Home Physical Sciences Weighted survival functional entropy and its properties
Article Open Access

Weighted survival functional entropy and its properties

  • Ghadah Alomani and Mohamed Kayid EMAIL logo
Published/Copyright: March 4, 2023

Abstract

The weighted generalized cumulative residual entropy is a recently defined dispersion measure. This article introduces a new uncertainty measure as a generalization of the weighted generalized cumulative residual entropy, called it the weighted fractional generalized cumulative residual entropy of a nonnegative absolutely continuous random variable, which equates to the weighted fractional Shannon entropy. Several stochastic analyses and connections of this new measure to some famous stochastic orders are presented. As an application, we demonstrate this measure in random minima. The new measure can be used to study the coherent and mixed systems, risk measure, and image processing.

1 Introduction and preliminaries

Shannon entropy is crucial in several areas of statistical mechanics and information theory. It is a well-known theory for uncertainty measures in the probabilistic framework that has attracted much attention in real applications, as seen in refs [14] among others. Boltzmann and Gibbs offered a widely used format of entropy in statistical mechanics, and Shannon provided it in information theory. If X is a discrete random variable with probability mass function P = ( p 1 , , p n ) , then the fractional entropy is given by (see ref. [5])

(1) H α ( X ) = i = 1 n p i ( log p i ) α , 0 α 1 .

It is obvious that (1) is a nonnegative criterion. Moreover, it has the properties of concavity and nonadditivity. In the particular case for α = 1 , it reduces to Shannon entropy [6]. From (1), it is clear that the fractional entropy is a function of p i , and the values of the random variables do not matter. For this reason, and to obtain a better uncertainty analysis, the probabilities and qualitative aspects of the possibilities in many domains must be considered under different circumstances (see, e.g., [7]). For this purpose, the notion of weighted fractional entropy is determined by

(2) H α w ( X ) = i = 1 n w i p i ( log p i ) α , 0 α 1 .

It is clear that (2) reduces to (1) for w i = 1 , i = 1 , , n , and equals to the weighted entropy when α = 1 .

The cumulative residual entropy (CRE) was introduced by ref. [8], and the fractional CRE was presented by ref. [9]. Recently, the fractional generalized cumulative residual entropy (FGCRE) of X as an extension of CRE was developed in ref. [10] as follows:

(3) E α ( X ) = q ( α ) 0 S ( x ) [ Θ ( x ) ] α d x ,

where q ( α ) = 1 Γ ( α + 1 ) , α 0 , such that

(4) Θ ( x ) = log S ( x ) = 0 x λ ( u ) d u , x > 0 ,

and λ ( u ) = f ( u ) / S ( u ) , u > 0 , denotes the hazard rate function. Other properties of the quoted measure are found in refs [9,11,12] and the references therein. As suggested by ref. [10], if α = n N , then E n ( X ) reduces to the generalized cumulative residual entropy introduced in ref. [13]. Several properties and applications of some uncertainty measures have been considered in the literature. For example, some other properties of the CRE were studied in ref. [14] and were applied to coherent and mixed systems. In addition, in ref. [15], the generalized CRE was considered as a risk measure and was compared to the standard deviation and the right-tail risk measure. Recently, in ref. [16], the cumulative residual Tsallis entropy was used as an alternative measure of uncertainty in blind assessment of the image quality. In this article, we aim to present a new measure of uncertainty determined by the weighted FGCRE. It is worth noting that the new measure is particularly important in the context of the proportional hazard rate model. Based on the mentioned references, the new measure can be used to study coherent and mixed systems, risk measurement, and image processing.

The remainder of this article is thus structured as follows. Section 2 introduces a new measure of uncertainty through the weighted FGCRE. We then provide some expressions for the weighted fractional generalized cumulative residual entropy (WFGCRE), one of which is associated with the weighted mean residual life (WMRL) function. In Section 3, we study the stochastic ordering properties of the WFGCRE and then provide some bounds for it. In Section 4, we conclude the article with some remarks and directions for the future work.

Before discussing our main results, we should recall some stochastic orders and classes of life distributions that we will use in the sequel. For more details, we refer the reader to ref. [17]. For this purpose, throughout this article, we denote the collection of absolutely continuous nonnegative random variables containing the support ( 0 , ) by R + = { X ; X 0 } . Moreover, we assume that α D + , where D + = [ 0 , ) .

Definition 1.1

Let X 1 R + have cumulative distribution function (CDF) F 1 ( x ) , probability density function (pdf) f 1 ( x ) , survival function S 1 ( x ) = 1 F 1 ( x ) , hazard rate function λ 1 ( x ) , and mean residual life (MRL) function m 1 ( x ) = 1 S 1 ( t ) t S 1 ( x ) d x . Similarly, let X 2 R + have CDF F 2 ( x ) , PDF f 2 ( x ) , survival function S 2 ( x ) = 1 F 2 ( x ) , hazard rate function λ 2 ( x ) , and MRL function m 2 ( x ) = 1 S 2 ( t ) t S 2 ( x ) d x . Then:

  1. X 1 has the (increasing) decreasing MRL (IMRL (DMRL)) property if m 1 ( x ) is increasing (decreasing) in x > 0 ;

  2. X 1 has the (increasing) decreasing failure rate (IFR(DFR)) property if λ 1 ( x ) is increasing (decreasing) in x > 0 ;

  3. X 1 is smaller than X 2 in the usual stochastic order (denoted by X 1 s t X 2 ) if S 1 ( x ) S 2 ( x ) , x > 0 .

  4. X 1 is smaller than X 2 in the hazard rate order (denoted by X 1 h r X 2 ) if S 1 ( x ) S 2 ( y ) S 2 ( x ) S 1 ( y ) for all x y .

  5. X 1 is smaller than X 2 in the likelihood ratio order (denoted by X 1 l r X 2 ) if f 1 ( x ) f 2 ( y ) f 1 ( y ) f 2 ( x ) for all x y , with x , y > 0 .

  6. X 1 is smaller than X 2 in the MRL order (denoted by X 1 m r l X 2 ) if m 1 ( x ) m 2 ( x ) for all x 0 .

  7. X 1 is smaller than X 2 in the increasing convex order (denoted by X 1 i c x X 2 ) if E [ Φ ( X 1 ) ] E [ Φ ( X 2 ) ] for all increasing convex functions Φ ( ) such that the expectations exist.

