Home Physical Sciences Significance of heat and mass transport in peristaltic flow of Jeffrey material subject to chemical reaction and radiation phenomenon through a tapered channel
Article Open Access

Significance of heat and mass transport in peristaltic flow of Jeffrey material subject to chemical reaction and radiation phenomenon through a tapered channel

  • Seelam Ravikumar , Muhammad Ijaz Khan EMAIL logo , Salman A. AlQahtani EMAIL logo and Sayed M. Eldin
Published/Copyright: July 3, 2023

Abstract

Using mathematical modeling and computational analysis, this study aims to examine the peristaltic blood flow of a non-Newtonian material in a tapered channel with radiative heat flux and response mechanisms. By utilizing a long-wavelength approximation, ignoring the wave number, and performing under conditions of low Reynolds number, closed form solutions for the velocity, temperature, and concentration fields are achieved. Several governing parameters and their effects on the system were analyzed, and relevant diagrams were provided. Increasing the Biot number, Jeffrey material, and thermal radiation parameter of the heat and mass transfer mechanism increases the velocity profile. When the heat source/sink parameter and the heat transfer Biot number increase, the temperature profile improves. The resultant concentration distributions are enhanced when mass transfer Biot number, heat radiation, and chemical processes are all raised. We observe that the pressure rate decreases in all three pumping zones when the heat transfer Grashof number and heat transfer Biot number rise. This is because the pressure rate is affected by the Grashof number and Biot number of heat transmission. The increase in thermal radiation parameter and heat transfer Biot number results in a slower rate of heat transfer than when Prandtl number and heat source/sink parameter increases. When the Soret number, Schmidt number, Biot number, and heat source/sink parameter are all raised, the mass transfer coefficient also rises. This rate, however, decreases as the heat radiation and chemical reaction parameters rise. The findings presented in this study have interesting implications for other aspects of human physiology. The preponderance of organs are permeable. Furthermore, fluids render the location of natural boundaries uncertain. The presented mathematical model can be used to derive predictions about the behavior of various systems. For the study of cancer treatment in biological systems, a mathematical model that includes nanoparticles, viscosity dissipation, and rotation holds much promise. Model development incorporated Soret–Dufour effects and thermal analysis of the digestive system.

Nomenclature

b

channel width (m)

Bh

heat transfer Biot number

Bm

mass transfer Biot number

c

wave speed (m/s)

C p

specific heat at constant pressure

C ¯

concentration of the fluid

D m

coefficient of mass diffusivity (m2/s)

d

wave amplitude (m)

Ec

Eckert number

Gc

solute Grashof number

Gr

Grashof number

K T

thermal-diffusion ratio

K 2

reaction rate constant

p

pressure

Pr

Prandtl number

Q 0

heat generation coefficient

Re

Reynolds number

Rn

thermal radiation parameter (W/m2 K)

Sr

Soret number

Sc

Schmidt number

S

chemical reaction parameter

T ¯ m

mean temperature (K)

T ¯

temperature of the fluid

u ¯

velocity along x ¯ direction

ν

heat source/sink parameter

v ¯

velocity along y ¯ direction

λ

wavelength

μ

viscosity of the fluid (kg/m/s)

σ

electrical conductivity of the fluid

ρ

density of the fluid (kg/m3)

ε

amplitude ratio

δ

wave number

λ 1

Jeffery fluid parameter

θ

temperature distribution

ϕ

concentration distribution

1 Introduction

Over the last several decades, a wide range of researchers has studied blood flow via diverse channels. Biomathematics literature has produced a vast array of applications in pharmaceuticals and biology. The medicinal and physiological uses of peristalsis are immense. In the field of medicine known as physiology, this process refers to the passage of food through the body, from the initial propulsion of the food bolus through the digestive tract to the final passage of nutrients through the bowel. Latham [1] has explored several theoretical and experimental approaches to examine the peristaltic action in numerous situations. Pandey and Chaube [2] worked on peristaltic transport in flow of visco-elastic material with non-uniform cross section in a tube as shown in Figure 1.

Figure 1 
               The gastrointestinal system [3].
Figure 1

The gastrointestinal system [3].

Several scientists investigated non-Newtonian fluids because they have numerous technical and industrial uses. These fluids exhibit a nonlinear connection between strain and, hence, strain rate. The Jeffrey framework is the most intuitive model of the non-Newtonian fluid. It usually signifies that fluids in the body are circulating via tubes and ducts. In addition, it may be considered a blood model. In addition to temperature gradients, concentration gradients may also result in energy flows and mass fluxes can be generated by the well-known thermal-diffusion effect. We analyze the phenomena of diffusion-thermo effects (Dufour effect) within the context of heat and mass transfer issues. Making an effort may reveal a few relevant research studies [411].

Srinivas and Kothandapani [12] looked at how heat moves through an asymmetric channel while studying peristaltic flow. Making an effort may reveal a few relevant research studies [1319] and some research on heat transfer analysis [2022]. Peristaltic convective conditions across a channel were studied by Abbasi et al. [23,24]. Ahmed and Tamara [25] investigated the role of heat and mass transfer in Jeffrey transport in the body. Addulhadi et al. [26] presented magnetized peristaltic transport of Jeffrey liquid with heat/mass phenomenon in a curved channel. The mechanism of peristalsis subjected to convective conditions has also been exploited [2729], along with some others, e.g., classical thermodynamics [30], microwave imaging [31], and modeling vapor–liquid equilibrium [32]. Hamed et al. [33] worked on combined effects of slip and convective conditions in flow of peristaltic nanofluid in an asymmetric channel. Yasmin et al. [3442] have also studied the peristaltic movement of a non-Newtonian fluid through a conduit in recent years.

No attempt has been made by the authors to analyze the current research, which focused on the modeling and computational analysis of a non-Newtonian fluid over a tapered conduit with radiative heat flux and response mechanisms with peristalsis. Using approximations with a low Reynolds number and long wavelength, the governing equations were able to be simplified. There is a discussion on the significance of relevant flow parameters being included in the flow modeling.

This research is important because it is the first step in determining how blood flow is affected by the presence of fatty plaques of cholesterol and/or arterial blockage in a sick condition. Applications of the current research are not limited to the polymer sector, biomedical engineering (such as magnetic resonance imaging and electrocardiography), clinical diagnostics, and surgery. As well as this research addresses the issue of thermal radiation in blood flow, the findings presented here should be useful in understanding and controlling the therapeutic use of hyperthermia. Furthermore, the results of the present study will be of great use in confirming the results of future identical experimental studies and more complex theoretical investigations.

The article is formatted as follows: In Section 2, the problem formulation is presented. In Section 3, the assumption of an extended wavelength and a low Reynolds number resolves the resulting nonlinear problem. In Section 4, the impacts of essential physical parameters are illustrated via graphs. Section 5 concludes the main findings.

2 Formulation for the problem

Here we explore the effect of sinusoidal wave trains traveling down the transport of a viscous incompressible fluid along the boundaries of a two-dimensional duct at a consistent speed c. Deformations of the walls are defined as follows [9]:

(1) Y = H 1 ¯ = b m X ̄ d sin 2 π λ ( X ̄ c t ¯ ) + ϕ ,

(2) Y = H 2 ¯ = b + m X ̄ + d sin 2 π λ ( X ̄ c t ¯ ) ,

where b, d, m , Φ, t, and λ are channel width, wave amplitude, non-uniform parameter, phase variance, time, and wavelength (Figure 2).

Figure 2 
               Geometry of the problem.
Figure 2

Geometry of the problem.

