Abstract
Increased expression of membrane type 1-matrix metalloproteinase (MT1-MMP/MMP14) is associated with the development of many cancers. MT1-MMP may promote the entry of yes-associated protein1 (YAP1) into the nucleus by regulating the regulation of β1-integrin. The purpose of this study was to investigate the effects of MT1-MMP, β1-integrin and YAP1 on the prognosis of gliomas. The expression of proteins was detected by bioinformatics and immunohistochemistry. The relationship between three proteins and clinicopathological parameters was analyzed by the χ 2 test. Survival analysis was used to investigate the effects of three proteins on prognosis. The results showed that high expressions of MT1-MMP, β1-integrin and YAP1 were found in glioblastoma (GBM) compared with lower-grade glioma (LGG). There was a significantly positive correlation between MT1-MMP and β1-integrin (r = 0.387), MT1-MMP and YAP1 (r = 0.443), β1-integrin and YAP1 (r = 0.348). Survival analysis showed that patients with overexpression of MT1-MMP, β1-integrin and YAP1 had a worse prognosis. YAP1 expression was the independent prognostic factor for progression-free survival (PFS). There was a statistical correlation between the expression of MT1-MMP and YAP1 and isocitrate dehydrogenase 1 (IDHl) mutation. Thus, this study suggested that MT1-MMP, β1-integrin and YAP1, as tumor suppressors, are expected to be promising prognostic biomarkers and therapeutic targets for glioma patients.
1 Introduction
Glioma is the most common primary intracranial tumor. Glioma is classified into four grades (I to IV) by the World of Health Organization (WHO) [1]. Glioblastoma, which belongs to WHO IV, is the most aggressive glioma. It blurs the boundary between the tumor tissue and the surrounding normal brain, which makes it difficult to treat with all existing treatments, and the median survival time for patients with this kind of tumor is 12–15 months [2]. Different from GBM, WHO II grade and WHO III grade have a better prognosis, with an average survival of 78.1 and 37.6 months, respectively, in terms of treatment [3]. Therefore, grades II and III are considered to be lower-grade gliomas (LGG) [4,5,6,7]. More and more studies have proved that the molecular typing of glioma plays an irreplaceable role in its development, such as IDH1 [8].
The development and malignant progression of gliomas are related to its secretion of a variety of matrix metalloproteinases (MMPs) involving the degradation of extracellular matrix (ECM) components [9,10,11]. MT1-MMP, one of the most typical members of thin-film matrix metalloproteinases, not only reduces a variety of ECM components but also activates matrix metalloproteinase-2 (MMP-2). In addition, MT1-MMP plays an important role in the development and invasion of these cancers such as colorectal cancer, pancreatic cancer, breast cancer and oral squamous cell carcinoma [12,13,14,15]. Previous studies have shown that MT1-MMP is one of the most important MMP in promoting the occurrence and development of many kinds of tumors, and its expression is closely related to poor prognosis and tumor metastasis [16,17,18,19]. Recent studies have also shown that there is a direct correlation between MT1-MMP and β1-integrin. MT1-MMP accumulates at the bud tip of the invasive mammary gland, thus activating β1-integrin to promote cell invasive sprouting to coordinate interstitial invasion [20].
YAP1 is a key effector downstream of the Hippo signaling pathway, which is often activated during the growth and development of many solid tumors. It is also an important driving factor to increase the proliferation and invasion of tumor cells and tumor drug resistance [21,22,23]. The regulation of the Hippo signaling pathway is known to be mediated by phosphorylation and subcellular localization of YAP1. Activation of the Hippo signaling pathway induces phosphorylation of YAP1, which prevents translocation to the nucleus. When the Hippo signal pathway is inactivated, dephosphorylated YAP1 translocates to the nucleus and interacts with transcription factors, resulting in cell proliferation in various organ systems [24]. It has been found that the increased expression of YAP1 can promote the proliferation and migration of bladder cancer cells [25]. Numerous studies have shown that upregulation of YAP1 can induce epithelial–mesenchymal transformation (EMT), inhibit apoptosis and promote the production of tumor stem cells [26,27,28]. These concepts inform possible strategies for effectively inhibiting YAP1 activity in cancer patients, such as monotherapy and combination therapy of conventional chemotherapy, radiotherapy or immunotherapy. However, there are a few reports on the expression of YAP1 in gliomas and its correlation with MT1-MMP.
Recent reports have provided evidence of a link between the Hippo/YAP1 signaling pathway and MT1-MMP. YAP1 and MT1-MMP could cooperate to promote tumor cells invasion and metastasis. By effecting ECM remodeling, MT1-MMP regulates stem cell shape, thereby activating a β1-integrin/Rho GTPase signaling cascade and triggering the nuclear localization of the transcriptional coactivators YAP1 and TAZ. Both in vitro and in vivo, MT1-MMP as an upstream and necessary activating cofactor, loss of MT1-MMP leads to a significant decrease in the level of YAP/TAZ [29]. β1-integrin (ITGB1) is a transmembrane glycoprotein that induces the phosphorylation of focal adhesion kinase and AKT in cell growth and apoptosis [30]. β1-Integrin has a variety of functions in cell adhesion, contact and anchorage-dependent cell survival, and regulates various cellular processes including invasion, metastasis and angiogenesis. Increasing evidence suggests that β1-integrin plays a key role in the development of cancer. The increased expression of β1-integrin in a variety of human cancers, such as prostate cancer and cutaneous malignant melanoma, can promote the malignant progression and metastasis of tumors. It has also been shown that high β1-integrin expression is significantly associated with worse OS in lung cancer and breast cancer [31]. However, the related mechanism underlying MT1-MMP-and β1-integrin-mediated development of GBM is unclear.
In this study, we investigated the expression of MMPs in the TCGA and GETx databases and explored their biological roles in glioma. The target protein MT1-MMP was screened and the protein interaction network was constructed. The relationship betweenthe expression of MT1-MMP, β1-integrin and YAP1 in gliomas and prognosis was verified by GEPIA. Then, we performed an immunohistochemical experiment to detect the expression of three proteins in human gliomas paraffin tissues. The results showed that the expressions of MT1-MMP, β1-integrin and YAP1 in GBM were higher than those in LGG. These results provided a preliminary foundation for the later design of several functional tests in this group to determine whether MT1-MMP promotes progression of glioma and to evaluate the carcinogenic role of MT1-MMP in human cancer by regulating β1-integrin in glioma cells.
2 Material and methods
2.1 Tissue specimens
Paraffin blocks containing representative tumor and hyperplasia samples were selected by reviewing the hematoxylin and eosin-stained slides. The TMA was constructed from a 2 mm diameter core derived from a representative area of a formalin-fixed paraffin-embedded (FFPE) tissue block. Sample size: 214 cases of gliomas, all surgical resections were collected from July 2010 to August 2016 in the First Affiliated Hospital of Xinjiang Medical University. The resected specimens of these 214 patients were diagnosed as glioma in the pathology department based on the latest WHO standards. The WHO II and III gliomas were referred to as LGG (142 cases), whereas the WHO IV gliomas were referred to as GBM (72 cases) [5]. This study was approved by the Ethical Committee of The First Affiliated Hospital of Xinjiang Medical University (Ethics Number: K202103-07), and written informed consent was obtained from all patients.
2.2 Reagents and immunohistochemistry
Immunochemistry was performed manually as follows: rabbit monoclonal anti-MT1-MMP antibody (ab51074, 1:50, abcam), rabbit monoclonal anti-β1-integrin (ab179471, 1:500, abcam) and rabbit monoclonal anti-YAP1 (ab52771, 1:100, abcam) were purchased for immunohistochemistry test. On the day before the experiment, tissue chips were put into the 37°C oven for the night, softening the wax layer that covered the tissue chip. After dewaxing and dehydration, the tissue chip was put in a boiling EDTA repair solution (pH 8.0) and boiled for 24 min. After 30 min of cooling at room temperature, endogenous peroxidase was added and incubated for 20 min at room temperature. Then, it was rinsed with phosphate-buffered saline 3 times (3 min/time) and added to a 37°C oven for 1 h. Afterward, goat antimouse secondary antibody (PV-6002, Zsbio) was dropped and placed in a 37°C oven for 30 min. Finally, the DAB staining solution was added to obtain a brown color.
2.3 Scoring of immunostaining
For each protein, immunohistochemical expression was semi-quantitatively assessed using the immunoreactive score (IRS) as previously described [5], and the cellular localization of immunostaining (membranous, cytoplasmic or nuclear) was also noted. The percentage of positive cells was scored as a four-tiered scale: 0 (staining absent), 1 (≤10%), 2 (10–50%) and 3 (>50%) [5]. The intensity of staining was assessed as follows: 0 (no staining), 1 (weak intensity), 2 (moderate intensity) and 3 (strong intensity). The IRS can range from 0 to 9 and two classes were defined for the study for MT1-MMP: negative to weak staining (corresponding to IRS = 0–4) versus moderate to strong staining (corresponding to IRS = 6–9). For YAP1 and β1-integrin: negative to weak staining (corresponding to IRS = 0–3) versus moderate to strong staining (corresponding to IRS = 4–9).
2.4 Bioinformatics analysis
Gene Expression Profiling Interactive Analysis (GEPIA; http://gepia.cancer-pku.cn/inde x.html) is a publicly available interactive web server for analyzing gene expression data from cancer and normal tissues from The Cancer Genome Atlas (TCGA) and genotype-tissue expression (GTEx, https://commonfund.nih.gov/gtex) projects. While TCGA only contained five normal brain tissue samples, in this study, we chose the GETx database as the control. The integrated RESM FPKM data and phenotype data (Cohort: TCGA Target GTEX) on UCSC XENA were downloaded to make a heatmap. The UCSC XENA project was used to re-analyze the expression data of TCGA and GTEx with the same standard flow, reducing the batch effect that may have been caused by different data processing methods such as software and parameters as much as possible. FPKM is a gene expression data format that corrects the depth of sequencing. GEPIA was used to analyze the prevalence of a gene signature in TCGA and GTEx samples. The mean value of the log2(TPM + 1) was used as the signature score, and users could calculate the correlation between two signatures and check their prognostic impact [32]. The results of expression of the protein MT1-MMP, β1-integrin, and YAP1 and the correlation of three proteins in glioma were further verified by GEPIA to verify the expression of central proteins and OS in this study. The protein–protein interaction (PPI) network relevant to MT1-MMP was constructed by the STRINIG database (http://string-db.org/cgi/input.pl). The PPI network was constructed under the condition of: network type: full string network type; the meaning of network edges: evidence; minimum required interaction score: 0.40.
2.5 Statistical analysis
Significance was established with Graphpad Prism V.8.0 software and SPSS V.23.0 (IBM). The statistical correlations of immunohistochemical expressions and clinical and pathological features of patients were analyzed using the Pearson’s correlation and χ 2 test. The relationship between MT1-MMP, β1-integrin and YAP1 was determined by Pearson’s correlation and χ 2 test analysis. Pearson’s correlation was used to determine the association between the expression of MT1-MMP, YAP1, and β1-integrin in LGG with molecular characteristics. PFS was the time interval (months) between the date of surgery and the first tumor progression (or death, or the latest follow-up). OS was defined as the period between the date of initial surgery and the date of the last follow-up or death. Univariate and multivariate analyses were used to determine the survival analysis by the Kaplan–Meier method and Cox-hazard regression analysis. All p-values were two-sided, with p < 0.05 considered statistically significant.
3 Results
3.1 Bioinformatics analysis
To investigate the expression of the MMP family in glioma development, we investigated the mRNA expression levels of the nine MMP family members (MMP1–29) in The Cancer Genome Atlas (TCGA) and GETx database. The heat map in Figure 1a shows the expression levels of MMP family members in gliomas. The expression of each family member in the glioma tissue and normal brain tissue is shown in Figure 1b. Among these MMP families, MT1-MMP was one of the most expressed proteins in gliomas.

MMP family expression in microarray datasets. (a) Heatmap depicting the MMP expression in microarray datasets (sample: 171 cases GBM + 523 cases LGG + 5 cases normal brain tissue from TCGA database and 1092 cases normal brain tissue from GETx). (b) Relative MMP expression in database. Mann–Whitney U test is used to calculate the p value. Red indicates high expression; white indicates medium expression; blue indicates lower expression. GBM, glioblastomas; LGG, lower-grade gliomas. ns, not statistically significant. ILF3, MMP4. *p < 0.05, ***p < 0.001.
Next, to ensure the reliability of the identification of the MT1-MMP, β1-integrin, and YAP1 genes, we validated these via the GEPIA using TCGA and GTEx databases. Boxplots of the hub genes associated with glioma were downloaded from the GEPIA. The results demonstrated that were significantly overexpressed in GBM and LGG tissues in comparison with normal brain tissues (Figure 2a–c). Patient survival analysis performed via the GEPIA using TCGA and GTEx databases demonstrated that the high expression levels of three proteins were correlated with an unfavorable prognosis in glioma patients (p < 0.05) (Figure 2d–f). GEPIA further verified the association of the three proteins in glioma (Figure 3a–c). The PPI network contains 33 genes, with a margin of 181 and a local clustering coefficient of 0.817, indicating significant enrichment of PPI and statistically significant difference (p < 0.001) (Figure 3d).

Expression levels and prognostic values of MT1-MMP, β1-integrin and YAP1 in glioma by GEPIA. (a–c) Expression levels of MT1-MMP, β1-integrin and YAP1 in glioma and normal brain tissues. (d–f) Prognostic values of MT1-MMP, β1-integrin and YAP1 in patients with glioma. HR: hazard ratio. GBM: glioblastoma, LGG: lower-grade glioma. *p < 0.05.

