Home Complex dynamics of a sub-quadratic Lorenz-like system
Article Open Access

Complex dynamics of a sub-quadratic Lorenz-like system

  • Zhenpeng Li EMAIL logo , Guiyao Ke EMAIL logo , Haijun Wang EMAIL logo , Jun Pan , Feiyu Hu and Qifang Su
Published/Copyright: July 12, 2023

Abstract

Motivated by the generic dynamical property of most quadratic Lorenz-type systems that the unstable manifolds of the origin tending to the stable manifold of nontrivial symmetrical equilibria forms a pair of heteroclinic orbits, this technical note reports a new 3D sub-quadratic Lorenz-like system: x ˙ = a ( y x ) , y ˙ = c x 3 + d y x 3 z and z ˙ = b z + x 3 y . Instead, the unstable manifolds of nontrivial symmetrical equilibria tending to the stable manifold of the origin creates a pair of heteroclinic orbits. This drives one to further investigate it and reveal its other hidden dynamics: Hopf bifurcation, invariant algebraic surfaces, ultimate bound sets, globally exponentially attractive sets, existence of homoclinic and heteroclinic orbits, singularly degenerate heteroclinic cycles, and so on. The main contributions of this work are summarized as follows: First, the ultimate boundedness of that system yields the globally exponentially attractive sets of it. Second, the existence of another heteroclinic orbits is also proved by utilizing two different Lyapunov functions. Finally, on the invariant algebraic surface z = 3 4 a x 4 3 , the existence of a pair of homoclinic orbits to the origin, and two pairs of heteroclinic orbits to two pairs of nontrivial symmetrical equilibria is also proved by utilizing a Hamiltonian function. In addition, the correctness of the theoretical results is illustrated via numerical examples.

1 Introduction

Since Li et al. [1,2] introduced the method for proving the existence of heteroclinic orbits of the Chen system: Lyapunov function combining the definitions of both α -limit set and ω -limit set, has been extensively applied to many Lorenz-type systems: the Yang-Chen system [3], the T and Lü system [4], the general Lorenz family [5], the unified 3D and 4D Lorenz-type systems [69], the complex Lorenz system [10], the 5D hyperchaotic system [11] and others [12,13]. This is because, as Fishing principle [14], this method itself has the advantage: one need not consider the mutual disposition of stable and unstable manifolds of a saddle equilibrium in contrast with another technique, such as Poincaré map [15], boundary value and contraction map [16], Melnikov method [17], a method of tracing the stable and unstable manifolds [18], etc. More importantly, the occurrence of heteroclinic orbit is often a prelude to the birth of chaos [16], and thus involves with numerous applications [1924], such as electrophysics, heart tissue, neurons, cell signaling, planetary field and so on.

However, in neighboring Lorenz-type systems, the scenario for the unstable manifolds of nontrivial symmetrical equilibria tending to the stable manifold of the origin that creates a pair of heteroclinic orbits has seldom been considered in any publications to the best of our knowledge. Therefore, the following questions naturally arise:

  1. Whether does there exist such a model with a pair of heteroclinic orbits to stable origin and a pair of non trivial symmetrical equilibria?

  2. If there is such a model, whether is the aforementioned technique (combining the definitions of both α -limit set and ω -limit set, and Lyapunov function) applicable to prove the existence of its heteroclinic orbit?

  3. Except for the heteroclinic orbit, whether do there exist other rich dynamics like the quadratic Lorenz-type system family [3,5,7,13,25,26] – for example, chaotic attractors, sustained or transient chaotic sets, Hopf bifurcation, invariant algebraic surfaces, ultimate bound sets, globally exponentially attractive sets, homoclinic orbits, singularly degenerate heteroclinic cycles, and so on.

In the present work, we devote to solving these problems one after another. Indeed, this new proposed system is found to have some other interesting dynamics, which are the essential differences with most of Lorenz or Lorenz-like systems.
  1. There exist another heteroclinic orbits to a pair of unstable equilibria and another pair of stable equilibria.

  2. On the invariant algebraic surface z = 3 4 a x 4 3 , the existence of two pairs of heteroclinic orbits to two pairs of nontrivial symmetrical unstable equilibria is also proved by utilizing a Hamiltonian function.

Therefore, the study of such a system is particularly significant for both theoretical research and practical applications, motivating the work to be presented in this article.

2 New sub-quadratic Lorenz-like system and main results

In this section, we introduce the following sub-quadratic Lorenz-like system

(2.1) x ˙ = a ( y x ) , y ˙ = c x 3 + d y x 3 z , z ˙ = b z + x 3 y ,

where the dot denotes the derivative with respect to the time t and ( a , b , c , d ) are arbitrary real parameters. Obviously, the highest power of system (2.1) is 4 3 .

Remark 2.1

On the one hand, for d = 0 , system (2.1) reduces to the one [9], which has multitudinous potential hidden Lorenz-like attractors. On the other hand, Zhang and Chen [27] and Kuznetsov et al. [28] proposed the generalization of the second part of the celebrated Hilbert’s 16th problem, i.e., the number and mutual disposition of attractors and repellers depend on the degree of polynomials of chaotic multidimensional dynamical systems, if they exist. Therefore, it is worthwhile to study system (2.1).

The goal of the present article will mainly devote to investigating the complex dynamics of system (2.1) as the quadratic analog [5], especially the role played by the term x 3 .

The first result of this article deals with the local behaviors of system (2.1) and is summarized in the following propositions.

Proposition 2.1

The distribution of the equilibrium points of system (2.1) is summarized in Table 1 when the parameters a 0 , b , c , d vary in R 3 , where E 0 = ( 0 , 0 , 0 ) , E z = { ( 0 , 0 , z ) z R } , E 1 , 2 = ± b d b 2 d 2 + 4 b c 2 3 2 , ± b d b 2 d 2 + 4 b c 2 3 2 , b d b 2 d 2 + 4 b c 2 2 b and E 3 , 4 = ± b d + b 2 d 2 + 4 b c 2 3 2 , ± b d + b 2 d 2 + 4 b c 2 3 2 , b d + b 2 d 2 + 4 b c 2 2 b .

Table 1

The distribution of the equilibrium points

b b d b c b 2 d 2 + 4 b c Distribution of equilibria
= 0 E z
0 > 0 0 E 0 , E 3 , 4
< 0 > 0 E 0 , E 1 , 2 , E 3 , 4
= 0 E 0 , E 1 , 2
< 0 E 0
0 > 0 E 0 , E 3 , 4
0 E 0

Remark 2.2

Remarkably, system (2.1) is continuous but not smooth at E 0 and E z , which associate with homoclinic orbits and singularly degenerate heteroclinic cycles, and thus the creation of strange attractors. In fact, as illustrated in Figures 7 and 8 in Section 7, with a small perturbation of b z , the collapse of singularly degenerate heteroclinic cycles or explosions of the stable E z generates two-scroll Lorenz-like attractors. In that sense, it is demanding work to consider system (2.1), especially the role played by the linear term dy.

Proposition 2.2

When a 0 , b , d R 2 , and c 0 , the local dynamical behaviors of E 0 of system (2.1) are totally summarized in Table 2. While b = 0 , c z 0 , a 0 , and d R , Table 3 lists the local dynamics of E z of system (2.1).

Table 2

The dynamical behaviors of E 0

b a d c Type of E 0 Property of E 0
< 0 < 0 < 0 Saddle-focus A 3D W loc u
> 0 Saddle A 1D W loc s and a 2D W loc u
= 0 < 0 Nonhyperbolic A 2D W loc c and a 1D W loc u
> 0 Saddle A 1D W loc s and a 2D W loc u
> 0 < 0 Node-focus A 2D W loc s and a 1D W loc u
> 0 Saddle A 1D W loc s and a 2D W loc u
= 0 < 0 < 0 Nonhyperbolic A 1D W loc c and a 2D W loc u
> 0 A 1D W loc s , a 1D W loc c and a 1D W loc u
= 0 < 0 A 3D W loc c
> 0 A 1D W loc s , a 1D W loc c and a 1D W loc u
> 0 < 0 A 2D W loc s and a 1D W loc c
> 0 A 1D W loc s , a 1D W loc c and a 1D W loc u
> 0 < 0 < 0 Saddle-focus A 1D W loc s and a 2D W loc u
> 0 Saddle A 2D W loc s and a 1D W loc u
= 0 < 0 Nonhyperbolic A 1D W loc s and a 2D W loc c
> 0 Saddle A 2D W loc s and a 1D W loc u
> 0 < 0 Node-focus A 3D W loc s
> 0 Saddle A 2D W loc s and a 1D W loc u
Table 3

The dynamical behaviors of E z

c z d a Property of E z
> 0 A 1D W loc s , a 1D W loc c and a 1D W loc u
< 0 < 0 A 2D W loc s and a 1D W loc c
= 0 A 3D W loc c
> 0 A 1D W loc s , a 1D W loc c and a 1D W loc u

Proposition 2.3

When a 0 , b d > 0 , b c < 0 , and b 2 d 2 + 4 b c > 0 , E 1 , 2 exist and are unstable.

Proposition 2.4

Set W = { ( a , b , c , d ) a 0 , b d > 0 , b c 0 } { ( a , b , c , d ) a 0 , b d > 0 , b c < 0 , b 2 d 2 + 4 b c 0 } { ( a , b , c , d ) a 0 , b d 0 , b c > 0 } , W 1 = { ( a , b , c , d ) W : a + b d > 0 , 6 a b 3 b d 4 a d 6 + b 2 d 2 + 4 b c 2 > 0 , 2 a b 2 d 2 + 4 b c 3 > 0 , W 2 = W \ W 1 and

W 1 1 = { ( a , b , c , d ) W 1 : Σ < 0 } , W 1 2 = { ( a , b , c , d ) W 1 : Σ = 0 } , W 1 3 = { ( a , b , c , d ) W 1 : Σ > 0 } ,

where Σ = ( a + b d ) ( 6 a b 3 b d 4 a d ) 6 ( 3 d 3 b + a ) b 2 d 2 + 4 b c 6 = 0 . E 3 , 4 are unstable when ( a , b , c , d ) W 1 1 , whereas E 3 , 4 are asymptotically stable when ( a , b , c , d ) W 1 3 . For ( a , b , c , d ) W 1 2 , Hopf bifurcation occurs at E 3 , 4 .

Remark 2.3

On the one hand, the existence of hidden or transient chaotic attractors involves the dynamics of E 0 and E 1 , 2 , 3 , 4 . On the other hand, the creation of singularly degenerate heteroclinic cycles is closely connected with the bifurcation of E z . Particularly for ( a , d , b ) = ( 10 , 1 , 3 ) and 0 < c < 12,870 , the solutions of system (2.1) either directly tend to stable E 3 , 4 or exhibit transient chaotic sets before converging to E 3 , 4 .

Our second result on the global boundedness of system (2.1) can be summarized as follows.

Proposition 2.5

For λ > 0 , a > 0 , d < 0 , and b > 0 , the following set

(2.2) Ω = ( x , y , z ) λ x 4 3 + y 2 + z 3 c + 2 λ a 3 2 R 2

is the ultimate bound and positively invariant set of system (2.1), where

R 2 = b 2 ( 3 c + 2 λ a ) 2 36 d ( b + d ) , 2 a 3 d , b 2 d , b 2 ( 3 c + 2 λ a ) 2 8 a ( 3 b 2 a ) , 3 d 2 a , 3 b 4 a , ( 3 c + 2 λ a ) 2 9 , b 2 d , 3 b 4 a .

In fact, Proposition 2.5 suggests the following Proposition 2.6, implying that the ultimate bound and positively invariant sets coincide with globally exponentially attractive sets.

Proposition 2.6

Set λ > 0 , a > 0 , d < 0 , and b > 0 , V 1 ( X ) = λ x 4 3 + y 2 + ( z 3 c + 2 λ a 3 ) 2 ,

  1. ε 1 = 4 a 3 > 0 , 2 a 3 + d 0 , 4 a 3 b , L 1 = b 2 ( 3 c + 2 λ a ) 2 8 a ( 3 b 2 a ) , or

  2. ε 2 = 2 d > 0 , 2 a 3 + d 0 , b + 2 d 0 , L 2 = b 2 ( 3 c + 2 λ a ) 2 36 d ( b + d ) , or

  3. ε 3 = b > 0 , 3 b 4 a 0 , b + 2 d 0 , L 3 = ( 3 c + 2 λ a ) 2 9 .