The flow field could be described using the following set of equations [43]:

(3) u x + v y = 0 ,

(4) ρ u t + u u x + v u y = p x + x ( S xx ) + y ( S xy ) + ρ g B t ( T T 0 ) + ρ g B c ( C C 0 ) ,

(5) ρ v t + u v x + v v y = p y + x ( S xy ) + y ( S yy ) ,

(6) ρ C p T t + u T x + v T y = k 2 T x 2 + 2 T y 2 + Q 0 q r y ,

(7) C t + u C x + v C y = D m 2 C x 2 + 2 C y 2 + D m K T T m 2 T x 2 + 2 T y 2 k 2 ( C C 0 ) ,

where

S xx = 2 μ 1 + λ 1 1 + λ 2 u x + v y u x , S xy = μ 1 + λ 1 1 + λ 2 u x + v y u y + v x ,

S yy = 2 μ 1 + λ 1 1 + λ 2 u x + v y u y ,

where u ¯ , v ¯ , p , ρ , μ , B t , B c , T , C , D m , K T , T m , Q 0 , C p , k 2 are the components of velocity along x ¯ -and y ¯ directions, pressure, density of the fluid, viscosity coefficient, electrical, thermal expansion coefficient, concentration expansion coefficient, temperature, concentration, mass diffusivity, thermal-diffusion ratio, mean temperature, constant heat addition/absorption, specific heat at constant pressure, and chemical reaction constant.

Add a wave frame (x, y) that moves away from the fixed frame (X, Y) at a speed of c by using the transformation

(8) x = X c t , y = Y .

Non-dimensional quantities:

(9) x ¯ = x λ , y ¯ = y b , t ¯ = ct λ , u ¯ = u c , ε = d b , v ¯ = v c δ , h 1 = H 1 b , h 2 = H 2 b , p ¯ = b 2 ρ c λ μ , δ = b λ , Re = ρ cb μ , Pr = μ c p k , Ec = c 2 c p ( T 1 T 0 ) , ν = Q 0 b 2 μ C p ( T 1 T 0 ) , θ = T T 0 T 1 T 0 , Sc = μ D m ρ , S = K 2 ρ d 2 μ , Sr = D m ρ k T ( T 1 T 0 ) μ T m ( C 1 C 0 ) , ϕ = C C 0 C 1 C 0 , Rn = 16 σ * T 0 3 b 2 3 k * μ C p , Gr = ρ g B t b 2 ( T 1 T 0 ) c μ , Gc = ρ g B c b 2 ( C 1 C 0 ) c μ ,

where Pr, Gc , ν , Re, Gr , Rn , Sc , Sr , Ec , and S are Prandtl number, solute Grashof number, heat source/sink parameter, Reynolds number, Grashof number, thermal radiation factor, Schmidt number, Soret number, Eckert number, and chemical reaction factor.

3 Solution of the problem

Removing the bars from Eqs. (3)–(7) allows them to transform to the next non-dimensional form using non-dimensional quantities.

(10) δ u x + v y = 0

(11) Re δ u t + u u x + v v y = p x + δ x ( S xx ) + y ( S xy ) + Gr θ + Gc ϕ ,

(12) Re δ 3 v t + u v x + v v y = p y + δ 2 x ( S xy ) + δ y ( S yy ) ,

(13) Re δ θ t + u θ x + v θ y = 1 Pr δ 2 θ 2 x 2 + θ 2 y 2 + ν + Rn θ 2 y 2 ,

(14) Re δ ϕ t + u ϕ x + v ϕ y = 1 Sc + δ 2 ϕ 2 x 2 + ϕ 2 y 2 + Sr δ 2 θ 2 x 2 + θ 2 y 2 k 2 ( C C 0 ) ,

where

S xx = 2 δ 1 + λ 1 1 + λ 2 δ c d u x + v y u x ,   S xy = 1 1 + λ 1 1 + λ 2 δ c d u x + v y u x + δ 2 v x , S yy = 2 1 + λ 1 1 + λ 2 δ c d u x + v y v y

Using a long-wavelength approximation while disregarding the wave number and operating under conditions of low Reynolds number for Eqs. (10)–(14), we have

(15) 2 u y 2 = ( 1 + λ 1 ) p x ( 1 + λ 1 ) Gr θ Gc ϕ ,

(16) p y = 0 ,

(17) ( 1 + Pr Rn ) 2 θ y 2 + Pr ν = 0 ,

(18) 2 ϕ y 2 + ScSr 2 θ y 2 S Sc ϕ = 0 .

The dimensionless boundary conditions

(19) u = 1 at y = h 1 = 1 k 1 x ε sin [ 2 π ( x t ) + ϕ ] ,

(20) u = 1 at y = h 2 = 1 + k 1 x + ε sin [ 2 π ( x t ) ] ,

(21) θ y B h θ = B h , ϕ y B m θ = B m at y = h 1 = 1 k 1 x ε sin [ 2 π ( x t ) + ϕ ] ,

(22) θ = 0 , ϕ = 0 at y = h 2 = 1 + k 1 x + ε sin [ 2 π ( x t ) ] ,

where ε = d b is the amplitude ratio.

Solving Eqs. (15)–(18) using the boundary conditions (19)–(22), we get

(23) θ = G + Fy + m 1 y 2 2 ,

(24) ϕ = K sin h [ α y ] + J cosh [ α y ] + m 2 ,

(25) u = R + Qy + m 11 p y 2 ( m 12 + m 17 ) y 2 m 13 y 3 m 14 y 4 m 15 sinh [ α y ] m 16 cosh [ α y ] ,

where

α = S Sc , m 1 = Pr ν 1 + Pr Rn , m 2 = Sr m 1 S , m 3 = α cosh [ α h 1 ] B m sinh [ α h 1 ] , m 4 = α sin h [ α h 1 ] B m cos h [ α h 1 ] , m 5 = ( 1 + λ 1 ) Gr G , m 6 = ( 1 + λ 1 ) Gr F , m 7 = ( 1 + λ 1 ) G r m 1 2 , m 8 = ( 1 + λ 1 ) Gc K , m 9 = ( 1 + λ 1 ) Gc J , m 10 = ( 1 + λ 1 ) Gc m 2 , m 11 = ( 1 + λ 1 ) p 2 , m 12 = m 5 2 , m 13 = m 6 6 , m 14 = m 7 12 , m 15 = m 8 α 2 , m 16 = m 9 α 2 , m 17 = m 10 2 , m 18 = m 11 ( h 1 + h 2 ) , m 19 = ( m 12 + m 17 ) ( h 2 2 h 1 2 ) m 13 ( h 2 3 h 1 3 ) m 14 ( h 2 4 h 1 4 ) ( h 1 h 2 ) + m 15 ( sinh [ α h 2 ] sinh [ α h 1 ] ) m 15 ( cosh [ α h 2 ] cosh [ α h 1 ] ) ( h 1 h 2 ) , m 20 = ( 1 Q h 1 + ( m 12 + m 17 ) h 1 2 + m 13 h 1 3 + m 14 h 1 4 + m 15 sinh [ α h 1 ] ) + ( m 16 cosh [ α h 1 ] ) , G = F h 2 m 1 h 2 2 2 F = B h m 1 h 1 B h m 1 2 ( h 2 2 h 1 2 ) ( 1 B h h 1 ) + B h h 2 K = J cosh [ α h 2 ] m 2 sinh [ α h 2 ] , J = B m sinh [ α h 2 ] + m 2 ( B m sinh [ α h 2 ] + m 3 ) m 4 sinh [ α h 2 ] m 3 cosh [ α h 2 ] , Q = m 18 p + m 19 , R = m 20 m 21 p Q h 1 .

