to 2.5 eV. This unique feature makes PbI2 an attractive candidate for blending with polymers, initiating opportunities for applications in water splitting and hydrogen production. The combination of semiconductor polymer and PbI2 capitalizes on their individual strengths to synergistically enhance their performance in catalyzing water splitting for hydrogen generation [14]. The polymer, with its robust stability and cost-effectiveness, complements the optoelectronic properties of PbI2. The small bandgap of PbI2 makes it conducive for efficiently absorbing light and participating in the photochemical reactions essential for water splitting.
Despite the promising attributes of both semiconductors and PbI2, the literature reveals a limited number of studies exploring the applications of this composite in water splitting. Hadia et al. [15] focused on the collaborative impact of PbI2 with polyaniline on hydrogen generation. The synergistic effects of combining PbI2 with other conductive polymers for water splitting have been demonstrated. This opens the door for leveraging the high ability of semiconductor polymer merged with PbI2 for hydrogen generation. Nevertheless, optimizing the efficiency of polymer-based materials for photocatalytic processes could require several advanced strategies to develop sustainable and efficient production. The range of materials explored for interest has been somewhat constrained in recent years owing to the excessive cost and requirement of diverse electrolytes [13,16].
In this context, we introduce a novel nanocomposite, PbI2/P1HP PS, which features a unique morphology and demonstrates the substantial potential for hydrogen generation using a novel source – Red Sea water. This represents a significant advancement, overcoming challenges faced by previous nanocomposites and pushing forward the quest for more efficient and cost-effective hydrogen production materials. To evaluate its performance, the estimated hydrogen gas production using seawater as a promising natural electrolyte source is evaluated from a three-electrode cell setup, where the PbI2/P1HP PS nanocomposite serves as the photocathode. The produced H2 gas is quantified by monitoring the J ph values. Both the incident photon-to-current efficiency (IPCE) and the generated moles of H2 show promising results, highlighting the exceptional sensitivity of this photocathode. This sensitivity is systematically tested under various photons with different energies and frequencies. Given its impressive economic viability and high technical performance, this photocathode is an excellent candidate for hydrogen production. Its capability to utilize natural sources like Red Sea water, along with its responsiveness to a wide range of photons, positions it as a highly promising electrode for advancing hydrogen gas production technology.
2 Experimental section
2.1 Materials
Hydrochloric acid, with a concentration of 36%, and ethanol, with a purity of 99.8%, were procured from Merck (Germany) and Sigma Aldrich Co. ( USA), respectively. Additionally, pyrrole with a purity of 99.9% was obtained from Sigma Aldrich Co. Iodine with a purity of 99.8% and lead nitrate (Pb(NO3)2) with a purity of 99.7% were sourced from Pio-Chem (Egypt).
2.2 Synthesis of the PbI2/P1HP PS-nanocomposite
The synthesis of the PbI2/P1HP PS-nanocomposite involves a two-step process. In the initial step, pyrrole is oxidized using iodine to generate I-P1HP-I2, and subsequently, Pb(NO3)2 reacts with the I-P1HP-I2 material to yield the PbI2-P1HP nanocomposite. In the first step, a solution of 0.06 M pyrrole dissolved in acetic acid (CH3COOH) at a concentration of 0.7 M is prepared. The addition of iodine initiates the oxidation of pyrrole, leading to the polymerization process. This results in the formation of a thin film of I-P1HP-I2, which coats the surface of the sliding glass used in the synthesis. For the second step, a separate reaction is conducted by introducing 0.05 M Pb(NO3)2. The Pb2+ ions interact with I− ions, leading to the formation of PbI2 within the polymer chains, thereby resulting in the synthesis of the PbI2/P1HP PS-nanocomposite. By carrying out these sequential reactions, the synthesis strategy ensures the controlled formation of the nanocomposite material. The initial polymerization of pyrrole with iodine forms an I-P1HP-I2 intermediate, and the subsequent introduction of Pb(NO3)2 allows the incorporation of lead iodide (PbI2) within the polymer matrix, finalizing the PbI2/P1HP PS-nanocomposite. This two-step approach enables precise control over the synthesis process, ensuring the formation of a well-defined nanocomposite material with enhanced properties. The distinct stages of the reaction facilitate the tailored incorporation of PbI2 into the P1HP matrix, offering potential applications in various fields, including electronic devices and materials science.
2.3 Electrochemical test
The electrochemical assessment of the synthesized PbI2/P1HP PS-nanocomposite for hydrogen production is conducted in a three-electrode cell, utilizing Red Sea water as an electrolyte for the hydrogen generation reaction. In this configuration, the PbI2/P1HP PS-nanocomposite serves as the working electrode, and a calomel electrode is employed as a reference electrode, with a graphite electrode acting as the counter electrode.
The Red Sea water, characterized by its chemical composition, contains certain heavy metal percentages, as detailed in Table 1. These heavy metals function as sacrificial agents, contributing to the water-splitting reaction and facilitating the production of hydrogen gas. To further enhance the motivation for the hydrogen generation reaction, a metal halide lamp is employed as a light source. This lamp serves to stimulate the photocatalytic behavior of the PbI2/P1HP PS-nanocomposite. Consequently, the impact of various monochromatic light conditions, as well as dark–light variations, is systematically studied using linear sweep voltammetry. These electrochemical measurements are carried out with the CHI608E device.
Concentrations of heavy metals (µg·L−1) in Red Sea water [17]
| Heavy metal | Concentration (µg·L−1) |
|---|---|
| Cr | 5 |
| Mn | 9 |
| Ni | 1 |
| Cd | 1 |
| Pb | 8 |
| B | 132 |
| Fe | 12 |
| Zn | 44 |
| Cu | 100 |
The use of Red Sea water, with its specific heavy metal content, adds an interesting dimension to electrochemical testing, leveraging the sacrificial properties of these metals for efficient water splitting. Additionally, the incorporation of a metal halide lamp provides a controlled and consistent light source to explore the photocatalytic capabilities of the PbI2/P1HP PS-nanocomposite under different experimental conditions. This comprehensive electrochemical investigation aims to evaluate the performance and efficiency of the PbI2/P1HP PS-nanocomposite for hydrogen production, considering both the intrinsic properties of the material and the influence of external stimuli such as light. The findings from these experiments contribute valuable insights into the development of efficient and sustainable hydrogen generation technologies.
3 Results and discussion
3.1 Characterization procedures
The morphological characteristics of the synthesized I-P1HP-I2 and PbI2/P1HP PS-nanocomposite were thoroughly investigated using SEM, TEM, and theoretical simulation, as depicted in Figure 1. The determination of diverse morphologies is crucial for understanding the optical behavior of these materials, as enhancements in morphological features often translate to improved optical and electrical performance.

(a) The morphological behavior of I-P1HP-I2 through SEM analysis. The morphological behavior of the PbI2-P1HP PS-nanocomposite: (b) SEM, (c) TEM, and (d) theoretical simulation.
The morphological characteristics of I-P1HP-I2 are illustrated in Figure 1(a) using SEM. The images display spherical or ring-like structures, with diameters ranging from 200 to 700 nm. These larger particles feature surface porosity, which enhances the formation of the composite material. Additionally, many porous particles, averaging 25 nm in diameter, are observed to encapsulate these larger structures. This complex configuration highlights the significant morphological behavior achieved during the synthesis of I-P1HP-I2.
Figure 1(b) shows the morphology of PbI2-P1HP, as determined by SEM. The images reveal porous spherical particles with an average diameter of 390 nm. These larger spheres are uniformly covered with smaller porous particles, also averaging 25 nm in diameter. The consistent uniformity of these particles underscores the exceptional morphological behavior resulting from the preparation technique.
TEM analysis, as shown in Figure 1(c), further elucidates the morphological characteristics of the PbI2-P1HP PS-nanocomposite. The micrographs illustrate the formation of porous particles with an average diameter of 400 nm, consistent with the SEM findings. The TEM images provide additional insight into the detailed morphology, affirming the spherical and porous nature of the nanocomposite.
To complement the experimental analyses, theoretical modeling was employed to depict the cross-section and behavior of the PbI2/P1HP PS-nanocomposite. The simulated images reveal rough particles coating the spherical particles, with an average diameter of 25 nm. This modeling aligns with the experimental observations, providing a comprehensive understanding of the nanocomposite’s morphological intricacies.
Therefore, the combination of SEM, TEM, and theoretical simulation elucidates the diverse morphologies of I-P1HP-I2 and PbI2/P1HP PS-nanocomposites. The intricate structures observed, including porous particles and uniform coatings, underscore the success of the preparation techniques employed. These morphological features are paramount for optimizing the optical and electrical behavior of the nanocomposite, suggesting promising applications in various technological domains [18,19,20].
Figure 2(a) illustrates the FTIR spectra of I-Ppy-I2 and the PbI2/P1HP PS-nanocomposite. This analysis holds significant importance as it aids in the assignment of vibration groups, providing insights into the chemical behavior of these materials. The band assignments for both materials are presented in Figure 2(a) and detailed in Table 2. These assignments enable the observation of band shifts following the reaction of Pb(NO3)2 with I-P1HP-I2, leading to the formation of the PbI2-P1HP PS-nanocomposite.

(a) FTIR and (b) XRD patterns of the I-P1HP-I2 and PbI2-P1HP PS-nanocomposites. (c) and (d) XPS survey of I-P1HP-I2 and PbI2-P1HP PS-nanocomposites, respectively. (e)–(f) XPS of Pb and I elements inside the PbI2-P1HP PS-nanocomposite.
Functional groups and band assignments for I-Ppy-I2 and PbI2-P1HP PS-nanocomposites
| Group | I-P1HP-I2 nanocomposite | PbI2/P1HP PS-nanocomposite |
|---|---|---|
| Band value (cm−1) | Band value (cm−1) | |
| P1HP ring [12] | 1,658 | 1,684 |
| C═C and C–C [21] | 1,535 and 1,451 | 1,545 and 1,463 |
| C–N | 1,300 | 1,312 |
| C–H | 1,167 | 1,177 |
| C–H in plane | 1,038 | 1,045 |
| Ring substitute | 899 and 776 | 910 and 782 |
The FTIR analysis serves as a valuable tool for confirming the chemical behavior of the materials. The shifts in bands, particularly noticeable after the formation of the PbI2-P1HP PS-nanocomposite, are attributed to the influence of PbI2 on the vibration behavior of the nanocomposite. This observation aligns with the expected changes in the chemical structure and composition resulting from the incorporation of PbI2.