If V 1 ( X ) > L i and V 1 ( X 0 ) > L i , i = 1 , 2 , 3 , then we arrive at the following exponential inequalities:

V 1 ( X ) L i [ V 1 ( X 0 ) L i ] e ε i ( t t 0 ) .

By the definition, the sets

Ψ 1 i = { X V 1 ( X ) L i } = λ x 4 3 + y 2 + z 3 c + 2 λ a 3 2 L i

are globally exponentially attractive sets of system (2.1), where i = 1 , 2 , 3 .

The proof of Propositions 2.5 and 2.6 involves Lagrange multiplier method, Lyapunov function and comparison principle.

Our last result can be stated as the following proposition.

Proposition 2.7

Assume a > d , c < 0 , d 3 2 2 c b = 0 and 3 b 4 a 0 . Then the following statements hold.

  1. The ω -limit of any trajectories of system (2.1) is one of the equilibrium points. Namely, close trajectories do not exist in system (2.1).

  2. System (2.1) has no homoclinic orbits but only four heteroclinic orbits: the two ones are γ + joining E 1 and E 0 or E 3 , and the other two are γ joining E 2 and E 0 or E 4 .

The proof of Proposition 2.7 is based on the Lyapunov function, concepts of both α -limit set and ω -limit set [17,1013], which has its roots in the work of Li et al., and see [1] for a survey. In this work, this approach has been extended to study the sub-quadratic Lorenz-type system (2.1).

This article is organized as follows. In Section 3, we discuss the local dynamics of system (2.1) and prove Propositions 2.22.4, such as the distribution of the equilibrium points, stability and Hopf bifurcation. In Sections 4 and 5, the existence of ultimate bound sets, globally exponentially attractive sets and invariant algebraic surfaces are studied, and the proofs of Propositions 2.5 and 2.6 are finished. The proof of Proposition 2.7 is given in Section 6. Section 7 illustrates the singularly degenerate heteroclinic cycles and nearby chaotic attractors. In Section 8, we present a short discussion about the future work, especially the relationship between power of the polynomials and chaos.

3 Local behaviors and proofs of Propositions 2.2–2.4

The sketch of proofs of Propositions 2.22.4 is presented as follows.

Proof of Proposition 2.2

The proof of Proposition 2.2 easily follows from linear analysis and is omitted here.□

Proof of Proposition 2.3

Due to the symmetry of E 1 , 2 , it suffices to consider E 1 and the characteristic equation at it is

(3.1) λ 3 + ( a + b d ) λ 2 + 6 a b 3 b d 4 a d 6 b 2 d 2 + 4 b c 2 λ 2 a b 2 d 2 + 4 b c 3 = 0 .

Let us prove that E 1 , 2 are unstable.

Suppose E 1 , 2 are stable when some a 0 , b d > 0 , b c < 0 , b 2 d 2 + 4 b c > 0 . According to Routh-Hurwitz criterion and Eq. (3.1), we have a + b d > 0 , 6 a b 3 b d 4 a d 6     b 2 d 2 + 4 b c 2 > 0 , 2 a b 2 d 2 + 4 b c 3 > 0 and ( a + b d ) 6 a b 3 b d 4 a d 6 b 2 d 2 + 4 b c 2 + 2 a b 2 d 2 + 4 b c 3 > 0 , which in fact do not hold at all.

If not, the condition a < 0 , b < 0 , d < 0 , and c > 0 has to be satisfied. If a + b d > 0 , then d < a + b . If 6 a b 3 b d 4 a d 6 b 2 d 2 + 4 b c 2 > 0 , then 6 a b 3 b d 4 a d > 0 must hold. One has 6 a b 3 b d 4 a d < 6 a b 3 b ( a + b ) 4 a ( a + b ) = ( 4 a 2 + a b + 3 b 2 ) = b 2 4 a b 2 + a b + 3 = b 2 f a b > 0 with f ( x ) = 4 x 2 + x + 3 . Notice the determinant of f ( x ) is Δ = 1 2 4 × 4 × 3 = 47 < 0 . Consequently, f ( x ) > 0 for x R , and hence, 6 a b 3 b d 4 a d < 0 always holds. A contradiction occurs. Therefore, E 1 , 2 are not stable at all.

The proof is finished.□

Proof of Proposition 2.4

Due to the symmetry of E 3 , 4 , it suffices to consider E 3 , and the characteristic equation at it is

(3.2) λ 3 + ( a + b d ) λ 2 + 6 a b 3 b d 4 a d 6 + b 2 d 2 + 4 b c 2 λ + 2 a b 2 d 2 + 4 b c 3 = 0 .

According to Routh-Hurwitz criterion and Eq. (3.2), E 3 , 4 are unstable when ( a , b , c , d ) W 1 3 , whereas E 3 , 4 are asymptotically stable when ( a , b , c , d ) W 1 1 .

For ( a , b , c , d ) W 1 2 , it follows that Eq. (3.2) has a pair of conjugate purely imaginary roots λ 1 , 2 = ± ω i = ± 2 a ( 6 a b 3 b d 4 a d ) 3 ( 3 b + 3 d + a ) i and one negative real root λ 3 = ( a + b d ) < 0 . In addition, the transversal condition holds. In fact, one has

d Re ( λ 1 ) d c c = c = b ( 3 b + 3 d + a ) 2 6 [ ( a + b d ) ( 6 a b 3 b d 4 a d ) ] [ ω 2 + ( a + b d ) 2 ] 0 ,

where c = Δ 2 b 2 d 2 4 b with Δ = ( a + b d ) ( 6 a b 3 b d 4 a d ) 3 d 3 b + a . Therefore, system (2.1) undergoes Hopf bifurcation at E 3 , 4 , as shown in Figure 1. The proof is over.□

Figure 1 
               Phase portrait of system (2.1) with 
                     
                        
                        
                           
                              (
                              
                                 a
                                 ,
                                 c
                                 ,
                                 d
                                 ,
                                 b
                              
                              )
                           
                           =
                           
                              (
                              
                                 1.1061
                                 ,
                                 −
                                 3
                                 ,
                                 2
                                 ,
                                 4
                              
                              )
                           
                        
                        \left(a,c,d,b)=\left(1.1061,-3,2,4)
                     
                   and 
                     
                        
                        
                           
                              (
                              
                                 
                                    
                                       x
                                    
                                    
                                       0
                                    
                                    
                                       1
                                       ,
                                       2
                                    
                                 
                                 ,
                                 
                                    
                                       y
                                    
                                    
                                       0
                                    
                                    
                                       1
                                       ,
                                       2
                                    
                                 
                                 ,
                                 
                                    
                                       z
                                    
                                    
                                       0
                                    
                                    
                                       1
                                    
                                 
                              
                              )
                           
                           =
                           
                              (
                              
                                 ±
                                 14.3969
                                 ,
                                 ±
                                 14.6969
                                 ,
                                 8.6
                              
                              )
                           
                        
                        \left({x}_{0}^{1,2},{y}_{0}^{1,2},{z}_{0}^{1})=\left(\pm 14.3969,\pm 14.6969,8.6)
                     
                  . This figure illustrates that system (2.1) undergoes Hopf bifurcation at 
                     
                        
                        
                           
                              
                                 E
                              
                              
                                 3
                                 ,
                                 4
                              
                           
                           =
                           
                              (
                              
                                 ±
                                 14.6969
                                 ,
                                 ±
                                 14.6969
                                 ,
                                 9
                              
                              )
                           
                        
                        {E}_{3,4}=\left(\pm 14.6969,\pm 14.6969,9)
                     
                  .
Figure 1

Phase portrait of system (2.1) with ( a , c , d , b ) = ( 1.1061 , 3 , 2 , 4 ) and ( x 0 1 , 2 , y 0 1 , 2 , z 0 1 ) = ( ± 14.3969 , ± 14.6969 , 8.6 ) . This figure illustrates that system (2.1) undergoes Hopf bifurcation at E 3 , 4 = ( ± 14.6969 , ± 14.6969 , 9 ) .

Next, by applying the project method [29,30], we compute the Lyapunov coefficients to determine the stability of the Hopf bifurcation at E 3 , 4 .

First, by the time and coordinate transformations

( x , y , z , t ) x 3 , y , z , 1 3 x 2 3 t ,

one transforms system (2.1) into the resulting equivalent system

(3.3) x ˙ = a ( y x 3 ) , y ˙ = 3 x 2 ( c x + d y x z ) , z ˙ = 3 x 2 ( b z + x y ) .

Obviously, E 3 , 4 of system (2.1) correspond to E ± = ( ± x 0 , ± x 0 3 , x 0 4 b ) of system (3.3), where x 0 satisfies x 4 b d x 2 b c = 0 , i.e., x 0 = b d + b 2 d 2 + 4 b c 2 . It is easy to verify the transversality of E ± under the conditions of Proposition 2.4.

In fact, the characteristic equation of E + is

(3.4) λ 3 + 3 x 0 2 ( a + b d ) λ 2 + 3 x 0 4 [ 3 a b 2 a d 3 b d + 3 x 0 2 ] λ + 9 x 0 6 ( 2 a b d + 4 a x 0 2 ) = 0 ,

from which, λ 1 , 2 = ± ω i = ± 3 ( x 0 ) 4 [ 3 a b 2 a d 3 b d + 3 ( x 0 ) 2 ] i and λ 3 = 3 ( x 0 ) 2 ( a + b d ) < 0 are a pair of conjugate purely imaginary roots and one negative real root when ( a , b , c , d ) W 1 2 . Further, one obtains

d Re ( λ 1 ) d c c = c = 3 x 0 b [ 3 ( a + b d ) ( 3 a b 2 a d 3 b d + 4 ( x 0 ) 2 ) 6 a b d + 16 a ( x 0 ) 2 ] b 2 d 2 + 4 b c [ 3 a b 2 a d 3 b d + 3 ( x 0 ) 2 + 3 ( a + b d ) 2 ] 0 ,

where c = Δ 2 b 2 d 2 4 b with Δ = ( a + b d ) ( 6 a b 3 b d 4 a d ) 3 d 3 b + a and x 0 = b d + b 2 d 2 + 4 b c 2 . Therefore, the transversal condition holds.

Second, the following transformation

( x , y , z ) x + x 0 , y + x 0 3 , z + x 0 4 b

converts system (3.3) into the resulting equivalent one

(3.5) x ˙ y ˙ z ˙ = 3 a x 0 2 a 0 3 d x 0 4 3 d x 0 2 3 x 0 3 3 x 0 5 3 x 0 3 3 b x 0 2 x y z + 3 a x 0 x 2 9 x 0 2 x z 6 x 0 3 d x 2 + 6 x 0 d x y 9 x 0 2 x y + 6 x 0 4 x 2 6 x 0 b x z + a x 3 9 x 0 x 2 z 3 x 0 2 d x 3 + 3 d x 2 y 9 x 0 x 2 y + 3 x 0 3 x 3 3 b x 2 z + 0 3 x 3 z 3 x 3 y .

From Eq. (3.5), we arrive at the following multilinear symmetric functions:

B ( x , y ) = 6 a x 0 x 1 y 1 9 x 0 2 ( x 1 y 3 + x 3 y 1 ) 12 x 0 3 d x 1 y 1 + 6 x 0 d ( x 1 y 2 + x 2 y 1 ) 9 x 0 2 ( x 1 y 2 + x 2 y 1 ) + 12 x 0 4 x 1 y 1 6 x 0 b ( x 1 y 3 + x 3 y 1 ) ,

C ( x , y , z ) = 6 a x 1 y 1 z 1 18 x 0 ( x 3 y 1 z 1 + x 1 y 3 z 1 + x 1 y 1 z 3 ) 18 x 0 2 d x 1 y 1 z 1 + 6 d ( x 2 y 1 z 1 + x 1 y 2 z 1 + x 1 y 1 z 2 ) 18 x 0 ( x 2 y 1 z 1 + x 1 y 2 z 1 + x 1 y 1 z 2 ) + 18 x 0 3 x 1 y 1 z 1 6 b ( x 3 y 1 z 1 + x 1 y 3 z 1 + x 1 y 1 z 3 ) ,

D ( x , y , z , u ) = 0 18 ( x 3 y 1 z 1 u 1 + x 1 y 3 z 1 u 1 + x 1 y 1 z 3 u 1 + x 1 y 1 z 1 u 3 ) 18 ( x 2 y 1 z 1 u 1 + x 1 y 2 z 1 u 1 + x 1 y 1 z 2 u 1 + x 1 y 1 z 1 u 2 ) .

