Article Open Access

Thermo-solutal Marangoni convective Darcy-Forchheimer bio-hybrid nanofluid flow over a permeable disk with activation energy: Analysis of interfacial nanolayer thickness

  • , , , , , EMAIL logo , , EMAIL logo , and
Published/Copyright: October 18, 2023

Abstract

The Marangoni convective phenomena have a unique impact on industries and medical tools. These phenomena are more prominent in the presence of dual nanoparticles (NPs) over base fluids such as blood that are surrounded by a thin interfacial nanolayer, an important feature to control the physical and thermal properties of the NP. In this problem, we have analysed the thermo-solutal Marangoni convective Darcy-Forchheimer flow of nanomaterials with the impact of the interfacial nanolayer. The results of the system of an exponential heat source, non-linear radiation, joule heating, and activation energy are discussed. An appropriate transition is applied to rationalise the substantially paired and nonlinear governing equations and then processed by the Galerkin finite element method (G-FEM). The impression of different governing parameters on the governing systems in conjunction with entropy and Bejan number is demonstrated through graphical and tabular form. Graphs are drawn with an evaluation of general and hybrid nanofluids (HNFs) and different nanolayer thicknesses of NPs. Activation energy and chemical reaction parameters restrict the Sherwood number, and the same is observed for the Nusselt number with an increase in the Brinkman and Eckert numbers. The thickness of the interfacial nanolayer of the NPs restricts the entropy generation of the system, while the entropy is higher for the HNF than the nanofluid. An opposite feature was observed for the Bejan number.

Nomenclature

Br

Brinkman number

Cf

drag coefficient

E 1

activation energy

Ec

Eckert number

Fr

inertia coefficient

F = r C s K p

non-uniform inertia coefficient

I 1 , I 2

ratio of nanolayer

K

permeability of porous medium

K 1

chemical reaction parameter

K p

permeability parameter

k nf

thermal conductivity of nanofluid

k f

thermal conductivity of base fluid

k s

thermal conductivity of nanoparticle

L

diffusion parameter

Q T

heat generation parameter

Re r

local Reynolds number

Rd

radiation parameter

r

Marangoni ratio parameter

Sc

Schmidt number

T w

surface temperature ( K )

T

fluid temperature ( K )

( u , w )

components of velocity with growing ( r , z ) directions

( ρ C p ) nf

nanofluid capacitance of heat

( ρ C p ) f

effective heat capacitance of base fluid

( ρ C p ) s
ρ s

solid density of nanoparticles

ρ f

density of base fluid

μ nf

dynamic viscosity of nanofluid

μ f

dynamic viscosity of base fluid

σ nf

electrical conductivity of nanofluid

σ s

electrical conductivity of nanoparticles

σ f

electrical conductivity of base fluid

μ hnf

dynamic viscosity of hybrid nanofluid

ρ hnf

effective density of hybrid nanofluid

( ρ c p ) hnf

heat capacitance of hybrid nanofluid

σ hnf

electrical conductivity of hybrid nanofluid

( ρ β ) hnf

thermal expansion of hybrid nanofluid

σ

Stefan Boltzmann constant

λ

porosity variable

Ω

dimensional constant

α f

thermal diffusivity of the base fluid ( m 2 s 1 )

β

dimensional constant

ϕ 1 , ϕ 2

original solid volume fractions

φ 1 , φ 2

upgraded volume fractions

θ w

temperature ratio parameter

1 Introduction

Marangoni convection is an important feature in different aspects of semiconductor processing, aerospace, crystal growth, etc. The numerical simulation of Marangoni flow over horizontal and vertical stretching sheets has been studied by different researchers [1,2,3]. Mahanthesh et al. [4] analysed the magnetohydrodynamic (MHD) flow through Marangoni convection of a nanofluid (NF) by rotating disk. Hayat et al. [5] inspected the mixed convection Marangoni flow of a Casson fluid. Lin et al. [6] analysed the MHD flow of the Marangoni boundary layer and the consequences of the magnetic field. Zhang et al. [7] analysed the numerical resolutions for Marangoni convection due to the effect of the temperature gradient. Sheikholeslami and Chamkha [8] looked into the features of NF on Marangoni convectional flow. Shaw et al. [9] and Mahanta et al. [10] analysed the Marangoni action flow of a Casson NF.

Most of the researchers focus on studying NFs due to their significant effects in engineering and related fields. NFs have a broad scope of application in thermal engineering and industrial activities, as they are applicable for improving thermal efficiency. Basically, the thermal conductivity and the specific heat are used to increase the local Nusselt number. Mousavi and Heris [11] discovered the accumulation of nanoparticles (NPs) that enhanced the thermal capacity. Makinde and Aziz [12] analysed the flow of NF by using convective boundary conditions. Ramya et al. [13] discussed MHDs and the viscous flow of NFs. Choudhury and Das [14] illustrated the MHD-free convection of viscoelastic fluid. HNFs have a vast application in the process of cooling. HNFs are a composite mixture of several metallic and non-metallic base fluids. Thermophysical properties of HNFs also have vast applications in the field of engineering. Because of its vital uses in bioengineering and medical sciences, such as minimising bleeding after surgery, researchers have recently concentrated more on bio-HNF flow. Researchers discussed several properties of hybrid NPs and HNFs [15,16,17,18] due to their huge applications in manufacturing and automotive industry. Xiong et al. [19] investigated the behaviour of the power law that contains the NPs and its effect on it. Abbas et al. [20] and Babar and Ali [21] discussed the applications and overall structure of HNFs. Ghalambaz et al. [22] analysed the mathematical modelling of HNFs at the stagnation point.

MHD is the magnetic field that reduces electrical flow in the moving conductive fluid and creates the force of the fluid, and it has immense utilisation in the areas of technology and commercial enterprise. Examples of MHD are nuclear reactor coolers, crystal growth, and power generators. Kumar et al. [23] illustrated the impact of magnetic dipole of maxwell NF flow with single and multiwalled carbon nanotubes (MWCNTs). Madhukesh et al. [24] investigated the magnetic impact of micropolar Casson NF influenced by Cattaneo-Christov heat flux. Javed et al. [25] explored the MHD axisymmetric flow of Casson fluid with heat absorption over a stretching cylinder. Ellahi et al. [26] illustrated the entropy of HNF MHD flow through porous media. Dalir et al. [27] evaluated the entropy of Jeffrey fluid. Shah et al. [28] analysed the mathematical modelling of entropy based on several NPs. Raja et al. [29] explored the concept of computational modelling of neural networks for entropy. Qasim and Afridi [30], Mahdavi et al. [31], and Khan et al. [32,33] investigated several factors affecting the entropy conversion.

The interfacial nanolayer of the NPs is a thin structure layer at the interface of the NP surface. Interfacial nanolayer thickness of NPs is a valuable feature to control the thermal conductivity of the NPs and embedded base fluid [34,35]. An improvement in the thermal conductivity of the NFs was observed in the presence of a larger nanolayer thickness of the NPs [36,37]. Zeroual et al. [38] showed that the viscosity of NFs improved with enhancement in the ordered liquid layer. Yu and Choi [39] used a renovated Maxwell model to show the impact of the interfacial nanolayer. The analysis was based on two different nanolayer thicknesses and shows that the thermal conductivity of the NF considerably improved even with a very thin nanolayer, exclusively when the diameter of the particle was less than 10 nm. A solid–liquid interface with molecular-level layering shows a significant impact on the interaction of dynamic NPs [40]. Khodayari et al. [41] discussed different models for the outcome of the interfacial nanolayers and their impact on the thermal conductivity of the NFs. Enhancing viscosity and thermal conductivity with the interfacial nanolayer structure of the NPs has been observed by Li et al. [42]. Recently, many researchers succeeded in determining the significance of the nanolayer thickness on the thermal properties by optical experimental measurements [43] or by molecular dynamics replications [44,45,46]. Fan and Zhong [47] have discussed the impact of microparameters on the thickness of the interfacial nanolayer and its significance for the thermal properties of the NPs and NFs. Gkountas et al. [48] have discussed the consequence of the NP interface layer on heat transfer by considering Al2O3. Tillman and Hill [49] have discussed how the thermal conductivity of the NP influences the change in nanolayer thickness. Kumar et al. [50] examined the consequences of interfacial nanolayers by using hybrid NPs within a squeezing channel. Jiang et al. [51,52,53] exploited the convective heat extensions to investigate single- and MWCNTs submerging a non-Darcy porous medium with water-based NF flow on discs. Gowda et al. [54,55,56] assessed the impact of an interfacial nanolayer on a curved stretched sheet with convective boundary conditions.

The above literature inspired the researchers to analyse the importance of the thickness of the interfacial nanolayer and Marangoni convection on heat transfer. The present study analyzes the importance of the steady Darcy-Forchheimer MWCNT-MoS2/blood HNF flow under a permeable disk. The foremost objectives are to (a) analyse the perception of an interfacial nanolayer thickness, which illustrates an inclusive importance on the thermos-physical properties of NFs; (b) evaluate the presentation of exponential heat generation, non-linear thermal radiation, and Joule heating on the thermal control of the system; (c) analyse the thermo-solutal Marangoni convection with activation energy; and (d) examine the entropy and thermal effectiveness on the typical system.

The novelties of the present study include the following:

  • Analyse the thermo-solutal Marangoni convective Darcy-Forchheimer MWCNT-MoS2/blood hybrid bio-fluid flow over a stretching rotating disk.