Figure 2(b) illustrates the X-ray diffraction (XRD) patterns for the synthesized I-Ppy-I2 and PbI2-P1HP PS-nanocomposites. The peaks identified at 25.2° and 26.8° correspond to the I-Ppy-I2, while the additional peaks at 18.1°, 20.5°, 22.3°, 27.3°, and 30.6° are associated with I2 materials within the composite.
Upon the formation of the PbI2-P1HP PS-nanocomposite, approximately 11 sharp peaks emerge, indicating the presence of PbI2. These peaks are located at 14.2°, 21.5°, 23.9°, 25.1°, 29.2°, 30.7°, 32.5°, 33.7°, 37.1°, 38.9°, and 45.3°, corresponding to the growth directions (001), (200), (002), (101), (220), (213), (312), (102), (003), (110), and (103), respectively [22,23]. The identification of these peaks provides a promising indication of the crystalline nature of the formed PbI2-P1HP PS-nanocomposite, suggesting enhancements in its optical behavior attributed to improvements in crystallinity. The crystalline size (D) is assessed using the full-width half-maximum for the 2θ angle at 25.1°, which is a significant peak. This angle is determined using the Scherrer equation (Eq. 1) in the study of Ahmed et al. [24], resulting in an estimated D size of 10 nm. This evaluation highlights the excellent crystallinity of the fabricated materials. The D value indicates a significant improvement in the photon absorbance of the crystalline materials, as the small crystalline size enhances photon trapping. This reflects the superior performance of these materials in applications requiring efficient photon management.
The verification of the chemical structure is substantiated through X-ray photoelectron spectroscopy (XPS) analyses, as depicted in Figure 2(c)–(f), where the composite’s behavior is confirmed by examining oxidation states and element bonding. Figure 2(c) and (d) illustrates the survey spectra for I-P1HP-I2 and PbI2-P1HP PS-nanocomposites, respectively. The presence of elements C and N is affirmed by their specific positions in the 1s spectra at 286.1 and 401.2 eV, respectively. The C binding energy corresponds to C–C and C═C bonding in the P1HP structure, while the N binding energy is associated with the N–C structure within the P1HP ring.
Figure 2(e) and (f) shows the elemental structure of Pb and I in the PbI2-P1HP PS-nanocomposite. In Figure 2(e), the Pb4F7/2 and Pb4f5/2 spectra are observed with a binding energy difference of 4.8 eV between them, and these two spectra are located at 138.1 and 142.9 eV, respectively [25]. The iodine element is shown in Figure 2(f) with peaks at I3d5/2 (619.4 eV) and I3d3/2 (630.8 eV), providing further confirmation of the chemical structure [26].
The optical absorbance characteristics of the PbI2-P1HP PS-nanocomposite are analyzed in comparison to the I-P1HP-I2 composite, as depicted in Figure 3(a), with a specific focus on the bandgap evaluation shown in Figure 3(b). Both composites exhibit two prominent peaks spanning the range from 250 to 500 nm. These peaks are attributed to the primary constituents: iodide and P1HP materials. Notably, the absorbance behavior of the iodide material is observed in the visible region around 500 nm.

The optical behavior of the synthesized PbI2-P1HP PS-nanocomposite related to the I-P1HP-I2 composite: (a) absorbance and (b) bandgap.
In the synthesized PbI2-P1HP PS-nanocomposite, an intriguing phenomenon is observed – there is an increase in the intensity of these peaks compared to the I-P1HP-I2 composite. This augmentation can be attributed to the incorporation of lead (Pb) in the PbI2-P1HP PS-nanocomposite and the consequent formation of PbI2 materials dispersed within the polymer network. The synergy between PbI2 and P1HP leads to enhanced light absorption, with PbI2 acting as a photon trap within the polymer network. This synergistic effect contributes to the overall increase in light intensity absorbed by the composite. This peak in the Vis region is attributed to the iodine material, which exhibits absorbance in the range of approximately 450–500 nm [26]; however, the peak in the UV region is estimated to be due to the P1HP polymer [27].
This phenomenon is further elucidated by the evaluation of the bandgap, as seen in Figure 3(b). The bandgap, representing the energy difference between the valence and conduction bands, decreases from 2.5 to 2.4 eV in the PbI2-P1HP PS-nanocomposite. The calculation of the bandgap is based on the Tauc equations (Eqs. 1 and 2) [28,29], using the parameters absorbance (A) and absorbance coefficient (α). The reduction in the bandgap underscores the improved absorption capabilities of the PbI2-P1HP PS-nanocomposite compared to the I-P1HP-I2 composite. The decrease in the bandgap signifies the material’s enhanced ability to absorb light, a critical factor in its efficacy for photon application capture and subsequent applications in optoelectronics and photovoltaics. Therefore, the optical absorbance behavior of the PbI2-P1HP PS-nanocomposite is characterized by increased intensity in the absorption peaks, attributed to the synergistic effects of PbI2 and P1HP. This behavior is reflected in the narrowed bandgap, highlighting the material’s improved capacity for light absorption. The combination of these optical characteristics positions the PbI2-P1HP PS-nanocomposite as a promising material for photon-sensitive devices and energy-harvesting technologies:
3.2 Electrochemical study of the PbI2-P1HP PS-nanocomposite photocathode
The electrochemical performance of the PbI2-P1HP PS-nanocomposite photocathode was assessed in the context of the Red Sea water-splitting reaction, employing photons as activators at various energies. This photocathode served as the main electrode within a locally crafted three-electrode cell, complemented by auxiliary and calomel electrodes. The primary objective of the working electrode was to facilitate a reduction in the potential required for the water-splitting reaction, thereby contributing to a reduction in the economic costs associated with this process.
The incorporation of the PbI2-P1HP PS-nanocomposite photocathode was crucial for its role in enhancing the efficiency of the water-splitting reaction. By harnessing photons with different energy levels, the activation of the material was achieved, leading to improved electrochemical behavior. The locally fabricated three-electrode cell design allowed for a systematic exploration of the photocathode’s performance. In this electrochemical setup, the auxiliary and calomel electrodes played supporting roles. The auxiliary electrode aided in maintaining a stable current during the water-splitting reaction, ensuring the overall electrochemical stability of the system. The calomel electrode served as a reference to monitor the potential changes across the cell.
One noteworthy aspect was the utilization of natural seawater as both an environmentally friendly and cost-effective source. The inherent properties of natural seawater, including its self-activation potential for the splitting reaction, were leveraged. Moreover, the heavy metals present in the seawater acted as natural sacrificing agents, enhancing the efficiency of the motivation-splitting process. The mobility of these heavy metals, coupled with the applied potential and the incidence of photons with varying energies, contributed to the success of the water-splitting reaction.
This innovative approach not only demonstrated the efficacy of the PbI2-P1HP PS-nanocomposite photocathode but also highlighted the potential of natural seawater as a sustainable and readily available resource for enhancing the electrochemical processes involved in water splitting.
The unique characteristics of seawater set it apart from conventional basic or acidic electrolytes commonly employed in similar applications. Notably, the corrosive nature of other electrolytes poses a significant challenge, leading to increased economic costs associated with the wear and tear of fabricated electrodes. These corrosive behaviors contribute to additional expenses, ultimately impacting the overall cost-effectiveness of producing hydrogen gas [30].
In a bid to further optimize economic efficiency, the PbI2-P1HP PS-nanocomposite photocathode was implemented on a glass slide without the need for additional external materials like ITO or FTO glasses. This strategic decision not only streamlined the fabrication process but also played a pivotal role in reducing costs. By eliminating the requirement for specialized glasses, the overall expenses associated with the construction of the photocathode were significantly curtailed.
Additionally, the mass production and straightforward fabrication of the PbI2-P1HP PS-nanocomposite material contributed substantially to cost reduction. The simplicity and scalability of the fabrication process enabled efficient large-scale production, further driving down the economic implications associated with manufacturing. This approach not only enhances the affordability of the material but also positions it favorably for widespread adoption in industrial applications.
The sensitivity evaluation of the PbI2-P1HP PS-nanocomposite photocathode involves the use of various optical filters to control the incident light’s frequency and energy within the range of 1.7–3.6 eV. This systematic approach allows for a comprehensive understanding of how the photocathode responds to different wavelengths and frequencies of light. The study focuses on observing the hydrogen generation reaction under varying energies of light, highlighting the photocathode’s remarkable sensitivity to diverse light wavelengths and frequencies.
The exceptional semiconductivity exhibited by these fabricated materials makes them particularly suitable for this application. The inherent semiconducting nature of the PbI2-P1HP PS-nanocomposite photocathode is a key factor in its chosen role. This semiconductivity manifests in the generation of electron–hole pairs when exposed to light [13,31,32]. The illumination induces the formation of these electron–hole pairs, and the ensuing hot electrons play a pivotal role in driving the hydrogen generation reaction.
The fundamental mechanism involves these hot electrons actively participating in the hydrogen generation reaction. Specifically, these energetic electrons attach themselves to the surrounding solution of Red Sea water, initiating the splitting reaction. The significance of the electron–hole pair generation lies in its direct contribution to the catalysis of the water-splitting process, where the hot electrons serve as the primary driving force for the conversion of water into hydrogen.
In essence, the semiconductivity of the PbI2-P1HP PS-nanocomposite photocathode, coupled with its sensitivity to various light wavelengths and frequencies, underscores its efficacy in harnessing light energy for efficient hydrogen generation. This research not only sheds light on the intricate interplay between the material’s semiconducting properties and its responsiveness to light but also highlights the potential for advancing environmentally friendly hydrogen production through innovative photocathode technologies.
The efficiency assessment of the hydrogen generation reaction involves evaluating the J ph values under various optical conditions, as depicted in Figure 4(a). Remarkably, the J ph value registers at 1.02 mA·cm−2 under light illumination, showcasing the material’s exceptional performance in hydrogen generation. This substantial value, achieved for just 1 cm2, underscores the efficacy of the PbI2-P1HP PS-nanocomposite in facilitating the hydrogen generation reaction. Notably, this promising behavior positions the material as a compelling candidate not only for hydrogen production but also for applications in optoelectronic devices, considering the utilization of a glass substrate. The semiconductivity inherent in the PbI2-P1HP PS-nanocomposite is well evidenced by the J o values observed under dark conditions. Specifically, the J o value is measured at 0.6 mA·cm−2, emphasizing the material’s semiconducting nature even in the absence of external illumination. This characteristic is crucial for its role under dark conditions and further emphasizes its potential for a range of applications beyond hydrogen generation.