Owing to the complex algebraic structure of system (3.5) itself, it is a taxing work to compute the explicit form of its first coefficient l 1 at present. However, we are able to manage this computation to determine the stability of the Hopf bifurcation points when facing a concrete problem, e.g., ( a , c , d , b ) = ( 1.1061 , 3 , 2 , 4 ) . In this case, E ± of system (3.5) are E ± = ( ± 6 , ± 6 6 , 9 ) , whose eigenvalues of associated Jacobian matrix are λ 1 , 2 = ± 17.5405 i and λ 3 = 55.9098 . The transversality condition is calculated: d Re ( λ 2 ) d c c = c = 3 1.3854 > 0 . Moreover, the corresponding first coefficient l 1 is listed in the following proposition.

Proposition 3.1

For ( a , c , d , b ) = ( 1.1061 , 3 , 2 , 4 ) , system (3.5) undergoes Hopf bifurcation at E ± , of which the first Lyapunov coefficient is l 1 14.9575 > 0 , and thus, the Hopf bifurcation points at E ± are both weakly unstable foci. Since d Re ( λ 2 ) d c c = c = 3 1.3854 < 0 , the Hopf bifurcation at E ± is supercritical. Namely, for c > c = 3 , but close to c = 3 , there are unstable limit cycles around the asymptotically stable equilibrium points E ± .

Proof

In accordance with the procedures of the project method [29, 30], we perform computations and obtain p = 1.106 19.9098 + 17.5405 i 17.8156 + 6.4011 i , q = 0.3908 0.3179 i 0.0023 + 0.0360 i 0.0064 0.0205 i , h 11 = 6.7806 104.0702 80.4487 , h 20 = 2.4078 + 0.5406 i 44.1761 + 86.0970 i 64.0832 + 41.0264 i , G 21 = 29.915 356.34 i and l 1 = 1 2 G 21 = 14.9575 . Because of d Re ( λ 2 ) d c c = c = 3 1.3854 < 0 , the Hopf bifurcation at E ± is supercritical. Namely, set c = 2.9 > c , there exists a pairs of unstable limit orbits around the asymptotically stable equilibrium points E ± = ( ± 2.4693 , ± 15.0571 , 9.2952 ) , as shown in Figure 2. This completes the proof.□

Figure 2 
               Phase portrait of system (3.3) with 
                     
                        
                        
                           
                              (
                              
                                 a
                                 ,
                                 c
                                 ,
                                 d
                                 ,
                                 b
                              
                              )
                           
                           =
                           
                              (
                              
                                 1.1061
                                 ,
                                 −
                                 2.9
                                 ,
                                 2
                                 ,
                                 4
                              
                              )
                           
                        
                        \left(a,c,d,b)=\left(1.1061,-2.9,2,4)
                     
                   and 
                     
                        
                        
                           
                              (
                              
                                 
                                    
                                       x
                                    
                                    
                                       0
                                    
                                    
                                       ′
                                       ,
                                       ″
                                    
                                 
                                 ,
                                 
                                    
                                       y
                                    
                                    
                                       0
                                    
                                    
                                       ′
                                       ,
                                       ″
                                    
                                 
                                 ,
                                 
                                    
                                       z
                                    
                                    
                                       0
                                    
                                    
                                       ′
                                    
                                 
                              
                              )
                           
                           =
                           
                              (
                              
                                 ±
                                 2.2693
                                 ,
                                 ±
                                 15.1571
                                 ,
                                 9.1952
                              
                              )
                           
                        
                        \left({x}_{0}^{^{\prime} ,^{\prime\prime} },{y}_{0}^{^{\prime} ,^{\prime\prime} },{z}_{0}^{^{\prime} })=\left(\pm 2.2693,\pm 15.1571,9.1952)
                     
                  . This figure also illustrates that both unstable bifurcated periodic orbits around 
                     
                        
                        
                           
                              
                                 E
                              
                              
                                 ±
                              
                              
                                 ″
                              
                           
                           =
                           
                              (
                              
                                 ±
                                 2.4693
                                 ,
                                 ±
                                 15.0571
                                 ,
                                 9.2952
                              
                              )
                           
                        
                        {E}_{\pm }^{^{\prime\prime} }=\left(\pm 2.4693,\pm 15.0571,9.2952)
                     
                   tend to the same periodic orbit.
Figure 2

Phase portrait of system (3.3) with ( a , c , d , b ) = ( 1.1061 , 2.9 , 2 , 4 ) and ( x 0 , , y 0 , , z 0 ) = ( ± 2.2693 , ± 15.1571 , 9.1952 ) . This figure also illustrates that both unstable bifurcated periodic orbits around E ± = ( ± 2.4693 , ± 15.0571 , 9.2952 ) tend to the same periodic orbit.

Remark 3.1

For the case of l 1 = 0 , one has to compute the second Lyapunov exponent l 2 or the third or even higher order ones to determine the stability of the bifurcated periodic orbit by aid of the method [30].

4 The ultimate boundedness and the proof of Proposition 2.5

In this section, one considers the ultimate bound sets of system (2.1). First, we prove the global stability of E 0 and the following proposition holds.

Proposition 4.1

Consider system (2.1) and assume a > 0 , c < 0 , d + 3 2 2 c b = 0 and 3 b 4 a 0 . E 0 is a single and globally asymptotically stable equilibrium point of system (2.1). Consequently, system (2.1) has no homoclinic orbits to E 0 .

Proof

Set ϕ t ( q 0 ) = ( x ( t ; x 0 ) , y ( t ; y 0 ) , z ( t ; z 0 ) ) be any one solution of system (2.1) through the initial value q 0 = ( x 0 , y 0 , z 0 ) . For a > 0 , c < 0 , d + 3 2 2 c b = 0 and 3 b 4 a 0 , one constructs the first Lyapunov function

U 1 ( ϕ t ( q 0 ) ) = 1 2 b b 4 a 3 ( y x ) 2 + ( b z + x 4 3 ) 2 + 3 b 4 a 4 a ( 2 b c x 2 3 + x 4 3 ) 2

with the derivatives

(4.1) d U 1 ( ϕ t ( q 0 ) ) d t ( 2.1 ) = b b 4 a 3 ( d a ) ( y x ) 2 b ( b z + x 4 3 ) 2 0

for 3 b 4 a > 0 , and the second one

U 2 ( ϕ t ( q 0 ) ) = 1 2 ( y x ) 2 + 9 16 a 2 2 2 a c 3 x 2 3 + x 4 3 2

with

(4.2) d U 2 ( ϕ t ( q 0 ) ) d t ( 2.1 ) = ( d a ) ( y x ) 2 0

for 3 b 4 a = 0 , respectively.

Furthermore, it follows Eqs. (4.1) and (4.2) that d U 1 , 2 ( ϕ t ( q 0 ) ) d t ( 2.1 ) = 0 yields that q 0 is one of the equilibria, i.e.,

(4.3) x ˙ ( t ; x 0 ) y ˙ ( t ; y 0 ) z ˙ ( t ; z 0 ) 0 .

As a fact, t R , x ˙ ( t ; x 0 ) = a ( y x ) = 0 suggests x ( t ) = x 0 and y ˙ ( t , q 0 ) = 0 .

Since Q ( ϕ t ( q 0 ) ) = z 3 4 a x 4 3 = 0 is one of invariant algebraic surfaces of system (2.1) with cofactor 4 a 3 for 3 b 4 a = 0 , ϕ t ( q 0 ) { a ( y x ) = 0 } 2 2 a c 3 x 2 3 + x 4 3 = 0 leads to (4.3).

Therefore, E 0 is globally asymptotically stable. And hence, there does not exist a homoclinic orbit in system (2.1).□

To prove Proposition 2.5, we consider the following two propositions in advance.

Proposition 4.2

Define a set

Γ 1 = ( x ˜ , y ˜ , z ˜ ) x ˜ 2 n 2 + y ˜ 2 k 2 + ( z ˜ l ) 2 l 2 = 1 , n , k , l 0 ,

and H ( z ˜ , y ˜ , x ˜ ) = ( z ˜ 2 l ) 2 + y ˜ 2 + x ˜ 2 , ( x ˜ , y ˜ , z ˜ ) Γ 1 . Then we obtain the conclusion

max ( x ˜ , y ˜ , z ˜ ) Γ 1 H = k 4 k 2 l 2 , k 2 n 2 , k 2 2 l 2 , n 4 n 2 l 2 , n 2 k 2 , n 2 2 l 2 , 4 l 2 , k 2 2 l 2 , n 2 2 l 2 .

Proof of Proposition 4.2

The statement directly follows from the Lagrange multiplier method.□

Proposition 4.3

If a > 0 , d < 0 , λ > 0 and b > 0 with

Γ = ( x , y , z ) λ x 4 3 b ( 3 c + 2 λ a ) 2 24 a + y 2 b ( 3 c + 2 λ a ) 2 36 d + z 3 c + 2 λ a 6 2 ( 3 c + 2 λ a ) 2 36 = 1

and V 1 ( X ) = λ x 4 3 + y 2 + z 3 c + 2 λ a 3 2 , then we obtain the following result:

max ( x , y , z ) Γ 1 V 1 = b 2 ( 3 c + 2 λ a ) 2 36 d ( b + d ) , 2 a 3 d , b 2 d , b 2 ( 3 c + 2 λ a ) 2 8 a ( 3 b 2 a ) , 3 d 2 a , 3 b 4 a , ( 3 c + 2 λ a ) 2 9 , b 2 d , 3 b 4 a .

Proof of Proposition 4.3

The proof is easily proved by using Proposition 4.2.

Let us take

λ x 2 3 = x ˜ , y = y ˜ , z = z ˜ ,

n 2 = b ( 3 c + 2 λ a ) 2 24 a , k 2 = b ( 3 c + 2 λ a ) 2 36 d , l 2 = ( 3 c + 2 λ a ) 2 36 .

Then we have

(4.4) V 1 ( x , y , z ) = λ x 4 3 + y 2 + z 3 c + 2 λ a 3 2 = x ˜ 2 + y ˜ 2 + ( z ˜ 2 l ) 2 ,

Γ = ( x , y , z ) λ x 4 3 b ( 3 c + 2 λ a ) 2 24 a + y 2 b ( 3 c + 2 λ a ) 2 36 d + z 3 c + 2 λ a 6 2 ( 3 c + 2 λ a ) 2 36 = 1 = ( x ˜ , y ˜ , z ˜ ) x ˜ 2 n 2 + y ˜ 2 k 2 + ( z ˜ l ) 2 l 2 = 1 , n , k , l 0 .

By solving the following conditional extremum problem of V 1 ( x , y , z ) in (4.4), we can easily derive

(4.5) max V 1 ( x ˜ , y ˜ , z ˜ ) = max { x ˜ 2 + y ˜ 2 + ( z ˜ 2 l ) 2 } , s.t. x ˜ 2 n 2 + y ˜ 2 k 2 + ( z ˜ l ) 2 l 2 = 1 .

According to Proposition 4.1, we can easily obtain the aforementioned conditional extremum problem (4.5) as follows:

max ( x , y , z ) Γ V 1 = b 2 ( 3 c + 2 λ a ) 2 36 d ( b + d ) , 2 a 3 d , b 2 d , b 2 ( 3 c + 2 λ a ) 2 8 a ( 3 b 2 a ) , 3 d 2 a , 3 b 4 a , ( 3 c + 2 λ a ) 2 9 , b 2 d , 3 b 4 a .

Proof of Proposition 2.5

The ultimate boundedness of solutions of system (2.1) follows from Proposition 4.2 and 4.3.

Define the following positively definite and radially unbound Lyapunov function:

(4.6) V 1 ( x , y , z ) = λ x 4 3 + y 2 + z 3 c + 2 λ a 3 2 .

The derivative of V 1 ( x , y , z ) along the trajectory of system (2.1) is

(4.7) d V 1 d t ( 2.1 ) = 4 λ a 3 x 3 d x d t + 2 y d y d t + 2 z 3 c + 2 λ a 6 d z d t = 4 3 λ a x 4 3 + 2 d y 2 2 b z 3 c + 2 λ a 6 2 + b ( 3 c + 2 λ a ) 2 18 .

