Abstract
In this article, Bi-based metal–organic framework-supported silicotungstic acid (STA) was synthesized by a simple hydrothermal method and used as a precursor for the preparation of the Bi-based MOF-derived catalyst (STA@C-Bi-BDC). Using a combination of FTIR, XRD, SEM-EDS, N2 adsorption–desorption, TG, UV-Vis DRS, and XPS techniques, the successful immobilization of STA groups on Bi-MOF-derived C-Bi-BDC was assessed. Furthermore, the photocatalytic performance of the as-prepared catalysts was investigated in the degradation of the RhB dye process under visible light. Within 120 min of visible light exposure, the high degradation rate of RhB (92.7%) by STA@C-Bi-BDC system was achieved, which was a lot larger than the STA (39.4%), C-Bi-BDC (59.2%), and STA@Bi-BDC (74.0%) system, and cyclic experiments exhibit that the STA@C-Bi-BDC is a relatively stable photocatalyst. More importantly, the catalyst shows high applicability for the degradation of other dyes. This study reveals a comprehensive strategy for the design of efficient Bi-based MOF-derived photocatalyst for organic dye-based wastewater treatment.
1 Introduction
Nowadays, the fast industrialization and civilization process has produced more hazardous pollution to the environment [1,2]. Especially, lots of synthetic dyes (e.g. rhodamine B, acridine orange, neutral red, etc.) have replaced natural dyes and are widely used in many industries such as paper, printing, textile, leather, and so on, and produced a large amount of dye wastewater into the environment [3]. This would not only affect the ecological environment enormously but also have fatal effects on human health [4]. To deal with this dye wastewater, many treatment technologies have been developed, such as physical adsorption techniques, filtration techniques, ozonation techniques, and photocatalytic degradation techniques [5,6,7,8]. Among these technologies, photocatalytic degradation has attracted much attention as a water treatment technology due to its simplicity, low energy consumption, low cost, and green non-pollution [9]. However, there exists a challenge regarding the design and construction of effective visible light-responsive photocatalysts during photodegradation.
Currently, a series of photocatalysts have been developed for the degradation of organic dyes, such as TiO2, ZnO, C3N4, CdS, Bi2WO6, In2O3, heteropolyacids (HPAs), etc. [10,11]. Among them, HPAs (e.g. silicotungstic acid, phosphomolybdic acid) are inorganic metal-oxo clusters with good redox properties and photoinduced charge-transfer properties that can be used as a co-photocatalyst to enhance the photocatalytic [12]. Unfortunately, the photocatalytic of HPAs are limited due to their low surface area and difficult to recycle in polar solvents [13,14]. Then, loading HPAs into supports is one of the most promising routes for heterogeneous photocatalysis.
Metal–organic framework (MOF) has been widely used in many fields due to its high surface area, high porosity, structure variation, and many other outstanding properties [15,16,17]. Meanwhile, metal oxides derived from MOF have been extensively investigated because they can maintain the morphological characteristics of original MOF [18]. In recent years, bismuth oxide has been considered a visible light-responsive photocatalytic material, but it is still limited because of its low interfacial area [19]. In this regard, the synthesis of bismuth oxide derived from Bi-based MOF precursors can retain some structural properties of Bi-based MOF and improve optical properties [20]. Until now, no HPAs involving composites based on Bi-based MOF derivates have been reported.
Herein, the synthesis of STA@Bi-BDC precursor by introducing silicotungstic acid (STA) into the structure of Bi-BDC through a simple hydrothermal route, and subsequent pyrolysis for preparation of the Bi-based MOF-derived catalyst (STA@C-Bi-BDC). Techniques such as FTIR, XRD, SEM-EDS, N2 adsorption–desorption, TG, UV-Vis DRS, and XPS techniques were used to investigate their morphological features and study their optical properties. In addition, the activity of the synthesized composite was assessed through degrading rhodamine B (RhB) under visible light irradiation. Finally, the possible photodegradation mechanism for photocatalytic degradation of RhB was proposed according to the above results.
2 Materials and methods
2.1 Chemical reagents
Bismuth nitrate pentahydrate (Bi(NO3)3·5H2O), terephthalic acid (H2-BDC), silicotungstic acid (STA, H4SiW12O40·nH2O), dimethylformamide (DMF), methanol, rhodamine B (RhB), acridine orange (AO), neutral red (NR), congo red (CR), and methylene blue (MB) were acquired from Sigma-Aldrich. The reagents used in this study were all of analytical grade, and no further purification was needed. In addition, deionized water was used for all of the treatment processes.
2.2 Synthesis of the STA@C-Bi-BDC composite
The STA@Bi-BDC precursor was prepared via a simple one-pot hydrothermal method. In a typical hydrothermal procedure, 0.2492 g H2-BDC was dissolved in 18 mL DMF to form solution A, and 0.4851 g Bi(NO3)3·5H2O was dissolved in 40 mL methanol to form solution B. Then, solution A was added dropwise to solution B under stirring. Subsequently, 0.3 g STA was added in mixture solution by ultrasound for 15 min, and vigorous stirring for 1 h at ambient temperature. The as-obtained mixed solution was transferred to a Teflon stainless autoclave and heated at 150°C for 6 h. After cooling, the obtained precipitate was collected by centrifugation, washed with DMF and water, and dried to obtain the STA@Bi-BDC precursor. To prepare the STA@C-Bi-BDC hybrids, the precursor was calcined at 300°C for 2 h (5°C·min−1) in air atmosphere. Then, cooling to ambient temperature naturally, the as-obtained sample was labeled as STA@C-Bi-BDC. In addition, C-Bi-BDC was prepared based on the same procedures except that no STA was added.
2.3 Characterization techniques
Fourier transform infrared spectra (FTIR) spectra were collected using the T spectrum100 spectrophotometer with KBr pellet. The phase structure of the photocatalysts was identified using the Bruker D8 ADVANCE X-ray diffractometer (XRD, Germany) with Cu Kα radiation source (0.15406 nm). N2 adsorption–desorption analysis was measured using the Micromeritics ASAP 2460 3.01 instrument, and the specific surface area and pore size of the photocatalysts were analyzed using Brunauer–Emmett–Teller (BET) and Barret–Joyner–Halenda (BJH) methods, respectively. Thermogravimetric analysis (TG) was measured on a NETZSCH TG209F1 thermal analyzer under an N2 atmosphere at a heating rate of 10°C·min−1. The UV–visible diffuse reflectance spectroscopy (UV–vis DRS) of the photocatalysts were estimated by a Shimadzu UV-3600 PLUS spectrophotometer (200–800 nm). The chemical states of the elements were examined by X-ray photoelectron spectroscopy (XPS, Thermo Fischer ESCALAB 250XI) with monochromatic Al Kα radiation. The morphologies of the photocatalysts were characterized using a scanning electron microscope (SEM), and energy dispersive X-ray spectroscopy (EDS) was employed for the surface species of the prepared photocatalysts.
2.4 Photochemical reactions
The photocatalytic activities of as-prepared catalysts were identified for the decomposition of dyes under visible light in a 300 W xenon arc lamp. Typically, 50 mg catalysts were dispersed in 50 mL, 40 mg·L−1 dye aqueous solutions. Before the photocatalytic reaction, the reaction system was stirred for 30 min in the dark to keep the adsorption–desorption equilibrium of dye molecules and the catalyst. Afterward, the reaction system was exposed to visible light irradiation for 120 min. During the irradiation, approximately 3 mL of the reaction solution was extracted and centrifuged to remove the catalyst every 30 min until completing 120 min of irradiation. Subsequently, the concentration of dye was measured using UV-5500PC. Finally, the degradation rate η is calculated by η = (1 − C t /C 0) × 100%, where C 0 (mg·L−1) stands for the initial concentration of dye, and the concentration after irradiation is denoted as C t (mg·L−1).
3 Results and discussion
3.1 Characterization
FTIR spectra of STA, C-Bi-BDC, STA@Bi-BDC, and STA@C-Bi-BDC are presented in Figure 1a. Four absorption peaks were observed in the STA spectrum at 804, 884, 927, and 980 cm−1, respectively, indicating the presence of Keggin structure of STA [21]. Compared to the pristine STA, the characteristic absorption peaks of STA are present in the STA@Bi-BDC composite, which essentially indicates the successful introduction of STA on Bi-BDC. However, these characteristic peaks exhibit red-shifted that is an indirect indication of the effect of STA on Bi-BDC. The similarity in band positions of C-Bi-BDC and STA@C-Bi-BDC was observed. However, the peak intensity of the main functional groups of STA@Bi-BDC decreases, which is a direct indication of the effect of pyrolysis on Bi-BDC framework. Surprisingly, no STA characteristic peaks were found in the STA@C-Bi-BDC, illustrating that there is a chemical interaction between STA and Bi-BDC in the pyrolysis process, and the STA is possibly well dispersed on the surface [22]. The FTIR results suggested the successful synthesis of the STA@C-Bi-BDC photocatalyst.

