Home Heat transfer performance of magnetohydrodynamic multiphase nanofluid flow of Cu–Al2O3/H2O over a stretching cylinder
Article Open Access

Heat transfer performance of magnetohydrodynamic multiphase nanofluid flow of Cu–Al2O3/H2O over a stretching cylinder

  • Azzh Saad Alshehry , Humaira Yasmin EMAIL logo , Abdul Hamid Ganie and Rasool Shah
Published/Copyright: December 6, 2023

Abstract

This study examines the heat transfer properties of a recently created hybrid nanofluid in contrast to a traditional nanofluid. The aim is to improve the transfer of heat in the flow of the boundary layer by employing this novel hybrid nanofluid. Our study investigates the impact of the Lorentz force on a three-dimensional stretched surface. We utilize a new model that incorporates thermo-physical factors. A quantitative parametric study is performed to investigate the influence of different physical parameters, enabling meaningful comparisons. The results demonstrate that the hybrid nanofluid exhibits a higher heat transfer rate compared to the conventional fluid, even in the presence of a magnetic field. Moreover, the efficiency of heat transfer can be enhanced by modifying the concentration of nanoparticles in the hybrid nanofluid.

1 Introduction

Researchers have shown that some liquid coolants have significantly lower thermal conductivities than solid metals. Several technical and industrial processes rely on the efficiency and effectiveness of natural laminar and convective thermal energy transmission. A wide variety of technical and technological applications for the recently produced fluid known as hybrid nanofluid; “when two kinds of nanoparticles are mixed in one liquid, the result is called a hybrid nanofluid.”

Consequently, while selecting materials for nanoparticles, complementing each other is essential [1,2,3]. Nanoparticles of metals like aluminum, copper, and zinc are excellent thermal conductors. Unfortunately, these metallic nanoparticles’ reactivity and stability restrict their usage in nanofluid applications [4]. On the other hand, ceramic nanoparticles offer several advantageous properties but a poorer thermal conductivity than metal nanoparticles [5,6,7].

It has also been proven that increasing the carrier fluid’s thermal conductivity is the primary goal of incorporating nanomaterials into carrier fluids. It is also observed that stable nanofluids have notable features, such as increased heat conductivity rate with low concentrations of nanoparticles. Several studies [8,9,10,11] have been conducted to understand better how to improve thermal conductivity and thermal performances using a single nanomaterial. Recent experimental and numerical efforts on nanofluids/hybrid nanofluids have shown that these materials significantly improve heat transmission compared to traditional liquids. The fluid dynamics properties are analyzed in light of the impact of various intriguing factors [12,13,14,15].

The copper-alumina ( Cu Al 2 O 3 ) nanocomposite powder was manufactured by Suresh et al. [16] using a thermochemical approach, and a hybrid nanofluid was generated using a two-step method. In another study, Suresh et al. [17] performed the heat transport analysis of a Cu–Al2O3/H2O hybrid nanofluid. They [18] also examined the heat transfer and pressure drop characteristics of a dilute copper–alumina/water (Cu–Al2O3/H2O) hybrid nanofluid flow. Momin [19] studied the combined convection laminar flow of the Cu–Al2O3/H2O nanofluid across an angled tube.

The heat transport properties of ( Fe 3 O 4 ) / grapheme hybrid nanofluid were experimentally investigated by Askari et al. [20]. A differentially heated porous cavity with a free convection flow of combined nanofluids was investigated by Mehryan et al. [21]. For the porous matrix, they studied aluminum metal foam and glass balls. According to the data, hybrid nanofluids have improved dynamic viscosity and thermal conductivity. Benzema et al. [22] employed a computational method to investigate the evolution of entropy in an Ag MgO/H 2 O hybrid nanofluid subjected to random heating and venting. The findings show that the thickening of the thermal interface close to the heated walls is reduced as the strength of the magnetic field increases. When nanoparticles are mixed into a base fluid, the entropy of the system tends to increase. Sundar et al. [23] conducted an experiment to measure the Darcy–Weisbach friction factor and convective coefficient of a multiwall carbon hybrid nanofluid moving in a fully developed turbulent flow inside a uniformly heated circular tube. Forced convective heat transfer was investigated by Labib et al. [24] using a computational method to assess the effect of the carrier fluid and hybrid nanofluid. The literature contains recent experiments [25,26,27,28] that provide a detailed examination of the flow behavior of nanofluids, considering various features. The Haar wavelet collocation method [29,30,31,32] has been used to compute the nonlinear governing systems. The fluid flow characteristics are examined due to the effects of several intriguing variables.

The research articles in this collection investigate soliton solutions in various fractional models using a range of mathematical techniques. Yasmin, Aljahdaly, Saeed, and Shah’s research aims to comprehend optical soliton solutions in coupled systems, birefringent fibers, and fractionally perturbed models. To study families of soliton solutions in these intricate models, they use an enhanced direct algebraic method and cutting-edge analytical tools. Additionally, they studied symmetric soliton solutions in the Konno–Onno system [33,34,35]. Furthermore, a comparative analysis of advection–dispersion equations with Atangana–Baleanu fractional derivatives and a numerical analysis of the Belousov–Zhabotinsky system are provided by contributions from previous study. Furthermore, the analytical evaluation of time-fractional Fisher’s equations is the main emphasis of Zidan, Khan, Alaoui, and Weera. Finally, using novel methods, Mukhtar, Shah, and Noor conducted a numerical study of a fractional-order multi-dimensional Navier–Stokes equation. These studies, through numerical and analytical investigations, add to the comprehensive understanding of soliton solutions in different fractional models [36,37,38].