In the wave model, the volumetric flow rate is represented as follows:

(26) q = h 2 h 1 udy = h 2 h 1 ( R + Qy + m 11 py 2 ( m 12 + m 17 ) y 2 m 13 y 3 m 14 y 4 m 15 sinh [ α y ] m 16 cosh [ α y ] ) d y = p m 22 + m 23 ,

where

m 22 = ( m 21 m 18 h 1 ) ( h 1 h 2 ) + m 18 2 ( h 1 2 h 2 2 ) + m 11 3 ( h 1 3 h 2 3 ) , m 23 = m 20 ( h 1 h 2 ) m 19 h 1 ( h 1 h 2 ) + m 19 2 ( h 1 2 h 1 2 ) ( m 12 + m 17 ) 3 ( h 1 3 h 2 3 ) + m 13 4 ( h 1 4 h 2 4 ) m 14 5 ( h 1 5 h 2 5 ) m 15 α ( cosh [ α h 1 ] cosh [ α h 2 ] ) + m 16 α ( sinh [ α h 1 ] sinh [ α h 2 ] ) .

The expression for the pressure gradient derived from Eq. (26) is as follows:

(27) d p d x = q m 23 m 22 .

In the laboratory frame, the instantaneous flux Q (x, t) is given by

(28) Q = h 2 h 1 ( u + 1 ) d y = q h .

The typical volumetric flow rate of peristaltic waves is as follows:

(29) Q ̄ = 1 T 0 T Q d t = q + 1 + d .

The pressure gradient, which may be derived from Eqs. (27) and (29), is given by

(30) d p d x = ( Q ¯ 1 d ) m 23 m 22 .

4 Discussion of the problem

In this subsection, we look at how different emergent factors affect the patterns of velocity, temperature, pressure rise, and concentration. When calculations are performed, the following settings are used for the default parameters: ε = 0.2 , ϕ = π 6 , x = 0.6 , t = 0.4 , k 1 = 0.1 , Pr = 3 , ν = 0.1 , λ 1 = 0.5 , Q ¯ = 2 , d = 1 , Gr = 0.5 , Sr = 2 , Sc = 0.4 , Gc = 1.5 , Bh = 0.5 , Bm = 0.5 , S = 0.5 , and Rn = 0.25 . Mathematica software is used to determine the numerical outcomes.

4.1 Validation of the model

Table 1 displays a comparison of our study results with those of Ravi Rajesh and Rajasekhara Gowda [44]. The approach of Ravi Rajesh and Rajasekhara Gowda is used as a reference point since it is purely analytical. In Table 1, we can observe a comparison between the calculated velocity and the velocity distribution values calculated using Ravi Rajesh and Rajasekhara Gowda’s solution. The calculated results for the Jeffrey parameter λ1 = 0.1, 0.5, and 1 are found to be in close agreement with Rajesh and Rajasekhara Gowda’s equivalent result, showing that the solution obtained and the analysis offered are accurate

Table 1

Velocity distribution for various values of λ 1 (comparison of values from present work with that of Rajesh and Rajasekhara Gowda’s work [43])

y value λ 1 = 0.1 (Ravi Rajesh work) λ 1 = 0.1 (Present work) λ 1 = 0.5 (Ravi Rajesh work) λ 1 = 0.5 (Present work) λ 1 = 1 (Ravi Rajesh work) λ 1 = 1 (Present work)
−1.25 −1 −1 −1 −1 −1 −1
−0.75 0.096123 0.096208 0.821013 0.827013 1.55082 1.55782
−0.25 0.562933 0.563033 1.59505 1.60505 2.639708 2.64708
0.25 0.4947075 0.494875 1.48746 1.49146 2.48104 2.48804
0.75 −0.042956 −0.04356 0.588406 0.594067 1.228169 1.23169
1.25 −1 −1 −1 −1 −1 −1

4.2 Velocity distribution

The velocity distribution is plotted as a function of y in Figures 38. As seen in the Figure 3, the Soret number has a substantial influence on the velocity. As the values of Sr increase, it is seen that the distribution of velocities improves [44]. The influence of Bh in heat transmission on the velocity is seen in Figure 4. This pattern suggests that when Bh increases, so does velocity. From Figure 5, the velocity distribution improves as the Grashof number (Gr) increases. The influence of Bm on the velocity distribution is seen in Figure 6. Based on the plots, we have observed that a rise in Bm improves velocity profiles. This is due to the fact that buoyancy forces induce a greater velocity distribution [44]. Figures 7 and 8 show how the Jeffrey fluid parameter and thermal radiation affect the distribution of velocities. When λ 1 and Rn values rise, the velocity distribution also rises. Therefore, an increase in λ 1 always causes an increase in elastance, which in turn increases the fluid velocity [45]

Figure 3 
                  Significance of Sr on u.
Figure 3

Significance of Sr on u.

Figure 4 
                  Significance of Bh on u.
Figure 4

Significance of Bh on u.

Figure 5 
                  Significance of Gr on u.
Figure 5

Significance of Gr on u.

Figure 6 
                  Significance of Bm on u.
Figure 6

Significance of Bm on u.

Figure 7 
                  Significance of Rn on u.
Figure 7

Significance of Rn on u.

Figure 8 
                  Significance of 
                        
                           
                           
                              
                                 
                                    λ
                                 
                                 
                                    1
                                 
                              
                           
                           {\lambda }_{1}
                        
                      on u.
Figure 8

Significance of λ 1 on u.

4.3 Temperature distribution

Figures 912 exhibit how the temperature profile (θ) varies for different factors. The Biot number is associated with the surface convective boundary condition. As shown in Figure 9, as the Biot number increases, the temperature gradient near the surface increases, resulting in an increase in the temperature near the surface and the thermal boundary layer thickness [46]. The temperature distribution is exhibited in Figure 10. The findings show that increasing the heat source/sink parameter value improves the temperature dispersion. Figure 11 shows the significance of Pr on the distribution of temperature. The temperature of a fluid increases in proportion to the Prandtl number. Due to an increase in Prandtl number, the thermal conductivity of the material decreases, making it less effective at conducting heat. Additionally, the rate of heat transmission is accelerated [45]. Figure 12 displays how Rn affects the overall temperature pattern. This plot suggests that increasing Rn values reduces the fluid flow temperature. Here we can make the significant observation that thermal boundary layer thickness decreases as thermal radiation increases.

Figure 9 
                  Significance of Bh on θ.
Figure 9

Significance of Bh on θ.

Figure 10 
                  Significance of 
                        
                           
                           
                              ν
                           
                           \nu 
                        
                      on θ.
Figure 10

Significance of ν on θ.

Figure 11 
                  Significance of Pr on θ.
Figure 11

Significance of Pr on θ.

Figure 12 
                  Significance of Rn on θ.
Figure 12

Significance of Rn on θ.