(a) FTIR spectra and (b) XRD patterns of the as-prepared catalysts.
The crystal structure of the catalysts was analyzed using XRD. As illustrated in Figure 1b, the given diffraction peaks of STA were detected at 2θ values of 7.9°, 9.2°, 16.0°, and 26.5°, consistent with previous reports [23]. As for C-Bi-BDC, the diffraction facets present at 2θ values of 25.8°, 28.1°, and 33.5° belong to (001), (012), and (022) planes (JCPDS No. 71-0465) [24,25], which indicates that the generation of Bi2O3 phase in the C-Bi-BDC after pyrolysis. With the addition of STA, the peak intensity of the diffraction peak at 2θ = 7.9° decreased, which confirms the existence of STA in the STA@C-Bi-BDC composite. Besides, a broad diffraction peak at 20–40° was also observed owing to the formation of the amorphous phase, and Bi2O3 peaks were not clearly found. This may be due to the addition of STA affecting the crystal structure of C-Bi-BDC and the existence of a chemical interaction between composite species. In summary, the earlier result suggests the successful preparation of STA@C-Bi-BDC, and the results are consistent with FTIR results.
The morphological features of the C-Bi-BDC and STA@C-Bi-BDC catalysts were probed by SEM images. As displayed in Figure 2a, C-Bi-BDC was an agglomerated irregular block morphology with a smooth surface. After the formation of the composite, it can be clearly seen that the morphologies of STA@C-Bi-BDC were not significantly altered (Figure 2b). However, many small particles are observed on the surface, making its surface relatively rough, thereby indicating that STA has been successfully introduced into STA@C-Bi-BDC composite and the formation of heterojunctions. In addition, the analysis of elemental species was measured using EDS (Figure 2c), and the presence of Bi, O, Si, and W species with good dispersion on STA@C-Bi-BDC was confirmed.

SEM images of (a) C-Bi-BDC, (b) STA@C-Bi-BDC, and (c) elemental mapping of STA@C-Bi-BDC.
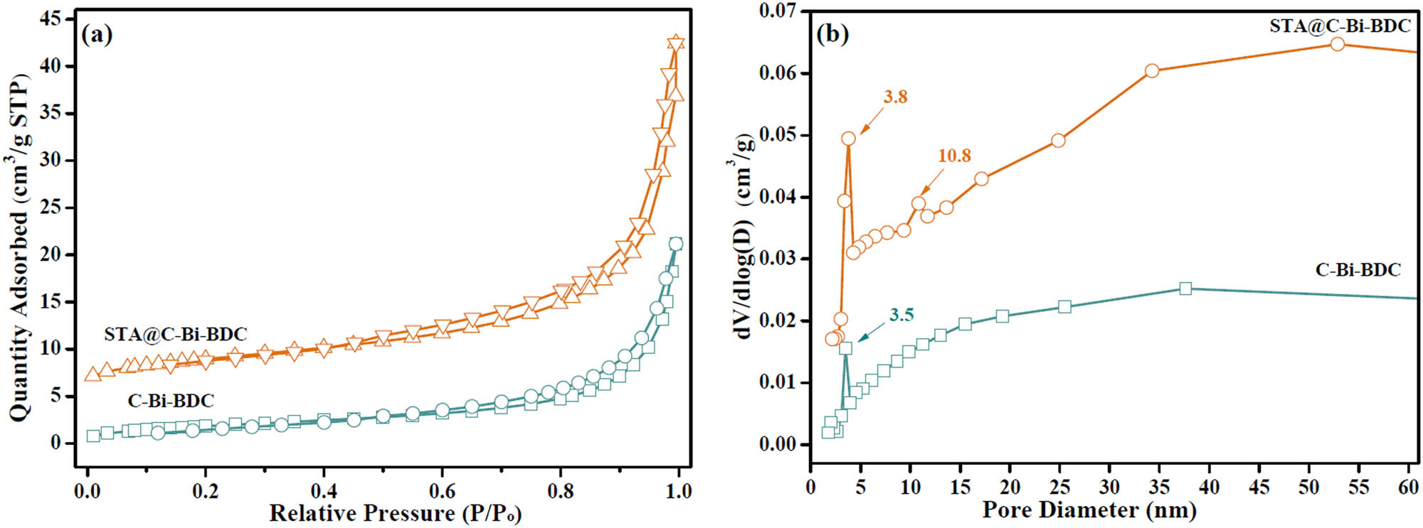
Next, N2 adsorption–desorption experiments were conducted on C-Bi-BDC and STA@C-Bi-BDC catalysts (Figure 3). As can be seen from Figure 3a, both materials can be classified as type-IV adsorption–desorption isotherms with an H3-type hysteresis loop, implying the presence of mesoporous structures, and similar isotherms have also been studied previously [26]. In Figure 3b, the pore size distributions of C-Bi-BDC sample display the mesopores centered at about 3.5 nm, and the STA@C-Bi-BDC sample exhibit the mesopores centered at about 3.8 nm and 10.8 nm, indicating the presence of porous structures within the STA@C-Bi-BDC frameworks. In addition, the physicochemical properties of C-Bi-BDC and STA@C-Bi-BDC catalysts are summarized in Table 1. From Table 1, it can be observed that the S BET increases from 6.96 to 14.42 m2·g−1, and the pore volume increases from 0.033 to 0.056 cm3·g−1 for C-Bi-BDC and STA@C-Bi-BDC catalysts, suggesting that the STA was immobilized on the surface of C-Bi-BDC. Notably, the STA@C-Bi-BDC catalyst has a suitable average pore size. The above data suggest that the mesoporous structure, relatively large S BET, and wider pore size can expose more active sites and enhance the performance of photocatalysis.

(a) N2 adsorption–desorption isotherms, and (b) pore size distributions of C-Bi-BDC and STA@C-Bi-BDC catalysts.
Textural parameters of C-Bi-BDC and STA@C-Bi-BDC catalysts
| Entry | Catalyst | S BET (m2·g−1) | Pore volume (cm3·g−1) | Average pore size (nm) |
|---|---|---|---|---|
| 1 | C-Bi-BDC | 6.96 | 0.033 | 12.6 |
| 2 | STA@C-Bi-BDC | 14.42 | 0.056 | 13.7 |
The TG profile of STA@C-Bi-BDC can be divided into two stages, as presented in Figure 4. The first weight loss (1.6%) before 200°C was mainly due to the removal of impurities. Additionally, the second weight loss at the temperature range of 360–550°C could be associated with the thermal decomposition of the STA compounds. Therefore, in this study, the obtained STA@C-Bi-BDC catalyst possessed good chemical stability, and it is beneficial to the improvement of its catalytic activity of photocatalysis.

TG Profile of STA@C-Bi-BDC.
The optical properties of the STA, C-Bi-BDC, and STA@C-Bi-BDC samples were investigated using the UV–Vis DRS curves. In Figure 5a, it could be seen that all samples exhibited strong light absorption in the range of 200–800 nm, and the maximum absorption band edges of STA and C-Bi-BDC were located at 441 and 471 nm, respectively. Compared with C-Bi-BDC, the light absorption was enhanced in the sample of STA@C-Bi-BDC, and the absorption band edge was extended at 515 nm, suggesting that the loading of STA had an important impact on the optical response range of the STA@C-Bi-BDC composite. According to the Tauc plots, the Eg corresponding to STA and C-Bi-BDC were 2.97 and 3.19 eV, respectively, whereas the Eg was 2.81 eV for STA@C-Bi-BDC. It was clear that the presence of STA made the energy bandwidth of the STA@C-Bi-BDC composite narrower than that of C-Bi-BDC. This meant that the narrow band gap of STA@C-Bi-BDC was conducive to the separation and transition of photogenerated electrons and holes, and further promoted photocatalytic reaction [27].

(a) The absorbance of the UV–Vis diffuse reflectance spectra and (b) Tauc plot for STA, C-Bi-BDC, and STA@C-Bi-BDC samples.