2 Mathematical formulation

This study investigates the hydromagnetic flow of alumina–copper/water hybrid nanofluids via a permeable stretch cylinder under stable and incompressible boundary layer conditions. A magnetic field is applied from the outside. When the elastic cylinder is stretched, the flow of the hybrid nanofluid is modified along its axial axis. Using a coordinate system in which ( x , r ) denotes the axial and radial directions, as the elongating cylinder moves along its axis, we can start a flow of fluid. Figure 1 shows the geometrical variables and schematic coordinates of the flow.

Figure 1 
               Schematic diagram for flow geometry.
Figure 1

Schematic diagram for flow geometry.

To express the conservation rules of energy, mass, and momentum in the boundary layer approximation with boundary conditions, we have

(1) x ( r u ) + r ( r v ) = 0 ,

(2) ρ h u u x + v u r = μ h r r r u r σ B 2 u + ( ρ β ) h ( g T g T ) ,

(3) [ ρ c p ] u x ( T ) + v r ( T ) = k h r 2 u r 2 2 Q r + μ h u r 2 + σ B 0 2 u 2 ,

(4) r a , u = c x , v = 0 , T T w ,

(5) r , u = 0 , T T .

The following is the Rosseland flux model for the investigation of electromagnetic radiation:

(6) Q = T 4 r 4 σ 3 k .

The series expansion method yields

(7) T 4 = 4 T 3 T 3 T 4 ,

(8) Q r = 16 σ T 3 3 k 2 T r 2 .

To reduce the model equations to a dimensionless form, we use the following transformations:

(9) ζ = r 2 a 2 2 a c a 1 / 2 , u = c x F ζ , v = a r ( c v ) 1 / 2 F ( ζ ) , θ ( ζ ) = T T T w T .

We obtain the following equations by plugging these coordinates into Eqs. (2)–(5), with Eq. (1) being satisfied uniquely:

(10) A 1 ( 1 + 2 ζ γ ) 3 F ζ 3 + 2 γ 2 F ζ 2 + A 2 F 2 F ζ 2 F ζ 2 M F ζ + A 3 λ θ = 0 ,

(11) ( A 4 + R d ) ( 1 + 2 ζ γ ) 2 θ ζ 2 + ( 2 A 4 + Rd ) γ θ ζ + Ec Pr M F ζ + A 1 ( 1 + 2 ζ λ ) F ζ 2 ,

(12) F ζ = 0 = 0 , F ζ ζ = 0 = 1 , θ ζ = 0 = 1 ,

(13) F ζ ζ 0 = 0 , θ ζ = 0 .

Eqs. (10) and (11) are the governing equations and involve several dimensionless parameters in which λ = Gr Re 2 , M = σ B 2 c ρ f , γ = v c a 2 1 / 2 , Rd = 16 σ T 3 3 k k f represent convection, magnetic, curvature, and radiation parameters, respectively, where local Reynolds number, Grashof number, Eckert number, and Prandtl number are represented by Re = c x 2 v , Gr = g β ( T w T ) x 3 v 3 , Ec = U w 2 ( c p ) f ( T w T ) , Pr = μ f c p k f , respectively.

As mentioned earlier, the constant terms can be written as

(14) A 1 = μ hf μ cf , A 2 = ρ hf ρ cf , A 3 = ( ρ β ) hf ( ρ β ) cf , A 4 = k hf k cf , A 5 = ( ρ c p ) hf ( ρ c p ) cf .

According to previous studies [12], the hybrid nanofluid’s properties, including its heat capacity, are described as follows:

(15) ρ hf = ( 1 ϑ n 2 ) [ ( 1 ϑ n 2 ) ρ f + ϑ n 1 ρ n 1 ] + ϑ n 2 ρ n 2 ,

(16) μ hf = μ cf ( 1 ϑ n 1 ) 2.5 ( 1 ϑ n 2 ) 2.5 ,

(17) ( ρ c p ) h f = ( 1 ϑ n 2 ) [ ( 1 ϑ n 1 ) ( ρ c p ) f + ϑ n 1 ( ρ c p ) n 1 ] + ϑ n 2 ( ρ c p ) n 2 ,

(18) ( ρ β ) h f = ( 1 ϑ n 2 ) [ ( 1 ϑ n 1 ) ( ρ β ) f + ϑ n 1 ( ρ β ) n 1 ] + ϑ n 2 ( ρ β ) n 2 ,

(19) k hf k cf = k n 2 + ( m 1 ) k cf ( m 1 ) ϑ n 2 ( k cf k n 2 ) k n 2 + ( m 1 ) k cf + ϑ n 2 ( k cf k n 2 ) ,

(20) k nf k cf = ( m 1 ) k cf + k n 1 ( m 1 ) ϑ n 1 ( k cf k n 1 ) ( m 1 ) k cf + k n 1 + ϑ n 1 ( k cf k n 1 ) .

Al 2 O 3 and Cu nanoparticles are denoted by n 1 and n 2 , respectively, while cf and h f denote carrier and hybrid fluid, respectively. The hybrid nanofluid is developed by combining two types of nanoparticles, alumina and copper dispersed in the transfer fluid. The symbol represents the proportion of the total volume that this mixture makes up.

3 Methodology

Assuming that A and B are constants, then x [ A , B ] , the ith Haar wavelet family is defined as

(21) H i ( x ) = 1 for x [ a 1 , b 1 ) 1 for x [ b 1 , c 1 ) 0 elsewhere,

with

(22) a 1 = k / m 1 , b 1 = k + 1 / 2 / m 1 , c 1 = k + 1 / m 1 ,

where m 1 = 2 j is the highest attainable resolution. We will refer to this quantity as M = 2 j , each of the 2 M subintervals of the interval [ A , B ] has a length x = ( B , A ) / 2 M , where M is the number of subintervals ( 2 M ) , a translation parameter k = 0 , 1 , , m 1 1 , and a dilatation parameter j = 0 , 1 , , J . The formula for the wavelet number i is i = m 1 + k + 1 .

