Home Physical Sciences Computational analysis and biomechanical study of Oldroyd-B fluid with homogeneous and heterogeneous reactions through a vertical non-uniform channel
Article Open Access

Computational analysis and biomechanical study of Oldroyd-B fluid with homogeneous and heterogeneous reactions through a vertical non-uniform channel

  • Wejdan Deebani , Muhammad Rooman , Narcisa Vrinceanu EMAIL logo , Zahir Shah EMAIL logo , Meshal Shutaywi and Roqia Abdullah A. Jeli
Published/Copyright: July 19, 2023

Abstract

Homogeneous and heterogeneous reactions play a decisive role in biological procedures such as burning, polymer creation, ceramic construction, distillation, and catalysis. The magnetic properties of hemoglobin molecules are organic. Magnetic resonance imaging (MRI) and electronic components with an electromagnetic field are now readily available, allowing for the explanation of fundamental biological processes. These ideas form the foundation of an ongoing study that attempts to look into the impact of both homogeneous and heterogeneous reactivity on the peristaltic transport of magnetohydrodynamics Oldroyd-B fluid. When convective and partial sliding conditions are present, the configuration changes to a non-uniform vertical channel. The fundamental partial differential equations are resolved utilizing the Homotopy Analysis Method. Entropy optimization has been carried out. The primary limits entering the problem are investigated, and then a graph is used to show the influences of temperature, velocity, skin fraction, Nusselt number, and pressure increase against mean circulation, trapping phenomena, homogeneous reactions, and heterogeneous way to respond. When magnetic parameter rises, the velocity of Oldroyd-B fluid and Bejan number decrease, while temperature, entropy generation, and pressure gradient increase. The tables show that the skin friction coefficient rises for accumulative values of the Grashof number and magnetic parameter, while the skin friction coefficient drops for rising values of the velocity slip parameter and Reynolds number. The Nusselt number increases for large values of Eckert, Grashof numbers, and magnetic parameters.

Nomenclature

( X ̅ , Y ̅ )

stationary coordinates

( x ̅ , y ̅ )

moving coordinates

( U ̅ , V ̅ )

fixed frames velocity components

( u ̅ , v ̅ )

moving frames velocity components ( m s 1 )

T ̅

dimensional temperature

T ̅ 1

temperature at plates

T ̅ 0

reference temperature

T r

temperature ratio

t

time of fluid flow

a

dimension of the wall

b

amplitude

p

pressure

g 1

acceleration due to gravity

m

non-uniformity parameter

Re

Reynolds number

k

thermal conductivity ( W m 1 K 1 )

k T

thermal diffusivity

Gr

Grashof number

N

Brinkman number

q

volume flow rate in fixed frame

Ec

Eckert number

Mn

magnetic field parameter ( A m 1 )

Sc

Schmidt number

Pr

Prandtl number

B 0

strength of applied magnetic field

M A

homogeneous reaction–diffusion coefficient

M B

heterogeneous reaction–diffusion coefficient

f

dimensionless concentration of homogeneous reaction

g

dimensionless concentration of heterogeneous reaction

k s

strength of heterogeneous chemical reaction

K

strength of homogeneous chemical reaction

Greek symbols

ε

amplitude

λ 1 * , λ 2 *

Oldroyd-B fluid parameters

μ

dynamic viscosity

ν

kinematic viscosity

δ

specific heat at constant volume

ρ

density ( kg m 3 )

λ 1 , λ 2

dimensionless fluid parameters

σ

electrical conductivity

α 2

temperature slip parameter

α 1

velocity slip parameter

α 0

uniform concentration of reactant A

γ

ratio of diffusion coefficient

α ̅

concentration of homogeneous reaction

β ̅

concentration of heterogeneous reaction

1 Introduction

The extensive utilization of fluid flow in physical, biological, and technical organizations has attracted the interest of current researchers, who are really committed to discovering how it performs. A fluid movement known as peristalsis is based on the propagation of a pulse along a tube or channel wall. In the biological, pharmacy, skincare, chemical, and paper industries, peristalsis is a critical element. The peristaltic technique is involved in the movement of ovaries and spermatozoa, as well as other biological processes such as the transportation of foodstuffs and urination. Peristaltic pumps are utilized in a variety of healthcare devices, including open-heart surgery machines, dialysis machines, and medical fusion pumping. Radioactive material should be transported utilizing peristaltic pumping in nuclear power installations to avoid environmental destruction. The initial inquiry into the peristaltic mechanism for urine flow in the ureter was contemplated by Latham [1] while keeping all of these concerns in mind. Fung and Yih [2] made an important involvement to the essential analysis of peristaltic transportation by utilizing a laboratory framework of reference, while Shapiro et al. [3] exploited a wave framework of position. Later, in various hypotheses [4,5,6,7], researchers looked into the Newtonian and non-Newtonian fluids mechanism of peristalsis.

Among the various fluid rate types, the Oldroyd-B fluid has achieved an exclusive status in recent years because the traditional Maxwell and Newtonian fluids are exceptional circumstances of the Oldroyd-B fluid. This model is extremely simple and accurately expresses the viscous and elastic behaviors of the fluid. Fetecau et al. [8] conducted an analytical investigation of the velocity and stress fields of the Oldroyd-B fluid for a continuously moving plate. Tiwana et al. [9] investigated the convective transfer of magnetohydrodynamics (MHD) Oldroyd-B fluid under ramped wall heating, ramped boundary velocity, and a leaky medium. Riaz et al. [10] examined the inspiration of Newtonian heating, as well as slip effects, on the time dependent flow of an Oldroyd-B fluid with MHD effects close to an infinitely vertical plate. Boyko and Stone [11] investigated pressure-driven Oldroyd-B fluid flow in gradually changing arbitrarily formed tapered channels and developed a theoretical structure for manipulating the flow rate–pressure drop relationship. Ibrahim et al. [12] described a mixed convection 3D flow with the Cattaneo–Christov (CC) heat and mass flux model in the context of the Oldroyd-B fluid.