4.4 Concentration distribution

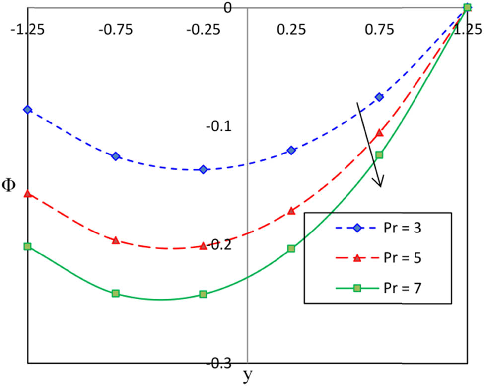
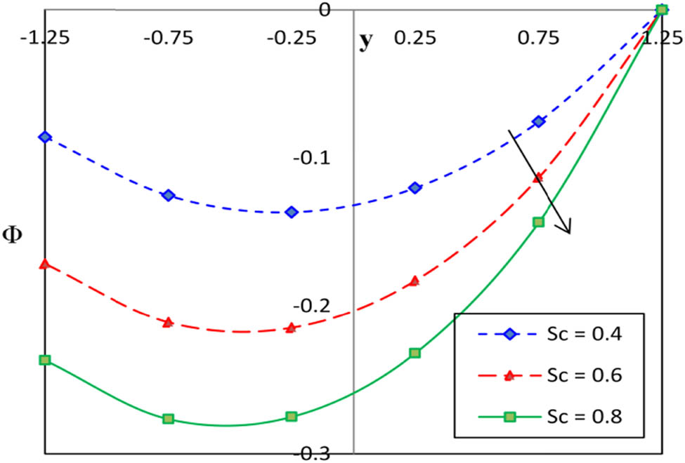
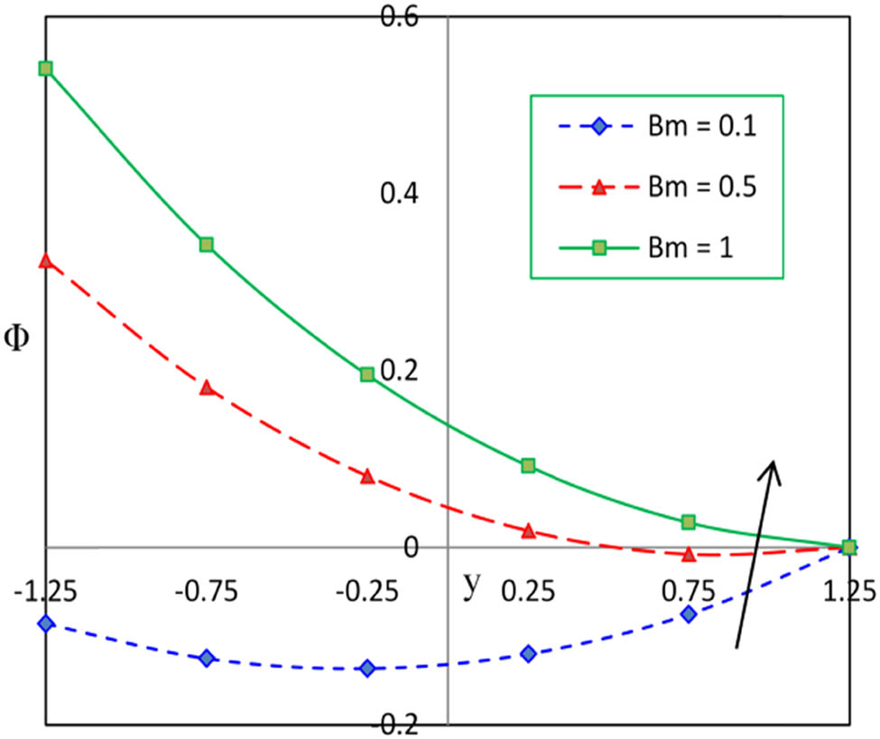
Figures 1319 exhibit the consequences of various factors on the concentration profile (Φ). Figures 13 depicts the importance of Bm on the concentration profile. As shown in the concentration profile, the results improve as Bm increases. It happens because mass diffusivity decreases [46]. Even more clearly, Figures 14 and 15 show that increasing Rn and S enhanced the fluid’s concentration distribution. As can be seen in Figures 1619, the concentration distribution is affected by a diversity of factors, including the Pr, ν, Sr, and Sc. These results demonstrate that the concentration profile flattens out as Pr, ν, Sr, and Sc levels are increased. This is because the increased concentrations of Pr, v, Sr, and Sc reduce the mobility of fluid molecules [35].

Figure 13 
                  Significance of Bm on Φ.
Figure 13

Significance of Bm on Φ.

Figure 14 
                  Significance of Rn on Φ.
Figure 14

Significance of Rn on Φ.

Figure 15 
                  Significance of S on Φ.
Figure 15

Significance of S on Φ.

Figure 16 
                  Significance of Pr on Φ.
Figure 16

Significance of Pr on Φ.

Figure 17 
                  Significance of 
                        
                           
                           
                              ν
                           
                           \nu 
                        
                      on Φ.
Figure 17

Significance of ν on Φ.

Figure 18 
                  Significance of Sr on Φ.
Figure 18

Significance of Sr on Φ.

Figure 19 
                  Significance of Sc on Φ.
Figure 19

Significance of Sc on Φ.

4.5 Pressure rise

Figures 2023 illustrate the association between the pressure increase per wavelength and the volumetric flow rate in the vertically tapered channel for various physical parameter values. Peristaltic transport is widely known to have three pumping zones, which are characterized as the pumping region p > 0 (peristaltic pumping region Q ̅ > 0 and retrograde pumping region Q ̅ < 0 ), the free pumping region p = 0 , and the co-pumping region when p < 0 . Figure 20 displays the effect of λ 1 on the pressure rise. As λ 1 increases, the pressure rate drops in the free and retrograde pumping sectors, whereas it increases in the co-pumping sector. Figure 21 shows how ν affects the value of Δp. Retrograde, free pumping, and co-pumping rates may significantly increase with the increase in values of ν . Figures 22 and 23 depict the effect of Gc and Bh on the pressure rate, respectively. We observe that the pressure rate in three pumping zones is reduced as a result of the prominent impact of external heat flow resistance.

Figure 20 
                  Significance of 
                        
                           
                           
                              
                                 
                                    λ
                                 
                                 
                                    1
                                 
                              
                           
                           {\lambda }_{1}
                        
                      on 
                        
                           
                           
                              Δ
                              p
                              .
                           
                           \Delta p.
Figure 20

Significance of λ 1 on Δ p .

Figure 21 
                  Significance of 
                        
                           
                           
                              ν
                           
                           \nu 
                        
                      on 
                        
                           
                           
                              Δ
                              p
                           
                           \Delta p
                        
                     .
Figure 21

Significance of ν on Δ p .

Figure 22 
                  Significance of Gc on 
                        
                           
                           
                              Δ
                              p
                           
                           \Delta p
                        
                     .
Figure 22

Significance of Gc on Δ p .

Figure 23 
                  Significance of Bh on 
                        
                           
                           
                              Δ
                              p
                           
                           \Delta p
                        
                     .
Figure 23

Significance of Bh on Δ p .

Tables 2 and 3 show the heat/mass transfer coefficient rate at the wall y = h 1 for dissimilar values of the embedded parameters: ε = 0.2 , ϕ = π 6 , x = 0.6 , t = 0.4 , k 1 = 0.1 , Pr = 3 , ν = 0.1 , Rn = 0.25 , Sr = 2 , S = 0.5 ,   Sc = 0.4 , Bh = 1 ,   and Bm = 0.1 . The findings reveal that the heat transfer coefficient decreases as Pr and v increase, whereas it increases with Rn and Bh. Generally, the mass transfer coefficient decreases with the increase in Pr, Sr, Sc, and Bm but increases with the increase in Rn and S.

Table 2

Numerical values of heat/mass transfer rate at the wall h 1

Pr ν S θ ( h 1 ) ϕ ( h 1 )
3 0.1 0.5 0.131717 0.10854
5 0.086229 0.11561
7 0.057282 0.12010
3 0.1 0.131717 0.10854
0.2 −0.021803 0.13238
0.3 −0.175325 0.15623
0.1 0.131717 0.10854
0.177774 0.10139
0.202573 0.09753
0.5 0.10854
1 0.10546
1.5 0.10359
Table 3

Numerical values of heat/mass transfer rate at the wall h 1

Sr Sc Bm Rn Bh θ ( h 1 ) ϕ ( h 1 )
2 0.4 0.1 0.25 1 0.10854
3 0.12046
4 0.13238
2 0.4 0.10854
0.6 0.11710
0.8 0.12362
0.4 0.1 0.10854
0.5 0.33668
1 0.45665
0.1 0.25 0.131717 0.10854
0.5 0.177774 0.10139
0.75 0.202573 0.09753
0.25 0.1 0.036925
0.5 0.102485
1 0.131717

5 Conclusion

This research aims to simulate and analyze computationally the peristaltic blood flow of a non-Newtonian material via a tapered channel subjected to a radiative heat flux. While few research works [4754] highlight recent developments in the fluid flow in the presence of different flow assumptions, others [5557] indicate important numerical solving techniques. The most important findings are shown below:

  • The velocity increases with the increase in λ1, Rn, Bh, and Bm.