(a) The correlation of MT1-MMP and YAP1 in glioma by GEPIA: a positive correlation between expressions of the two genes (p < 0.001, r = 0.42). (b) The correlation of β1-integrin and YAP1 in glioma by GEPIA: a positive correlation between expressions of the two genes (p < 0.001, r = 0.35). (c) The correlation of MT1-MMP and β1-integrin in glioma by GEPIA: a positive correlation between expressions of the two genes (p < 0.001, r = 0.74). (d) The protein–protein interaction (PPI) network relevant to MT1-MMP (MMP14) was constructed by the STRINIG database (p < 0.001).
3.2 Clinicopathological characteristics
In our study, the clinicopathological characteristics of 214 glioma patients are presented in Table 1. Our cohort consisted of LGG (66.4%) and GBM (33.6%). The numbers of patients diagnosed as each pathological stage were as follows: WHO II 93 (43.5%), WHO III 49 (22.9%), and WHO IV 72 (33.6%). There were 124 men and 90 women, with a median age of 47 ± 14.5 years (range: 5–77), including 105 Han and 109 others; mainly included cases with tumor size > 3 cm (82.7%), origination in frontal lobes (49.5%), tumor total resection (74.8%), no recurrence (58.9%), postoperative radio-chemotherapy (47.7%), Ki-67 expression ≥ 10% (57.9%), and P53 expression ≥ 5% (42.5%). IDH1 mutation status was available for 142 LGG patients, among whom 117 (83.4%) were wild-type and 25 (17.6%) harbored IDH1 mutation. Ages (p < 0.001), tumor location (p < 0.001), selection of the operation method (p < 0.001), recur (p < 0.001), Ki-67 (p < 0.001) and P53 (p < 0.001) between patients with LGG and GBM reached statistical significance.
Clinicopathological characteristics of all glioma patients
Clinicopathologic characteristics | Total (214) | LGG (II + III, n = 142) | GBM ( n = 72) | p-value |
---|---|---|---|---|
Gender | ||||
Male | 124(124/214,57.9%) | 82(82/124,38.3%) | 42(42/124,19.6%) | 0.527 |
Female | 90(90/214,42.1%) | 60(60/90,28.0%) | 30(30/90,14.0%) | |
Age | ||||
<50 | 120(120/214,56.1%) | 99(99/120,46.3%) | 21(42/120,9.8%) | <0.001* |
≥50 | 94(94/214,43.9%) | 43(43/94,20.1%) | 51(51/94,23.8%) | |
Ethnic | ||||
Han | 105(105/214,49.1%) | 73(73/105,34.1%) | 32 (32/105,15.0%) | 0.207 |
Other | 109(109/214,50.9%) | 69(69/109,32.2%) | 40(40/109,18.7%) | |
Tumor location | ||||
Frontal | 106(106/214,49.5%) | 57(57/106,26.6%) | 49(49/106,22.9%) | <0.001* |
Other | 108(108/214,50.5%) | 85(85/108,39.7%) | 23(23/108,10.7%) | |
Tumor size | ||||
<3 cm | 37(37/214,17.3%) | 25(25/37,11.7%) | 12(12/37,5.6%) | 0.513 |
≥3 cm | 177(177/214,82.7%) | 117(117/177,54.7%) | 60(60/177,28.0%) | |
Selection of operation method | ||||
Total resect | 160(160/214,74.8%) | 117(117/160,54.7%) | 43(43/160,20.1%) | <0.001* |
Partial resect | 54(54/214,25.2%) | 25 (25/54,11.7%) | 29(29/54,13.6%) | |
Postoperative radiochemotherapy | ||||
Yes | 102(102/214,47.7%) | 63(63/102,29.4%) | 39(39/102,18.2%) | 0.113 |
No | 112(112/214,52.3%) | 79(79/112,36.9%) | 33(33/112,15.4%) | |
Recur | ||||
Yes | 88(88/214,41.1%) | 19(19/88,8.9%) | 69(69/88,32.2%) | <0.001* |
No | 126(126/214,58.9%) | 123(123/126,57.5%) | 3(3/126,1.4%) | |
Ki-67 | ||||
<10% | 90(90/214,42.1%) | 84(84/90,39.3%) | 6(6/90,2.8%) | <0.001* |
≥10% | 124(124/214,57.9%) | 58(58/124,27.1%) | 66(66/124,30.8%) | |
P53 | ||||
<5% | 123(123/214,57.5%) | 95(95/123,44.4%) | 28(28/123,13.1%) | <0.001* |
≥5% | 91(91/214,42.5%) | 47(47/91,22.0%) | 44(44/91,20.6%) |
Statistical analyses were performed by the Pearson χ 2 test. *p < 0.05 was considered statistically significant. GBM, glioblastomas; LGG, lower-grade gliomas.
3.3 Association between the expression levels of MT1-MMP, β1-integrin, YAP1 and clinicopathological characteristics
The expression of MT1-MMP is localized on the membrane and cytoplasm of tumor cells. β1-Integrin is normally expressed in the cell cytoplasm. As YAP1 is a transcriptional coactivator that shuttles between the cytoplasm and nucleus, we evaluated both its cytoplasmic and nuclear expression in the human glioma specimens (Figure 4a–f). In all cohorts (LGG and GBM), there were 121 (56.5%) positive cases and 93 (56.5%) negative cases of MT1-MMP. Further, in 72 GBM and 142 LGG (II and III), we found that the cases with MT1-MMP positive expression only accounted for 68 (47.9%) in LGG and 53 (73.6%) in GBM (Figure 5a). The high expression of MT1-MMP was prominent in GBM, increasing the aggressiveness of the tumor. Statistical analysis revealed that MT1-MMP expression was related to age (p = 0.003), WHO grade (p = 0.001), recurring (p = 0.010) and P53 expression (p = 0.035). There were 107 (50.0%) cases of positive expression of β1-integrin and 107 (50.0%) cases of negative. Further, we found that the cases with β1-integrin positive expression only accounted for 55 (38.7%) in LGG and 52 (72.2%) in GBM (Figure 5b). The results revealed that β1-integrin expression was related to WHO grade (p = 0.001) and recurring (p = 0.001) and not to P53 expression (p = 0.128). YAP1 was positive in 134 cases and negative in 80 cases of glioma. Further, we found that the cases with YAP1 positive expression only accounted for 74 (52.1%) in LGG and 60 (83.3%) in GBM (Figure 5c). Statistical analysis revealed that YAP1 expression was related to age (p = 0.009), ethnic (p = 0.029), WHO grade (p = 0.001), recurring (p = 0.004) and P53 expression (p = 0.001) in glioma (Tables 2 and 3). The association between the positive expression of the three proteins and the clinicopathological parameters was assessed in 214 patients with glioma. Compared with LGG, the expression levels of MT1-MMP, β1-integrin and YAP1 were higher in the tissues of patients with GBM.

Immunohistochemistry analysis of MT1-MMP, β1-integrin and YAP1 expression in glioma tissues. (a) MT1-MMP expression in LGG (200×). (b) β1-integrin expression in LGG (200×). (c) YAP1 expression in LGG (200×). (d) MT1-MMP expression in GBM (200×). (e) β1-integrin expression in GBM (200×). (f) YAP1 expression in GBM (200×). GBM, glioblastomas; LGG, lower-grade gliomas.

The expression levels of MT1-MMP, β1-integrin, YAP1 and Ki-67 in glioma. (a) MT1-MMP high expression in 47.9% LGG and 73.6% GBM. (b) β1-integrin high expression in 38.7% LGG and 72.2% GBM. (c) YAP1 high expression in 52.1% LGG and 83.3% GBM. (d) Ki-67 high expression in 20.1% MT1-MMP negative and 37.9% MT1-MMP positive. (e) Ki-67 high expression in 18.2% β1-integrin negative and 39.7% β1-integrin positive. (f) Ki-67 high expression in 24.8% YAP1 negative and 33.2% YAP1 positive. GBM, glioblastomas; LGG, lower-grade gliomas.
Correlation between MT1-MMP, β1-integrin, YAP1 expression and clinicopathological parameters in glioma
Clinicopathologic characteristics | MT1-MMP | β1-integrin | YAP1 | ||||||
---|---|---|---|---|---|---|---|---|---|
Negative | Positive | Negative | Positive | Negative | Positive | ||||
Gender | |||||||||
Male | 54(25.2%) | 70(32.7%) | 0.975 | 60(28.0%) | 64(29.9%) | 0.580 | 43(20.1%) | 81(37.9%) | 0.337 |
Female | 39(18.2%) | 51(23.8%) | 47(22.0%) | 43(29.9%) | 37(17.3%) | 53(24.8%) | |||
Age | |||||||||
<50 | 63(29.4%) | 57(26.6%) | 0.003* | 65(30.4%) | 55(25.7%) | 0.168 | 54(25.2%) | 66(30.8%) | 0.009* |
≥50 | 30(14.0%) | 64(29.9%) | 42(19.6%) | 52(24.3%) | 26(12.1%) | 68(31.8%) | |||
Ethnic | |||||||||
Han | 51(23.8%) | 54(25.2%) | 0.139 | 52(24.3%) | 53(24.8%) | 0.891 | 47(22.0%) | 58(27.1%) | 0.029* |
Other | 42(19.6%) | 67(31.3%) | 55(25.7%) | 54(25.2%) | 33(15.4%) | 76 (35.5%) | |||
Tumor location | |||||||||
Frontal | 44(20.6%) | 62(29.0%) | 0.569 | 50(23.4%) | 56(26.2%) | 0.412 | 37(17.3%) | 69(32.2%) | 0.458 |
Other | 49(22.9%) | 59(27.6%) | 57(26.6%) | 51(23.8%) | 43 (20.1%) | 65(30.4%) | |||
Tumor size | |||||||||
<3 cm | 13(6.1%) | 24(11.2%) | 0.261 | 20(9.3%) | 17(7.9%) | 0.588 | 14(6.5%) | 23(10.7%) | 0.950 |
≥3 cm | 80(37.4%) | 97(45.3%) | 87(40.7%) | 90(42.1%) | 79 (36.9%) | 98 (45.8%) | |||
WHO grade | |||||||||
WHO II | 52(24.3%) | 41(19.2%) | 0.001* | 61(28.5%) | 32(15.0%) | 0.001* | 43(20.1%) | 50(23.4%) | 0.001* |
WHO III | 22(10.3%) | 27(12.6%) | 26(12.1%) | 23(10.7%) | 25(11.7%) | 24(11.2%) | |||
WHO IV | 19(8.9%) | 53(24.8%) | 20(9.3%) | 52(24.3%) | 12(5.6%) | 60(28.0%) | |||
Selection of operation method | |||||||||
Total resect | 74(34.6%) | 86(40.2%) | 0.156 | 86(40.2%) | 74(34.6%) | 0.393 | 63(29.4%) | 97(45.3%) | 0.300 |
Partial resect | 19(8.9%) | 35(16.4%) | 21(9.8%) | 33(15.4%) | 17(7.9%) | 37(17.3%) | |||
Postoperative radiochemotherapy | |||||||||
Yes | 44(20.6%) | 58(27.1%) | 0.928 | 48(22.4%) | 54(25.2%) | 0.412 | 38(17.8%) | 64(29.9%) | 0.970 |
No | 49(22.9%) | 63(29.4%) | 59(27.6%) | 53(24.8%) | 42(19.6%) | 70(32.7%) | |||
Recur | |||||||||
Yes | 29(13.6%) | 59(27.6%) | 0.010* | 79(36.9%) | 47(22.0%) | 0.001* | 23(10.7%) | 65(30.4%) | 0.004* |
No | 64(29.9%) | 62(29.0%) | 28(13.1%) | 60(28.0%) | 57(26.6%) | 69(32.2%) | |||
P53 | |||||||||
<5% | 61(28.5%) | 62(29.0%) | 0.035* | 67(31.3%) | 56(26.2%) | 0.128 | 59(27.6%) | 64(29.9%) | 0.001* |
≥5% | 32(15.0%) | 59(27.6%) | 40(18.7%) | 51(23.8%) | 21(9.8%) | 70(32.7%) |
Statistical analyses were performed by the Pearson χ 2 test. * p < 0.05 was considered statistically significant.
Staining results of different antibodies on the glioma specimens (n = 214)
Proteins | Grade | Negative | Positive | p-value |
---|---|---|---|---|
MT1-MMP | LGG | 74(74/142,52.1%) | 68(68/142,47.9%) | 0.001* |
GBM | 19(19/72,26.4%) | 53(53/72,73.6%) | ||
β1-Integrin | LGG | 87(87/142,61.3%) | 55(55/142,38.7%) | 0.001* |
GBM | 20(20/72,27.8%) | 52(52/72,72.2%) | ||
YAP1 | LGG | 68(68/142,47.9%) | 74(74/142,52.1%) | 0.001* |
GBM | 12(12/72,16.7%) | 60(60/72,83.3%) |
p values were calculated by Pearson’s χ 2 test (two sided). *p < 0.05 indicates statistical significance. GBM, glioblastomas; LGG, lower-grade gliomas.
In order to further explain the role of MT1-MMP, β1-integrin, YAP1 in glioma, we examined the relationship between three proteins and Ki-67 (Table 4) (Figure 5d–f). The final results showed that there was statistical significance for the correlation between MT1-MMP (r = 0.208, p = 0.002), YAP1 (r = 0.144, p = 0.035), β1-integrin (r = 0.170, p = 0.013) with Ki-67.
