Home Physical Sciences Flat and bent branes with inner structure in two-field mimetic gravity
Article Open Access

Flat and bent branes with inner structure in two-field mimetic gravity

  • Qian Xiang , Yi Zhong , Qun-Ying Xie and Li Zhao EMAIL logo
Published/Copyright: February 23, 2023

Abstract

Inspired by the work Zhong et al. (2018), we study the linear tensor perturbation of both the flat and bent thick branes with inner structure in two-field mimetic gravity. The master equations for the linear tensor perturbations are derived by taking the transverse and traceless gauges. For the Minkowski and Anti-de-Sitter brane, the brane systems are stable against the tensor perturbation. The effective potentials of the tensor perturbations of both the flat and bent thick branes are volcano-like, and this structure may potentially lead to the zero-mode and the resonant modes of the tensor perturbation. We further illustrate the results of massive resonant modes.

1 Introduction

The braneworld theory has received much attention over the past years since it proposes a new route to possibly solve the gauge hierarchy problem and the cosmological constant problem [14]. The Randall–Sundrum (RS) models [3,4] are typical examples of them with a non-factorizable metric and a warped extra dimension. It is shown that RS models give rise to thin brane profiles because the warp factor has cusp singularities at the brane positions. Several proposals for generalizing thin branes into thick branes have been presented in the literature. The thick branes are obtained by introducing one or more bulk scalar fields coupled to gravity [515] or realized by pure geometric frameworks without background matter fields considered in refs [1619]. Most of the models study Minkowski branes, and a few of them consider the curvature of the embedded brane, which includes de Sitter ( dS ) or anti-de Sitter ( AdS ) geometry.

On the other hand, mimetic gravity is proposed by Chamseddine and Mukhanov [20] as one of the extensions of general relativity (GR). In the original setup, a physical metric g μ ν is defined in terms of an auxiliary metric g ˜ μ ν and a scalar field ϕ with the relation g μ ν = g ˜ μ ν g α β α ϕ β ϕ . This model regards the scalar field as the conformal degree of freedom to mimic cold dark matter. The mimetic model is then investigated by adding a potential V ( ϕ ) of the scalar field to explain the cosmological issues [21,22]. With the appropriate choice of potential, it is possible to provide an inflationary mechanism and a bouncing universe within this framework [21]. The cosmological behavior of mimetic F ( R ) gravity is investigated [23]. The current values of dark energy and dark matter densities are of the same order of magnitude seems to indicate that we are currently living at a special time in the history of the universe, which gives rise to the cosmic coincidence problem. The de Sitter solution of the dark matter and dark energy parameter can be approached in cosmology, which would try to explain or alleviate the cosmological coincidence problem [24,25]. Therefore, this stimulates some interest in phenomenology and its observational viability [2633] and leads to the Hamiltonian analyses of different mimetic models [3438]. Mimetic gravity has also been widely discussed in a variety of modified gravity theories [3950]. Another interest in mimetic gravity is to investigate the mimetic gravity in braneworld scenarios. The late-time cosmic expansion and inflation are investigated in the mimetic RS braneworld [27]. Following this work, the late-time acceleration and perturbation behavior are studied for the brane–anti-brane system [51]. Later, the tensor and scalar perturbations on several thick branes are investigated in mimetic gravity [52]. For a review of the topics related to cosmology and astrophysics in mimetic theory, see ref. [53].

As we know, the scalar fields are usually introduced to generate the topological defects, such as kinks and domain walls, for realizing the thick branes, so it is natural to generate the domain walls by the mimetic scalar fields. However, suffering from the ghost and gradient instabilities, the original mimetic theory with a single field could not suffice [54]. For the single-field mimetic scenario, one can go to a ghost-free theory by adding higher derivative terms to the original theory [55]. For the two-field extension of the mimetic gravity put forward in ref. [56], the double scalar fields version not only avoids the above problem but also allows us to construct the thick branes with a complicated inner structure. It is common to find the background solution of the thick branes via the first-order formalism [11] or the extension method [57]. However, in the two-field mimetic theory, the gravity and two mimetic scalars are coupled. It is relatively harder to find the domain wall solutions if the four-dimensional geometry is either flat or curved. In this work, we apply the reconstruction technique [58] to seek the background solutions of three cases of thick branes. The approach gives the form of the warp factor and scalar fields, and provides a direct way to investigate the other variables. We consider that the thick domain walls possess four-dimensional dS and AdS symmetries as well as the Poincaré one. Because dS and AdS branes have different inner structures from flat brane, it is of interest to consider the tensor perturbation of gravity on the bent branes.

This article is organized as follows. In Section 2, we introduce the mimetic thick brane model and consider three cases of thick branes. In Section 3, we analyze the stability of the model under the linear tensor perturbation and study the localization of gravity zero-mode. Finally, a brief conclusion is presented in Section 5. Throughout this article, capital Latin letters M , N , represent the five-dimensional coordinate indices running over 0 , 1 , 2 , 3 , and 5 and lower-case Greek letters μ , ν , represent the four-dimensional coordinate indices running over 0, 1, 2, and 3.

2 Brane setup and field equations

We consider the five-dimensional, two-field mimetic gravity where the action is the Einstein–Hilbert action constructed in terms of the physical metric g M N . For our model, in the natural unit, the action can be written as a Lagrange multiplier formulation as follows:

(1) S = d 4 x d y g R 2 + m ,

where the Lagrangian of the two interacting mimetic scalar fields is generalized as follows:

(2) m = λ [ g M N M ϕ 1 N ϕ 1 + g M N M ϕ 2 N ϕ 2 U ( ϕ 1 , ϕ 2 ) ] V ( ϕ 1 , ϕ 2 ) .

In the original mimetic model, U ( ϕ ) = 1 , and here, the potential is extended into the form of U ( ϕ 1 , ϕ 2 ) with double mimetic fields. The Lagrange multiplier λ enforces the mimetic constraint as follows:

(3) g M N M ϕ 1 N ϕ 1 + g M N M ϕ 2 N ϕ 2 U ( ϕ 1 , ϕ 2 ) = 0 .

The variation of the action (1) concerning the metric g M N and the two scalar fields ( ϕ 1 and ϕ 2 ) yields the following field equations, respectively:

G M N + 2 λ M ϕ 1 N ϕ 1 + 2 λ M ϕ 2 N ϕ 2 m g M N = 0 ,

2 λ ( 5 ) ϕ 1 + 2 M λ M ϕ 1 + λ U ( ϕ 1 , ϕ 2 ) ϕ 1 + V ( ϕ 1 , ϕ 2 ) ϕ 1 = 0 ,

(4) 2 λ ( 5 ) ϕ 2 + 2 M λ M ϕ 2 + λ U ( ϕ 1 , ϕ 2 ) ϕ 2 + V ( ϕ 1 , ϕ 2 ) ϕ 2 = 0 .

The line-element for a warped five-dimensional geometry is generally assumed as follows:

(5) d s 2 = a 2 ( y ) g ˆ μ ν d x μ d x ν + d y 2 ,

with y the extra spatial coordinate. We deal with a = a ( y ) , ϕ 1 = ϕ 1 ( y ) , and ϕ 2 = ϕ 2 ( y ) when considering the static brane. The metrics g ˆ μ ν on the branes reads,

(6) g ˆ μ ν = d t 2 + ( d x 1 2 + d x 2 2 + d x 3 2 ) M 4  brane , d t 2 + e 2 Λ 4 t ( d x 1 2 + d x 2 2 + d x 3 2 ) dS 4  brane , e 2 Λ 4 x 3 ( d t 2 + d x 1 2 + d x 2 2 ) + d x 3 2 AdS 4  brane ,

where Λ 4 is related to the four-dimensional cosmological constant of dS 4 or AdS 4 brane [59,60].

We know that Eqs. (3) and (4) determine the solution of the brane system. There are three independent equations and six variables in this system. To solve this system, we should preset three variables. Based on the reconstruction technique, we will give the form of a ( y ) , ϕ 1 ( y ) , ϕ 2 ( y ) , and try to find the solution of U ( ϕ 1 , ϕ 2 ) , V ( ϕ 1 , ϕ 2 ) , and λ ( ϕ 1 , ϕ 2 ) . Here, the warp factor a ( y ) and the scalar fields ϕ 1 ( y ) and ϕ 2 ( y ) are given as follows:

(7) a ( y ) = sech ( k ( y b ) ) + sech ( k y ) + sech ( k ( y + b ) ) ,

(8) ϕ 1 ( y ) = tanh ( k ( y b ) ) + tanh ( k ( y + b ) ) ,

(9) ϕ 2 ( y ) = tanh ( k ( y b ) ) tanh ( k ( y + b ) ) ,

where k and b are parameters with dimension mass and length, respectively. To display the configuration of a ( y ) , ϕ 1 ( y ) , and ϕ 2 ( y ) , we introduce the dimensionless quantities y ˜ = k y and b ˜ = k b . The shapes of the warp factor and the two scalar fields are depicted in Figure 1. The above warp factor indicates that the bulk space-time is asymptotically AdS , which is essential for the localization of gravitation. The brane splits from a single brane into three sub-branes as the parameter b ˜ increases. Thus, these branes have a rich inner structure. The scalar field ϕ 1 ( y ˜ ) supports the topological solution, which changes from a single-kink to a double-kink configuration with the increasing of b ˜ . Without loss of generality, the other scalar field ϕ 2 ( y ˜ ) is assumed as a non-topologically lump-like solution.