2 New uncertainty measure

In this section, we propose WFGCRE and investigate its manifold properties. For this purpose, let X R + with CDF F and PDF f . Moreover, we consider an increasing nonnegative differentiable function Ψ ( x ) such that Ψ ( x ) = ϕ ( x ) 0 . Then the WFGCRE of X is represented by

(5) E α Ψ ( X ) = q ( α ) 0 ϕ ( x ) S ( x ) [ Θ ( x ) ] α d x ,

for all α D + , provided the right-hand side integral is finite. It is worth noting that our results are the generality of the weighted generalized cumulative residual entropy (WGCRE) from [18]. It is obvious that (5) is nonnegative and equal to zero when X has a degenerate distribution function. In the particular case α = 1 , we have the weighted CRE as follows:

(6) E w ( X ) = 0 ϕ ( x ) S ( x ) Θ ( x ) d x ,

Here, we obtain an expression for the WFGCRE that is a generalization (24) in ref. [18] for the WGCRE. For this purpose, we define the random variable X α + 1 with the PDF as follows:

(7) f α + 1 ( x ) = 1 Γ ( α + 1 ) [ Θ ( x ) ] α f ( x ) , x 0 ,

for all α D + . The definition of Θ ( x ) is defined in (4). If we denote the survival function of X α + 1 by S α + 1 ( x ) , it holds that S α + 1 ( x ) = K α + 1 ( S ( x ) ) , x 0 , where

K α + 1 ( t ) = q ( α ) 0 t ( log u ) α d u , 0 < t < 1

is an increasing function of t for all α D + .

Proposition 2.1

Let X R + . Then,

(8) E α Ψ ( X ) = E [ Ψ ( X α + 1 ) ] E [ Ψ ( X α ) ] ,

for all α D + .

Proof

From (5), we have

E α Ψ ( X ) = q ( α ) { Ψ ( α ) α Ψ ( α 1 ) } = 0 Ψ ( x ) f α + 1 ( x ) d x α Γ ( α ) Γ ( α + 1 ) 0 Ψ ( x ) f α ( x ) d x = E [ Ψ ( X α + 1 ) ] E [ Ψ ( X α ) ] ,

where ϒ ( α ) = 0 Ψ ( x ) [ Θ ( x ) ] α f ( x ) d x , and the first equality is acquired using integrating by parts, while the last equality is received by remembering (7) and utilizing the identity Γ ( α + 1 ) = α Γ ( α ) (Table 1).

Table 1

WFGCRE for some specific parametric distributions

Distribution S ( x ) Ψ ( x ) = x Ψ ( x ) = x 2
Uniform ( 0 , b ) 1 x b , 0 x b , b > 0 b 2 α + 1 2 b 1 2 α + 1 1 3 α + 1
Weibull ( 1 , k ) e x k , x > 0 , k > 0 Γ α + 1 k k Γ ( α + 1 ) 2 Γ ( α + 2 k ) k Γ ( α + 1 )
Beta ( 1 , b ) ( 1 x ) b , 0 x 1 , b > 1 b α ( b 1 ) α + 1 2 b α 1 ( b + 1 ) α + 1 1 ( b + 2 ) α + 1

From Proposition 2.1, we note that E α Ψ ( X ) is the location between the functions

S Ψ , α + 1 ( x ) = P ( Ψ ( X α + 1 ) > x ) = K α + 1 ( S ( Ψ 1 ( x ) ) ) ,

and

S Ψ , α ( x ) = P ( Ψ ( X α ) > x ) = K α ( S ( Ψ 1 ( x ) ) ) ,

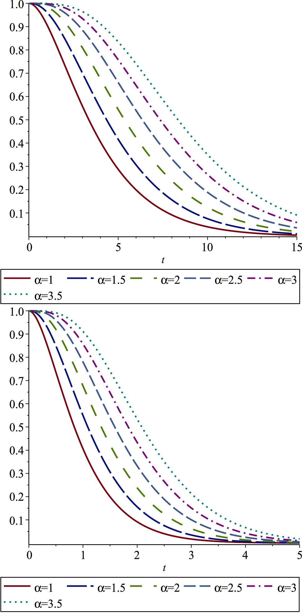
for all α D + . In certain, E 0 Ψ ( X ) = E ( Ψ ( X ) ) is the location under S Ψ , 1 ( x ) = P ( Ψ ( X 1 ) > x ) . Figure 1 displays these locations for a standard exponential distribution and different values of α for Ψ ( x ) = x 2 (top panel) and Ψ ( x ) = x (bottom panel). Also notice from (5) that the WFGCRE can be written as follows:

(9) E α Ψ ( X ) = E ϕ ( X α + 1 ) λ ( X α + 1 ) ,

for all α D + . The following theorem gives a sufficient condition for the WFGCRE to be finite.

Figure 1 
               
                  
                     
                        
                        
                           
                              
                                 S
                              
                              
                                 
                                    
                                       x
                                    
                                    
                                       2
                                    
                                 
                                 ,
                                 α
                              
                           
                           
                              (
                              
                                 x
                              
                              )
                           
                           =
                           P
                           
                              (
                              
                                 
                                    
                                       X
                                    
                                    
                                       α
                                    
                                    
                                       2
                                    
                                 
                                 >
                                 x
                              
                              )
                           
                        
                        {S}_{{x}^{2},\alpha }\left(x)=P\left({X}_{\alpha }^{2}\gt x)
                     
                   (top panel) and 
                     
                        
                        
                           
                              
                                 S
                              
                              
                                 
                                    
                                       x
                                    
                                 
                                 ,
                                 α
                              
                           
                           
                              (
                              
                                 x
                              
                              )
                           
                           =
                           P
                           
                              (
                              
                                 
                                    
                                       
                                          
                                             X
                                          
                                       
                                    
                                    
                                       α
                                    
                                 
                                 >
                                 x
                              
                              )
                           
                        
                        {S}_{\sqrt{x},\alpha }\left(x)=P\left({\sqrt{X}}_{\alpha }\gt x)
                     
                   (bottom panel) for an exponential distribution for 
                     
                        
                        
                           α
                           =
                           1
                           ,
                           1.5
                           ,
                           2
                           ,
                           2.5
                           ,
                           3
                           ,
                           3.5
                        
                        \alpha =1,1.5,2,2.5,3,3.5
                     
                  .
Figure 1

S x 2 , α ( x ) = P ( X α 2 > x ) (top panel) and S x , α ( x ) = P ( X α > x ) (bottom panel) for an exponential distribution for α = 1 , 1.5 , 2 , 2.5 , 3 , 3.5 .

Theorem 2.1

Let X R + . If 0 ϕ ( x ) 1 , then

  1. if E ( Ψ ( X p ) ) < for some p > 1 / α , then E α Ψ ( X ) < , 0 < α 1 .

  2. if E ( Ψ ( X p ) ) < for some p > α , then E α Ψ ( X ) < , α [ 1 , ) .

Proof

(i) From relation (13) of ref. [12] for all α , β [ 0 , 1 ] , one can obtain

(10) x ( log x ) α α e 1 1 β α x β , 0 x 1 ,

and hence, by taking β = α for α [ 0 , 1 ] , we obtain

x ( log x ) α α e 1 1 α α x α , 0 x 1 .

From this and noting that 0 ϕ ( x ) 1 , we obtain

(11) E α Ψ ( X ) c ( α ) 0 ϕ ( x ) S α ( x ) d x = c ( α ) 0 1 ϕ α ( x ) d x + 1 ϕ α ( x ) d x c ( α ) 1 + 1 S α ( x ) d x c ( α ) 1 + 1 E ( X p ) x p α d x = c ( α ) 1 + [ E ( X p ) ] α 1 1 x α p d x ,

where h α ( x ) = ϕ ( x ) S α ( x ) and c ( α ) = q ( α ) α e 1 1 α α . The third inequality in (11) is conveyed using Markov’s inequality, while the final integral is finite if p 1 α , , and this ends the proof. In the case where α [ 1 , ) , we set β = 1 / α .□

An alternative indication for the WFGCRE of X is supplied in the forthcoming theorem. It is represented regarding the cumulative hazard function of X provided by (4).