Let d V 1 d t = 0 . Then, one can obtain the surface Γ :

(4.8) Γ = ( x , y , z ) λ x 4 3 b ( 3 c + 2 λ a ) 2 24 a + y 2 b ( 3 c + 2 λ a ) 2 36 d + z 3 c + 2 λ a 6 2 ( 3 c + 2 λ a ) 2 36 = 1

is an ellipsoid in R 3 for a > 0 , d < 0 , λ > 0 and b > 0 . Outside Γ , V 1 ˙ ( X ) < 0 , while inside Γ , V 1 ˙ ( X ) > 0 . Thus, the ultimate boundedness for system (2.1) can only be reached on Γ . Because the V 1 ( X ) is a continuous function, and Γ is a bound closed set, then the function (4.6) can reach its maximum value max V 1 ( X ) = R 2 ( X Γ ) on the surface Γ defined in (4.8).

Obviously, { ( x , y , z ) V 1 ( X ) max V 1 ( X ) , X Γ } contains the solutions of system (2.1). By solving the following conditional extremum problem, one can obtain the maximum value of the function (4.6):

(4.9) max V 1 ( x ˜ , y ˜ , z ˜ ) = max λ x 4 3 + y 2 + z 3 c + 2 λ a 3 2 , s.t. λ x 4 3 b ( 3 c + 2 λ a ) 2 24 a + y 2 b ( 3 c + 2 λ a ) 2 36 d + z 3 c + 2 λ a 6 2 ( 3 c + 2 λ a ) 2 36 = 1 .

According to Proposition 2.2, we can easily obtain the aforementioned conditional extremum problem (4.9) as follows:

R 2 = b 2 ( 3 c + 2 λ a ) 2 36 d ( b + d ) , 2 a 3 d , b 2 d , b 2 ( 3 c + 2 λ a ) 2 8 a ( 3 b 2 a ) , 3 d 2 a , 3 b 4 a , ( 3 c + 2 λ a ) 2 9 , b 2 d , 3 b 4 a .

This completes the proof.□

5 Global attractive set and the proof of Proposition 2.6

By aid of comparison principle and Lyapunov function, one in this section considers the globally exponentially attractive set of system (2.1) and the proof of Proposition 2.6 follows.

Proof of Proposition 2.6

It follows Eq. (4.7) that one has

d V 1 d t ( 2.1 ) = ε λ x 4 3 + y 2 + z 3 c + 2 λ a 3 2 + λ ε 4 a 3 x 4 3 + ( ε + 2 d ) y 2 + ε z 3 c + 2 λ a 3 2 2 b z 2 + 2 b ( 3 c + 2 λ a ) 3 z .

(1) If ε = ε 1 = 4 a 3 > 0 , 2 a 3 + d 0 , 4 a 3 b and L 1 = b 2 ( 3 c + 2 λ a ) 2 8 a ( 3 b 2 a ) , then

d V 1 d t ( 2.1 ) ε 1 V 1 ( X ) + ε 1 z 3 c + 2 λ a 3 2 2 b z 2 + 2 b ( 3 c + 2 λ a ) 3 z = ε 1 V 1 ( X ) + 4 a 3 2 b z 2 2 ( 3 b 4 a ) 9 ( 3 c + 2 λ a ) z + 4 a ( 3 c + 2 λ a ) 2 27 ε 1 V 1 ( X ) + max z R F 1 ( z ) = ε 1 V 1 ( X ) b 2 ( 3 c + 2 λ a ) 2 6 ( 2 a 3 b ) = ε 1 V 1 ( X ) b 2 ( 3 c + 2 λ a ) 2 6 ε 1 ( 3 b 2 a ) = ε 1 V 1 ( X ) b 2 ( 3 c + 2 λ a ) 2 8 a ( 3 b 2 a ) = ε 1 [ V 1 ( X ) L 1 ] .

(2) If ε 2 = 2 d > 0 , 2 a 3 + d 0 , b + 2 d 0 and L 2 = b 2 ( 3 c + 2 λ a ) 2 36 d ( b + d ) , then

d V 1 d t ( 2.1 ) ε 2 V 1 ( X ) + ε 2 z 3 c + 2 λ a 3 2 2 b z 2 + 2 b ( 3 c + 2 λ a ) 3 z = ε 2 V 1 ( X ) 2 [ b + d ] z 2 + 2 ( b + 2 d ) 3 ( 3 c + 2 λ a ) z 2 d ( 3 c + 2 λ a ) 2 9 ε 2 V 1 ( X ) + max z R F 2 ( z ) = ε 2 V 1 ( X ) + b 2 ( 3 c + 2 λ a ) 2 18 ( b + d ) = ε 2 V 1 ( X ) b 2 ( 3 c + 2 λ a ) 2 18 ε 2 ( b + d ) = ε 2 V 1 ( X ) b 2 ( 3 c + 2 λ a ) 2 36 d ( b + d ) = ε 2 [ V 1 ( X ) L 2 ] .

(3) If ε 3 = b > 0 , 3 b 4 a 0 , b + 2 d 0 and L 3 = ( 3 c + 2 λ a ) 2 9 , then

d V 1 d t ( 2.1 ) ε 3 V 1 ( X ) + ε 3 z 3 c + 2 λ a 3 2 2 b z 2 + 2 b ( 3 c + 2 λ a ) 3 z < ε 3 V 1 ( X ) + ε 3 z 3 c + 2 λ a 3 2 b z 2 + 2 b ( 3 c + 2 λ a ) 3 z = ε 3 V 1 ( X ) + ( ε 3 b ) z 3 c + 2 λ a 3 2 + b ( 3 c + 2 λ a ) 2 9 = ε 3 V 1 ( X ) + b ( 3 c + 2 λ a ) 2 9 = ε 3 V 1 ( X ) ( 3 c + 2 λ a ) 2 9 = ε 3 [ V 1 ( X ) L 3 ] .

In all, we have

(5.1) V 1 ( X ) L i [ V 1 ( X 0 ) L i ] e ε i ( t t 0 ) , i = 1 , 2 , 3 .

By the definition, taking upper limit on both sides of the above inequality (5.1) as t + results in

lim t + ¯ V 1 ( X ) L i , i = 1 , 2 , 3 .

Namely, the sets

Ψ 1 i = { X ( t ) lim t ¯ V 1 ( X ) L i } = ( x , y , z ) λ x 4 3 + y 2 + z 3 c + 2 λ a 3 2 L i

are the globally exponentially attractive sets of system (2.1), where i = 1 , 2 , 3 . This completes the proof.□

Remark 5.1

  1. When 3 c + 2 λ a = 0 , E 0 is globally asymptotically stable.

  2. When c = 0 and b = d , y 2 + z 2 is an invariant algebraic surface with cofactor 2 d .

  3. While b = d = 2 a 3 , 3 c 2 a x 4 3 + y 2 + z 2 is another invariant algebraic surface with cofactor 2 d .

Remark 5.2

When 4 a 3 b > 0 , the inequality Q = z 3 4 a x 4 3 0 holds.

6 Homoclinic and heteroclinic orbit

For the sake of discussion, let ϕ t ( q 1 0 ) = ( x ( t ; x 1 0 ) , y ( t ; y 1 0 ) , z ( t ; z 1 0 ) ) (resp. ϕ t ( q 2 0 ) = ( x ( t ; x 2 0 ) , y ( t ; y 2 0 ) , z ( t ; z 2 0 ) ) ) be any one solution of system (2.1) through the initial value q 1 0 = ( x 1 0 , y 1 0 , z 1 0 ) (resp. q 2 0 = ( x 2 0 , y 2 0 , z 2 0 ) ). Let γ (resp. γ + ) be the branch of the unstable manifold W u ( E 2 ) (resp. W u ( E 1 ) ) corresponding to x + < 0 (resp. x + > 0 ) for large negative t , i.e., γ = { ϕ t ( q 2 0 ) ϕ t ( q 2 0 ) = ( x + ( t ; x 2 0 ) , y + ( t ; y 2 0 ) , z + ( t ; z 2 0 ) ) W u } , γ + = { ϕ t + ( q 1 0 ) ϕ t + ( q 1 0 ) = ( x + ( t ; x 1 0 ) , y + ( t ; y 1 0 ) , z + ( t ; z 1 0 ) ) W + u } , t R .

Put the first Lyapunov function

V 2 ( ϕ t ( q i 0 ) ) = 1 2 b b 4 a 3 ( y x ) 2 + ( b z + x 4 3 ) 2 + 3 b 4 a 4 a ( 2 b c x 2 3 + x 4 3 ) 2

for 3 b 4 a > 0 , and the second one

V 3 ( ϕ t ( q i 0 ) ) = 1 2 ( y x ) 2 + 9 16 a 2 2 2 a c 3 x 2 3 + x 4 3 2

for 3 b 4 a = 0 and then z = 3 4 a x 4 3 .

It follows that

(6.1) d V 2 ( ϕ t ( q i 0 ) ) d t ( 2.1 ) = b b 4 a 3 ( d a ) ( y x ) 2 b ( b z + x 4 3 ) 2

and

(6.2) d V 3 ( ϕ t ( q i 0 ) ) d t ( 2.1 ) = ( d a ) ( y x ) 2 ,

respectively, i = 1 , 2 .

Combining Lyapunov functions V 2 , 3 ( ϕ t ( q i 0 ) ) defined above and concepts of α -limit set, ω -limit set, we rigorously prove the existence of the heteroclinic orbit of system (2.1), i.e., the outline of proof for Proposition 2.7, which is similar to the smooth Lorenz-like systems in [113] and is sketched here.

First, we formulate the following conclusion.

Proposition 6.1

Consider a > d , c < 0 , d 3 2 2 c b = 0 and 3 b 4 a 0 . The following two assertions are true.

  1. If V 2 , 3 ( ϕ t 1 ( q i 0 ) ) = V 2 , 3 ( ϕ t 2 ( q i 0 ) ) with t 1 < t 2 , then q i 0 is an equilibrium point of system (2.1).

  2. If t , lim ϕ t ( q i 0 ) = E 1 , 2 and q i 0 E 1 , 2 , then V 2 , 3 ( E 1 , 2 ) > V 2 , 3 ( ϕ t ( q i 0 ) ) , i = 1 , 2 .

Proof

(i) For a > d , c < 0 , d 3 2 2 c b = 0 and 3 b 4 a 0 , it follows Eqs. (6.1) and (6.2) that d V 2 , 3 ( ϕ t ( q i 0 ) ) d t ( 2.1 ) 0 . Based on the hypothesis of (i), d V 2 , 3 ( ϕ t ( q i 0 ) ) d t ( 2.1 ) = 0 holds for all t ( t 1 , t 2 ) , and thus suggests that q i 0 is one of the equilibria, i.e.,

(6.3) x ˙ ( t ; x i 0 ) y ˙ ( t ; y i 0 ) z ˙ ( t ; z i 0 ) 0 .

In fact, t R , x ˙ ( t ; x i 0 ) = a ( y x ) = 0 yields x ( t ) = x i 0 and y ˙ ( t ; y i 0 ) = 0 .

Since Q ( ϕ t ( q i 0 ) ) = z 3 4 a x 4 3 = 0 is an invariant algebraic surface with cofactor 4 a 3 for 3 b 4 a = 0 , ϕ t ( q i 0 ) { a ( y x ) = 0 }   2 2 a c 3 x 2 3 + x 4 3 = 0 leads to (6.3).

(ii) First, we prove the fact: V 2 , 3 ( E 1 , 2 ) > V 2 , 3 ( ϕ t ( q i 0 ) ) , t R by reduction to absurdity. In fact, t 0 R , such that 0 < V 2 , 3 ( E 1 , 2 ) V 2 , 3 ( ϕ t 0 ( q i 0 ) ) . Then the aforementioned result (i) reads that q i 0 is one of the equilibria of the system. But q i 0 E 1 , 2 , this contradicts the facts that lim t ϕ t ( q i 0 ) = E 1 , 2 . Hence, it follows that V 2 , 3 ( E 1 , 2 ) > V 2 , 3 ( ϕ t ( q i 0 ) ) for all t R .□

Based on Proposition 6.1, the proof of Proposition 2.7 easily follows.