To study the chemical states of elements in the prepared samples, XPS spectra were employed as shown in Figure 6. In Figure 6a, typical signals of the Bi 4f and O 1s are detected in the spectra of C-Bi-BDC, while the signals assigned to W 4f can be observed in the spectra of STA@C-Bi-BDC, suggesting the successful introduction of STA compounds. In the high-resolution XPS spectra for Bi 4f of C-Bi-BDC (Figure 6a), two peaks located at 159.4 and 164.8 eV were indexed to Bi 4f7/2 and Bi 4f5/2, respectively [28]. However, a certain offset was observed in these peaks of STA@C-Bi-BDC, implying a partial electron transfer from C-Bi-BDC frameworks to the STA cluster according to strong metal-support interactions [29,30], which is consistent with XRD analysis. As depicted in Figure 6c, for C-Bi-BDC, two peaks at 530.0 and 531.4 eV are matched to the Bi-O bonds in the Bi2O3 and the presence of the O–H bond in the sample’s surface [31]. Interestingly, the new peak of the STA@C-Bi-BDC sample at 530.6 eV was caused by the presence of the W–O bond [23]. Figure 6d exhibits the W 4f spectra, which could be deconvoluted into two characteristic peaks, and the peaks at 35.6 and 37.8 eV belonged to the W 4f7/2 and W 4f5/2, respectively, indicating the presence of W6+ in the STA@C-Bi-BDC sample, consistent with many reports [32]. Overall, the above results further proved the successful preparation of the STA@C-Bi-BDC photocatalyst and are accordant with FTIR and XRD results.

(a) Full XPS survey spectra, (b) Bi 4f, (c) O 1s spectra of C-Bi-BDC and STA@C-Bi-BDC, and (d) W 4f spectra of STA@C-Bi-BDC.
3.2 Photocatalytic activity of as-synthesized catalysts
Photocatalytic performance of the as-synthesized catalysts was investigated via the degradation of RhB under visible light. As can be seen in Figure 7a, the results of the blank experiment show that RhB cannot spontaneously be degraded under visible light. After 120 min of visible light irradiation, the degradation rate of RhB by STA, C-Bi-BDC, and STA@Bi-BDC is 39.4%, 59.2%, and 74.0%, respectively. Excitingly, the prepared STA@C-Bi-BDC exhibits remarkably enhanced photocatalytic activity after the pyrolysis of STA@C-Bi-BDC. In addition, the reaction kinetic profile for the degradation of RhB and the corresponding apparent rate constants by different catalysts was also explored (Figure 7b and c). It can be seen that the apparent rate constant (k) for the STA@C-Bi-BDC is approximately 5.2 times that of STA, 2.8 times that of C-Bi-BDC, and 2.0 times that of STA@Bi-BDC, respectively. Therefore, the best photocatalytic performance was achieved by STA@C-Bi-BDC. This is possible owing to its mesoporous structures, relatively large S BET, wider pore size, narrow bandgap energy, and the presence of heterojunction structure, which improves the separation of photoexcited electron–hole pairs [33]. Besides, Figure 7d presents the absorption spectrum change of RhB photodegraded by STA@C-Bi-BDC. The results clearly demonstrate that the rapid decrease of the peak intensity of RhB at 554 nm and the characteristic peak wavelength gradually shifts to blue as the light exposure time is increased. Meanwhile, the discoloration of absorbance is because of the N-de-ethylation of RhB, confirming the degradation of RhB [34].

(a) Photocatalytic degradation of RhB by various catalysts under visible light, (b) degradation kinetic curves, (c) degradation rate of RhB and the corresponding apparent rate constants by various catalysts, and (d) absorption spectrum change of RhB solution in the presence of STA@C-Bi-BDC.
3.3 Effects of several parameters on the photodegradation of RhB
The effect of catalyst and dye concentration on STA@C-Bi-BDC for RhB degradation was investigated and summarized in Figure 8a and b. From Figure 8a, it is clear that the degradation rate of RhB enhances with increasing the concentration of catalyst, signifying the presence of more active sites on the catalyst surface by increasing catalyst concentration. Further, up to 1.2 g·L−1 concentration of STA@C-Bi-BDC, there was no significant increase in the degradation rate of RhB. Thus, the catalyst concentration is chosen as 1.0 g·L−1 for further studies. As shown in Figure 8b, the degradation rate decreased with increasing RhB concentration, and this is due to the fact that a large amount of adsorbed RhB dye may inhibit reactions between RhB molecules and free radicals [35]. However, the degradation rate for 30 and 40 mg·L−1 of RhB concentration was not noticeably changed in 120 min. Therefore, in the following experiments, 40 mg·L−1 was selected as the initial RhB concentration for photodegradation.

(a) Effect of catalyst dosage, (b) initial RhB concentration, and (c) recyclability of STA@C-Bi-BDC in degradation of RhB under visible light irradiation, (d) XRD and (e) FTIR patterns of STA@C-Bi-BDC before and after the reaction, and (f) the photocatalytic degradation rates for different dyes by STA@C-Bi-BDC (1.0 g·L−1).
3.4 Photocatalyst recycling
The reusability of the catalyst is an important parameter for real-field applications. To test the reusability of STA@C-Bi-BDC, the recycling experiment for degradation of RhB has been performed three times under the same conditions. After each cycle, the catalyst was recycled by centrifuging, washing, and drying for the next cycle of the experiment. As shown in Figure 8c, the degradation rate of RhB photodegradation still reached 77.0% after three cycles. Moreover, we also tested the XRD and FTIR patterns of the catalyst after three cycles. According to Figure 8d, the diffraction peak of the recycled STA@C-Bi-BDC at 7.9° was not clearly found, and some miscellaneous peaks were observed; this is possible because of the existence of STA leaching and the adsorption of dyes and intermediates onto the surface and pores of the catalyst. Additionally, from Figure 8e, there is no obvious difference between FTIR spectrums of fresh and used catalysts, suggesting that the basic structure of the catalyst almost remains intact after repeated utilization. The results above indicate that the STA@C-Bi-BDC is a relatively stable photocatalyst.
3.5 Photocatalytic degradation of various dyes
Figure 8f shows the degradation of other dyes in the STA@C-Bi-BDC system under visible light irradiation. It can be seen that the degradation rates of CR, AO, and NR in STA@C-Bi-BDC system were 86.3%, 95.9%, and 91.4% after 120 min, respectively. Obviously, the STA@C-Bi-BDC exhibits a high photocatalytic performance for all dyes, suggesting the excellent generality of as-obtained STA@C-Bi-BDC hybrids.
3.6 Possible photocatalytic mechanisms
According to the literature, the possible reaction mechanism of RhB photodegradation over STA@C-Bi-BDC is proposed in Figure 9. The forbidden bandwidth of STA@C-Bi-BDC is 2.81 eV (Figure 5), lower than that of C-Bi-BDC (3.19 eV). This may be due to an intermediate energy level being induced in the bandgap region of C-Bi-BDC after the introduction of STA, and allowing electrons to move towards it, making the bandgap smaller [36]. When visible light irradiates the catalyst surface, the electrons in the valence band (VB) of STA@C-Bi-BDC are excited to the conduction band (CB), leaving behind the holes in the VB, producing electron–hole pairs. The photogenerated holes behave as an oxidizing agent that reacts with water molecules to produce hydroxyl (·OH) radicals. Meanwhile, the dissolved oxygen can be reduced by electrons to form

The possible reaction mechanism of RhB photodegradation over STA@C-Bi-BDC.
4 Conclusion
In conclusion, the STA@C-Bi-BDC catalyst was successfully synthesized and constructed by a simple one-pot hydrothermal method and following the pyrolysis process, and the photocatalytic activity of the catalyst was evaluated for the degradation of RhB. As a result, STA@C-Bi-BDC showed a maximum degradation performance of up to 92.7% for RhB, much higher than that of STA@Bi-BDC (74.0%), C-Bi-BDC (59.2%), and pristine STA (39.4%) in 120 min under visible irradiation. The excellent photocatalytic activity was attributed to its mesoporous structures, relatively large S BET, strong light absorption, and excellent charge transfer behavior. Furthermore, the STA@C-Bi-BDC catalyst demonstrated relatively good stability and generality. This work offers a promising approach to constructing a Bi-based MOF-derived catalyst for organic dye-based wastewater treatment.
-
Funding information: This work was financially supported by the Porous Materials and Green Catalysis Innovation Team in High Education Institute of Guizhou Province (Qianjiaoji[2023]086), the Key Laboratory of Agricultural Resources and Environment in High Education Institute of Guizhou Province (Qianjiaoji[2023]025), the Scientific Research Back Feeding Teaching Special Project of Anshun University (asxykyfb202306), the Anshun Science and Technology Planning Project (Anshikeping[2020]02), and the innovative entrepreneurship training program for undergraduates of the Guizhou education department (202310667004, 202310667005).
-
Author contributions: Qiuyun Zhang: writing-original draft, writing-review & editing, methodology, formal analysis, and project administration; Linmin Luo: methodology and formal analysis; Yanhui Lei: writing-review & editing; Feiran Xie: methodology and formal analysis; Weihua Li: formal analysis; Yongting Zhao: visualization; Jialu Wang: visualization; Yutao Zhang: visualization and project administration.
-
Conflict of interest: The authors state no conflict of interest.
-
Data availability statement: All data generated or analyzed during this study are included in this published article.