Theorem 2.2

Let X R + with finite WFGCRE function E α Ψ ( X ) < + for all α D + . We have,

(12) E α Ψ ( X ) = E [ Ω Ψ , α ( 2 ) ( X ) ] ,

such that

(13) Ω Ψ , α ( 2 ) ( x ) = q ( α ) 0 x ϕ ( t ) Θ α ( t ) d t , x 0 .

Proof

From (5) and Fubini’s theorem, we obtain

E α Ψ ( X ) = q ( α ) 0 ϕ ( t ) t f ( x ) d x Θ α ( t ) d t = q ( α ) 0 f ( x ) 0 x ϕ ( t ) Θ α ( t ) d t d x ,

which immediately follows (12) by using (13).□

This immediately allows us to obtain the following theorem.

Theorem 2.3

Let X R + with mean μ = E ( X ) < . If Ψ ( x ) is an increasing convex function, then

E α Ψ ( X ) Ω Ψ , α ( 2 ) ( μ ) ,

for all α D + .

Proof

Based on the assumption, Ω Ψ , α ( 2 ) ( x ) in (13) is an increasing convex function of x . This implies the result.□

Another useful application of Theorem 2.2 is given in the next theorem.

Theorem 2.4

Let X , Y R + . If Ψ ( x ) is an increasing convex function and X i c x Y , then

Ω Ψ , α ( 2 ) ( X ) i c x Ω Ψ , α ( 2 ) ( Y ) , α D +

where the function Ω Ψ , α ( 2 ) ( ) is defined in (13). Specifically, X i c x Y yields

E α Ψ ( X ) E α Ψ ( Y ) .

Proof

Since the function Ω Ψ , α ( 2 ) ( ) is an increasing convex function for all α D + , it follows (see Theorem 4.A.8 of ref. [17]) that Ω Ψ , α ( 2 ) ( X ) i c x Ω Ψ , α ( 2 ) ( Y ) , α D + . Now, using relation 4.A.2 of ref. [17], we derive E α Ψ ( X ) E α Ψ ( Y ) .□

As another example of the use of Theorem 2.2, when Ψ ( x ) is an increasing convex function, it can be seen that the function Ω Ψ , α ( 2 ) ( ) is an increasing convex function such that Ω Ψ , α ( 2 ) ( 0 ) = 0 . So if X h r Y , we have

(14) E α Ψ ( X ) E ( X ) E α Ψ ( Y ) E ( Y ) ,

for all α D + . This connection is directly acquired from Theorem 2.2 and appealing to [17] (see page 24). We note that Eq. (14) guides us to specify the normalized WFGCRE by

(15) Nℰ α Ψ ( X ) = E α Ψ ( X ) E ( X ) .

Under the condition X h r Y , the outcome of Eq. (14) can be declared as Nℰ α Ψ ( X ) Nℰ α Ψ ( Y ) for α D + . We now recall the WMRL function defined by m ψ ( t ) = E [ ψ ( X ) ψ ( t ) X > t ] , obtained by the next formula:

(16) m ψ ( t ) = 1 F ¯ ( t ) t ϕ ( x ) F ¯ ( x ) d x

for all t 0 such that F ¯ ( t ) > 0 ; see [18]. It is evident that m ψ ( 0 ) = E [ ψ ( X ) ] . In the next theorem, we supply another term for the WFGCRE regarding the expectation of the WMRL function, described in (16), evaluated at X α .

Theorem 2.5

For X R + , one has

(17) E α Ψ ( X ) = E ( m ψ ( X α ) ) .

Proof

For all α D + , we have

0 t Θ α 1 ( x ) Γ ( α ) λ ( x ) d x = Θ α ( t ) Γ ( α + 1 ) , t 0 ,

where the last equality is obtained by noting that Γ ( α + 1 ) = α Γ ( α ) . From this, Eq. (5) and using Fubini’s theorem, we have

(18) E α Ψ ( X ) = 0 ϕ ( t ) Θ α ( t ) Γ ( α + 1 ) S ( t ) d t = 0 0 t Θ α 1 ( x ) Γ ( α ) λ ( x ) ϕ ( t ) S ( t ) d x d t , = 0 Θ α 1 ( x ) Γ ( α ) λ ( x ) x ϕ ( t ) S ( t ) d t d x = 0 m ψ ( x ) Θ α 1 ( x ) Γ ( α ) f ( x ) d x .

The last equality in (18) is concluded from (16). So, Eq. (17) now is obtained from (7).□

The subsequent example applies relation (17) for the minimum of a random sample, which may be considered as the lifetime of a series system.

Example 2.1

Let X 1 : m = min { X 1 , , X m } , where X 1 , , X m are absolutely continuous nonnegative random variables having CDF F ( x ) . If we assume the survival function of X 1 : m by F ¯ 1 : m ( x ) = P ( X 1 : m > x ) = [ F ¯ ( x ) ] m for x 0 , by setting ψ ( t ) = F ( t ) , and thus ϕ ( t ) = f ( t ) , due to Example 5 in ref. [18], we have

m ψ ( X 1 : m ) ( t ) = F ¯ ( t ) m + 1 , t 0 .

Recalling Theorem 2.5, the WFGCRE of the probability integral transformation F ( X 1 : m ) can be obtained as follows:

E α F ( X 1 : m ) = q ( α ) 0 [ Θ ( x ) ] α 1 f ( x ) F ¯ ( x ) m + 1 d x = 1 ( m + 1 ) 2 α ,

for all α D + .

We recall that if X is NBUE (NWUE) (we say that X is said to have a new better (worse) than used in expectation (NBUE) (NWUE) distribution if m ( t ) ( ) m ( 0 ) = μ for all t > 0 ).

Theorem 2.6

  1. If X is NBUE and Ψ ( x ) is concave, then E α Ψ ( X ) E ( ϕ ( X α ) ) E ( X ) .

  2. If X is NWUE and Ψ ( x ) is convex, then E α Ψ ( X ) E ( ϕ ( X α ) ) E ( X ) .

Proof

We only prove case (i). The case (ii) can be similarly proved. Let X be NBUE and Ψ ( x ) is concave. Since ϕ ( x ) is decreasing, by (16), we obtain

m ψ ( t ) = t ϕ ( x ) F ¯ ( x ) F ¯ ( t ) d x t ϕ ( t ) F ¯ ( x ) F ¯ ( t ) d x = ϕ ( t ) m ( t ) ϕ ( t ) E ( X ) , t > 0 ,

where the last inequality is obtained by the fact that X is NBUE. Now, Theorem 2.5 ends the proof.□

As a special case, if we choose Ψ ( x ) = x , then Ψ ( x ) is both convex and concave. In this case, if X is increasing failure rate in average, so E α Ψ ( X ) E ( X ) . On the other hand, if X is decreasing failure rate in average, then E α Ψ ( X ) E ( X ) . Our result is a special case of those obtained in ref. [19].