The electrochemical response of the fabricated PbI2-P1HP PS-nanocomposite photocathode to light for H2 gas generation using (a) Red Sea water as the electrolyte, (b) distilled water with 0.5 M Na2SO4 electrolyte, and (c) on/off chopped light for this composite electrode. (d) The estimated H2 gas generation for the P1HP pristine polymer photocathode from Red Sea water.
To assess the impact of heavy metals in seawater on the performance of the PbI2-P1HP PS-nanocomposite photocathode, the electrode’s performance was evaluated using distilled water containing 0.5 M Na2SO4. The measured J ph value decreased to approximately −0.24 mA·cm−², indicating the role of these metals in activating H2 gas production. Further confirmation of the impressive characteristics of the PbI2-P1HP PS-nanocomposite is evident in Figure 4(c), specifically in relation to the sequential on-and-off chopped current observed under alternating light conditions. This distinctive behavior serves as a clear indication of the material’s exceptional sensitivity. The integral role played by the P1HP polymer within this composite is multifaceted. First, it contributes to light absorbance, leveraging its semiconductivity nature. Second, the polymer serves a protective function, exhibiting an anticorrosion behavior. These combined features contribute significantly to the observed sequential on-and-off chopped current behavior. Essentially, the P1HP polymer not only facilitates light absorption, essential for the material’s semiconductivity, but also shields against corrosion, thereby enhancing the material’s overall performance and sensitivity to light variations.
On the other hand, the performance of the pristine P1HP electrode for H2 gas generation, as shown in Figure 4(d), is limited compared to the PbI2-P1HP PS-nanocomposite photocathode. The estimated J ph for the pristine P1HP electrode is −0.14 mA·cm−².
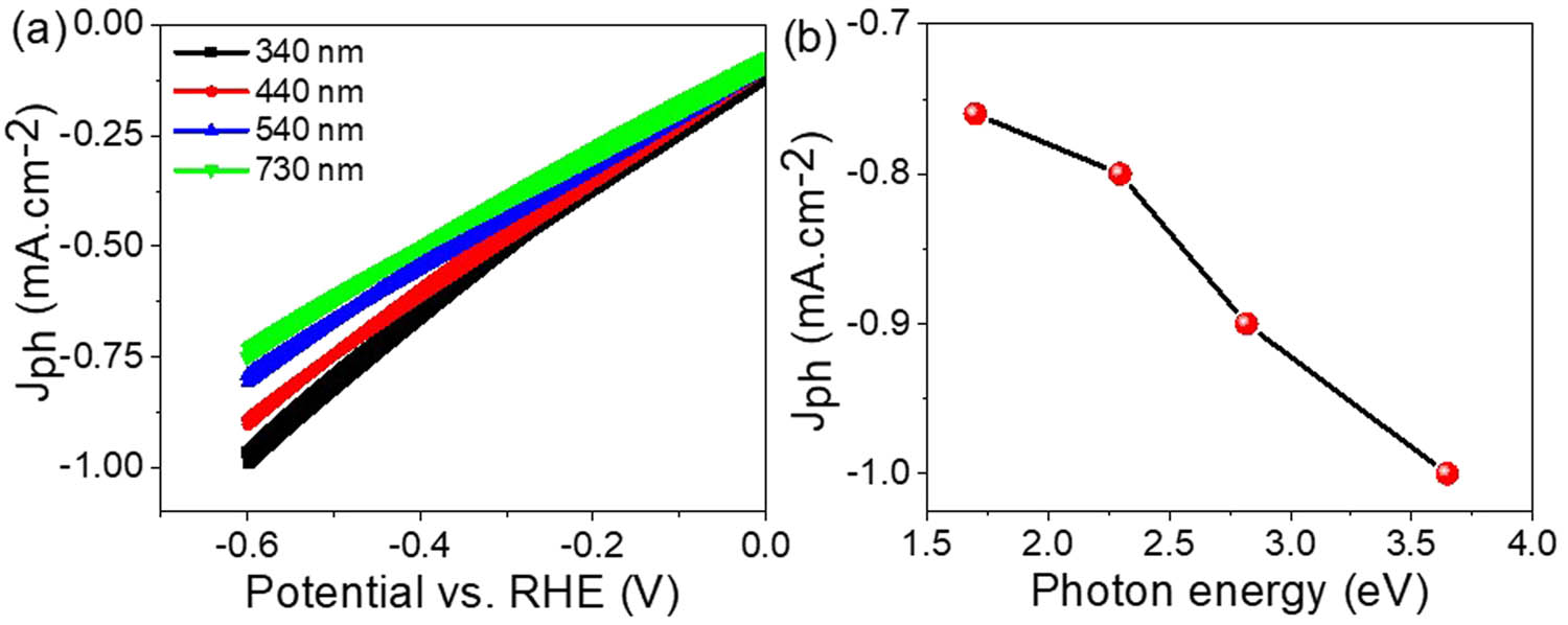
Figure 5(a) shows the significant influence of photon energy on the responsivity of the PbI2-P1HP PS-nanocomposite photocathode in the context of hydrogen generation. The manipulation of photon energy levels ranging from 1.7 to 3.6 eV is meticulously detailed, and this manipulation is achieved through the controlled use of various optical filters with distinct wavelengths: 340, 440, 540, and 730 nm. The correlation between the photon energy (E) and frequency (ν) is governed by the fundamental equation E = hν [33,34], a crucial factor in understanding the material’s behavior under different illumination conditions. The graphical representation in Figure 5(a) effectively captures the observed behavior as photon wavelengths increase. The associated decrease in photon energies is a key characteristic that directly correlates with the photocathode’s diminished responsiveness to hydrogen generation. This phenomenon underscores the intricate relationship between the photon energy and the photocathode’s performance.

The electrochemical response of the fabricated PbI2-P1HP PS-nanocomposite photocathode to the photons with various energies and (b) the evaluated J ph for photons with different energies.
The weakening response of the PbI2-P1HP PS-nanocomposite photocathode under longer photon wavelengths can be attributed to the dynamics of the photogenerated carriers. The bandgap value plays a pivotal role in determining the ease with which these carriers are formed. As photon energy decreases with longer wavelengths, the generation of hot electrons becomes less efficient, resulting in a less effective initiation of the water-splitting reaction. The significance of the PbI2 material in this process becomes apparent, with iodide acting as a central player in light absorption. The material serves as a hub for electron collection, initiating the attack on the electrolyte. As hot electrons flow into the electrolyte, the involvement of heavy metals becomes crucial, serving as sacrificial agents and contributing to mobility [35,36]. This interplay ultimately leads to the generation of OH. radicals, a crucial step in promoting the attachment of additional H2O molecules for further hydrogen generation.
The water-splitting behavior is vividly illustrated in Figure 5(b), where the correlation between the photon energy and the efficiency of hydrogen gas production is evident. As the photon energy increases, the H2 gas production experiences a notable increase, a trend effectively represented by the J ph values. The optimal performance is observed at a photon energy of 3.6 eV, showcasing a remarkable J ph value of −1.0 mA·cm−2. Subsequently, at a photon energy of 2.8 eV, the J ph value remains high at −0.9 mA·cm−2. These specific photon energies play a crucial role in facilitating electron transitions and the accumulation of charges at upper energy levels, pivotal for driving the hydrogen generation reaction. Conversely, as photon wavelengths increase to 730 nm, corresponding to a decreased photon energy of 1.7 eV, respectively, a decline in the J ph values is observed. These lower energies are insufficient to drive the essential electron transitions, resulting in decreased efficiency. Specifically, the J ph values decrease to −0.76 mA·cm−2, respectively, emphasizing the importance of adequate photon energy for optimal performance.
The controlled modulation of optical photon energy underscores the confirmed sensitivity of the PbI2-P1HP PS-nanocomposite photocathode. This sensitivity renders the fabricated photocathode applicable for use in renewable energy and optoelectronic devices, offering high performance due to its responsiveness to optical photons with varying energies. The ability to tailor the material’s response by manipulating photon energy positions it as a versatile and efficient component in technologies aimed at harnessing renewable energy and advancing optoelectronics [36,37] (Figure 6).

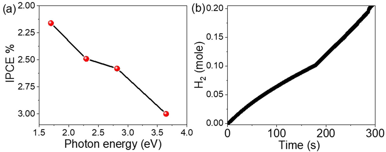
The (a) IPCE and (b) H2 moles for the fabricated PbI2-P1HP PS-nanocomposite photocathode.
The exceptional sensitivity of the PbI2-P1HP PS-nanocomposite photocathode to photons of varying energies allows for a thorough evaluation of its IPCE using Eq. 4 [38]. This evaluation provides insights into the efficiency with which incident photons are converted into hot electrons, a critical factor in understanding the overall performance of the photocathode. As established in previous discussions referring to Figure 5(a) and (b), the photocathode’s responsivity to light with different energies varies, impacting the IPCE values accordingly. The optimal IPCE values are observed at 340 and 440 nm, corresponding to photon energies of 3.6 and 2.8 eV, respectively. At these wavelengths, the IPCE values are recorded at 3.1% and 2.6%, respectively. These results are particularly promising, considering the photocathode’s composition on a glass substrate without the need for additional conductive layers such as ITO or FTO. Achieving notable IPCE values in the absence of these additional layers underscores the inherent efficiency of the PbI2-P1HP PS-nanocomposite. This efficiency is crucial for applications that prioritize simplicity and cost-effectiveness, as the material’s performance is achieved without the need for supplementary materials that can contribute to increased production costs. In essence, the variation in IPCE values across different photon energies related to the photon wavelengths (λ) highlights the material’s adaptability and responsiveness to a broad spectrum of light. This evaluation is based on the lamp power (P). The observed optimum IPCE values further reinforce the material’s potential for applications in renewable energy and optoelectronics. The fact that these promising IPCE values are attained on a glass substrate without the use of additional conductive layers signifies the practicality and economic viability of the PbI2-P1HP PS-nanocomposite for various technological applications.