References
[1] Perumal V, Uthrakumar R, Chinnathambi M, Inmozhi C, Robert R, Rajasaravanan ME, et al. Electron-hole recombination effect of SnO2-CuO nanocomposite for improving methylene blue photocatalytic activity in wastewater treatment under visible light. J King Saud Univ Sci. 2023;35:102388.10.1016/j.jksus.2022.102388Search in Google Scholar
[2] Zhang Q, Wu Y, Hong X, Li Z, Lei Y, Yu R, et al. Different ligand functionalized bimetallic (Zr/Ce)UiO-66 as a support for immobilization of phosphotungstic acid with enhanced activity for the esterification of fatty acids. Sustain Chem Pharm. 2024;37:101344.10.1016/j.scp.2023.101344Search in Google Scholar
[3] Ma X, Yuan H, Qiao Q, Zhang S, Tao H. Enhanced catalysis for degradation of rhodamine B by amino-functionalized Fe-MOFs with high adsorption capacity. Colloid Surf A: Physicochem Eng Asp. 2023;664:131099.10.1016/j.colsurfa.2023.131099Search in Google Scholar
[4] Wang Z, Jing C, Zhai W, Li Y, Liu W, Zhang F, et al. MIL-101(Fe)/polysulfone hollow microspheres from pickering emulsion template for effective photocatalytic degradation of methylene blue. Colloid Surf A: Physicochem Eng Asp. 2023;667:131394.10.1016/j.colsurfa.2023.131394Search in Google Scholar
[5] Dai C, Zhang M, Guo X, Ma X. Mesoporous composite Ni-C-N/SA for selective adsorption of methylene blue from water. Chem Eng J. 2021;407:127181.10.1016/j.cej.2020.127181Search in Google Scholar
[6] Wang J, Sun M, Liu C, Ye Y, Chen M, Zhao Z, et al. Customized microenvironments spontaneously facilitate coupled engineering of real-life large-scale clean water capture and pollution remediation. Adv Mater. 2023;35:2306103.10.1002/adma.202306103Search in Google Scholar PubMed
[7] Zhang QY, Wang DD, Yu RF, Luo LM, Li WH, Cheng J, et al. Excellent photocatalytic degradation of rhodamine B over Bi2O3 supported on Zn-MOF nanocomposites under visible light. Green Process Synth. 2023;12:20228123.10.1515/gps-2022-8123Search in Google Scholar
[8] He Z, Chen M, Xu M, Zhou Y, Zhang Y, Hu G. LaCo0.5Ni0.5O3 perovskite for efficient sulfafurazole degradation via peroxymonosulfate activation: Catalytic mechanism of interfacial structure. Appl Catal B Environ. 2023;335:122883.10.1016/j.apcatb.2023.122883Search in Google Scholar
[9] Wu SX, Gao ZC, Li LY, Gao WJ, Huang YQ, Yang J. High-efficient visible light photocatalytic degradation by nano-Ag-doped NH2-MIL-125(Ti) composites. Inorg Chim Acta. 2023;544:121233.10.1016/j.ica.2022.121233Search in Google Scholar
[10] Xiang Q, Yu Z, Li X, Wang P, He N, Pang Y, et al. Construction of a highly stable g-C3N4/NH2-MIL-88B(Fe)/CD@graphene oxide self-cleaning membrane for dye wastewater separation and degradation. New J Chem. 2022;46:17438–55.10.1039/D2NJ02883BSearch in Google Scholar
[11] Murugesan S, Sasibabu V, Jegadeesan GB, Venkatachalam P. Photocatalytic degradation of Reactive Black dye using ZnO-CeO2 nanocomposites. Environ Sci Pollut Res. 2023;30:42713–27.10.1007/s11356-022-22560-5Search in Google Scholar PubMed
[12] Zhu Q, An H, Xu T, Chang S, Chen Y, Luo H, et al. PW12-M@COFs as efficient photocatalysts for visible-light-driven oxidation of various sulfides and degradation of chemical warfare agent simulant. Appl Catal A Gen. 2023;662:119283.10.1016/j.apcata.2023.119283Search in Google Scholar
[13] Wang J, Yu R, Li Z, Yang F, Luo L, Wang D, et al. Heteropolyacid-loaded MOF-derived mesoporous zirconia catalyst for chemical degradation of rhodamine B. Green Process Synth. 2023;12:20230005.10.1515/gps-2023-0005Search in Google Scholar
[14] Li G, Zhang K, Li C, Gao R, Cheng Y, Hou L, et al. Solvent-free method to encapsulate polyoxometalate into metal–organic frameworks as efficient and recyclable photocatalyst for harmful sulfamethazine degrading in water. Appl Catal B Environ. 2019;245:753–9.10.1016/j.apcatb.2019.01.012Search in Google Scholar
[15] Chen J, Abazari R, Adegoke KA, Maxakato NW, Bello OS, Tahir M, et al. Metal–organic frameworks and derived materials as photocatalysts for water splitting and carbon dioxide reduction. Coord Chem Rev. 2022;469:214664.10.1016/j.ccr.2022.214664Search in Google Scholar
[16] Zhang QY, Lei YT, Li LY, Lei J, Hu MM, Deng TL, et al. Construction of the novel PMA@Bi-MOF catalyst for effective fatty acid esterification. Sustain Chem Pharm. 2023;33:101038.10.1016/j.scp.2023.101038Search in Google Scholar
[17] Yue C, Chen L, Zhang H, Huang J, Jiang H, Li H, et al. Metal–organic framework-based materials: emerging high-efficiency catalysts for the heterogeneous photocatalytic degradation of pollutants in water. Env Sci Water Res Technol. 2023;9:669–95.10.1039/D2EW00784CSearch in Google Scholar
[18] Ahmad A, Khan S, Tariq S, Luque R, Verpoort F. Self-sacrifice MOFs for heterogeneous catalysis: Synthesis mechanisms and future perspectives. Mater Today. 2022;55:137–69.10.1016/j.mattod.2022.04.002Search in Google Scholar
[19] Jiang HY, Liu JJ, Cheng K, Sun WB, Lin J. Enhanced visible light photocatalysis of Bi2O3 upon fluorination. J Phy Chem C. 2013;117:20029–36.10.1021/jp406834dSearch in Google Scholar
[20] Ma Y, Bai Y, Liang B, Yang R, Zheng S, Hu C, et al. MOF-derived hierarchical Bi2O3 as advanced anode for Ni/Bi alkaline battery with high energy density. Colloid Surf A: Physicochem Eng Asp. 2022;633:127896.10.1016/j.colsurfa.2021.127896Search in Google Scholar
[21] Wei RP, Qu XM, Xiao Y, Fan JD, Geng GL, Gao LJ, et al. Hydrogenolysis of glycerol to propanediols over silicotungstic acid catalysts intercalated with CuZnFe hydrotalcite-like compounds. Catal Today. 2021;368:224–31.10.1016/j.cattod.2020.11.028Search in Google Scholar
[22] Wang QX, Luo X, Liu L, Tao SH, Xu S. Study on heteropolyacid-based catalysts with high activity and reusability for isoprene synthesis from formaldehyde and isobutene. N J Chem. 2021;45:5371–81.10.1039/D0NJ05305HSearch in Google Scholar
[23] Wang Y, Shi J, Chen X, Chen M, Wang J, Yao J. Ethyl levulinate production from cellulose conversion in ethanol medium over high-efficiency heteropoly acids. Fuel. 2022;324:124642.10.1016/j.fuel.2022.124642Search in Google Scholar
[24] Jiang X, Tan H, Shi X, Cheng X, Hu W, Hu X. Preparation of Bi2O3/BiOI step-scheme heterojunction photocatalysts and their degradation mechanism of methylene blue. J Wuhan Univ Technol Mater Sci Ed. 2022;37:801–6.10.1007/s11595-022-2599-7Search in Google Scholar
[25] Stesho Crystalin Lazuli AR, Ranjit T, Neppolian B. Photon driven nitrogen fixation via Ni-incorporated ZrO2/Bi2O3: p-n heterojunction. Catal Today. 2023;420:114034.10.1016/j.cattod.2023.02.011Search in Google Scholar
[26] Yang Y, Xu M, Ai L, Guo N, Leng C, Tan C, et al. In situ growth of flower sphere Bi2WO6/Bi-MOF heterojunction with enhanced photocatalytic degradation of pollutants: DFT calculation and mechanism. J Env Chem Eng. 2023;11:109873.10.1016/j.jece.2023.109873Search in Google Scholar
[27] Wang M, Chen J, Hu L, Wei Y, Xu Y, Wang C, et al. Heterogeneous interfacial photocatalysis for the inactivation of Karenia mikimotoi by Bi2O3 loaded onto a copper metal organic framework (Bi2O3@Cu-MOF) under visible light. Chem Eng J. 2023;456:141154.10.1016/j.cej.2022.141154Search in Google Scholar
[28] Li Z, Tang X, Huang G, Luo X, He D, Peng Q, et al. Bismuth MOFs based hierarchical Co3O4-Bi2O3 composite: An efficient heterogeneous peroxymonosulfate activator for azo dyes degradation. Sep Purif Technol. 2020;242:116825.10.1016/j.seppur.2020.116825Search in Google Scholar
[29] Wang C, Li AR, Ma YL. Phosphomolybdic acid niched in the metal–organic framework UiO-66 with defects: An efficient and stable catalyst for oxidative desulfurization. Fuel Process Technol. 2021;212:106629.10.1016/j.fuproc.2020.106629Search in Google Scholar
[30] Hu D, Song X, Wu S, Yang X, Zhang H, Chang X, et al. Solvothermal synthesis of Co‐substituted phosphomolybdate acid encapsulated in the UiO‐66 framework for catalytic application in olefin epoxidation. Chin J Catal. 2021;42:356–66.10.1016/S1872-2067(20)63665-8Search in Google Scholar
[31] Hao Q, Wang R, Lu H, Xie C, Ao W, Chen D, et al. One-pot synthesis of C/Bi/Bi2O3 composite with enhanced photocatalytic activity. Appl Catal B Environ. 2017;219:63–72.10.1016/j.apcatb.2017.07.030Search in Google Scholar
[32] Zhang H, Yi Z, Fu S, Li C, Lucia LA, Liu Q. Immobilization of HPW on UiO-66-NH2 MOF as efficient catalyst for synthesis of furfuryl ether and alkyl levulinate as biofuel. Mol Catal. 2022;531:112689.10.1016/j.mcat.2022.112689Search in Google Scholar
[33] Hua J, Chen FY, Tang YB, Zhao SG, Yang JT, Wu R. Synthesis of type II heterojunction 2D/3D Bi2S3/MIL-88(A) with enhanced photocatalytic activity under visible-light irradiation. J Phys Chem Solids. 2023;177:111299.10.1016/j.jpcs.2023.111299Search in Google Scholar