3 Bounds and stochastic ordering

Hereafter, we seek to obtain some consequences on bounds for the WFGCRE and supply outcomes based on stochastic comparisons.

3.1 Some bounds

It is prominent that the CRE of the sum of two nonnegative independent random variables is bigger than the maximum of their respective CREs (see [8]). Similarly, we deliver that the identical outcome also contains the weighted FGCRE. The proof pursues from Theorem 2 in ref. [8]; therefore, it is skipped.

Theorem 3.1

If X 1 and X 1 are two absolutely continuous nonnegative independent random variables, then we have

E α Ψ ( X 1 + X 2 ) max { E α Ψ ( X 1 ) , E α Ψ ( X 2 ) } ,

for all α D + .

The next theorem shows a bound for the weighted FGCRE regarding the weighted CRE (6).

Theorem 3.2

Let X R + with survival function S ( x ) , mean μ < , and finite weighted CRE E w ( X ) . Then

(19) E α Ψ ( X ) [ E w ( X ) ] α μ Ψ α 1 Γ ( α + 1 ) , i f α [ 0 , 1 ] [ E w ( X ) ] α μ Ψ α 1 Γ ( α + 1 ) , i f α [ 1 , ) .

Proof

Let X ˜ Ψ be a random variable with the PDF

f ˜ Ψ ( x ) = ϕ ( x ) S ( x ) μ Ψ , x > 0 ,

where μ Ψ = E ( Ψ ( X ) ) . It is easy to see that the WFGCRE can be rewritten as follows:

E α Ψ ( X ) = μ Ψ E [ ψ α ( Θ ( X ˜ Ψ ) ) ] ,

where ψ α ( t ) = t α Γ ( α + 1 ) , t > 0 , is a concave (convex) function for α [ 0 , 1 ] ( α [ 1 , ) ) . So, from Jensen’s inequality, we have

E α Ψ ( X ) = μ Ψ E [ ψ α ( Θ ( X ˜ Ψ ) ) ] μ Ψ ψ α ( E [ Θ ( X ˜ Ψ ) ] ) = μ Ψ Γ ( α + 1 ) 1 μ Ψ 0 ϕ ( x ) S ( x ) Θ ( x ) d x α ,

and this gives the proof due to (6). The case α 1 can be obtained in a similar way.□

Two lower bounds for the WFGCRE of any distributions are obtained in the subsequent theorem.

Theorem 3.3

If X R + with finite WFGCRE E α Ψ ( X ) , then, for all α D + , we have

  1. E α Ψ ( X ) C α e H ( Ψ ( X ) ) such that C ( α ) = q ( α ) e 0 1 log ( x ( log ( x ) ) α ) d x , where

    H [ ψ ( X ) ] = H ( X ) + E [ log ϕ ( X ) ] .

  2. E α Ψ ( X ) q ( α ) 0 F α ( x ) S ( x ) d x .

Proof

(i) The differential entropy of Ψ ( X ) when Ψ is a nonnegative increasing function, can be represented as (see, e.g., Eq. (7) of Ebrahimi et al.):

(20) H [ ψ ( X ) ] = H ( X ) + E log d d X ψ ( X ) = H ( X ) + E [ log ϕ ( X ) ] .

Accordingly, Part (i) is readily obtained by using log-sum inequality (see, e.g., [8]). Moreover, by using the identity log x x 1 for 0 < x 1 , Part (ii) can be released.□

We finish this subsection by delivering two upper bounds for the WFGCRE of X . The first one is concerning the standard deviation of the transformed random variable Ψ ( X ) . The second one is founded by the subsequent transformed risk-adjusted (TRA) premium offered by

(21) Π ϕ , q ( X ) = 0 ϕ ( x ) S q ( x ) d x ,

for all 0 < q 1 . It is worth telling that when ϕ ( x ) = x , we have the risk-adjusted premium presented by ref. [20]. For an insurer, the risk-adjusted premium automatically and always alters the risk loading relative to the expected loss for different risks.

Theorem 3.4

Let X R + with CDF F ( t ) , transformed standard deviation (TSD) be σ ( Ψ ( X ) ) , and, WFGCRE function, E α Ψ ( X ) . Then

  1. E α Ψ ( X ) Γ ( 2 α 1 ) Γ ( α ) σ ( Ψ ( X ) ) , for all α 0.5 .

  2. E α Ψ ( X ) α e 1 1 β α Π ϕ , β ( X ) Γ ( α + 1 ) , such that

    (22) β = α , α [ 0 , 1 ] 1 α , α [ 1 , ) .

Proof

(i) By applying the Cauchy–Schwarz inequality, from (17), we have

0 m ψ ( t ) Θ α 1 ( x ) f ( x ) d x 2 = 0 m ψ ( t ) f ( x ) f ( x ) Θ α 1 ( x ) d x 2 0 m ψ 2 ( x ) f ( x ) d x 0 Θ 2 α 2 ( x ) f ( x ) d x ,

for all α D + . Recalling Theorem 21 in ref. [18], it implies that E [ m ψ 2 ( X ) ] = σ 2 ( Ψ ( X ) ) . On the other hand, we have

0 Θ 2 α 2 ( x ) f ( x ) d x = Γ ( 2 α 1 ) ,

and it is nonnegative for any α > 1 / 2 . Consequently, the proof is concluded. The claim (ii) is readily received from (10) by using the relation (22), and this completes the proof.□

The TSD bound in Theorem 3.4 is decreasing (increasing) in α for 1 / 2 < α 1 ( α 1 ) ; however, it can be applied for α > 1 / 2 . While the TRA bound can be applied for all α D + . So, this bound is a suitable alternative for the case of α < 1 / 2 . The next example delivers these notes.

Example 3.1

Let X R + have a standard exponential distribution with the survival function S ( x ) = e x , x > 0 . By considering Ψ ( x ) = x k , k 1 , we obtain

Π ϕ , β ( X ) = 0 ϕ ( x ) S β ( x ) d x = k 0 x k 1 e β x d x = k Γ ( k ) β k ,

for all β > 0 . To provide an expression for the transformed variance and the WFGCRE of exponential distribution, first note that

m Ψ ( t ) = k e t t x k 1 e x d x = k e t Γ ( t , k ) ,

where Γ ( t , k ) denotes the upper incomplete gamma function. Now, due to Theorem 3 in ref. [18], we have

σ 2 ( X k ) = 0 m Ψ ( t ) e t d t = Γ ( 1 + 2 k ) [ Γ ( 1 + k ) ] 2 .

Moreover, Theorem 2.5 implies that

E α Ψ ( X ) = k Γ ( α + k ) Γ ( α + 1 ) .