  • Analyse the interfacial mechanism of the NPs and its impact on the flow and thermal feature.

  • A potential numerical technique G-FEM method was applied to solve the governing equations.

  • Analyse the entropy optimisation of HNFs subject to radially revolved flow.

The motive of the research is to interpret the HNF flow over base fluid blood on the spinning disk based on interfacial nanolayer NPs, as it has enormous utility in different industries and medical sciences mainly bio-reactor.

2 Mathematical formulation

Assume that the thermos-solutal Marangoni convective Darcy-Forchheimer bio-HNF (accumulation of MWCNT and MoS 2 into the base fluid blood) flows over a permeable disk with spin angular velocity nanomaterials Ω (Figure 1). The Darcy-Forchheimer model is expressed as a viscous 2D stable, incompressible fluid in a porous surface area. A constant magnetic field acts in the direction of motion. The energy equation takes into account thermal radiation, exponential heat generation, and viscous dissipation. The concentration equation includes activation energy from a binary chemical process [57,58,59].

Figure 1 
               Geometry of the problem.
Figure 1

Geometry of the problem.

Using the above assumptions, the mathematical model can be characterised as follows [60,61,62]:

(1) u r + u r + w z = 0 ,

(2) u u r + w u z = μ hnf ρ hnf 2 u z 2 μ hnf ρ hnf K p u C b K p u 2 σ hnf ρ hnf B 0 2 u ,

(3) u T r + w T z = k hnf ( ρ C p ) hnf + 16 σ T 3 3 k ( ρ c p ) hnf 2 T z 2 + 1 ( ρ C p ) hnf Q 0 ( T T ) exp n Ω v f z + μ hnf ( ρ C p ) hnf u z 2 ,

(4) u C r + w C z = D B 2 C z 2 K 0 2 ( C C ) T T n exp E a k T .

Eq. (1) represents the continuity equation (conservation of mass). Momentum equation is represented by Eq. (2) with the second term on the right-hand side representing the porous medium, third term representing Darcy-Forchheimer flow phenomena, and the last term is due to the magnetic force. Eq. (3) is the energy equation with the first term on the right-hand side representing thermal radiation, second term representing the exponential heat generation, and the last term relates with the viscous dissipation. Eq. (4) represents the concentration equation with the last term on the right-hand side being binary chemical reaction with the activation energy.

The boundary conditions of the article are represented as follows [1,4]:

(5) μ hnf u z Z = 0 = σ z Z = 0 = σ T T r Z = 0 + σ C C r Z = 0 , T Z = 0 = T 0 = T + β r 2 , C Z = 0 = C 0 = C + β r 2 , u z = 0 , T Z = T , , C Z = C .

with σ = σ 0 [ ( 1 γ T ( T T ) γ C ( C C ) ] , where γ T = 1 σ 0 σ T T = T and γ C = 1 σ 0 σ C C = C .

The boundary conditions at the surface defined the Marangoni convection condition subject to thermal and solutal impact of the surface tensions with a temperature and concentration slip at the surface. Zero velocity with the ambient temperature and concentration are defined at the boundary layer. Here T is the temperature of the fluid within the boundary layer, σ is the Stefan Boltzmann constant, k is the mean absorption coefficient, γ T represents the coefficient of temperature surface tension, γ C represents the coefficient of concentration surface tension, and σ 0 is a positive constant.

The transformations executed for the existing problem include [1]

(6) η = Ω υ f z , ( u , w ) = ( r Ω F ( η ) , Ω υ f H ( η ) ) , ( T , C ) = ( T + β r 2 θ ( η ) , C + β r 2 ϕ ( η ) ) ,

where η is considered as the rotation of the axis. Additionally, F, H, θ , and ϕ are functions of η .

Taking the help of Eq. (6), Eqs. (1)–(5) take the form

(7) 2 F + H = 0 ,

(8) 1 ε 1 ε 2 ( 2 F λ F ) F 2 + H F + ( 1 + Fr ) F 2 + ε 4 M F = 0 ,

(9) 1 Pr k hnf k f + 4 3 Rd θ + Rd Pr { 3 ( θ w 1 ) ( ( θ w 1 ) θ + 1 ) 2 θ + θ ( 1 + ( θ w 1 ) ) 3 } 2 2 ε 3 ( F θ + θ H ) + Q T θ exp ( n η ) + 1 ε 1 E c F 2 = 0 ,

(10) 1 S c ϕ + 2 F ϕ + H ϕ K 1 ( 1 + θ w θ ) n exp E 1 1 + θ w θ = 0 ,

(11) F ( η ) η = 0 = 2 ( 1 + r ) ε 1 , H ( η ) η = 0 = 0 , θ ( η ) η = 0 = 1 , ϕ ( η ) η = 0 = 1 , F ( η ) η = = 0 , θ ( η ) η = = 0 , ϕ ( η ) η = = 0 .

With the parameters

(12) r = C 0 γ C T 0 γ T , Re r = r 2 Ω υ f , F r = r C b K p , M = σ f B 0 2 ρ f Ω , Ec = r 2 Ω β ( C p ) f , Q T = Q 0 Ω ( ρ c p ) f , θ w = T 0 T T , λ = υ f Ω K P , Pr = ( μ C P ) f K f , Br = Pr Ec , Rd = 4 σ T 3 k k f , K 1 = Ω K 0 2 υ f , S c = υ f D B , E 1 = E a KT .

and

(13) ε 1 = μ f μ hnf , ε 2 = ρ hnf ρ f , ε 3 = ( ρ c p ) hnf ( ρ c p ) f , ε 4 = σ hnf σ f ,

The skin friction can be formed as follows:

(14) ( Re r ) 1 / 2 C f r = 1 ε 1 { [ F / ( 0 ) ] 2 + [ H / ( 0 ) ] 2 } .

The Nusselt number can be formed as follows:

(15) ( Re r ) 1 / 2 Nu r = k hnf k f + 4 3 Rd { 1 + ( θ w 1 ) θ ( 0 ) } 3 θ ( 0 ) .

The Sherwood number can be formed as follows:

(16) ( Re r ) 1 / 2 Sh r = ϕ ( 0 ) .

2.1 Entropy model

The entropy based on NF is specified by

(17) S ̇ G = k nf T 2 k hnf k f + 4 3 Rd T z 2 + μ nf T u z 2 + μ hnf T K ( u 2 + w 2 ) + R D B T T z C z + R D B C C z 2 .

The non-dimensional entropy rate N G becomes

(18) N G = k hnf k f + 4 3 Rd θ 2 + Br Re r F 2 + Br K ( F 2 + H 2 ) + L θ ϕ + L θ w θ ϕ 2 ,

with Br = μ nf Ω v f k nf β 2 r 4 , Re r = Ω r 2 υ f , N G = S ̇ G k nf T 2 Ω v f β 2 r 4 , and L = R D B k nf .

The Bejan number is demonstrated as

(19) Be = k hnf k f + 4 3 Rd θ / 2 k hnf k f + 4 3 Rd θ 2 + Br Re r F 2 + Br K ( F 2 + H 2 ) + L θ ϕ + L θ w θ ϕ 2 .

2.2 Improved thermophysical properties due to interfacial nanolayer

Schwartz et al. [63,64,65] have shown the thermal conductivity by using Maxwell model

(20) k improve = [ 2 ( 1 γ ) + ( 1 β ) 3 ( 1 + 2 γ ) ] γ ( 1 β ) 3 ( 1 + 2 γ ) ( 1 γ ) k p ,

where γ = k layer / k p is the ratio between the nanolayer thermal conductivity ( k layer ) and NP thermal conductivity ( k p ). Yu and Choi [39,66] have used a renovated Maxwell model and showed that the improved volume fraction of the NPs ϕ improve can be written as ϕ improve = ϕ ( 1 + β ) 3 for the radius of the NP r p and ratio β = t / r p with encompassing nanolayer thickness t and improved the Maxwell model as follows:

(21) k improve = k p + 2 k f + 2 ( k p k f ) ( 1 + β ) 3 ϕ k p + 2 k f ( k p k f ) ( 1 + β ) 3 ϕ k f .

Later, Leong et al. [66] and Xie et al. [67] modified the thermal conductivity of the NF with the engagement of the interfacial nanolayer thickness of the NPs. All the above works are based on the concept of the NF. Jiang et al. [34] showed the role of the interfacial nanolayer and its influence on upgrading the thermal conductivity of the CNT-based NF. This concept was further extended for the HNF, and the thermophysical features of the NPs improved with the influence of the interfacial nanolayer. Because of the appearance of the interfacial nanolayers, an upgrade in NP and volume fraction is observed [50,68].

(22) ϕ 1 = ( 1 + I MWCNT ) 2 ϕ MWCNT , ϕ 2 = ( 1 + I MoS 2 ) 2 ϕ MoS 2 ,

where ϕ 1 , ϕ 2 are the updated volume fractions, and ϕ MWCNT , ϕ MoS 2 are the initial volume fractions with the interfacial ratio parameter I MWCNT , ϕ MoS 2 described by the proportion of the width of the nanolayer to the radius of the NPs for MWCNT and MoS 2 .