Figure 1 
               Plots of the warp factor 
                     
                        
                        
                           a
                           
                              
                                 (
                              
                              
                                 
                                    
                                       y
                                    
                                    
                                       ˜
                                    
                                 
                              
                              )
                           
                        
                        a(\tilde{y})
                     
                   and two mimetic scalar fields 
                     
                        
                        
                           
                              
                                 ϕ
                              
                              
                                 1
                              
                           
                           
                              
                                 (
                              
                              
                                 
                                    
                                       y
                                    
                                    
                                       ˜
                                    
                                 
                              
                              )
                           
                        
                        {\phi }_{1}(\tilde{y})
                     
                   and 
                     
                        
                        
                           
                              
                                 ϕ
                              
                              
                                 2
                              
                           
                           
                              
                                 (
                              
                              
                                 
                                    
                                       y
                                    
                                    
                                       ˜
                                    
                                 
                              
                              )
                           
                        
                        {\phi }_{2}(\tilde{y})
                     
                   of the brane models: (a) the warp factor, (b) the scalar field 
                     
                        
                        
                           
                              
                                 ϕ
                              
                              
                                 1
                              
                           
                           
                              
                                 (
                              
                              
                                 
                                    
                                       y
                                    
                                    
                                       ˜
                                    
                                 
                              
                              )
                           
                        
                        {\phi }_{1}(\tilde{y})
                     
                  , and (c) the scalar field 
                     
                        
                        
                           
                              
                                 ϕ
                              
                              
                                 2
                              
                           
                           
                              
                                 (
                              
                              
                                 
                                    
                                       y
                                    
                                    
                                       ˜
                                    
                                 
                              
                              )
                           
                        
                        {\phi }_{2}(\tilde{y})
                     
                  .
Figure 1

Plots of the warp factor a ( y ˜ ) and two mimetic scalar fields ϕ 1 ( y ˜ ) and ϕ 2 ( y ˜ ) of the brane models: (a) the warp factor, (b) the scalar field ϕ 1 ( y ˜ ) , and (c) the scalar field ϕ 2 ( y ˜ ) .

2.1 Flat brane

For Minkowski brane, we take Λ 4 = 0 . With the ansatz (6), the Einstein tensors are expressed as follows:

(10) G μ ν = 3 η μ ν ( a ( y ) a ( y ) + a ( y ) 2 ) , G 55 = 6 a ( y ) 2 a ( y ) 2 .

Eqs. (4) and (3) can be reduced to

(11) 3 a 2 a 2 + 3 a a + V ( ϕ 1 , ϕ 2 ) + λ ( U ( ϕ 1 , ϕ 2 ) ϕ 1 2 ϕ 2 2 ) = 0 ,

(12) 6 a 2 a 2 + V ( ϕ 1 , ϕ 2 ) + λ ( U ( ϕ 1 , ϕ 2 ) + ϕ 1 2 + ϕ 1 2 ) = 0 ,

(13) 8 λ a ϕ 1 a + 2 λ ϕ 1 + 2 λ ϕ 1 + λ U ( ϕ 1 , ϕ 2 ) ϕ 1 + V ( ϕ 1 , ϕ 2 ) ϕ 1 = 0 ,

(14) 8 λ a ϕ 2 a + 2 λ ϕ 2 + 2 λ ϕ 2 + λ U ( ϕ 1 , ϕ 2 ) ϕ 2 + V ( ϕ 1 , ϕ 2 ) ϕ 2 = 0 ,

(15) ϕ 1 2 + ϕ 2 2 = U ( ϕ 1 , ϕ 2 ) ,

where the prime denotes the derivative with respect to y . Plugging Eqs. (7)–(9) into (15), we obtain the following analytic solution:

U ( ϕ 1 ( y ) , ϕ 2 ( y ) ) = 2 k 2 [ sech 4 ( k ( y b ) ) + sech 4 ( k ( y + b ) ) ] ,

(16) V ( ϕ 1 ( y ) , ϕ 2 ( y ) ) = 3 k 2 [ sech ( k ( y b ) ) + sech ( k ( y + b ) ) + sech ( k y ) ] 2 × ( sech ( k ( y b ) ) + sech ( k ( y + b ) ) + sech ( k y ) ) sech 3 ( k ( y b ) ) 1 2 ( cosh ( 2 k ( y + b ) ) 3 ) × sech 3 ( k ( y + b ) ) tanh 2 ( k ( y b ) ) sech ( k ( y b ) ) + sech 3 ( k y ) tanh 2 ( k y ) × sech ( k y ) ( tanh ( k ( y b ) ) sech ( k ( y b ) ) + tanh ( k ( y + b ) ) sech ( k ( y + b ) ) + tanh ( k y ) sech ( k y ) ) 2 ] ,

(17) λ ( ϕ 1 ( y ) , ϕ 2 ( y ) ) = 3 8 [ sech ( k ( y b ) ) + sech ( k ( y + b ) ) + sech ( k y ) ] 2 [ sech 4 ( k ( y b ) ) + sech 4 ( k ( y + b ) ) ] × [ 2 sech 4 ( k ( y b ) ) + 2 sech 4 ( k ( y + b ) ) + 2 sech ( k y ) sech 3 ( k ( y b ) ) + ( cosh ( 2 k ( y b ) ) + cosh ( 2 k ( y + b ) ) cosh ( 4 b k ) + 3 ) sech 3 ( k ( y b ) ) × sech 3 ( k ( y + b ) ) + sech 3 ( k y ) ( 2 sech ( k ( y b ) ) + ( cosh ( 2 k ( y + b ) ) cosh ( 2 b k ) + cosh ( 2 k y ) + 3 ) sech 3 ( k ( y + b ) ) 2 sinh 2 ( b k ) sech 3 ( k ( y b ) ) ) + 2 sech 4 ( k y ) ] .

2.2 Bent branes

We now turn attention to the case of Λ 4 0 . The presence of Λ 4 makes the field equation and background solution complex. For the dS 4 geometry ( Λ 4 > 0 ), with the ansatz (6), the Einstein tensors are expressed as follows:

(18) G μ ν = 3 ( Λ 4 ( a ( y ) ) 2 a ( y ) a ( y ) ) a 2 ( y ) a 2 ( y ) g ˆ μ ν , G 55 = 6 ( Λ 4 a ( y ) 2 ) a 2 ( y ) .

Eqs. (4) and (3) can be reduced to

(19) 3 ( Λ 4 ( a ( y ) ) 2 a ( y ) a ( y ) ) a 2 ( y ) + V ( ϕ 1 , ϕ 2 ) + λ ( U ( ϕ 1 , ϕ 2 ) ϕ 1 2 ϕ 2 2 ) = 0 ,

(20) 6 ( Λ 4 a ( y ) 2 ) a 2 ( y ) + V ( ϕ 1 , ϕ 2 ) + λ ( U ( ϕ 1 , ϕ 2 ) + ϕ 1 2 + ϕ 2 2 ) = 0 ,

(21) 8 λ a ( y ) ϕ 1 a ( y ) + 2 λ ϕ 1 + 2 λ ϕ 1 + λ U ( ϕ 1 , ϕ 2 ) ϕ 1 + V ( ϕ 1 , ϕ 2 ) ϕ 1 = 0 ,

(22) 8 λ a ( y ) ϕ 2 a ( y ) + 2 λ ϕ 2 + 2 λ ϕ 2 + λ U ( ϕ 1 , ϕ 2 ) ϕ 2 + V ( ϕ 1 , ϕ 2 ) ϕ 2 = 0 ,

(23) ϕ 1 2 + ϕ 2 2 = U ( ϕ 1 , ϕ 2 ) .

Now the system can be solved as follows:

U ( ϕ 1 ( y ) , ϕ 2 ( y ) ) = 2 k 2 [ sech 4 ( k ( y b ) ) + sech 4 ( k ( y + b ) ) ] ,

V ( ϕ 1 ( y ) , ϕ 2 ( y ) ) = 3 [ sech ( k ( y b ) ) + sech ( k ( y + b ) ) + sech ( k y ) ] 2 × [ Λ 4 k 2 ( tanh ( k ( y b ) ) sech ( k ( y b ) ) + tanh ( k ( y + b ) ) sech ( k ( y + b ) ) + tanh ( k y ) sech ( k y ) ) 2 + k 2 ( sech ( k ( y b ) ) + sech ( k ( y + b ) ) + sech ( k y ) ) × sech 3 ( k ( y b ) ) 1 2 ( cosh ( 2 k ( y + b ) ) 3 ) sech 3 ( k ( y + b ) ) tanh 2 ( k ( y b ) ) sech ( k ( y b ) ) + sech 3 ( k y ) tanh 2 ( k y ) sech ( k y ) ) ] ,

(24) λ ( ϕ 1 ( y ) , ϕ 2 ( y ) ) = 3 8 k 2 [ sech ( k ( y b ) ) + sech ( k ( y + b ) ) + sech ( k y ) ] 2 [ sech 4 ( k ( y b ) ) + sech 4 ( k ( y + b ) ) ] × [ 2 Λ 4 + 2 k 2 sech 4 ( k ( y b ) ) + 2 k 2 sech 4 ( k ( y + b ) ) + 2 k 2 sech ( k y ) sech 3 ( k ( y b ) ) + k 2 ( cosh ( 2 k ( y b ) ) + cosh ( 2 k ( y + b ) ) cosh ( 4 b k ) + 3 ) sech 3 ( k ( y b ) ) sech 3 ( k ( y + b ) ) + k 2 sech 3 ( k y ) ( 2 sech ( k ( y b ) ) + ( cosh ( 2 k ( y + b ) ) cosh ( 2 b k ) + cosh ( 2 k y ) + 3 ) × sech 3 ( k ( y + b ) ) 2 sinh 2 ( b k ) sech 3 ( k ( y b ) ) ) + 2 k 2 sech 4 ( k y ) ] .

For AdS case ( Λ 4 < 0 ), we change Λ 4 Λ 4 , and the solution of dS 4 brane is transformed into that of AdS 4 brane. This result is interesting, since it simplifies the calculation, significantly.

So far, we have obtained the background solution of the three cases of thick branes. In more detail, the potential U ( y ) is the same; however, V ( y ) and λ ( y ) take different values for they are related to the parameter Λ 4 . For the sake of clarity, by performing the rescaling of the quantities,

(25) y ˜ = k y , b ˜ = k b , Λ ˜ 4 = Λ 4 k 2 , V ˜ ( y ˜ ) = V ( y ˜ ) k 2 , U ˜ ( y ˜ ) = U ( y ˜ ) k 2 , λ ˜ ( y ˜ ) = λ ( y ˜ ) ,

we can obtain the dimensionless quantities. The profiles of the potential U ˜ ( y ˜ ) with the increasing of the parameters b ˜ are shown in Figure 2. In Figure 3, we compare the behaviors of V ˜ ( y ˜ ) in the three cases of thick branes. Figure 3 shows that the potential V ˜ ( y ˜ ) in AdS 4 brane opens downwards, different from dS 4 brane where the curve opens upwards. When Λ 4 0 , V ˜ ( y ˜ ) in dS 4 and AdS 4 branes approach to the values in M 4 brane. The shapes of the Lagrange multiplier λ ˜ ( y ˜ ) in terms of y ˜ = k y are plotted in Figure 4. When Λ 4 0 , λ ˜ ( y ˜ ) in dS 4 and AdS 4 branes also tend to the values in M 4 brane.