Correlation between MT1-MMP, YAP1, β1-integrin and Ki-67
Proteins | Expression | Ki-67 | r | p-value | |
---|---|---|---|---|---|
+ | − | ||||
MT1-MMP | + | 81(37.9%) | 40(18.7%) | 0.208 | 0.002* |
− | 43(20.1%) | 50(23.4%) | |||
YAP1 | + | 85(39.7%) | 49(22.9%) | 0.144 | 0.035* |
− | 39(18.2%) | 41(19.2%) | |||
β1-Integrin | + | 71(33.2%) | 36(16.8%) | 0.170 | 0.013* |
− | 53(24.8%) | 54(25.2%) |
*p < 0.05 indicates statistical significance.
3.4 The relationship between MT1-MMP, β1-integrin and YAP1 in glioma
In 214 cases of glioma, Pearson’s correlation analysis was performed to clarify the associations among MT1-MMP, β1-integrin and YAP1. The result showed that the expression of YAP1 was positively correlated with MT1-MMP (p = 0.001, r = 0.443) and β1-integrin (p = 0.001, r = 0.348). At the same time, the expression of MT1-MMP was correlated with β1-integrin (p = 0.001, r = 0.387) (Table 5).
Correlation between MT1-MMP, YAP1 and β1-integrin
Protein | Expression | + | − | r | p-value |
---|---|---|---|---|---|
YAP1 | |||||
MT1-MMP | + | 98(45.8%) | 23(10.7%) | 0.443 | <0.001* |
− | 36(16.8%) | 57(26.6%) | |||
β1-Integrin | + | 85(39.7%) | 22(10.3%) | 0.348 | <0.001* |
− | 49(22.9%) | 58(27.1%) | |||
MT1-MMP | |||||
β1-Integrin | + | 81(37.9%) | 26(12.1%) | 0.387 | <0.001* |
− | 40(18.7%) | 67(31.3%) |
* p < 0.05 indicates statistical significance.
3.5 The expression of MT1-MMP, YAP1, and β1-integrin in LGG with molecular characteristics
For 142 LGG, there were 117 cases of IDH1 mutantion (IDH1 mut) and 25 cases of IDH1 wild type (IDH1 wt), including 62 cases 1p19q codeletion and 80 cases non-codeletion. Next, we examined the relationship among MT1-MMP, YAP1 and β1-integrin with molecular typing (Table 6). IDH1 wt showed worse OS of glioma patients (p = 0.045) (Figure 6a). The results showed that the expression of MT1-MMP (r = 0.260, p = 0.002) and YAP1 (r = 0.221, p = 0.008) were correlated with IDH1 statistically (Figure 6b and c).
The expression of MT1-MMP, β1-integrin and YAP1 in LGG according to molecular characteristics
IDH 1 | r | p-value | 1p19q | r | p-value | ||||
---|---|---|---|---|---|---|---|---|---|
Proteins | mut | wt | non-codel | codel | |||||
MT1-MMP | Negative | 68(68/117,47.9%) | 6(6/25,4.2%) | 0.260 | 0.002* | 42(42/80,29.6%) | 32(32/62,22.5%) | 0.009 | 0.917 |
Positive | 49(49/117,34.5%) | 19(19/25,13.4%) | 38(38/80,26.8%) | 30(30/62,21.1%) | |||||
YAP1 | Negative | 62(62/117,43.7%) | 6(6/25,4.2%) | 0.221 | 0.008* | 36(36/80,25.4%) | 32(32/62,22.5%) | −0.066 | 0.438 |
Positive | 55(55/117,38.7%) | 19(19/25,13.4%) | 44(44/80,31.0%) | 30(30/62,21.1%) | |||||
β1-integrin | Negative | 74(74/117,52.1%) | 13(13/25,9.2%) | 0.088 | 0.298 | 47(47/80,33.1%) | 40(40/62,28.2%) | −0.059 | 0.488 |
Positive | 43(43/117,30.3%) | 10(10/25,8.5%) | 33(33/80,23.2%) | 22(22/62,15.5%) |
*p < 0.05 indicates statistical significance.

Expression of IDH1 in LGG and their relationship with prognosis. (a) Patients with IDH1 mutation had a longer OS time. (b) MT1-MMP was expressed significantly differently between IDH1mut and IDH1wt. (c) YAP1 was expressed differently between IDH1mut and IDH1wt. IDH1mut, IDH1 mutation; IDH1wt, IDH1wild type; LGG, lower-grade gliomas; OS, overall survival.
3.6 Prognostic significance: univariate and multivariate analyses of OS and PFS
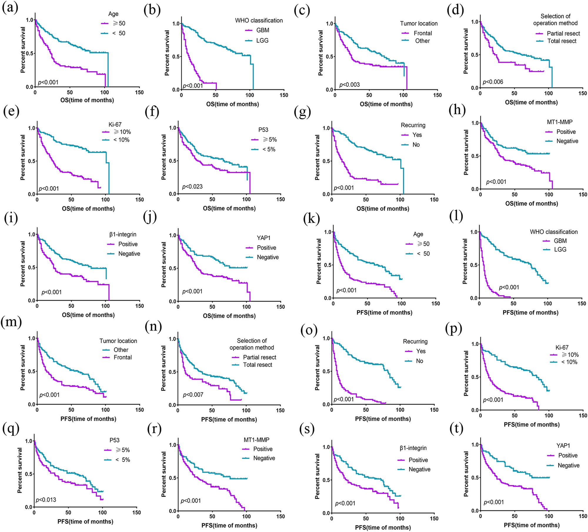
To assess the prognostic significance of the expression of three proteins and the clinical characteristics in glioma patients, we constructed univariate and multivariate analyses of OS and PFS. Survival analysis was conducted in the total cohort (Table 7). For 214 cases of glioma, Univariate analysis by the Kaplan–Meier survival analysis showed that the following prognostic factors exhibited an effect on OS (Figure 7): age (χ 2 = 28.456, p < 0.001), tumor location (χ 2 = 9.051, p = 0.003), WHO classification (χ 2 = 129.325, p < 0.001), selection of operation method (χ 2 = 7.418, p = 0.006), recurring (χ 2 = 59.024, p < 0.001), Ki-67 (χ 2 = 46.002, p < 0.001), p53 (χ 2 = 5.177, p = 0.023), MT1-MMP (χ 2 = 11.647, p = 0.001), β1-integrin (χ 2 = 11.392, p = 0.001), and YAP1 (χ 2 = 12.464, p = 0.001). Multivariate analysis (Cox’s proportional hazards regression model) on OS showed that the possible independent prognostic factors for OS were as follows: age (HR: 1.479; 95 % CI: 0.999–2.189; p = 0.050), WHO classification (HR: 4.978; 95 % CI: 3.091–8.017; p < 0.001), and Ki-67 (HR: 2.241; 95 % CI: 1.371–3.665; p = 0.001). In univariate survival analysis of PFS, the prognostic factors were the same as those of OS, and in multivariate analysis of PFS, WHO classification (HR: 3.392; 95 % CI: 1.01–6.388; p < 0.001), recurring (HR: 2.217; 95 % CI: 1.227–4.009; p = 0.008), Ki-67 (HR: 1.875; 95 % CI: 1.217–2.889; p = 0.004) and YAP1 expression (HR: 1.634; 95 % CI: 1.113–2.397; p = 0.012) were independent prognostic factor for PFS.
Univariable and multivariable analysis for overall survival and progression-free survival
Variable | Overall survival | Progression-free survival | ||||||
---|---|---|---|---|---|---|---|---|
Univariable | Multivariable | Univariable | Multivariable | |||||
χ 2 | p-value | HR (95% CI) | p-value | χ 2 | p-value | HR (95% CI) | p-value | |
Gender | ||||||||
(Female vs male) | 2.219 | 0.136 | — | — | 0.385 | 0.535 | — | — |
Age | ||||||||
(<50 vs ≥50) | 28.456 | <0.001* | 1.479(0.999–2.189) | 0.050* | 32.467 | <0.001* | — | — |
Ethnic | ||||||||
(Han vs other) | 0.089 | 0.765 | — | — | 0.084 | 0.772 | — | — |
Tumor location | ||||||||
(Frontal vs other) | 9.051 | 0.003* | — | — | 13.980 | <0.001* | — | — |
Tumor size | ||||||||
(<3 cm vs ≥3 cm) | 0.174 | 0.677 | — | — | 0.000 | 0.998 | — | — |
WHO classification | ||||||||
(II & III vs IV) | 129.325 | <0.001* | 4.978(3.091–8.017) | <0.001* | 169.283 | <0.001* | 3.392(1.01–6.388) | <0.001* |
Selection of operation method | ||||||||
(Total resect vs partial resect) | 7.418 | 0.006* | — | — | 7.291 | 0.007* | — | — |
Postoperative radiochemotherapy | ||||||||
(Yes vs no) | 0.005 | 0.946 | 2.207 | 0.137 | — | — | ||
Recur | ||||||||
(Yes vs no) | 59.024 | <0.001* | — | — | 112.214 | <0.001* | 2.217(1.227–4.009) | 0.008* |
Ki-67 | ||||||||
(<10% vs ≥10%) | 46.002 | <0.001* | 2.068(1.275–3.354) | 0.003* | 51.104 | <0.001* | 1.875(1.217–2.889) | 0.004* |
P53 | ||||||||
(<5% vs ≥5%) | 5.177 | 0.023* | — | — | 6.207 | 0.013* | — | — |
MT1-MMP expression | ||||||||
(Positive vs negative) | 11.647 | 0.001* | — | — | 14.801 | <0.001* | — | — |
β1-Integrin expression | ||||||||
(Positive vs negative) | 11.392 | 0.001* | — | — | 10.845 | 0.001* | — | — |
YAP1 expression | ||||||||
(Positive vs negative) | 12.464 | 0.001* | — | — | 19.979 | <0.001* | 1.634(1.113–2.397) | 0.012* |
Survival analysis was conducted by univariate survival analysis (Kaplan–Meier method) and multivariate analysis (Cox regression analysis model). *p < 0.05 indicates statistical significance.

Kaplan–Meier survival analysis for overall survival and progression-free survival. (a–j) Results of univariate survival analysis by the Kaplan–Meier method on OS (p < 0.05). (k–t) Results of univariate survival analysis by the Kaplan–Meier method on PFS (p < 0.05).
4 Discussion
Regardless of grade, gliomas oppress the normal brain tissue during growth, with high mortality, high morbidity and poor prognosis, especially in the most aggressive glioblastoma. The change in the expression levels of certain factors is the characteristic feature of glioma and the prerequisite for tumor development. Therefore, it is very important to clarify the molecular mechanism of glioma progression and screen molecular markers to prevent malignant progression. In this study, TCGA and GETx studied LGG and GBM. We screened the MMPs family in the TCGA and GETx databases and found that MT1-MMP was one of the most highly expressed MMPs in gliomas. According to Tang et al. [29], MT1-MMP could activate β1-integrin to promote the entry of YAP and TAZ into the nucleus, thus affecting the SSC lineage commitment.
Many studies have shown that MT1-MMP plays an important role in angiogenesis, EMT and tumor immunity [33,34,35]. Therefore, defining the role of MT1-MMP in tumor development remains a key interest in targeted chemotherapy resistance therapy. MT1-MMP can be used as the main vector of matrix remodeling in malignant tumor invasion, tumor metastasis and poor prognosis. Increased mRNA and protein levels of MT1-MMP are detected in nasopharyngeal carcinoma, which regulates the expression of genes related to migration, invasion and EMT of nasopharyngeal carcinoma cells [36]. Through the transwell co-culture system, it was found that astrocytes could induce MT1-MMP activity and enhance the migration and invasion of tumor cells [37], and Chen et al. carried out immunohistochemical experiments on human glioma specimens. The results showed that the group with high expression of MT1-MMP was positively correlated with advanced WHO grade (p < 0.001) and low survival rate (p < 0.001) [37]. Our present study was consistent with the results reported in previous studies.
β1-Integrin expression is highly upregulated in glioblastoma and has been shown to drive tumor progression, invasion, and drug resistance to multiple therapies [38]. MT1-MMP is located in the adhesion complex containing β1-integrin [39]. MT1-MMP is the upstream regulator of β1-integrin. Activating β1-integrin can promote the invasive sprouting phenotype of melanoma cells [40]. MT1-MMP has been shown to activate β1-integrin through collagen processing [29]. Charles et al. found that MT1-MMP can activate β1-integrin to increase the resistance of melanoma to BRAFi by co-transducing the parents and resistant cells expressing shMT1-MMP with the construction of self-clustering β1-integrin mutant [41]. Grafinger found that activation of β1-integrin could induce the phosphorylation and internalization of MT1-MMP and increase the expression level of MT1-MMP, leading to the invasiveness and the formation of invadopium in vitro [42]. In the present study, the β1-integrin overexpression group exhibited a poor prognosis based on the OS ratios. However, multivariate survival analyses for β1-integrin and poor prognosis exhibited no statistically significant difference. The difference between the aforementioned results may be associated with the individual differences and sample size of the subjects. Moreover, our result demonstrated a significant correlation between the expression of MT1-MMP and β1-integrin (p = 0.001). This is the first time that there is a statistical correlation between MT1-MMP and β1-integrin in gliomas. Although it provides limited significance, it provides a reference value for the diagnosis and prognosis of gliomas to some extent.