Physical parameters are upgraded for the HNF as follows:

(23) μ hnf = μ f ( 1 ϕ MWCNT ) 2.5 ( 1 ϕ MoS 2 ) 2.5 , ρ hnf = ( 1 ϕ MoS 2 ) [ ( 1 ϕ MWCNT ) ρ f + ϕ MWCNT ρ MWCNT ] + ϕ MoS 2 ρ MoS 2 , ( ρ c p ) hnf = ( 1 ϕ MoS 2 ) [ ( 1 ϕ MWCNT ) ( ρ c p ) f + ϕ MWCNT ( ρ c p ) MWCNT ] + ϕ MoS 2 ( ρ c p ) MoS 2 , σ hnf = ( 1 ϕ MoS 2 ) [ ( 1 ϕ MWCNT ) σ f + ϕ MWCNT σ MWCNT ] + ϕ MoS 2 σ MoS 2 , ( ρ β ) hnf = ( 1 ϕ MoS 2 ) [ ( 1 ϕ MWCNT ) ( ρ β ) f + ϕ MWCNT ( ρ β ) MWCNT ] + ϕ MoS 2 ( ρ β ) MoS 2 .

Thermal conductivity of MWCNT ( ζ 1 ) and M o S 2 ( ζ 2 ) improved as follows:

(24) ζ MWCNT = ( 1 + I MWCNT ) k MWCNT k f I M W C N T k f × ln ( 1 + I MWCNT ) ln [ ( 1 + I MWCNT ) k MWCNT / k f ] , ζ MoS 2 = ( 1 + I MoS 2 ) k MoS 2 k f I MoS 2 k f ln ( 1 + I MoS 2 ) ln [ ( 1 + I MoS 2 ) k MoS 2 / k f ] ,

which further improved the composite thermal conductivity of MWCNT ( τ MWCNT ) and MoS 2 ( τ MoS 2 ) as follows:

(25) τ MWCNT = 2 k MWCNT + [ ( 1 + I MWCNT ) 2 1 ] ( k MWCNT + ζ MWCNT ) 2 ζ MWCNT + [ ( 1 + I MWCNT ) 2 1 ] ( k MWCNT + ζ MWCNT ) × ζ MWCNT , τ MoS 2 = 2 k MoS 2 + [ ( 1 + I MoS 2 ) 2 1 ] ( k MoS 2 + ζ MoS 2 ) 2 ζ MoS 2 + [ ( 1 + I MoS 2 ) 2 1 ] ( k MoS 2 + ζ MoS 2 ) ζ MoS 2 ,

where k MWCNT , k MoS 2 and k f are the original thermal conductivities of MWCNT, MoS 2 , and base fluid blood.

By employing the properties of revised composite NPs, the effective thermal conductivity of HNF is as follows [57]:

(26) k hnf = τ MoS 2 + ( n 1 ) k nf + ( n 1 ) ( τ MoS 2 k nf ) φ MoS 2 τ MoS 2 + ( n 1 ) k nf ( τ MoS 2 k nf ) φ MoS 2 k nf ,

with

k nf = τ MWCNT + ( n 1 ) k f + ( n 1 ) ( τ MWCNT k f ) φ MWCNT τ MWCNT + ( n 1 ) k f ( τ MWCNT k f ) φ MWCNT k f .

3 Methodology

The mathematical approach of the Galerkin finite element scheme is concerned with resolving the reduced leading Eqs. (7)–(10) with the help of Eq. (11). Some major steps for G-FEM solutions include the conversion of partial differential equations into sets of ordinary differential equations and the formation of residuals.

Step 1:

By breaking the problem domain down into its component parts, the subdomains are acquired. Instead of providing an approximate solution across the entire domain, the discretisation of the elements provides an approximation solution over each element, and the approximation solution is seen as a linear polynomial. Weighted residuals are derived as follows:

(27) η e η e + 1 w 1 [ F H ] d η = 0 ,

(28) η e η e + 1 w 2 1 ε 1 ε 2 ( 2 H λ F ) F 2 + H 2 + ( 1 + Fr ) H 2 + ε 4 MF d η = 0 ,

(29) η e η e + 1 w 3 1 Pr k hnf k f + 4 3 Rd θ + Rd Pr { 3 ( θ w 1 ) ( ( θ w 1 ) θ + 1 ) 2 θ + θ ( 1 + ( θ w 1 ) ) 3 } 2 2 ε 3 ( F θ + θ H ) + Q T θ exp ( n η ) + 1 ε 1 Ec H 2 d η = 0 ,

(30) η e η e + 1 w 4 1 Sc ϕ + 2 F ϕ + H ϕ K 1 1 + 1 θ w n exp E 1 1 + θ w d η = 0 .

Step 2:

The orthogonal nodal basis with the Kronecker delta property serves as the foundation for the shape functions. The product of shape functions yields the approximate solution. Here we employ the linear shape functions.

Step 3:

In order to establish stiffness elements and a global stiffness matrix, this numerical scheme is calculated. Stiffness elements are given by

(31) K ij 11 = d ψ j d η ψ i , b i 1 = 0 , K i j 12 = ( ψ i ψ j ) d η , K i j 13 = 0 , K i j 14 = 0 ,

(32) K i j 22 = 1 ε 1 ε 2 2 ψ i d ψ i d η λ F F 2 + H ψ i ψ j + ( 1 + Fr ) ( ψ i ψ j ) 2 + ε 4 MF d η ,

(33) b i 2 = 0 , K i j 23 = [ λ N ψ i ψ j ] d η , K i j 24 = [ λ M ψ i ψ j ] d η ,

(34) b i 3 = 0 , K i j 31 = 0 , K i j 32 = 0 , K i j 33 = 1 Pr k hnf k f + 4 3 Rd d ψ i d η d ψ j d η + Rd Pr 3 ( θ w 1 ) ( ( θ w 1 ) ψ i ψ j + 1 ) 2 d ψ j d η ψ i + d ψ i d η d ψ j d η ( 1 + ( θ w 1 ) ) 3 2 2 ε 3 F ψ i ψ j + d ψ j d η ψ i H + Q T ψ i ψ j exp ( n η ) + 1 ε 1 Ec H 2 d η ,

K i j 34 = 1 ε 1 Ec H 2 , b i 4 = 0 , K i j 41 = 0 , K i j 42 = 0 ,

(35) K i j 43 = K 1 1 + 1 θ w n exp E 1 1 + θ w d η , K i j 44 = 1 Sc d ψ i d η d ψ j d η + 2 F d ψ j d η ψ i + H ψ i ψ j K 1 1 + 1 θ w n exp E 1 1 + θ w d η .

Step 4:

Global stiffness matrix is obtained with the help of the assembly process. With the help of Picard’s linearisation approach, the nonlinear equations are formed. The convergence analysis is done. Nonlinear equations are simulated through the computational tolerance ( 10 5 ) with the criteria x i + 1 x i x i 10 5 .

4 Results and discussion

The thermophysical properties of the nanoparticles and base fluid are given in Table 1. A flow map of the solution process has been explained in Figure 2. The induction of the different significant features on velocity, temperature, and concentration along with such physical quantities as skin friction, Nusselt number, and Sherwood number has been exhibited through graphs. Further, the consequences of different factors on the entropy with Bejan number are revealed via graphs. The overall results of the parameter are taken as M = 2, K = 0.5, Rd = 1.0, M a = 0.3, E c = 0.5, F r = 0.5, Q T = 0.2, Pr = 7, θ w = 0.9, Sc = 10, K 1 = 1.2, E 1 = 1.5, and Br = 0.3.

Figure 2 
               The flow chart of the solution procedure.
Figure 2

The flow chart of the solution procedure.

4.1 Velocity distribution

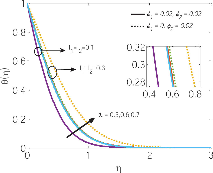
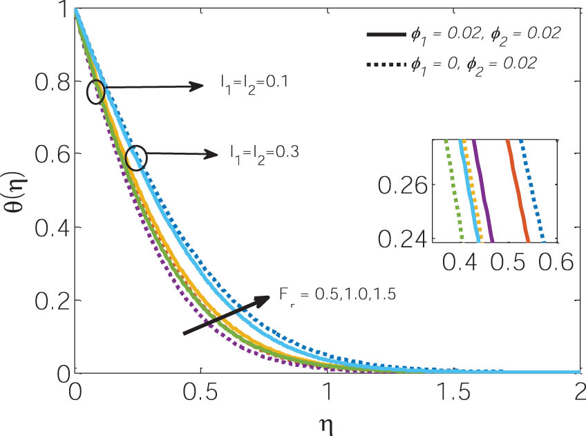
Figure 3 illustrates that the velocity of the HNF diminished with an enhancement in the magnetic parameters. Physically, a Lorentz force is created in the presence of the magnetic field, which opposes the fluid motion. In each case, we made a comparison between the mono NF (NF with a single NP) and the HNF (NF with dual NPs). Also, we have discussed the importance of the interfacial nanolayer thickness of the NPs. In the present problem, we have considered two sets of nanolayer thicknesses, namely, I 1 = I 2 = 0.01 and I 1 = I 2 = 0.03 . The velocity profile observed declined more in the presence of dual NPs in the base fluid than in the presence of a single NP. It may be due to the advanced value in viscosity, which is larger in the presence of dual NPs. Moreover, the velocity slows down with an increase in the width of the interfacial nanolayers of the NPs, which are mainly used during the preparation of NPs. The consequence of the Marangoni parameter on the velocity profiles of both fluids is shown in Figure 4. The Marangoni effect appears due to gradients in surface tension, which add a resistive force to the system, resulting in a reduced velocity as well as a reduced momentum boundary layer thickness. Figure 5 indicates that the velocity profile declined with an improved value of the porosity variable λ . This is due to the fact that the fluid has more room to flow with better performance of the porosity variable, which slows down the velocity at the surface. The outcomes of non-uniform inertia coefficients on the velocity distribution are observed in Figure 6. A decline in velocity distribution is observed with larger values of Fr , when the nonlinear inertia Fr is 1, as opposed to 1.5, which has less impact and reduces the momentum boundary layer thickness for both the nanofluid and HNF. When the velocity decreases, the molecules of the liquid become less active and less rapid due to the presence of K p . A similar observation was found by Ullah [1].