Figure 2 
                  The potential 
                        
                           
                           
                              
                                 
                                    U
                                 
                                 
                                    ˜
                                 
                              
                              
                                 
                                    (
                                 
                                 
                                    
                                       
                                          y
                                       
                                       
                                          ˜
                                       
                                    
                                 
                                 )
                              
                           
                           \tilde{U}(\tilde{y})
                        
                      for the three cases of branes.
Figure 2

The potential U ˜ ( y ˜ ) for the three cases of branes.

Figure 3 
                  Comparison of the dimensionless scalar potential 
                        
                           
                           
                              
                                 
                                    V
                                 
                                 
                                    ˜
                                 
                              
                              
                                 
                                    (
                                 
                                 
                                    
                                       
                                          y
                                       
                                       
                                          ˜
                                       
                                    
                                 
                                 )
                              
                           
                           \tilde{V}(\tilde{y})
                        
                      in terms of 
                        
                           
                           
                              
                                 
                                    y
                                 
                                 
                                    ˜
                                 
                              
                           
                           \tilde{y}
                        
                     . The parameter 
                        
                           
                           
                              
                                 
                                    b
                                 
                                 
                                    ˜
                                 
                              
                           
                           \tilde{b}
                        
                      is set as 
                        
                           
                           
                              
                                 
                                    b
                                 
                                 
                                    ˜
                                 
                              
                              =
                              4
                           
                           \tilde{b}=4
                        
                     . (a) M4 brane, (b) dS4 brane, and (c) AdS4 brane.
Figure 3

Comparison of the dimensionless scalar potential V ˜ ( y ˜ ) in terms of y ˜ . The parameter b ˜ is set as b ˜ = 4 . (a) M4 brane, (b) dS4 brane, and (c) AdS4 brane.

Figure 4 
                  Comparison of Lagrange multiplier 
                        
                           
                           
                              
                                 
                                    λ
                                 
                                 
                                    ˜
                                 
                              
                              
                                 
                                    (
                                 
                                 
                                    
                                       
                                          y
                                       
                                       
                                          ˜
                                       
                                    
                                 
                                 )
                              
                           
                           \tilde{\lambda }(\tilde{y})
                        
                      with the parameter 
                        
                           
                           
                              
                                 
                                    b
                                 
                                 
                                    ˜
                                 
                              
                              =
                              4
                           
                           \tilde{b}=4
                        
                     : (a) 
                        
                           
                           
                              
                                 
                                    
                                       
                                       M
                                       
                                    
                                 
                                 
                                    4
                                 
                              
                           
                           {\text{M}}_{4}
                        
                      brane, (b) 
                        
                           
                           
                              
                                 
                                    
                                       
                                       dS
                                       
                                    
                                 
                                 
                                    4
                                 
                              
                           
                           {\text{dS}}_{4}
                        
                      brane, and (c) 
                        
                           
                           
                              
                                 
                                    
                                       
                                       AdS
                                       
                                    
                                 
                                 
                                    4
                                 
                              
                           
                           {\text{AdS}}_{4}
                        
                      brane.
Figure 4

Comparison of Lagrange multiplier λ ˜ ( y ˜ ) with the parameter b ˜ = 4 : (a) M 4 brane, (b) dS 4 brane, and (c) AdS 4 brane.

3 Linear tensor perturbation

In the case of the tensor perturbation, we suppose that the space-time undergoes a small perturbation δ g M N ( 1 ) on a fixed background g M N as follows:

(26) g ˜ M N = g M N + δ g M N ( 1 ) ,

where g M N represents the five-dimensional Minkowski, dS, or AdS metric. The inverse of the perturbed metric will be

(27) g ˜ M N = g M N + δ g M N ( 1 ) + δ g M N ( n ) +

with the first-order perturbed metric as δ g M N ( 1 ) = g M P g N Q δ g P Q ( 1 ) and the n -order perturbed metric as follows: δ g M N ( n ) = ( 1 ) n δ g P 1 M ( 1 ) δ g P 2 P 1 ( 1 ) δ g P n ( 1 ) N . For the above metric perturbations, the first-order perturbations are expressed as follows:

(28) δ Γ M N L ( 1 ) = 1 2 g L P ( M δ g N P ( 1 ) + N δ g P M ( 1 ) P δ g M N ( 1 ) )

(29) δ R M K N L ( 1 ) = K δ Γ M N L ( 1 ) N δ Γ M K L ( 1 )

(30) δ R M N ( 1 ) = K δ Γ M N K ( 1 ) N δ Γ M K K ( 1 ) ,

where N denotes the covariant derivative corresponding to the five-dimensional metric g M N . In general, it is complicated to take into account a full set of fluctuations of the metric around the background where gravity is coupled to scalars. Fortunately, there is a sector where the metric fluctuations decouple from the scalars, which is the one associated with the transverse and traceless (TT) part of the metric fluctuation. Based on these relations, we will consider the linear tensor perturbation of flat and bent branes by taking the TT gauge condition.

3.1 Flat brane

For the tensor perturbation of flat brane, the perturbed metric is given as follows:

(31) d s 2 = a 2 ( y ) ( η μ ν + h μ ν ) d x μ d x ν + d y 2 ,

where η μ ν describes Minkowski geometry, h μ ν represents the tensor perturbation and satisfies TT gauge condition η μ ν μ h λ ν = 0 and η μ ν h μ ν = 0 . The linear perturbations of the Ricci tensor and curvature scalar are obtained as follows:

(32) δ R μ ν ( 1 ) = 1 2 ( ν σ h μ σ + μ σ h ν σ ( 4 ) h μ ν μ ν h ) ( 3 a 2 + a a ) h μ ν 2 a a h 1 2 a 2 h μ ν 1 2 a a η μ ν h , δ R μ 5 ( 1 ) = 1 2 ( σ h μ σ μ h ) , δ R 55 ( 1 ) = 1 2 ( 2 a 1 a h + h ) , δ R ( 1 ) = δ ( g M N R M N ) = a 2 ( μ ν h μ ν ( 4 ) h ) 5 a 1 a h h ,

where ( 4 ) = η μ ν μ ν is the four-dimensional d’Alembert operator, and h = η μ ν h μ ν .

Under the TT condition, the perturbation of the μ ν components of the Einstein tensor reads

(33) δ G μ ν ( 1 ) = 1 2 ( 4 ) h μ ν + ( 3 a 2 + 3 a a ) h μ ν 2 a a h μ ν 1 2 a 2 h μ ν ,

where the four-dimensional d’Alembertian is defined as ( 4 ) η μ ν μ ν . Using Eqs. (19) and (33), the perturbation equation reads

(34) 1 2 ( 4 ) h μ ν 2 a a h μ ν 1 2 a 2 h μ ν = 0 .

By imposing a coordinate transformation, d z = 1 a ( z ) d y and a rescaling, on h μ ν = a ( z ) 3 2 h ˜ μ ν , the perturbation equation (34) can be calculated as follows:

(35) ( 4 ) h ˜ μ ν + z 2 h ˜ μ ν z 2 a 3 2 ( z ) a 3 2 ( z ) h ˜ μ ν = 0 .

Considering the Kaluza–Klein (KK) decomposition h ˜ μ ν = ε μ ν ( x γ ) e i p λ x λ H ( z ) with p 2 = m 2 , where the polarization tensor ε μ ν satisfies the TT condition η μ ν μ ε λ ν = 0 and η μ ν ε μ ν = 0 , we obtain the Schrödinger-like equation for H ( z ) :

(36) [ z 2 + V eff ( z ) ] H ( z ) = m 2 H ( z ) ,

where m is the mass of the KK mode, and the effective potential V eff ( z ) is given by [11] as follows:

(37) V eff ( z ) = z 2 a 3 2 ( z ) a 3 2 ( z ) = z ln a 3 2 ( z ) 2 + z z ln a 3 2 ( z ) .

This equation can be factorized as

(38) z + z ln a 3 2 ( z ) z z ln a 3 2 ( z ) H ( z ) = m 2 H ( z ) ,

and this structure ensures that the eigenvalues are non-negative, which means that the brane is stable against the tensor perturbation. Since the potential vanishes for large z , this is the only bound state, namely, the massless zero mode ( m = 0 ),

(39) H 0 ( z ( y ) ) a 3 2 ( z ( y ) ) = [ sech ( k ( y b ) ) + sech ( k y ) + sech ( k ( y + b ) ) ] 3 2 .

To localize the gravity zero-mode, H 0 ( z ) should obey the normalization condition + H 0 ( z ) 2 d z < . It can be normalized if

(40) + H 0 ( z ) 2 d z = + H 0 ( z ( y ) ) 2 a ( y ) 1 d y = + [ sech ( k ( y b ) ) + sech ( k y ) + sech ( k ( y + b ) ) ] 2 d y < ,

which is finite when k > 0 ; in other words, the normalized zero-mode can be achieved for k > 0 such that the observable four-dimensional gravity is recovered on the brane. The behaviors of the dimensionless effective potential and zero-mode in terms of y ˜ are shown in Figure 5. The effective potentials have a well with a negative minimum inside the brane and satisfy V eff ( y ˜ ± ) 0 when far from the brane. As the parameter b ˜ increases, the volcano-like potential gradually changes to a multi-well potential, and at last, splits into three-well potential; meanwhile, the wave function of the graviton zero-mode also splits.