Furthermore, the hydrogen gas generated in this study is derived directly from natural seawater, eliminating the need for additional basic or acidic solutions. This breakthrough presents a significant advancement by demonstrating the feasibility of utilizing natural water as a source for hydrogen gas production. The reliance on natural seawater not only aligns with sustainability goals but also simplifies the process by avoiding the use of chemical additives, contributing to a more environmentally friendly approach. In addition to the qualitative assessment of hydrogen gas production, a quantitative analysis is performed using Eq. 4 [39], which is rooted in Faraday’s law. The charge moles, determined by the Faraday constant (F), are employed to evaluate the moles of hydrogen gas produced. The results reveal a rate of 2.4 µmol·h−1 for 1.0 cm2, implying an actual production rate of 24 µmol·h−1 for a 10 cm2 area. These findings highlight the efficiency of the fabricated PbI2-P1HP PS-nanocomposite photocathode in catalyzing the water-splitting reaction, converting natural water into hydrogen gas at a notable rate. Beyond the impressive technical outcomes, the material exhibits remarkable mechanical behavior facilitated by the well-established preparation technique. The combination of technical efficacy and mechanical robustness positions this sample as a viable candidate for industrial applications. The capability to convert natural water into hydrogen gas without the need for additional chemicals, coupled with the ease of application and durability of the material, makes it well-suited for practical implementation in industrial settings. This potential for industrial use holds promise for advancing sustainable and cost-effective methods for hydrogen gas production, contributing to the broader goals of clean energy technology and environmental stewardship (Table 3).
Estimated used electrolyte and efficiency of the fabricated PbI2-P1HP photocathode relative to other studies
| Photoelectrode | J ph (mA·cm−²) | Electrolyte | IPCE% (390 nm) |
|---|---|---|---|
| P1HP/NiO X [40] | 0.2 | Sanitation water | 0.8 |
| PbI2-poly-2-amino benzene thiol [26] | 0.12 | Sea water | 0.36 |
| g-C3N4–CuO [41] | 0.01 | NaOH | — |
| P1HP/graphene oxide [39] | 0.1 | Sanitation water | 0.3 |
| CuO–C/TiO2 [42] | 0.012 | Glycerol | |
| Au/Pb(Zr, Ti)O3 [43] | 0.06 | NaOH | 0.2 |
| ZnO/TiO2/FeOOH [44] | 1.59 | Na2S2O3 | — |
| Poly(3‐aminobenzoic acid) frame [45] | 0.08 | H2SO4 | — |
| SnO2/TiO2 [46] | 0.4 | Na2S2O3 | — |
| PrFeO [47] | 0.130 | Na2SO4 | — |
| Present work (PbI2-P1HP) | 1.0 | Sewage water | 3.0 |
4 Conclusions
The successful development of a PbI2/P1HP PS nanocomposite photocathode has been achieved, indicating impressive capabilities in light absorption across diverse frequencies and efficient H2 gas production from Red Sea water. The comprehensive analyses encompass chemical, morphological, optical, and electrical aspects, providing a holistic understanding of the nanocomposite’s performance. The nanocomposite’s distinctive spherical and porous features are ascribed to minimal particles on its surface, each measuring approximately 25 nm. This specific structural configuration, combined with substantial light absorbance and a moderate bandgap of 2.4 eV, positions the nanocomposite as a highly promising candidate for renewable energy applications, particularly in the context of H2 gas generation from natural sources like Red Sea water.
The economic feasibility of the PbI2/P1HP PS nanocomposite, leveraging a glass substrate, mass production techniques, and straightforward fabrication processes, enhances its appeal for H2 gas evolution. The photocathode demonstrates significant potential for H2 gas production, yielding a noteworthy J ph value of 1.0 mA·cm−2. The IPCE achieves 3.1%, reflecting the successful evolution of 24 µmol·h−1 10 cm2 of the photocathode. An essential aspect is the utilization of natural Red Sea water as an electrolyte, highlighting the capacity to harness freely available natural resources for H2 gas production. This feature holds substantial promise for industrial applications, emphasizing the environmentally sustainable nature of the photocathode. Therefore, the PbI2/P1HP PS nanocomposite photocathode, with its advanced structural and optical properties, presents a groundbreaking advancement in the field. The combination of efficient light absorption, economic feasibility, and the utilization of natural water sources positions this photocathode as a highly promising technology for industrial-scale H2 gas production, contributing to the broader objectives of sustainable and eco-friendly energy solutions.
Acknowledgements
The authors express their gratitude to the Deanship of Scientific Research, Princess Nourah bint Abdulrahman University, through the Program of Research Project Funding After Publication, grant No (44-PRFA-P-60).
-
Funding information: This research project was funded by the Deanship of Scientific Research, Princess Nourah bint Abdulrahman University, through the Program of Research Project Funding After Publication, grant No (44-PRFA-P-60).
-
Author contributions: Fatemah Homoud Alkallas and Amira Ben Gouider Trabelsi: analyzing, writing, project management, ordering the work, supervision; Asmaa Mahmoud Mohamed Abd Elsayed and Mohamed Rabia: experimental and writing; Tahani Abdullah Alrebdi: supervision and ordering the work; Fedor V. Kusmartsev: writing, analyzing, and supervision.
-
Conflict of interest: Authors state no conflict of interest.
-
Data availability statement: All data generated or analyzed during this study are included in this published article.
References
[1] El Ouardi M, Idrissi AE, Ahsaine HA, BaQais A, Saadi M, Arab M. Current advances on nanostructured oxide photoelectrocatalysts for water splitting: A comprehensive review. Surf Interfaces. 2024;45:103850. 10.1016/J.SURFIN.2024.103850.Search in Google Scholar
[2] He Y, Liu W, Liu J. MOF-based/derived catalysts for electrochemical overall water splitting. J Colloid Interface Sci. 2024;661:409–35. 10.1016/J.JCIS.2024.01.106.Search in Google Scholar PubMed
[3] Li S, Zhang X, Yang F, Zhang J, Shi W, Rosei F. Mechanically driven water splitting over piezoelectric nanomaterials. Chem Catal. 2024;4(2):100901. 10.1016/J.CHECAT.2024.100901.Search in Google Scholar
[4] Ho Bae J, Young Kang J, Mann Song Y, Yeob Jeong J. Evaluation of hydrogen generation from feeder pipes of CANDU reactor. Ann Nucl Energy. 2024;200:110373. 10.1016/J.ANUCENE.2024.110373.Search in Google Scholar
[5] Peng YP, Liu CC, Chen KF, Huang CP, Chen CH. Green synthesis of nano-silver–titanium nanotube array (Ag/TNA) composite for concurrent ibuprofen degradation and hydrogen generation. Chemosphere. 2021;264:128407. 10.1016/J.CHEMOSPHERE.2020.128407.Search in Google Scholar PubMed
[6] Liu Y, Liu CH, Debnath T, Wang Y, Pohl D, Besteiro LV, et al. Silver nanoparticle enhanced metal-organic matrix with interface-engineering for efficient photocatalytic hydrogen evolution. Nat Commun. 2023;14:1–12. 10.1038/s41467-023-35981-8.Search in Google Scholar PubMed PubMed Central
[7] Praveen Kumar S, Sharafudeen PC, Elumalai P. High entropy metal oxide@graphene oxide composite as electrocatalyst for green hydrogen generation using anion exchange membrane seawater electrolyzer. Int J Hydrog Energy. 2023;48(97):38156–71. 10.1016/J.IJHYDENE.2023.06.121.Search in Google Scholar
[8] Abdulbakee Muhammed H, Shahadat M, Tweib SA, Sa’ad Abdullahi S, Amir Qureshi M, Abdulrazaq Y, et al. Harvesting of atmospheric water using polymer-based hybrid hydrogels. ChemBioEng Rev. 2024;11:197–214. 10.1002/CBEN.202300032.Search in Google Scholar
[9] El Nady J, Shokry A, Khalil M, Ebrahim S, Elshaer AM, Anas M. One-step electrodeposition of a polypyrrole/NiO nanocomposite as a supercapacitor electrode. Sci Rep. 2022;12:1–10. 10.1038/s41598-022-07483-y.Search in Google Scholar PubMed PubMed Central
[10] Wan Y, Jiang H, Ren Y, Liu Y, Zhang L, Lei Q, et al. Photothermal self-healable polypyrrole-polyurethane sponge with dynamic covalent oximino bonds for flexible strain sensors. Eur Polym J. 2023;193:112097. 10.1016/J.EURPOLYMJ.2023.112097.Search in Google Scholar
[11] Rabia M, Elsayed AM, Salem AM, Abdallah Alnuwaiser M. Highly uniform multi-layers reduced graphene oxide/poly-2-aminobenzene-1-thiol nanocomposite as a promising two electrode symmetric supercapacitor under the effect of absence and presence of porous-sphere polypyrrole nanomaterial. Micromachines. 2023;14:1424. 10.3390/MI14071424.Search in Google Scholar PubMed PubMed Central
[12] Atta A, Abdeltwab E, Negm H, Al-Harbi N, Rabia M, Abdelhamied MM. Characterization and linear/non-linear optical properties of polypyrrole/NiO for optoelectronic devices. Inorg Chem Commun. 2023;152:110726. 10.1016/J.INOCHE.2023.110726.Search in Google Scholar
[13] Jagadeesan D, Deivasigamani P. Facile fabrication of novel In2S3–BiOCl nanocomposite-supported porous polymer monolith as new generation visible-light-responsive photocatalyst for decontaminating persistent toxic pollutants. Mater Today Sustainability. 2023;23:100428. 10.1016/J.MTSUST.2023.100428.Search in Google Scholar