Hippo signaling plays a significant role in the progression of some glioma cancers and their prognosis to chemotherapy [5,43]. YAP1 is the core effect factor of this pathway and the focus of tumor development at present. We found that high expression of YAP1 was negatively correlated with the WHO grade and survival rate, indicating that YAP1 may contribute to tumor proliferation and invasion. The nuclear localization of YAP is affected by MT1-MMP [29]. On firm substrates, YAP/TAZ enters the nucleus and binds to the PROX-1 promoter to inhibit transcription of PROX-1 and its targets MT1-MMP [44,45]. Conversely, cytoplasmic degradation of YAP/TAZ enhances the transcription of PROX-1, including its targets MT1-MMP [46]. In addition, Christopher et al. found that YAP can regulate direct matrix remodeling by osteocytes, and conditional YAP deletion can lead to decreased mRNA expression of MT1-MMP [47]. This shows that MT1-MMP and YAP1 may regulate and influence each other. In this study, our results only showed that there was a significant correlation between MT1-MMP and YAP1. To the best of our knowledge, the correlation between MT1-MMP and YAP1 has not been reported previously and the results shown here warrant future investigation. The deficiency was that no more functional experiments had been carried out to further explore the regulation mechanism between them. Although this conclusion is superficial, it lays a theoretical foundation for our later functional experiments.
Studies have shown that silencing β1-integrin can suppress the expression and intracellular translocation of YAP1, a downstream effector of β1-integrin, and induce radioresistance via YAP1-induced EMT of NSCLC cells [48]. Yamashiro et al. found that knockdown of β1-integrin could inhibit nuclear shuttling of YAP [49]. As we have discussed above, several studies have demonstrated the correlation between MT1-MMP, β1-integrin and YAP1, respectively, but there are a few studies on the three proteins in gliomas. Our study demonstrated a significant correlation between the three proteins in gliomas for the first time but only at the histological level. Whether this conclusion cannot infer that there is a carcinogenic signal pathway of MT1-MMP/β1-integrin/YAP1 in gliomas needs further study. We are planning to conduct experiments in the later stage to further confirm this. Additionally, our results showed that Ki-67, as a marker of cell proliferation, had a positive correlation with three proteins. It was suggested that MT1-MMP, β1-integrin and YAP1 might promote the proliferation of glioma cells and eventually lead to the malignant progression of gliomas.
Glioma cells, but not microglia cells, can promote cytoplasmic matrix remodeling by producing MT1-MMP, thereby promoting tumor tissue infiltration into the surrounding brain tissue, and in diffuse gliomas, the majority of MT-MMP-producing (including MT1-MMP) cells were IDH-mutated tumor cells. In other words, tumor cells are the main source of MT1-MMP in gliomas with diffuse IDH mutations, which provides a basic theoretical basis for this study to analyze the relationship between MT1-MMP and IDH1 at the histological level [50]. However, other studies have shown that Iba1 immunoreactive microglia can express 28–91% of MT1-MMP in diffuse gliomas and glioblastomas [51]. Our results showed a significant correlation between MT1-MMP and IDH1, consistent with that reported by Thome et al. [50]. Whether glioma cells or microglia produce MT1-MMP needs further study in this group. Guichet et al. found that the expression level of YAP1 in IDHwt tumors was higher than that in IDHmut tumors, showing a lower level of methylation. This result could explain the expression of YAP1 between IDHmut and IDHwt [5]. Shuang et al. found that YAP1 was a new molecular target of IDH1 R132H/WT by using the “single base editing” technique in human diffusion astroglioma. It suggested that YAP1 was downregulated by about 50% in IDH1 R132H/WT cells, but the methylation level of YAP1 had not been changed. They also identified the signal transduction network of the YAP1 pathway in IDH1 R132H/WT cells, and the results showed that YAP1 mediated the antiproliferation effect of IDH1 R132H/WT through NOTCH [52]. Our results showed a statistically significant correlation between YAP1 and IDH1. This result was consistent with previous studies [5,53]. So far, no research had found any relationship between β1-integrin and IDH1, and our study also showed that there was no significant correlation between them. This needs further research. In summary, this suggested that MT1-MMP and YAP1 may be a prognostic factor and therapeutic target by affecting the molecular typing of glioma. However, our results do not account for the statistical relationship between three proteins and 1p19q. MT1-MMP and YAP1 may affect the IDH1 molecular typing of LGG, although further experimental verification was needed.
These results showed that the independent factor that can predict short OS and PFS in the total glioma cohort was WHO grade. Besides, age was the independent prognostic factor for OS. The expression level of YAP1 and recurring could also predict the PFS in glioma. These data provided rich evidence that YAP1 could be used as an independent prognostic and diagnostic marker for glioma and could be used to assess the survival of patients with glioma. It was more conducive to accurately predict the prognosis and survival time of patients and the conclusions were more comprehensive and specific among different clinicopathological parameters. By comparison, we can predict the prognosis and survival of glioma patients with different clinicopathological parameters. And, in the future, there will be more research on the carcinogenic role of YAP1 in glioma, which is expected to achieve targeted personalized treatment of glioma patients with YAP1.
In summary, our analysis not only broadens understanding of the carcinogenic roles of MT1-MMP, β1-integrin and YAP1. They may be involved in the occurrence and development of glioma through related metabolism, which has a certain reference value for judging the prognosis of glioma. MT1-MMP, β1-integrin and YAP1 may be effective molecular markers for diagnosing and predicting tumor development. Whether YAP1 can be used as targets for the treatment of glioma cancer remains to be further studied in this group.
Acknowledgements
Not applicable.
-
Funding information: This study was supported by the grant from “State Key Laboratory of Pathogenesis, Prevention and Treatment of High Incidence Diseases in Central Asia, Xinjiang Medical University”; “State Key Laboratory of Pathogenesis, Prevention and Treatment of High Incidence Diseases in Central Asia Fund” (SKL-HIDCA-2020-JZ1).
-
Conflict of interest: The authors report no declaration of interest.
-
Data availability statement: The datasets used and/or analyzed during the current study are available from the corresponding author on reasonable request.
References
[1] Louis DN, Perry A, Wesseling P, Brat DJ, Cree IA, Figarella-Branger D, et al. The 2021 WHO classification of tumors of the central nervous system: a summary. Neuro Oncol. 2021;23(8):1231–51.10.1093/neuonc/noab106Search in Google Scholar PubMed PubMed Central
[2] Shi Y, Geng D, Zhang Y, Zhao M, Wang Y, Jiang Y, et al. LATS2 inhibits malignant behaviors of glioma cells via inactivating YAP. J Mol Neurosci. 2019;68(1):38–48.10.1007/s12031-019-1262-zSearch in Google Scholar PubMed
[3] Yang P, Wang Y, Peng X, You G, Zhang W, Yan W, et al. Management and survival rates in patients with glioma in China (2004-2010): a retrospective study from a single-institution. J Neurooncol. 2013;113(2):259–66.10.1007/s11060-013-1103-9Search in Google Scholar PubMed
[4] Burdette BE, Esparza AN, Zhu H, Wang S. Gasdermin D in pyroptosis. Acta Pharm Sin B. 2021;11(9):2768–82.10.1016/j.apsb.2021.02.006Search in Google Scholar PubMed PubMed Central
[5] Guichet PO, Masliantsev K, Tachon G, Petropoulos C, Godet J, Larrieu D, et al. Fatal correlation between YAP1 expression and glioma aggressiveness: clinical and molecular evidence. J Pathol. 2018;246(2):205–16.10.1002/path.5133Search in Google Scholar PubMed
[6] Gómez Vecchio T, Neimantaite A, Corell A, Bartek J Jr, Jensdottir M, Reinertsen I, et al. Lower-grade gliomas: an epidemiological voxel-based analysis of location and proximity to eloquent regions. Front Oncol. 2021;11:748229.10.3389/fonc.2021.748229Search in Google Scholar PubMed PubMed Central
[7] Fujimoto K, Arita H, Satomi K, Yamasaki K, Matsushita Y, Nakamura T, et al. TERT promoter mutation status is necessary and sufficient to diagnose IDH-wildtype diffuse astrocytic glioma with molecular features of glioblastoma. Acta Neuropathol. 2021;142(2):323–38.10.1007/s00401-021-02337-9Search in Google Scholar PubMed
[8] Parsons DW, Jones S, Zhang X, Lin JC, Leary RJ, Angenendt P, et al. An integrated genomic analysis of human glioblastoma multiforme. Science. 2008;321(5897):1807–12.10.1126/science.1164382Search in Google Scholar PubMed PubMed Central
[9] Knapinska AM, Fields GB. The expanding role of MT1-MMP in cancer progression. Pharmaceuticals (Basel). 2019;12(2):77.10.3390/ph12020077Search in Google Scholar PubMed PubMed Central
[10] Sakamoto T, Seiki M. Integrated functions of membrane-type 1 matrix metalloproteinase in regulating cancer malignancy: beyond a proteinase. Cancer Sci. 2017;108(6):1095–100.10.1111/cas.13231Search in Google Scholar PubMed PubMed Central
[11] Wolf K, Te Lindert M, Krause M, Alexander S, Te Riet J, Willis AL, et al. Physical limits of cell migration: control by ECM space and nuclear deformation and tuning by proteolysis and traction force. J Cell Biol. 2013;201(7):1069–84.10.1083/jcb.201210152Search in Google Scholar PubMed PubMed Central
[12] Hillebrand LE, Wickberg SM, Gomez-Auli A, Follo M, Maurer J, Busch H, et al. MMP14 empowers tumor-initiating breast cancer cells under hypoxic nutrient-depleted conditions. FASEB J. 2019;33(3):4124–40.10.1096/fj.201801127RSearch in Google Scholar PubMed
[13] Wang H, Wang X, Xu L, Lin Y, Zhang J, Cao H. Identification of genomic alterations and associated transcriptomic profiling reveal the prognostic significance of MMP14 and PKM2 in patients with pancreatic cancer. Aging (Albany NY). 2020;12(18):18676–92.10.18632/aging.103958Search in Google Scholar PubMed PubMed Central
[14] Claesson-Welsh L. How the matrix metalloproteinase MMP14 contributes to the progression of colorectal cancer. J Clin Invest. 2020;130(3):1093–5.10.1172/JCI135239Search in Google Scholar PubMed PubMed Central
[15] Yang CC, Zhu LF, Xu XH, Ning TY, Ye JH, Liu LK. Membrane type 1 matrix metalloproteinase induces an epithelial to mesenchymal transition and cancer stem cell-like properties in SCC9 cells. BMC Cancer. 2013;13:171.10.1186/1471-2407-13-171Search in Google Scholar PubMed PubMed Central
[16] Thakur V, Bedogni B. The membrane tethered matrix metalloproteinase MT1-MMP at the forefront of melanoma cell invasion and metastasis. Pharmacol Res. 2016;111:17–22.10.1016/j.phrs.2016.05.019Search in Google Scholar PubMed
[17] Sabeh F, Ota I, Holmbeck K, Birkedal-Hansen H, Soloway P, Balbin M, et al. Tumor cell traffic through the extracellular matrix is controlled by the membrane-anchored collagenase MT1-MMP. J Cell Biol. 2004;167(4):769–81.10.1083/jcb.200408028Search in Google Scholar PubMed PubMed Central
[18] Takino T, Miyamori H, Watanabe Y, Yoshioka K, Seiki M, Sato H. Membrane type 1 matrix metalloproteinase regulates collagen-dependent mitogen-activated protein/extracellular signal-related kinase activation and cell migration. Cancer Res. 2004;64(3):1044–9.10.1158/0008-5472.CAN-03-1843Search in Google Scholar
[19] Dong Y, Chen G, Gao M, Tian X. Increased expression of MMP14 correlates with the poor prognosis of Chinese patients with gastric cancer. Gene. 2015;563(1):29–34.10.1016/j.gene.2015.03.003Search in Google Scholar PubMed
[20] Mori H, Lo AT, Inman JL, Alcaraz J, Ghajar CM, Mott JD, et al. Transmembrane/cytoplasmic, rather than catalytic, domains of Mmp14 signal to MAPK activation and mammary branching morphogenesis via binding to integrin beta1. Development. 2013;140(2):343–52.10.1242/dev.084236Search in Google Scholar PubMed PubMed Central
[21] Meng Z, Moroishi T, Guan KL. Mechanisms of Hippo pathway regulation. Genes Dev. 2016;30(1):1–17.10.1101/gad.274027.115Search in Google Scholar PubMed PubMed Central