The interplay of peristalsis with heat exchange is essential in cooling processes used in manufacturing and medicines. Heat transfer is currently recognized as a crucial subject of research in the human body, hence such analysis is necessary. Biomedical engineers are interested in bioheat transmission in tissues because of thermotherapy and thermoregulation strategies. With processes including heat transmission via membrane holes induced by arterial–venous blood circulation, heat conductivity in tissues, chondriosome heat production, and incidental contacts increasing electromagnetic waves, heat transfer in tissues is definitely complicated. Destruction of unwelcome melanoma tissues, evaluation of skin irritability, dilution of forensic blood supply, vasodilation, food production, paper making, and surface and air gamma radiation are more examples of heat transfer procedures. Ramesh [13] conducted a thorough exploration into the peristaltic motion of the intrauterine fluid contained by the uterus, taking into account pair stress fluid, the stimulus of porous medium, and heat transfer. He discovered that Newtonian fluid always possesses a lower temperature than a few stress fluids. Zhang et al. [14] examined a pair stress fluid with the transfer of heat and mass by using peristaltic methods to study the fluid and particle phases. When the particle volumetric fraction was increased, it was discovered that the temperature profile dropped. Due to these awareness considerations, numerous researchers have looked into the effect of heat transmission on peristaltic flow issues in various geometries [15,16,17,18,19,20,21].

The conversation on MHD flows is fruitful and interesting, similar to how it is in magnetic wound or cancer tumor therapy, which results in hypothermia and uses magnetic particles like magnetic resonance imaging (MRI) to diagnose the disease. From a biological standpoint, peristaltic transport actually depends heavily on the magnetic field because hemoglobin molecules turn blood into a bio-magnetic stream. The application of magnets to the human body is referred to as magnetotherapy. The magnets might be able to treat numerous intestinal and uterine concerns, as well as ulcers, inflammations, and other ailments. The magnets might be able to treat several intestinal and uterine concerns, as well as ulcers, inflammations, and other ailments. His results were substantially in line with clinical observations that blood arteries close to the walls of the body had higher species concentrations than those near the axis. From an MHD viewpoint, Yasmeen et al. [22] evaluated a Newtonian fluid moving through a spherical, three-dimensional tube. With the addition of a porous substance, Srinivas and Kothandapani [23] and Reddy [24] explored heat and mass transmission in the MHD Newtonian model. In this research, higher medium permeability and weak magnetic parameter values led to an upsurge in fluid velocity. Many researchers have looked into the effect of MHD on fluid flow in various geometries [25,26,27,28,29,30,31,32].

Moreover, the behavior of the walls enclosing viscous fluids in no-slip boundary conditions is idealistic. The no-slip state is adequate because boundary slip happens in the majority of non-Newtonian fluids. Advanced technology employs fluids exhibiting boundary slip for the purpose of cleaning prosthetic hearts and internal tissues. Slip situations usually result in the symptoms of shear skin, hysteresis, and squirt. Numerous scholars have recently investigated the subject of slip boundary conditions in order to gain an understanding of all of these requests [33,34,35,36].

Researchers gleaned a lot of information from investigations into chemical reactions. Fog formation, air pollution, water fibrous insulation, and catalysis are all procedures that need homogeneous–heterogeneous reactions. Many processes such as distillation, ceramic processing, combustion, and biological systems rely on these interactions. A heterogeneous reaction takes place when more than one phase is concerned, while a homogeneous reaction only takes place in a single phase. In the body of second-order velocity slip, homogeneous–heterogeneous processes were scrutinized by Hayat et al. [36] under the assumption of bidirectional nanofluid flow. The Keller box technique is used by Malik et al. [37] to statistically analyze the Williamson fluid flow along a stretching cylinder in the occurrence of homogeneous–heterogeneous processes. By taking into account homogeneous–heterogeneous interactions, Tanveer et al. [38] carefully reviewed the cumulative influence of shear thinning and shear stiffening on heterogeneous convective Sisko fluid peristaltic flow.

Entropy is described as a system’s molecular disorder or unpredictability, which, according to thermodynamics second law, continuously increases during irreversible operations while remaining constant in reversible processes. Entropy analysis, which focuses on entropy generation, investigates the thermodynamic irreversibility owing to several thermal systems connected to the phoneme, such as heat and mass transfer, magnetic field, and viscous heating in the flow stream. Bejan [39] completed a significant involvement study on entropy generation, which is crucial in a variety of industrial procedures such as heat exchangers, solar gatherers, chemical vapor confession devices, burning, turbomachinery electric icing devices, and so on. Blood pressure fluctuation is an important mechanism in the human body. The most significant medical procedure for determining blood pressure is ambulant blood pressure monitoring. In addition, the human body increases blood flow while maintaining continuous blood circulation during any form of physical activity. The human body lessens the temperature by evaporation (sweating), convection, and radiation when the surrounding air is significantly warmer or cooler than the body temperature. Entropy formation is important in analyzing such situations in order to solve the problem. Important advances in entropy formation modeling for dissipative cross materials with quartic autocatalysis were discussed by Khan and Ali [40]. Rashidi et al. [41] studied entropy formation in the peristalsis MHD nanofluid within an absorbent media.

The objective of this study is to simulate and monitor the entropy creation and homogeneous and heterogeneous reactions of MHD peristaltic Oldroyd B fluid flow in a non-uniform vertical channel with sliding qualities. When convective and partial sliding conditions are present, the configuration changes to a non-uniform vertical channel. The fundamental partial differential equations are resolved utilizing the Homotopy Analysis Method (HAM). Entropy optimization has been carried out. This aspect of the research has not yet been discussed. As an alternative, the authors used graphical behavior to clarify the influence of appropriate parameters on physiological quantities under the supervision of measurable criteria.