[34] Han Z, Zhong D, Xu Y, Chang H, Liu Y, Dong L, et al. MIL-53(Fe)@BiOBr/TCN/Ti photoanode assembled visible light responsive photocatalytic fuel cell to enhance rhodamine B degradation and electricity generation. Opt Mater. 2023;139:113739.10.1016/j.optmat.2023.113739Search in Google Scholar
[35] Aaga GF, Anshebo ST. Green synthesis of highly efficient and stable copper oxide nanoparticles using an aqueous seed extract of Moringa stenopetala for sunlight-assisted catalytic degradation of Congo red and alizarin red. Heliyon. 2023;9:e16067.10.1016/j.heliyon.2023.e16067Search in Google Scholar PubMed PubMed Central
[36] Hieu TN, Ha MB, Ya FW, Sheng JY. High flux and hydrogen peroxide-assisted photocatalytic antifouling membranes from coatings of Cu@ZrO2 onto plasma-grafted PAA/PES. Mater Today Comm. 2022;33:104383.10.1016/j.mtcomm.2022.104383Search in Google Scholar
[37] Darabdhara J, Roy S, Ahmaruzzaman M. Efficient photocatalytic degradation of an organic dye by the fabrication of a novel ternary composite based on zeolitic imidazolate framework via a facile in-situ synthetic approach. Inorg Chem Comm. 2023;152:110694.10.1016/j.inoche.2023.110694Search in Google Scholar
© 2024 the author(s), published by De Gruyter
This work is licensed under the Creative Commons Attribution 4.0 International License.
Articles in the same Issue
- Research Articles
- Green polymer electrolyte and activated charcoal-based supercapacitor for energy harvesting application: Electrochemical characteristics
- Research on the adsorption of Co2+ ions using halloysite clay and the ability to recover them by electrodeposition method
- Simultaneous estimation of ibuprofen, caffeine, and paracetamol in commercial products using a green reverse-phase HPTLC method
- Isolation, screening and optimization of alkaliphilic cellulolytic fungi for production of cellulase
- Functionalized gold nanoparticles coated with bacterial alginate and their antibacterial and anticancer activities
- Comparative analysis of bio-based amino acid surfactants obtained via Diels–Alder reaction of cyclic anhydrides
- Biosynthesis of silver nanoparticles on yellow phosphorus slag and its application in organic coatings
- Exploring antioxidant potential and phenolic compound extraction from Vitis vinifera L. using ultrasound-assisted extraction
- Manganese and copper-coated nickel oxide nanoparticles synthesized from Carica papaya leaf extract induce antimicrobial activity and breast cancer cell death by triggering mitochondrial caspases and p53
- Insight into heating method and Mozafari method as green processing techniques for the synthesis of micro- and nano-drug carriers
- Silicotungstic acid supported on Bi-based MOF-derived metal oxide for photodegradation of organic dyes
- Synthesis and characterization of capsaicin nanoparticles: An attempt to enhance its bioavailability and pharmacological actions
- Synthesis of Lawsonia inermis-encased silver–copper bimetallic nanoparticles with antioxidant, antibacterial, and cytotoxic activity
- Facile, polyherbal drug-mediated green synthesis of CuO nanoparticles and their potent biological applications
- Zinc oxide-manganese oxide/carboxymethyl cellulose-folic acid-sesamol hybrid nanomaterials: A molecularly targeted strategy for advanced triple-negative breast cancer therapy
- Exploring the antimicrobial potential of biogenically synthesized graphene oxide nanoparticles against targeted bacterial and fungal pathogens
- Biofabrication of silver nanoparticles using Uncaria tomentosa L.: Insight into characterization, antibacterial activities combined with antibiotics, and effect on Triticum aestivum germination
- Membrane distillation of synthetic urine for use in space structural habitat systems
- Investigation on mechanical properties of the green synthesis bamboo fiber/eggshell/coconut shell powder-based hybrid biocomposites under NaOH conditions
- Green synthesis of magnesium oxide nanoparticles using endophytic fungal strain to improve the growth, metabolic activities, yield traits, and phenolic compounds content of Nigella sativa L.
- Estimation of greenhouse gas emissions from rice and annual upland crops in Red River Delta of Vietnam using the denitrification–decomposition model
- Synthesis of humic acid with the obtaining of potassium humate based on coal waste from the Lenger deposit, Kazakhstan
- Ascorbic acid-mediated selenium nanoparticles as potential antihyperuricemic, antioxidant, anticoagulant, and thrombolytic agents
- Green synthesis of silver nanoparticles using Illicium verum extract: Optimization and characterization for biomedical applications
- Antibacterial and dynamical behaviour of silicon nanoparticles influenced sustainable waste flax fibre-reinforced epoxy composite for biomedical application
- Optimising coagulation/flocculation using response surface methodology and application of floc in biofertilisation
- Green synthesis and multifaceted characterization of iron oxide nanoparticles derived from Senna bicapsularis for enhanced in vitro and in vivo biological investigation
- Potent antibacterial nanocomposites from okra mucilage/chitosan/silver nanoparticles for multidrug-resistant Salmonella Typhimurium eradication
- Trachyspermum copticum aqueous seed extract-derived silver nanoparticles: Exploration of their structural characterization and comparative antibacterial performance against gram-positive and gram-negative bacteria
- Microwave-assisted ultrafine silver nanoparticle synthesis using Mitragyna speciosa for antimalarial applications
- Green synthesis and characterisation of spherical structure Ag/Fe2O3/TiO2 nanocomposite using acacia in the presence of neem and tulsi oils
- Green quantitative methods for linagliptin and empagliflozin in dosage forms
- Enhancement efficacy of omeprazole by conjugation with silver nanoparticles as a urease inhibitor
- Residual, sequential extraction, and ecological risk assessment of some metals in ash from municipal solid waste incineration, Vietnam
- Green synthesis of ZnO nanoparticles using the mangosteen (Garcinia mangostana L.) leaf extract: Comparative preliminary in vitro antibacterial study
- Simultaneous determination of lesinurad and febuxostat in commercial fixed-dose combinations using a greener normal-phase HPTLC method
- A greener RP-HPLC method for quaternary estimation of caffeine, paracetamol, levocetirizine, and phenylephrine acquiring AQbD with stability studies
- Optimization of biomass durian peel as a heterogeneous catalyst in biodiesel production using microwave irradiation
- Thermal treatment impact on the evolution of active phases in layered double hydroxide-based ZnCr photocatalysts: Photodegradation and antibacterial performance
- Preparation of silymarin-loaded zein polysaccharide core–shell nanostructures and evaluation of their biological potentials
- Preparation and characterization of composite-modified PA6 fiber for spectral heating and heat storage applications
- Preparation and electrocatalytic oxygen evolution of bimetallic phosphates (NiFe)2P/NF
- Rod-shaped Mo(vi) trichalcogenide–Mo(vi) oxide decorated on poly(1-H pyrrole) as a promising nanocomposite photoelectrode for green hydrogen generation from sewage water with high efficiency
- Green synthesis and studies on citrus medica leaf extract-mediated Au–ZnO nanocomposites: A sustainable approach for efficient photocatalytic degradation of rhodamine B dye in aqueous media
- Cellulosic materials for the removal of ciprofloxacin from aqueous environments
- The analytical assessment of metal contamination in industrial soils of Saudi Arabia using the inductively coupled plasma technology
- The effect of modified oily sludge on the slurry ability and combustion performance of coal water slurry
- Eggshell waste transformation to calcium chloride anhydride as food-grade additive and eggshell membranes as enzyme immobilization carrier
- Synthesis of EPAN and applications in the encapsulation of potassium humate
- Biosynthesis and characterization of silver nanoparticles from Cedrela toona leaf extracts: An exploration into their antibacterial, anticancer, and antioxidant potential
- Enhancing mechanical and rheological properties of HDPE films through annealing for eco-friendly agricultural applications
- Immobilisation of catalase purified from mushroom (Hydnum repandum) onto glutaraldehyde-activated chitosan and characterisation: Its application for the removal of hydrogen peroxide from artificial wastewater
- Sodium titanium oxide/zinc oxide (STO/ZnO) photocomposites for efficient dye degradation applications
- Effect of ex situ, eco-friendly ZnONPs incorporating green synthesised Moringa oleifera leaf extract in enhancing biochemical and molecular aspects of Vicia faba L. under salt stress