Figure 3 
                  Velocity profile for different M with a comparison of NF and HNF with the impact of interfacial nanolayer thickness.
Figure 3

Velocity profile for different M with a comparison of NF and HNF with the impact of interfacial nanolayer thickness.

Figure 4 
                  Velocity profile for different r* with a comparison of NF and HNF with the impact of interfacial nanolayer thickness.
Figure 4

Velocity profile for different r* with a comparison of NF and HNF with the impact of interfacial nanolayer thickness.

Figure 5 
                  Velocity profile for different λ with a comparison of NF and HNF with the impact of interfacial nanolayer thickness.
Figure 5

Velocity profile for different λ with a comparison of NF and HNF with the impact of interfacial nanolayer thickness.

Figure 6 
                  Velocity profile for different Fr with a comparison of NF and HNF with the impact of interfacial nanolayer thickness.
Figure 6

Velocity profile for different Fr with a comparison of NF and HNF with the impact of interfacial nanolayer thickness.

4.2 Temperature distribution

Figure 7 represents the temperature distribution for different values of Rd , radiation parameter. This indicates that the thermal boundary layer thickness improves with larger values of Rd . Radiation acts as an external source which supplies additional external heat to the system. Physically heat is created within the liquid MWCNT and MoS2due to the presence of σ T 3 . As Rd increases within the range of 0 ≤ Rd ≤ 1, the temperature distribution increases significantly along 0 ≤ η ≤ 2, afterward the temperature of both NF and HNF saturate at zero to follow the boundary condition. A similar phenomenon was observed by Madhukesh et al. [24]. In the temperature profiles, a comparison of the HNF and general NF has been observed. In all figures, it is observed that the presence of the dual NPs in the system generates more heat than the appearance of a single NP, and this is due to the dominant thermal properties of NPs. Hence, a higher temperature is observed in the presence of dual NPs (HNF) than mono NPs (NF). As a result, the thermal boundary layer thickness is larger in the presence of dual NPs than mono NPs in the base fluid blood. Also, a comparison was made with the thickness of the interfacial nanolayers for each graph. It was observed that an expansion in the interfacial nanolayer thickness of the NPs restricted the temperature at the surface and simultaneously in the system. Figure 8 illustrates how the magnetic field coefficient M affects the temperature distribution. From the figure, it is noticeable that with enhanced values of M , the temperature rises substantially in the wall and surrounding area. It is observed from Figure 9 that an improvement in the heat generation parameter enhances the thermal boundary layer thickness of the system. It is because, with a rise in heat generation, the consistent forces diminish with improved molecular thermal activity. Figure 10 shows that the temperature increased with an increase in the value of Ec . A comparable feature was supported by the work of Mahanthesh et al. [4] for the temperature profile as a function of Ec . An impact of the porosity variable λ on the temperature profile is observed in Figure 11, which improves the temperature of the system with higher λ . The fluid finds more room in the system with better values of λ , which boosts the temperature and increases the thermal boundary layer thickness. It further implies that higher values of λ (within the range of 0 ≤ λ ≤ 1) significantly enhances the temperature profile. The molecules of the liquid become more active and more rapid due to the presence of K p , which enriches the temperature at the surface and within boundary layer. Figure 12 shows the variation in the non-uniform inertia coefficient Fr on the temperature distribution. The consequence of the inertia increased with an increase in the non-uniform flow, which supports an improvement in the temperature profile. Hence, with a rise in the values of Fr , thermal boundary layer thickness increases.

Figure 7 
                  Temperature profile for different Rd with a comparison of NF and HNF with the impact of interfacial nanolayer thickness.
Figure 7

Temperature profile for different Rd with a comparison of NF and HNF with the impact of interfacial nanolayer thickness.

Figure 8 
                  Temperature profile for different M with a comparison of NF and HNF with the impact of interfacial nanolayer thickness.
Figure 8

Temperature profile for different M with a comparison of NF and HNF with the impact of interfacial nanolayer thickness.

Figure 9 
                  Temperature profile for different Q
                     T with a comparison of NF and HNF with the impact of interfacial nanolayer thickness.
Figure 9

Temperature profile for different Q T with a comparison of NF and HNF with the impact of interfacial nanolayer thickness.

Figure 10 
                  Temperature profile for different Ec with a comparison of NF and HNF with the impact of interfacial nanolayer thickness.
Figure 10

Temperature profile for different Ec with a comparison of NF and HNF with the impact of interfacial nanolayer thickness.

Figure 11 
                  Temperature profile for different λ with a comparison of NF and HNF with the impact of interfacial nanolayer thickness.
Figure 11

Temperature profile for different λ with a comparison of NF and HNF with the impact of interfacial nanolayer thickness.

Figure 12 
                  Temperature profile for different Fr with a comparison of NF and HNF with the impact of interfacial nanolayer thickness.
Figure 12

Temperature profile for different Fr with a comparison of NF and HNF with the impact of interfacial nanolayer thickness.

4.3 Concentration profile

The result of the Schmidt number Sc on the concentration profiles is displayed in Figure 13. It is observed that a higher value of Schmidt number restricts the concentration profile. Physically, Sc represents the ratio of momentum diffusivity ( v f ) to mass diffusivity ( D B ). With an increase in Sc , it reduces the mass diffusivity D B and simultaneously reduces the solute boundary layer thickness. A comparison of the NFs and HNFs is observed in all the graphs with the thickness of the interfacial nanolayer of the NPs. It is observed that the concertation of the solute was higher for the HNF than the nanofluid, while the difference was not that significant. However, an increase in the thickness of the interfacial nanolayer of the NPs restricts the solute concentration and controls the solute boundary layer thickness. Figure 14 demonstrates that the advanced outcomes of the chemical reaction parameter K 1 restrict the concentration profile close to the boundary layer and suppress the concentration boundary layer thickness. With advanced values of activation energy E 1 , the concentration profile inclines, which supports the solutal boundary layer thickness (Figure 15).

Figure 13 
                  Concentration profile for different Sc with a comparison of NF and HNF with the impact of interfacial nanolayer thickness.
Figure 13

Concentration profile for different Sc with a comparison of NF and HNF with the impact of interfacial nanolayer thickness.

Figure 14 
                  Concentration profile for different K
                     1 with a comparison of NF and HNF with the impact of interfacial nanolayer thickness.
Figure 14

Concentration profile for different K 1 with a comparison of NF and HNF with the impact of interfacial nanolayer thickness.

Figure 15 
                  Concentration profile for different E
                     1 with a comparison of NF and HNF with the impact of interfacial nanolayer thickness.
Figure 15

Concentration profile for different E 1 with a comparison of NF and HNF with the impact of interfacial nanolayer thickness.

4.4 Skin friction and Nusselt number profile

Figure 16 demonstrates the skin friction profile ( C fr ) for M and λ . The skin friction profile improves with higher values of M , while it shows an opposite feature with higher λ . It is due to that the magnetic parameter produces Lorentz force which enhanced the internal friction between the fluid molecules which significantly support the skin friction. Porosity parameters oppose the enhancement of the skin friction at the surface while the variation is not highly significant as the magnetic parameters. Figure 17 demonstrates the Nusselt number Nu r profile that varies with Ec and Br . Eckert number Ec increases the temperature of the system due to the introduction of the viscous dissipation and thus reduces the heat transport rate. A comparable trend is observed for the Brinkman number, which reduces the heat transfer rate due to the introduction of Joule heating. Impact of Q T and θ w on the local Nusselt number Nu r is demonstrated in Figure 18. Parameters for heat generation and the local Nusselt number are increased by Q T , and this is verified by the temperature ratio θ w . Figure 19 illustrates the Sherwood number profile that varies with Sc and K 1 . With the increasing values of S c and K 1 , the Sherwood number profile is augmented. The Sherwood number profile is enhanced by the rising values of Sc and K 1 because an increase in the chemical reaction parameter increases the fluid particles' internal conductive resistance. Figure 20 illustrates the Sherwood number profile that varies with E 1 and K 1 . With the increasing values of E 1 and K 1 , the Sherwood number profile is declined. The internal conductive resistance between the fluid particles is disrupted by the increase in activation energy, which causes the Sherwood number profile to decrease as E 1 and K 1 values rise.

Figure 16 
                  Skin friction profile varies with M and λ.
Figure 16

Skin friction profile varies with M and λ.

Figure 17 
                  Nusselt number profile varies with Br and Ec.
Figure 17

Nusselt number profile varies with Br and Ec.

Figure 18 
                  Nusselt number profile varies with θw and QT.
Figure 18

Nusselt number profile varies with θw and QT.

Figure 19 
                  Sherwood number profile varies with Sc and K
                     1.
Figure 19

Sherwood number profile varies with Sc and K 1.

Figure 20 
                  Sherwood number profile varies with K1 and E1.
Figure 20

Sherwood number profile varies with K1 and E1.