[14] Hadia NMA, Shaban M, Mohamed SH, Al-Ghamdi AF, Alzaid M, Elsayed AM, et al. Highly crystalline hexagonal PbI2 sheets on polyaniline/antimony tin oxide surface as a novel and highly efficient photodetector in UV, Vis, and near IR regions. Polym Adv Technol. 2022;33(12):3977–87. 10.1002/PAT.5829.Search in Google Scholar
[15] Hadia NMA, Khalafalla MAH, Abdel Salam FM, Ahmed AM, Shaban M, Almuqrin AH, et al. Conversion of sewage water into H2 gas fuel using hexagonal nanosheets of the polyaniline-assisted deposition of pbi2 as a nanocomposite photocathode with the theoretical qualitative Ab-Initio calculation of the H2O splitting. Polymers. 2022;14:2148–8. 10.3390/POLYM14112148.Search in Google Scholar
[16] Cui M, Xie Z, Wang M, Zhang X. Methyl orange-crosslinked polypyrrole hydrogel enabled N, O, S co-doped porous carbon for highly sensitive determination of three redox-active biomolecules. J Electroanal Chem. 2022;913:116282. 10.1016/J.JELECHEM.2022.116282.Search in Google Scholar
[17] Omar HH, Abdullatif BM, El-Kazan MM, El-Gendy AM. Red sea water and biochemical composition of seaweeds at southern coast of Jeddah, Saudi Arabia. Life Sci J. 2013;10:1073–80.Search in Google Scholar
[18] Xu H, Dai J, Fang K, Guo Y, Chen W, Liu X, et al. BiOI/PPy/cotton photocatalytic fabric for efficient organic dye contaminant degradation and self-cleaning application. Colloids Surf A: Physicochem Eng Asp. 2023;674:131862. 10.1016/J.COLSURFA.2023.131862.Search in Google Scholar
[19] Omotosho K, Tran J, Shevchenko EV, Berman D. Polymer infiltration synthesis of inorganic nanoporous coatings: Does polymer template affect their properties. Surf Coat Technol. 2023;452:129107. 10.1016/J.SURFCOAT.2022.129107.Search in Google Scholar
[20] Bohra H, Tan SY, Shao J, Yang C, Efrem A, Zhao Y, et al. Narrow bandgap thienothiadiazole-based conjugated porous polymers: from facile direct arylation polymerization to tunable porosities and optoelectronic properties. Polym Chem. 2016;7:6413–21. 10.1039/C6PY01453D.Search in Google Scholar
[21] Hameed SA, Ewais HA, Rabia M. Dumbbell-like shape Fe2O3/poly-2-aminothiophenol nanocomposite for two-symmetric electrode supercapacitor application. J Mater Sci: Mater Electron. 2023;34:1–8. 10.1007/S10854-023-10586-5/METRICS.Search in Google Scholar
[22] Da Silva Filho JMC, Marques FC. Growth of Perovskite Nanorods from PbS Quantum Dots. MRS Adv. 2018;3:1843–8. 10.1557/ADV.2018.188/METRICS.Search in Google Scholar
[23] Guo X, McCleese C, Kolodziej C, Samia ACS, Zhao Y, Burda C. Identification and characterization of the intermediate phase in hybrid organic-inorganic MAPbI3 perovskite. Dalton Trans. 2016;45:3806–13. 10.1039/c5dt04420k.Search in Google Scholar PubMed
[24] Ahmed AM, Rabia M, Shaban M. The structure and photoelectrochemical activity of Cr-doped PbS thin films grown by chemical bath deposition. RSC Adv. 2020;10:14458–70. 10.1039/C9RA11042A.Search in Google Scholar PubMed PubMed Central
[25] Juarez-Perez EJ, Ono LK, Maeda M, Jiang Y, Hawash Z, Qi Y. Photodecomposition and thermal decomposition in methylammonium halide lead perovskites and inferred design principles to increase photovoltaic device stability. J Mater Chem A. 2018;6:9604–12. 10.1039/c8ta03501f.Search in Google Scholar
[26] Rabia M, Elsayed AM, Alnuwaiser MA. Promising porous spherical PbI2/poly-2-aminobenzenethiol nanocomposite as a photocathode for hydrogen generation from Red Sea water. Phys Scr. 2024;99:085044. 10.1088/1402-4896/AD650E.Search in Google Scholar
[27] Atta A, Abdeltwab E, Negm H, Al-Harbi N, Rabia M, Abdelhamied MM. Fabrication of polypyrrole/graphene oxide polymer nanocomposites and evaluation of their optical behavior for optoelectronic applications. J Inorg Organomet Polym Mater. 2023;33:4083–95. 10.1007/S10904-023-02643-7/METRICS.Search in Google Scholar
[28] Aziz SB, Nofal MM, Ghareeb HO, Dannoun EMA, Hussen SA, Hadi JM, et al. Characteristics of Poly(vinyl Alcohol) (PVA) based composites integrated with green synthesized al3 + -metal complex: structural, optical, and localized density of state analysis. Polymers. 2021;13:1316. 10.3390/POLYM13081316.Search in Google Scholar
[29] Haryński Ł, Olejnik A, Grochowska K, Siuzdak K. A facile method for Tauc exponent and corresponding electronic transitions determination in semiconductors directly from UV–Vis spectroscopy data. Opt Mater. 2022;127:112205. 10.1016/J.OPTMAT.2022.112205.Search in Google Scholar
[30] Tilley SD. Recent advances and emerging trends in photo-electrochemical solar energy conversion. Adv Energy Mater. 2019;9:1802877. 10.1002/AENM.201802877.Search in Google Scholar
[31] Kanwal F, Rani I, Batool A, Sandali Y, Li C, Shafique S, et al. Enhanced dielectric and photocatalytic properties of TiO2-decorated rGO/PANI hybrid composites synthesized by in-situ chemical oxidation polymerization route. Mater Sci Eng: B. 2023;298:116837. 10.1016/J.MSEB.2023.116837.Search in Google Scholar
[32] Periyanagounder D, Gnanasekar P, Varadhan P, He JH, Kulandaivel J. High performance, self-powered photodetectors based on a graphene/silicon Schottky junction diode. J Mater Chem C. 2018;6:9545–51. 10.1039/C8TC02786B.Search in Google Scholar
[33] Ahzan S, Darminto D, Nugroho FAA, Prayogi S. Synthesis and characterization of ZnO thin layers using Sol-Gel spin coating method. J Penelit Dan Pengkaj Ilmu Pendidikan: E-Saintika. 2021;5:182–94. 10.36312/ESAINTIKA.V5I2.506.Search in Google Scholar
[34] Al-saeedi SI. Photoelectrochemical green hydrogen production utilizing ZnO nanostructured photoelectrodes. Micromachines. 2023;4(5):1047.10.3390/mi14051047Search in Google Scholar PubMed PubMed Central
[35] Naldoni A, Guler U, Wang Z, Marelli M, Malara F, Meng X, et al. Broadband hot-electron collection for solar water splitting with plasmonic titanium nitride. Adv Opt Mater. 2017;5(15):1601031. 10.1002/adom.201601031.Search in Google Scholar
[36] Sharma U, Karazhanov S, Jose R, Das S. Plasmonic hot-electron assisted phase transformation in 2D-MoS2 for the hydrogen evolution reaction: current status and future prospects. J Mater Chem A. 2022;10:8626–55. 10.1039/D1TA10918A.Search in Google Scholar
[37] Wang B, Thukral A, Xie Z, Liu L, Zhang X, Huang W, et al. Flexible and stretchable metal oxide nanofiber networks for multimodal and monolithically integrated wearable electronics. Nat Commun. 2020;11:1. 10.1038/s41467-020-16268-8.Search in Google Scholar PubMed PubMed Central
[38] Shaban M, Rabia M, El-Sayed AMA, Ahmed A, Sayed S. Photocatalytic properties of PbS/graphene oxide/polyaniline electrode for hydrogen generation. Sci Rep. 2017;7:1–13. 10.1038/s41598-017-14582-8.Search in Google Scholar PubMed PubMed Central
[39] Hamid MMA, Alruqi M, Elsayed AM, Atta MM, Hanafi HA, Rabia M. Testing the photo-electrocatalytic hydrogen production of polypyrrole quantum dot by combining with graphene oxide sheets on glass slide. J Mater Sci: Mater Electron. 2023;34:1–11. 10.1007/S10854-023-10229-9/METRICS.Search in Google Scholar
[40] Atta A, Negm H, Abdeltwab E, Rabia M, Abdelhamied MM. Facile fabrication of polypyrrole/NiOx core-shell nanocomposites for hydrogen production from wastewater. Polym Adv Technol. 2023;34(5):1633–41. 10.1002/PAT.5997.Search in Google Scholar
[41] Ragupathi V, Raja MA, Panigrahi P, Subramaniam NG. CuO/g-C3N4 nanocomposite as promising photocatalyst for photoelectrochemical water splitting. Optik. 2020;208:164569. 10.1016/J.IJLEO.2020.164569.Search in Google Scholar
[42] Huang X, Zhang M, Sun R, Long G, Liu Y, Zhao W. Enhanced hydrogen evolution from CuOx-C/TiO2 with multiple electron transport pathways. PLOS One. 2019;14:e0215339. 10.1371/JOURNAL.PONE.0215339.Search in Google Scholar PubMed PubMed Central
[43] Wang Z, Cao D, Wen L, Xu R, Obergfell M, Mi Y, et al. Manipulation of charge transfer and transport in plasmonic-ferroelectric hybrids for photoelectrochemical applications. Nat Commun. 2016;7:1–8. 10.1038/ncomms10348.Search in Google Scholar PubMed PubMed Central
[44] Li Z, Feng S, Liu S, Li X, Wang L, Lu W. A three-dimensional interconnected hierarchical FeOOH/TiO 2/ZnO nanostructural photoanode for enhancing the performance of photoelectrochemical water oxidation. Nanoscale. 2015;7:19178–83. 10.1039/C5NR06212H.Search in Google Scholar PubMed
[45] Modibane KD, Waleng NJ, Ramohlola KE, Maponya TC, Monama GR, Makgopa K, et al. Poly(3-aminobenzoic acid) decorated with cobalt zeolitic benzimidazolate framework for electrochemical production of clean hydrogen. Polymers. 2020;12:1581. 10.3390/polym12071581.Search in Google Scholar PubMed PubMed Central
[46] Sherman BD, Ashford DL, Lapides AM, Sheridan MV, Wee K-R, Meyer TJ. Light-driven water splitting with a molecular electroassembly-based core/shell photoanode. J Phys Chem Lett. 2015;6:3213–7. 10.1021/ACS.JPCLETT.5B01370.Search in Google Scholar
[47] Freeman E, Kumar S, Thomas SR, Pickering H, Fermin DJ, Eslava S. PrFeO 3 photocathodes prepared through spray pyrolysis. ChemElectroChem. 2020;7:1365–72. 10.1002/celc.201902005.Search in Google Scholar
© 2024 the author(s), published by De Gruyter
This work is licensed under the Creative Commons Attribution 4.0 International License.