2 Formulation of a problem

We examined the two-dimensional flow of an electrically directed Oldroyd-B fluid through the walls of an uneven vertical tube. Peristaltic wave trains flowing at a continuous rapidity c propel the fluid movement. The axis of the channel is symmetric. The peristaltic waves cause a deformation in the channel walls, which is described as follows:

(1) h ̅ ( X ̅ , t ̅ ) = l ( X ̅ ) + b s in 2 π λ ( X ̅ c t ̅ ) ,

where l ( X ̅ ) , b , and t ̅ signify the channel’s non-uniform width, wave amplitude, and time, respectively. The design of the homogeneous–heterogeneous reaction between various chemical kinds is discussed as follows:

(2) A + 2 B 3 B , rate = k c α ̅ β ̅ 2 .

We also find separate, isothermal, and first-order chemical reactions on the catalyst’s surface. As a consequence,

(3) A B , rate = k s α ̅ ,

where α ̅ and β ̅ denote the concentrations of A and B , respectively, and k c and k s signify the rate constants. It should be noted that the mechanisms of each of these reactions can all be found at the same temperature. Physical sketch of the flow is given in Figure 1.

Figure 1 
               Physical sketch of the fluid flow.
Figure 1

Physical sketch of the fluid flow.

These equations provide the fluid’s two-dimensional leading equations in the laboratory frame [12]:

(4) U ̅ X ̅ + V ̅ Y ̅ = 0 ,

(5) U ̅ t ̅ + U ̅ U ̅ X ̅ + V ̅ U ̅ Y ̅ = λ 1 * 2 U ̅ t ̅ 2 + 2 U ̅ 2 U ̅ t ̅ X ̅ + 2 V ̅ 2 U ̅ t ̅ Y ̅ + U ̅ 2 2 U ̅ X ̅ 2 + V ̅ 2 2 U ̅ Y ̅ 2 + 2 U ̅ V ̅ 2 U ̅ X ̅ Y ̅ 1 ρ P ̅ X ̅ λ 1 * ρ U ̅ 2 P ̅ X ̅ 2 + V ̅ 2 P ̅ X ̅ Y ̅ U ̅ X ̅ P ̅ X ̅ U ̅ Y ̅ P ̅ Y ̅ + ν 2 U ̅ X ̅ 2 + 2 U ̅ Y ̅ 2 + g 1 s in α + β ( T ̅ T ̅ 0 ) ν λ 2 * 3 U ̅ t ̅ Y ̅ 2 + U ̅ 3 U ̅ X ̅ 2 Y ̅ + 3 U ̅ Y ̅ 3 + V ̅ 3 U ̅ X ̅ 2 Y ̅ + 3 U ̅ Y ̅ 3 U ̅ X ̅ 2 U ̅ X ̅ 2 + 2 U ̅ Y ̅ 2 U ̅ Y ̅ 2 V ̅ X ̅ 2 + 2 V ̅ Y ̅ 2 σ B 0 2 ρ U ̅ + λ 1 * U ̅ t ̅ + λ 1 * V ̅ U ̅ Y ̅ ,

(6) V ̅ t ̅ + U ̅ V ̅ X ̅ + V ̅ V ̅ Y ̅ = λ 1 * 2 V ̅ t ̅ 2 + 2 U ̅ 2 V ̅ t ̅ X ̅ + 2 V ̅ 2 V ̅ t ̅ Y ̅ + U ̅ 2 2 V ̅ X ̅ 2 + V ̅ 2 2 V ̅ Y ̅ 2 + 2 U ̅ V ̅ 2 V ̅ X ̅ Y ̅ 1 ρ P ̅ Y ̅ λ 1 * ρ U ̅ 2 P ̅ X ̅ 2 + V ̅ 2 P ̅ X ̅ Y ̅ V ̅ X ̅ P ̅ X ̅ V ̅ Y ̅ P ̅ Y ̅ + ν 2 V ̅ X ̅ 2 + 2 V ̅ Y ̅ 2 + g 1 c os α ν λ 2 * 3 V ̅ t ̅ Y ̅ 2 + U ̅ 3 V ̅ X ̅ 2 Y ̅ + 3 V ̅ Y ̅ 3 + V ̅ 3 V ̅ X ̅ 2 Y ̅ + 3 V ̅ Y ̅ 3 V ̅ X ̅ 2 U ̅ X ̅ 2 + 2 U ̅ Y ̅ 2 V ̅ Y ̅ 2 V ̅ X ̅ 2 + 2 V ̅ Y ̅ 2

(7) ρ C p T ̅ t ̅ + U ̅ T ̅ X ̅ + V ̅ T ̅ Y ̅ = k 2 T ̅ X ̅ 2 + 2 T ̅ Y ̅ 2 + σ B 0 2 ( U ̅ 2 + V ̅ 2 ) + μ U ̅ Y ̅ 2 + V ̅ X ̅ 2 ,

(8) d α ̅ d t ̅ = M A 2 α ̅ X ̅ 2 + 2 α ̅ Y ̅ 2 k c α ̅ β ̅ 2 ,

(9) d β ̅ d t ̅ = M B 2 β ̅ X ̅ 2 + 2 β ̅ Y ̅ 2 k c α ̅ β ̅ 2 .

The dimensional boundary conditions that are equivalent are as follows:

(10) d U ̅ d Y ̅ = 0 , d T ̅ d Y ̅ = 0 , α ̅ = α 0 , β ̅ = 0 , at Y ̅ = 0 , U ̅ = 1 α 1 d U ̅ d Y ̅ , T ̅ = 1 α 2 d T ̅ d Y ̅ , D A d α ̅ d Y ̅ = k s α ̅ , D B d β ̅ d Y ̅ = k s β ̅ , at Y ̅ = h ̅ .