4.5 Entropy generation

Figure 21 shows that entropy declines with higher values of the permeability parameter K. Entropy helps to observe the irreversibility of the system, which also deals with the heat loss of the system. With higher permeability, the intermolecular force between NPs gets slower. This nature is supported by the reduction in entropy. A comparison of the NF and HNF with the thickness of the nanolayers on the entropy and Bejan number has been displayed in each graph. The entropy was observed higher for the HNF than the NF. It is due to the presence of dual NPs, which generate more entropy in the system than mono NPs. A rise in the thickness of the interfacial nanolayer of the NP restricts the entropy of the system. A similar effect has been found for the Brinkman number (Figure 22). The Bejan number is inversely related to the total entropy of the system, and hence, an inverse trend is observed for the Bejan number (Figures 23 and 24).

Figure 21 
                  Entropy for different K with a comparison of NF and HNF with the impact of interfacial nanolayer thickness.
Figure 21

Entropy for different K with a comparison of NF and HNF with the impact of interfacial nanolayer thickness.

Figure 22 
                  Entropy for different Br with a comparison of NF and HNF with the impact of interfacial nanolayer thickness.
Figure 22

Entropy for different Br with a comparison of NF and HNF with the impact of interfacial nanolayer thickness.

Figure 23 
                  Bejan number for different K with a comparison of NF and HNF with the impact of interfacial nanolayer thickness.
Figure 23

Bejan number for different K with a comparison of NF and HNF with the impact of interfacial nanolayer thickness.

Figure 24 
                  Bejan number for different Br with a comparison of NF and HNF with the impact of interfacial nanolayer thickness.
Figure 24

Bejan number for different Br with a comparison of NF and HNF with the impact of interfacial nanolayer thickness.

5 Validation

Our results related with that of Manzoor et al. [3] for f ( 0 ) and θ ( 0 ) with certain conditions as noted in Tables 2 and 3, respectively. Their results show phenomenal promise, and this gives us confidence in our numerical method and conclusions.

Table 1

Thermophysical properties of the nanoparticles and base fluid

ρ ( kg / m 3 ) c p ( J / kg K ) k ( W / mK ) β ( K 1 ) σ ( Ω 1 m 1 )
Blood 1,050 3617 0.52 0.18 × 10 5 0.8
MWCNT 1,600 796 3,000 2 × 10 5 1 × 10 7
MoS2 5,060 397.21 904.4 2.8424 × 10 5 2.09 × 10 4
Table 2

Comparison values of f ( 0 ) for different values of Fr with Manzoor et al. [3] for ϕ 1 = ϕ 2 = λ = M = 0

Fr = 0.5 Fr = 1.0 Fr = 1.5
Manzoor et al. [3] 0.241051 0.346591 0.462376
Present 0.241055 0.346594 0.462378
Table 3

Comparison of heat transfer rate θ ( 0 ) with Manzoor et al. [3] for ϕ 1 = ϕ 2 = E c = Q T = Pr = 0

Rd Manzoor et al. [3] Present result
0.2 0.1968238 0.1968348
0.4 0.2401226 0.2401312
0.6 0.3365645 0.3365857

6 Conclusion

In the current study, the thermal Marangoni convection flows in a steady Darcy-Forchheimer flow of nanomaterials are investigated with the effects of interfacial nanolayers. The entropy and Bejan number were also evaluated to display the system’s irreversibility. It has been utilised to resolve the leading equations using the finite element method. Each graph shows the impact of the ratio of I 1  and  I 2 nanolayers on temperature and velocity for various parameters. The tables also display the outcome of several parameters that fluctuate with HNF and NF that depend upon the outcomes of skin friction and heat transfer with the impact of the ratio of the nanolayers. A comparison was made with the ratio of nanolayers I 1 , I 2 , and between HNFs and NFs in each graph. Some of the major outcomes are as follows:

  • Velocity profiles increase with Rd , λ and decrease with r , Q T , M , Fr .

  • The temperature profiles increase with Rd , M , Q T , Ec , λ , Fr .

  • The concentration profiles increase with E 1 and decrease with Sc , K 1 .

  • The study of skin friction analysis improves with higher outcomes of M and λ .

  • The heat transfer rate increases with better outcomes of θ w and Q T , while decrease with better outcomes of Br and Ec .

  • Physically heat is created by thermal radiation within the liquid, which enhanced the heat transfer rate.

  • The mass transfer lessened with higher outcomes of K 1 , E 1 , and Sc .

This study can be helpful to understand the impact of the interfacial nanolayer on Marangoni bio-HNF flow over a rotating disk. In the future, we may extend this research by applying the heat transfer properties of ternary HNFs by applying three different types of NPs in the base fluid over any geometry, as this has potential industrial applications. Outcomes of the present study will be very helpful in several industries, including biosensors, nano- and microelectronics, atomic reactors, and medical tools, where Marangoni convection plays an important role in the presence of bio-HNF and further processing thermal control with the interfacial nanolayer thickness of the NPs.

Acknowledgments

Researchers Supporting Project number (RSPD2023R576), King Saud University, Riyadh, Saudi Arabia.

  1. Funding information: This work was supported by Researchers Supporting Project number (RSPD2023R576), King Saud University, Riyadh, Saudi Arabia.

  2. Author contributions: The authors equally conceived of the study, participated in its design and coordination, drafted the manuscript, participated in the sequence alignment, and read and approved the final manuscript. All authors have read and agreed to the published version of the manuscript.

  3. Conflict of interest: The authors state no conflict of interest.

References

[1] Ullah I. Heat transfer enhancement in Marangoni convection and nonlinear radiative flow of gasoline oil conveying Boehmite alumina and aluminum alloy nanoparticles. Int Comm Heat Mass Trans. 2022;132:105920.10.1016/j.icheatmasstransfer.2022.105920Search in Google Scholar

[2] Khan MI, Qayyum S, Shah F, Kumar RN, Gowda RP, Prasannakumara BC, et al. Marangoni convective flow of hybrid nanofluid (MnZnFe2O4-NiZnFe2O4-H2O) with Darcy-Forchheimer medium. Ain Shams Eng J. 2021;12(4):3931–8.10.1016/j.asej.2021.01.028Search in Google Scholar

[3] Manzoor U, Muhammad T, Farooq U, Waqas H. Investigation of thermal stratification and nonlinier thermal radiation in Darcy-Forchheimer transport of hybrid nanofluid by rotating disk with Marangoni convection. Int J Ambient Energy. 2022;43:6724–31.10.1080/01430750.2021.2023040Search in Google Scholar

[4] Mahanthesh B, Gireesha BJ, Shashikumar NS, Shehzad SA. Marangoni convective MHD flow of SWCNT and MWCNT nano liquids due to a disk with solar radiation and irregular heat source. Physica E. 2017;94:25–30.10.1016/j.physe.2017.07.011Search in Google Scholar

[5] Hayat T, Khan MI, Farooq M, Alsaedi A, Yasmeen T. Impact of Marangoni convection in the flow of carbon–water nanofluid with thermal radiation. Int J Heat Mass Trans. 2017;106:810–5.10.1016/j.ijheatmasstransfer.2016.08.115Search in Google Scholar

[6] Lin Y, Li B, Zheng L, Chen G. Particle shape and radiation effects on Marangoni boundary layer flow and heat transfer of copper-water nanofluid driven by an exponential temperature. Powder Technol 2016;301:379–86.10.1016/j.powtec.2016.06.029Search in Google Scholar

[7] Zhang J, Sekimoto A, Okano Y, Dost S. Numerical simulation of thermal-solutal Marangoni convection in a shallow rectangular cavity with mutually perpendicular temperature and concentration gradients. Phys Fluids. 2020;32:102108.10.1063/5.0026080Search in Google Scholar

[8] Sheikholeslami M, Chamkha AJ. Influence of Lorentz forces on nanofluid forced convection considering Marangoni convection. J Mol Liq. 2017;225:750–7.10.1016/j.molliq.2016.11.001Search in Google Scholar

[9] Shaw S, Mahanta G, Das M. Thermal and solutal Marangoni stagnation point Casson fluid flow over a stretching sheet in the presence of radiation, Soret and Dufour effect with chemical reaction. Heat Trans Asian Res. 2019;48:323–42.10.1002/htj.21386Search in Google Scholar

[10] Mahanta G, Das M, Shaw S, Mahala BK. MHD double‐diffusive thermosolutal Marangoni convection non‐Newtonian Casson fluid flow over a permeable stretchable sheet. Heat Trans. 2020;49:1788–807.10.1002/htj.21691Search in Google Scholar

[11] Mousavi SB, Heris SZ. Experimental investigation of ZnO nanoparticles effects on thermophysical and tribological properties of diesel oil. Int J Hydrogen Ener. 2020;45:23603–14.10.1016/j.ijhydene.2020.05.259Search in Google Scholar

[12] Makinde OD, Aziz A. Boundary layer flow of a nanofluid past a stretching sheet with a convective boundary condition. Int J Ther Sci. 2011;50:1326–32.10.1016/j.ijthermalsci.2011.02.019Search in Google Scholar

[13] Ramya D, Raju RS, Rao JA, Chamkha AJ. Effects of velocity and thermal wall slip on magnetohydrodynamics (MHD) boundary layer viscous flow and heat transfer of a nanofluid over a non-linearly-stretching sheet: a numerical study. Prop Power Res. 2018;7:182–95.10.1016/j.jppr.2018.04.003Search in Google Scholar