For the Haar function and their integrals,

(23) p i 1 ( x ) = 0 x H i ( x ¯ ) ,

p i , l + 1 ( x ) = 0 x p i , l ( x ¯ ) d x ¯ , l = 1 , 2 , .

To calculate these integrals, we use Eq. (21):

(24) p i 1 ( x ) = x a 1 for x [ a 1 , b 1 ) c 1 x for x [ b 1 , c 1 ) 0 elsewhere ,

(25) p i 2 ( x ) = 1 2 ( x a 1 ) 2 for x [ a 1 , b 1 ) 1 4 m 1 2 1 2 ( c 1 x ) 2 for x [ b 1 , c 1 ) 1 4 m 1 2 for x [ c 1 , 1 ) 0 elsewhere ,

(26) p i 3 ( x ) = 1 6 ( x a 1 ) 3 for x [ a 1 , b 1 ) 1 4 m 1 2 ( x b 1 ) 1 6 ( c 1 x ) 3 for x [ b 1 , c 1 ) 1 4 m 1 2 ( x β ) for x [ c 1 , 1 ) 0 elsewhere .

We also present the following notation:

(27) C i 1 = 0 L p i 1 ( x ¯ ) d x ¯ ,

(28) C i 2 = 0 L H i ( x ¯ ) d x ¯ .

Summation of the Haar wavelet function can be written as

(29) f ( x ) = i = 1 a i H i ( x ) .

Using wavelets, we may approximate the highest order derivatives of f and θ given by problems (10) and (11) to build a straightforward and precise Haar wavelet collocation method:

(30) f ( ζ ) = i = 1 2 M a i H i ( ζ ) ,

(31) θ ( ζ ) = i = 1 2 M b i H i ( ζ ) .

Integrating Eq. (30), we obtain the values f ( ζ ) f ( ζ ) , f ( ζ ) and f ( ζ ) , respectively,

(32) f ( ζ ) = i = 1 2 M a i p i , 1 ( ζ ) 1 L C i , 1 ,

(33) f ( ζ ) = i = 1 2 M a i p i , 2 ( ζ ) 1 L ζ C i , 1 ,

(34) f ( ζ ) = i = 1 2 M a i p i , 3 ( ζ ) 1 L ζ 2 2 C i , 1 ,

(35) f ( ζ ) = i = 1 2 M a i p i , 4 ( ζ ) 1 L ζ 3 3 C i , 1 .

Assume L is a large number. A numerical solution for the ordinary differential equations (ODEs) is obtained by substituting Eqs. (30)–(35) into Eqs. (10) and (11). In the next section, we can see a visual representation of the results of the proposed solution.

4 Results and discussions

The study of the thermal conductivity properties of a hybrid nanofluid and the influence of the Lorentz force on a three-dimensional stretched surface have significant practical applications in several industrial sectors. The potential of this discovery to revolutionize energy-intensive processes, such as heat exchangers in HVAC systems and industrial applications, lies in its ability to enhance heat transfer efficiency. Consequently, it can result in substantial energy conservation and a diminished environmental impact. Furthermore, it possesses the capacity to improve the effectiveness of cooling systems for electrical devices, hence extending their longevity and maximizing their efficiency. Moreover, it can play a pivotal role in the advancement of renewable energy technology, aviation applications, and biomedical devices. The findings also have practical applications in the domains of materials processing and manufacturing, resulting in improved material properties and conservation of resources, while simultaneously decreasing thermal emissions for a more sustainable future.

Distribution patterns of velocity and temperature for the Al 2 O 3 /H 2 O and Cu Al 2 O 3 /H 2 O and the base fluid water are depicted in Figures 2 and 3, respectively. Because of their unique physical features, the velocity and temperature lines of these fluids appear to be displayed differently in these diagrams. As shown in Figure 2, our research shows that the hybrid nanomaterial significantly decreases the velocity profile in comparison to the dispersion of alumina nanoparticles. This indicates an enhanced ability to control the flow. Furthermore, Figure 3 demonstrates that the inclusion of alumina nanoparticles improves the temperature distribution of water. Moreover, when mixed with the hybrid nanomaterial, this enhancement is further intensified, suggesting its capacity to greatly enhance heat transfer efficiency.

Figure 2 
               Particle concentration versus 
                  
                     
                        
                        
                           f
                           '
                           
                              
                                 (
                                 
                                    ζ
                                 
                                 )
                              
                           
                        
                        f\text{'}(\zeta )
                     
                  .
Figure 2

Particle concentration versus f ' ( ζ ) .

Figure 3 
               Particle concentration versus 
                  
                     
                        
                        
                           θ
                           
                              
                                 (
                                 
                                    ζ
                                 
                                 )
                              
                           
                        
                        \theta (\zeta )
                     
                  .
Figure 3

Particle concentration versus θ ( ζ ) .

The effect of the magnetic field strength M on f ' ( ζ ) and θ ( ζ ) of the nanofluid and the multiphase nanocomposite fluid is shown in Figures 4 and 5. Figure 4 clearly illustrates the impact of the magnetic parameter on the velocity profiles. As the magnetic parameter is increased, the velocity profiles exhibit a significant decrease, which can be attributed to the increasing Lorentz force produced by the applied magnetic field.

Figure 4 
               Effect of M on 
                     
                        
                        
                           f
                           '
                           
                              
                                 (
                                 
                                    ζ
                                 
                                 )
                              
                           
                        
                        f\text{'}(\zeta )
                     
                  .
Figure 4

Effect of M on f ' ( ζ ) .

Figure 5 
               Effect of M on 
                     
                        
                        
                           θ
                           
                              
                                 (
                                 
                                    ζ
                                 
                                 )
                              
                           
                        
                        \theta (\zeta )
                     
                  .
Figure 5

Effect of M on θ ( ζ ) .

The effect of the magnetic parameter M on θ ( ζ ) of the nanofluid and the multiphase nanocomposite fluid is shown in Figure 5. The frictional force between fluid layers increases as the magnetic parameter increases, leading to more extreme temperature distributions.