Proof of Proposition 2.7

(a) Because of d V 2 , 3 ( ϕ t ( q i 0 ) ) d t 0 for a > d , c < 0 , d 3 2 2 c b = 0 and 3 b 4 a 0 , we have

(6.4) 0 V 2 , 3 ( ϕ t ( q i 0 ) ) V 2 , 3 ( q i 0 ) ,

for t R , i.e., lim t + V 2 , 3 ( ϕ t ( q i 0 ) ) = V 2 , 3 ( q i 0 ) exist. This implies that V 2 , 3 ( ϕ t ( q i 0 ) ) are bound for t 0 . Namely, x ( t , x i 0 ) , y ( t , y i 0 ) and z ( t , z i 0 ) are all bounded, i.e., ϕ t ( q i 0 ) is bound for t 0 . Let the ω -limit set of the orbit ϕ t ( q i 0 ) be Ω ( q i 0 ) , i.e., q ˜ Ω ( q i 0 ) , ϕ t ( q ˜ ) Ω ( q i 0 ) . Namely, ϕ t ( q ˜ ) , t 0 , t n , n , such that lim n + ϕ t n ( q i 0 ) = ϕ t ( q ˜ ) , which also suggests

V 2 , 3 ( ϕ t ( q ˜ ) ) = lim n + V 2 , 3 ( ϕ t n ( q i 0 ) ) = V 2 , 3 ( q i 0 ) = const .

Therefore, t 1 < t 2 such that V 2 , 3 ( ϕ t 1 ( q ˜ ) ) = V 2 , 3 ( ϕ t 2 ( q ˜ ) ) . On the basis of Proposition 6.1, q ˜ is one of equilibria of system (2.1).

(b) Assume γ ( t , q i 0 ) is a homoclinic orbit to E 0 or E 1 , 2 , 3 , 4 through an initial condition q i 0 { E 0 , E 1 , 2 , 3 , 4 } , i.e., lim t ± γ ( t , q i 0 ) = u , u { E 0 , E 1 , 2 , 3 , 4 } . Since d V 2 , 3 ( ϕ t ( q i 0 ) ) d t 0 , we have

(6.5) 0 V 2 , 3 ( u ) = V 2 , 3 ( γ ( , q i 0 ) ) V 2 , 3 ( γ ( t , q i 0 ) ) V 2 , 3 ( γ ( , q i 0 ) ) = V 2 , 3 ( u ) ,

i.e., V 2 , 3 ( γ ( t , q i 0 ) ) = V 2 , 3 ( u ) , t R . It follows from Proposition 6.1 that q i 0 { E 0 , E 1 , 2 , 3 , 4 } , which is a contradiction. Hence, there is no homoclinic trajectories in system (2.1).

According to statement (a), each branch of the unstable manifold W u has ω -limit, which is one of equilibria p ˜ .

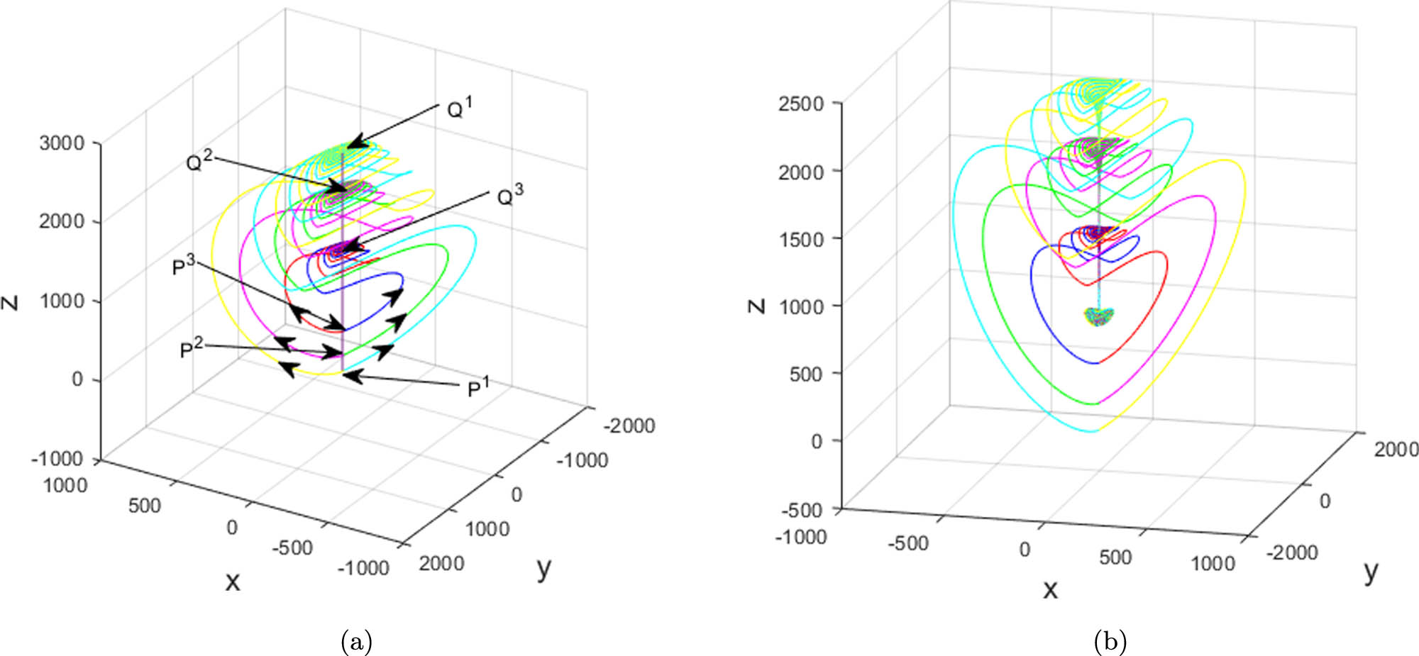
Because of V 2 , 3 ( E 1 , 2 ) > V 2 , 3 ( E 0 , 3 , 4 ) for a > d , c < 0 , d 3 2 2 c b = 0 and 3 b 4 a 0 , p ˜ has to be either E 0 or E 3 or E 4 . Due to the symmetry of system (2.1) with respect to the z -axis, γ ± tends to E 0 , or E 3 or E 4 , obtaining in this way three pairs of heteroclinic orbits to E 1 , 2 and E 0 or E 3 or E 4 . Figures 3 and 4 verify correctness of the theoretical result. The proof is completed.□

Figure 3 
               Phase portraits of system (2.1) with 
                     
                        
                        
                           
                              (
                              
                                 c
                                 ,
                                 d
                                 ,
                                 b
                              
                              )
                           
                           =
                           
                              (
                              
                                 −
                                 10
                                 ,
                                 3
                                 ,
                                 5
                              
                              )
                           
                        
                        \left(c,d,b)=\left(-10,3,5)
                     
                  , 
                     
                        
                        
                           (
                           a
                           )
                           :
                           a
                           =
                           5
                           ,
                           (
                           b
                           )
                           :
                           a
                           =
                           
                              
                                 15
                              
                              
                                 4
                              
                           
                        
                        (\lefta):a=5\left,(\leftb):a=\frac{15}{4}
                     
                   and 
                     
                        
                        
                           
                              
                                 E
                              
                              
                                 1
                                 ,
                                 2
                              
                           
                           =
                           
                              (
                              
                                 ±
                                 11.1803
                                 ,
                                 ±
                                 11.1803
                                 ,
                                 5
                              
                              )
                           
                        
                        {E}_{1,2}=\left(\pm 11.1803,\pm 11.1803,5)
                     
                  . These figures illustrate that system (2.1) has two heteroclinic orbits to 
                     
                        
                        
                           
                              
                                 E
                              
                              
                                 1
                                 ,
                                 2
                              
                           
                        
                        {E}_{1,2}
                     
                   and 
                     
                        
                        
                           
                              
                                 E
                              
                              
                                 0
                              
                           
                        
                        {E}_{0}
                     
                  .
Figure 3

Phase portraits of system (2.1) with ( c , d , b ) = ( 10 , 3 , 5 ) , ( a ) : a = 5 , ( b ) : a = 15 4 and E 1 , 2 = ( ± 11.1803 , ± 11.1803 , 5 ) . These figures illustrate that system (2.1) has two heteroclinic orbits to E 1 , 2 and E 0 .

Figure 4 
               Phase portraits of system (2.1) with 
                     
                        
                        
                           
                              (
                              
                                 c
                                 ,
                                 d
                                 ,
                                 b
                              
                              )
                           
                           =
                           
                              (
                              
                                 −
                                 2
                                 ,
                                 1
                                 ,
                                 9
                              
                              )
                           
                        
                        \left(c,d,b)=\left(-2,1,9)
                     
                  , 
                     
                        
                        
                           (
                           a
                           )
                           :
                           a
                           =
                           5
                           ,
                           (
                           b
                           )
                           :
                           a
                           =
                           
                              
                                 27
                              
                              
                                 4
                              
                           
                        
                        (\lefta):a=5\left,(\leftb):a=\frac{27}{4}
                     
                   and 
                     
                        
                        
                           
                              
                                 E
                              
                              
                                 1
                                 ,
                                 2
                              
                           
                           =
                           
                              (
                              
                                 ±
                                 5.1962
                                 ,
                                 ±
                                 5.1962
                                 ,
                                 1
                              
                              )
                           
                        
                        {E}_{1,2}=\left(\pm 5.1962,\pm 5.1962,1)
                     
                  . These figures illustrate that system (2.1) has another two heteroclinic orbits to 
                     
                        
                        
                           
                              
                                 E
                              
                              
                                 1
                                 ,
                                 2
                              
                           
                        
                        {E}_{1,2}
                     
                   and 
                     
                        
                        
                           
                              
                                 E
                              
                              
                                 3
                                 ,
                                 4
                              
                           
                           =
                           
                              (
                              
                                 ±
                                 14.6969
                                 ,
                                 ±
                                 14.6969
                                 ,
                                 4
                              
                              )
                           
                        
                        {E}_{3,4}=\left(\pm 14.6969,\pm 14.6969,4)
                     
                  .
Figure 4

Phase portraits of system (2.1) with ( c , d , b ) = ( 2 , 1 , 9 ) , ( a ) : a = 5 , ( b ) : a = 27 4 and E 1 , 2 = ( ± 5.1962 , ± 5.1962 , 1 ) . These figures illustrate that system (2.1) has another two heteroclinic orbits to E 1 , 2 and E 3 , 4 = ( ± 14.6969 , ± 14.6969 , 4 ) .

Next, we discuss global bifurcation of the invariant algebraic surface: Q = z 3 4 a x 4 3 with cofactor 4 a 3 .

For 3 b 4 a = 0 and t , one has z 3 4 a x 4 3 = 0 , which converts system (2.1) into the following one:

(6.6) x ˙ = a ( y x ) , y ˙ = c x 3 + d y 3 4 a x 5 3 , a 0 , c R .

When d = a , it is easy to see that system (6.6) is a Hamiltonian system with the Hamiltonian function:

(6.7) H ( x , y ) = a x y + a 2 y 2 3 c 4 x 4 3 + 9 32 a x 8 3 .