[14] Choudhury R, Das SK. Visco-elastic MHD free convective flow through porous media in presence of radiation and chemical reaction with heat and mass transfer. J Appl Fluid Mech. 2014;7:603–9.10.36884/jafm.7.04.20307Search in Google Scholar

[15] Abdulrahman A, Gamaoun F, Kumar RV, Khan U, Gill HS, Nagaraja KV, et al. Study of thermal variation in a longitudinal exponential porous fin wetted with TiO2− SiO2/hexanol hybrid nanofluid using hybrid residual power series method. Case Stud Ther Eng. 2023;43:102777.10.1016/j.csite.2023.102777Search in Google Scholar

[16] Yan SR, Kalbasi R, Nguyen Q, Karimipour A. Rheological behaviour of hybrid MWCNTs-TiO2/EG nanofluid: a comprehensive modelling and experimental study. J Mol Liq. 2020;308:113058.10.1016/j.molliq.2020.113058Search in Google Scholar

[17] Varun Kumar RS, Alhadhrami A, Punith Gowda RJ, Naveen Kumar R, Prasannakumara BC. Exploration of Arrhenius activation energy on hybrid nanofluid flow over a curved stretchable surface. ZAMM. 2021;101(12):e202100035.10.1002/zamm.202100035Search in Google Scholar

[18] Mahanta G, Mohanta S, Mohanty D. Stability and convergence analysis of casson-nano fluid flow is heated non-linearly with viscous dissipation with convective boundary conditions. Int J Appl Eng Res. 2022;17:290–8.10.37622/IJAER/17.3.2022.290-298Search in Google Scholar

[19] Xiong Q, Bozorg MV, Doranehgard MH, Hong K, Lorenzini GA. CFD investigation of the effect of non-Newtonian behaviour of Cu–water nanofluids on their heat transfer and flow friction characteristics. J Ther Anal Calo. 2020;139:2601–21.10.1007/s10973-019-08757-wSearch in Google Scholar

[20] Abbas F, Ali HM, Shah TR, Babar H, Janjua MM, Sajjad U, et al. Nanofluid: Potential evaluation in automotive radiator. J Mol Liq. 2020;297:112014.10.1016/j.molliq.2019.112014Search in Google Scholar

[21] Babar H, Ali HM. Towards hybrid nanofluids: preparation, thermophysical properties, applications, and challenges. J Mol Liq. 2019;281:598–633.10.1016/j.molliq.2019.02.102Search in Google Scholar

[22] Ghalambaz M, Roşca NC, Roşca AV, Pop I. Mixed convection and stability analysis of stagnation-point boundary layer flow and heat transfer of hybrid nanofluids over a vertical plate. Int J Numer Methods Heat Fluid Flow. 2019;30:3737–54.10.1108/HFF-08-2019-0661Search in Google Scholar

[23] Kumar V, Madhukesh JK, Jyothi AM, Prasannakumara BC, Khan MI, Chu YM. Analysis of single and multi-wall carbon nanotubes (SWCNT/MWCNT) in the flow of Maxwell nanofluid with the impact of magnetic dipole. Comp TheorChem. 2021;1200:113223.10.1016/j.comptc.2021.113223Search in Google Scholar

[24] Madhukesh JK, Prasannakumara BC, Kumar RSV, Rauf A, Shehzad SA. Flow of hydromagnetic micropolar-Casson nanofluid over porous disks influenced by Cattaneo-Christov theory and slip effects. J Porous Media. 2022;25(3):35–49.10.1615/JPorMedia.2021039254Search in Google Scholar

[25] Javed MF, Khan MI, Khan NB, Muhammad R, Rehman MU, Khan SW, et al. Axisymmetric flow of Casson fluid by a swirling cylinder. Results Phys. 2018;9:1250–5.10.1016/j.rinp.2018.04.015Search in Google Scholar

[26] Ellahi R, Sait SM, Shehzad N, Ayaz Z. A hybrid investigation on numerical and analytical solutions of electro-magnetohydrodynamics flow of nanofluid through porous media with entropy generation. Int J Numer Meth Heat Fluid Flow. 2019;30(2):834–54.10.1108/HFF-06-2019-0506Search in Google Scholar

[27] Dalir N, Dehsara M, Nourazar SS. Entropy analysis for magnetohydrodynamic flow and heat transfer of a Jeffrey nanofluid over a stretching sheet. Energy. 2015;79:351–62.10.1016/j.energy.2014.11.021Search in Google Scholar

[28] Shah Z, Sheikholeslami M, Kumam P. Influence of nanoparticles inclusion into water on convective magnetohydrodynamic flow with heat transfer and entropy generation through permeable domain. Case Stud Ther Eng. 2020;21:100732.10.1016/j.csite.2020.100732Search in Google Scholar

[29] Raja MAZ, Tabassum R, El-Zahar ER, Shoaib M, Khan MI, Malik MY, et al. Intelligent computing through neural networks for entropy generation in MHD third-grade nanofluid under chemical reaction and viscous dissipation. Waves Random Comp Media. 2022;32:1–25.10.1080/17455030.2022.2044095Search in Google Scholar

[30] Qasim M, Afridi MI. Effects of energy dissipation and variable thermal conductivity on entropy generation rate in mixed convection flow. J Thermal Sci Eng Appl. 2018;10:044501.10.1115/1.4038703Search in Google Scholar

[31] Mahdavi M, Saffar-Avval M, Tiari S, Mansoori Z. Entropy generation and heat transfer numerical analysis in pipes partially filled with porous medium. Int J Heat Mass Trans. 2014;79:496–506.10.1016/j.ijheatmasstransfer.2014.08.037Search in Google Scholar

[32] Khan MI, Khan TA, Qayyum S, Hayat T, Khan MI, Alsaedi A. Entropy generation optimization and activation energy in nonlinear mixed convection flow of a tangent hyperbolic nanofluid. Eur Phys J Plus. 2018;133:329.10.1140/epjp/i2018-12093-ySearch in Google Scholar

[33] Khan MI, Ullah S, Hayat T, Waqas M, Khan MI, Alsaedi A. Salient aspects of entropy generation optimization in mixed convection nanomaterial flow Int. J Heat Mass Trans. 2018;126:1337–46.10.1016/j.ijheatmasstransfer.2018.05.168Search in Google Scholar

[34] Jiang HF, Li H, Xu QH. Effective thermal conductivity of nanofluids considering interfacial nano-shells. Mater Chem Phys. 2014;148:195–200.10.1016/j.matchemphys.2014.07.031Search in Google Scholar

[35] Heyhat MM, Rajabpour A, Abbasi M, Arabha S. Importance of nanolayer formation in nanofluid properties: Equilibrium molecular dynamic simulations for Ag-water nanofluid. J Mol Liq. 2018;264:699–705.10.1016/j.molliq.2018.05.122Search in Google Scholar

[36] Mitiche I, Lamrous O, Makhlouf S. Effect of the interface layer vibration modes in enhancing thermal conductivity of nanofluids. Phys Rev E. 2019;100(4):042120.10.1103/PhysRevE.100.042120Search in Google Scholar PubMed

[37] Chen JH, Han K, Wang S. Investigation of enhanced thermal properties of Cu Ar nanofluids by reverse non equilibrium molecular dynamics method. Powder Technol. 2019;356:559–65.10.1016/j.powtec.2019.08.051Search in Google Scholar

[38] Zeroual S, Loulijat H, Achehal E. Viscosity of Ar-Cu nanofluids by molecular dynamics simulations: effects of nanoparticle content, temperature and potential interaction. J Mol Liq. 2018;268:490–6.10.1016/j.molliq.2018.07.090Search in Google Scholar

[39] Yu W, Choi S. The Role of Interfacial Layers in the Enhanced Thermal Conductivity of Nanofluids: A Renovated Maxwell Model. J Nanoparticle Res. 2003;5:167–71.10.1023/A:1024438603801Search in Google Scholar

[40] Henderson JR, Van Swol F. On the interface between a fluid and a planar wall. Mol Phys. 1984;51:991–1010.10.1080/00268978400100651Search in Google Scholar

[41] Khodayari A, Fasano M, Bigdeli MB, Mohammadnejad S, Chiavazzo E, Asinari P. Effect of interfacial thermal resistance and nanolayer on estimates of effective thermal conductivity of nanofluids. Case Stud Ther Eng. 2018;12:454–61.10.1016/j.csite.2018.06.005Search in Google Scholar

[42] Li Y, Zhai Y, Ma M, Xuan Z, Wang H. Using molecular dynamics simulations to investigate the effect of the interfacial nanolayer structure on enhancing the viscosity and thermal conductivity of nanofluids. Int Comm Heat Mass Trans. 2021;122:105181.10.1016/j.icheatmasstransfer.2021.105181Search in Google Scholar

[43] Gerardi C, Cory D, Buongiorno J, Hu LW, Mckrell T. Nuclear magnetic resonance-based study of ordered layering on the surface of alumina nanoparticles in water. Appl Phys Lett. 2009;95:253104.10.1063/1.3276551Search in Google Scholar

[44] Hu C, Bai M, Lv J, Wang P, Zhang L, Li X. Molecular dynamics simulation of nanofluid’s flow behaviors in the near-wall model and main flow model. Microfluid Nanofluid. 2014;17:581–9.10.1007/s10404-013-1323-5Search in Google Scholar

[45] Li L, Zhang Y, Ma H, Yang M. Molecular dynamics simulation of effect of liquid layering around the nanoparticle on the enhanced thermal conductivity of nanofluids. J Nanoparticle Res. 2010;12:811–21.10.1007/s11051-009-9728-5Search in Google Scholar