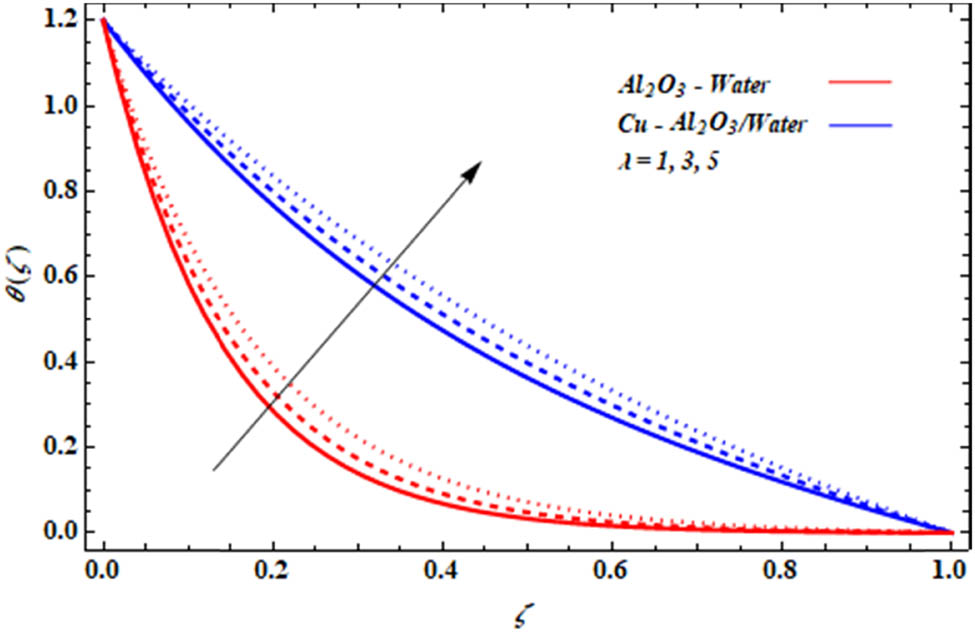
Both the velocity and temperature distributions of a nanofluid and a hybrid nanofluid are shown to be affected by λ (Figures 6 and 7). We are increasing the λ yields to improve velocity and temperature distributions.

Figure 6 
               Effect of λ on 
                     
                        
                        
                           f
                           '
                           
                              
                                 (
                                 
                                    ζ
                                 
                                 )
                              
                           
                        
                        f\text{'}(\zeta )
                     
                  .
Figure 6

Effect of λ on f ' ( ζ ) .

Figure 7 
               Effect of λ on 
                     
                        
                        
                           θ
                           
                              
                                 (
                                 
                                    ζ
                                 
                                 )
                              
                           
                        
                        \theta (\zeta )
                     
                  .
Figure 7

Effect of λ on θ ( ζ ) .

Figures 8 and 9 show the relationship between the curvature parameter γ and the temperature and velocity distribution of nanofluids and hybrid nanofluids, respectively. A higher curvature parameter value results in better velocity and temperature distributions.

Figure 8 
               Effect of γ on 
                     
                        
                        
                           f
                           '
                           
                              
                                 (
                                 
                                    ζ
                                 
                                 )
                              
                           
                        
                        f\text{'}(\zeta )
                     
                  .
Figure 8

Effect of γ on f ' ( ζ ) .

Figure 9 
               Effect of γ on 
                     
                        
                        
                           θ
                           
                              
                                 (
                                 
                                    ζ
                                 
                                 )
                              
                           
                        
                        \theta (\zeta )
                     
                  .
Figure 9

Effect of γ on θ ( ζ ) .

Figure 10 depicts the influence of the radiation parameter Rd on the heat transfer, denoted by θ ( ζ ) , in both nanofluids and hybrid nanofluids. As the radiation parameter Rd increases, the temperature profiles for both nanofluids and mixed nanofluids also increase. Nevertheless, it is important to mention that the temperature increase is more significant in the hybrid nanofluid, suggesting its improved capacity to capture and control heat when exposed to radiation.

Figure 10 
               Effect of Rd on 
                     
                        
                        
                           θ
                           
                              
                                 (
                                 
                                    ζ
                                 
                                 )
                              
                           
                        
                        \theta (\zeta )
                     
                  .
Figure 10

Effect of Rd on θ ( ζ ) .

5 Conclusion

This article discusses how a hybrid nanofluid of alumina and copper/water improves heat transmission and fluid flow properties as it flows past a stretched cylinder. The effects of an external magnetic field are also considered. Nonlinear ODEs with appropriate boundary conditions constitute the subsequent flow issue, in which similarity transformations reduce to a non-dimensional form. We can see how different factors affect the velocity and temperature characteristics. The most important results are as follows:

  • The temperature profile of a hybrid nanofluid improves when the impact M is increased while the f ' ( ζ ) decreases.

  • The velocity and temperature distribution profiles benefited from an increase in the convection λ and curvature parameters γ.

  • The presence of the hybrid material increases the convective heat transfer, which is at its lowest for the copper/water nanofluid.

Acknowledgments

The authors acknowledge Princess Nourah bint Abdulrahman University Researchers Supporting Project (number PNURSP2023R183), Princess Nourah bint Abdulrahman University, Riyadh, Saudi Arabia. This work was supported by the Deanship of Scientific Research, the Vice Presidency for Graduate Studies and Scientific Research, King Faisal University, Saudi Arabia (Grant No. 4716).

  1. Funding information: Princess Nourah bint Abdulrahman University Researchers Supporting Project (number PNURSP2023R183), Princess Nourah bint Abdulrahman University, Riyadh, Saudi Arabia. This work was supported by the Deanship of Scientific Research, the Vice Presidency for Graduate Studies and Scientific Research, King Faisal University, Saudi Arabia (Grant No. 4716).