  • When Bh and Pr are increased, the fluid temperature increases.

  • An increase in Pr, ν , Sr, and Sc causes a decrease in fluid concentration.

  • Heat transfer coefficient decreases as Pr and ν increase, whereas it increases with Rn and Bh.

  • Mass transfer coefficient decreases with the increase in Pr, Sr, Sc, and Bm but increases with the increase in Rn and S.

Acknowledgments

This Research is funded by Research Supporting Project Number (RSPD2023R585, King Saud University, Riyadh, Saudi Arabia.

  1. Funding information: This Research is funded by Research Supporting Project Number (RSPD2023R585), King Saud University, Riyadh, Saudi Arabia.

  2. Author contributions: All authors have accepted responsibility for the entire content of this manuscript and approved its submission.

  3. Conflict of interest: The authors state no conflict of interest.

  4. Data availability statement: All data generated or analysed during this study are included in this published article.

References

[1] Latham TW. Fluid motion in a peristaltic pump. MS Thesis. Cambridge, M.A: Massachusetts Institute of Technology; 1966.Search in Google Scholar

[2] Pandey SK, Chaube MK. Peristaltic transport of a visco-elastic fluid in a tube of non-uniform cross section. Math Comput Model. 2010;52:501–14.10.1016/j.mcm.2010.03.047Search in Google Scholar

[3] Rafq M, Shaheen A, Trabelsi Y, Eldin SM, Ijaz Khan M, Suker DK. Impact of activation energy and variable properties on peristaltic flow through porous wall channel. Sci Rep. 2023;13:3219.10.1038/s41598-023-30334-3Search in Google Scholar PubMed PubMed Central

[4] Gowda RJP, Rauf A, Kumar RN, Prasannakumara BC, Shehzad SA. Slip flow of Casson–Maxwell nanofluid confined through stretchable disks. Indian J Phys. 2022;96:2041–9. 10.1007/s12648-021-02153-7.Search in Google Scholar

[5] Wang F, Rani SP, Sarada K, Punith Gowda RJ, Khan U, Zahran HY, et al. The effects of nanoparticle aggregation and radiation on the flow of nanofluid between the gap of a disk and cone. Case Stud Therm Eng. May 2022;33:101930.10.1016/j.csite.2022.101930Search in Google Scholar

[6] Umavathi JC, Prakasha DG, Alanazi YM, Lashin MMA, Al-Mubaddel FS, Kumar R, et al. Magnetohydrodynamic squeezing Casson nanofluid flow between parallel convectively heated disks. Int J Mod Phys B. 2023;37(4):2350031.10.1142/S0217979223500315Search in Google Scholar

[7] Prasannakumara BC, Punith Gowda RJ. Heat and mass transfer analysis of radiative fluid flow under the influence of uniform horizontal magnetic field and thermophoretic particle deposition. Waves Random Complex Media. 2022. 10.1080/17455030.2022.2096943.Search in Google Scholar

[8] Naveen Kumar R, Gamaoun F, Abdulrahman A, Chohan JS, Punith Gowda RJ. Heat transfer analysis in three-dimensional unsteady magnetic fluid flow of water-based ternary hybrid nanofluid conveying three various shaped nanoparticles: A comparative study. Int J Mod Phys B. 2022;36(25):2250170.10.1142/S0217979222501703Search in Google Scholar

[9] Sarada K, Gamaoun F, Abdulrahman A, Paramesh SO, Kumar R, Prasanna GD, et al. Impact of exponential form of internal heat generation on water-based ternary hybrid nanofluid flow by capitalizing non-Fourier heat flux model. Case Stud Therm Eng. October 2022;38:102332.10.1016/j.csite.2022.102332Search in Google Scholar

[10] Shi QH, Hamid A, Khan MI, et al. Numerical study of bio-convection flow of magneto-cross nanofluid containing gyrotactic microorganisms with activation energy. Sci Rep. 2021;11:16030. 10.1038/s41598-021-95587-2.Search in Google Scholar PubMed PubMed Central

[11] Gowda RJP, et al. Dynamics of nanoparticle diameter and interfacial layer on flow of non-Newtonian (Jeffrey) nanofluid over a convective curved stretching sheet. Int J Mod Phys B. Dec. 2022;36(31):2250224. 10.1142/S0217979222502241.Search in Google Scholar

[12] Srinivas S, Kothandapani M. Peristaltic transport in an asymmetric channel with heat transfer - A note. Int Commun Heat Mass Transf. 2008;35:514–52.10.1016/j.icheatmasstransfer.2007.08.011Search in Google Scholar

[13] Mekheimer KS, AbdElmaboud Y. The influence of heat transfer and magnetic field on peristaltic transport of a Newtonian fluid in a vertical annulus: Application of an endoscope. Phys Lett A. 2008;372:1657–65.10.1016/j.physleta.2007.10.028Search in Google Scholar

[14] Kabir KM, Alim MA, Andallah LS. Effects of stress work on MHD natural convection flow along a vertical wavy surface with Joule heating. J Appl Fluid Mech. 2015;8:213–21.10.18869/acadpub.jafm.67.221.21309Search in Google Scholar

[15] Kothandapani M, Srinivas S. On the influence of wall properties in the MHD peristaltic transport with heat transfer and porous medium. Phys Lett A. 2008;372:4586–91.10.1016/j.physleta.2008.04.050Search in Google Scholar

[16] Oahimire JI, Olajuwon BI. Effect of Hall current and thermal radiation on heat and mass transfer of a chemically reacting MHD flow of a micropolar fluid through a porous medium. J King Saud Univ – Eng Sci. 2014;26:112–21.10.1016/j.jksues.2013.06.008Search in Google Scholar

[17] Kothandapani M, Prakash J, Pushparaj V. Analysis of heat and mass transfer on MHD peristaltic flow through a tapered asymmetric channel. J Fluids. 2015;12:1–9.10.1155/2015/561263Search in Google Scholar

[18] Ravikumar S, Vijaya Sekhar D, Abzal SK. Role of ohmic heating and radiation on magnetohydrodynamic Jeffrey fluid model. J Comput Appl Res Mech Eng. 2022;11(2):317–27.Search in Google Scholar

[19] Ravikumar S. Analysis of heat transfer on MHD peristaltic blood flow with porous medium through coaxial vertical tapered asymmetric channel with radiation – Blood flow study. Int J Bio-Sci Bio-Technol. 2016;8(2):395–408.10.14257/ijbsbt.2016.8.2.37Search in Google Scholar

[20] Xiang J, Deng L, Zhou C, Zhao H, Huang J, Tao S. Heat transfer performance and structural optimization of a novel micro-channel heat sink. Chin J Mech Eng. 2022;35:38.10.1186/s10033-022-00704-5Search in Google Scholar

[21] Xiang J, Yang W, Liao H, Li P, Chen Z, Huang J. Design and thermal performance of thermal diode based on the asymmetric flow resistance in vapor channel. Int J Therm Sci. 2023;191:108345.10.1016/j.ijthermalsci.2023.108345Search in Google Scholar