In a moving frame of reference, the flow is intended to be steady, yet it is unsteady in a fixed frame. The moving coordinates ( x ̅ , y ̅ ) are related to the stationary coordinate as follows:

(11) x ̅ = X ̅ c t ̅ , y ̅ = Y ̅ , u ̅ ( x ̅ , y ̅ ) = U ̅ ( X ̅ , Y ̅ , t ̅ ) c , v ̅ ( x ̅ , y ̅ ) = V ̅ ( X ̅ , Y ̅ , t ̅ ) , T ̅ ( x ̅ , y ̅ ) = T ̅ ( X ̅ , Y ̅ , t ̅ ) , p ̅ ( x ̅ , y ̅ ) = P ̅ ( X ̅ , Y ̅ , t ̅ ) .

The following dimensionless parameters are used for dimensionalization:

(12) x = x ̅ λ , y = y ̅ a , u = u ̅ c , v = v ̅ c δ , t = c t ̅ λ , p = p ̅ a 2 λ μ c , θ = ( T ̅ T ̅ 0 ) ( T ̅ 1 T ̅ 0 ) , α ̅ = f α 0 , β ̅ = g α 0 .

Upon incorporating the assumptions of extensive wavelength and short Reynolds number into equations (4)–(9), and employing non-dimensional variables as outlined in equation (12), the set of differential equations governing the current fluid flow can be reformulated in the following manner.

(13) d p d x = 1 λ 1 u y 1 2 u y 2 + λ 2 ( u + 1 ) 3 u y 3 Mn 2 ( u + 1 ) + G θ ,

(14) 2 θ y 2 + u y 2 + N M n 2 ( u + 1 ) 2 = 0 ,

(15) 1 Sc 2 f y 2 Kf g 2 = 0 ,

(16) γ Sc 2 g y 2 + Kf g 2 = 0 .

After non-dimensionalization, the analogous boundary conditions are

(17) d u d y = 0 , d θ d y = 0 , f = 0 , g = 0 at y = 0 , u = 1 α 1 d u d y , θ 0 = 1 α 2 d θ d y , f y = k s f at y = h ,

where

(18) ε = b a , δ = a λ , λ 1 = β λ 1 * , λ 2 = β λ 2 * , Pr = μ c p k , Ec = c 2 C p ( T ̅ 1 T ̅ 0 ) , N = PrEc , Gr = g 1 β ( T ̅ 1 T ̅ 0 ) a 3 ρ 2 , G = Gr Re , Mn = σ μ B 0 a , l ( x ) = l 2 + m 1 ( x ̅ ) , Sc = γ D , γ = M B M A , Re = ρ ca μ , h = h ̅ l 2 = 1 + λ m 1 x l 2 + ε s in ( 2 π ( x t ) ) .

Despite the general distinction in the diffusion coefficients of chemical species and , it is still reasonable to assume that their sizes are identical in this specific scenario. This assumption leads to the conclusion that M A = M B , or equivalently, γ = 1 . From the provided assumption, the following correspondence emerges:

(19) f + g = 1 ,

so

(20) 1 Sc 2 f y 2 Kf ( 1 + f ) 2 = 0 .

As a result, the corresponding boundary condition becomes

(21) f = 1 at y = 0 and d f d y = k s f at y = h .

3 Entropy generation and Bejan number

In thermodynamic systems, entropy formation is highly essential. The volumetric rate of local entropy formation is

(22) S gen = k T 0 T ̅ Y ̅ 2 + σ B 0 2 T 0 U ̅ 2 + μ T 0 U ̅ Y ̅ 2 .

The non-dimensional entropy formation is obtained by applying suitable transformations to Eq. (22) using Eq. (12)

(23) NG = θ y 2 + ( 1 T r ) N u y 2 + Mn 2 ( 1 T r ) Nu 2 .

The Bejan number represents a fraction of the entropy influences of heat transmission to overall entropy.

(24) Be = θ y 2 θ y 2 + ( 1 T r ) N u y 2 + Mn 2 ( 1 T r ) Nu 2 .

4 Physical quantities

The physical consignment of the flow field, like the skin friction coefficient C f and the Nusselt number Nu x , is defined as follows:

(25) C f = h u y y = h ,

(26) N u = h θ y y = h ,

where h = m + ε s in [ 2 π ( x t ) ] 2 π .

5 Solution by HAM

We employ HAM and the following methodology to rectify Eqs. (13), (14), and (20) under the boundary conditions (17) and (21). The solutions with auxiliary parameters modify and control solution convergence.

The following are the initial guesses:

(27) u 0 ( y ) = 1 , θ 0 ( y ) = 1 , f 0 ( y ) = hks 1 ksy ksh 1 .

The linear operators are assumed to be L u , L θ , and L f :

(28) L u ( u ) = 2 u y 2 , L θ ( u ) = 2 θ y 2 , L f ( u ) = 2 f y 2 ,

which have the following properties:

(29) L u ( c 1 + c 2 y ) = 0 , L θ ( c 3 + c 4 y ) = 0 , L f ( c 5 + c 6 y ) = 0 ,

where c i ( i = 1 6 ) are the constants in the general solution.

The resulting nonlinear operatives N u , N f , and N θ are as follows:

(30) N u [ u ( y ; p ) , θ ( η ; p ) ] = 2 u ( η ; p ) y 2 + λ 2 ( u ( η ; p ) + 1 ) 3 u ( η ; p ) y 3 Mn 2 ( u ( η ; p ) + 1 ) + G θ ( η ; p ) d p d x 1 λ 1 u ( η ; p ) y ,

(31) N θ [ u ( y ; p ) , θ ( y ; p ) ] = 2 θ ( η ; p ) y 2 + u ( η ; p ) y 2 N M n 2 ( u ( y ; p ) + 1 ) 2 ,

(32) N f [ f ( y ; p ) ] = 1 Sc 2 f ( y ; p ) y 2 Kf ( y ; p ) ( 1 + f ( y ; p ) ) 2 .