  2. Author contributions: All authors have accepted responsibility for the entire content of this manuscript and approved its submission.

  3. Conflict of interest: The authors state no conflict of interest.

  4. Data availability statement: All data generated or analyzed during this study are included in this published article.

References

[1] Li Z, Wang K, Li W, Yan S, Chen F, Peng S. Analysis of surface pressure pulsation characteristics of centrifugal pump magnetic liquid sealing film. Front Energy Res. 2022;10:937299. 10.3389/fenrg.2022.937299.Search in Google Scholar

[2] Kong L, Liu G. Synchrotron-based infrared microspectroscopy under high pressure: An introduction. Matter RadiExtremes. 2021;6(6):68202. 10.1063/5.0071856.Search in Google Scholar

[3] Zhang G, Chen J, Zhang Z, Sun M, Yu Y, Wang J, et al. A novel parametric model for nonlinear hysteretic behaviours with strain-stiffening of magnetorheological gel composite. Composite Struct. 2023;318:117082. 1016/j.compstruct.2023.117082.Search in Google Scholar

[4] Sun L, Liang T, Zhang C, Chen J. The rheological performance of shear-thickening fluids based on carbon fiber and silica nanocomposite. Phys Fluids. 2023;35(3):32002. 10.1063/5.0138294.Search in Google Scholar

[5] Jia L, Wang Z, Wang L, Zeng J, Du P, Yue Y, et al. Self-standing boron nitride bulks enabled by liquid metal for thermal management. Mater Horiz. 2023. 10.1039/D3MH01359F.Search in Google Scholar

[6] Kuang W, Wang H, Li X, Zhang J, Zhou Q, Zhao Y. Application of the thermodynamic extremal principle to diffusion-controlled phase transformations in Fe-C-X alloys: Modeling and applications. Acta Materialia. 2018;159:16–30. 1016/j.actamat.2018.08.008.Search in Google Scholar

[7] Chen L, Zhao Y. From classical thermodynamics to phase-field method. Prog Mater Sci. 2022;124:100868. 1016/j.pmatsci.2021.100868.Search in Google Scholar

[8] Bhatti MM, Rashidi MM. Effects of thermo-diffusion and thermal radiation on Williamson nanofluid over a porous shrinking/stretching sheet. J Mol Liq. 2016;221:567–73.10.1016/j.molliq.2016.05.049Search in Google Scholar

[9] Bhatti MM, Abbas T, Rashidi MM. Effects of thermal radiation and electromagnetohydrodynamics on viscous nanofluid through a Riga plate. Multidiscip Model Mater Struct. 2016;12:605–18.10.1108/MMMS-07-2016-0029Search in Google Scholar

[10] Shirvan KM, Mamourian M, Mirzakhanlari S, Ellahi R. Numerical investigation of heat exchanger effectiveness in a double pipe heat exchanger filled with a nanofluid: a sensitivity analysis by response surface methodology. Powder Technol. 2017;313:99–111.10.1016/j.powtec.2017.02.065Search in Google Scholar

[11] Shirvan KM, Ellahi R, Mamourian M, Moghiman M. Effects of wavy surface characteristics on natural convection heat transfer in a cosine corrugated square cavity filled with nanofluid. Int J Heat Mass Transf. 2017;107:1110–8.10.1016/j.ijheatmasstransfer.2016.11.022Search in Google Scholar

[12] Chamkha AJ, Rashad AM. Natural convection from a vertical permeable cone in a nanofluid saturated porous media for uniform heat and nanoparticles volume fraction fluxes. Int J Numer Methods Heat Fluid Flow. 2012 Oct 26;22(8):1073–85.10.1108/09615531211271871Search in Google Scholar

[13] Chamkha A, Gorla RS, Ghodeswar K. Non-similar solution for natural convective boundary layer flow over a sphere embedded in a non-Darcy porous medium saturated with a nanofluid. Int J Microscale Nanoscale Therm Fluid Transp Phenom. 2011 Apr 1;2(2):135.10.1080/15567265.2010.549931Search in Google Scholar

[14] Chamkha AJ, Issa C, Khanafer K. Natural convection from an inclined plate embedded in a variable porosity porous medium due to solar radiation. Int J Therm. 2022;41(1):73–81.10.1016/S1290-0729(01)01305-9Search in Google Scholar

[15] Chamkha AJ. Coupled heat and mass transfer by natural convection about a truncated cone in the presence of magnetic field and radiation effects. Numer Heat Transfer: Part A: Appl. 2001 Apr;39(5):511–30.10.1080/10407780120202Search in Google Scholar

[16] Suresh S, Venkitaraj KP, Selvakumar P, Chandrasekar M. Synthesis of Al2O3–Cu/hybrid water nanofluids using two-step method and its thermo physical properties. Colloids Surf A. 2011;388:41–8.10.1016/j.colsurfa.2011.08.005Search in Google Scholar

[17] Suresh S, Venkitaraj KP, Selvakumar P, Chandrasekar M. Effect of Al2O3–Cu/water hybrid nanofluid in heat transfer. Exp Therm Fluid Sci. 2012;38:54–60.10.1016/j.expthermflusci.2011.11.007Search in Google Scholar

[18] Suresh S, Venkitaraj KP, Hameed MS, Sarangan J. Turbulent heat transfer and pressure drop characteristics of dilute water-based Al2O3–Cu hybrid nanofluids. J Nanosci Nanotechnol. 2014;14:2563–72.10.1166/jnn.2014.8467Search in Google Scholar PubMed

[19] Momin GG. Experimental investigation of mixed convection with water-Al2O3 & hybrid nanofluid in an inclined tube for laminar flow. Int J Sci Technol Res. 2013;2:195–202.Search in Google Scholar