[22] Overholtzer M, Zhang J, Smolen GA, Muir B, Li W, Sgroi DC, et al. Transforming properties of YAP, a candidate oncogene on the chromosome 11q22 amplicon. Proc Natl Acad Sci U S A. 2006;103(33):12405–10.10.1073/pnas.0605579103Search in Google Scholar PubMed PubMed Central
[23] Yu FX, Zhao B, Guan KL. Hippo pathway in organ size control, tissue homeostasis, and cancer. Cell. 2015;163(4):811–28.10.1016/j.cell.2015.10.044Search in Google Scholar PubMed PubMed Central
[24] Yu FX, Meng Z, Plouffe SW, Guan KL. Hippo pathway regulation of gastrointestinal tissues. Annu Rev Physiol. 2015;77:201–27.10.1146/annurev-physiol-021014-071733Search in Google Scholar PubMed
[25] Li S, Yu Z, Chen SS, Li F, Lei CY, Chen XX, et al. The YAP1 oncogene contributes to bladder cancer cell proliferation and migration by regulating the H19 long noncoding RNA. Urol Oncol. 2015;33(10):427 e421-410–427.e10.10.1016/j.urolonc.2015.06.003Search in Google Scholar PubMed
[26] Kim J, Jang G, Sim SH, Park IH, Kim K, Park C. SMARCA4 depletion induces cisplatin resistance by activating YAP1-mediated epithelial-to-mesenchymal transition in triple-negative breast cancer. Cancers (Basel). 2021;13(21):5474.10.3390/cancers13215474Search in Google Scholar PubMed PubMed Central
[27] Pastushenko I, Mauri F, Song Y, de Cock F, Meeusen B, Swedlund B, et al. Fat1 deletion promotes hybrid EMT state, tumour stemness and metastasis. Nature. 2021;589(7842):448–55.10.1038/s41586-020-03046-1Search in Google Scholar PubMed PubMed Central
[28] Oh SH, Swiderska-Syn M, Jewell ML, Premont RT, Diehl AM. Liver regeneration requires Yap1-TGFbeta-dependent epithelial-mesenchymal transition in hepatocytes. J Hepatol. 2018;69(2):359–67.10.1016/j.jhep.2018.05.008Search in Google Scholar PubMed PubMed Central
[29] Tang Y, Rowe RG, Botvinick EL, Kurup A, Putnam AJ, Seiki M, et al. MT1-MMP-dependent control of skeletal stem cell commitment via a beta1-integrin/YAP/TAZ signaling axis. Dev Cell. 2013;25(4):402–16.10.1016/j.devcel.2013.04.011Search in Google Scholar PubMed PubMed Central
[30] Zhang Y, Gong Y, Hu D, Zhu P, Wang N, Zhang Q, et al. Nuclear SIPA1 activates integrin beta1 promoter and promotes invasion of breast cancer cells. Oncogene. 2015;34(11):1451–62.10.1038/onc.2014.36Search in Google Scholar PubMed
[31] Sun Q, Zhou C, Ma R, Guo Q, Huang H, Hao J, et al. Prognostic value of increased integrin-beta 1 expression in solid cancers: a meta-analysis. Onco Targets Ther. 2018;11:1787–99.10.2147/OTT.S155279Search in Google Scholar PubMed PubMed Central
[32] Tang Z, Kang B, Li C, Chen T, Zhang Z. GEPIA2: an enhanced web server for large-scale expression profiling and interactive analysis. Nucleic Acids Res. 2019;47(W1):W556–60.10.1093/nar/gkz430Search in Google Scholar PubMed PubMed Central
[33] Djediai S, Gonzalez Suarez N, El Cheikh-Hussein L, Rodriguez Torres S, Gresseau L, Dhayne S, et al. MT1-MMP cooperates with TGF-beta receptor-mediated signaling to trigger SNAIL and induce epithelial-to-mesenchymal-like transition in U87 glioblastoma cells. Int J Mol Sci. 2021;22(23):13006.10.3390/ijms222313006Search in Google Scholar PubMed PubMed Central
[34] Li M, Li S, Zhou L, Yang L, Wu X, Tang B, et al. Immune infiltration of MMP14 in pan cancer and its prognostic effect on tumors. Front Oncol. 2021;11:717606.10.3389/fonc.2021.717606Search in Google Scholar PubMed PubMed Central
[35] Kang H, Hong Z, Zhong M, Klomp J, Bayless KJ, Mehta D, et al. Piezo1 mediates angiogenesis through activation of MT1-MMP signaling. Am J Physiol Cell Physiol. 2019;316(1):C92–C103.10.1152/ajpcell.00346.2018Search in Google Scholar PubMed PubMed Central
[36] Yan T, Lin Z, Jiang J, Lu S, Chen M, Que H, et al. MMP14 regulates cell migration and invasion through epithelial-mesenchymal transition in nasopharyngeal carcinoma. Am J Transl Res. 2015;7(5):950–8.Search in Google Scholar
[37] Chen W, Xia T, Wang D, Huang B, Zhao P, Wang J, et al. Human astrocytes secrete IL-6 to promote glioma migration and invasion through upregulation of cytomembrane MMP14. Oncotarget. 2016;7(38):62425–38.10.18632/oncotarget.11515Search in Google Scholar PubMed PubMed Central
[38] Nwagwu CD, Immidisetti AV, Bukanowska G, Vogelbaum MA, Carbonell AM. Convection-enhanced delivery of a first-in-class anti-beta1 integrin antibody for the treatment of high-grade glioma utilizing real-time imaging. Pharmaceutics. 2020;13(1):40.10.3390/pharmaceutics13010040Search in Google Scholar PubMed PubMed Central
[39] Woskowicz AM, Weaver SA, Shitomi Y, Ito N, Itoh Y. MT-LOOP-dependent localization of membrane type I matrix metalloproteinase (MT1-MMP) to the cell adhesion complexes promotes cancer cell invasion. J Biol Chem. 2013;288(49):35126–37.10.1074/jbc.M113.496067Search in Google Scholar PubMed PubMed Central
[40] Pekkonen P, Alve S, Balistreri G, Gramolelli S, Tatti-Bugaeva O, Paatero I, et al. Lymphatic endothelium stimulates melanoma metastasis and invasion via MMP14-dependent Notch3 and beta1-integrin activation. Elife. 2018;7:7.10.7554/eLife.32490Search in Google Scholar PubMed PubMed Central
[41] Marusak C, Thakur V, Li Y, Freitas JT, Zmina PM, Thakur VS, et al. Targeting extracellular matrix remodeling restores BRAF inhibitor sensitivity in BRAFi-resistant melanoma. Clin Cancer Res. 2020;26(22):6039–50.10.1158/1078-0432.CCR-19-2773Search in Google Scholar PubMed PubMed Central
[42] Grafinger OR, Gorshtein G, Stirling T, Geddes-McAlister J, Coppolino MG. Inhibition of beta1 integrin induces its association with MT1-MMP and decreases MT1-MMP internalization and cellular invasiveness. Cell Signal. 2021;83:109984.10.1016/j.cellsig.2021.109984Search in Google Scholar PubMed
[43] Strepkos D, Markouli M, Papavassiliou KA, Papavassiliou AG, Piperi C. Emerging roles for the YAP/TAZ transcriptional regulators in brain tumour pathology and targeting options. Neuropathol Appl Neurobiol. 2021;48:12762.10.1111/nan.12762Search in Google Scholar PubMed
[44] Cho H, Kim J, Ahn JH, Hong YK, Mäkinen T, Lim DS, et al. YAP and TAZ negatively regulate Prox1 during developmental and pathologic lymphangiogenesis. Circ Res. 2019;124(2):225–42.10.1161/CIRCRESAHA.118.313707Search in Google Scholar PubMed
[45] Gramolelli S, Cheng J, Martinez-Corral I, Vähä-Koskela M, Elbasani E, Kaivanto E, et al. PROX1 is a transcriptional regulator of MMP14. Sci Rep. 2018;8(1):9531.10.1038/s41598-018-27739-wSearch in Google Scholar PubMed PubMed Central
[46] Alderfer L, Russo E, Archilla A, Coe B, Hanjaya-Putra D. Matrix stiffness primes lymphatic tube formation directed by vascular endothelial growth factor-C. FASEB J. 2021;35(5):e21498.10.1096/fj.202002426RRSearch in Google Scholar PubMed PubMed Central
[47] Kegelman CD, Coulombe JC, Jordan KM, Horan DJ, Qin L, Robling AG, et al. YAP and TAZ mediate osteocyte perilacunar/canalicular remodeling. J Bone Miner Res. 2020;35(1):196–210.10.1002/jbmr.3876Search in Google Scholar PubMed PubMed Central
[48] Li Y, Sun C, Tan Y, Zhang H, Li Y, Zou H. ITGB1 enhances the radioresistance of human non-small cell lung cancer cells by modulating the DNA damage response and YAP1-induced epithelial-mesenchymal transition. Int J Biol Sci. 2021;17(2):635–50.10.7150/ijbs.52319Search in Google Scholar PubMed PubMed Central
[49] Yamashiro Y, Thang BQ, Ramirez K, Shin SJ, Kohata T, Ohata S, et al. Matrix mechanotransduction mediated by thrombospondin-1/integrin/YAP in the vascular remodeling. Proc Natl Acad Sci U S A. 2020;117(18):9896–905.10.1073/pnas.1919702117Search in Google Scholar PubMed PubMed Central
[50] Thome I, Lacle R, Voß A, Bortolussi G, Pantazis G, Schmidt A, et al. Neoplastic cells are the major source of MT-MMPs in IDH1-mutant glioma, thus enhancing tumor-cell intrinsic brain infiltration. Cancers (Basel). 2020;12(9):2456.10.3390/cancers12092456Search in Google Scholar PubMed PubMed Central
[51] Markovic DS, Vinnakota K, Chirasani S, Synowitz M, Raguet H, Stock K, et al. Gliomas induce and exploit microglial MT1-MMP expression for tumor expansion. Proc Natl Acad Sci U S A. 2009;106(30):12530–5.10.1073/pnas.0804273106Search in Google Scholar PubMed PubMed Central
[52] Wei S, Wang J, Oyinlade O, Ma D, Wang S, Kratz L, et al. Heterozygous IDH1(R132H/WT) created by “single base editing” inhibits human astroglial cell growth by downregulating YAP. Oncogene. 2018;37(38):5160–74.10.1158/1538-7445.AM2018-531Search in Google Scholar
[53] Sang W, Xue J, Su LP, Gulinar A, Wang Q, Zhai YY, et al. Expression of YAP1 and pSTAT3-S727 and their prognostic value in glioma. J Clin Pathol. 2021;74(8):513–21.10.1136/jclinpath-2020-206868Search in Google Scholar PubMed
© 2022 Yangyang Zhai et al., published by De Gruyter
This work is licensed under the Creative Commons Attribution 4.0 International License.
Articles in the same Issue
- Research Articles
- AMBRA1 attenuates the proliferation of uveal melanoma cells
- A ceRNA network mediated by LINC00475 in papillary thyroid carcinoma
- Differences in complications between hepatitis B-related cirrhosis and alcohol-related cirrhosis
- Effect of gestational diabetes mellitus on lipid profile: A systematic review and meta-analysis
- Long noncoding RNA NR2F1-AS1 stimulates the tumorigenic behavior of non-small cell lung cancer cells by sponging miR-363-3p to increase SOX4
- Promising novel biomarkers and candidate small-molecule drugs for lung adenocarcinoma: Evidence from bioinformatics analysis of high-throughput data
- Plasmapheresis: Is it a potential alternative treatment for chronic urticaria?
- The biomarkers of key miRNAs and gene targets associated with extranodal NK/T-cell lymphoma
- Gene signature to predict prognostic survival of hepatocellular carcinoma
- Effects of miRNA-199a-5p on cell proliferation and apoptosis of uterine leiomyoma by targeting MED12
- Does diabetes affect paraneoplastic thrombocytosis in colorectal cancer?
- Is there any effect on imprinted genes H19, PEG3, and SNRPN during AOA?
- Leptin and PCSK9 concentrations are associated with vascular endothelial cytokines in patients with stable coronary heart disease
- Pericentric inversion of chromosome 6 and male fertility problems
- Staple line reinforcement with nebulized cyanoacrylate glue in laparoscopic sleeve gastrectomy: A propensity score-matched study
- Retrospective analysis of crescent score in clinical prognosis of IgA nephropathy
- Expression of DNM3 is associated with good outcome in colorectal cancer
- Activation of SphK2 contributes to adipocyte-induced EOC cell proliferation
- CRRT influences PICCO measurements in febrile critically ill patients
- SLCO4A1-AS1 mediates pancreatic cancer development via miR-4673/KIF21B axis
- lncRNA ACTA2-AS1 inhibits malignant phenotypes of gastric cancer cells
- circ_AKT3 knockdown suppresses cisplatin resistance in gastric cancer
- Prognostic value of nicotinamide N-methyltransferase in human cancers: Evidence from a meta-analysis and database validation
- GPC2 deficiency inhibits cell growth and metastasis in colon adenocarcinoma
- A pan-cancer analysis of the oncogenic role of Holliday junction recognition protein in human tumors
- Radiation increases COL1A1, COL3A1, and COL1A2 expression in breast cancer
- Association between preventable risk factors and metabolic syndrome
- miR-29c-5p knockdown reduces inflammation and blood–brain barrier disruption by upregulating LRP6
- Cardiac contractility modulation ameliorates myocardial metabolic remodeling in a rabbit model of chronic heart failure through activation of AMPK and PPAR-α pathway
- Quercitrin protects human bronchial epithelial cells from oxidative damage
- Smurf2 suppresses the metastasis of hepatocellular carcinoma via ubiquitin degradation of Smad2
- circRNA_0001679/miR-338-3p/DUSP16 axis aggravates acute lung injury
- Sonoclot’s usefulness in prediction of cardiopulmonary arrest prognosis: A proof of concept study
- Four drug metabolism-related subgroups of pancreatic adenocarcinoma in prognosis, immune infiltration, and gene mutation
- Decreased expression of miR-195 mediated by hypermethylation promotes osteosarcoma
- LMO3 promotes proliferation and metastasis of papillary thyroid carcinoma cells by regulating LIMK1-mediated cofilin and the β-catenin pathway
- Cx43 upregulation in HUVECs under stretch via TGF-β1 and cytoskeletal network
- Evaluation of menstrual irregularities after COVID-19 vaccination: Results of the MECOVAC survey
- Histopathologic findings on removed stomach after sleeve gastrectomy. Do they influence the outcome?