[46] Sarkar S, Selvam RP. Molecular dynamics simulation of effective thermal conductivity and study of enhanced thermal transport mechanism in nanofluids. J Appl Phys. 2007;102:074602.10.1063/1.2785009Search in Google Scholar

[47] Fan W, Zhong F. Effects of Macroparameters on the Thickness of an Interfacial Nanolayer of Al2O3− and TiO2−Water-Based Nanofluids. ACS Omega. 2020;5:27972–7.10.1021/acsomega.0c03452Search in Google Scholar PubMed PubMed Central

[48] Gkountas AA, Benos LT, Sofiadis GN, Sarris IE. A printed-circuit heat exchanger consideration by exploiting an Al2O3-water nanofluid: Effect of the nanoparticles interfacial layer on heat transfer. Ther Sci Eng Prog. 2021;22:100818.10.1016/j.tsep.2020.100818Search in Google Scholar

[49] Tillman P, Hill JM. Determination of nanolayer thickness for a nanofluid. Int Comm Heat Mass Trans. 2007;34:399–407.10.1016/j.icheatmasstransfer.2007.01.011Search in Google Scholar

[50] Kumar R, Sharma T, Vajravelu K. Melting heat transport in a mixed convective squeeze flow of a hybrid nanofluid with interfacial nanolayer effects. ZAMM. 2022;103(3):e202200092.10.1002/zamm.202200092Search in Google Scholar

[51] Jiang H, Xu Q, Huang C, Shi L. The role of interfacial nanolayer in the enhanced thermal conductivity of carbon nanotube-based nanofluids. Appl Phys A. 2015;118:197–205.10.1007/s00339-014-8902-5Search in Google Scholar

[52] Zhao C, Cheung CF, Xu P. High-efficiency sub-microscale uncertainty measurement method using pattern recognition. ISA Trans. 2020;101:503–14. 10.1016/j.isatra.2020.01.038.Search in Google Scholar PubMed

[53] Li Z, Wang K, Li W, Yan S, Chen F, Peng S. Analysis of Surface Pressure Pulsation Characteristics of Centrifugal Pump Magnetic Liquid Sealing Film. Front Energy Res. 2022;10:937299. 10.3389/fenrg.2022.937299.Search in Google Scholar

[54] Gowda RP, Kumar RN, Khan U, Prasannakumara BC, Zaib A, Ishak A, et al. Dynamics of nanoparticle diameter and interfacial layer on flow of non-Newtonian (Jeffrey) nanofluid over a convective curved stretching sheet. Int J Modern Phys B. 2022;36(31):2250224.10.1142/S0217979222502241Search in Google Scholar

[55] Chen W, Hou H, Zhang Y, Liu W, Zhao Y. Thermal and solute diffusion in α-Mg dendrite growth of Mg-5wt.%Zn alloy: A phase-field study. J Mater Res Technol. 2023;24:8401–13. 10.1016/j.jmrt.2023.05.024.Search in Google Scholar

[56] Yao H, Sun Z, Liang L, Yan X, Wang Y, Yang M, et al. Hybrid metasurface using graphene/graphitic carbon nitride heterojunctions for ultrasensitive terahertz biosensors with tunable energy band structure. Photon Res. 2023;11(5):858–68. 10.1364/PRJ.482256.Search in Google Scholar

[57] Khan MI, Waqas M, Hayat T, Khan MI, Alsaedi A. Chemically reactive flow of upper-convected Maxwell fluid with Cattaneo–Christov heat flux model. J Braz Soc Mech Sci Eng. 2017;39:4571–8.10.1007/s40430-017-0915-5Search in Google Scholar

[58] Luo Y, Liu J, Yang H, Liu H, Zeng G, Huang B. Enhanced Circular Dichroism by F-Type Chiral Metal Nanostructures. Photonics. 2023;10(9):1028. 10.3390/photonics10091028.Search in Google Scholar

[59] Zhao Q, Liu J, Yang H, Liu H, Zeng G, Huang B. High Birefringence D-Shaped Germanium-Doped Photonic Crystal Fiber Sensor. Micromachines. 2022;13(6):1–10. 10.3390/mi13060826.Search in Google Scholar PubMed PubMed Central

[60] Rehman F, Khan MI, Sadiq M, Malook A. MHD flow of carbon in micropolar nanofluid with convective heat transfer in the rotating frame. J Mol Liq. 2017;231:353–63.10.1016/j.molliq.2017.02.022Search in Google Scholar

[61] Chen J, Wen L, Bi C, Liu Z, Liu X, Yin L, et al. Multifractal analysis of temporal and spatial characteristics of earthquakes in Eurasian seismic belt. Open Geosci. 2023;15(1):20220482. 10.1515/geo-2022-0482.Search in Google Scholar

[62] Yin L, Wang L, Ge L, Tian J, Yin Z, Liu M, et al. Study on the thermospheric density distribution pattern during geomagnetic activity. Appl Sci. 2023;13(9):1–18. 10.3390/app13095564.Search in Google Scholar

[63] Schwartz L, Garboczi EJ, Bentz DP. Interfacial transport in porous media: Application to DC electrical conductivity of mortars. J Appl Phys. 1995;78(10):5898–908.10.1063/1.360591Search in Google Scholar

[64] Yin Z, Liu Z, Liu X, Zheng W, Yin L. Urban heat islands and their effects on thermal comfort in the US: New York and New Jersey. Ecol Indic. 2023;154:110765. 10.1016/j.ecolind.2023.110765.Search in Google Scholar

[65] Yin L, Wang L, Li T, Lu S, Yin Z, Liu X, et al. U-Net-STN: A Novel End-to-End Lake Boundary Prediction Model. Land. 2023;12(8):1602. 10.3390/land12081602.Search in Google Scholar

[66] Leong KC, Yang C, Murshed SMS. A model for the thermal conductivity of nanofluids – effect of interfacial layer. J Nanoparticle Res. 2006;8:245–54.10.1007/s11051-005-9018-9Search in Google Scholar

[67] Xie HQ, Fujii M, Zhang X. Effect of interfacial nanolayer on the effective thermal conductivity of nanoparticle-fluid mixture. Int J Heat Mass Trans. 2005;48:2926–32.10.1016/j.ijheatmasstransfer.2004.10.040Search in Google Scholar

[68] Mohanty D, Sethy N, Mahanta G, Shaw S. Impact of the interfacial nanolayer on Marangoni convective Darcy-Forchheimer hybrid nanofluid flow over an infinite porous disk with Cattaneo-Christov heat flux. Ther Sci Eng Prog. 2023;41:101854.10.1016/j.tsep.2023.101854Search in Google Scholar

Received: 2023-07-11
Revised: 2023-09-03
Accepted: 2023-09-25
Published Online: 2023-10-18

© 2023 the author(s), published by De Gruyter

This work is licensed under the Creative Commons Attribution 4.0 International License.