Figure 5 
                  The influence of 
                        
                           
                           
                              
                                 
                                    b
                                 
                                 
                                    ˜
                                 
                              
                           
                           \tilde{b}
                        
                      on the dimensionless effective potential 
                        
                           
                           
                              
                                 
                                    V
                                 
                                 
                                    
                                       
                                       eff
                                       
                                    
                                 
                              
                              
                                 
                                    (
                                 
                                 
                                    
                                       
                                          y
                                       
                                       
                                          ˜
                                       
                                    
                                 
                                 )
                              
                              ∕
                              
                                 
                                    k
                                 
                                 
                                    2
                                 
                              
                           
                           {V}_{\text{eff}}(\tilde{y})/{k}^{2}
                        
                      (blue lines) and the zero-mode 
                        
                           
                           
                              
                                 
                                    H
                                 
                                 
                                    0
                                 
                              
                              
                                 
                                    (
                                 
                                 
                                    
                                       
                                          y
                                       
                                       
                                          ˜
                                       
                                    
                                 
                                 )
                              
                           
                           {H}_{0}(\tilde{y})
                        
                      (red lines) of the tensor perturbation for 
                        
                           
                           
                              
                                 
                                    
                                       
                                       M
                                       
                                    
                                 
                                 
                                    4
                                 
                              
                           
                           {\text{M}}_{4}
                        
                      brane. (a) 
                        
                           
                           
                              
                                 
                                    b
                                 
                                 
                                    ˜
                                 
                              
                              =
                              0.5
                           
                           \tilde{b}=0.5
                        
                     , (b) 
                        
                           
                           
                              
                                 
                                    b
                                 
                                 
                                    ˜
                                 
                              
                              =
                              3
                           
                           \tilde{b}=3
                        
                     , (c) 
                        
                           
                           
                              
                                 
                                    b
                                 
                                 
                                    ˜
                                 
                              
                              =
                              8
                           
                           \tilde{b}=8
                        
                     .
Figure 5

The influence of b ˜ on the dimensionless effective potential V eff ( y ˜ ) k 2 (blue lines) and the zero-mode H 0 ( y ˜ ) (red lines) of the tensor perturbation for M 4 brane. (a) b ˜ = 0.5 , (b) b ˜ = 3 , (c) b ˜ = 8 .

3.2 Bent branes

We now turn to the case of Λ 4 0 and consider the following perturbed metric:

(41) d s 2 = a 2 ( y ) ( g ˆ μ ν + h μ ν ) d x μ d x ν + d y 2 ,

where the four-dimensional metric is decomposed into a small perturbation h μ ν around a curved space-time a 2 ( y ) g ˆ μ ν . By imposing a coordinate transformation d z = 1 a ( z ) d y , we write the bulk metric in the form

(42) d s 2 = a 2 ( z ) [ ( g ˆ μ ν + h μ ν ) d x μ d x ν + d z 2 ] .

The interesting investigations of the tensor perturbation have already appeared in refs. [7,61] and in references therein. Then, under the TT gauge condition h μ μ = ˆ μ h μ ν = 0 , the equation for the perturbation h μ ν takes the following form:

(43) z 2 + 3 ( z a ( z ) a ( z ) ) z + g ˆ α β ˆ α ˆ β 9 4 Λ 4 h μ ν ( x , z ) = 0 ,

where ˆ α denotes the covariant derivative with respect to g ˆ μ ν . By performing the KK decomposition h μ ν ( x , z ) = a ( z ) 3 2 ε μ ν ( x ) H ( z ) with ε μ ν ( x ) satisfying the TT condition, we separate the perturbed equation (43) into the four-dimensional and extra-dimensional parts. Here, we can obtain two equations, i.e., g ˆ α β ˆ α ˆ β ε μ ν ( x ) = m 2 ε μ ν ( x ) for the four-dimensional part, and the Schrödinger-like equation for the extra-dimensional sector

(44) [ z 2 + V eff ( z ) ] H ( z ) = m 2 H ( z ) .

Here, m is the mass of the KK mode, and the effective potential is derived as follows:

(45) V eff ( z ) = 9 4 Λ 4 + 3 4 [ z a ( z ) ] 2 a ( z ) 2 + 3 2 z z a ( z ) a ( z ) ,

for d S 4 geometry. The effective potential can also be transformed in terms of y coordinate,

(46) V eff ( z ( y ) ) = 9 4 Λ 4 + 9 4 [ y a ( y ) ] 2 + 3 2 a ( y ) y , y a ( y ) .

At the boundaries of the brane, the potential V eff ( z ) tends to be negative for Λ 4 > 0 . For the term 9 4 Λ 4 < 0 , this equation cannot be factorized. This result indicates that the tensor perturbation of dS 4 brane would not occur stably. For Λ 4 < 0 , we obtain AdS 4 geometry, and the potential V eff ( z ) tends to be positive at z ± . Eq. (44) can be written as a factorizable equation, K K H ( z ) = m 2 H ( z ) with

(47) K = z z ln a 3 2 ( z ) + 9 Λ 4 4 , K = z z ln a 3 2 ( z ) + 9 Λ 4 4 ,

which ensures the stability of the tensor perturbation.

4 Massive resonant modes

For the volcano-like effective potentials, the tensor perturbation has zero-mode and may also have resonant modes. Resonant frequencies A further investigation of the metastable modes is necessary. Because the integral z = 1 a ( y ) d y is difficult, we cannot obtain the analytical expressions of the warp factor a ( z ) and the effective potential V eff ( z ) . To solve the Schrödinger-like equation (38) for H ( z ) numerically, we decompose H ( z ) into an even parity mode and an odd parity mode, which are set to satisfy the following boundary conditions:

(48) H even ( 0 ) = 1 , z H even ( 0 ) = 0 ;

(49) H odd ( 0 ) = 0 , z H odd ( 0 ) = 1 .

To find the massive resonant states, we use the numerical method given in refs [6265], where a relative probability was proposed as follows:

(50) P = z c z c H n ( z ) 2 d z z max z max H n ( z ) 2 d z .

Here, 2 z c is about the width of the thick brane, and z max is set to z max = 10 z c .

4.1 Flat brane

When the wave functions are either even-parity or odd-parity, the Schrödinger-like equation can be solved numerically. The dimensionless effective potential V eff ( z ˜ ) k 2 is expressed in terms of z ˜ = k z . Figure 6 shows the influence of b ˜ on the effective potential and the resonant modes of gravity. The relative probability P as a function of m 2 is obtained, and only the peak which satisfies P > 0.1 represents a resonance mode.

Figure 6 
                  The influence of parameter 
                        
                           
                           
                              
                                 
                                    b
                                 
                                 
                                    ˜
                                 
                              
                           
                           \tilde{b}
                        
                      on the effective potential 
                        
                           
                           
                              
                                 
                                    V
                                 
                                 
                                    
                                       
                                       eff
                                       
                                    
                                 
                              
                              
                                 (
                                 
                                    
                                       
                                          z
                                       
                                       
                                          ˜
                                       
                                    
                                 
                                 )
                              
                              ∕
                              
                                 
                                    k
                                 
                                 
                                    2
                                 
                              
                           
                           {V}_{\text{eff}}\left(\tilde{z})/{k}^{2}
                        
                      and the probabilities 
                        
                           
                           
                              P
                           
                           P
                        
                      for the odd-parity (blue dashed lines) and even-parity (red lines) massive KK modes: (a) 
                        
                           
                           
                              
                                 
                                    b
                                 
                                 
                                    ˜
                                 
                              
                              =
                              0.5
                           
                           \tilde{b}=0.5
                        
                     , (b) 
                        
                           
                           
                              
                                 
                                    b
                                 
                                 
                                    ˜
                                 
                              
                              =
                              3
                           
                           \tilde{b}=3
                        
                     , (c) 
                        
                           
                           
                              
                                 
                                    b
                                 
                                 
                                    ˜
                                 
                              
                              =
                              8
                           
                           \tilde{b}=8
                        
                     , (d) 
                        
                           
                           
                              
                                 
                                    b
                                 
                                 
                                    ˜
                                 
                              
                              =
                              0.5
                           
                           \tilde{b}=0.5
                        
                     , (e) 
                        
                           
                           
                              
                                 
                                    b
                                 
                                 
                                    ˜
                                 
                              
                              =
                              3
                           
                           \tilde{b}=3
                        
                     , and (f) 
                        
                           
                           
                              
                                 
                                    b
                                 
                                 
                                    ˜
                                 
                              
                              =
                              8
                           
                           \tilde{b}=8
                        
                     .
Figure 6

The influence of parameter b ˜ on the effective potential V eff ( z ˜ ) k 2 and the probabilities P for the odd-parity (blue dashed lines) and even-parity (red lines) massive KK modes: (a) b ˜ = 0.5 , (b) b ˜ = 3 , (c) b ˜ = 8 , (d) b ˜ = 0.5 , (e) b ˜ = 3 , and (f) b ˜ = 8 .

From Figure 6, we see that, with the increasing of the parameter b ˜ , the effective potential splits from a single-well into a three-well potential, which indicates that there are more resonant KK modes for larger b ˜ , and this can be confirmed by Figure 6(d)–(f). In Figure 6(d), there are no peaks of the relative probability, which means that there does not exist a resonant mode. In Figure 6(e), there is just one peak of the relative probability corresponding to the even-parity or the odd-parity wave function, and its wave functions with mass square m 2 = 0.3148 and m 2 = 1.9633 are plotted in Figure 7, which shows that the resonance is indeed quasi-localized on the sub-brane. In Figure 6(f), we find that, there are five peaks corresponding to the even-parity or the odd-parity resonant modes that satisfy P > 0.1 , and the corresponding wave functions of the first even-parity and odd-parity modes with mass square m 2 = 0.0177 and m 2 = 0.0176 are plotted in Figure 7. The numerical results of the mass spectrum, relative probability, full width at half maximum, and a lifetime of the resonance with b ˜ = 3 , 8 are listed in Table 1. The resonances having a large lifetime can be quasi-localized on the brane for a long time. Note that the first even and odd resonance modes are not degenerate.