[22] Zhu ZY, Liu YL, Gou GQ, Gao W, Chen J. Effect of heat input on interfacial characterization of the butter joint of hot-rolling CP-Ti/Q235 bimetallic sheets by Laser  +  CMT. Sci Rep. 2021;11:10020.10.1038/s41598-021-89343-9Search in Google Scholar PubMed PubMed Central

[23] Saleem N, Akram S, Afzal FH, Aly E, Hussain A. Impact of velocity second slip and inclined magnetic field on peristaltic flow coating with jeffrey fluid in tapered channel. Coatings. 2020;10(1):30. 10.3390/coatings10010030.Search in Google Scholar

[24] Abbasi FM, Hayat T, Ahmad B. Peristaltic flow in an asymmetric channel with convective boundary conditions and Joule heating. J Cent South Univ. 2014;21:1411–6.10.1007/s11771-014-2079-0Search in Google Scholar

[25] Abbasi FM, Alsaedi A, Hayat T. Mixed convective heat and mass transfer analysis for peristaltic transport in an asymmetric channel with Soret and Dufour effects. J Cent South Univ. 2014;21:4585–91.10.1007/s11771-014-2464-8Search in Google Scholar

[26] Abdulhadi AM, Ahmed TS. Effect of radial magnetic field on peristaltic transport of Jeffrey fluid in curved channel with heat/mass transfer. J Phys: Conf Ser. 2018;1003:012053.10.1088/1742-6596/1003/1/012053Search in Google Scholar

[27] Hayat T, Zahir H, Tanveer A, Alsaedi A. Soret and Dufour effects on MHD peristaltic transport of Jeffrey fluid in a curved channel with convective boundary conditions. PLoS ONE. 2017;12(2):e0164854. 10.1371/journal.pone.0164854.Search in Google Scholar PubMed PubMed Central

[28] Alsaedi A, Batool N, Yasmin H, Hayat T. Convective heat transfer analysis on Prandtl fluid model with peristalsis. Appl Bionics Biomech. 2013;10:197–208.10.1155/2013/920276Search in Google Scholar

[29] Noreen Sher Akbar S, Nadeem NF, Noor M. Free Convective MHD Peristaltic Flow of a Jeffrey Nanofluid with Convective Surface Boundary Condition: A Biomedicine-Nano Model. Curr Nanosci. 2014;10(3):432–40.10.2174/15734137113096660125Search in Google Scholar

[30] Chen L, Zhao Y. From classical thermodynamics to phase-field method. Prog Mater Sci. 2022;124:100868.10.1016/j.pmatsci.2021.100868Search in Google Scholar

[31] He Y, Zhang L, Tong MS. Microwave imaging of 3D dielectric-magnetic penetrable objects based on integral equation method. IEEE Trans Antennas Propag. 2023;71:5110–20. 10.1109/TAP.2023.3262299.Search in Google Scholar

[32] Liu W, Zhao C, Zhou Y, Xu X, Rakkesh RA. Modeling of vapor-liquid equilibrium for electrolyte solutions based on COSMO-RS interaction. J Chem. 2022;2022:9070055.10.1155/2022/9070055Search in Google Scholar

[33] Hamed Sayed E, Aly EH, Vajravelu K. Influence of slip and convective boundary conditions on peristaltic transport of non-Newtonian nanofluids in an inclined asymmetric channel. Alex Eng J. 2016;55:2209–20.10.1016/j.aej.2016.04.041Search in Google Scholar

[34] Ravikumar S, Suresh Goud J, Sivaiah R. Hall and convective boundary conditions effects on peristaltic flow of a couple stress fluid with porous medium through a tapered channel under influence of chemical reaction. Int J Mech Eng Technol. 2018;9(7):712–22.Search in Google Scholar

[35] Tanveer A, Hayat T, Alsaedi A. Peristaltic flow of MHD Jeffrey nanofluid in curved channel with convective boundary conditions: a numerical study. Neural Comput Appl. 2018;30(2):437–46.10.1007/s00521-016-2705-xSearch in Google Scholar

[36] Savović S, Drljača B, Djordjevich A. A comparative study of two different finite difference methods for solving advection–diffusion reaction equation for modeling exponential traveling wave in heat and mass transfer processes. Ricerche di Matematica. 2022;71(1):245–52. 10.1007/s11587-021-00665-2.Search in Google Scholar

[37] Yasmin H, Iqbal N, Tanveer A. Engineering applications of peristaltic fluid flow with hall current, thermal deposition and convective conditions. Mathematics. 2020;8(10):1710. 10.3390/math8101710.Search in Google Scholar

[38] Iqbal N, Yasmin, H, Bibi A, Kometa BK, Attiya AA. Impact of homogeneous/heterogeneous reactions and convective conditions on peristaltic fluid flow in a symmetric channel. Punjab Univ J Math. 2021;53(1):35–53.10.52280/pujm.2021.530103Search in Google Scholar

[39] Mehmood OU, Qureshi AA, Yasmin H, Uddin S. Thermo-mechanical analysis of non Newtonian peristaltic mechanism: Modified heat flux model. Phys A: Stat Mech its Appl. 15 July 2020;550:124014.10.1016/j.physa.2019.124014Search in Google Scholar

[40] Hayat T, Iqbal M, Yasmin H, Alsaadi FE, Gao H. Simultaneous effects of Hall and convective conditions on peristaltic flow of couple-stress fluid in an inclined asymmetric channel. Pramana - J Phys. 2015;85:125–48. 10.1007/s12043-014-0888-1.Search in Google Scholar

[41] Yasmin H, Iqbal N. Convective mass/heat analysis of an electroosmotic peristaltic flow of ionic liquid in a symmetric porous microchannel with Soret and Dufour. Math Probl Eng. 2021;2021:14. Article ID 2638647. 10.1155/2021/2638647.Search in Google Scholar

[42] Yasmin H, Iqbal N, Hussain A. Convective heat/mass transfer analysis on Johnson-Segalman fluid in a symmetric curved channel with peristalsis: Engineering applications. Symmetry. 2020;12(9):1475. 10.3390/sym12091475.Search in Google Scholar

[43] Hayat T, Batool N, Yasmin H, Alsaedi A, Ayub M. Peristaltic flow of Williamson fluid in a convected walls channel with Soret and Dufour effects. Int J Biomath. 2016;09:1650012.10.1142/S1793524516500121Search in Google Scholar

[44] Rajesh R, Rajasekhara Gowd Y. Impact of Hall current, Joule heating and mass transfer on MHD peristaltic hemodynamic Jeffrey fluid with porous medium under the influence of chemical reaction. Chem Eng Trans. 2018;71(9):997–1002. https://www.aidic.it/cet/18/71/167.pdf.Search in Google Scholar

[45] Alyousef HA, Yasmin H, Shah R, Shah NA, El-Sherif LS, El-Tantawy SA. Mathematical modeling and analysis of the steady electro-osmotic flow of two immiscible fluids: A biomedical application. Coatings. 2023;13(1):115. 10.3390/coatings13010115.Search in Google Scholar

[46] Nisar Z, Yasmin H. Analysis of motile gyrotactic micro-organisms for the bioconvection peristaltic flow of Carreau–Yasuda bionanomaterials. Coatings. 2023;13(2):314. 10.3390/coatings13020314.Search in Google Scholar

[47] Li S, Ali F, Zaib A, Loganathan K, Eldin SM, Khan MI. Bioconvection effect in the Carreau nanofluid with Cattaneo–Christov heat flux using stagnation point flow in the entropy generation: Micromachines level study. Open Phys. 2023;21:20220228.10.1515/phys-2022-0228Search in Google Scholar

[48] Ajithkumar M, Lakshminarayana P, Vajravelu K. Diffusion effects on mixed convective peristaltic flow of a bi-viscous Bingham nanofluid through a porous medium with convective boundary conditions. Phys Fluids. 2023;35:3. 10.1063/5.0142003.Search in Google Scholar