Articles in the same Issue
- Research Articles
- Green polymer electrolyte and activated charcoal-based supercapacitor for energy harvesting application: Electrochemical characteristics
- Research on the adsorption of Co2+ ions using halloysite clay and the ability to recover them by electrodeposition method
- Simultaneous estimation of ibuprofen, caffeine, and paracetamol in commercial products using a green reverse-phase HPTLC method
- Isolation, screening and optimization of alkaliphilic cellulolytic fungi for production of cellulase
- Functionalized gold nanoparticles coated with bacterial alginate and their antibacterial and anticancer activities
- Comparative analysis of bio-based amino acid surfactants obtained via Diels–Alder reaction of cyclic anhydrides
- Biosynthesis of silver nanoparticles on yellow phosphorus slag and its application in organic coatings
- Exploring antioxidant potential and phenolic compound extraction from Vitis vinifera L. using ultrasound-assisted extraction
- Manganese and copper-coated nickel oxide nanoparticles synthesized from Carica papaya leaf extract induce antimicrobial activity and breast cancer cell death by triggering mitochondrial caspases and p53
- Insight into heating method and Mozafari method as green processing techniques for the synthesis of micro- and nano-drug carriers
- Silicotungstic acid supported on Bi-based MOF-derived metal oxide for photodegradation of organic dyes
- Synthesis and characterization of capsaicin nanoparticles: An attempt to enhance its bioavailability and pharmacological actions
- Synthesis of Lawsonia inermis-encased silver–copper bimetallic nanoparticles with antioxidant, antibacterial, and cytotoxic activity
- Facile, polyherbal drug-mediated green synthesis of CuO nanoparticles and their potent biological applications
- Zinc oxide-manganese oxide/carboxymethyl cellulose-folic acid-sesamol hybrid nanomaterials: A molecularly targeted strategy for advanced triple-negative breast cancer therapy
- Exploring the antimicrobial potential of biogenically synthesized graphene oxide nanoparticles against targeted bacterial and fungal pathogens
- Biofabrication of silver nanoparticles using Uncaria tomentosa L.: Insight into characterization, antibacterial activities combined with antibiotics, and effect on Triticum aestivum germination
- Membrane distillation of synthetic urine for use in space structural habitat systems
- Investigation on mechanical properties of the green synthesis bamboo fiber/eggshell/coconut shell powder-based hybrid biocomposites under NaOH conditions
- Green synthesis of magnesium oxide nanoparticles using endophytic fungal strain to improve the growth, metabolic activities, yield traits, and phenolic compounds content of Nigella sativa L.
- Estimation of greenhouse gas emissions from rice and annual upland crops in Red River Delta of Vietnam using the denitrification–decomposition model
- Synthesis of humic acid with the obtaining of potassium humate based on coal waste from the Lenger deposit, Kazakhstan
- Ascorbic acid-mediated selenium nanoparticles as potential antihyperuricemic, antioxidant, anticoagulant, and thrombolytic agents
- Green synthesis of silver nanoparticles using Illicium verum extract: Optimization and characterization for biomedical applications
- Antibacterial and dynamical behaviour of silicon nanoparticles influenced sustainable waste flax fibre-reinforced epoxy composite for biomedical application
- Optimising coagulation/flocculation using response surface methodology and application of floc in biofertilisation
- Green synthesis and multifaceted characterization of iron oxide nanoparticles derived from Senna bicapsularis for enhanced in vitro and in vivo biological investigation
- Potent antibacterial nanocomposites from okra mucilage/chitosan/silver nanoparticles for multidrug-resistant Salmonella Typhimurium eradication
- Trachyspermum copticum aqueous seed extract-derived silver nanoparticles: Exploration of their structural characterization and comparative antibacterial performance against gram-positive and gram-negative bacteria
- Microwave-assisted ultrafine silver nanoparticle synthesis using Mitragyna speciosa for antimalarial applications
- Green synthesis and characterisation of spherical structure Ag/Fe2O3/TiO2 nanocomposite using acacia in the presence of neem and tulsi oils
- Green quantitative methods for linagliptin and empagliflozin in dosage forms
- Enhancement efficacy of omeprazole by conjugation with silver nanoparticles as a urease inhibitor
- Residual, sequential extraction, and ecological risk assessment of some metals in ash from municipal solid waste incineration, Vietnam
- Green synthesis of ZnO nanoparticles using the mangosteen (Garcinia mangostana L.) leaf extract: Comparative preliminary in vitro antibacterial study
- Simultaneous determination of lesinurad and febuxostat in commercial fixed-dose combinations using a greener normal-phase HPTLC method
- A greener RP-HPLC method for quaternary estimation of caffeine, paracetamol, levocetirizine, and phenylephrine acquiring AQbD with stability studies
- Optimization of biomass durian peel as a heterogeneous catalyst in biodiesel production using microwave irradiation
- Thermal treatment impact on the evolution of active phases in layered double hydroxide-based ZnCr photocatalysts: Photodegradation and antibacterial performance
- Preparation of silymarin-loaded zein polysaccharide core–shell nanostructures and evaluation of their biological potentials
- Preparation and characterization of composite-modified PA6 fiber for spectral heating and heat storage applications
- Preparation and electrocatalytic oxygen evolution of bimetallic phosphates (NiFe)2P/NF
- Rod-shaped Mo(vi) trichalcogenide–Mo(vi) oxide decorated on poly(1-H pyrrole) as a promising nanocomposite photoelectrode for green hydrogen generation from sewage water with high efficiency
- Green synthesis and studies on citrus medica leaf extract-mediated Au–ZnO nanocomposites: A sustainable approach for efficient photocatalytic degradation of rhodamine B dye in aqueous media
- Cellulosic materials for the removal of ciprofloxacin from aqueous environments
- The analytical assessment of metal contamination in industrial soils of Saudi Arabia using the inductively coupled plasma technology
- The effect of modified oily sludge on the slurry ability and combustion performance of coal water slurry
- Eggshell waste transformation to calcium chloride anhydride as food-grade additive and eggshell membranes as enzyme immobilization carrier
- Synthesis of EPAN and applications in the encapsulation of potassium humate
- Biosynthesis and characterization of silver nanoparticles from Cedrela toona leaf extracts: An exploration into their antibacterial, anticancer, and antioxidant potential
- Enhancing mechanical and rheological properties of HDPE films through annealing for eco-friendly agricultural applications
- Immobilisation of catalase purified from mushroom (Hydnum repandum) onto glutaraldehyde-activated chitosan and characterisation: Its application for the removal of hydrogen peroxide from artificial wastewater
- Sodium titanium oxide/zinc oxide (STO/ZnO) photocomposites for efficient dye degradation applications
- Effect of ex situ, eco-friendly ZnONPs incorporating green synthesised Moringa oleifera leaf extract in enhancing biochemical and molecular aspects of Vicia faba L. under salt stress
- Biosynthesis and characterization of selenium and silver nanoparticles using Trichoderma viride filtrate and their impact on Culex pipiens
- Photocatalytic degradation of organic dyes and biological potentials of biogenic zinc oxide nanoparticles synthesized using the polar extract of Cyperus scariosus R.Br. (Cyperaceae)
- Assessment of antiproliferative activity of green-synthesized nickel oxide nanoparticles against glioblastoma cells using Terminalia chebula
- Chlorine-free synthesis of phosphinic derivatives by change in the P-function
- Anticancer, antioxidant, and antimicrobial activities of nanoemulsions based on water-in-olive oil and loaded on biogenic silver nanoparticles
- Study and mechanism of formation of phosphorus production waste in Kazakhstan
- Synthesis and stabilization of anatase form of biomimetic TiO2 nanoparticles for enhancing anti-tumor potential
- Microwave-supported one-pot reaction for the synthesis of 5-alkyl/arylidene-2-(morpholin/thiomorpholin-4-yl)-1,3-thiazol-4(5H)-one derivatives over MgO solid base
- Screening the phytochemicals in Perilla leaves and phytosynthesis of bioactive silver nanoparticles for potential antioxidant and wound-healing application
- Graphene oxide/chitosan/manganese/folic acid-brucine functionalized nanocomposites show anticancer activity against liver cancer cells
- Nature of serpentinite interactions with low-concentration sulfuric acid solutions
- Multi-objective statistical optimisation utilising response surface methodology to predict engine performance using biofuels from waste plastic oil in CRDi engines
- Microwave-assisted extraction of acetosolv lignin from sugarcane bagasse and electrospinning of lignin/PEO nanofibres for carbon fibre production
- Biosynthesis, characterization, and investigation of cytotoxic activities of selenium nanoparticles utilizing Limosilactobacillus fermentum
- Highly photocatalytic materials based on the decoration of poly(O-chloroaniline) with molybdenum trichalcogenide oxide for green hydrogen generation from Red Sea water
- Highly efficient oil–water separation using superhydrophobic cellulose aerogels derived from corn straw
- Beta-cyclodextrin–Phyllanthus emblica emulsion for zinc oxide nanoparticles: Characteristics and photocatalysis