Figure 7 
                  The wave functions for the first even- and odd-parity modes for the flat brane (
                        
                           
                           
                              
                                 
                                    
                                       
                                          Λ
                                       
                                       
                                          ˜
                                       
                                    
                                 
                                 
                                    4
                                 
                              
                              =
                              0
                           
                           {\tilde{\Lambda }}_{4}=0
                        
                     ) with (a) 
                        
                           
                           
                              
                                 
                                    b
                                 
                                 
                                    ˜
                                 
                              
                              =
                              3
                           
                           \tilde{b}=3
                        
                      and (b) 
                        
                           
                           
                              
                                 
                                    b
                                 
                                 
                                    ˜
                                 
                              
                              =
                              8
                           
                           \tilde{b}=8
                        
                     .
Figure 7

The wave functions for the first even- and odd-parity modes for the flat brane ( Λ ˜ 4 = 0 ) with (a) b ˜ = 3 and (b) b ˜ = 8 .

Table 1

The influence of the parameter b ˜ on the mass spectrum m n , the relative probability P , the width of mass Γ , and the lifetime τ of the KK resonances for the flat brane ( Λ ˜ 4 = 0 )

b ˜ Λ ˜ 4 n Parity m n 2 P Γ τ
3 0 1 Even 0.1988 0.372419 0.00810986 123.307
0 2 Odd 1.8477 0.144147 1.15022 0.8694
8 0 1 Odd 0.0176 0.644363 0.00112908 885.681
0 2 Even 0.0177 0.336324 0.00112589 888.186
0 3 Odd 0.0419 0.923572 0.000732362 1365.44
0 4 Even 0.0424 0.850191 0.000727779 1374.04
0 5 Odd 0.0763 0.933456 0.000905549 1104.30
0 6 Even 0.0779 0.94479 0.00089571 1116.43
0 7 Odd 0.1205 0.909459 0.00172875 578.454
0 8 Even 0.1241 0.89555 0.00141991 587.129
0 9 Odd 0.1745 0.792877 0.00215697 278.884
0 10 Even 0.1808 0.755761 0.00358572 404.900

4.2 Bent branes

Because the tensor perturbation of dS 4 brane would not be stable, we now consider AdS 4 brane, which includes two parameters b ˜ and Λ ˜ 4 . Thus, the resonances are more involved and should be discussed specifically.

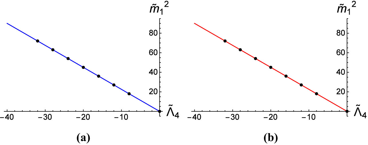
The effects of the parameters Λ ˜ 4 on the effective potentials and relative probability are shown in Figure 8. The effective potentials have a multi-well with a minimum inside the brane and satisfy V ˜ eff ( z ˜ ) 2 3 Λ ˜ 4 when z ˜ ± . The effective potential does not change its shape but shifts up and down with Λ ˜ 4 . Therefore, the number of the resonances, the relative probability P , the width of mass Γ , and the lifetime τ of the KK resonances do not change with Λ ˜ 4 for a fixed b ˜ . Only the mass spectrum changes with Λ ˜ 4 . The specific values of masses of the resonances with different values of Λ ˜ 4 (including Λ ˜ 4 = 0 ) are listed in Table 2, from which we obtain that all of the masses of the resonances depend linearly on the parameter Λ ˜ 4 . For instance, the relations for the masses of the first even-parity and odd-parity modes with b ˜ = 8 can be expressed as follows:

(51) m ˜ 1 odd 2 = 0.0176 9 4 Λ ˜ 4 ,

(52) m ˜ 1 even 2 = 0.0177 9 4 Λ ˜ 4 .

Figure 8 
                  The influence of the parameter 
                        
                           
                           
                              
                                 
                                    
                                       
                                          Λ
                                       
                                       
                                          ˜
                                       
                                    
                                 
                                 
                                    4
                                 
                              
                           
                           {\tilde{\Lambda }}_{4}
                        
                      on the effective potential and the probabilities for both the odd-parity (blue dashed lines) and even-parity (red lines) massive KK modes with a fixed parameter 
                        
                           
                           
                              
                                 
                                    b
                                 
                                 
                                    ˜
                                 
                              
                              =
                              3
                           
                           \tilde{b}=3
                        
                     . (a) 
                        
                           
                           
                              
                                 
                                    V
                                 
                                 
                                    
                                       
                                       eff
                                       
                                    
                                 
                              
                              
                                 (
                                 
                                    
                                       
                                          z
                                       
                                       
                                          ˜
                                       
                                    
                                 
                                 )
                              
                              ∕
                              
                                 
                                    k
                                 
                                 
                                    2
                                 
                              
                           
                           {V}_{\text{eff}}\left(\tilde{z})/{k}^{2}
                        
                     , (b) 
                        
                           
                           
                              
                                 
                                    
                                       
                                          Λ
                                       
                                       
                                          ˜
                                       
                                    
                                 
                                 
                                    4
                                 
                              
                              =
                              −
                              5
                           
                           {\tilde{\Lambda }}_{4}=-5
                        
                     , (c) 
                        
                           
                           
                              
                                 
                                    
                                       
                                          Λ
                                       
                                       
                                          ˜
                                       
                                    
                                 
                                 
                                    4
                                 
                              
                              =
                              −
                              8
                           
                           {\tilde{\Lambda }}_{4}=-8
                        
                     , and (d) 
                        
                           
                           
                              
                                 
                                    
                                       
                                          Λ
                                       
                                       
                                          ˜
                                       
                                    
                                 
                                 
                                    4
                                 
                              
                              =
                              −
                              10
                           
                           {\tilde{\Lambda }}_{4}=-10
                        
                     .
Figure 8

The influence of the parameter Λ ˜ 4 on the effective potential and the probabilities for both the odd-parity (blue dashed lines) and even-parity (red lines) massive KK modes with a fixed parameter b ˜ = 3 . (a) V eff ( z ˜ ) k 2 , (b) Λ ˜ 4 = 5 , (c) Λ ˜ 4 = 8 , and (d) Λ ˜ 4 = 10 .

Table 2

The influence of the parameter Λ ˜ 4 on the masses m n 2 of resonances for the KK modes

Λ ˜ 4 = 0 Λ ˜ 4 = 8 Λ ˜ 4 = 12
b ˜ = 3 b ˜ = 7 b ˜ = 8 b ˜ = 3 b ˜ = 7 b ˜ = 8 b ˜ = 3 b ˜ = 7 b ˜ = 8
0.1988 0.047 0.0176 18.1988 18.047 18.0176 27.1988 27.047 27.0176
1.8477 0.0481 0.0177 19.8477 18.0481 18.0177 28.8477 27.0481 27.0177
0.1104 0.0419 18.1104 18.0419 27.1104 27.0419
0.1156 0.0424 18.1156 18.0424 27.1156 27.0424
0.199 0.0763 18.199 18.0763 27.199 27.0763
0.2122 0.0779 18.2122 18.0779 27.2122 27.0779
0.3123 0.1205 18.3123 18.1205 27.3123 27.1205
0.3375 0.1241 18.3375 18.1241 27.3375 27.1241
0.1745 18.1745 27.1745
0.1808 18.1808 27.1808

We plot the fit functions for masses of the first even-parity and odd-parity modes with different Λ ˜ 4 in Figure 9. The wave functions for the first even-parity and odd-parity modes with different Λ ˜ 4 are plotted in Figure 10, which shows that the wave function does not alter with Λ ˜ 4 when b ˜ is fixed.

Figure 9 
                  The influence of 
                        
                           
                           
                              
                                 
                                    
                                       
                                          Λ
                                       
                                       
                                          ˜
                                       
                                    
                                 
                                 
                                    4
                                 
                              
                           
                           {\tilde{\Lambda }}_{4}
                        
                      on the masses of the first even-parity and odd-parity modes with 
                        
                           
                           
                              
                                 
                                    b
                                 
                                 
                                    ˜
                                 
                              
                              =
                              8
                           
                           \tilde{b}=8
                        
                     . The black dots are numerical results, the solid lines are the fit functions for the first even-parity (red line) and odd-parity (blue line) modes: (a) Odd-parity and (b) even-parity.
Figure 9

The influence of Λ ˜ 4 on the masses of the first even-parity and odd-parity modes with b ˜ = 8 . The black dots are numerical results, the solid lines are the fit functions for the first even-parity (red line) and odd-parity (blue line) modes: (a) Odd-parity and (b) even-parity.

Figure 10 
                  The wave functions for the first even-parity and first odd-parity modes with 
                        
                           
                           
                              
                                 
                                    b
                                 
                                 
                                    ˜
                                 
                              
                              =
                              8
                           
                           \tilde{b}=8
                        
                     . (a) 
                        
                           
                           
                              
                                 
                                    
                                       
                                          Λ
                                       
                                       
                                          ˜
                                       
                                    
                                 
                                 
                                    4
                                 
                              
                              =
                              −
                              8
                           
                           {\tilde{\Lambda }}_{4}=-8
                        
                      and (b) 
                        
                           
                           
                              
                                 
                                    
                                       
                                          Λ
                                       
                                       
                                          ˜
                                       
                                    
                                 
                                 
                                    4
                                 
                              
                              =
                              −
                              12
                           
                           {\tilde{\Lambda }}_{4}=-12
                        
                     .
Figure 10

The wave functions for the first even-parity and first odd-parity modes with b ˜ = 8 . (a) Λ ˜ 4 = 8 and (b) Λ ˜ 4 = 12 .

For AdS 4 brane, the potential well also becomes splitting, and the number of resonant modes increases with the parameter b ˜ . The influence of the parameter b ˜ on the effective potential V eff ( z ˜ ) k 2 and the probabilities P are similar to the flat brane, so we do not discuss it repeatedly. Here, we list the numerical results for the mass spectrum, the relative probability, the width of mass, and the lifetime of the KK resonances with different b ˜ in Table 3.