Now, Theorem 3.4 gives

E α Ψ ( X ) 1 Γ ( α ) Γ ( 2 α 1 ) [ Γ ( 1 + 2 k ) [ Γ ( 1 + k ) ] 2 ] ,

in which α > 1 / 2 . Taking into account

β = α , α [ 0 , 1 ] 1 α , α [ 1 , ) ,

Part (ii) of Theorem 3.4 gives

E α Ψ ( X ) k α α k e α Γ ( k ) ( 1 α ) α Γ ( α + 1 ) , α [ 0 , 1 ]

and

E α Ψ ( X ) k α 2 α + k e α Γ ( k ) ( α 1 ) α Γ ( α + 1 ) , α [ 1 , ) .

In Figures 2, 3, 4, we depicted the TSD and the TRA bounds as shown in Theorem 3.4 as well as the plot of E α Ψ ( X ) for α [ 0 , 1 ] in the left panel and for α [ 1 , ) in the right panel for k = 1 , 2 , 3 , respectively. For this model, the transformed SD bound is not computed for all k = 1 , 2 , 3 when α [ 0 , 0.5 ] In this case, when α [ 0.5 , 1 ] , the TSD bound has better result.

Figure 2 
                  The TSD (dashed line) and the TRA (dotted line) bounds as well as the exact value of WFGCRE (solid line) for the exponential model for various values of 
                        
                           
                           
                              k
                              =
                              1
                           
                           k=1
                        
                      when 
                        
                           
                           
                              α
                              ∈
                              
                                 [
                                 
                                    0
                                    ,
                                    1
                                 
                                 ]
                              
                           
                           \alpha \in \left[0,1]
                        
                      (left) and 
                        
                           
                           
                              α
                              ∈
                              
                                 [
                                 
                                    1
                                    ,
                                    ∞
                                 
                                 )
                              
                           
                           \alpha \in \left[1,\infty )
                        
                      (right).
Figure 2

The TSD (dashed line) and the TRA (dotted line) bounds as well as the exact value of WFGCRE (solid line) for the exponential model for various values of k = 1 when α [ 0 , 1 ] (left) and α [ 1 , ) (right).

Figure 3 
                  The TSD (dashed line) and the TRA (dotted line) bounds as well as the exact value of WFGCRE (solid line) for the exponential model for various values of 
                        
                           
                           
                              k
                              =
                              2
                           
                           k=2
                        
                      when 
                        
                           
                           
                              α
                              ∈
                              
                                 [
                                 
                                    0
                                    ,
                                    1
                                 
                                 ]
                              
                           
                           \alpha \in \left[0,1]
                        
                      (left) and 
                        
                           
                           
                              α
                              ∈
                              
                                 [
                                 
                                    1
                                    ,
                                    ∞
                                 
                                 )
                              
                           
                           \alpha \in \left[1,\infty )
                        
                      (right).
Figure 3

The TSD (dashed line) and the TRA (dotted line) bounds as well as the exact value of WFGCRE (solid line) for the exponential model for various values of k = 2 when α [ 0 , 1 ] (left) and α [ 1 , ) (right).

Figure 4 
                  The TSD (dashed line) and the TRA (dotted line) bounds as well as the exact value of WFGCRE (solid line) for the exponential model for various values of 
                        
                           
                           
                              k
                              =
                              3
                           
                           k=3
                        
                      when 
                        
                           
                           
                              α
                              ∈
                              
                                 [
                                 
                                    0
                                    ,
                                    1
                                 
                                 ]
                              
                           
                           \alpha \in \left[0,1]
                        
                      (left) and 
                        
                           
                           
                              α
                              ∈
                              
                                 [
                                 
                                    1
                                    ,
                                    ∞
                                 
                                 )
                              
                           
                           \alpha \in \left[1,\infty )
                        
                      (right).
Figure 4

The TSD (dashed line) and the TRA (dotted line) bounds as well as the exact value of WFGCRE (solid line) for the exponential model for various values of k = 3 when α [ 0 , 1 ] (left) and α [ 1 , ) (right).

3.2 Stochastic comparisons

Hereafter, we present some ordering properties of the weighted FGCRE. We recall, in general, that the usual stochastic ordering does not imply the ordering of weighted FGCREs. The counterexample 3 in ref. [12] validates this claim. Before beginning the subsequent theorem, we require the next definition due to ref. [18].

Definition 3.1

Let m Ψ ( X 1 ) ( t ) and m Ψ ( X 2 ) ( t ) , be the WMRL functions of X 1 R + and X 2 R + , respectively. Further, assume ϕ ( ) be a nonnegative weight function. Then, we say that X 1 is smaller than X 2 in the WMRL with respect to the weight function ϕ ( t ) , denoted by X 1 w m r l ϕ X 2 , if m Ψ ( X 1 ) ( t ) m Ψ ( X 2 ) ( t ) , for all t 0 .

Now, we state the next theorem.

Theorem 3.5

Let X 1 , X 2 R + with CDFs F 1 ( x ) and F 2 ( x ) , and WMRL functions m ψ ( X 1 ) ( t ) and m ψ ( X 2 ) ( t ) , respectively, and such that X 1 s t X 2 . Then, for all α D + ,

  1. if X 1 w m r l ϕ X 2 and either X 1 or X 2 is IWMRL, then E α Ψ ( X 1 ) E α Ψ ( X 2 ) .

  2. if X 1 w m r l ϕ X 2 and either X 1 or X 2 is DWMRL, then E α Ψ ( X 1 ) E α Ψ ( X 2 ) .

Proof

We assume that the survival function of X i , α , i = 1 , 2 , is given by S i , α ( x ) = K α ( S i ( x ) ) , x > 0 . Let X 2 be IWMRL. From (17), we obtain

(23) E 1 , α Ψ ( X 1 ) = E [ m ψ ( X 1 ) ( X 1 , α ) ] E [ m ψ ( X 2 ) ( X 1 , α ) ] E [ m ψ ( X 2 ) ( X 2 , α ) ] = E 2 , α Ψ ( X 2 ) .

The first inequality in (23) is given using the assumption X 1 w m r l ϕ X 2 ; however, the last inequality derives from Lemma 1 in [12] by noting that X 1 s t X 2 . Now, let X 1 be IWMRL. Then, we similarly have

E 1 , α Ψ ( X 1 ) = E [ m ψ ( X 1 ) ( X 1 , α ) ] E [ m ψ ( X 1 ) ( X 2 , α ) ] E [ m ψ ( X 2 ) ( X 2 , α ) ] = E 2 , α Ψ ( X 2 ) .

Hence, the stated results in (i) follow. In a similar manner, Part (ii) can be obtained.□

The following theorem shows identical results under a few distinct hypotheses. The proof is parallel, and hence, it is skipped.

Theorem 3.6

Under the conditions of Theorem 3.5, if X 1 h r X 2 , and X 1 or X 2 is IWMRL, then E α Ψ ( X 1 ) E α Ψ ( X 2 ) for all α D + .