The m th-order problem satisfies the following:

(33) L u [ u m ( y ) χ m u m 1 ( y ) ] = u R m u ( y ) , L θ [ θ m ( y ) χ m θ m 1 ( y ) ] = θ R m θ ( y ) , L f [ f m ( y ) χ m f m 1 ( y ) ] = f R m f ( y ) .

The following are the corresponding boundary conditions:

(34) u m ( 0 ) = θ m ( 0 ) = f m ( 0 ) = 0 u m ( h ) + α 1 u m ( h ) = θ m ( h ) + α 2 θ m = f m ( h ) K f m ( h ) = 0 .

Here,

(35) R m u ( y ) = u m 1 + λ 2 k = 0 m 1 u m 1 k u k + u m 1 Mn 2 ( u m 1 + 1 ) + G θ m 1 dp dx ( 1 λ 1 u m 1 ) ,

(36) R m θ ( y ) = θ m 1 k = 0 m 1 f m 1 k θ k + k = 0 m 1 u m 1 k u k + N M n 2 k = 0 m 1 u m 1 k u m + 2 u m 1 + 1 ,

(37) R m f ( y ) = 1 Sc f m 1 K k = 0 m 1 f m 1 k l = 0 k f m l f l + 2 k = 0 m 1 f m 1 k f k + f m 1 ,

where

χ m = 0 , if p 1 1 , if p > 1 .

6 Results and discussions

Figure 2 illustrates the behavior of the magnetic field along the stream’s transverse path, which results in a drop in velocity as the magnetic parameter rises. Because of the Lorentz force, magnetic strength repels flow. Figure 3 shows velocity graphs for analyzing the relaxation parameter λ 1 . Viscous forces weaken as λ 1 values upsurge. The graphs show that the velocity profile motivates as λ 1 rises. The outcome of the retardation factor λ 2 on the velocity field is exposed in Figure 4. The velocity share and the retardation parameter are inversely related. It is easy to see that the velocity decelerates as λ 2 values increase. Figure 5 shows velocity graphs for analyzing the slip parameter α 1 . With growing values of α 1 , the dimensionless velocity profile is observed to decrease. The slip velocity rises as the velocity slip parameter upsurges, while the fluid velocity declines. This happens because when the sliding situation exists, the stretching sheet velocity diverges from the velocity of the flow close to the sheet. Figure 6 portrays the impression of thermal slip constraint α 2 on the velocity field. The thermal slip and velocity slip display similar behavior. Figure 7 shows how the Grashof number Gr affects velocity distribution. The velocity rises as Gr tends to increase, which may be caused by the augmented buoyancy force as the Grashof number grows. The enhanced buoyancy force permits the fluid to move quicker. The outcome of Re on fluid velocity is inverse to that of Gr , i.e., fluid velocity declines as Re number value is increased, as shown in Figure 8.

Figure 2 
               Influence of 
                     
                        
                        
                           Mn
                        
                        {\rm{Mn}}
                     
                   on 
                     
                        
                        
                           
                              
                                 u
                              
                              
                                 ′
                              
                           
                           
                              
                                 (
                                 
                                    y
                                 
                                 )
                              
                           
                        
                        {u}^{^{\prime} }(y)
                     
                  .
Figure 2

Influence of Mn on u ( y ) .

Figure 3 
               Influence of 
                     
                        
                        
                           
                              
                                 λ
                              
                              
                                 1
                              
                           
                        
                        {\lambda }_{1}
                     
                   on 
                     
                        
                        
                           
                              
                                 u
                              
                              
                                 ′
                              
                           
                           
                              
                                 (
                                 
                                    y
                                 
                                 )
                              
                           
                        
                        {u}^{^{\prime} }(y)
                     
                  .
Figure 3

Influence of λ 1 on u ( y ) .

Figure 4 
               Influence of 
                     
                        
                        
                           
                              
                                 λ
                              
                              
                                 2
                              
                           
                        
                        {\lambda }_{2}
                     
                   on 
                     
                        
                        
                           
                              
                                 u
                              
                              
                                 ′
                              
                           
                           
                              
                                 (
                                 
                                    y
                                 
                                 )
                              
                           
                        
                        {u}^{^{\prime} }(y)
                     
                  .
Figure 4

Influence of λ 2 on u ( y ) .

Figure 5 
               Influence of 
                     
                        
                        
                           
                              
                                 α
                              
                              
                                 1
                              
                           
                        
                        {\alpha }_{1}
                     
                   on 
                     
                        
                        
                           
                              
                                 u
                              
                              
                                 ′
                              
                           
                           
                              
                                 (
                                 
                                    y
                                 
                                 )
                              
                           
                        
                        {u}^{^{\prime} }(y)
                     
                  .
Figure 5

Influence of α 1 on u ( y ) .

Figure 6 
               Influence of 
                     
                        
                        
                           
                              
                                 α
                              
                              
                                 2
                              
                           
                        
                        {\alpha }_{2}
                     
                   on 
                     
                        
                        
                           
                              
                                 u
                              
                              
                                 ′
                              
                           
                           
                              
                                 (
                                 
                                    y
                                 
                                 )
                              
                           
                        
                        {u}^{^{\prime} }(y)
                     
                  .
Figure 6

Influence of α 2 on u ( y ) .

Figure 7 
               Influence of 
                     
                        
                        
                           Gr
                        
                        {\rm{Gr}}
                     
                   on 
                     
                        
                        
                           
                              
                                 u
                              
                              
                                 ′
                              
                           
                           
                              
                                 (
                                 
                                    y
                                 
                                 )
                              
                           
                        
                        {u}^{^{\prime} }(y)
                     
                  .
Figure 7

Influence of Gr on u ( y ) .