Table 3

The influence of the parameter b ˜ on the mass spectrum m n 2 , the relative probability P , the width of mass Γ , and the lifetime τ of the KK resonances for AdS 4 brane ( Λ ˜ 4 = 8 )

b ˜ Λ ˜ 4 n Parity m n 2 P Γ τ
3 8 1 Even 18.1988 0.372419 0.00810986 123.307
8 2 Odd 19.8477 0.144147 1.15022 0.8694
8 8 1 Odd 18.0176 0.644363 0.00112908 885.681
8 2 Even 18.0177 0.336324 0.00112589 888.186
8 3 Odd 18.0419 0.923572 0.000732362 1365.44
8 4 Even 18.0424 0.850191 0.000727779 1374.04
8 5 Odd 18.0763 0.933456 0.000905549 1104.30
8 6 Even 18.0779 0.94479 0.00089571 1116.43
8 7 Odd 18.1205 0.909459 0.00172875 578.454
8 8 Even 18.1241 0.89555 0.00141991 587.129
8 9 Odd 18.1745 0.792877 0.00215697 278.884
8 10 Even 18.1808 0.755761 0.00358572 404.900

5 Conclusion

In this article, we investigate the linear tensor perturbation for M 4 , dS 4 , and AdS 4 branes in two-field mimetic gravity. We apply the reconstruction technique to find a set of thick brane solutions in asymptotical AdS 5 space-time, and derive the master equations for linear tensor perturbations under the TT gauge condition. The Schrödinger-like equations for the M 4 and AdS 4 branes are factorized into a supersymmetric form; therefore, the brane systems are stable against the tensor perturbations, while the dS 4 brane is unstable. For the flat and bent branes, the effective potentials of the corresponding Schrödinger-like equation behave as volcano-like or modified-volcano-like potentials, which may allow a localized zero-mode responsible for the four-dimensional Newtonian potential and a series of massive resonant modes. The thick branes have two parameters Λ ˜ 4 and b ˜ , one for the cosmological constant of the bent brane and the other for the inner structure of the domain wall. We investigate the effect of the two parameters on the thick branes, namely,

  • When Λ ˜ 4 Λ ˜ 4 , the solution of dS 4 changes into that of AdS 4 . In the limit Λ ˜ 4 0 , the bent brane solution is reduced to the flat brane solution. The number of the resonances does not change with Λ ˜ 4 ; however, the masses of resonant KK modes linearly decrease with the parameter Λ ˜ 4 for a fixed b ˜ .

  • As the parameter b ˜ increases, the branes split into sub-branes, and the scalar field ϕ 1 ( y ˜ ) changes from a single-kink to a double-kink configuration; the effective potentials of the extra-dimensional parts of the tensor perturbations also split into multi-wells; the number of gravitational resonance modes increases.

Moreover, we would like to point out that the tensor perturbation of the two-field mimetic gravity model is the same as that of the original single-field mimetic theory [52] and GR. Nevertheless, the two mimetic scalar fields can generate different thick branes, leading to new types of effective potential and graviton resonant modes. There are some interesting extensions of this work. The resonant frequencies and spectroscopy of black holes are analyzed in refs [66,67]. The frequencies of resonant mode in braneworld are not discussed in this article, which will be left to our further study.

Acknowledgments

The authors sincerely thank Prof. Yu-Xiao Liu for the helpful discussions.

  1. Funding information: This work is supported by the National Key Research and Development Program of China (Grant No. 2020YFC2201503) and the National Natural Science Foundation of China (Grant No. 12247101). Yi Zhong was supported by the Fundamental Research Funds for the Central Universities (Grant No. 531118010195).

  2. Author contributions: All authors have accepted responsibility for the entire content of this manuscript and approved its submission.

  3. Conflict of interest: The authors state no conflict of interest.

References

[1] Arkani-Hamed N, Dimopoulos S, Dvali GR. The hierarchy problem and new dimensions at a millimeter. Phys Lett B. 1998;429:263–72. 10.1016/S0370-2693(98)00466-3Search in Google Scholar

[2] Antoniadis I, Arkani-Hamed N, Dimopoulos S, Dvali GR. New dimensions at a millimeter to a fermi and superstrings at a TeV. Phys Lett B. 1998;436:257–63. 10.1016/S0370-2693(98)00860-0Search in Google Scholar

[3] Randall L, Sundrum R. Large mass hierarchy from a small extra dimension. Phys Rev Lett. 1999;83:3370–3. 10.1103/PhysRevLett.83.3370Search in Google Scholar

[4] Randall L, Sundrum R. An alternative to compactification. Phys Rev Lett. 1999;83:4690–3. 10.1103/PhysRevLett.83.4690Search in Google Scholar

[5] Gremm M. Four-dimensional gravity on a thick domain wall. Phys Lett B. 2000;478:434–8. 10.1016/S0370-2693(00)00303-8Search in Google Scholar

[6] DeWolfe O, Freedman DZ, Gubser SS, Karch A. Modeling the fifth dimension with scalars and gravity. Phys Rev D. 2000;62:046008. 10.1103/PhysRevD.62.046008Search in Google Scholar

[7] Kobayashi S, Koyama K, Soda J. Thick brane worlds and their stability. Phys Rev D. 2002;65:064014. 10.1103/PhysRevD.65.064014Search in Google Scholar

[8] Bazeia D, Losano L, Wotzasek C. Domain walls in three-field models. Phys Rev D. 2002;66:105025. 10.1103/PhysRevD.66.105025Search in Google Scholar

[9] Wang A. Thick de Sitter 3-branes, dynamic black holes, and localization of gravity. Phys Rev D. 2002;66:024024. 10.1103/PhysRevD.66.024024Search in Google Scholar

[10] Bazeia D, Gomes AR. Bloch brane. JHEP. 2004;5:012. 10.1088/1126-6708/2004/05/012Search in Google Scholar

[11] Afonso VI, Bazeia D, Losano L. First-order formalism for bent brane. Phys Lett B. 2006;634:526–30. 10.1016/j.physletb.2006.02.017Search in Google Scholar

[12] Bazeia D, Brito FA, Losano L. Scalar fields, bent branes, and RG flow. JHEP. 2006;11:064. 10.1088/1126-6708/2006/11/064Search in Google Scholar

[13] Bogdanos C, Dimitriadis A, Tamvakis K. Brane models with a Ricci-coupled scalar field. Phys Rev D. 2006;74:045003. 10.1103/PhysRevD.74.045003Search in Google Scholar

[14] Dzhunushaliev V, Folomeev V, Minamitsuji M. Thick brane solutions. Rept Prog Phys. 2010;73:066901. 10.1088/0034-4885/73/6/066901Search in Google Scholar

[15] Liu YX, Zhong Y, Yang K. Scalar-kinetic branes. EPL. 2010;90(5):51001. 10.1209/0295-5075/90/51001Search in Google Scholar

[16] Barbosa-Cendejas N, Herrera-Aguilar A. 4D gravity localized in non Bbb Z2-symmetric thick branes. JHEP. 2005;10:101. 10.1088/1126-6708/2005/10/101Search in Google Scholar

[17] Herrera-Aguilar A, Malagon-Morejon D, Mora-Luna RR. Localization of gravity on a de Sitter thick braneworld without scalar fields. JHEP. 2010;11:015. 10.1007/JHEP11(2010)015Search in Google Scholar

[18] Zhong Y, Liu YX. Pure geometric thick f(R)-branes: stability and localization of gravity. Eur Phys J C. 2016;76(6):321. 10.1140/epjc/s10052-016-4163-0Search in Google Scholar

[19] Rubakov VA, Shaposhnikov ME. Extra space-time dimensions: Towards a solution to the cosmological constant problem. Phys Lett B. 1983;125:139–43. 10.1016/0370-2693(83)91254-6Search in Google Scholar

[20] Chamseddine AH, Mukhanov V. Mimetic dark matter. JHEP. 2013;11:135. 10.1007/JHEP11(2013)135Search in Google Scholar

[21] Chamseddine AH, Mukhanov V, Vikman A. Cosmology with mimetic matter. JCAP. 2014;6:17. 10.1088/1475-7516/2014/06/017Search in Google Scholar

[22] Lim EA, Sawicki I, Vikman A. Dust of dark energy. JCAP. 2010;5:12. 10.1088/1475-7516/2010/05/012Search in Google Scholar

[23] Leon G, Saridakis EN. Dynamical behavior in mimeticF(R) gravity. JCAP. 2015;4:31. 10.1088/1475-7516/2015/04/031. Search in Google Scholar

[24] Velten HES, von Marttens RF, Zimdahl W. Aspects of the cosmological coincidence problem. Eur Phys J C. 2014;74(11):3160. 10.1140/epjc/s10052-014-3160-4. Search in Google Scholar

[25] Shimon M. Elucidation of ’Cosmic Coincidence’. arXiv:2204.02211 [astro-ph.CO]. Search in Google Scholar

[26] Babichev E, Ramazanov S. Gravitational focusing of imperfect dark matter. Phys Rev D. 2017;95(2):024025. 10.1103/PhysRevD.95.024025Search in Google Scholar

[27] Sadeghnezhad N, Nozari K. Braneworld mimetic cosmology. Phys Lett B. 2017;769:134–40. 10.1016/j.physletb.2017.03.039Search in Google Scholar

[28] Casalino A, Rinaldi M, Sebastiani L, Vagnozzi S. Mimicking dark matter and dark energy in a mimetic model compatible with GW170817. Phys Dark Univ. 2018;22:108. 10.1016/j.dark.2018.10.001Search in Google Scholar

[29] Ganz A, Bartolo N, Karmakar P, Matarrese S. Gravity in mimetic scalar-tensor theories after GW170817. JCAP. 2019;1:56. 10.1088/1475-7516/2019/01/056Search in Google Scholar

[30] Zheng Y, Shen L, Mou Y, Li M. On (in)stabilities of perturbations in mimetic models with higher derivatives. JCAP. 2017;8:040. 10.1088/1475-7516/2017/08/040Search in Google Scholar

[31] Myrzakulov R, Sebastiani L, Vagnozzi S, Zerbini S. Static spherically symmetric solutions in mimetic gravity: rotation curves and wormholes. Class Quant Grav. 2016;33(12):125005. 10.1088/0264-9381/33/12/125005Search in Google Scholar

[32] Vagnozzi S. Recovering a MOND-like acceleration law in mimetic gravity. Class Quant Grav. 2017;34(18):185006. 10.1088/1361-6382/aa838bSearch in Google Scholar

[33] Casalino A, Rinaldi M, Sebastiani L, Vagnozzi S. Alive and well: mimetic gravity and a higher-order extension in light of GW170817. Class Quant Grav. 2019;36(1):017001. 10.1088/1361-6382/aaf1fdSearch in Google Scholar