- Biosynthesis and characterization of selenium and silver nanoparticles using Trichoderma viride filtrate and their impact on Culex pipiens
- Photocatalytic degradation of organic dyes and biological potentials of biogenic zinc oxide nanoparticles synthesized using the polar extract of Cyperus scariosus R.Br. (Cyperaceae)
- Assessment of antiproliferative activity of green-synthesized nickel oxide nanoparticles against glioblastoma cells using Terminalia chebula
- Chlorine-free synthesis of phosphinic derivatives by change in the P-function
- Anticancer, antioxidant, and antimicrobial activities of nanoemulsions based on water-in-olive oil and loaded on biogenic silver nanoparticles
- Study and mechanism of formation of phosphorus production waste in Kazakhstan
- Synthesis and stabilization of anatase form of biomimetic TiO2 nanoparticles for enhancing anti-tumor potential
- Microwave-supported one-pot reaction for the synthesis of 5-alkyl/arylidene-2-(morpholin/thiomorpholin-4-yl)-1,3-thiazol-4(5H)-one derivatives over MgO solid base
- Screening the phytochemicals in Perilla leaves and phytosynthesis of bioactive silver nanoparticles for potential antioxidant and wound-healing application
- Graphene oxide/chitosan/manganese/folic acid-brucine functionalized nanocomposites show anticancer activity against liver cancer cells
- Nature of serpentinite interactions with low-concentration sulfuric acid solutions
- Multi-objective statistical optimisation utilising response surface methodology to predict engine performance using biofuels from waste plastic oil in CRDi engines
- Microwave-assisted extraction of acetosolv lignin from sugarcane bagasse and electrospinning of lignin/PEO nanofibres for carbon fibre production
- Biosynthesis, characterization, and investigation of cytotoxic activities of selenium nanoparticles utilizing Limosilactobacillus fermentum
- Highly photocatalytic materials based on the decoration of poly(O-chloroaniline) with molybdenum trichalcogenide oxide for green hydrogen generation from Red Sea water
- Highly efficient oil–water separation using superhydrophobic cellulose aerogels derived from corn straw
- Beta-cyclodextrin–Phyllanthus emblica emulsion for zinc oxide nanoparticles: Characteristics and photocatalysis
- Assessment of antimicrobial activity and methyl orange dye removal by Klebsiella pneumoniae-mediated silver nanoparticles
- Influential eradication of resistant Salmonella Typhimurium using bioactive nanocomposites from chitosan and radish seed-synthesized nanoselenium
- Antimicrobial activities and neuroprotective potential for Alzheimer’s disease of pure, Mn, Co, and Al-doped ZnO ultra-small nanoparticles
- Green synthesis of silver nanoparticles from Bauhinia variegata and their biological applications
- Synthesis and optimization of long-chain fatty acids via the oxidation of long-chain fatty alcohols
- Eminent Red Sea water hydrogen generation via a Pb(ii)-iodide/poly(1H-pyrrole) nanocomposite photocathode
- Green synthesis and effective genistein production by fungal β-glucosidase immobilized on Al2O3 nanocrystals synthesized in Cajanus cajan L. (Millsp.) leaf extracts
- Green stability-indicating RP-HPTLC technique for determining croconazole hydrochloride
- Green synthesis of La2O3–LaPO4 nanocomposites using Charybdis natator for DNA binding, cytotoxic, catalytic, and luminescence applications
- Eco-friendly drugs induce cellular changes in colistin-resistant bacteria
- Tangerine fruit peel extract mediated biogenic synthesized silver nanoparticles and their potential antimicrobial, antioxidant, and cytotoxic assessments
- Green synthesis on performance characteristics of a direct injection diesel engine using sandbox seed oil
- A highly sensitive β-AKBA-Ag-based fluorescent “turn off” chemosensor for rapid detection of abamectin in tomatoes
- Green synthesis and physical characterization of zinc oxide nanoparticles (ZnO NPs) derived from the methanol extract of Euphorbia dracunculoides Lam. (Euphorbiaceae) with enhanced biosafe applications
- Detection of morphine and data processing using surface plasmon resonance imaging sensor
- Effects of nanoparticles on the anaerobic digestion properties of sulfamethoxazole-containing chicken manure and analysis of bio-enzymes
- Bromic acid-thiourea synergistic leaching of sulfide gold ore
- Green chemistry approach to synthesize titanium dioxide nanoparticles using Fagonia Cretica extract, novel strategy for developing antimicrobial and antidiabetic therapies
- Green synthesis and effective utilization of biogenic Al2O3-nanocoupled fungal lipase in the resolution of active homochiral 2-octanol and its immobilization via aluminium oxide nanoparticles
- Eco-friendly RP-HPLC approach for simultaneously estimating the promising combination of pentoxifylline and simvastatin in therapeutic potential for breast cancer: Appraisal of greenness, whiteness, and Box–Behnken design
- Use of a humidity adsorbent derived from cockleshell waste in Thai fried fish crackers (Keropok)
- One-pot green synthesis, biological evaluation, and in silico study of pyrazole derivatives obtained from chalcones
- Bio-sorption of methylene blue and production of biofuel by brown alga Cystoseira sp. collected from Neom region, Kingdom of Saudi Arabia
- Synthesis of motexafin gadolinium: A promising radiosensitizer and imaging agent for cancer therapy
- The impact of varying sizes of silver nanoparticles on the induction of cellular damage in Klebsiella pneumoniae involving diverse mechanisms
- Microwave-assisted green synthesis, characterization, and in vitro antibacterial activity of NiO nanoparticles obtained from lemon peel extract
- Rhus microphylla-mediated biosynthesis of copper oxide nanoparticles for enhanced antibacterial and antibiofilm efficacy
- Harnessing trichalcogenide–molybdenum(vi) sulfide and molybdenum(vi) oxide within poly(1-amino-2-mercaptobenzene) frameworks as a photocathode for sustainable green hydrogen production from seawater without sacrificial agents
- Magnetically recyclable Fe3O4@SiO2 supported phosphonium ionic liquids for efficient and sustainable transformation of CO2 into oxazolidinones
- A comparative study of Fagonia arabica fabricated silver sulfide nanoparticles (Ag2S) and silver nanoparticles (AgNPs) with distinct antimicrobial, anticancer, and antioxidant properties
- Visible light photocatalytic degradation and biological activities of Aegle marmelos-mediated cerium oxide nanoparticles
- Physical intrinsic characteristics of spheroidal particles in coal gasification fine slag
- Exploring the effect of tea dust magnetic biochar on agricultural crops grown in polycyclic aromatic hydrocarbon contaminated soil
- Crosslinked chitosan-modified ultrafiltration membranes for efficient surface water treatment and enhanced anti-fouling performances
- Study on adsorption characteristics of biochars and their modified biochars for removal of organic dyes from aqueous solution
- Zein polymer nanocarrier for Ocimum basilicum var. purpurascens extract: Potential biomedical use
- Green synthesis, characterization, and in vitro and in vivo biological screening of iron oxide nanoparticles (Fe3O4) generated with hydroalcoholic extract of aerial parts of Euphorbia milii
- Novel microwave-based green approach for the synthesis of dual-loaded cyclodextrin nanosponges: Characterization, pharmacodynamics, and pharmacokinetics evaluation
- Bi2O3–BiOCl/poly-m-methyl aniline nanocomposite thin film for broad-spectrum light-sensing
- Green synthesis and characterization of CuO/ZnO nanocomposite using Musa acuminata leaf extract for cytotoxic studies on colorectal cancer cells (HCC2998)
- Review Articles
- Materials-based drug delivery approaches: Recent advances and future perspectives
- A review of thermal treatment for bamboo and its composites
- An overview of the role of nanoherbicides in tackling challenges of weed management in wheat: A novel approach
- An updated review on carbon nanomaterials: Types, synthesis, functionalization and applications, degradation and toxicity
- Special Issue: Emerging green nanomaterials for sustainable waste management and biomedical applications
- Green synthesis of silver nanoparticles using mature-pseudostem extracts of Alpinia nigra and their bioactivities
- Special Issue: New insights into nanopythotechnology: current trends and future prospects
- Green synthesis of FeO nanoparticles from coffee and its application for antibacterial, antifungal, and anti-oxidation activity
- Dye degradation activity of biogenically synthesized Cu/Fe/Ag trimetallic nanoparticles
- Special Issue: Composites and green composites