Articles in the same Issue

  1. Regular Articles
  2. Dynamic properties of the attachment oscillator arising in the nanophysics
  3. Parametric simulation of stagnation point flow of motile microorganism hybrid nanofluid across a circular cylinder with sinusoidal radius
  4. Fractal-fractional advection–diffusion–reaction equations by Ritz approximation approach
  5. Behaviour and onset of low-dimensional chaos with a periodically varying loss in single-mode homogeneously broadened laser
  6. Ammonia gas-sensing behavior of uniform nanostructured PPy film prepared by simple-straightforward in situ chemical vapor oxidation
  7. Analysis of the working mechanism and detection sensitivity of a flash detector
  8. Flat and bent branes with inner structure in two-field mimetic gravity
  9. Heat transfer analysis of the MHD stagnation-point flow of third-grade fluid over a porous sheet with thermal radiation effect: An algorithmic approach
  10. Weighted survival functional entropy and its properties
  11. Bioconvection effect in the Carreau nanofluid with Cattaneo–Christov heat flux using stagnation point flow in the entropy generation: Micromachines level study
  12. Study on the impulse mechanism of optical films formed by laser plasma shock waves
  13. Analysis of sweeping jet and film composite cooling using the decoupled model
  14. Research on the influence of trapezoidal magnetization of bonded magnetic ring on cogging torque
  15. Tripartite entanglement and entanglement transfer in a hybrid cavity magnomechanical system
  16. Compounded Bell-G class of statistical models with applications to COVID-19 and actuarial data
  17. Degradation of Vibrio cholerae from drinking water by the underwater capillary discharge
  18. Multiple Lie symmetry solutions for effects of viscous on magnetohydrodynamic flow and heat transfer in non-Newtonian thin film
  19. Thermal characterization of heat source (sink) on hybridized (Cu–Ag/EG) nanofluid flow via solid stretchable sheet
  20. Optimizing condition monitoring of ball bearings: An integrated approach using decision tree and extreme learning machine for effective decision-making
  21. Study on the inter-porosity transfer rate and producing degree of matrix in fractured-porous gas reservoirs
  22. Interstellar radiation as a Maxwell field: Improved numerical scheme and application to the spectral energy density
  23. Numerical study of hybridized Williamson nanofluid flow with TC4 and Nichrome over an extending surface
  24. Controlling the physical field using the shape function technique
  25. Significance of heat and mass transport in peristaltic flow of Jeffrey material subject to chemical reaction and radiation phenomenon through a tapered channel
  26. Complex dynamics of a sub-quadratic Lorenz-like system
  27. Stability control in a helicoidal spin–orbit-coupled open Bose–Bose mixture
  28. Research on WPD and DBSCAN-L-ISOMAP for circuit fault feature extraction
  29. Simulation for formation process of atomic orbitals by the finite difference time domain method based on the eight-element Dirac equation
  30. A modified power-law model: Properties, estimation, and applications
  31. Bayesian and non-Bayesian estimation of dynamic cumulative residual Tsallis entropy for moment exponential distribution under progressive censored type II
  32. Computational analysis and biomechanical study of Oldroyd-B fluid with homogeneous and heterogeneous reactions through a vertical non-uniform channel
  33. Predictability of machine learning framework in cross-section data
  34. Chaotic characteristics and mixing performance of pseudoplastic fluids in a stirred tank
  35. Isomorphic shut form valuation for quantum field theory and biological population models
  36. Vibration sensitivity minimization of an ultra-stable optical reference cavity based on orthogonal experimental design
  37. Effect of dysprosium on the radiation-shielding features of SiO2–PbO–B2O3 glasses
  38. Asymptotic formulations of anti-plane problems in pre-stressed compressible elastic laminates
  39. A study on soliton, lump solutions to a generalized (3+1)-dimensional Hirota--Satsuma--Ito equation
  40. Tangential electrostatic field at metal surfaces
  41. Bioconvective gyrotactic microorganisms in third-grade nanofluid flow over a Riga surface with stratification: An approach to entropy minimization
  42. Infrared spectroscopy for ageing assessment of insulating oils via dielectric loss factor and interfacial tension
  43. Influence of cationic surfactants on the growth of gypsum crystals
  44. Study on instability mechanism of KCl/PHPA drilling waste fluid
  45. Analytical solutions of the extended Kadomtsev–Petviashvili equation in nonlinear media
  46. A novel compact highly sensitive non-invasive microwave antenna sensor for blood glucose monitoring
  47. Inspection of Couette and pressure-driven Poiseuille entropy-optimized dissipated flow in a suction/injection horizontal channel: Analytical solutions
  48. Conserved vectors and solutions of the two-dimensional potential KP equation
  49. The reciprocal linear effect, a new optical effect of the Sagnac type
  50. Optimal interatomic potentials using modified method of least squares: Optimal form of interatomic potentials
  51. The soliton solutions for stochastic Calogero–Bogoyavlenskii Schiff equation in plasma physics/fluid mechanics
  52. Research on absolute ranging technology of resampling phase comparison method based on FMCW
  53. Analysis of Cu and Zn contents in aluminum alloys by femtosecond laser-ablation spark-induced breakdown spectroscopy
  54. Nonsequential double ionization channels control of CO2 molecules with counter-rotating two-color circularly polarized laser field by laser wavelength
  55. Fractional-order modeling: Analysis of foam drainage and Fisher's equations
  56. Thermo-solutal Marangoni convective Darcy-Forchheimer bio-hybrid nanofluid flow over a permeable disk with activation energy: Analysis of interfacial nanolayer thickness
  57. Investigation on topology-optimized compressor piston by metal additive manufacturing technique: Analytical and numeric computational modeling using finite element analysis in ANSYS
  58. Breast cancer segmentation using a hybrid AttendSeg architecture combined with a gravitational clustering optimization algorithm using mathematical modelling
  59. On the localized and periodic solutions to the time-fractional Klein-Gordan equations: Optimal additive function method and new iterative method
  60. 3D thin-film nanofluid flow with heat transfer on an inclined disc by using HWCM
  61. Numerical study of static pressure on the sonochemistry characteristics of the gas bubble under acoustic excitation
  62. Optimal auxiliary function method for analyzing nonlinear system of coupled Schrödinger–KdV equation with Caputo operator
  63. Analysis of magnetized micropolar fluid subjected to generalized heat-mass transfer theories
  64. Does the Mott problem extend to Geiger counters?
  65. Stability analysis, phase plane analysis, and isolated soliton solution to the LGH equation in mathematical physics
  66. Effects of Joule heating and reaction mechanisms on couple stress fluid flow with peristalsis in the presence of a porous material through an inclined channel
  67. Bayesian and E-Bayesian estimation based on constant-stress partially accelerated life testing for inverted Topp–Leone distribution
  68. Dynamical and physical characteristics of soliton solutions to the (2+1)-dimensional Konopelchenko–Dubrovsky system
  69. Study of fractional variable order COVID-19 environmental transformation model
  70. Sisko nanofluid flow through exponential stretching sheet with swimming of motile gyrotactic microorganisms: An application to nanoengineering
  71. Influence of the regularization scheme in the QCD phase diagram in the PNJL model
  72. Fixed-point theory and numerical analysis of an epidemic model with fractional calculus: Exploring dynamical behavior
  73. Computational analysis of reconstructing current and sag of three-phase overhead line based on the TMR sensor array
  74. Investigation of tripled sine-Gordon equation: Localized modes in multi-stacked long Josephson junctions
  75. High-sensitivity on-chip temperature sensor based on cascaded microring resonators
  76. Pathological study on uncertain numbers and proposed solutions for discrete fuzzy fractional order calculus
  77. Bifurcation, chaotic behavior, and traveling wave solution of stochastic coupled Konno–Oono equation with multiplicative noise in the Stratonovich sense
  78. Thermal radiation and heat generation on three-dimensional Casson fluid motion via porous stretching surface with variable thermal conductivity
  79. Numerical simulation and analysis of Airy's-type equation
  80. A homotopy perturbation method with Elzaki transformation for solving the fractional Biswas–Milovic model
  81. Heat transfer performance of magnetohydrodynamic multiphase nanofluid flow of Cu–Al2O3/H2O over a stretching cylinder
  82. ΛCDM and the principle of equivalence
  83. Axisymmetric stagnation-point flow of non-Newtonian nanomaterial and heat transport over a lubricated surface: Hybrid homotopy analysis method simulations
  84. HAM simulation for bioconvective magnetohydrodynamic flow of Walters-B fluid containing nanoparticles and microorganisms past a stretching sheet with velocity slip and convective conditions
  85. Coupled heat and mass transfer mathematical study for lubricated non-Newtonian nanomaterial conveying oblique stagnation point flow: A comparison of viscous and viscoelastic nanofluid model
  86. Power Topp–Leone exponential negative family of distributions with numerical illustrations to engineering and biological data
  87. Extracting solitary solutions of the nonlinear Kaup–Kupershmidt (KK) equation by analytical method
  88. A case study on the environmental and economic impact of photovoltaic systems in wastewater treatment plants
  89. Application of IoT network for marine wildlife surveillance
  90. Non-similar modeling and numerical simulations of microploar hybrid nanofluid adjacent to isothermal sphere
  91. Joint optimization of two-dimensional warranty period and maintenance strategy considering availability and cost constraints
  92. Numerical investigation of the flow characteristics involving dissipation and slip effects in a convectively nanofluid within a porous medium
  93. Spectral uncertainty analysis of grassland and its camouflage materials based on land-based hyperspectral images
  94. Application of low-altitude wind shear recognition algorithm and laser wind radar in aviation meteorological services
  95. Investigation of different structures of screw extruders on the flow in direct ink writing SiC slurry based on LBM
  96. Harmonic current suppression method of virtual DC motor based on fuzzy sliding mode
  97. Micropolar flow and heat transfer within a permeable channel using the successive linearization method
  98. Different lump k-soliton solutions to (2+1)-dimensional KdV system using Hirota binary Bell polynomials
  99. Investigation of nanomaterials in flow of non-Newtonian liquid toward a stretchable surface
  100. Weak beat frequency extraction method for photon Doppler signal with low signal-to-noise ratio
  101. Electrokinetic energy conversion of nanofluids in porous microtubes with Green’s function
  102. Examining the role of activation energy and convective boundary conditions in nanofluid behavior of Couette-Poiseuille flow
  103. Review Article
  104. Effects of stretching on phase transformation of PVDF and its copolymers: A review
  105. Special Issue on Transport phenomena and thermal analysis in micro/nano-scale structure surfaces - Part IV
  106. Prediction and monitoring model for farmland environmental system using soil sensor and neural network algorithm
  107. Special Issue on Advanced Topics on the Modelling and Assessment of Complicated Physical Phenomena - Part III
  108. Some standard and nonstandard finite difference schemes for a reaction–diffusion–chemotaxis model
  109. Special Issue on Advanced Energy Materials - Part II
  110. Rapid productivity prediction method for frac hits affected wells based on gas reservoir numerical simulation and probability method
  111. Special Issue on Novel Numerical and Analytical Techniques for Fractional Nonlinear Schrodinger Type - Part III
  112. Adomian decomposition method for solution of fourteenth order boundary value problems
  113. New soliton solutions of modified (3+1)-D Wazwaz–Benjamin–Bona–Mahony and (2+1)-D cubic Klein–Gordon equations using first integral method
  114. On traveling wave solutions to Manakov model with variable coefficients
  115. Rational approximation for solving Fredholm integro-differential equations by new algorithm
  116. Special Issue on Predicting pattern alterations in nature - Part I
  117. Modeling the monkeypox infection using the Mittag–Leffler kernel
  118. Spectral analysis of variable-order multi-terms fractional differential equations
  119. Special Issue on Nanomaterial utilization and structural optimization - Part I
  120. Heat treatment and tensile test of 3D-printed parts manufactured at different build orientations
Downloaded on 13.4.2026 from https://www.degruyterbrill.com/document/doi/10.1515/phys-2023-0119/html
Scroll to top button