[34] Malaeb O. Hamiltonian formulation of mimetic gravity. Phys Rev D. 2015;91(10):103526. 10.1103/PhysRevD.91.103526Search in Google Scholar

[35] Chaichian M, Kluson J, Oksanen M, Tureanu A. Mimetic dark matter, ghost instability and a mimetic tensor-vector-scalar gravity. JHEP. 2014;12:102. 10.1007/JHEP12(2014)102Search in Google Scholar

[36] Takahashi K, Kobayashi T. Extended mimetic gravity: Hamiltonian analysis and gradient instabilities. JCAP. 2017;11:38. 10.1142/9789811258251_0082Search in Google Scholar

[37] Zheng Y, Zheng YL. Hamiltonian analysis of mimetic gravity with higher derivatives. JHEP. 2021;1:85. 10.1007/JHEP01(2021)085Search in Google Scholar

[38] Shen LY, Zheng YL, Li MZ. Two-field mimetic gravity revisited and Hamiltonian analysis. JCAP. 2019;12:26. 10.1088/1475-7516/2019/12/026Search in Google Scholar

[39] Nojiri S, Odintsov SD. Mimetic F(R) gravity: Inflation, dark energy and bounce. Mod Phys Lett A. 2014;29(40):145021110.1142/S0217732314502113Search in Google Scholar

[40] Nojiri S, Odintsov SD, Oikonomou VK. Viable mimetic completion of unified inflation-dark energy evolution in modified gravity. Phys Rev D. 2016;94(10):104050. 10.1103/PhysRevD.94.104050Search in Google Scholar

[41] Nojiri S, Odintsov SD, Oikonomou VK. Unimodular-mimetic cosmology. Class Quant Grav. 2016;33(12):125017. 10.1088/0264-9381/33/12/125017Search in Google Scholar

[42] Odintsov SD, Oikonomou VK. Accelerating cosmologies and the phase structure of F(R)gravity with Lagrange multiplier constraints: A mimetic approach. Phys Rev D. 2016;93(2):023517. 10.1103/PhysRevD.93.023517Search in Google Scholar

[43] Odintsov SD, Oikonomou VK. Viable mimetic F(R) gravity compatible with Planck observations. Ann Phys. 2015;363:503–14. 10.1016/j.aop.2015.10.013Search in Google Scholar

[44] Astashenok AV, Odintsov SD, Oikonomou VK. Modified Gauss-Bonnet gravity with the Lagrange multiplier constraint as mimetic theory. Class Quant Grav. 2015;32(18):185007. 10.1088/0264-9381/32/18/185007Search in Google Scholar

[45] Nojiri S, Odintsov SD, Oikonomou VK. Ghost-free F(R) gravity with Lagrange multiplier constraint. Phys Lett B. 2017;775:44–9. 10.1016/j.physletb.2017.10.045Search in Google Scholar

[46] Cognola G, Myrzakulov R, Sebastiani L, Vagnozzi S, Zerbini S. Covariant Horrrava-like and mimetic Horndeski gravity: cosmological solutions and perturbations. Class Quant Grav. 2016;33(22):22501410.1088/0264-9381/33/22/225014Search in Google Scholar

[47] Hosseinkhan N, Nozari K. Late time cosmological dynamics with a nonminimal extension of the mimetic matter scenario. Eur Phys J Plus. 2018;133(2):50. 10.1140/epjp/i2018-11876-4Search in Google Scholar

[48] Chamseddine AH, Mukhanov V, Russ TB. Mimetic Hořava gravity. Phys Lett B. 2019;798:134939. 10.1016/j.physletb.2019.134939Search in Google Scholar

[49] Momeni D, Altaibayeva A, Myrzakulov R. New modified mimetic gravity. Int J Geom Meth Mod Phys. 2014;11:1450091. 10.1142/S0219887814500911Search in Google Scholar

[50] Chamseddine AH, Mukhanov V. Ghost free mimetic massive gravity. JHEP. 2018;6:60. 10.1007/JHEP06(2018)060. Search in Google Scholar

[51] Davood Sadatian S, Sepehri A. Tachyonic braneworld mimetic cosmology. Mod Phys Lett A. 2019;34(21):195016210.1142/S0217732319501621Search in Google Scholar

[52] Zhong Y, Zhong Y, Zhang YP, Liu YX. Occurrence and genotyping of Giardia duodenalis and Cryptosporidium in pre-weaned dairy calves in central Sichuan province, China. Eur Phys J C. 2018;78(1):45. 10.1051/parasite/2018046Search in Google Scholar PubMed PubMed Central

[53] Sebastiani L, Vagnozzi S, Myrzakulov R. Mimetic gravity: a review of recent developments and applications to cosmology and astrophysics. Adv High Energy Phys. 2017;2017:3156915. 10.1155/2017/3156915Search in Google Scholar

[54] Firouzjahi H, Gorji MA, Hosseini Mansoori SA. Instabilities in mimetic matter perturbations. JCAP. 2017;7:31. 10.1088/1475-7516/2017/07/031Search in Google Scholar

[55] Gorji MA, Hosseini Mansoori SA, Firouzjahi H. Higher derivative mimetic gravity. JCAP. 2018;1:20. 10.1088/1475-7516/2018/01/020Search in Google Scholar

[56] Firouzjahi H, Gorji MA, Hosseini Mansoori SA, Karami A, Rostami T. Two-field disformal transformation and mimetic cosmology. JCAP. 2018;11:046. 10.1088/1475-7516/2018/11/046Search in Google Scholar

[57] Bazeia D, Losano L, Santos JRL. Kinklike structures in scalar field theories: From one-field to two-field models. Phys Lett A. 2013;377:1615–20. 10.1016/j.physleta.2013.04.047Search in Google Scholar

[58] Higuchi M, Nojiri S. Reconstruction of domain wall universe and localization of gravity. Gen Rel Grav. 2014;46(11):1822. 10.1007/s10714-014-1822-zSearch in Google Scholar

[59] Liu YX, Yang K, Zhong Y. de Sitter thick brane solution in Weyl geometry. JHEP. 2010;10:69. 10.1007/JHEP10(2010)069Search in Google Scholar

[60] Liu YX, Guo H, Fu CE, Li HT. Localization of gravity and bulk matters on a thick anti-de Sitter brane. Phys Rev D. 2011;84:044033. 10.1103/PhysRevD.84.044033Search in Google Scholar

[61] Karch A, Randall L. Locally localized gravity. JHEP. 2001;5:8. 10.1088/1126-6708/2001/05/008Search in Google Scholar

[62] Liu YX, Fu CE, Zhao L, Duan YS. Localization and mass spectra of fermions on symmetric and asymmetric thick branes. Phys Rev D. 2009;80:065020. 10.1103/PhysRevD.80.065020Search in Google Scholar

[63] Liu YX, Yang J, Zhao ZH, Fu CE, Duan YS. Fermion localization and resonances on a de Sitter thick brane. Phys Rev D. 2009;80:065019. 10.1103/PhysRevD.80.065019Search in Google Scholar

[64] Du YZ, Zhao L, Zhong Y, Fu CE, Guo H. Resonances of Kalb–Ramond field on symmetric and asymmetric thick branes. Phys Rev D. 2013;88:024009. 10.1103/PhysRevD.88.024009Search in Google Scholar

[65] Tan Q, Guo WD, Zhang YP, Liu YX. Gravitational resonances on f(T)-branes. Eur Phys J C. 2021;81(4):373. 10.1140/epjc/s10052-021-09162-0Search in Google Scholar

[66] Vieira HS, Bezerra VB. Resonant frequencies of a massless scalar field in the canonical acoustic black hole spacetime. Gen Rel Grav. 2020;52(8):72. 10.1007/s10714-020-02726-7Search in Google Scholar

[67] Sakalli I, Tokgoz G. Spectroscopy of rotating linear dilaton black holes from boxed quasinormal modes: spectroscopy of rotating linear dilaton black holes. Annalen Phys. 2016;528:612–8. 10.1002/andp.201500305Search in Google Scholar

Received: 2022-04-21
Revised: 2023-01-02
Accepted: 2023-01-09
Published Online: 2023-02-23

© 2023 the author(s), published by De Gruyter

This work is licensed under the Creative Commons Attribution 4.0 International License.