Figure 8 
               Influence of 
                     
                        
                        
                           Re
                        
                        {\rm{Re}}
                     
                   on 
                     
                        
                        
                           
                              
                                 u
                              
                              
                                 ′
                              
                           
                           
                              
                                 (
                                 
                                    y
                                 
                                 )
                              
                           
                        
                        {u}^{^{\prime} }(y)
                     
                  .
Figure 8

Influence of Re on u ( y ) .

The influence of the magnetic factor Mn on the temperature profile is demonstrated in Figure 9. It is important to note that the temperature profile increases due to the Lorentz impact, resulting in a reduction of the magnetic factor values.

Figure 9 
               Influence of 
                     
                        
                        
                           Mn
                        
                        {\rm{Mn}}
                     
                   on 
                     
                        
                        
                           θ
                           
                              
                                 (
                                 
                                    y
                                 
                                 )
                              
                           
                        
                        \theta (y)
                     
                  .
Figure 9

Influence of Mn on θ ( y ) .

In Figures 10 and 11, the influence of the velocity slip α 1 and thermal slip constraint α 2 on the dimensionless temperature is illustrated, respectively. It is evident that higher values of α 1 and α 2 lead to a decrease in temperature. Even with minimal heat transfer from the wall to the fluid, the thermal boundary film thickness declines as the thermal slip parameter value upsurges. The consequence of the Eckert number, Ec , on the temperature is presented in Figure 12. The graphical representation demonstrates that as Ec upsurges, the temperature profile also upsurges. This rise in temperature is attributed to the generation of heat in the fluid due to frictional heating. Physically, the Ec represents the ratio of kinetic energy to the specific enthalpy transformation between the fluid and the wall. Thus, as research on the conversion of kinetic energy to internal energy through work done in contrast to viscous fluid stresses has advanced, it has been observed that increasing Ec leads to higher fluid temperatures. Figure 13 shows how the Grashof number Gr distresses the temperature distribution. The temperature rises as Gr tends to increase, which may be caused by the amplified buoyancy force as the Grashof number grows. The enhanced buoyancy force permits the fluid to move quicker so the temperature is enhanced. The outcome of Re on fluid temperature is inverse to that of Gr , i.e., fluid temperature falls down as Re number value is increased, as shown in Figure 14.

Figure 10 
               Influence of 
                     
                        
                        
                           
                              
                                 α
                              
                              
                                 1
                              
                           
                        
                        {\alpha }_{1}
                     
                   on 
                     
                        
                        
                           θ
                           
                              
                                 (
                                 
                                    y
                                 
                                 )
                              
                           
                        
                        \theta (y)
                     
                  .
Figure 10

Influence of α 1 on θ ( y ) .

Figure 11 
               Influence of 
                     
                        
                        
                           
                              
                                 α
                              
                              
                                 2
                              
                           
                        
                        {\alpha }_{2}
                     
                   on 
                     
                        
                        
                           θ
                           
                              
                                 (
                                 
                                    y
                                 
                                 )
                              
                           
                        
                        \theta (y)
                     
                  .
Figure 11

Influence of α 2 on θ ( y ) .

Figure 12 
               Influence of 
                     
                        
                        
                           Ec
                        
                        {\rm{Ec}}
                     
                   on 
                     
                        
                        
                           θ
                           
                              
                                 (
                                 
                                    y
                                 
                                 )
                              
                           
                        
                        \theta (y)
                     
                  .
Figure 12

Influence of Ec on θ ( y ) .

Figure 13 
               Influence of 
                     
                        
                        
                           Gr
                        
                        {\rm{Gr}}
                     
                   on 
                     
                        
                        
                           θ
                           
                              
                                 (
                                 
                                    y
                                 
                                 )
                              
                           
                        
                        \theta (y)
                     
                  .
Figure 13

Influence of Gr on θ ( y ) .

Figure 14 
               Influence of 
                     
                        
                        
                           Re
                        
                        {\rm{Re}}
                     
                   on 
                     
                        
                        
                           θ
                           
                              
                                 (
                                 
                                    y
                                 
                                 )
                              
                           
                        
                        \theta (y)
                     
                  .
Figure 14

Influence of Re on θ ( y ) .

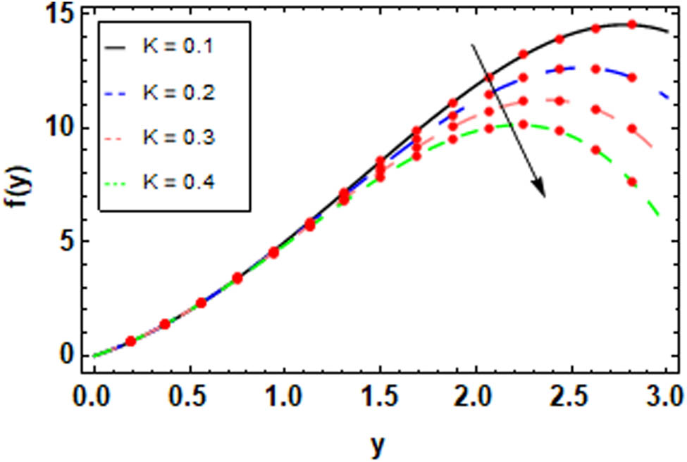
Figures 15 and 16 display the impact of modifying the homogeneous reaction constraint ( K ) and the heterogeneous reaction constraint ( k s ) on the concentration profile. These graphs determine that as the values of K and k s upsurge, the concentration profile diminishes. These actions can be elucidated by the fact that higher reaction rates lead to increased species concentrations, while diffusion rates decrease.

Figure 15 
               Influence of 
                     
                        
                        
                           K
                        
                        K
                     
                   on 
                     
                        
                        
                           f
                           
                              
                                 (
                                 
                                    y
                                 
                                 )
                              
                           
                        
                        f(y)
                     
                  .
Figure 15

Influence of K on f ( y ) .