[49] Li S, Khan MI, Alzahrani F, Eldin SM. Heat and mass transport analysis in radiative time dependent flow in the presence of Ohmic heating and chemical reaction, viscous dissipation: An entropy modeling. Case Stud Therm Eng. 2023;42:102722.10.1016/j.csite.2023.102722Search in Google Scholar

[50] Zayyanu SY, Hamza MM, Uwanta IJ. Heat Mass Transfer of Nanofluids Flow with Soret Effect In the Presence of Thermal Radiation. J Phys Math. 2019;10:306.10.33545/26648636.2019.v1.i2a.8Search in Google Scholar

[51] Li S, Puneeth V, Saeed AM, Singhal A, Al-Yarimi FAM, Khan MI, et al. Analysis of the Thomson and Troian velocity slip for the flow of ternary nanofluid past a stretching sheet. Sci Rep. 2023;13:2340.10.1038/s41598-023-29485-0Search in Google Scholar PubMed PubMed Central

[52] Liu Z, Li S, Sadaf T, Khan SU, Alzahrani F, Khan MI, et al. Numerical bio-convective assessment for rate type nanofluid influenced by Nield thermal constraints and distinct slip features. Case Stud Therm Eng. 2023;44:102821.10.1016/j.csite.2023.102821Search in Google Scholar

[53] Ghafor MBA. Peristaltic motion of a magnetohydrodynamics Oldroyd-B fluid in planar channel with heat transfer. A dissertation submitted in partial fulfillment of the requirements for the award of the degree of Master of Science (Engineering Mathematics). Faculty of Science Universiti Teknologi Malaysia; 2014.Search in Google Scholar

[54] Li S, Raghunath K, Alfaleh A, Ali F, Zaib A, Khan MI, et al. Effects of activation energy and chemical reaction on unsteady MHD dissipative Darcy-Forcheimer squeezed flow of Casson fluid over horizontal channel. Sci Rep. 2023;13:2666.10.1038/s41598-023-29702-wSearch in Google Scholar PubMed PubMed Central

[55] Yan A, Li Z, Cui J, Huang Z, Ni T, Girard P, et al. LDAVPM: A latch design and algorithm-based verification protected against multiple-node-upsets in harsh radiation environments. IEEE Trans Comput Des Integr Circuits Syst. 2023;42:2069–73. 10.1109/TCAD.2022.3213212.Search in Google Scholar

[56] Luo Z, Cai S, Hao S, Bailey TP, Luo Y, Luo W, et al. Extraordinary role of Zn in enhancing thermoelectric performance of Ga-doped n-type PbTe. 2022;15:368–75. 10.1039/d1ee02986j.Search in Google Scholar

[57] Li H, Li G, Li L. Comparative investigation on combustion characteristics of ADN-based liquid propellants in inert gas and oxidizing gas atmospheres with resistive ignition method. Fuel. 2023;334:126742. 10.1016/j.fuel.2022.126742.Search in Google Scholar

Received: 2023-02-23
Revised: 2023-05-10
Accepted: 2023-05-26
Published Online: 2023-07-03

© 2023 the author(s), published by De Gruyter

This work is licensed under the Creative Commons Attribution 4.0 International License.