[20] Askari S, Koolivand H, Pourkhalil M, Lotfi R, Rashidi A. Investigation of Fe3O4/Graphene nanohybrid heat transfer properties: an experimental approach. Int Commun Heat Mass Transf. 2017;87:30–9.10.1016/j.icheatmasstransfer.2017.06.012Search in Google Scholar

[21] Mehryan SA, Kashkooli FM, Ghalambaz M, Chamkha AJ. Free convection of hybrid Al2O3–Cu water nanofluid in a differentially heated porous cavity. Adv Powder Technol. 2017;28:2295–305.10.1016/j.apt.2017.06.011Search in Google Scholar

[22] Benzema M, Benkahla YK, Labsi N, Ouyahia S-E, El Ganaoui M. Second law analysis of MHD mixed convection heat transfer in an irregular vented cavity filled with Ag-MgO/water hybrid nanofluid. J Therm Anal Calorim. 2019;137:1113–32.10.1007/s10973-019-08017-xSearch in Google Scholar

[23] Sundar LS, Sharma KV, Singh MK, Sousa AC. Hybrid nanofluids preparation, thermal properties, heat transfer and friction factor a review. Renew Sustain Energy Rev. 2017;68:185–98.10.1016/j.rser.2016.09.108Search in Google Scholar

[24] Labib MN, Nine MJ, Afrianto H, Chung H, Jeong H. Numerical investigation on base fluids and hybrid nanofluid effect in forced convective heat transfer. Int J Therm Sci. 2013;71:163–71.10.1016/j.ijthermalsci.2013.04.003Search in Google Scholar

[25] Abbas N, Shatanawi W, Abodayeh K. Computational analysis of MHD nonlinear radiation casson hybrid nanofluid flow at vertical stretching sheet. Symmetry. 2022 Jul;14(7):1494.10.3390/sym14071494Search in Google Scholar

[26] Abbas N, Shatanawi W. Heat and mass transfer of micropolar-casson nanofluid over vertical variable stretching riga sheet. Energies. 2022 Jul;15(14):4945.10.3390/en15144945Search in Google Scholar

[27] Shatnawi TA, Abbas N, Shatanawi W. Comparative study of Casson hybrid nanofluid models with induced magnetic radiative flow over a vertical permeable exponentially stretching sheet. AIMS Math. 2022 Jan;7(12):20545–64.10.3934/math.20221126Search in Google Scholar

[28] Shatnawi TA, Abbas N, Shatanawi W. Mathematical analysis of unsteady stagnation point flow of radiative Casson hybrid nanofluid flow over a vertical Riga sheet. Mathematics. 2022 Sep;10(19):3573.10.3390/math10193573Search in Google Scholar

[29] Abbas N, Shatanawi W. Theoretical survey of time-dependent micropolar nanofluid flow over a linear curved stretching surface. Symmetry. 2022 Aug;14(8):1629.10.3390/sym14081629Search in Google Scholar

[30] Lepik U. Haar wavelet method for nonlinear integrodifferential equations. Appl Math Comput. 2006;176:324–33.10.1016/j.amc.2005.09.021Search in Google Scholar

[31] Lepik U. Numerical solution of evolution equations by the Haar wavelet method. Appl Math Comput. 2007;185:695–704.10.1016/j.amc.2006.07.077Search in Google Scholar

[32] Šarler B, Aziz I. Haar wavelet collocation method for the numerical solution of boundary layer fluid flow problems. Therm Sci. 2011;50:686–97.10.1016/j.ijthermalsci.2010.11.017Search in Google Scholar

[33] Yasmin H, Aljahdaly NH, Saeed AM, Shah R. Probing families of optical soliton solutions in fractional perturbed Radhakrishnan–Kundu–Lakshmanan model with improved versions of extended direct algebraic method. Fractal Fract. 2023;7(7):512.10.3390/fractalfract7070512Search in Google Scholar

[34] Yasmin H, Aljahdaly NH, Saeed AM, Shah R. Investigating families of soliton solutions for the complex structured coupled fractional biswas–arshed model in birefringent fibers using a novel analytical technique. Fractal Fract. 2023;7(7):491.10.3390/fractalfract7070491Search in Google Scholar

[35] Yasmin H, Aljahdaly NH, Saeed AM. Investigating symmetric soliton solutions for the fractional coupled konno–onno system using improved versions of a novel analytical technique. Mathematics. 2023;11(12):2686.10.3390/math11122686Search in Google Scholar

[36] Alshehry AS, Ghani F, Shah R, Nonlaopon K. Comparative analysis of advection–dispersion equations with Atangana–Baleanu fractional derivative. Symmetry. 2023;15(4):819.10.3390/sym15040819Search in Google Scholar

[37] Zidan AM, Khan A, Alaoui MK, Weera W. Evaluation of time-fractional Fisher’s equations with the help of analytical methods. Aims Math. 2022;7(10):18746–66.10.3934/math.20221031Search in Google Scholar

[38] Mukhtar S, Noor S. The numerical investigation of a fractional-order multi-dimensional Model of Navier–Stokes equation via novel techniques. Symmetry. 2022;14(6):1102.10.3390/sym14061102Search in Google Scholar

Received: 2023-08-29
Revised: 2023-10-22
Accepted: 2023-10-25
Published Online: 2023-12-06

© 2023 the author(s), published by De Gruyter

This work is licensed under the Creative Commons Attribution 4.0 International License.