Figure 16 
               Influence of 
                     
                        
                        
                           
                              
                                 k
                              
                              
                                 s
                              
                           
                        
                        {k}_{{\rm{s}}}
                     
                   on 
                     
                        
                        
                           f
                           
                              
                                 (
                                 
                                    y
                                 
                                 )
                              
                           
                        
                        f(y)
                     
                  .
Figure 16

Influence of k s on f ( y ) .

In Figure 17, the relationship between the Schmidt number ( Sc ) and the concentration profile is depicted. It can be observed that as Sc r rises, the concentration profile improves. Sc is a dimensionless quantity that signifies the ratio of momentum diffusivity to mass diffusivity. Therefore, an intensification in Sc corresponds to an enhancement in the concentration profile.

Figure 17 
               Influence of 
                     
                        
                        
                           Sc
                        
                        {\rm{Sc}}
                     
                   on 
                     
                        
                        
                           f
                           
                              
                                 (
                                 
                                    y
                                 
                                 )
                              
                           
                        
                        f(y)
                     
                  .
Figure 17

Influence of Sc on f ( y ) .

The influence of the magnetic factor on entropy formation and the Bejan number is depicted in Figure 18(a) and (b). As Mn increases, entropy creation rises while the Bejan number decreases. The occurrence of magnetic fields leads to higher entropy generation in the fluid. With an intensification in the magnetic number, the fluid temperature rises, resulting in enhanced entropy production.

Figure 18 
               (a) Influence of 
                     
                        
                        
                           Mn
                        
                        {\rm{Mn}}
                     
                   on 
                     
                        
                        
                           NG
                           
                              
                                 (
                                 
                                    y
                                 
                                 )
                              
                           
                        
                        {\rm{NG}}(y)
                     
                  . (b) Influence of 
                     
                        
                        
                           Mn
                        
                        {\rm{Mn}}
                     
                   on 
                     
                        
                        
                           Be
                        
                        {\rm{Be}}
                     
                  .
Figure 18

(a) Influence of Mn on NG ( y ) . (b) Influence of Mn on Be .

Figure 19(a) and (b) illustrate the stimulus of the Brinkman number Br on entropy creation and the Bejan number. Br represents the relative substance of heat produced by viscous heating compared to heat transferred through molecular conduction. As Br increases, the entropy creation number appears to increase, while the Bejan number diminutions.

Figure 19 
               (a) Influence of 
                     
                        
                        
                           N
                        
                        N
                     
                   on 
                     
                        
                        
                           NG
                           
                              
                                 (
                                 
                                    y
                                 
                                 )
                              
                           
                        
                        {\rm{NG}}(y)
                     
                  . (b) Influence of 
                     
                        
                        
                           N
                        
                        N
                     
                   on 
                     
                        
                        
                           Be
                        
                        {\rm{Be}}
                     
                  .
Figure 19

(a) Influence of N on NG ( y ) . (b) Influence of N on Be .

The consequence of the temperature ratio constraint on entropy creation and the Bejan number is presented in Figure 20(a) and (b). As the temperature ratio parameter upsurges, the entropy creation diminutions, while the Bejan number increases in tandem with the temperature ratio parameter.

Figure 20 
               (a) Influence of 
                     
                        
                        
                           
                              
                                 T
                              
                              
                                 r
                              
                           
                        
                        {T}_{{\rm{r}}}
                     
                   on 
                     
                        
                        
                           NG
                           
                              
                                 (
                                 
                                    y
                                 
                                 )
                              
                           
                        
                        {\rm{NG}}(y)
                     
                  . (b) Influence of 
                     
                        
                        
                           
                              
                                 T
                              
                              
                                 r
                              
                           
                        
                        {T}_{{\rm{r}}}
                     
                   on 
                     
                        
                        
                           Be
                        
                        {\rm{Be}}
                     
                  .
Figure 20

(a) Influence of T r on NG ( y ) . (b) Influence of T r on Be .

The properties of the Reynolds number, Grashof number, and magnetic parameter on the mean pressure drop are shown in Figures 2123. These figures indicate that the mean pressure drop rises when the magnetic parameter and Reynolds number grow up, while for a higher value of the Grashof number, the mean pressure drop falls. According to these data, the mean pressure drop upsurges with growing magnetic parameters and Reynolds number while decreasing with increasing Grashof numbers. Figure 24(a)–(d) represents the streamlines of the magnetic field, fluid parameter, ratio of diffusion coefficient, and strength of a homogeneous chemical reaction. The figures show that the streamlines increase for accumulative values of the magnetic field, fluid parameter, ratio of diffusion coefficient, and strength of homogeneous chemical reaction.

Figure 21 
               Influence of 
                     
                        
                        
                           Mn
                        
                        {\rm{Mn}}
                     
                   on 
                     
                        
                        
                           ∆
                           p
                        
                        \triangle p
                     
                  .
Figure 21

Influence of Mn on p .

Figure 22 
               Influence of 
                     
                        
                        
                           Gr
                        
                        {\rm{Gr}}
                     
                   on 
                     
                        
                        
                           ∆
                           p
                        
                        \triangle p
                     
                  .
Figure 22

Influence of Gr on p .

Figure 23 
               Influence of 
                     
                        
                        
                           Re
                        
                        {\rm{Re}}
                     
                   on 
                     
                        
                        
                           ∆
                           p
                        
                        \triangle p
                     
                  .
Figure 23

Influence of Re on p .

Figure 24 
               Streamlines of (a) magnetic field 
                     
                        
                        
                           Mn
                        
                        {\rm{Mn}}
                     
                  , (b) fluid parameter 
                     
                        
                        
                           
                              
                                 α
                              
                              
                                 1
                              
                           
                        
                        {\alpha }_{1}
                     
                  , (c) ratio of diffusion coefficient 
                     
                        
                        
                           γ
                        
                        \gamma 
                     
                  , and (d) strength of homogeneous chemical reaction 
                     
                        
                        
                           K
                        
                        K
                     
                  .
Figure 24

Streamlines of (a) magnetic field Mn , (b) fluid parameter α 1 , (c) ratio of diffusion coefficient γ , and (d) strength of homogeneous chemical reaction K .