- Recent trends and advancements in the utilization of green composites and polymeric nanocarriers for enhancing food quality and sustainable processing
- Retraction
- Retraction of “Biosynthesis and characterization of silver nanoparticles from Cedrela toona leaf extracts: An exploration into their antibacterial, anticancer, and antioxidant potential”
- Retraction of “Photocatalytic degradation of organic dyes and biological potentials of biogenic zinc oxide nanoparticles synthesized using the polar extract of Cyperus scariosus R.Br. (Cyperaceae)”
- Retraction to “Green synthesis on performance characteristics of a direct injection diesel engine using sandbox seed oil”
Articles in the same Issue
- Research Articles
- Green polymer electrolyte and activated charcoal-based supercapacitor for energy harvesting application: Electrochemical characteristics
- Research on the adsorption of Co2+ ions using halloysite clay and the ability to recover them by electrodeposition method
- Simultaneous estimation of ibuprofen, caffeine, and paracetamol in commercial products using a green reverse-phase HPTLC method
- Isolation, screening and optimization of alkaliphilic cellulolytic fungi for production of cellulase
- Functionalized gold nanoparticles coated with bacterial alginate and their antibacterial and anticancer activities
- Comparative analysis of bio-based amino acid surfactants obtained via Diels–Alder reaction of cyclic anhydrides
- Biosynthesis of silver nanoparticles on yellow phosphorus slag and its application in organic coatings
- Exploring antioxidant potential and phenolic compound extraction from Vitis vinifera L. using ultrasound-assisted extraction
- Manganese and copper-coated nickel oxide nanoparticles synthesized from Carica papaya leaf extract induce antimicrobial activity and breast cancer cell death by triggering mitochondrial caspases and p53
- Insight into heating method and Mozafari method as green processing techniques for the synthesis of micro- and nano-drug carriers
- Silicotungstic acid supported on Bi-based MOF-derived metal oxide for photodegradation of organic dyes
- Synthesis and characterization of capsaicin nanoparticles: An attempt to enhance its bioavailability and pharmacological actions
- Synthesis of Lawsonia inermis-encased silver–copper bimetallic nanoparticles with antioxidant, antibacterial, and cytotoxic activity
- Facile, polyherbal drug-mediated green synthesis of CuO nanoparticles and their potent biological applications
- Zinc oxide-manganese oxide/carboxymethyl cellulose-folic acid-sesamol hybrid nanomaterials: A molecularly targeted strategy for advanced triple-negative breast cancer therapy
- Exploring the antimicrobial potential of biogenically synthesized graphene oxide nanoparticles against targeted bacterial and fungal pathogens
- Biofabrication of silver nanoparticles using Uncaria tomentosa L.: Insight into characterization, antibacterial activities combined with antibiotics, and effect on Triticum aestivum germination
- Membrane distillation of synthetic urine for use in space structural habitat systems
- Investigation on mechanical properties of the green synthesis bamboo fiber/eggshell/coconut shell powder-based hybrid biocomposites under NaOH conditions
- Green synthesis of magnesium oxide nanoparticles using endophytic fungal strain to improve the growth, metabolic activities, yield traits, and phenolic compounds content of Nigella sativa L.
- Estimation of greenhouse gas emissions from rice and annual upland crops in Red River Delta of Vietnam using the denitrification–decomposition model
- Synthesis of humic acid with the obtaining of potassium humate based on coal waste from the Lenger deposit, Kazakhstan
- Ascorbic acid-mediated selenium nanoparticles as potential antihyperuricemic, antioxidant, anticoagulant, and thrombolytic agents
- Green synthesis of silver nanoparticles using Illicium verum extract: Optimization and characterization for biomedical applications
- Antibacterial and dynamical behaviour of silicon nanoparticles influenced sustainable waste flax fibre-reinforced epoxy composite for biomedical application
- Optimising coagulation/flocculation using response surface methodology and application of floc in biofertilisation
- Green synthesis and multifaceted characterization of iron oxide nanoparticles derived from Senna bicapsularis for enhanced in vitro and in vivo biological investigation
- Potent antibacterial nanocomposites from okra mucilage/chitosan/silver nanoparticles for multidrug-resistant Salmonella Typhimurium eradication
- Trachyspermum copticum aqueous seed extract-derived silver nanoparticles: Exploration of their structural characterization and comparative antibacterial performance against gram-positive and gram-negative bacteria
- Microwave-assisted ultrafine silver nanoparticle synthesis using Mitragyna speciosa for antimalarial applications
- Green synthesis and characterisation of spherical structure Ag/Fe2O3/TiO2 nanocomposite using acacia in the presence of neem and tulsi oils
- Green quantitative methods for linagliptin and empagliflozin in dosage forms
- Enhancement efficacy of omeprazole by conjugation with silver nanoparticles as a urease inhibitor
- Residual, sequential extraction, and ecological risk assessment of some metals in ash from municipal solid waste incineration, Vietnam
- Green synthesis of ZnO nanoparticles using the mangosteen (Garcinia mangostana L.) leaf extract: Comparative preliminary in vitro antibacterial study
- Simultaneous determination of lesinurad and febuxostat in commercial fixed-dose combinations using a greener normal-phase HPTLC method
- A greener RP-HPLC method for quaternary estimation of caffeine, paracetamol, levocetirizine, and phenylephrine acquiring AQbD with stability studies
- Optimization of biomass durian peel as a heterogeneous catalyst in biodiesel production using microwave irradiation
- Thermal treatment impact on the evolution of active phases in layered double hydroxide-based ZnCr photocatalysts: Photodegradation and antibacterial performance
- Preparation of silymarin-loaded zein polysaccharide core–shell nanostructures and evaluation of their biological potentials
- Preparation and characterization of composite-modified PA6 fiber for spectral heating and heat storage applications
- Preparation and electrocatalytic oxygen evolution of bimetallic phosphates (NiFe)2P/NF
- Rod-shaped Mo(vi) trichalcogenide–Mo(vi) oxide decorated on poly(1-H pyrrole) as a promising nanocomposite photoelectrode for green hydrogen generation from sewage water with high efficiency
- Green synthesis and studies on citrus medica leaf extract-mediated Au–ZnO nanocomposites: A sustainable approach for efficient photocatalytic degradation of rhodamine B dye in aqueous media
- Cellulosic materials for the removal of ciprofloxacin from aqueous environments
- The analytical assessment of metal contamination in industrial soils of Saudi Arabia using the inductively coupled plasma technology
- The effect of modified oily sludge on the slurry ability and combustion performance of coal water slurry
- Eggshell waste transformation to calcium chloride anhydride as food-grade additive and eggshell membranes as enzyme immobilization carrier
- Synthesis of EPAN and applications in the encapsulation of potassium humate
- Biosynthesis and characterization of silver nanoparticles from Cedrela toona leaf extracts: An exploration into their antibacterial, anticancer, and antioxidant potential
- Enhancing mechanical and rheological properties of HDPE films through annealing for eco-friendly agricultural applications
- Immobilisation of catalase purified from mushroom (Hydnum repandum) onto glutaraldehyde-activated chitosan and characterisation: Its application for the removal of hydrogen peroxide from artificial wastewater
- Sodium titanium oxide/zinc oxide (STO/ZnO) photocomposites for efficient dye degradation applications
- Effect of ex situ, eco-friendly ZnONPs incorporating green synthesised Moringa oleifera leaf extract in enhancing biochemical and molecular aspects of Vicia faba L. under salt stress
- Biosynthesis and characterization of selenium and silver nanoparticles using Trichoderma viride filtrate and their impact on Culex pipiens
- Photocatalytic degradation of organic dyes and biological potentials of biogenic zinc oxide nanoparticles synthesized using the polar extract of Cyperus scariosus R.Br. (Cyperaceae)
- Assessment of antiproliferative activity of green-synthesized nickel oxide nanoparticles against glioblastoma cells using Terminalia chebula
- Chlorine-free synthesis of phosphinic derivatives by change in the P-function