- Analysis of the expression and prognostic value of MT1-MMP, β1-integrin and YAP1 in glioma
- Optimal diagnosis of the skin cancer using a hybrid deep neural network and grasshopper optimization algorithm
- miR-223-3p alleviates TGF-β-induced epithelial-mesenchymal transition and extracellular matrix deposition by targeting SP3 in endometrial epithelial cells
- Clinical value of SIRT1 as a prognostic biomarker in esophageal squamous cell carcinoma, a systematic meta-analysis
- circ_0020123 promotes cell proliferation and migration in lung adenocarcinoma via PDZD8
- miR-22-5p regulates the self-renewal of spermatogonial stem cells by targeting EZH2
- hsa-miR-340-5p inhibits epithelial–mesenchymal transition in endometriosis by targeting MAP3K2 and inactivating MAPK/ERK signaling
- circ_0085296 inhibits the biological functions of trophoblast cells to promote the progression of preeclampsia via the miR-942-5p/THBS2 network
- TCD hemodynamics findings in the subacute phase of anterior circulation stroke patients treated with mechanical thrombectomy
- Development of a risk-stratification scoring system for predicting risk of breast cancer based on non-alcoholic fatty liver disease, non-alcoholic fatty pancreas disease, and uric acid
- Tollip promotes hepatocellular carcinoma progression via PI3K/AKT pathway
- circ_0062491 alleviates periodontitis via the miR-142-5p/IGF1 axis
- Human amniotic fluid as a source of stem cells
- lncRNA NONRATT013819.2 promotes transforming growth factor-β1-induced myofibroblastic transition of hepatic stellate cells by miR24-3p/lox
- NORAD modulates miR-30c-5p-LDHA to protect lung endothelial cells damage
- Idiopathic pulmonary fibrosis telemedicine management during COVID-19 outbreak
- Risk factors for adverse drug reactions associated with clopidogrel therapy
- Serum zinc associated with immunity and inflammatory markers in Covid-19
- The relationship between night shift work and breast cancer incidence: A systematic review and meta-analysis of observational studies
- LncRNA expression in idiopathic achalasia: New insight and preliminary exploration into pathogenesis
- Notoginsenoside R1 alleviates spinal cord injury through the miR-301a/KLF7 axis to activate Wnt/β-catenin pathway
- Moscatilin suppresses the inflammation from macrophages and T cells
- Zoledronate promotes ECM degradation and apoptosis via Wnt/β-catenin
- Epithelial-mesenchymal transition-related genes in coronary artery disease
- The effect evaluation of traditional vaginal surgery and transvaginal mesh surgery for severe pelvic organ prolapse: 5 years follow-up
- Repeated partial splenic artery embolization for hypersplenism improves platelet count
- Low expression of miR-27b in serum exosomes of non-small cell lung cancer facilitates its progression by affecting EGFR
- Exosomal hsa_circ_0000519 modulates the NSCLC cell growth and metastasis via miR-1258/RHOV axis
- miR-455-5p enhances 5-fluorouracil sensitivity in colorectal cancer cells by targeting PIK3R1 and DEPDC1
- The effect of tranexamic acid on the reduction of intraoperative and postoperative blood loss and thromboembolic risk in patients with hip fracture
- Isocitrate dehydrogenase 1 mutation in cholangiocarcinoma impairs tumor progression by sensitizing cells to ferroptosis
- Artemisinin protects against cerebral ischemia and reperfusion injury via inhibiting the NF-κB pathway
- A 16-gene signature associated with homologous recombination deficiency for prognosis prediction in patients with triple-negative breast cancer
- Lidocaine ameliorates chronic constriction injury-induced neuropathic pain through regulating M1/M2 microglia polarization
- MicroRNA 322-5p reduced neuronal inflammation via the TLR4/TRAF6/NF-κB axis in a rat epilepsy model
- miR-1273h-5p suppresses CXCL12 expression and inhibits gastric cancer cell invasion and metastasis
- Clinical characteristics of pneumonia patients of long course of illness infected with SARS-CoV-2
- circRNF20 aggravates the malignancy of retinoblastoma depending on the regulation of miR-132-3p/PAX6 axis
- Linezolid for resistant Gram-positive bacterial infections in children under 12 years: A meta-analysis
- Rack1 regulates pro-inflammatory cytokines by NF-κB in diabetic nephropathy
- Comprehensive analysis of molecular mechanism and a novel prognostic signature based on small nuclear RNA biomarkers in gastric cancer patients
- Smog and risk of maternal and fetal birth outcomes: A retrospective study in Baoding, China
- Let-7i-3p inhibits the cell cycle, proliferation, invasion, and migration of colorectal cancer cells via downregulating CCND1
- β2-Adrenergic receptor expression in subchondral bone of patients with varus knee osteoarthritis
- Possible impact of COVID-19 pandemic and lockdown on suicide behavior among patients in Southeast Serbia
- In vitro antimicrobial activity of ozonated oil in liposome eyedrop against multidrug-resistant bacteria
- Potential biomarkers for inflammatory response in acute lung injury
- A low serum uric acid concentration predicts a poor prognosis in adult patients with candidemia
- Antitumor activity of recombinant oncolytic vaccinia virus with human IL2
- ALKBH5 inhibits TNF-α-induced apoptosis of HUVECs through Bcl-2 pathway
- Risk prediction of cardiovascular disease using machine learning classifiers
- Value of ultrasonography parameters in diagnosing polycystic ovary syndrome
- Bioinformatics analysis reveals three key genes and four survival genes associated with youth-onset NSCLC
- Identification of autophagy-related biomarkers in patients with pulmonary arterial hypertension based on bioinformatics analysis
- Protective effects of glaucocalyxin A on the airway of asthmatic mice
- Overexpression of miR-100-5p inhibits papillary thyroid cancer progression via targeting FZD8
- Bioinformatics-based analysis of SUMOylation-related genes in hepatocellular carcinoma reveals a role of upregulated SAE1 in promoting cell proliferation
- Effectiveness and clinical benefits of new anti-diabetic drugs: A real life experience
- Identification of osteoporosis based on gene biomarkers using support vector machine
- Tanshinone IIA reverses oxaliplatin resistance in colorectal cancer through microRNA-30b-5p/AVEN axis
- miR-212-5p inhibits nasopharyngeal carcinoma progression by targeting METTL3
- Association of ST-T changes with all-cause mortality among patients with peripheral T-cell lymphomas
- LINC00665/miRNAs axis-mediated collagen type XI alpha 1 correlates with immune infiltration and malignant phenotypes in lung adenocarcinoma
- The perinatal factors that influence the excretion of fecal calprotectin in premature-born children
- Effect of femoral head necrosis cystic area on femoral head collapse and stress distribution in femoral head: A clinical and finite element study
- Does the use of 3D-printed cones give a chance to postpone the use of megaprostheses in patients with large bone defects in the knee joint?
- lncRNA HAGLR modulates myocardial ischemia–reperfusion injury in mice through regulating miR-133a-3p/MAPK1 axis
- Protective effect of ghrelin on intestinal I/R injury in rats
- In vivo knee kinematics of an innovative prosthesis design
- Relationship between the height of fibular head and the incidence and severity of knee osteoarthritis
- lncRNA WT1-AS attenuates hypoxia/ischemia-induced neuronal injury during cerebral ischemic stroke via miR-186-5p/XIAP axis
- Correlation of cardiac troponin T and APACHE III score with all-cause in-hospital mortality in critically ill patients with acute pulmonary embolism
- LncRNA LINC01857 reduces metastasis and angiogenesis in breast cancer cells via regulating miR-2052/CENPQ axis
- Endothelial cell-specific molecule 1 (ESM1) promoted by transcription factor SPI1 acts as an oncogene to modulate the malignant phenotype of endometrial cancer
- SELENBP1 inhibits progression of colorectal cancer by suppressing epithelial–mesenchymal transition
- Visfatin is negatively associated with coronary artery lesions in subjects with impaired fasting glucose
- Treatment and outcomes of mechanical complications of acute myocardial infarction during the Covid-19 era: A comparison with the pre-Covid-19 period. A systematic review and meta-analysis
- Neonatal stroke surveillance study protocol in the United Kingdom and Republic of Ireland
- Oncogenic role of TWF2 in human tumors: A pan-cancer analysis
- Mean corpuscular hemoglobin predicts the length of hospital stay independent of severity classification in patients with acute pancreatitis
- Association of gallstone and polymorphisms of UGT1A1*27 and UGT1A1*28 in patients with hepatitis B virus-related liver failure
- TGF-β1 upregulates Sar1a expression and induces procollagen-I secretion in hypertrophic scarring fibroblasts
- Antisense lncRNA PCNA-AS1 promotes esophageal squamous cell carcinoma progression through the miR-2467-3p/PCNA axis
- NK-cell dysfunction of acute myeloid leukemia in relation to the renin–angiotensin system and neurotransmitter genes
- The effect of dilution with glucose and prolonged injection time on dexamethasone-induced perineal irritation – A randomized controlled trial
- miR-146-5p restrains calcification of vascular smooth muscle cells by suppressing TRAF6
- Role of lncRNA MIAT/miR-361-3p/CCAR2 in prostate cancer cells
- lncRNA NORAD promotes lung cancer progression by competitively binding to miR-28-3p with E2F2
- Noninvasive diagnosis of AIH/PBC overlap syndrome based on prediction models
- lncRNA FAM230B is highly expressed in colorectal cancer and suppresses the maturation of miR-1182 to increase cell proliferation
- circ-LIMK1 regulates cisplatin resistance in lung adenocarcinoma by targeting miR-512-5p/HMGA1 axis
- LncRNA SNHG3 promoted cell proliferation, migration, and metastasis of esophageal squamous cell carcinoma via regulating miR-151a-3p/PFN2 axis
- Risk perception and affective state on work exhaustion in obstetrics during the COVID-19 pandemic
- lncRNA-AC130710/miR-129-5p/mGluR1 axis promote migration and invasion by activating PKCα-MAPK signal pathway in melanoma
- SNRPB promotes cell cycle progression in thyroid carcinoma via inhibiting p53
- Xylooligosaccharides and aerobic training regulate metabolism and behavior in rats with streptozotocin-induced type 1 diabetes
- Serpin family A member 1 is an oncogene in glioma and its translation is enhanced by NAD(P)H quinone dehydrogenase 1 through RNA-binding activity
- Silencing of CPSF7 inhibits the proliferation, migration, and invasion of lung adenocarcinoma cells by blocking the AKT/mTOR signaling pathway
- Ultrasound-guided lumbar plexus block versus transversus abdominis plane block for analgesia in children with hip dislocation: A double-blind, randomized trial
- Relationship of plasma MBP and 8-oxo-dG with brain damage in preterm
- Identification of a novel necroptosis-associated miRNA signature for predicting the prognosis in head and neck squamous cell carcinoma
- Delayed femoral vein ligation reduces operative time and blood loss during hip disarticulation in patients with extremity tumors
- The expression of ASAP3 and NOTCH3 and the clinicopathological characteristics of adult glioma patients
- Longitudinal analysis of factors related to Helicobacter pylori infection in Chinese adults
- HOXA10 enhances cell proliferation and suppresses apoptosis in esophageal cancer via activating p38/ERK signaling pathway
- Meta-analysis of early-life antibiotic use and allergic rhinitis
- Marital status and its correlation with age, race, and gender in prognosis of tonsil squamous cell carcinomas
- HPV16 E6E7 up-regulates KIF2A expression by activating JNK/c-Jun signal, is beneficial to migration and invasion of cervical cancer cells
- Amino acid profiles in the tissue and serum of patients with liver cancer
- Pain in critically ill COVID-19 patients: An Italian retrospective study
- Immunohistochemical distribution of Bcl-2 and p53 apoptotic markers in acetamiprid-induced nephrotoxicity
- Estradiol pretreatment in GnRH antagonist protocol for IVF/ICSI treatment
- Long non-coding RNAs LINC00689 inhibits the apoptosis of human nucleus pulposus cells via miR-3127-5p/ATG7 axis-mediated autophagy
- The relationship between oxygen therapy, drug therapy, and COVID-19 mortality
- Monitoring hypertensive disorders in pregnancy to prevent preeclampsia in pregnant women of advanced maternal age: Trial mimicking with retrospective data
- SETD1A promotes the proliferation and glycolysis of nasopharyngeal carcinoma cells by activating the PI3K/Akt pathway
- The role of Shunaoxin pills in the treatment of chronic cerebral hypoperfusion and its main pharmacodynamic components
- TET3 governs malignant behaviors and unfavorable prognosis of esophageal squamous cell carcinoma by activating the PI3K/AKT/GSK3β/β-catenin pathway
- Associations between morphokinetic parameters of temporary-arrest embryos and the clinical prognosis in FET cycles
- Long noncoding RNA WT1-AS regulates trophoblast proliferation, migration, and invasion via the microRNA-186-5p/CADM2 axis
- The incidence of bronchiectasis in chronic obstructive pulmonary disease
- Integrated bioinformatics analysis shows integrin alpha 3 is a prognostic biomarker for pancreatic cancer
- Inhibition of miR-21 improves pulmonary vascular responses in bronchopulmonary dysplasia by targeting the DDAH1/ADMA/NO pathway
- Comparison of hospitalized patients with severe pneumonia caused by COVID-19 and influenza A (H7N9 and H1N1): A retrospective study from a designated hospital
- lncRNA ZFAS1 promotes intervertebral disc degeneration by upregulating AAK1
- Pathological characteristics of liver injury induced by N,N-dimethylformamide: From humans to animal models
- lncRNA ELFN1-AS1 enhances the progression of colon cancer by targeting miR-4270 to upregulate AURKB
- DARS-AS1 modulates cell proliferation and migration of gastric cancer cells by regulating miR-330-3p/NAT10 axis
- Dezocine inhibits cell proliferation, migration, and invasion by targeting CRABP2 in ovarian cancer
- MGST1 alleviates the oxidative stress of trophoblast cells induced by hypoxia/reoxygenation and promotes cell proliferation, migration, and invasion by activating the PI3K/AKT/mTOR pathway
- Bifidobacterium lactis Probio-M8 ameliorated the symptoms of type 2 diabetes mellitus mice by changing ileum FXR-CYP7A1
- circRNA DENND1B inhibits tumorigenicity of clear cell renal cell carcinoma via miR-122-5p/TIMP2 axis
- EphA3 targeted by miR-3666 contributes to melanoma malignancy via activating ERK1/2 and p38 MAPK pathways
- Pacemakers and methylprednisolone pulse therapy in immune-related myocarditis concomitant with complete heart block
- miRNA-130a-3p targets sphingosine-1-phosphate receptor 1 to activate the microglial and astrocytes and to promote neural injury under the high glucose condition