At this time, system (6.6) has the equilibrium points:

P 0 = ( 0 , 0 ) , P 1 , 2 = ± a a 2 + 3 c a 2 3 2 , ± a a 2 + 3 c a 2 3 2

for

a a 2 + 3 c a 0 , P 3 , 4 = ± a + a 2 + 3 c a 2 3 2 , ± a + a 2 + 3 c a 2 3 2

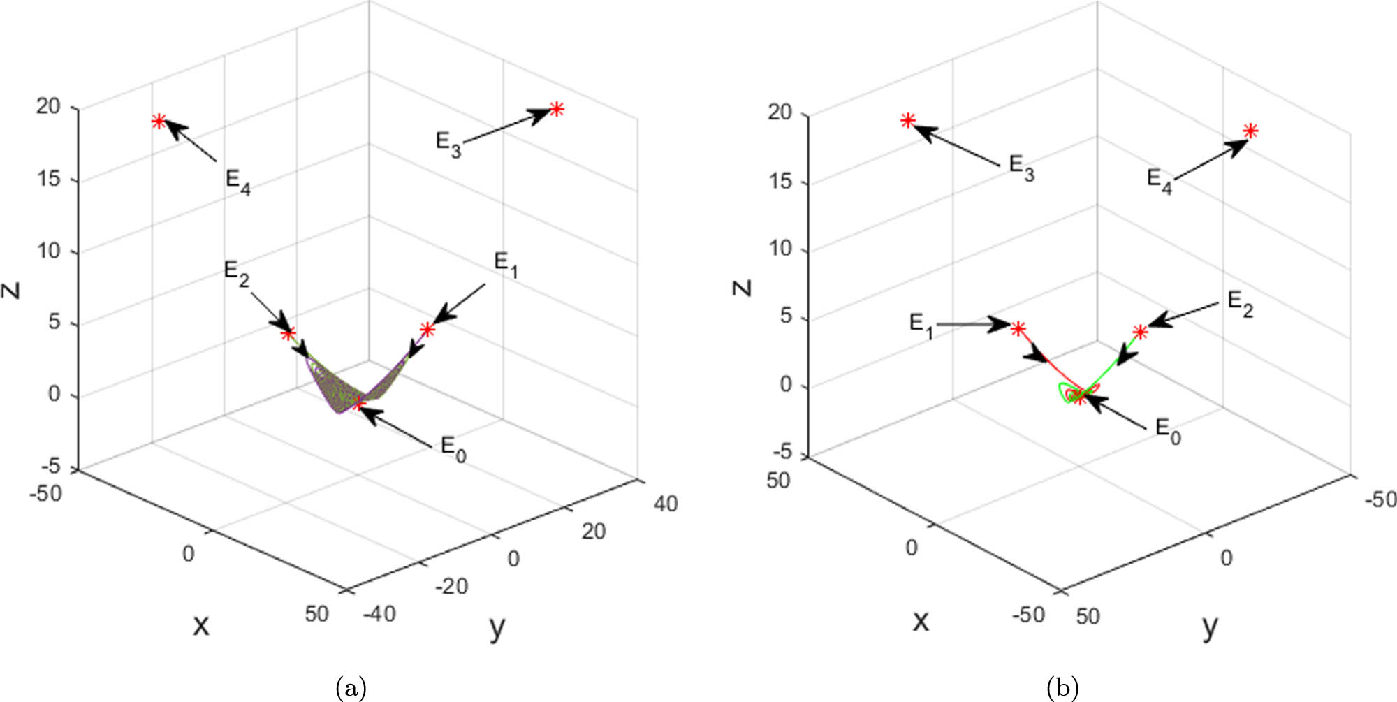
for a + a 2 + 3 c a 0 . Moreover, the existence of homoclinic and heteroclinic orbits of system (6.6) is summarized in the following propositions, as depicted in Figures 5 and 6.

Figure 5 
               Phase portraits of systems (a): (2.1) and (b):  (6.6) with 
                     
                        
                        
                           
                              (
                              
                                 a
                                 ,
                                 c
                                 ,
                                 d
                                 ,
                                 b
                              
                              )
                           
                           =
                           
                              (
                              
                                 3
                                 ,
                                 1
                                 ,
                                 3
                                 ,
                                 4
                              
                              )
                           
                        
                        \left(a,c,d,b)=\left(3,1,3,4)
                     
                  . Both figures illustrate that systems (a): (2.1) and (b): (6.6) have two homoclinic orbits to 
                     
                        
                        
                           
                              
                                 E
                              
                              
                                 0
                              
                           
                        
                        {E}_{0}
                     
                   and 
                     
                        
                        
                           
                              
                                 P
                              
                              
                                 0
                              
                           
                        
                        {P}_{0}
                     
                  .
Figure 5

Phase portraits of systems (a): (2.1) and (b): (6.6) with ( a , c , d , b ) = ( 3 , 1 , 3 , 4 ) . Both figures illustrate that systems (a): (2.1) and (b): (6.6) have two homoclinic orbits to E 0 and P 0 .

Figure 6 
               Phase portraits of systems (a): (2.1) and (b): (6.6) with 
                     
                        
                        
                           
                              (
                              
                                 a
                                 ,
                                 c
                                 ,
                                 d
                                 ,
                                 b
                              
                              )
                           
                           =
                           
                              (
                              
                                 3
                                 ,
                                 −
                                 7
                                 ,
                                 3.0
                                 ,
                                 4
                              
                              )
                           
                        
                        \left(a,c,d,b)=\left(3,-7,3.0,4)
                     
                  . Both figures illustrate that systems (a): (2.1) and (b): (6.6) have two heteroclinic orbits to 
                     
                        
                        
                           
                              
                                 E
                              
                              
                                 1
                              
                           
                        
                        {E}_{1}
                     
                   and 
                     
                        
                        
                           
                              
                                 E
                              
                              
                                 2
                              
                           
                        
                        {E}_{2}
                     
                  , 
                     
                        
                        
                           
                              
                                 E
                              
                              
                                 3
                              
                           
                        
                        {E}_{3}
                     
                   and 
                     
                        
                        
                           
                              
                                 E
                              
                              
                                 4
                              
                           
                        
                        {E}_{4}
                     
                  , 
                     
                        
                        
                           
                              
                                 P
                              
                              
                                 1
                              
                           
                        
                        {P}_{1}
                     
                   and 
                     
                        
                        
                           
                              
                                 P
                              
                              
                                 2
                              
                           
                        
                        {P}_{2}
                     
                  , 
                     
                        
                        
                           
                              
                                 P
                              
                              
                                 3
                              
                           
                        
                        {P}_{3}
                     
                   and 
                     
                        
                        
                           
                              
                                 P
                              
                              
                                 4
                              
                           
                        
                        {P}_{4}
                     
                  .
Figure 6

Phase portraits of systems (a): (2.1) and (b): (6.6) with ( a , c , d , b ) = ( 3 , 7 , 3.0 , 4 ) . Both figures illustrate that systems (a): (2.1) and (b): (6.6) have two heteroclinic orbits to E 1 and E 2 , E 3 and E 4 , P 1 and P 2 , P 3 and P 4 .

Proposition 6.2

If 8 a 2 + 2 16 a 4 + 54 a c > 0 , system (2.1)has a pair of homoclinic orbits to E 0 :

y = x ± x 2 + 3 c 2 a x 4 3 9 16 a 2 x 8 3 , x < 8 a 2 + 2 16 a 4 + 54 a c 9 3 2 .

Proposition 6.3

(1) If a a 2 + 3 c a > 0 , system (2.1) has a pair of heteroclinic orbits to E 1 , 2 :

y = x ± x 2 + 3 c 2 a x 4 3 9 16 a 2 x 8 3 + a a 2 + 3 c a 2 3 3 c 2 a a a 2 + 3 c a 2 2 + 9 16 a 2 a a 2 + 3 c a 2 4 , x < a a 2 + 3 c a 2 3 2 .

(2) While a + a 2 + 3 c a > 0 , system (2.1) has another pair of heteroclinic orbits to E 3 , 4 :

y = x ± x 2 + 3 c 2 a x 4 3 9 16 a 2 x 8 3 + a + a 2 + 3 c a 2 3 3 c 2 a a + a 2 + 3 c a 2 2 + 9 16 a 2 a + a 2 + 3 c a 2 4 , x < a + a 2 + 3 c a 2 3 2 .

7 Singularly degenerate heteroclinic cycle

A singularly degenerate heteroclinic cycle is an important concept when studying quadratic Lorenz-like system family, the collapse of which is one route to chaos or hyperchaos [7,8,10,11,25,26,31,32]. However, the occurrence of this scenario does not happen in the cubic Lorenz-type system [12]. Therefore, a question naturally arises: Whether does there exist such dynamical behavior in a sub-quadratic Lorenz-like system?

In this section, we illustrate strange attractors through collapse of singularly degenerate heteroclinic cycles and explosions of stable isolated equilibria E z of system (2.1) and present the following numerical simulations.

Numerical result 7.1. Assume b = 0 . When 0 < d < a , c z > 0 and t , the unstable manifold W u ( P ) ( P = ( 0 , 0 , z 1 ) ) tends to the stable manifold W u ( Q ) ( Q = ( 0 , 0 , z 2 ) ) with c z 2 < 0 , forming singularly degenerate heteroclinic cycles, as depicted in Figure 7(a). Furthermore, some Lorenz-like chaotic attractors can be generated near the singularly degenerate heteroclinic cycles with a small perturbation of b > 0 , as depicted in Figure 7(b).

Figure 7 
               For (a) 
                     
                        
                        
                           b
                           =
                           0
                        
                        b=0
                     
                  , (b) 
                     
                        
                        
                           b
                           =
                           0.06
                        
                        b=0.06
                     
                  , 
                     
                        
                        
                           
                              (
                              
                                 a
                                 ,
                                 c
                                 ,
                                 d
                              
                              )
                           
                           =
                           
                              (
                              
                                 4
                                 ,
                                 600
                                 ,
                                 2
                              
                              )
                           
                        
                        \left(a,c,d)=\left(4,600,2)
                     
                   and 
                     
                        
                        
                           
                              (
                              
                                 
                                    
                                       x
                                    
                                    
                                       0
                                    
                                    
                                       3
                                       ,
                                       4
                                    
                                 
                                 ,
                                 
                                    
                                       y
                                    
                                    
                                       0
                                    
                                    
                                       3
                                       ,
                                       4
                                    
                                 
                              
                              )
                           
                           =
                           
                              (
                              
                                 ±
                                 1.3
                                 ,
                                 ±
                                 1.3
                              
                              )
                           
                           ×
                           1
                           
                              
                                 0
                              
                              
                                 −
                                 4
                              
                           
                        
                        \left({x}_{0}^{3,4},{y}_{0}^{3,4})=\left(\pm 1.3,\pm 1.3)\times 1{0}^{-4}
                     
                  , (
                     
                        
                        
                           
                              
                                 P
                              
                              
                                 1
                              
                           
                        
                        {P}^{1}
                     
                  ) 
                     
                        
                        
                           
                              
                                 z
                              
                              
                                 0
                              
                              
                                 2
                              
                           
                           =
                           −
                           200
                        
                        {z}_{0}^{2}=-200
                     
                  , (
                     
                        
                        
                           
                              
                                 P
                              
                              
                                 2
                              
                           
                        
                        {P}^{2}
                     
                  ) 
                     
                        
                        
                           
                              
                                 z
                              
                              
                                 0
                              
                              
                                 3
                              
                           
                           =
                           0
                        
                        {z}_{0}^{3}=0
                     
                  , (
                     
                        
                        
                           
                              
                                 P
                              
                              
                                 3
                              
                           
                        
                        {P}^{3}
                     
                  ) 
                     
                        
                        
                           
                              
                                 z
                              
                              
                                 0
                              
                              
                                 4
                              
                           
                           =
                           300
                        
                        {z}_{0}^{4}=300
                     
                  , phase portraits of system (2.1). (a) and (b) illustrate that there exist chaotic attractors near the singularly degenerate heteroclinic cycles with small 
                     
                        
                        
                           b
                           >
                           0
                        
                        b\gt 0
                     
                  .
Figure 7

For (a) b = 0 , (b) b = 0.06 , ( a , c , d ) = ( 4 , 600 , 2 ) and ( x 0 3 , 4 , y 0 3 , 4 ) = ( ± 1.3 , ± 1.3 ) × 1 0 4 , ( P 1 ) z 0 2 = 200 , ( P 2 ) z 0 3 = 0 , ( P 3 ) z 0 4 = 300 , phase portraits of system (2.1). (a) and (b) illustrate that there exist chaotic attractors near the singularly degenerate heteroclinic cycles with small b > 0 .

Numerical result 7.2. Assume b = 0 . When 0 < d < a , c z < 0 and t , the explosions of the stable E z also create Lorenz-like attractors with a small perturbation of b > 0 , as illustrated in Figure 8.