Articles in the same Issue

  1. Regular Articles
  2. Dynamic properties of the attachment oscillator arising in the nanophysics
  3. Parametric simulation of stagnation point flow of motile microorganism hybrid nanofluid across a circular cylinder with sinusoidal radius
  4. Fractal-fractional advection–diffusion–reaction equations by Ritz approximation approach
  5. Behaviour and onset of low-dimensional chaos with a periodically varying loss in single-mode homogeneously broadened laser
  6. Ammonia gas-sensing behavior of uniform nanostructured PPy film prepared by simple-straightforward in situ chemical vapor oxidation
  7. Analysis of the working mechanism and detection sensitivity of a flash detector
  8. Flat and bent branes with inner structure in two-field mimetic gravity
  9. Heat transfer analysis of the MHD stagnation-point flow of third-grade fluid over a porous sheet with thermal radiation effect: An algorithmic approach
  10. Weighted survival functional entropy and its properties
  11. Bioconvection effect in the Carreau nanofluid with Cattaneo–Christov heat flux using stagnation point flow in the entropy generation: Micromachines level study
  12. Study on the impulse mechanism of optical films formed by laser plasma shock waves
  13. Analysis of sweeping jet and film composite cooling using the decoupled model
  14. Research on the influence of trapezoidal magnetization of bonded magnetic ring on cogging torque
  15. Tripartite entanglement and entanglement transfer in a hybrid cavity magnomechanical system
  16. Compounded Bell-G class of statistical models with applications to COVID-19 and actuarial data
  17. Degradation of Vibrio cholerae from drinking water by the underwater capillary discharge
  18. Multiple Lie symmetry solutions for effects of viscous on magnetohydrodynamic flow and heat transfer in non-Newtonian thin film
  19. Thermal characterization of heat source (sink) on hybridized (Cu–Ag/EG) nanofluid flow via solid stretchable sheet
  20. Optimizing condition monitoring of ball bearings: An integrated approach using decision tree and extreme learning machine for effective decision-making
  21. Study on the inter-porosity transfer rate and producing degree of matrix in fractured-porous gas reservoirs
  22. Interstellar radiation as a Maxwell field: Improved numerical scheme and application to the spectral energy density
  23. Numerical study of hybridized Williamson nanofluid flow with TC4 and Nichrome over an extending surface
  24. Controlling the physical field using the shape function technique
  25. Significance of heat and mass transport in peristaltic flow of Jeffrey material subject to chemical reaction and radiation phenomenon through a tapered channel
  26. Complex dynamics of a sub-quadratic Lorenz-like system
  27. Stability control in a helicoidal spin–orbit-coupled open Bose–Bose mixture
  28. Research on WPD and DBSCAN-L-ISOMAP for circuit fault feature extraction
  29. Simulation for formation process of atomic orbitals by the finite difference time domain method based on the eight-element Dirac equation
  30. A modified power-law model: Properties, estimation, and applications
  31. Bayesian and non-Bayesian estimation of dynamic cumulative residual Tsallis entropy for moment exponential distribution under progressive censored type II
  32. Computational analysis and biomechanical study of Oldroyd-B fluid with homogeneous and heterogeneous reactions through a vertical non-uniform channel
  33. Predictability of machine learning framework in cross-section data
  34. Chaotic characteristics and mixing performance of pseudoplastic fluids in a stirred tank
  35. Isomorphic shut form valuation for quantum field theory and biological population models
  36. Vibration sensitivity minimization of an ultra-stable optical reference cavity based on orthogonal experimental design
  37. Effect of dysprosium on the radiation-shielding features of SiO2–PbO–B2O3 glasses
  38. Asymptotic formulations of anti-plane problems in pre-stressed compressible elastic laminates
  39. A study on soliton, lump solutions to a generalized (3+1)-dimensional Hirota--Satsuma--Ito equation
  40. Tangential electrostatic field at metal surfaces
  41. Bioconvective gyrotactic microorganisms in third-grade nanofluid flow over a Riga surface with stratification: An approach to entropy minimization
  42. Infrared spectroscopy for ageing assessment of insulating oils via dielectric loss factor and interfacial tension
  43. Influence of cationic surfactants on the growth of gypsum crystals
  44. Study on instability mechanism of KCl/PHPA drilling waste fluid
  45. Analytical solutions of the extended Kadomtsev–Petviashvili equation in nonlinear media
  46. A novel compact highly sensitive non-invasive microwave antenna sensor for blood glucose monitoring
  47. Inspection of Couette and pressure-driven Poiseuille entropy-optimized dissipated flow in a suction/injection horizontal channel: Analytical solutions
  48. Conserved vectors and solutions of the two-dimensional potential KP equation
  49. The reciprocal linear effect, a new optical effect of the Sagnac type
  50. Optimal interatomic potentials using modified method of least squares: Optimal form of interatomic potentials
  51. The soliton solutions for stochastic Calogero–Bogoyavlenskii Schiff equation in plasma physics/fluid mechanics
  52. Research on absolute ranging technology of resampling phase comparison method based on FMCW
  53. Analysis of Cu and Zn contents in aluminum alloys by femtosecond laser-ablation spark-induced breakdown spectroscopy
  54. Nonsequential double ionization channels control of CO2 molecules with counter-rotating two-color circularly polarized laser field by laser wavelength
  55. Fractional-order modeling: Analysis of foam drainage and Fisher's equations
  56. Thermo-solutal Marangoni convective Darcy-Forchheimer bio-hybrid nanofluid flow over a permeable disk with activation energy: Analysis of interfacial nanolayer thickness
  57. Investigation on topology-optimized compressor piston by metal additive manufacturing technique: Analytical and numeric computational modeling using finite element analysis in ANSYS
  58. Breast cancer segmentation using a hybrid AttendSeg architecture combined with a gravitational clustering optimization algorithm using mathematical modelling
  59. On the localized and periodic solutions to the time-fractional Klein-Gordan equations: Optimal additive function method and new iterative method
  60. 3D thin-film nanofluid flow with heat transfer on an inclined disc by using HWCM
  61. Numerical study of static pressure on the sonochemistry characteristics of the gas bubble under acoustic excitation