- Review Articles
- Current management of cancer pain in Italy: Expert opinion paper
- Hearing loss and brain disorders: A review of multiple pathologies
- The rationale for using low-molecular weight heparin in the therapy of symptomatic COVID-19 patients
- Amyotrophic lateral sclerosis and delayed onset muscle soreness in light of the impaired blink and stretch reflexes – watch out for Piezo2
- Interleukin-35 in autoimmune dermatoses: Current concepts
- Recent discoveries in microbiota dysbiosis, cholangiocytic factors, and models for studying the pathogenesis of primary sclerosing cholangitis
- Advantages of ketamine in pediatric anesthesia
- Congenital adrenal hyperplasia. Role of dentist in early diagnosis
- Migraine management: Non-pharmacological points for patients and health care professionals
- Atherogenic index of plasma and coronary artery disease: A systematic review
- Physiological and modulatory role of thioredoxins in the cellular function
- Case Reports
- Intrauterine Bakri balloon tamponade plus cervical cerclage for the prevention and treatment of postpartum haemorrhage in late pregnancy complicated with acute aortic dissection: Case series
- A case of successful pembrolizumab monotherapy in a patient with advanced lung adenocarcinoma: Use of multiple biomarkers in combination for clinical practice
- Unusual neurological manifestations of bilateral medial medullary infarction: A case report
- Atypical symptoms of malignant hyperthermia: A rare causative mutation in the RYR1 gene
- A case report of dermatomyositis with the missed diagnosis of non-small cell lung cancer and concurrence of pulmonary tuberculosis
- A rare case of endometrial polyp complicated with uterine inversion: A case report and clinical management
- Spontaneous rupturing of splenic artery aneurysm: Another reason for fatal syncope and shock (Case report and literature review)
- Fungal infection mimicking COVID-19 infection – A case report
- Concurrent aspergillosis and cystic pulmonary metastases in a patient with tongue squamous cell carcinoma
- Paraganglioma-induced inverted takotsubo-like cardiomyopathy leading to cardiogenic shock successfully treated with extracorporeal membrane oxygenation
- Lineage switch from lymphoma to myeloid neoplasms: First case series from a single institution
- Trismus during tracheal extubation as a complication of general anaesthesia – A case report
- Simultaneous treatment of a pubovesical fistula and lymph node metastasis secondary to multimodal treatment for prostate cancer: Case report and review of the literature
- Two case reports of skin vasculitis following the COVID-19 immunization
- Ureteroiliac fistula after oncological surgery: Case report and review of the literature
- Synchronous triple primary malignant tumours in the bladder, prostate, and lung harbouring TP53 and MEK1 mutations accompanied with severe cardiovascular diseases: A case report
- Huge mucinous cystic neoplasms with adhesion to the left colon: A case report and literature review
- Commentary
- Commentary on “Clinicopathological features of programmed cell death-ligand 1 expression in patients with oral squamous cell carcinoma”
- Rapid Communication
- COVID-19 fear, post-traumatic stress, growth, and the role of resilience
- Erratum
- Erratum to “Tollip promotes hepatocellular carcinoma progression via PI3K/AKT pathway”
- Erratum to “Effect of femoral head necrosis cystic area on femoral head collapse and stress distribution in femoral head: A clinical and finite element study”
- Erratum to “lncRNA NORAD promotes lung cancer progression by competitively binding to miR-28-3p with E2F2”
- Retraction
- Expression and role of ABIN1 in sepsis: In vitro and in vivo studies
- Retraction to “miR-519d downregulates LEP expression to inhibit preeclampsia development”
- Special Issue Computational Intelligence Methodologies Meets Recurrent Cancers - Part II
- Usefulness of close surveillance for rectal cancer patients after neoadjuvant chemoradiotherapy
Articles in the same Issue
- Research Articles
- AMBRA1 attenuates the proliferation of uveal melanoma cells
- A ceRNA network mediated by LINC00475 in papillary thyroid carcinoma
- Differences in complications between hepatitis B-related cirrhosis and alcohol-related cirrhosis
- Effect of gestational diabetes mellitus on lipid profile: A systematic review and meta-analysis
- Long noncoding RNA NR2F1-AS1 stimulates the tumorigenic behavior of non-small cell lung cancer cells by sponging miR-363-3p to increase SOX4
- Promising novel biomarkers and candidate small-molecule drugs for lung adenocarcinoma: Evidence from bioinformatics analysis of high-throughput data
- Plasmapheresis: Is it a potential alternative treatment for chronic urticaria?
- The biomarkers of key miRNAs and gene targets associated with extranodal NK/T-cell lymphoma
- Gene signature to predict prognostic survival of hepatocellular carcinoma
- Effects of miRNA-199a-5p on cell proliferation and apoptosis of uterine leiomyoma by targeting MED12
- Does diabetes affect paraneoplastic thrombocytosis in colorectal cancer?
- Is there any effect on imprinted genes H19, PEG3, and SNRPN during AOA?
- Leptin and PCSK9 concentrations are associated with vascular endothelial cytokines in patients with stable coronary heart disease
- Pericentric inversion of chromosome 6 and male fertility problems
- Staple line reinforcement with nebulized cyanoacrylate glue in laparoscopic sleeve gastrectomy: A propensity score-matched study
- Retrospective analysis of crescent score in clinical prognosis of IgA nephropathy
- Expression of DNM3 is associated with good outcome in colorectal cancer
- Activation of SphK2 contributes to adipocyte-induced EOC cell proliferation
- CRRT influences PICCO measurements in febrile critically ill patients
- SLCO4A1-AS1 mediates pancreatic cancer development via miR-4673/KIF21B axis
- lncRNA ACTA2-AS1 inhibits malignant phenotypes of gastric cancer cells
- circ_AKT3 knockdown suppresses cisplatin resistance in gastric cancer
- Prognostic value of nicotinamide N-methyltransferase in human cancers: Evidence from a meta-analysis and database validation
- GPC2 deficiency inhibits cell growth and metastasis in colon adenocarcinoma
- A pan-cancer analysis of the oncogenic role of Holliday junction recognition protein in human tumors
- Radiation increases COL1A1, COL3A1, and COL1A2 expression in breast cancer
- Association between preventable risk factors and metabolic syndrome
- miR-29c-5p knockdown reduces inflammation and blood–brain barrier disruption by upregulating LRP6
- Cardiac contractility modulation ameliorates myocardial metabolic remodeling in a rabbit model of chronic heart failure through activation of AMPK and PPAR-α pathway
- Quercitrin protects human bronchial epithelial cells from oxidative damage
- Smurf2 suppresses the metastasis of hepatocellular carcinoma via ubiquitin degradation of Smad2
- circRNA_0001679/miR-338-3p/DUSP16 axis aggravates acute lung injury
- Sonoclot’s usefulness in prediction of cardiopulmonary arrest prognosis: A proof of concept study
- Four drug metabolism-related subgroups of pancreatic adenocarcinoma in prognosis, immune infiltration, and gene mutation
- Decreased expression of miR-195 mediated by hypermethylation promotes osteosarcoma
- LMO3 promotes proliferation and metastasis of papillary thyroid carcinoma cells by regulating LIMK1-mediated cofilin and the β-catenin pathway
- Cx43 upregulation in HUVECs under stretch via TGF-β1 and cytoskeletal network
- Evaluation of menstrual irregularities after COVID-19 vaccination: Results of the MECOVAC survey
- Histopathologic findings on removed stomach after sleeve gastrectomy. Do they influence the outcome?
- Analysis of the expression and prognostic value of MT1-MMP, β1-integrin and YAP1 in glioma
- Optimal diagnosis of the skin cancer using a hybrid deep neural network and grasshopper optimization algorithm
- miR-223-3p alleviates TGF-β-induced epithelial-mesenchymal transition and extracellular matrix deposition by targeting SP3 in endometrial epithelial cells
- Clinical value of SIRT1 as a prognostic biomarker in esophageal squamous cell carcinoma, a systematic meta-analysis
- circ_0020123 promotes cell proliferation and migration in lung adenocarcinoma via PDZD8
- miR-22-5p regulates the self-renewal of spermatogonial stem cells by targeting EZH2
- hsa-miR-340-5p inhibits epithelial–mesenchymal transition in endometriosis by targeting MAP3K2 and inactivating MAPK/ERK signaling
- circ_0085296 inhibits the biological functions of trophoblast cells to promote the progression of preeclampsia via the miR-942-5p/THBS2 network
- TCD hemodynamics findings in the subacute phase of anterior circulation stroke patients treated with mechanical thrombectomy
- Development of a risk-stratification scoring system for predicting risk of breast cancer based on non-alcoholic fatty liver disease, non-alcoholic fatty pancreas disease, and uric acid
- Tollip promotes hepatocellular carcinoma progression via PI3K/AKT pathway
- circ_0062491 alleviates periodontitis via the miR-142-5p/IGF1 axis
- Human amniotic fluid as a source of stem cells
- lncRNA NONRATT013819.2 promotes transforming growth factor-β1-induced myofibroblastic transition of hepatic stellate cells by miR24-3p/lox
- NORAD modulates miR-30c-5p-LDHA to protect lung endothelial cells damage
- Idiopathic pulmonary fibrosis telemedicine management during COVID-19 outbreak
- Risk factors for adverse drug reactions associated with clopidogrel therapy
- Serum zinc associated with immunity and inflammatory markers in Covid-19
- The relationship between night shift work and breast cancer incidence: A systematic review and meta-analysis of observational studies
- LncRNA expression in idiopathic achalasia: New insight and preliminary exploration into pathogenesis
- Notoginsenoside R1 alleviates spinal cord injury through the miR-301a/KLF7 axis to activate Wnt/β-catenin pathway
- Moscatilin suppresses the inflammation from macrophages and T cells
- Zoledronate promotes ECM degradation and apoptosis via Wnt/β-catenin
- Epithelial-mesenchymal transition-related genes in coronary artery disease
- The effect evaluation of traditional vaginal surgery and transvaginal mesh surgery for severe pelvic organ prolapse: 5 years follow-up
- Repeated partial splenic artery embolization for hypersplenism improves platelet count
- Low expression of miR-27b in serum exosomes of non-small cell lung cancer facilitates its progression by affecting EGFR
- Exosomal hsa_circ_0000519 modulates the NSCLC cell growth and metastasis via miR-1258/RHOV axis
- miR-455-5p enhances 5-fluorouracil sensitivity in colorectal cancer cells by targeting PIK3R1 and DEPDC1
- The effect of tranexamic acid on the reduction of intraoperative and postoperative blood loss and thromboembolic risk in patients with hip fracture
- Isocitrate dehydrogenase 1 mutation in cholangiocarcinoma impairs tumor progression by sensitizing cells to ferroptosis
- Artemisinin protects against cerebral ischemia and reperfusion injury via inhibiting the NF-κB pathway
- A 16-gene signature associated with homologous recombination deficiency for prognosis prediction in patients with triple-negative breast cancer
- Lidocaine ameliorates chronic constriction injury-induced neuropathic pain through regulating M1/M2 microglia polarization
- MicroRNA 322-5p reduced neuronal inflammation via the TLR4/TRAF6/NF-κB axis in a rat epilepsy model
- miR-1273h-5p suppresses CXCL12 expression and inhibits gastric cancer cell invasion and metastasis
- Clinical characteristics of pneumonia patients of long course of illness infected with SARS-CoV-2
- circRNF20 aggravates the malignancy of retinoblastoma depending on the regulation of miR-132-3p/PAX6 axis
- Linezolid for resistant Gram-positive bacterial infections in children under 12 years: A meta-analysis
- Rack1 regulates pro-inflammatory cytokines by NF-κB in diabetic nephropathy
- Comprehensive analysis of molecular mechanism and a novel prognostic signature based on small nuclear RNA biomarkers in gastric cancer patients
- Smog and risk of maternal and fetal birth outcomes: A retrospective study in Baoding, China
- Let-7i-3p inhibits the cell cycle, proliferation, invasion, and migration of colorectal cancer cells via downregulating CCND1
- β2-Adrenergic receptor expression in subchondral bone of patients with varus knee osteoarthritis
- Possible impact of COVID-19 pandemic and lockdown on suicide behavior among patients in Southeast Serbia
- In vitro antimicrobial activity of ozonated oil in liposome eyedrop against multidrug-resistant bacteria
- Potential biomarkers for inflammatory response in acute lung injury
- A low serum uric acid concentration predicts a poor prognosis in adult patients with candidemia
- Antitumor activity of recombinant oncolytic vaccinia virus with human IL2
- ALKBH5 inhibits TNF-α-induced apoptosis of HUVECs through Bcl-2 pathway
- Risk prediction of cardiovascular disease using machine learning classifiers
- Value of ultrasonography parameters in diagnosing polycystic ovary syndrome
- Bioinformatics analysis reveals three key genes and four survival genes associated with youth-onset NSCLC
- Identification of autophagy-related biomarkers in patients with pulmonary arterial hypertension based on bioinformatics analysis
- Protective effects of glaucocalyxin A on the airway of asthmatic mice
- Overexpression of miR-100-5p inhibits papillary thyroid cancer progression via targeting FZD8
- Bioinformatics-based analysis of SUMOylation-related genes in hepatocellular carcinoma reveals a role of upregulated SAE1 in promoting cell proliferation
- Effectiveness and clinical benefits of new anti-diabetic drugs: A real life experience
- Identification of osteoporosis based on gene biomarkers using support vector machine
- Tanshinone IIA reverses oxaliplatin resistance in colorectal cancer through microRNA-30b-5p/AVEN axis
- miR-212-5p inhibits nasopharyngeal carcinoma progression by targeting METTL3
- Association of ST-T changes with all-cause mortality among patients with peripheral T-cell lymphomas
- LINC00665/miRNAs axis-mediated collagen type XI alpha 1 correlates with immune infiltration and malignant phenotypes in lung adenocarcinoma
- The perinatal factors that influence the excretion of fecal calprotectin in premature-born children
- Effect of femoral head necrosis cystic area on femoral head collapse and stress distribution in femoral head: A clinical and finite element study
- Does the use of 3D-printed cones give a chance to postpone the use of megaprostheses in patients with large bone defects in the knee joint?