Proof

Let X 1 be IWMRL. From (17), we obtain

E 1 , α Ψ ( X 1 ) = E [ m ψ ( X 1 ) ( X 1 , α ) ] E [ m ψ ( X 1 ) ( X 2 , α ) ] E [ m ψ ( X 2 ) ( X 2 , α ) ] = E 2 , α Ψ ( X 2 ) .

It is well known that X 1 h r X 2 implies X 1 s t X 2 , and this yields X 1 , α s t X 2 , α for all for all α D + due to Lemma 1 in ref. [12], and hence, the first inequality is concluded since m ψ ( X 1 ) ( x ) is increasing. The second inequality is obtained by recalling the relation (42) of ref. [18]. When X 2 is IWMRL, the proof is similar.□

The subsequent outcome is applied with the MRL order. It readily follows from relation (37) in ref. [18].

Corollary 3.1

Under the conditions of Theorem 3.5, it holds that

  1. If X 1 m r l X 2 and either X 1 or X 2 is IWMRL, then E 1 , α Ψ ( X 1 ) E 2 , α Ψ ( X 2 ) , for all α D + .

  2. If X 1 m r l X 2 and either X 1 or X 2 is DWMRL, then E 1 , α Ψ ( X 1 ) E 2 , α Ψ ( X 2 ) , for all α D + .

Hereafter, we provide an application of the aforementioned result. The first one is based on the random minima. To this aim, we assume a discrete nonnegative random variable N , which is independent of random variables X 1 , X 2 , . Hence, the minimum extreme order statistics is given as X 1 : N = min { X 1 , X 2 , , X N } . Now, let us see the subsequent theorem.

Theorem 3.7

If ϕ ( x ) is nondecreasing in x, then E α Ψ ( X 1 : N 1 ) E α Ψ ( X 1 : N 2 ) for all α D + provided that N 1 l r N 2 and X is DFR.

Proof

First, we note that X 1 : N 1 l r X 1 : N 2 yields X 1 : N 1 h r X 1 : N 2 due to Theorem 2.4 in ref. [21]. Moreover, based on the assumption, X is DFR which implies that either X 1 : N 1 or X 1 : N 2 is DFR (see ref. [22], and this implies the IMRL property. Since ϕ ( x ) is increasing in x , Theorem 2 of ref. [18] yields X 1 : N 1 or X 1 : N 2 is IWMRL. Consequently, Theorem 3.6 finishes the proof.□

4 Conclusion

We have introduced a new measure of entropy, the weighted FGCRE associated with a random lifetime. The new measure has some connections with the weighted fractional Shannon entropy. Stochastic comparisons of distributions over several known stochastic orders were performed using the new measure. The new measure was used to derive the weighted fractional generalized CRE for random minima. Shannon entropy is crucial in several areas of statistical mechanics and information theory. In this case, the notion of entropy as a measure of uncertainty plays a crucial role in statistics, thermodynamics, information theory, and machine learning. In this work, we have defined a new measure of uncertainty given by the weighted fractional generalized residual cumulative entropy of a nonnegative absolutely continuous random variable. We have derived several other properties for this measure, including its various representations, upper and lower bounds for it, and some other useful results.

In the future of this study, the weighted fractional generalized CRE will be used to analyze coherent systems. The study of such systems in the context of information theory and in terms of the new measure proposed in this article will be a useful investigation, since the concept of uncertainty plays a crucial role in the analysis and evaluation of coherent systems in industry and engineering.

Acknowledgments

The authors are very grateful to anonymous reviewers for their careful reading of an earlier version of this article and their useful constructive comments that led to this improved version.

  1. Funding information: Princess Nourah bint Abdulrahman University Researchers Supporting Project number (PNURSP2023R226), Princess Nourah bint Abdulrahman University, Riyadh, Saudi Arabia.

  2. Author contributions: All authors have accepted responsibility for the entire content of this article and approved its submission.

  3. Conflict of interest: The authors state no conflict of interest.

References

[1] Nascimento JPG, Ferreira FAP, Aguiar V, Guedes I, CostaFilho RN. Information measures of a deformed harmonic oscillator in a static electric field. Phys A Stat Mech Appl. 2018 Jun;499:250–7. 10.1016/j.physa.2018.02.036Search in Google Scholar

[2] Srivastava A, Kaur L. Uncertainty and negation—Information theoretic applications. Int J Intell Syst. 2019 Feb;34(6):1248–60. 10.1002/int.22094Search in Google Scholar

[3] Ostovare M, Shahraki MR. Evaluation of hotel websites using the multicriteria analysis of PROMETHEE and GAIA: evidence from the five-star hotels of Mashhad. Tour Manag Perspect. 2019 Apr;30:107–16. 10.1016/j.tmp.2019.02.013Search in Google Scholar

[4] Tang Y, Chen Y, Zhou D. Measuring uncertainty in the negation evidence for multi-source information fusion. Entropy. 2022 Nov 2;24(11):1596. 10.3390/e24111596Search in Google Scholar PubMed PubMed Central

[5] Ubriaco MR. Entropies based on fractional calculus. Phys Lett A. 2009 Jul;373(30):2516–9. 10.1016/j.physleta.2009.05.026Search in Google Scholar

[6] Shannon CE, Weaver W. The mathematical theory of communication. Math Gaz. 1949 Dec;34(310):312. Search in Google Scholar

[7] Guiaşu S. Weighted entropy. Rep Math Phys. 1971 Sep;2(3):165–79. 10.1016/0034-4877(71)90002-4Search in Google Scholar

[8] Rao M, Chen Y, Vemuri BC, Wang F. Cumulative residual entropy: a new measure of information. IEEE Trans Inf Theory. 2004 Jun;50(6):1220–8. 10.1109/TIT.2004.828057Search in Google Scholar

[9] Xiong H, Shang P, Zhang Y. Fractional cumulative residual entropy. Commun Nonlinear Sci. 2019 Nov;78:104879. 10.1016/j.cnsns.2019.104879Search in Google Scholar

[10] DiCrescenzo A, Kayal S, Meoli A. Fractional generalized cumulative entropy and its dynamic version. Commun Nonlinear Sci. 2021 Nov;102:105899. 10.1016/j.cnsns.2021.105899Search in Google Scholar

[11] Alomani G, Kayid M. Fractional survival functional entropy of engineering systems. Entropy. 2022 Sep 10;24(9):1275. 10.3390/e24091275Search in Google Scholar PubMed PubMed Central

[12] Alomani G, Kayid M. Stochastic properties of fractional generalized cumulative residual entropy and its extensions. Entropy. 2022 Jul 28;24(8):1041. 10.3390/e24081041Search in Google Scholar PubMed PubMed Central

[13] Psarrakos G, Economou P. On the generalized cumulative residual entropy weighted distributions. Commun Stat Theory Meth. 2016 Nov 2;46(22):10914–25. 10.1080/03610926.2016.1252402Search in Google Scholar

[14] Toomaj A, Sunoj SM, Navarro J. Some properties of the cumulative residual entropy of coherent and mixed systems. J Appl Probab. 2017 Jun;54(2):379–93. 10.1017/jpr.2017.6Search in Google Scholar