- Anticancer, antioxidant, and antimicrobial activities of nanoemulsions based on water-in-olive oil and loaded on biogenic silver nanoparticles
- Study and mechanism of formation of phosphorus production waste in Kazakhstan
- Synthesis and stabilization of anatase form of biomimetic TiO2 nanoparticles for enhancing anti-tumor potential
- Microwave-supported one-pot reaction for the synthesis of 5-alkyl/arylidene-2-(morpholin/thiomorpholin-4-yl)-1,3-thiazol-4(5H)-one derivatives over MgO solid base
- Screening the phytochemicals in Perilla leaves and phytosynthesis of bioactive silver nanoparticles for potential antioxidant and wound-healing application
- Graphene oxide/chitosan/manganese/folic acid-brucine functionalized nanocomposites show anticancer activity against liver cancer cells
- Nature of serpentinite interactions with low-concentration sulfuric acid solutions
- Multi-objective statistical optimisation utilising response surface methodology to predict engine performance using biofuels from waste plastic oil in CRDi engines
- Microwave-assisted extraction of acetosolv lignin from sugarcane bagasse and electrospinning of lignin/PEO nanofibres for carbon fibre production
- Biosynthesis, characterization, and investigation of cytotoxic activities of selenium nanoparticles utilizing Limosilactobacillus fermentum
- Highly photocatalytic materials based on the decoration of poly(O-chloroaniline) with molybdenum trichalcogenide oxide for green hydrogen generation from Red Sea water
- Highly efficient oil–water separation using superhydrophobic cellulose aerogels derived from corn straw
- Beta-cyclodextrin–Phyllanthus emblica emulsion for zinc oxide nanoparticles: Characteristics and photocatalysis
- Assessment of antimicrobial activity and methyl orange dye removal by Klebsiella pneumoniae-mediated silver nanoparticles
- Influential eradication of resistant Salmonella Typhimurium using bioactive nanocomposites from chitosan and radish seed-synthesized nanoselenium
- Antimicrobial activities and neuroprotective potential for Alzheimer’s disease of pure, Mn, Co, and Al-doped ZnO ultra-small nanoparticles
- Green synthesis of silver nanoparticles from Bauhinia variegata and their biological applications
- Synthesis and optimization of long-chain fatty acids via the oxidation of long-chain fatty alcohols
- Eminent Red Sea water hydrogen generation via a Pb(ii)-iodide/poly(1H-pyrrole) nanocomposite photocathode
- Green synthesis and effective genistein production by fungal β-glucosidase immobilized on Al2O3 nanocrystals synthesized in Cajanus cajan L. (Millsp.) leaf extracts
- Green stability-indicating RP-HPTLC technique for determining croconazole hydrochloride
- Green synthesis of La2O3–LaPO4 nanocomposites using Charybdis natator for DNA binding, cytotoxic, catalytic, and luminescence applications
- Eco-friendly drugs induce cellular changes in colistin-resistant bacteria
- Tangerine fruit peel extract mediated biogenic synthesized silver nanoparticles and their potential antimicrobial, antioxidant, and cytotoxic assessments
- Green synthesis on performance characteristics of a direct injection diesel engine using sandbox seed oil
- A highly sensitive β-AKBA-Ag-based fluorescent “turn off” chemosensor for rapid detection of abamectin in tomatoes
- Green synthesis and physical characterization of zinc oxide nanoparticles (ZnO NPs) derived from the methanol extract of Euphorbia dracunculoides Lam. (Euphorbiaceae) with enhanced biosafe applications
- Detection of morphine and data processing using surface plasmon resonance imaging sensor
- Effects of nanoparticles on the anaerobic digestion properties of sulfamethoxazole-containing chicken manure and analysis of bio-enzymes
- Bromic acid-thiourea synergistic leaching of sulfide gold ore
- Green chemistry approach to synthesize titanium dioxide nanoparticles using Fagonia Cretica extract, novel strategy for developing antimicrobial and antidiabetic therapies
- Green synthesis and effective utilization of biogenic Al2O3-nanocoupled fungal lipase in the resolution of active homochiral 2-octanol and its immobilization via aluminium oxide nanoparticles
- Eco-friendly RP-HPLC approach for simultaneously estimating the promising combination of pentoxifylline and simvastatin in therapeutic potential for breast cancer: Appraisal of greenness, whiteness, and Box–Behnken design
- Use of a humidity adsorbent derived from cockleshell waste in Thai fried fish crackers (Keropok)
- One-pot green synthesis, biological evaluation, and in silico study of pyrazole derivatives obtained from chalcones
- Bio-sorption of methylene blue and production of biofuel by brown alga Cystoseira sp. collected from Neom region, Kingdom of Saudi Arabia
- Synthesis of motexafin gadolinium: A promising radiosensitizer and imaging agent for cancer therapy
- The impact of varying sizes of silver nanoparticles on the induction of cellular damage in Klebsiella pneumoniae involving diverse mechanisms
- Microwave-assisted green synthesis, characterization, and in vitro antibacterial activity of NiO nanoparticles obtained from lemon peel extract
- Rhus microphylla-mediated biosynthesis of copper oxide nanoparticles for enhanced antibacterial and antibiofilm efficacy
- Harnessing trichalcogenide–molybdenum(vi) sulfide and molybdenum(vi) oxide within poly(1-amino-2-mercaptobenzene) frameworks as a photocathode for sustainable green hydrogen production from seawater without sacrificial agents
- Magnetically recyclable Fe3O4@SiO2 supported phosphonium ionic liquids for efficient and sustainable transformation of CO2 into oxazolidinones
- A comparative study of Fagonia arabica fabricated silver sulfide nanoparticles (Ag2S) and silver nanoparticles (AgNPs) with distinct antimicrobial, anticancer, and antioxidant properties
- Visible light photocatalytic degradation and biological activities of Aegle marmelos-mediated cerium oxide nanoparticles
- Physical intrinsic characteristics of spheroidal particles in coal gasification fine slag
- Exploring the effect of tea dust magnetic biochar on agricultural crops grown in polycyclic aromatic hydrocarbon contaminated soil
- Crosslinked chitosan-modified ultrafiltration membranes for efficient surface water treatment and enhanced anti-fouling performances
- Study on adsorption characteristics of biochars and their modified biochars for removal of organic dyes from aqueous solution
- Zein polymer nanocarrier for Ocimum basilicum var. purpurascens extract: Potential biomedical use
- Green synthesis, characterization, and in vitro and in vivo biological screening of iron oxide nanoparticles (Fe3O4) generated with hydroalcoholic extract of aerial parts of Euphorbia milii
- Novel microwave-based green approach for the synthesis of dual-loaded cyclodextrin nanosponges: Characterization, pharmacodynamics, and pharmacokinetics evaluation
- Bi2O3–BiOCl/poly-m-methyl aniline nanocomposite thin film for broad-spectrum light-sensing
- Green synthesis and characterization of CuO/ZnO nanocomposite using Musa acuminata leaf extract for cytotoxic studies on colorectal cancer cells (HCC2998)
- Review Articles
- Materials-based drug delivery approaches: Recent advances and future perspectives
- A review of thermal treatment for bamboo and its composites
- An overview of the role of nanoherbicides in tackling challenges of weed management in wheat: A novel approach
- An updated review on carbon nanomaterials: Types, synthesis, functionalization and applications, degradation and toxicity
- Special Issue: Emerging green nanomaterials for sustainable waste management and biomedical applications
- Green synthesis of silver nanoparticles using mature-pseudostem extracts of Alpinia nigra and their bioactivities
- Special Issue: New insights into nanopythotechnology: current trends and future prospects
- Green synthesis of FeO nanoparticles from coffee and its application for antibacterial, antifungal, and anti-oxidation activity
- Dye degradation activity of biogenically synthesized Cu/Fe/Ag trimetallic nanoparticles
- Special Issue: Composites and green composites
- Recent trends and advancements in the utilization of green composites and polymeric nanocarriers for enhancing food quality and sustainable processing
- Retraction
- Retraction of “Biosynthesis and characterization of silver nanoparticles from Cedrela toona leaf extracts: An exploration into their antibacterial, anticancer, and antioxidant potential”
- Retraction of “Photocatalytic degradation of organic dyes and biological potentials of biogenic zinc oxide nanoparticles synthesized using the polar extract of Cyperus scariosus R.Br. (Cyperaceae)”
- Retraction to “Green synthesis on performance characteristics of a direct injection diesel engine using sandbox seed oil”