- lncRNA HAGLR modulates myocardial ischemia–reperfusion injury in mice through regulating miR-133a-3p/MAPK1 axis
- Protective effect of ghrelin on intestinal I/R injury in rats
- In vivo knee kinematics of an innovative prosthesis design
- Relationship between the height of fibular head and the incidence and severity of knee osteoarthritis
- lncRNA WT1-AS attenuates hypoxia/ischemia-induced neuronal injury during cerebral ischemic stroke via miR-186-5p/XIAP axis
- Correlation of cardiac troponin T and APACHE III score with all-cause in-hospital mortality in critically ill patients with acute pulmonary embolism
- LncRNA LINC01857 reduces metastasis and angiogenesis in breast cancer cells via regulating miR-2052/CENPQ axis
- Endothelial cell-specific molecule 1 (ESM1) promoted by transcription factor SPI1 acts as an oncogene to modulate the malignant phenotype of endometrial cancer
- SELENBP1 inhibits progression of colorectal cancer by suppressing epithelial–mesenchymal transition
- Visfatin is negatively associated with coronary artery lesions in subjects with impaired fasting glucose
- Treatment and outcomes of mechanical complications of acute myocardial infarction during the Covid-19 era: A comparison with the pre-Covid-19 period. A systematic review and meta-analysis
- Neonatal stroke surveillance study protocol in the United Kingdom and Republic of Ireland
- Oncogenic role of TWF2 in human tumors: A pan-cancer analysis
- Mean corpuscular hemoglobin predicts the length of hospital stay independent of severity classification in patients with acute pancreatitis
- Association of gallstone and polymorphisms of UGT1A1*27 and UGT1A1*28 in patients with hepatitis B virus-related liver failure
- TGF-β1 upregulates Sar1a expression and induces procollagen-I secretion in hypertrophic scarring fibroblasts
- Antisense lncRNA PCNA-AS1 promotes esophageal squamous cell carcinoma progression through the miR-2467-3p/PCNA axis
- NK-cell dysfunction of acute myeloid leukemia in relation to the renin–angiotensin system and neurotransmitter genes
- The effect of dilution with glucose and prolonged injection time on dexamethasone-induced perineal irritation – A randomized controlled trial
- miR-146-5p restrains calcification of vascular smooth muscle cells by suppressing TRAF6
- Role of lncRNA MIAT/miR-361-3p/CCAR2 in prostate cancer cells
- lncRNA NORAD promotes lung cancer progression by competitively binding to miR-28-3p with E2F2
- Noninvasive diagnosis of AIH/PBC overlap syndrome based on prediction models
- lncRNA FAM230B is highly expressed in colorectal cancer and suppresses the maturation of miR-1182 to increase cell proliferation
- circ-LIMK1 regulates cisplatin resistance in lung adenocarcinoma by targeting miR-512-5p/HMGA1 axis
- LncRNA SNHG3 promoted cell proliferation, migration, and metastasis of esophageal squamous cell carcinoma via regulating miR-151a-3p/PFN2 axis
- Risk perception and affective state on work exhaustion in obstetrics during the COVID-19 pandemic
- lncRNA-AC130710/miR-129-5p/mGluR1 axis promote migration and invasion by activating PKCα-MAPK signal pathway in melanoma
- SNRPB promotes cell cycle progression in thyroid carcinoma via inhibiting p53
- Xylooligosaccharides and aerobic training regulate metabolism and behavior in rats with streptozotocin-induced type 1 diabetes
- Serpin family A member 1 is an oncogene in glioma and its translation is enhanced by NAD(P)H quinone dehydrogenase 1 through RNA-binding activity
- Silencing of CPSF7 inhibits the proliferation, migration, and invasion of lung adenocarcinoma cells by blocking the AKT/mTOR signaling pathway
- Ultrasound-guided lumbar plexus block versus transversus abdominis plane block for analgesia in children with hip dislocation: A double-blind, randomized trial
- Relationship of plasma MBP and 8-oxo-dG with brain damage in preterm
- Identification of a novel necroptosis-associated miRNA signature for predicting the prognosis in head and neck squamous cell carcinoma
- Delayed femoral vein ligation reduces operative time and blood loss during hip disarticulation in patients with extremity tumors
- The expression of ASAP3 and NOTCH3 and the clinicopathological characteristics of adult glioma patients
- Longitudinal analysis of factors related to Helicobacter pylori infection in Chinese adults
- HOXA10 enhances cell proliferation and suppresses apoptosis in esophageal cancer via activating p38/ERK signaling pathway
- Meta-analysis of early-life antibiotic use and allergic rhinitis
- Marital status and its correlation with age, race, and gender in prognosis of tonsil squamous cell carcinomas
- HPV16 E6E7 up-regulates KIF2A expression by activating JNK/c-Jun signal, is beneficial to migration and invasion of cervical cancer cells
- Amino acid profiles in the tissue and serum of patients with liver cancer
- Pain in critically ill COVID-19 patients: An Italian retrospective study
- Immunohistochemical distribution of Bcl-2 and p53 apoptotic markers in acetamiprid-induced nephrotoxicity
- Estradiol pretreatment in GnRH antagonist protocol for IVF/ICSI treatment
- Long non-coding RNAs LINC00689 inhibits the apoptosis of human nucleus pulposus cells via miR-3127-5p/ATG7 axis-mediated autophagy
- The relationship between oxygen therapy, drug therapy, and COVID-19 mortality
- Monitoring hypertensive disorders in pregnancy to prevent preeclampsia in pregnant women of advanced maternal age: Trial mimicking with retrospective data
- SETD1A promotes the proliferation and glycolysis of nasopharyngeal carcinoma cells by activating the PI3K/Akt pathway
- The role of Shunaoxin pills in the treatment of chronic cerebral hypoperfusion and its main pharmacodynamic components
- TET3 governs malignant behaviors and unfavorable prognosis of esophageal squamous cell carcinoma by activating the PI3K/AKT/GSK3β/β-catenin pathway
- Associations between morphokinetic parameters of temporary-arrest embryos and the clinical prognosis in FET cycles
- Long noncoding RNA WT1-AS regulates trophoblast proliferation, migration, and invasion via the microRNA-186-5p/CADM2 axis
- The incidence of bronchiectasis in chronic obstructive pulmonary disease
- Integrated bioinformatics analysis shows integrin alpha 3 is a prognostic biomarker for pancreatic cancer
- Inhibition of miR-21 improves pulmonary vascular responses in bronchopulmonary dysplasia by targeting the DDAH1/ADMA/NO pathway
- Comparison of hospitalized patients with severe pneumonia caused by COVID-19 and influenza A (H7N9 and H1N1): A retrospective study from a designated hospital
- lncRNA ZFAS1 promotes intervertebral disc degeneration by upregulating AAK1
- Pathological characteristics of liver injury induced by N,N-dimethylformamide: From humans to animal models
- lncRNA ELFN1-AS1 enhances the progression of colon cancer by targeting miR-4270 to upregulate AURKB
- DARS-AS1 modulates cell proliferation and migration of gastric cancer cells by regulating miR-330-3p/NAT10 axis
- Dezocine inhibits cell proliferation, migration, and invasion by targeting CRABP2 in ovarian cancer
- MGST1 alleviates the oxidative stress of trophoblast cells induced by hypoxia/reoxygenation and promotes cell proliferation, migration, and invasion by activating the PI3K/AKT/mTOR pathway
- Bifidobacterium lactis Probio-M8 ameliorated the symptoms of type 2 diabetes mellitus mice by changing ileum FXR-CYP7A1
- circRNA DENND1B inhibits tumorigenicity of clear cell renal cell carcinoma via miR-122-5p/TIMP2 axis
- EphA3 targeted by miR-3666 contributes to melanoma malignancy via activating ERK1/2 and p38 MAPK pathways
- Pacemakers and methylprednisolone pulse therapy in immune-related myocarditis concomitant with complete heart block
- miRNA-130a-3p targets sphingosine-1-phosphate receptor 1 to activate the microglial and astrocytes and to promote neural injury under the high glucose condition
- Review Articles
- Current management of cancer pain in Italy: Expert opinion paper
- Hearing loss and brain disorders: A review of multiple pathologies
- The rationale for using low-molecular weight heparin in the therapy of symptomatic COVID-19 patients
- Amyotrophic lateral sclerosis and delayed onset muscle soreness in light of the impaired blink and stretch reflexes – watch out for Piezo2
- Interleukin-35 in autoimmune dermatoses: Current concepts
- Recent discoveries in microbiota dysbiosis, cholangiocytic factors, and models for studying the pathogenesis of primary sclerosing cholangitis
- Advantages of ketamine in pediatric anesthesia
- Congenital adrenal hyperplasia. Role of dentist in early diagnosis
- Migraine management: Non-pharmacological points for patients and health care professionals
- Atherogenic index of plasma and coronary artery disease: A systematic review
- Physiological and modulatory role of thioredoxins in the cellular function
- Case Reports
- Intrauterine Bakri balloon tamponade plus cervical cerclage for the prevention and treatment of postpartum haemorrhage in late pregnancy complicated with acute aortic dissection: Case series
- A case of successful pembrolizumab monotherapy in a patient with advanced lung adenocarcinoma: Use of multiple biomarkers in combination for clinical practice
- Unusual neurological manifestations of bilateral medial medullary infarction: A case report
- Atypical symptoms of malignant hyperthermia: A rare causative mutation in the RYR1 gene
- A case report of dermatomyositis with the missed diagnosis of non-small cell lung cancer and concurrence of pulmonary tuberculosis
- A rare case of endometrial polyp complicated with uterine inversion: A case report and clinical management
- Spontaneous rupturing of splenic artery aneurysm: Another reason for fatal syncope and shock (Case report and literature review)
- Fungal infection mimicking COVID-19 infection – A case report
- Concurrent aspergillosis and cystic pulmonary metastases in a patient with tongue squamous cell carcinoma
- Paraganglioma-induced inverted takotsubo-like cardiomyopathy leading to cardiogenic shock successfully treated with extracorporeal membrane oxygenation
- Lineage switch from lymphoma to myeloid neoplasms: First case series from a single institution
- Trismus during tracheal extubation as a complication of general anaesthesia – A case report
- Simultaneous treatment of a pubovesical fistula and lymph node metastasis secondary to multimodal treatment for prostate cancer: Case report and review of the literature
- Two case reports of skin vasculitis following the COVID-19 immunization
- Ureteroiliac fistula after oncological surgery: Case report and review of the literature
- Synchronous triple primary malignant tumours in the bladder, prostate, and lung harbouring TP53 and MEK1 mutations accompanied with severe cardiovascular diseases: A case report
- Huge mucinous cystic neoplasms with adhesion to the left colon: A case report and literature review
- Commentary
- Commentary on “Clinicopathological features of programmed cell death-ligand 1 expression in patients with oral squamous cell carcinoma”
- Rapid Communication
- COVID-19 fear, post-traumatic stress, growth, and the role of resilience
- Erratum
- Erratum to “Tollip promotes hepatocellular carcinoma progression via PI3K/AKT pathway”
- Erratum to “Effect of femoral head necrosis cystic area on femoral head collapse and stress distribution in femoral head: A clinical and finite element study”
- Erratum to “lncRNA NORAD promotes lung cancer progression by competitively binding to miR-28-3p with E2F2”
- Retraction
- Expression and role of ABIN1 in sepsis: In vitro and in vivo studies
- Retraction to “miR-519d downregulates LEP expression to inhibit preeclampsia development”
- Special Issue Computational Intelligence Methodologies Meets Recurrent Cancers - Part II
- Usefulness of close surveillance for rectal cancer patients after neoadjuvant chemoradiotherapy