[15] Psarrakos G, Toomaj A. On the generalized cumulative residual entropy with applications in actuarial science. J Comput Appl Math. 2017 Jan;309:186–99. 10.1016/j.cam.2016.06.037Search in Google Scholar

[16] Toomaj A, Atabay HA. Some new findings on the cumulative residual Tsallis entropy. J Comput Appl Math. 2022 Jan;400:113669. 10.1016/j.cam.2021.113669Search in Google Scholar

[17] Shaked M, George Shanthikumar J. Stochastic orders. New York, London: Springer; 2011. Search in Google Scholar

[18] Toomaj A, Di Crescenzo A. Connections between weighted generalized cumulative residual entropy and variance. Mathematics. 2020 July 2;8(7):1072. 10.3390/math8071072Search in Google Scholar

[19] Asadi M, Ebrahimi N. Residual entropy and its characterizations in terms of hazard function and mean residual life function. Stat Probab Lett. 2000 Sep;49(3):263–9. 10.1016/S0167-7152(00)00056-0Search in Google Scholar

[20] Wang S. Insurance pricing and increased limits rate making by proportional hazards transforms. Insur Math Econ. 1995 Aug;17(1):43–54. 10.1016/0167-6687(95)00010-PSearch in Google Scholar

[21] Shaked M, Wong T. Stochastic orders based on ratios of Laplace transforms. J Appl Probab. 1997 Jun;34(2):404–19. 10.2307/3215380Search in Google Scholar

[22] Shaked M. On the distribution of the minimum and of the maximum of a random number of iid random variables. In: A modern course on statistical distributions in scientific work. Springer; 1975. p. 363–80. 10.1007/978-94-010-1842-5_29Search in Google Scholar

Received: 2022-10-26
Revised: 2023-02-07
Accepted: 2023-02-15
Published Online: 2023-03-04

© 2023 the author(s), published by De Gruyter

This work is licensed under the Creative Commons Attribution 4.0 International License.