Figure 8 
               For (a) 
                     
                        
                        
                           b
                           =
                           0
                        
                        b=0
                     
                  , (b) 
                     
                        
                        
                           b
                           =
                           0.06
                        
                        b=0.06
                     
                  , 
                     
                        
                        
                           
                              (
                              
                                 a
                                 ,
                                 c
                                 ,
                                 d
                              
                              )
                           
                           =
                           
                              (
                              
                                 4
                                 ,
                                 700
                                 ,
                                 2
                              
                              )
                           
                        
                        \left(a,c,d)=\left(4,700,2)
                     
                   and 
                     
                        
                        
                           
                              (
                              
                                 
                                    
                                       x
                                    
                                    
                                       0
                                    
                                    
                                       5
                                       ,
                                       6
                                    
                                 
                                 ,
                                 
                                    
                                       y
                                    
                                    
                                       0
                                    
                                    
                                       5
                                       ,
                                       6
                                    
                                 
                              
                              )
                           
                           =
                           
                              (
                              
                                 ±
                                 0.13
                                 ,
                                 ±
                                 1.3
                              
                              )
                           
                           ×
                           1
                           
                              
                                 0
                              
                              
                                 −
                                 7
                              
                           
                        
                        \left({x}_{0}^{5,6},{y}_{0}^{5,6})=\left(\pm 0.13,\pm 1.3)\times 1{0}^{-7}
                     
                  , (
                     
                        
                        
                           
                              
                                 S
                              
                              
                                 1
                              
                           
                        
                        {S}_{1}
                     
                  ) 
                     
                        
                        
                           
                              
                                 z
                              
                              
                                 0
                              
                              
                                 5
                              
                           
                           =
                           701
                        
                        {z}_{0}^{5}=701
                     
                  , (
                     
                        
                        
                           
                              
                                 S
                              
                              
                                 2
                              
                           
                        
                        {S}_{2}
                     
                  ) 
                     
                        
                        
                           
                              
                                 z
                              
                              
                                 0
                              
                              
                                 6
                              
                           
                           =
                           705
                        
                        {z}_{0}^{6}=705
                     
                  , (
                     
                        
                        
                           
                              
                                 S
                              
                              
                                 3
                              
                           
                        
                        {S}_{3}
                     
                  ) 
                     
                        
                        
                           
                              
                                 z
                              
                              
                                 0
                              
                              
                                 7
                              
                           
                           =
                           709
                        
                        {z}_{0}^{7}=709
                     
                  , phase portraits of system (2.1). (a) and (b) illustrate that explosions of the stable 
                     
                        
                        
                           
                              
                                 E
                              
                              
                                 z
                              
                           
                        
                        {E}_{z}
                     
                   also create the Lorenz-like attractor with a small perturbation of 
                     
                        
                        
                           b
                           >
                           0
                        
                        b\gt 0
                     
                  .
Figure 8

For (a) b = 0 , (b) b = 0.06 , ( a , c , d ) = ( 4 , 700 , 2 ) and ( x 0 5 , 6 , y 0 5 , 6 ) = ( ± 0.13 , ± 1.3 ) × 1 0 7 , ( S 1 ) z 0 5 = 701 , ( S 2 ) z 0 6 = 705 , ( S 3 ) z 0 7 = 709 , phase portraits of system (2.1). (a) and (b) illustrate that explosions of the stable E z also create the Lorenz-like attractor with a small perturbation of b > 0 .

8 Conclusion

In contrast to most existing quadratic Lorenz-type system family with a pair of heteroclinic orbits to a saddle in the origin and a pair of nontrivial symmetrical stable equilibria, little seems to be known about the ones with heteroclinic orbits to the stable origin and a pair of nontrivial symmetrical unstable equilibria. To achieve this target, this article proposed a new 3D sub-quadratic Lorenz-like system and proved the existence of heteroclinic orbits of the type just described. Meanwhile, the existence of another two pairs of heteroclinic orbits to the corresponding two pairs of nontrivial symmetrical equilibria was also proved by utilizing the same Lyapunov function. By applying a Hamiltonian function, the existence of homoclinic and heteroclinic orbits was also discussed on the invariant algebraic surface z = 3 4 a x 4 3 . Under some constraints of its parameters, we proved that globally exponentially attractive sets coincide with ultimate bound and positively invariant sets by aid of Lyapunov functions. Moreover, numerical simulations verified the correctness of the theoretical analysis.

It should be noticed that the term x 3 not only reserves most important dynamics of quadratic Lorenz-type system, but also gives rise to new ones just mentioned, broadening the field of chaos-based engineering applications. However, other unsolved and yet key problems need further thorough and complete investigations, such as estimation of the practical global stability boundary, the existence of hidden chaotic attractors, the relationship between the degrees of that system and the distribution and number of limit cycles and attractors. Therefore, we work all out to develop the future work that circles around the further inquiry into that system, completing its mathematical treatment.

  1. Funding information: This work was supported by National Natural Science Foundation of China (12001489), Natural Science Foundation of Zhejiang Guangsha Vocational and Technical University of construction (2022KYQD-KGY), Zhejiang Public Welfare Technology Application Research Project of China (LGN21F020003), Natural Science Foundation of Taizhou University (T20210906033), and Natural Science Foundation of Zhejiang Province (LY20A020001, LQ18A010001). At the same time, the authors wish to express their sincere thanks to the anonymous editors and reviewers for their conscientious reading and numerous valuable comments which extremely improve the presentation of this article.

  2. Author contributions: All authors have accepted responsibility for the entire content of this manuscript and approved its submission.

  3. Conflict of interest: The authors state no conflict of interest.

  4. Data availability statement: There are no data because the results obtained in this article can be reproduced based on the information given in this article.

References

[1] Li TC, Chen GT, Chen GR. On homoclinic and heteroclinic orbits of the Chen’s system. Int J Bifurcat Chaos. 2006;16(10):3035–41. 10.1142/S021812740601663XSearch in Google Scholar

[2] Tigan G, Llibre J. Heteroclinic homoclinic and closed orbits in the Chen system. Int J Bifurcat Chaos. 2016;26(4):1650072-1-6. 10.1142/S0218127416500723Search in Google Scholar

[3] Liu Y, Yang Q. Dynamics of a new Lorenz-like chaotic system. Nonlinear Anal-Real. 2010;11(4):2563–72. 10.1016/j.nonrwa.2009.09.001Search in Google Scholar

[4] Tigan G, Constantinescu D. Heteroclinic orbits in the T and the Lü system. Chaos Solitons Fractals. 2009;42(1):20–3. 10.1016/j.chaos.2008.10.024Search in Google Scholar

[5] Liu Y, Pang W. Dynamics of the general Lorenz family. Nonlinear Dyn. 2012;67:1595–611. 10.1007/s11071-011-0090-7Search in Google Scholar

[6] Wang H, Li C, Li X. New heteroclinic orbits coined. Int J Bifurcat Chaos. 2016;26(12):1650194-1-13. 10.1142/S0218127416501947Search in Google Scholar

[7] Wang H, Zhang F. Bifurcations ultimate boundedness and singular orbits in a unified hyperchaotic Lorenz-type system. Discrete Contin Dyn Syst Ser B. 2020;25(5):1791–820. 10.3934/dcdsb.2020003Search in Google Scholar

[8] Wang H, Fan H, Pan J. Complex dynamics of a four-dimensional circuitsystem. Int J Bifurcation Chaos. 2021;31(14):2150208-1–31. 10.1142/S0218127421502084Search in Google Scholar

[9] Wang H, Ke G, Pan J, Hu F, Fan H. Multitudinous potential hidden Lorenz-like attractors coined. Eur Phys J Spec Top. 2022;231:359–68. 10.1140/epjs/s11734-021-00423-3Search in Google Scholar

[10] Wang H, Li X. Infinitely many heteroclinic orbits of a complex Lorenz system. Int J Bifurcat Chaos. 2017;27(7):1750110-1-14. 10.1142/S0218127417501103Search in Google Scholar

[11] Wang H, Li X. A novel hyperchaotic system with infinitely many heteroclinic orbits coined. Chaos Solitons Fractals. 2018;106:5–15. 10.1016/j.chaos.2017.10.029Search in Google Scholar

[12] Li X, Wang H. A three-dimensional nonlinear system with a single heteroclinic trajectory. J Appl Anal Comput. 2020;10(1):249–66. 10.11948/20190135Search in Google Scholar

[13] Chen Y, Yang Q. Dynamics of a hyperchaotic Lorenz-type system. Nonlinear Dyn. 2014;77(3):569–81. 10.1007/s11071-014-1318-0Search in Google Scholar

[14] Leonov GA. Fishing principle for homoclinic and heteroclinic trajectories. Nonlinear Dyn. 2014;78:2751–8. 10.1007/s11071-014-1622-8Search in Google Scholar

[15] Wiggins S. Introduction to applied nonlinear dynamical system and chaos. New York: Springer; 2003. Search in Google Scholar

[16] Shilnikov LP, Shilnikov AL, Turaev DV, Chua LO. Methods of qualitative theory in nonlinear dynamics (part II). Singapore: World Scientific; 2001. 10.1142/4221Search in Google Scholar

[17] Guckenheimer J, Holmes P. Nonlinear oscillations, dynamical systems, and bifurcations of vector fields. 3th ed. Berlin: Springer; 1983. 10.1007/978-1-4612-1140-2Search in Google Scholar

[18] Tigan G, Turaev D. Analytical search for homoclinic bifurcations in the Shimizu-Morioka model. Phys D. 2011;240:985–9. 10.1016/j.physd.2011.02.013Search in Google Scholar

[19] Freire E, Rodriguez-Luis AJ, Gamero E, Ponce E. A case study for homoclinicchaos in an autonomous electronic circuit: A trip from Takens-Bogdanov to Hopf-Shilnikov. Phys D. 1993;62:230–53. 10.1016/0167-2789(93)90284-8Search in Google Scholar

[20] Glendinning P, Sparrow C. Local and global behaviour near homoclinic orbit. J Stat Phys. 1984;35:645–96. 10.1007/BF01010828Search in Google Scholar

[21] Hunt GW, Peletier MA, Champneys AR, Woods PD, Wadee MA, Budd CJ, et al. Cellular buckling in longstructures. Nonlinear Dyn. 2000;21:3–29. 10.1023/A:1008398006403Search in Google Scholar

[22] Koon WS, Lo MW, Marsden JE, Ross SD. Heteroclinic connections between periodic orbits and resonance transitions in celestial mechanics. Chaos. 2000;10:427–69. 10.1063/1.166509Search in Google Scholar PubMed

[23] Wilczak D, Zgliczyński P. Heteroclinic connections between periodic orbitsin planar restricted circular three body problem-A computer assisted proof. Commun Math Phys. 2003;234:37–75. 10.1007/s00220-002-0709-0Search in Google Scholar

[24] Wilczak D, Zgliczyński P. Heteroclinic connections between periodic orbitsin planar restricted circular three body problem (part II). Commun Math Phys. 2005;259:561–76. 10.1007/s00220-005-1374-xSearch in Google Scholar

[25] Wang H, Dong G. New dynamics coined in a 4-D quadratic autonomous hyper-chaotic system. Appl Math Comput. 2019;346:272–86. 10.1016/j.amc.2018.10.006Search in Google Scholar

[26] Messias M. Dynamics at infinity and the existence of singularly degenerate heteroclinic cycles in the Lorenz system. J Phys A Math Theor. 2009;42(11):115101-1-18. 10.1088/1751-8113/42/11/115101Search in Google Scholar

[27] Zhang X, Chen G. Constructing an autonomous system with infinitely many chaotic attractors. Chaos Interdiscip J Nonlinear Sci. 2017;27(7):0711011–5. 10.1063/1.4986356Search in Google Scholar PubMed

[28] Kuznetsov NV, Mokaev TN, Kuznetsova OA, Kudryashova EV. The Lorenz system: hidden boundary of practical stability and the Lyapunov dimension. Nonlinear Dyn. 2020;102:713–32. 10.1007/s11071-020-05856-4Search in Google Scholar

[29] Kuzenetsov YA. Elements of applied bifurcation theory. 3rd ed. New York: Springer-Verlag; 2004. Search in Google Scholar

[30] Sotomayor J, Mello LF, Braga DC. Lyapunov coefficients for degenerate Hopf bifurcations. arXiv:0709.3949v1 [Preprint]. 2007 [cited 2007 Sep 25]: [16 p.]. https://arxiv.org/abs/0709.3949. Search in Google Scholar

[31] Wang H, Fan H, Pan J. A true three-scroll chaotic attractor coined. Discrete Contin Dyn Syst Ser B. 2022;27(5):2891–915. 10.3934/dcdsb.2021165Search in Google Scholar

[32] Wang H, Ke G, Dong G, Su Q, Pan J. Singularly degenerate heteroclinic cycles with nearby apple-shape attractors. Int J Bifurcat Chaos. 2023;31(1):2350011-1–23. 10.1142/S0218127423500116Search in Google Scholar

Received: 2023-02-28
Revised: 2023-05-11
Accepted: 2023-05-17
Published Online: 2023-07-12

© 2023 the author(s), published by De Gruyter

This work is licensed under the Creative Commons Attribution 4.0 International License.