- Assessment of antimicrobial activity and methyl orange dye removal by Klebsiella pneumoniae-mediated silver nanoparticles
- Influential eradication of resistant Salmonella Typhimurium using bioactive nanocomposites from chitosan and radish seed-synthesized nanoselenium
- Antimicrobial activities and neuroprotective potential for Alzheimer’s disease of pure, Mn, Co, and Al-doped ZnO ultra-small nanoparticles
- Green synthesis of silver nanoparticles from Bauhinia variegata and their biological applications
- Synthesis and optimization of long-chain fatty acids via the oxidation of long-chain fatty alcohols
- Eminent Red Sea water hydrogen generation via a Pb(ii)-iodide/poly(1H-pyrrole) nanocomposite photocathode
- Green synthesis and effective genistein production by fungal β-glucosidase immobilized on Al2O3 nanocrystals synthesized in Cajanus cajan L. (Millsp.) leaf extracts
- Green stability-indicating RP-HPTLC technique for determining croconazole hydrochloride
- Green synthesis of La2O3–LaPO4 nanocomposites using Charybdis natator for DNA binding, cytotoxic, catalytic, and luminescence applications
- Eco-friendly drugs induce cellular changes in colistin-resistant bacteria
- Tangerine fruit peel extract mediated biogenic synthesized silver nanoparticles and their potential antimicrobial, antioxidant, and cytotoxic assessments
- Green synthesis on performance characteristics of a direct injection diesel engine using sandbox seed oil
- A highly sensitive β-AKBA-Ag-based fluorescent “turn off” chemosensor for rapid detection of abamectin in tomatoes
- Green synthesis and physical characterization of zinc oxide nanoparticles (ZnO NPs) derived from the methanol extract of Euphorbia dracunculoides Lam. (Euphorbiaceae) with enhanced biosafe applications
- Detection of morphine and data processing using surface plasmon resonance imaging sensor
- Effects of nanoparticles on the anaerobic digestion properties of sulfamethoxazole-containing chicken manure and analysis of bio-enzymes
- Bromic acid-thiourea synergistic leaching of sulfide gold ore
- Green chemistry approach to synthesize titanium dioxide nanoparticles using Fagonia Cretica extract, novel strategy for developing antimicrobial and antidiabetic therapies
- Green synthesis and effective utilization of biogenic Al2O3-nanocoupled fungal lipase in the resolution of active homochiral 2-octanol and its immobilization via aluminium oxide nanoparticles
- Eco-friendly RP-HPLC approach for simultaneously estimating the promising combination of pentoxifylline and simvastatin in therapeutic potential for breast cancer: Appraisal of greenness, whiteness, and Box–Behnken design
- Use of a humidity adsorbent derived from cockleshell waste in Thai fried fish crackers (Keropok)
- One-pot green synthesis, biological evaluation, and in silico study of pyrazole derivatives obtained from chalcones
- Bio-sorption of methylene blue and production of biofuel by brown alga Cystoseira sp. collected from Neom region, Kingdom of Saudi Arabia
- Synthesis of motexafin gadolinium: A promising radiosensitizer and imaging agent for cancer therapy
- The impact of varying sizes of silver nanoparticles on the induction of cellular damage in Klebsiella pneumoniae involving diverse mechanisms
- Microwave-assisted green synthesis, characterization, and in vitro antibacterial activity of NiO nanoparticles obtained from lemon peel extract
- Rhus microphylla-mediated biosynthesis of copper oxide nanoparticles for enhanced antibacterial and antibiofilm efficacy
- Harnessing trichalcogenide–molybdenum(vi) sulfide and molybdenum(vi) oxide within poly(1-amino-2-mercaptobenzene) frameworks as a photocathode for sustainable green hydrogen production from seawater without sacrificial agents
- Magnetically recyclable Fe3O4@SiO2 supported phosphonium ionic liquids for efficient and sustainable transformation of CO2 into oxazolidinones
- A comparative study of Fagonia arabica fabricated silver sulfide nanoparticles (Ag2S) and silver nanoparticles (AgNPs) with distinct antimicrobial, anticancer, and antioxidant properties
- Visible light photocatalytic degradation and biological activities of Aegle marmelos-mediated cerium oxide nanoparticles
- Physical intrinsic characteristics of spheroidal particles in coal gasification fine slag
- Exploring the effect of tea dust magnetic biochar on agricultural crops grown in polycyclic aromatic hydrocarbon contaminated soil
- Crosslinked chitosan-modified ultrafiltration membranes for efficient surface water treatment and enhanced anti-fouling performances
- Study on adsorption characteristics of biochars and their modified biochars for removal of organic dyes from aqueous solution
- Zein polymer nanocarrier for Ocimum basilicum var. purpurascens extract: Potential biomedical use
- Green synthesis, characterization, and in vitro and in vivo biological screening of iron oxide nanoparticles (Fe3O4) generated with hydroalcoholic extract of aerial parts of Euphorbia milii
- Novel microwave-based green approach for the synthesis of dual-loaded cyclodextrin nanosponges: Characterization, pharmacodynamics, and pharmacokinetics evaluation
- Bi2O3–BiOCl/poly-m-methyl aniline nanocomposite thin film for broad-spectrum light-sensing
- Green synthesis and characterization of CuO/ZnO nanocomposite using Musa acuminata leaf extract for cytotoxic studies on colorectal cancer cells (HCC2998)
- Review Articles
- Materials-based drug delivery approaches: Recent advances and future perspectives
- A review of thermal treatment for bamboo and its composites
- An overview of the role of nanoherbicides in tackling challenges of weed management in wheat: A novel approach
- An updated review on carbon nanomaterials: Types, synthesis, functionalization and applications, degradation and toxicity
- Special Issue: Emerging green nanomaterials for sustainable waste management and biomedical applications
- Green synthesis of silver nanoparticles using mature-pseudostem extracts of Alpinia nigra and their bioactivities
- Special Issue: New insights into nanopythotechnology: current trends and future prospects
- Green synthesis of FeO nanoparticles from coffee and its application for antibacterial, antifungal, and anti-oxidation activity
- Dye degradation activity of biogenically synthesized Cu/Fe/Ag trimetallic nanoparticles
- Special Issue: Composites and green composites
- Recent trends and advancements in the utilization of green composites and polymeric nanocarriers for enhancing food quality and sustainable processing
- Retraction
- Retraction of “Biosynthesis and characterization of silver nanoparticles from Cedrela toona leaf extracts: An exploration into their antibacterial, anticancer, and antioxidant potential”
- Retraction of “Photocatalytic degradation of organic dyes and biological potentials of biogenic zinc oxide nanoparticles synthesized using the polar extract of Cyperus scariosus R.Br. (Cyperaceae)”
- Retraction to “Green synthesis on performance characteristics of a direct injection diesel engine using sandbox seed oil”
Articles in the same Issue
- Research Articles
- Green polymer electrolyte and activated charcoal-based supercapacitor for energy harvesting application: Electrochemical characteristics
- Research on the adsorption of Co2+ ions using halloysite clay and the ability to recover them by electrodeposition method
- Simultaneous estimation of ibuprofen, caffeine, and paracetamol in commercial products using a green reverse-phase HPTLC method
- Isolation, screening and optimization of alkaliphilic cellulolytic fungi for production of cellulase
- Functionalized gold nanoparticles coated with bacterial alginate and their antibacterial and anticancer activities
- Comparative analysis of bio-based amino acid surfactants obtained via Diels–Alder reaction of cyclic anhydrides
- Biosynthesis of silver nanoparticles on yellow phosphorus slag and its application in organic coatings
- Exploring antioxidant potential and phenolic compound extraction from Vitis vinifera L. using ultrasound-assisted extraction
- Manganese and copper-coated nickel oxide nanoparticles synthesized from Carica papaya leaf extract induce antimicrobial activity and breast cancer cell death by triggering mitochondrial caspases and p53
- Insight into heating method and Mozafari method as green processing techniques for the synthesis of micro- and nano-drug carriers
- Silicotungstic acid supported on Bi-based MOF-derived metal oxide for photodegradation of organic dyes
- Synthesis and characterization of capsaicin nanoparticles: An attempt to enhance its bioavailability and pharmacological actions
- Synthesis of Lawsonia inermis-encased silver–copper bimetallic nanoparticles with antioxidant, antibacterial, and cytotoxic activity
- Facile, polyherbal drug-mediated green synthesis of CuO nanoparticles and their potent biological applications
- Zinc oxide-manganese oxide/carboxymethyl cellulose-folic acid-sesamol hybrid nanomaterials: A molecularly targeted strategy for advanced triple-negative breast cancer therapy
- Exploring the antimicrobial potential of biogenically synthesized graphene oxide nanoparticles against targeted bacterial and fungal pathogens
- Biofabrication of silver nanoparticles using Uncaria tomentosa L.: Insight into characterization, antibacterial activities combined with antibiotics, and effect on Triticum aestivum germination
- Membrane distillation of synthetic urine for use in space structural habitat systems
- Investigation on mechanical properties of the green synthesis bamboo fiber/eggshell/coconut shell powder-based hybrid biocomposites under NaOH conditions
- Green synthesis of magnesium oxide nanoparticles using endophytic fungal strain to improve the growth, metabolic activities, yield traits, and phenolic compounds content of Nigella sativa L.