Articles in the same Issue

  1. Regular Articles
  2. Dynamic properties of the attachment oscillator arising in the nanophysics
  3. Parametric simulation of stagnation point flow of motile microorganism hybrid nanofluid across a circular cylinder with sinusoidal radius
  4. Fractal-fractional advection–diffusion–reaction equations by Ritz approximation approach
  5. Behaviour and onset of low-dimensional chaos with a periodically varying loss in single-mode homogeneously broadened laser
  6. Ammonia gas-sensing behavior of uniform nanostructured PPy film prepared by simple-straightforward in situ chemical vapor oxidation
  7. Analysis of the working mechanism and detection sensitivity of a flash detector
  8. Flat and bent branes with inner structure in two-field mimetic gravity
  9. Heat transfer analysis of the MHD stagnation-point flow of third-grade fluid over a porous sheet with thermal radiation effect: An algorithmic approach
  10. Weighted survival functional entropy and its properties
  11. Bioconvection effect in the Carreau nanofluid with Cattaneo–Christov heat flux using stagnation point flow in the entropy generation: Micromachines level study
  12. Study on the impulse mechanism of optical films formed by laser plasma shock waves
  13. Analysis of sweeping jet and film composite cooling using the decoupled model
  14. Research on the influence of trapezoidal magnetization of bonded magnetic ring on cogging torque
  15. Tripartite entanglement and entanglement transfer in a hybrid cavity magnomechanical system
  16. Compounded Bell-G class of statistical models with applications to COVID-19 and actuarial data
  17. Degradation of Vibrio cholerae from drinking water by the underwater capillary discharge
  18. Multiple Lie symmetry solutions for effects of viscous on magnetohydrodynamic flow and heat transfer in non-Newtonian thin film
  19. Thermal characterization of heat source (sink) on hybridized (Cu–Ag/EG) nanofluid flow via solid stretchable sheet
  20. Optimizing condition monitoring of ball bearings: An integrated approach using decision tree and extreme learning machine for effective decision-making
  21. Study on the inter-porosity transfer rate and producing degree of matrix in fractured-porous gas reservoirs
  22. Interstellar radiation as a Maxwell field: Improved numerical scheme and application to the spectral energy density
  23. Numerical study of hybridized Williamson nanofluid flow with TC4 and Nichrome over an extending surface
  24. Controlling the physical field using the shape function technique
  25. Significance of heat and mass transport in peristaltic flow of Jeffrey material subject to chemical reaction and radiation phenomenon through a tapered channel
  26. Complex dynamics of a sub-quadratic Lorenz-like system
  27. Stability control in a helicoidal spin–orbit-coupled open Bose–Bose mixture
  28. Research on WPD and DBSCAN-L-ISOMAP for circuit fault feature extraction
  29. Simulation for formation process of atomic orbitals by the finite difference time domain method based on the eight-element Dirac equation
  30. A modified power-law model: Properties, estimation, and applications
  31. Bayesian and non-Bayesian estimation of dynamic cumulative residual Tsallis entropy for moment exponential distribution under progressive censored type II
  32. Computational analysis and biomechanical study of Oldroyd-B fluid with homogeneous and heterogeneous reactions through a vertical non-uniform channel
  33. Predictability of machine learning framework in cross-section data
  34. Chaotic characteristics and mixing performance of pseudoplastic fluids in a stirred tank
  35. Isomorphic shut form valuation for quantum field theory and biological population models
  36. Vibration sensitivity minimization of an ultra-stable optical reference cavity based on orthogonal experimental design
  37. Effect of dysprosium on the radiation-shielding features of SiO2–PbO–B2O3 glasses
  38. Asymptotic formulations of anti-plane problems in pre-stressed compressible elastic laminates
  39. A study on soliton, lump solutions to a generalized (3+1)-dimensional Hirota--Satsuma--Ito equation
  40. Tangential electrostatic field at metal surfaces
  41. Bioconvective gyrotactic microorganisms in third-grade nanofluid flow over a Riga surface with stratification: An approach to entropy minimization
  42. Infrared spectroscopy for ageing assessment of insulating oils via dielectric loss factor and interfacial tension
  43. Influence of cationic surfactants on the growth of gypsum crystals
  44. Study on instability mechanism of KCl/PHPA drilling waste fluid
  45. Analytical solutions of the extended Kadomtsev–Petviashvili equation in nonlinear media
  46. A novel compact highly sensitive non-invasive microwave antenna sensor for blood glucose monitoring
  47. Inspection of Couette and pressure-driven Poiseuille entropy-optimized dissipated flow in a suction/injection horizontal channel: Analytical solutions
  48. Conserved vectors and solutions of the two-dimensional potential KP equation
  49. The reciprocal linear effect, a new optical effect of the Sagnac type
  50. Optimal interatomic potentials using modified method of least squares: Optimal form of interatomic potentials
  51. The soliton solutions for stochastic Calogero–Bogoyavlenskii Schiff equation in plasma physics/fluid mechanics
  52. Research on absolute ranging technology of resampling phase comparison method based on FMCW
  53. Analysis of Cu and Zn contents in aluminum alloys by femtosecond laser-ablation spark-induced breakdown spectroscopy
  54. Nonsequential double ionization channels control of CO2 molecules with counter-rotating two-color circularly polarized laser field by laser wavelength
  55. Fractional-order modeling: Analysis of foam drainage and Fisher's equations
  56. Thermo-solutal Marangoni convective Darcy-Forchheimer bio-hybrid nanofluid flow over a permeable disk with activation energy: Analysis of interfacial nanolayer thickness
  57. Investigation on topology-optimized compressor piston by metal additive manufacturing technique: Analytical and numeric computational modeling using finite element analysis in ANSYS
  58. Breast cancer segmentation using a hybrid AttendSeg architecture combined with a gravitational clustering optimization algorithm using mathematical modelling
  59. On the localized and periodic solutions to the time-fractional Klein-Gordan equations: Optimal additive function method and new iterative method
  60. 3D thin-film nanofluid flow with heat transfer on an inclined disc by using HWCM
  61. Numerical study of static pressure on the sonochemistry characteristics of the gas bubble under acoustic excitation
  62. Optimal auxiliary function method for analyzing nonlinear system of coupled Schrödinger–KdV equation with Caputo operator
  63. Analysis of magnetized micropolar fluid subjected to generalized heat-mass transfer theories
  64. Does the Mott problem extend to Geiger counters?
  65. Stability analysis, phase plane analysis, and isolated soliton solution to the LGH equation in mathematical physics
  66. Effects of Joule heating and reaction mechanisms on couple stress fluid flow with peristalsis in the presence of a porous material through an inclined channel
  67. Bayesian and E-Bayesian estimation based on constant-stress partially accelerated life testing for inverted Topp–Leone distribution
  68. Dynamical and physical characteristics of soliton solutions to the (2+1)-dimensional Konopelchenko–Dubrovsky system
  69. Study of fractional variable order COVID-19 environmental transformation model
  70. Sisko nanofluid flow through exponential stretching sheet with swimming of motile gyrotactic microorganisms: An application to nanoengineering
  71. Influence of the regularization scheme in the QCD phase diagram in the PNJL model
  72. Fixed-point theory and numerical analysis of an epidemic model with fractional calculus: Exploring dynamical behavior
  73. Computational analysis of reconstructing current and sag of three-phase overhead line based on the TMR sensor array
  74. Investigation of tripled sine-Gordon equation: Localized modes in multi-stacked long Josephson junctions
  75. High-sensitivity on-chip temperature sensor based on cascaded microring resonators
  76. Pathological study on uncertain numbers and proposed solutions for discrete fuzzy fractional order calculus
  77. Bifurcation, chaotic behavior, and traveling wave solution of stochastic coupled Konno–Oono equation with multiplicative noise in the Stratonovich sense
  78. Thermal radiation and heat generation on three-dimensional Casson fluid motion via porous stretching surface with variable thermal conductivity
  79. Numerical simulation and analysis of Airy's-type equation
  80. A homotopy perturbation method with Elzaki transformation for solving the fractional Biswas–Milovic model
  81. Heat transfer performance of magnetohydrodynamic multiphase nanofluid flow of Cu–Al2O3/H2O over a stretching cylinder
  82. ΛCDM and the principle of equivalence
  83. Axisymmetric stagnation-point flow of non-Newtonian nanomaterial and heat transport over a lubricated surface: Hybrid homotopy analysis method simulations
  84. HAM simulation for bioconvective magnetohydrodynamic flow of Walters-B fluid containing nanoparticles and microorganisms past a stretching sheet with velocity slip and convective conditions
  85. Coupled heat and mass transfer mathematical study for lubricated non-Newtonian nanomaterial conveying oblique stagnation point flow: A comparison of viscous and viscoelastic nanofluid model
  86. Power Topp–Leone exponential negative family of distributions with numerical illustrations to engineering and biological data
  87. Extracting solitary solutions of the nonlinear Kaup–Kupershmidt (KK) equation by analytical method
  88. A case study on the environmental and economic impact of photovoltaic systems in wastewater treatment plants
  89. Application of IoT network for marine wildlife surveillance
  90. Non-similar modeling and numerical simulations of microploar hybrid nanofluid adjacent to isothermal sphere
  91. Joint optimization of two-dimensional warranty period and maintenance strategy considering availability and cost constraints
  92. Numerical investigation of the flow characteristics involving dissipation and slip effects in a convectively nanofluid within a porous medium
  93. Spectral uncertainty analysis of grassland and its camouflage materials based on land-based hyperspectral images
  94. Application of low-altitude wind shear recognition algorithm and laser wind radar in aviation meteorological services
  95. Investigation of different structures of screw extruders on the flow in direct ink writing SiC slurry based on LBM
  96. Harmonic current suppression method of virtual DC motor based on fuzzy sliding mode
  97. Micropolar flow and heat transfer within a permeable channel using the successive linearization method
  98. Different lump k-soliton solutions to (2+1)-dimensional KdV system using Hirota binary Bell polynomials
  99. Investigation of nanomaterials in flow of non-Newtonian liquid toward a stretchable surface
  100. Weak beat frequency extraction method for photon Doppler signal with low signal-to-noise ratio
  101. Electrokinetic energy conversion of nanofluids in porous microtubes with Green’s function
  102. Examining the role of activation energy and convective boundary conditions in nanofluid behavior of Couette-Poiseuille flow
  103. Review Article
  104. Effects of stretching on phase transformation of PVDF and its copolymers: A review
  105. Special Issue on Transport phenomena and thermal analysis in micro/nano-scale structure surfaces - Part IV
  106. Prediction and monitoring model for farmland environmental system using soil sensor and neural network algorithm
  107. Special Issue on Advanced Topics on the Modelling and Assessment of Complicated Physical Phenomena - Part III
  108. Some standard and nonstandard finite difference schemes for a reaction–diffusion–chemotaxis model
  109. Special Issue on Advanced Energy Materials - Part II
  110. Rapid productivity prediction method for frac hits affected wells based on gas reservoir numerical simulation and probability method
  111. Special Issue on Novel Numerical and Analytical Techniques for Fractional Nonlinear Schrodinger Type - Part III
  112. Adomian decomposition method for solution of fourteenth order boundary value problems
  113. New soliton solutions of modified (3+1)-D Wazwaz–Benjamin–Bona–Mahony and (2+1)-D cubic Klein–Gordon equations using first integral method
  114. On traveling wave solutions to Manakov model with variable coefficients
  115. Rational approximation for solving Fredholm integro-differential equations by new algorithm
  116. Special Issue on Predicting pattern alterations in nature - Part I
  117. Modeling the monkeypox infection using the Mittag–Leffler kernel
  118. Spectral analysis of variable-order multi-terms fractional differential equations
  119. Special Issue on Nanomaterial utilization and structural optimization - Part I
  120. Heat treatment and tensile test of 3D-printed parts manufactured at different build orientations
Downloaded on 27.2.2026 from https://www.degruyterbrill.com/document/doi/10.1515/phys-2022-0234/html
Scroll to top button