Articles in the same Issue

  1. Regular Articles
  2. Dynamic properties of the attachment oscillator arising in the nanophysics
  3. Parametric simulation of stagnation point flow of motile microorganism hybrid nanofluid across a circular cylinder with sinusoidal radius
  4. Fractal-fractional advection–diffusion–reaction equations by Ritz approximation approach
  5. Behaviour and onset of low-dimensional chaos with a periodically varying loss in single-mode homogeneously broadened laser
  6. Ammonia gas-sensing behavior of uniform nanostructured PPy film prepared by simple-straightforward in situ chemical vapor oxidation
  7. Analysis of the working mechanism and detection sensitivity of a flash detector
  8. Flat and bent branes with inner structure in two-field mimetic gravity
  9. Heat transfer analysis of the MHD stagnation-point flow of third-grade fluid over a porous sheet with thermal radiation effect: An algorithmic approach
  10. Weighted survival functional entropy and its properties
  11. Bioconvection effect in the Carreau nanofluid with Cattaneo–Christov heat flux using stagnation point flow in the entropy generation: Micromachines level study
  12. Study on the impulse mechanism of optical films formed by laser plasma shock waves
  13. Analysis of sweeping jet and film composite cooling using the decoupled model
  14. Research on the influence of trapezoidal magnetization of bonded magnetic ring on cogging torque
  15. Tripartite entanglement and entanglement transfer in a hybrid cavity magnomechanical system
  16. Compounded Bell-G class of statistical models with applications to COVID-19 and actuarial data
  17. Degradation of Vibrio cholerae from drinking water by the underwater capillary discharge
  18. Multiple Lie symmetry solutions for effects of viscous on magnetohydrodynamic flow and heat transfer in non-Newtonian thin film
  19. Thermal characterization of heat source (sink) on hybridized (Cu–Ag/EG) nanofluid flow via solid stretchable sheet
  20. Optimizing condition monitoring of ball bearings: An integrated approach using decision tree and extreme learning machine for effective decision-making
  21. Study on the inter-porosity transfer rate and producing degree of matrix in fractured-porous gas reservoirs
  22. Interstellar radiation as a Maxwell field: Improved numerical scheme and application to the spectral energy density
  23. Numerical study of hybridized Williamson nanofluid flow with TC4 and Nichrome over an extending surface
  24. Controlling the physical field using the shape function technique
  25. Significance of heat and mass transport in peristaltic flow of Jeffrey material subject to chemical reaction and radiation phenomenon through a tapered channel
  26. Complex dynamics of a sub-quadratic Lorenz-like system
  27. Stability control in a helicoidal spin–orbit-coupled open Bose–Bose mixture
  28. Research on WPD and DBSCAN-L-ISOMAP for circuit fault feature extraction
  29. Simulation for formation process of atomic orbitals by the finite difference time domain method based on the eight-element Dirac equation
  30. A modified power-law model: Properties, estimation, and applications
  31. Bayesian and non-Bayesian estimation of dynamic cumulative residual Tsallis entropy for moment exponential distribution under progressive censored type II
  32. Computational analysis and biomechanical study of Oldroyd-B fluid with homogeneous and heterogeneous reactions through a vertical non-uniform channel
  33. Predictability of machine learning framework in cross-section data
  34. Chaotic characteristics and mixing performance of pseudoplastic fluids in a stirred tank
  35. Isomorphic shut form valuation for quantum field theory and biological population models
  36. Vibration sensitivity minimization of an ultra-stable optical reference cavity based on orthogonal experimental design
  37. Effect of dysprosium on the radiation-shielding features of SiO2–PbO–B2O3 glasses
  38. Asymptotic formulations of anti-plane problems in pre-stressed compressible elastic laminates
  39. A study on soliton, lump solutions to a generalized (3+1)-dimensional Hirota--Satsuma--Ito equation
  40. Tangential electrostatic field at metal surfaces
  41. Bioconvective gyrotactic microorganisms in third-grade nanofluid flow over a Riga surface with stratification: An approach to entropy minimization
  42. Infrared spectroscopy for ageing assessment of insulating oils via dielectric loss factor and interfacial tension
  43. Influence of cationic surfactants on the growth of gypsum crystals
  44. Study on instability mechanism of KCl/PHPA drilling waste fluid
  45. Analytical solutions of the extended Kadomtsev–Petviashvili equation in nonlinear media
  46. A novel compact highly sensitive non-invasive microwave antenna sensor for blood glucose monitoring
  47. Inspection of Couette and pressure-driven Poiseuille entropy-optimized dissipated flow in a suction/injection horizontal channel: Analytical solutions
  48. Conserved vectors and solutions of the two-dimensional potential KP equation
  49. The reciprocal linear effect, a new optical effect of the Sagnac type
  50. Optimal interatomic potentials using modified method of least squares: Optimal form of interatomic potentials
  51. The soliton solutions for stochastic Calogero–Bogoyavlenskii Schiff equation in plasma physics/fluid mechanics
  52. Research on absolute ranging technology of resampling phase comparison method based on FMCW
  53. Analysis of Cu and Zn contents in aluminum alloys by femtosecond laser-ablation spark-induced breakdown spectroscopy
  54. Nonsequential double ionization channels control of CO2 molecules with counter-rotating two-color circularly polarized laser field by laser wavelength
  55. Fractional-order modeling: Analysis of foam drainage and Fisher's equations
  56. Thermo-solutal Marangoni convective Darcy-Forchheimer bio-hybrid nanofluid flow over a permeable disk with activation energy: Analysis of interfacial nanolayer thickness
  57. Investigation on topology-optimized compressor piston by metal additive manufacturing technique: Analytical and numeric computational modeling using finite element analysis in ANSYS
  58. Breast cancer segmentation using a hybrid AttendSeg architecture combined with a gravitational clustering optimization algorithm using mathematical modelling
  59. On the localized and periodic solutions to the time-fractional Klein-Gordan equations: Optimal additive function method and new iterative method
  60. 3D thin-film nanofluid flow with heat transfer on an inclined disc by using HWCM
  61. Numerical study of static pressure on the sonochemistry characteristics of the gas bubble under acoustic excitation
  62. Optimal auxiliary function method for analyzing nonlinear system of coupled Schrödinger–KdV equation with Caputo operator
  63. Analysis of magnetized micropolar fluid subjected to generalized heat-mass transfer theories
  64. Does the Mott problem extend to Geiger counters?
  65. Stability analysis, phase plane analysis, and isolated soliton solution to the LGH equation in mathematical physics
  66. Effects of Joule heating and reaction mechanisms on couple stress fluid flow with peristalsis in the presence of a porous material through an inclined channel
  67. Bayesian and E-Bayesian estimation based on constant-stress partially accelerated life testing for inverted Topp–Leone distribution
  68. Dynamical and physical characteristics of soliton solutions to the (2+1)-dimensional Konopelchenko–Dubrovsky system
  69. Study of fractional variable order COVID-19 environmental transformation model
  70. Sisko nanofluid flow through exponential stretching sheet with swimming of motile gyrotactic microorganisms: An application to nanoengineering
  71. Influence of the regularization scheme in the QCD phase diagram in the PNJL model
  72. Fixed-point theory and numerical analysis of an epidemic model with fractional calculus: Exploring dynamical behavior
  73. Computational analysis of reconstructing current and sag of three-phase overhead line based on the TMR sensor array
  74. Investigation of tripled sine-Gordon equation: Localized modes in multi-stacked long Josephson junctions
  75. High-sensitivity on-chip temperature sensor based on cascaded microring resonators
  76. Pathological study on uncertain numbers and proposed solutions for discrete fuzzy fractional order calculus
  77. Bifurcation, chaotic behavior, and traveling wave solution of stochastic coupled Konno–Oono equation with multiplicative noise in the Stratonovich sense
  78. Thermal radiation and heat generation on three-dimensional Casson fluid motion via porous stretching surface with variable thermal conductivity
  79. Numerical simulation and analysis of Airy's-type equation
  80. A homotopy perturbation method with Elzaki transformation for solving the fractional Biswas–Milovic model
  81. Heat transfer performance of magnetohydrodynamic multiphase nanofluid flow of Cu–Al2O3/H2O over a stretching cylinder
  82. ΛCDM and the principle of equivalence
  83. Axisymmetric stagnation-point flow of non-Newtonian nanomaterial and heat transport over a lubricated surface: Hybrid homotopy analysis method simulations
  84. HAM simulation for bioconvective magnetohydrodynamic flow of Walters-B fluid containing nanoparticles and microorganisms past a stretching sheet with velocity slip and convective conditions
  85. Coupled heat and mass transfer mathematical study for lubricated non-Newtonian nanomaterial conveying oblique stagnation point flow: A comparison of viscous and viscoelastic nanofluid model
  86. Power Topp–Leone exponential negative family of distributions with numerical illustrations to engineering and biological data
  87. Extracting solitary solutions of the nonlinear Kaup–Kupershmidt (KK) equation by analytical method
  88. A case study on the environmental and economic impact of photovoltaic systems in wastewater treatment plants
  89. Application of IoT network for marine wildlife surveillance
  90. Non-similar modeling and numerical simulations of microploar hybrid nanofluid adjacent to isothermal sphere
  91. Joint optimization of two-dimensional warranty period and maintenance strategy considering availability and cost constraints
  92. Numerical investigation of the flow characteristics involving dissipation and slip effects in a convectively nanofluid within a porous medium
  93. Spectral uncertainty analysis of grassland and its camouflage materials based on land-based hyperspectral images
  94. Application of low-altitude wind shear recognition algorithm and laser wind radar in aviation meteorological services
  95. Investigation of different structures of screw extruders on the flow in direct ink writing SiC slurry based on LBM
  96. Harmonic current suppression method of virtual DC motor based on fuzzy sliding mode
  97. Micropolar flow and heat transfer within a permeable channel using the successive linearization method
  98. Different lump k-soliton solutions to (2+1)-dimensional KdV system using Hirota binary Bell polynomials
  99. Investigation of nanomaterials in flow of non-Newtonian liquid toward a stretchable surface
  100. Weak beat frequency extraction method for photon Doppler signal with low signal-to-noise ratio
  101. Electrokinetic energy conversion of nanofluids in porous microtubes with Green’s function
  102. Examining the role of activation energy and convective boundary conditions in nanofluid behavior of Couette-Poiseuille flow
  103. Review Article
  104. Effects of stretching on phase transformation of PVDF and its copolymers: A review
  105. Special Issue on Transport phenomena and thermal analysis in micro/nano-scale structure surfaces - Part IV
  106. Prediction and monitoring model for farmland environmental system using soil sensor and neural network algorithm
  107. Special Issue on Advanced Topics on the Modelling and Assessment of Complicated Physical Phenomena - Part III
  108. Some standard and nonstandard finite difference schemes for a reaction–diffusion–chemotaxis model
  109. Special Issue on Advanced Energy Materials - Part II
  110. Rapid productivity prediction method for frac hits affected wells based on gas reservoir numerical simulation and probability method
  111. Special Issue on Novel Numerical and Analytical Techniques for Fractional Nonlinear Schrodinger Type - Part III
  112. Adomian decomposition method for solution of fourteenth order boundary value problems
  113. New soliton solutions of modified (3+1)-D Wazwaz–Benjamin–Bona–Mahony and (2+1)-D cubic Klein–Gordon equations using first integral method
  114. On traveling wave solutions to Manakov model with variable coefficients
  115. Rational approximation for solving Fredholm integro-differential equations by new algorithm
  116. Special Issue on Predicting pattern alterations in nature - Part I
  117. Modeling the monkeypox infection using the Mittag–Leffler kernel
  118. Spectral analysis of variable-order multi-terms fractional differential equations
  119. Special Issue on Nanomaterial utilization and structural optimization - Part I
  120. Heat treatment and tensile test of 3D-printed parts manufactured at different build orientations
Downloaded on 25.2.2026 from https://www.degruyterbrill.com/document/doi/10.1515/phys-2022-0258/html
Scroll to top button