Articles in the same Issue

  1. Regular Articles
  2. Dynamic properties of the attachment oscillator arising in the nanophysics
  3. Parametric simulation of stagnation point flow of motile microorganism hybrid nanofluid across a circular cylinder with sinusoidal radius
  4. Fractal-fractional advection–diffusion–reaction equations by Ritz approximation approach
  5. Behaviour and onset of low-dimensional chaos with a periodically varying loss in single-mode homogeneously broadened laser
  6. Ammonia gas-sensing behavior of uniform nanostructured PPy film prepared by simple-straightforward in situ chemical vapor oxidation
  7. Analysis of the working mechanism and detection sensitivity of a flash detector
  8. Flat and bent branes with inner structure in two-field mimetic gravity
  9. Heat transfer analysis of the MHD stagnation-point flow of third-grade fluid over a porous sheet with thermal radiation effect: An algorithmic approach
  10. Weighted survival functional entropy and its properties
  11. Bioconvection effect in the Carreau nanofluid with Cattaneo–Christov heat flux using stagnation point flow in the entropy generation: Micromachines level study
  12. Study on the impulse mechanism of optical films formed by laser plasma shock waves
  13. Analysis of sweeping jet and film composite cooling using the decoupled model
  14. Research on the influence of trapezoidal magnetization of bonded magnetic ring on cogging torque
  15. Tripartite entanglement and entanglement transfer in a hybrid cavity magnomechanical system
  16. Compounded Bell-G class of statistical models with applications to COVID-19 and actuarial data
  17. Degradation of Vibrio cholerae from drinking water by the underwater capillary discharge
  18. Multiple Lie symmetry solutions for effects of viscous on magnetohydrodynamic flow and heat transfer in non-Newtonian thin film
  19. Thermal characterization of heat source (sink) on hybridized (Cu–Ag/EG) nanofluid flow via solid stretchable sheet
  20. Optimizing condition monitoring of ball bearings: An integrated approach using decision tree and extreme learning machine for effective decision-making
  21. Study on the inter-porosity transfer rate and producing degree of matrix in fractured-porous gas reservoirs
  22. Interstellar radiation as a Maxwell field: Improved numerical scheme and application to the spectral energy density
  23. Numerical study of hybridized Williamson nanofluid flow with TC4 and Nichrome over an extending surface
  24. Controlling the physical field using the shape function technique
  25. Significance of heat and mass transport in peristaltic flow of Jeffrey material subject to chemical reaction and radiation phenomenon through a tapered channel
  26. Complex dynamics of a sub-quadratic Lorenz-like system
  27. Stability control in a helicoidal spin–orbit-coupled open Bose–Bose mixture
  28. Research on WPD and DBSCAN-L-ISOMAP for circuit fault feature extraction
  29. Simulation for formation process of atomic orbitals by the finite difference time domain method based on the eight-element Dirac equation
  30. A modified power-law model: Properties, estimation, and applications
  31. Bayesian and non-Bayesian estimation of dynamic cumulative residual Tsallis entropy for moment exponential distribution under progressive censored type II
  32. Computational analysis and biomechanical study of Oldroyd-B fluid with homogeneous and heterogeneous reactions through a vertical non-uniform channel
  33. Predictability of machine learning framework in cross-section data
  34. Chaotic characteristics and mixing performance of pseudoplastic fluids in a stirred tank
  35. Isomorphic shut form valuation for quantum field theory and biological population models
  36. Vibration sensitivity minimization of an ultra-stable optical reference cavity based on orthogonal experimental design
  37. Effect of dysprosium on the radiation-shielding features of SiO2–PbO–B2O3 glasses
  38. Asymptotic formulations of anti-plane problems in pre-stressed compressible elastic laminates
  39. A study on soliton, lump solutions to a generalized (3+1)-dimensional Hirota--Satsuma--Ito equation
  40. Tangential electrostatic field at metal surfaces
  41. Bioconvective gyrotactic microorganisms in third-grade nanofluid flow over a Riga surface with stratification: An approach to entropy minimization
  42. Infrared spectroscopy for ageing assessment of insulating oils via dielectric loss factor and interfacial tension
  43. Influence of cationic surfactants on the growth of gypsum crystals
  44. Study on instability mechanism of KCl/PHPA drilling waste fluid
  45. Analytical solutions of the extended Kadomtsev–Petviashvili equation in nonlinear media
  46. A novel compact highly sensitive non-invasive microwave antenna sensor for blood glucose monitoring
  47. Inspection of Couette and pressure-driven Poiseuille entropy-optimized dissipated flow in a suction/injection horizontal channel: Analytical solutions
  48. Conserved vectors and solutions of the two-dimensional potential KP equation
  49. The reciprocal linear effect, a new optical effect of the Sagnac type
  50. Optimal interatomic potentials using modified method of least squares: Optimal form of interatomic potentials
  51. The soliton solutions for stochastic Calogero–Bogoyavlenskii Schiff equation in plasma physics/fluid mechanics
  52. Research on absolute ranging technology of resampling phase comparison method based on FMCW
  53. Analysis of Cu and Zn contents in aluminum alloys by femtosecond laser-ablation spark-induced breakdown spectroscopy
  54. Nonsequential double ionization channels control of CO2 molecules with counter-rotating two-color circularly polarized laser field by laser wavelength
  55. Fractional-order modeling: Analysis of foam drainage and Fisher's equations
  56. Thermo-solutal Marangoni convective Darcy-Forchheimer bio-hybrid nanofluid flow over a permeable disk with activation energy: Analysis of interfacial nanolayer thickness
  57. Investigation on topology-optimized compressor piston by metal additive manufacturing technique: Analytical and numeric computational modeling using finite element analysis in ANSYS
  58. Breast cancer segmentation using a hybrid AttendSeg architecture combined with a gravitational clustering optimization algorithm using mathematical modelling
  59. On the localized and periodic solutions to the time-fractional Klein-Gordan equations: Optimal additive function method and new iterative method
  60. 3D thin-film nanofluid flow with heat transfer on an inclined disc by using HWCM
  61. Numerical study of static pressure on the sonochemistry characteristics of the gas bubble under acoustic excitation
  62. Optimal auxiliary function method for analyzing nonlinear system of coupled Schrödinger–KdV equation with Caputo operator
  63. Analysis of magnetized micropolar fluid subjected to generalized heat-mass transfer theories
  64. Does the Mott problem extend to Geiger counters?
  65. Stability analysis, phase plane analysis, and isolated soliton solution to the LGH equation in mathematical physics
  66. Effects of Joule heating and reaction mechanisms on couple stress fluid flow with peristalsis in the presence of a porous material through an inclined channel
  67. Bayesian and E-Bayesian estimation based on constant-stress partially accelerated life testing for inverted Topp–Leone distribution
  68. Dynamical and physical characteristics of soliton solutions to the (2+1)-dimensional Konopelchenko–Dubrovsky system
  69. Study of fractional variable order COVID-19 environmental transformation model
  70. Sisko nanofluid flow through exponential stretching sheet with swimming of motile gyrotactic microorganisms: An application to nanoengineering
  71. Influence of the regularization scheme in the QCD phase diagram in the PNJL model
  72. Fixed-point theory and numerical analysis of an epidemic model with fractional calculus: Exploring dynamical behavior
  73. Computational analysis of reconstructing current and sag of three-phase overhead line based on the TMR sensor array
  74. Investigation of tripled sine-Gordon equation: Localized modes in multi-stacked long Josephson junctions
  75. High-sensitivity on-chip temperature sensor based on cascaded microring resonators
  76. Pathological study on uncertain numbers and proposed solutions for discrete fuzzy fractional order calculus
  77. Bifurcation, chaotic behavior, and traveling wave solution of stochastic coupled Konno–Oono equation with multiplicative noise in the Stratonovich sense
  78. Thermal radiation and heat generation on three-dimensional Casson fluid motion via porous stretching surface with variable thermal conductivity
  79. Numerical simulation and analysis of Airy's-type equation
  80. A homotopy perturbation method with Elzaki transformation for solving the fractional Biswas–Milovic model
  81. Heat transfer performance of magnetohydrodynamic multiphase nanofluid flow of Cu–Al2O3/H2O over a stretching cylinder
  82. ΛCDM and the principle of equivalence
  83. Axisymmetric stagnation-point flow of non-Newtonian nanomaterial and heat transport over a lubricated surface: Hybrid homotopy analysis method simulations
  84. HAM simulation for bioconvective magnetohydrodynamic flow of Walters-B fluid containing nanoparticles and microorganisms past a stretching sheet with velocity slip and convective conditions
  85. Coupled heat and mass transfer mathematical study for lubricated non-Newtonian nanomaterial conveying oblique stagnation point flow: A comparison of viscous and viscoelastic nanofluid model
  86. Power Topp–Leone exponential negative family of distributions with numerical illustrations to engineering and biological data
  87. Extracting solitary solutions of the nonlinear Kaup–Kupershmidt (KK) equation by analytical method
  88. A case study on the environmental and economic impact of photovoltaic systems in wastewater treatment plants
  89. Application of IoT network for marine wildlife surveillance
  90. Non-similar modeling and numerical simulations of microploar hybrid nanofluid adjacent to isothermal sphere
  91. Joint optimization of two-dimensional warranty period and maintenance strategy considering availability and cost constraints
  92. Numerical investigation of the flow characteristics involving dissipation and slip effects in a convectively nanofluid within a porous medium
  93. Spectral uncertainty analysis of grassland and its camouflage materials based on land-based hyperspectral images
  94. Application of low-altitude wind shear recognition algorithm and laser wind radar in aviation meteorological services
  95. Investigation of different structures of screw extruders on the flow in direct ink writing SiC slurry based on LBM
  96. Harmonic current suppression method of virtual DC motor based on fuzzy sliding mode
  97. Micropolar flow and heat transfer within a permeable channel using the successive linearization method
  98. Different lump k-soliton solutions to (2+1)-dimensional KdV system using Hirota binary Bell polynomials
  99. Investigation of nanomaterials in flow of non-Newtonian liquid toward a stretchable surface
  100. Weak beat frequency extraction method for photon Doppler signal with low signal-to-noise ratio
  101. Electrokinetic energy conversion of nanofluids in porous microtubes with Green’s function
  102. Examining the role of activation energy and convective boundary conditions in nanofluid behavior of Couette-Poiseuille flow
  103. Review Article
  104. Effects of stretching on phase transformation of PVDF and its copolymers: A review
  105. Special Issue on Transport phenomena and thermal analysis in micro/nano-scale structure surfaces - Part IV
  106. Prediction and monitoring model for farmland environmental system using soil sensor and neural network algorithm
  107. Special Issue on Advanced Topics on the Modelling and Assessment of Complicated Physical Phenomena - Part III
  108. Some standard and nonstandard finite difference schemes for a reaction–diffusion–chemotaxis model
  109. Special Issue on Advanced Energy Materials - Part II
  110. Rapid productivity prediction method for frac hits affected wells based on gas reservoir numerical simulation and probability method
  111. Special Issue on Novel Numerical and Analytical Techniques for Fractional Nonlinear Schrodinger Type - Part III
  112. Adomian decomposition method for solution of fourteenth order boundary value problems
  113. New soliton solutions of modified (3+1)-D Wazwaz–Benjamin–Bona–Mahony and (2+1)-D cubic Klein–Gordon equations using first integral method
  114. On traveling wave solutions to Manakov model with variable coefficients
  115. Rational approximation for solving Fredholm integro-differential equations by new algorithm
  116. Special Issue on Predicting pattern alterations in nature - Part I
  117. Modeling the monkeypox infection using the Mittag–Leffler kernel
  118. Spectral analysis of variable-order multi-terms fractional differential equations
  119. Special Issue on Nanomaterial utilization and structural optimization - Part I
  120. Heat treatment and tensile test of 3D-printed parts manufactured at different build orientations
Downloaded on 6.2.2026 from https://www.degruyterbrill.com/document/doi/10.1515/phys-2022-0225/html
Scroll to top button