Articles in the same Issue

  1. Regular Articles
  2. Dynamic properties of the attachment oscillator arising in the nanophysics
  3. Parametric simulation of stagnation point flow of motile microorganism hybrid nanofluid across a circular cylinder with sinusoidal radius
  4. Fractal-fractional advection–diffusion–reaction equations by Ritz approximation approach
  5. Behaviour and onset of low-dimensional chaos with a periodically varying loss in single-mode homogeneously broadened laser
  6. Ammonia gas-sensing behavior of uniform nanostructured PPy film prepared by simple-straightforward in situ chemical vapor oxidation
  7. Analysis of the working mechanism and detection sensitivity of a flash detector
  8. Flat and bent branes with inner structure in two-field mimetic gravity
  9. Heat transfer analysis of the MHD stagnation-point flow of third-grade fluid over a porous sheet with thermal radiation effect: An algorithmic approach
  10. Weighted survival functional entropy and its properties
  11. Bioconvection effect in the Carreau nanofluid with Cattaneo–Christov heat flux using stagnation point flow in the entropy generation: Micromachines level study
  12. Study on the impulse mechanism of optical films formed by laser plasma shock waves
  13. Analysis of sweeping jet and film composite cooling using the decoupled model
  14. Research on the influence of trapezoidal magnetization of bonded magnetic ring on cogging torque
  15. Tripartite entanglement and entanglement transfer in a hybrid cavity magnomechanical system
  16. Compounded Bell-G class of statistical models with applications to COVID-19 and actuarial data
  17. Degradation of Vibrio cholerae from drinking water by the underwater capillary discharge
  18. Multiple Lie symmetry solutions for effects of viscous on magnetohydrodynamic flow and heat transfer in non-Newtonian thin film
  19. Thermal characterization of heat source (sink) on hybridized (Cu–Ag/EG) nanofluid flow via solid stretchable sheet
  20. Optimizing condition monitoring of ball bearings: An integrated approach using decision tree and extreme learning machine for effective decision-making
  21. Study on the inter-porosity transfer rate and producing degree of matrix in fractured-porous gas reservoirs
  22. Interstellar radiation as a Maxwell field: Improved numerical scheme and application to the spectral energy density
  23. Numerical study of hybridized Williamson nanofluid flow with TC4 and Nichrome over an extending surface
  24. Controlling the physical field using the shape function technique
  25. Significance of heat and mass transport in peristaltic flow of Jeffrey material subject to chemical reaction and radiation phenomenon through a tapered channel
  26. Complex dynamics of a sub-quadratic Lorenz-like system
  27. Stability control in a helicoidal spin–orbit-coupled open Bose–Bose mixture
  28. Research on WPD and DBSCAN-L-ISOMAP for circuit fault feature extraction
  29. Simulation for formation process of atomic orbitals by the finite difference time domain method based on the eight-element Dirac equation
  30. A modified power-law model: Properties, estimation, and applications
  31. Bayesian and non-Bayesian estimation of dynamic cumulative residual Tsallis entropy for moment exponential distribution under progressive censored type II
  32. Computational analysis and biomechanical study of Oldroyd-B fluid with homogeneous and heterogeneous reactions through a vertical non-uniform channel
  33. Predictability of machine learning framework in cross-section data
  34. Chaotic characteristics and mixing performance of pseudoplastic fluids in a stirred tank
  35. Isomorphic shut form valuation for quantum field theory and biological population models
  36. Vibration sensitivity minimization of an ultra-stable optical reference cavity based on orthogonal experimental design
  37. Effect of dysprosium on the radiation-shielding features of SiO2–PbO–B2O3 glasses
  38. Asymptotic formulations of anti-plane problems in pre-stressed compressible elastic laminates
  39. A study on soliton, lump solutions to a generalized (3+1)-dimensional Hirota--Satsuma--Ito equation
  40. Tangential electrostatic field at metal surfaces
  41. Bioconvective gyrotactic microorganisms in third-grade nanofluid flow over a Riga surface with stratification: An approach to entropy minimization
  42. Infrared spectroscopy for ageing assessment of insulating oils via dielectric loss factor and interfacial tension
  43. Influence of cationic surfactants on the growth of gypsum crystals
  44. Study on instability mechanism of KCl/PHPA drilling waste fluid
  45. Analytical solutions of the extended Kadomtsev–Petviashvili equation in nonlinear media
  46. A novel compact highly sensitive non-invasive microwave antenna sensor for blood glucose monitoring
  47. Inspection of Couette and pressure-driven Poiseuille entropy-optimized dissipated flow in a suction/injection horizontal channel: Analytical solutions
  48. Conserved vectors and solutions of the two-dimensional potential KP equation
  49. The reciprocal linear effect, a new optical effect of the Sagnac type
  50. Optimal interatomic potentials using modified method of least squares: Optimal form of interatomic potentials
  51. The soliton solutions for stochastic Calogero–Bogoyavlenskii Schiff equation in plasma physics/fluid mechanics
  52. Research on absolute ranging technology of resampling phase comparison method based on FMCW
  53. Analysis of Cu and Zn contents in aluminum alloys by femtosecond laser-ablation spark-induced breakdown spectroscopy
  54. Nonsequential double ionization channels control of CO2 molecules with counter-rotating two-color circularly polarized laser field by laser wavelength
  55. Fractional-order modeling: Analysis of foam drainage and Fisher's equations
  56. Thermo-solutal Marangoni convective Darcy-Forchheimer bio-hybrid nanofluid flow over a permeable disk with activation energy: Analysis of interfacial nanolayer thickness
  57. Investigation on topology-optimized compressor piston by metal additive manufacturing technique: Analytical and numeric computational modeling using finite element analysis in ANSYS
  58. Breast cancer segmentation using a hybrid AttendSeg architecture combined with a gravitational clustering optimization algorithm using mathematical modelling
  59. On the localized and periodic solutions to the time-fractional Klein-Gordan equations: Optimal additive function method and new iterative method
  60. 3D thin-film nanofluid flow with heat transfer on an inclined disc by using HWCM
  61. Numerical study of static pressure on the sonochemistry characteristics of the gas bubble under acoustic excitation
  62. Optimal auxiliary function method for analyzing nonlinear system of coupled Schrödinger–KdV equation with Caputo operator
  63. Analysis of magnetized micropolar fluid subjected to generalized heat-mass transfer theories
  64. Does the Mott problem extend to Geiger counters?
  65. Stability analysis, phase plane analysis, and isolated soliton solution to the LGH equation in mathematical physics
  66. Effects of Joule heating and reaction mechanisms on couple stress fluid flow with peristalsis in the presence of a porous material through an inclined channel
  67. Bayesian and E-Bayesian estimation based on constant-stress partially accelerated life testing for inverted Topp–Leone distribution
  68. Dynamical and physical characteristics of soliton solutions to the (2+1)-dimensional Konopelchenko–Dubrovsky system
  69. Study of fractional variable order COVID-19 environmental transformation model
  70. Sisko nanofluid flow through exponential stretching sheet with swimming of motile gyrotactic microorganisms: An application to nanoengineering
  71. Influence of the regularization scheme in the QCD phase diagram in the PNJL model
  72. Fixed-point theory and numerical analysis of an epidemic model with fractional calculus: Exploring dynamical behavior
  73. Computational analysis of reconstructing current and sag of three-phase overhead line based on the TMR sensor array
  74. Investigation of tripled sine-Gordon equation: Localized modes in multi-stacked long Josephson junctions
  75. High-sensitivity on-chip temperature sensor based on cascaded microring resonators
  76. Pathological study on uncertain numbers and proposed solutions for discrete fuzzy fractional order calculus
  77. Bifurcation, chaotic behavior, and traveling wave solution of stochastic coupled Konno–Oono equation with multiplicative noise in the Stratonovich sense
  78. Thermal radiation and heat generation on three-dimensional Casson fluid motion via porous stretching surface with variable thermal conductivity
  79. Numerical simulation and analysis of Airy's-type equation
  80. A homotopy perturbation method with Elzaki transformation for solving the fractional Biswas–Milovic model
  81. Heat transfer performance of magnetohydrodynamic multiphase nanofluid flow of Cu–Al2O3/H2O over a stretching cylinder
  82. ΛCDM and the principle of equivalence
  83. Axisymmetric stagnation-point flow of non-Newtonian nanomaterial and heat transport over a lubricated surface: Hybrid homotopy analysis method simulations
  84. HAM simulation for bioconvective magnetohydrodynamic flow of Walters-B fluid containing nanoparticles and microorganisms past a stretching sheet with velocity slip and convective conditions
  85. Coupled heat and mass transfer mathematical study for lubricated non-Newtonian nanomaterial conveying oblique stagnation point flow: A comparison of viscous and viscoelastic nanofluid model
  86. Power Topp–Leone exponential negative family of distributions with numerical illustrations to engineering and biological data
  87. Extracting solitary solutions of the nonlinear Kaup–Kupershmidt (KK) equation by analytical method
  88. A case study on the environmental and economic impact of photovoltaic systems in wastewater treatment plants
  89. Application of IoT network for marine wildlife surveillance
  90. Non-similar modeling and numerical simulations of microploar hybrid nanofluid adjacent to isothermal sphere
  91. Joint optimization of two-dimensional warranty period and maintenance strategy considering availability and cost constraints
  92. Numerical investigation of the flow characteristics involving dissipation and slip effects in a convectively nanofluid within a porous medium
  93. Spectral uncertainty analysis of grassland and its camouflage materials based on land-based hyperspectral images
  94. Application of low-altitude wind shear recognition algorithm and laser wind radar in aviation meteorological services
  95. Investigation of different structures of screw extruders on the flow in direct ink writing SiC slurry based on LBM
  96. Harmonic current suppression method of virtual DC motor based on fuzzy sliding mode
  97. Micropolar flow and heat transfer within a permeable channel using the successive linearization method
  98. Different lump k-soliton solutions to (2+1)-dimensional KdV system using Hirota binary Bell polynomials
  99. Investigation of nanomaterials in flow of non-Newtonian liquid toward a stretchable surface
  100. Weak beat frequency extraction method for photon Doppler signal with low signal-to-noise ratio
  101. Electrokinetic energy conversion of nanofluids in porous microtubes with Green’s function
  102. Examining the role of activation energy and convective boundary conditions in nanofluid behavior of Couette-Poiseuille flow
  103. Review Article
  104. Effects of stretching on phase transformation of PVDF and its copolymers: A review
  105. Special Issue on Transport phenomena and thermal analysis in micro/nano-scale structure surfaces - Part IV
  106. Prediction and monitoring model for farmland environmental system using soil sensor and neural network algorithm
  107. Special Issue on Advanced Topics on the Modelling and Assessment of Complicated Physical Phenomena - Part III
  108. Some standard and nonstandard finite difference schemes for a reaction–diffusion–chemotaxis model
  109. Special Issue on Advanced Energy Materials - Part II
  110. Rapid productivity prediction method for frac hits affected wells based on gas reservoir numerical simulation and probability method
  111. Special Issue on Novel Numerical and Analytical Techniques for Fractional Nonlinear Schrodinger Type - Part III
  112. Adomian decomposition method for solution of fourteenth order boundary value problems
  113. New soliton solutions of modified (3+1)-D Wazwaz–Benjamin–Bona–Mahony and (2+1)-D cubic Klein–Gordon equations using first integral method
  114. On traveling wave solutions to Manakov model with variable coefficients
  115. Rational approximation for solving Fredholm integro-differential equations by new algorithm
  116. Special Issue on Predicting pattern alterations in nature - Part I
  117. Modeling the monkeypox infection using the Mittag–Leffler kernel
  118. Spectral analysis of variable-order multi-terms fractional differential equations
  119. Special Issue on Nanomaterial utilization and structural optimization - Part I
  120. Heat treatment and tensile test of 3D-printed parts manufactured at different build orientations
Downloaded on 30.10.2025 from https://www.degruyterbrill.com/document/doi/10.1515/phys-2022-0251/html
Scroll to top button