  62. Optimal auxiliary function method for analyzing nonlinear system of coupled Schrödinger–KdV equation with Caputo operator
  63. Analysis of magnetized micropolar fluid subjected to generalized heat-mass transfer theories
  64. Does the Mott problem extend to Geiger counters?
  65. Stability analysis, phase plane analysis, and isolated soliton solution to the LGH equation in mathematical physics
  66. Effects of Joule heating and reaction mechanisms on couple stress fluid flow with peristalsis in the presence of a porous material through an inclined channel
  67. Bayesian and E-Bayesian estimation based on constant-stress partially accelerated life testing for inverted Topp–Leone distribution
  68. Dynamical and physical characteristics of soliton solutions to the (2+1)-dimensional Konopelchenko–Dubrovsky system
  69. Study of fractional variable order COVID-19 environmental transformation model
  70. Sisko nanofluid flow through exponential stretching sheet with swimming of motile gyrotactic microorganisms: An application to nanoengineering
  71. Influence of the regularization scheme in the QCD phase diagram in the PNJL model
  72. Fixed-point theory and numerical analysis of an epidemic model with fractional calculus: Exploring dynamical behavior
  73. Computational analysis of reconstructing current and sag of three-phase overhead line based on the TMR sensor array
  74. Investigation of tripled sine-Gordon equation: Localized modes in multi-stacked long Josephson junctions
  75. High-sensitivity on-chip temperature sensor based on cascaded microring resonators
  76. Pathological study on uncertain numbers and proposed solutions for discrete fuzzy fractional order calculus
  77. Bifurcation, chaotic behavior, and traveling wave solution of stochastic coupled Konno–Oono equation with multiplicative noise in the Stratonovich sense
  78. Thermal radiation and heat generation on three-dimensional Casson fluid motion via porous stretching surface with variable thermal conductivity
  79. Numerical simulation and analysis of Airy's-type equation
  80. A homotopy perturbation method with Elzaki transformation for solving the fractional Biswas–Milovic model
  81. Heat transfer performance of magnetohydrodynamic multiphase nanofluid flow of Cu–Al2O3/H2O over a stretching cylinder
  82. ΛCDM and the principle of equivalence
  83. Axisymmetric stagnation-point flow of non-Newtonian nanomaterial and heat transport over a lubricated surface: Hybrid homotopy analysis method simulations
  84. HAM simulation for bioconvective magnetohydrodynamic flow of Walters-B fluid containing nanoparticles and microorganisms past a stretching sheet with velocity slip and convective conditions
  85. Coupled heat and mass transfer mathematical study for lubricated non-Newtonian nanomaterial conveying oblique stagnation point flow: A comparison of viscous and viscoelastic nanofluid model
  86. Power Topp–Leone exponential negative family of distributions with numerical illustrations to engineering and biological data
  87. Extracting solitary solutions of the nonlinear Kaup–Kupershmidt (KK) equation by analytical method
  88. A case study on the environmental and economic impact of photovoltaic systems in wastewater treatment plants
  89. Application of IoT network for marine wildlife surveillance
  90. Non-similar modeling and numerical simulations of microploar hybrid nanofluid adjacent to isothermal sphere
  91. Joint optimization of two-dimensional warranty period and maintenance strategy considering availability and cost constraints
  92. Numerical investigation of the flow characteristics involving dissipation and slip effects in a convectively nanofluid within a porous medium
  93. Spectral uncertainty analysis of grassland and its camouflage materials based on land-based hyperspectral images
  94. Application of low-altitude wind shear recognition algorithm and laser wind radar in aviation meteorological services
  95. Investigation of different structures of screw extruders on the flow in direct ink writing SiC slurry based on LBM
  96. Harmonic current suppression method of virtual DC motor based on fuzzy sliding mode
  97. Micropolar flow and heat transfer within a permeable channel using the successive linearization method
  98. Different lump k-soliton solutions to (2+1)-dimensional KdV system using Hirota binary Bell polynomials
  99. Investigation of nanomaterials in flow of non-Newtonian liquid toward a stretchable surface
  100. Weak beat frequency extraction method for photon Doppler signal with low signal-to-noise ratio
  101. Electrokinetic energy conversion of nanofluids in porous microtubes with Green’s function
  102. Examining the role of activation energy and convective boundary conditions in nanofluid behavior of Couette-Poiseuille flow
  103. Review Article
  104. Effects of stretching on phase transformation of PVDF and its copolymers: A review
  105. Special Issue on Transport phenomena and thermal analysis in micro/nano-scale structure surfaces - Part IV
  106. Prediction and monitoring model for farmland environmental system using soil sensor and neural network algorithm
  107. Special Issue on Advanced Topics on the Modelling and Assessment of Complicated Physical Phenomena - Part III
  108. Some standard and nonstandard finite difference schemes for a reaction–diffusion–chemotaxis model
  109. Special Issue on Advanced Energy Materials - Part II
  110. Rapid productivity prediction method for frac hits affected wells based on gas reservoir numerical simulation and probability method
  111. Special Issue on Novel Numerical and Analytical Techniques for Fractional Nonlinear Schrodinger Type - Part III
  112. Adomian decomposition method for solution of fourteenth order boundary value problems
  113. New soliton solutions of modified (3+1)-D Wazwaz–Benjamin–Bona–Mahony and (2+1)-D cubic Klein–Gordon equations using first integral method
  114. On traveling wave solutions to Manakov model with variable coefficients
  115. Rational approximation for solving Fredholm integro-differential equations by new algorithm
  116. Special Issue on Predicting pattern alterations in nature - Part I
  117. Modeling the monkeypox infection using the Mittag–Leffler kernel
  118. Spectral analysis of variable-order multi-terms fractional differential equations
  119. Special Issue on Nanomaterial utilization and structural optimization - Part I
  120. Heat treatment and tensile test of 3D-printed parts manufactured at different build orientations
Downloaded on 30.10.2025 from https://www.degruyterbrill.com/document/doi/10.1515/phys-2023-0142/html
Scroll to top button