- Estimation of greenhouse gas emissions from rice and annual upland crops in Red River Delta of Vietnam using the denitrification–decomposition model
- Synthesis of humic acid with the obtaining of potassium humate based on coal waste from the Lenger deposit, Kazakhstan
- Ascorbic acid-mediated selenium nanoparticles as potential antihyperuricemic, antioxidant, anticoagulant, and thrombolytic agents
- Green synthesis of silver nanoparticles using Illicium verum extract: Optimization and characterization for biomedical applications
- Antibacterial and dynamical behaviour of silicon nanoparticles influenced sustainable waste flax fibre-reinforced epoxy composite for biomedical application
- Optimising coagulation/flocculation using response surface methodology and application of floc in biofertilisation
- Green synthesis and multifaceted characterization of iron oxide nanoparticles derived from Senna bicapsularis for enhanced in vitro and in vivo biological investigation
- Potent antibacterial nanocomposites from okra mucilage/chitosan/silver nanoparticles for multidrug-resistant Salmonella Typhimurium eradication
- Trachyspermum copticum aqueous seed extract-derived silver nanoparticles: Exploration of their structural characterization and comparative antibacterial performance against gram-positive and gram-negative bacteria
- Microwave-assisted ultrafine silver nanoparticle synthesis using Mitragyna speciosa for antimalarial applications
- Green synthesis and characterisation of spherical structure Ag/Fe2O3/TiO2 nanocomposite using acacia in the presence of neem and tulsi oils
- Green quantitative methods for linagliptin and empagliflozin in dosage forms
- Enhancement efficacy of omeprazole by conjugation with silver nanoparticles as a urease inhibitor
- Residual, sequential extraction, and ecological risk assessment of some metals in ash from municipal solid waste incineration, Vietnam
- Green synthesis of ZnO nanoparticles using the mangosteen (Garcinia mangostana L.) leaf extract: Comparative preliminary in vitro antibacterial study
- Simultaneous determination of lesinurad and febuxostat in commercial fixed-dose combinations using a greener normal-phase HPTLC method
- A greener RP-HPLC method for quaternary estimation of caffeine, paracetamol, levocetirizine, and phenylephrine acquiring AQbD with stability studies
- Optimization of biomass durian peel as a heterogeneous catalyst in biodiesel production using microwave irradiation
- Thermal treatment impact on the evolution of active phases in layered double hydroxide-based ZnCr photocatalysts: Photodegradation and antibacterial performance
- Preparation of silymarin-loaded zein polysaccharide core–shell nanostructures and evaluation of their biological potentials
- Preparation and characterization of composite-modified PA6 fiber for spectral heating and heat storage applications
- Preparation and electrocatalytic oxygen evolution of bimetallic phosphates (NiFe)2P/NF
- Rod-shaped Mo(vi) trichalcogenide–Mo(vi) oxide decorated on poly(1-H pyrrole) as a promising nanocomposite photoelectrode for green hydrogen generation from sewage water with high efficiency
- Green synthesis and studies on citrus medica leaf extract-mediated Au–ZnO nanocomposites: A sustainable approach for efficient photocatalytic degradation of rhodamine B dye in aqueous media
- Cellulosic materials for the removal of ciprofloxacin from aqueous environments
- The analytical assessment of metal contamination in industrial soils of Saudi Arabia using the inductively coupled plasma technology
- The effect of modified oily sludge on the slurry ability and combustion performance of coal water slurry
- Eggshell waste transformation to calcium chloride anhydride as food-grade additive and eggshell membranes as enzyme immobilization carrier
- Synthesis of EPAN and applications in the encapsulation of potassium humate
- Biosynthesis and characterization of silver nanoparticles from Cedrela toona leaf extracts: An exploration into their antibacterial, anticancer, and antioxidant potential
- Enhancing mechanical and rheological properties of HDPE films through annealing for eco-friendly agricultural applications
- Immobilisation of catalase purified from mushroom (Hydnum repandum) onto glutaraldehyde-activated chitosan and characterisation: Its application for the removal of hydrogen peroxide from artificial wastewater
- Sodium titanium oxide/zinc oxide (STO/ZnO) photocomposites for efficient dye degradation applications
- Effect of ex situ, eco-friendly ZnONPs incorporating green synthesised Moringa oleifera leaf extract in enhancing biochemical and molecular aspects of Vicia faba L. under salt stress
- Biosynthesis and characterization of selenium and silver nanoparticles using Trichoderma viride filtrate and their impact on Culex pipiens
- Photocatalytic degradation of organic dyes and biological potentials of biogenic zinc oxide nanoparticles synthesized using the polar extract of Cyperus scariosus R.Br. (Cyperaceae)
- Assessment of antiproliferative activity of green-synthesized nickel oxide nanoparticles against glioblastoma cells using Terminalia chebula
- Chlorine-free synthesis of phosphinic derivatives by change in the P-function
- Anticancer, antioxidant, and antimicrobial activities of nanoemulsions based on water-in-olive oil and loaded on biogenic silver nanoparticles
- Study and mechanism of formation of phosphorus production waste in Kazakhstan
- Synthesis and stabilization of anatase form of biomimetic TiO2 nanoparticles for enhancing anti-tumor potential
- Microwave-supported one-pot reaction for the synthesis of 5-alkyl/arylidene-2-(morpholin/thiomorpholin-4-yl)-1,3-thiazol-4(5H)-one derivatives over MgO solid base
- Screening the phytochemicals in Perilla leaves and phytosynthesis of bioactive silver nanoparticles for potential antioxidant and wound-healing application
- Graphene oxide/chitosan/manganese/folic acid-brucine functionalized nanocomposites show anticancer activity against liver cancer cells
- Nature of serpentinite interactions with low-concentration sulfuric acid solutions
- Multi-objective statistical optimisation utilising response surface methodology to predict engine performance using biofuels from waste plastic oil in CRDi engines
- Microwave-assisted extraction of acetosolv lignin from sugarcane bagasse and electrospinning of lignin/PEO nanofibres for carbon fibre production
- Biosynthesis, characterization, and investigation of cytotoxic activities of selenium nanoparticles utilizing Limosilactobacillus fermentum
- Highly photocatalytic materials based on the decoration of poly(O-chloroaniline) with molybdenum trichalcogenide oxide for green hydrogen generation from Red Sea water
- Highly efficient oil–water separation using superhydrophobic cellulose aerogels derived from corn straw
- Beta-cyclodextrin–Phyllanthus emblica emulsion for zinc oxide nanoparticles: Characteristics and photocatalysis
- Assessment of antimicrobial activity and methyl orange dye removal by Klebsiella pneumoniae-mediated silver nanoparticles
- Influential eradication of resistant Salmonella Typhimurium using bioactive nanocomposites from chitosan and radish seed-synthesized nanoselenium
- Antimicrobial activities and neuroprotective potential for Alzheimer’s disease of pure, Mn, Co, and Al-doped ZnO ultra-small nanoparticles
- Green synthesis of silver nanoparticles from Bauhinia variegata and their biological applications
- Synthesis and optimization of long-chain fatty acids via the oxidation of long-chain fatty alcohols
- Eminent Red Sea water hydrogen generation via a Pb(ii)-iodide/poly(1H-pyrrole) nanocomposite photocathode
- Green synthesis and effective genistein production by fungal β-glucosidase immobilized on Al2O3 nanocrystals synthesized in Cajanus cajan L. (Millsp.) leaf extracts
- Green stability-indicating RP-HPTLC technique for determining croconazole hydrochloride
- Green synthesis of La2O3–LaPO4 nanocomposites using Charybdis natator for DNA binding, cytotoxic, catalytic, and luminescence applications
- Eco-friendly drugs induce cellular changes in colistin-resistant bacteria
- Tangerine fruit peel extract mediated biogenic synthesized silver nanoparticles and their potential antimicrobial, antioxidant, and cytotoxic assessments
- Green synthesis on performance characteristics of a direct injection diesel engine using sandbox seed oil
- A highly sensitive β-AKBA-Ag-based fluorescent “turn off” chemosensor for rapid detection of abamectin in tomatoes
- Green synthesis and physical characterization of zinc oxide nanoparticles (ZnO NPs) derived from the methanol extract of Euphorbia dracunculoides Lam. (Euphorbiaceae) with enhanced biosafe applications
- Detection of morphine and data processing using surface plasmon resonance imaging sensor
- Effects of nanoparticles on the anaerobic digestion properties of sulfamethoxazole-containing chicken manure and analysis of bio-enzymes
- Bromic acid-thiourea synergistic leaching of sulfide gold ore
- Green chemistry approach to synthesize titanium dioxide nanoparticles using Fagonia Cretica extract, novel strategy for developing antimicrobial and antidiabetic therapies
- Green synthesis and effective utilization of biogenic Al2O3-nanocoupled fungal lipase in the resolution of active homochiral 2-octanol and its immobilization via aluminium oxide nanoparticles
- Eco-friendly RP-HPLC approach for simultaneously estimating the promising combination of pentoxifylline and simvastatin in therapeutic potential for breast cancer: Appraisal of greenness, whiteness, and Box–Behnken design
- Use of a humidity adsorbent derived from cockleshell waste in Thai fried fish crackers (Keropok)
- One-pot green synthesis, biological evaluation, and in silico study of pyrazole derivatives obtained from chalcones
- Bio-sorption of methylene blue and production of biofuel by brown alga Cystoseira sp. collected from Neom region, Kingdom of Saudi Arabia
- Synthesis of motexafin gadolinium: A promising radiosensitizer and imaging agent for cancer therapy
- The impact of varying sizes of silver nanoparticles on the induction of cellular damage in Klebsiella pneumoniae involving diverse mechanisms
- Microwave-assisted green synthesis, characterization, and in vitro antibacterial activity of NiO nanoparticles obtained from lemon peel extract
- Rhus microphylla-mediated biosynthesis of copper oxide nanoparticles for enhanced antibacterial and antibiofilm efficacy
- Harnessing trichalcogenide–molybdenum(vi) sulfide and molybdenum(vi) oxide within poly(1-amino-2-mercaptobenzene) frameworks as a photocathode for sustainable green hydrogen production from seawater without sacrificial agents
- Magnetically recyclable Fe3O4@SiO2 supported phosphonium ionic liquids for efficient and sustainable transformation of CO2 into oxazolidinones
- A comparative study of Fagonia arabica fabricated silver sulfide nanoparticles (Ag2S) and silver nanoparticles (AgNPs) with distinct antimicrobial, anticancer, and antioxidant properties
- Visible light photocatalytic degradation and biological activities of Aegle marmelos-mediated cerium oxide nanoparticles
- Physical intrinsic characteristics of spheroidal particles in coal gasification fine slag
- Exploring the effect of tea dust magnetic biochar on agricultural crops grown in polycyclic aromatic hydrocarbon contaminated soil
- Crosslinked chitosan-modified ultrafiltration membranes for efficient surface water treatment and enhanced anti-fouling performances
- Study on adsorption characteristics of biochars and their modified biochars for removal of organic dyes from aqueous solution
- Zein polymer nanocarrier for Ocimum basilicum var. purpurascens extract: Potential biomedical use
- Green synthesis, characterization, and in vitro and in vivo biological screening of iron oxide nanoparticles (Fe3O4) generated with hydroalcoholic extract of aerial parts of Euphorbia milii
- Novel microwave-based green approach for the synthesis of dual-loaded cyclodextrin nanosponges: Characterization, pharmacodynamics, and pharmacokinetics evaluation
- Bi2O3–BiOCl/poly-m-methyl aniline nanocomposite thin film for broad-spectrum light-sensing
- Green synthesis and characterization of CuO/ZnO nanocomposite using Musa acuminata leaf extract for cytotoxic studies on colorectal cancer cells (HCC2998)
- Review Articles
- Materials-based drug delivery approaches: Recent advances and future perspectives
- A review of thermal treatment for bamboo and its composites
- An overview of the role of nanoherbicides in tackling challenges of weed management in wheat: A novel approach
- An updated review on carbon nanomaterials: Types, synthesis, functionalization and applications, degradation and toxicity
- Special Issue: Emerging green nanomaterials for sustainable waste management and biomedical applications
- Green synthesis of silver nanoparticles using mature-pseudostem extracts of Alpinia nigra and their bioactivities
- Special Issue: New insights into nanopythotechnology: current trends and future prospects
- Green synthesis of FeO nanoparticles from coffee and its application for antibacterial, antifungal, and anti-oxidation activity
- Dye degradation activity of biogenically synthesized Cu/Fe/Ag trimetallic nanoparticles
- Special Issue: Composites and green composites
- Recent trends and advancements in the utilization of green composites and polymeric nanocarriers for enhancing food quality and sustainable processing
- Retraction
- Retraction of “Biosynthesis and characterization of silver nanoparticles from Cedrela toona leaf extracts: An exploration into their antibacterial, anticancer, and antioxidant potential”
- Retraction of “Photocatalytic degradation of organic dyes and biological potentials of biogenic zinc oxide nanoparticles synthesized using the polar extract of Cyperus scariosus R.Br. (Cyperaceae)”
- Retraction to “Green synthesis on performance characteristics of a direct injection diesel engine using sandbox seed oil”