Table 1 illustrates the variations in skin friction for different magnetic parameters, velocity slip parameters, Reynolds numbers, and Grashof numbers. It indicates that as the velocity slip parameter and Reynolds number rise, the skin friction coefficient decreases. Conversely, the skin friction coefficient rises as the magnetic factor and Grashof number values rise.

Table 1

The variations in skin friction for a range of different parameters

Mn α 1 Re Gr C f
0.1 2.42806
0.3 2.51904
0.3 2.69993
0.1 2.42806
0.3 2.42733
0.5 2.42659
0.1 3.011
0.3 2.42806
0.5 2.31147
0.1 2.42806
0.3 3.011
0.3 3.59393

Table 2 showcases the changes in the Nusselt number consistent with different magnetic parameters, Eckert numbers, and Grashof numbers. It reveals that the Nusselt number tends to increase for higher values of Eckert and Grashof numbers, as well as for larger magnetic parameter values.

Table 2

Variance of Nusselt number for multiple values of different parameters

Mn Ec Gr N u
0.1 0.00339919
0.3 0.0154223
0.5 0.0394686
0.1 0.00306678
0.3 0.00378237
0.5 0.00449795
0.1 0.00339919
0.3 0.00577317
0.3 0.00909675

7 Conclusions

In this study, we have examined the homogeneous–heterogeneous reaction of MHD peristaltic Oldroyd B fluid flow in a non-uniform vertical channel, considering sliding effects. Our research has explored the potential application of a semi-analytical technique called HAM for solving the nonlinear coupled system with sliding situations. However, instead of using HAM, we have employed graphical representations to illustrate the influence of significant parameters on physiological quantities based on measurable criteria. The main conclusions of this study are as follows:

  • The velocity declines with cumulative values of the magnetic parameter, retardation parameter, velocity and thermal slip parameters, and Reynolds number. Conversely, the relaxation parameter and Grashof number exhibit an opposite behavior, leading to an upsurge in velocity.

  • The temperature rises for advanced values of the Eckert number, Grashof number, and magnetic parameter. However, the temperature declines with the cumulative values of the velocity and thermal slip parameters and Reynolds number.

  • Higher values of the K and k s lead to a degradation of the concentration profile. Conversely, the concentration profile improves for larger values of the Schmidt number.

  • As the Brinkman number and magnetic parameter increase, the entropy creation number tends to increase, while the Bejan number declines. Alternatively, when the temperature ratio parameter increases, the entropy creation declines and the Bejan number rises.

  • The mean pressure drop upsurges with advanced values of the magnetic parameter and Reynolds number. However, for a larger value of the Grashof number, the mean pressure drop decreases.

  • The skin friction coefficient rises for cumulative values of the magnetic parameter and Grashof number. In contrast, it declines with growing values of the velocity slip parameter and Reynolds number.

  • The Nusselt number increases for larger values of the Eckert number, Grashof number, and magnetic parameter.

  1. Funding information: The project was financed by the Lucian Blaga University of Sibiu through research grant LBUS-IRG-2022-08.

  2. Author contributions: All authors have accepted responsibility for the entire content of this manuscript and approved its submission.

  3. Conflict of interest: The authors state no conflict of interest.

References

[1] Latham TW. Fluid motions in a peristaltic pump. 1966. Accessed: Aug. 14, 2022. [Online]. https://dspace.mit.edu/handle/1721.1/17282.Search in Google Scholar

[2] Fung YC, Yih CS. Peristaltic transport. J Appl Mech. Dec. 1968;35(4):669–75. 10.1115/1.3601290.Search in Google Scholar

[3] Shapiro AH, Jaffrin MY, Weinberg SL. Peristaltic pumping with long wavelengths at low Reynolds number. J Fluid Mech. Jul. 1969;37(4):799–825. 10.1017/S0022112069000899.Search in Google Scholar

[4] Gudekote M, Choudhari R, Vaidya H, Prasad KV, Viharika JU. Influence of convective conditions on the peristaltic mechanism of power-law fluid through a slippery elastic porous tube with different waveforms. Multidiscip Model Mater Struct. Feb. 2020;16(2):340–58. 10.1108/MMMS-01-2019-0006/FULL/XML.Search in Google Scholar

[5] Tanveer A, Khan M, Salahuddin T, Malik MY. Numerical simulation of electroosmosis regulated peristaltic transport of Bingham nanofluid. Comput Methods Prog Biomed. Oct. 2019;180:105005. 10.1016/J.CMPB.2019.105005.Search in Google Scholar PubMed

[6] Rao AR, Usha S. Peristaltic transport of two immiscible viscous fluids in a circular tube. J Fluid Mech. 1995;298:271–85. 10.1017/S0022112095003302.Search in Google Scholar

[7] Raju KK, Devanathan R. Peristaltic motion of a non-Newtonian fluid. Rheol Acta. Jun. 1972;11(2):170–8. 10.1007/BF01993016.Search in Google Scholar

[8] Fetecau C, Prasad SC, Rajagopal KR. A note on the flow induced by a constantly accelerating plate in an Oldroyd-B fluid. Appl Math Model. Apr. 2007;31(4):647–54. 10.1016/J.APM.2005.11.032.Search in Google Scholar

[9] Tiwana MH, Mann AB, Rizwan M, Maqbool K, Javeed S, Raza S, et al. Unsteady magnetohydrodynamic convective fluid flow of Oldroyd-B model considering ramped wall temperature and ramped wall velocity. Mathematics. Jul. 2019;7(8):676. 10.3390/MATH7080676.Search in Google Scholar

[10] Riaz MB, Awrejcewicz J, Rehman AU. Functional effects of permeability on Oldroyd-B fluid under magnetization: A comparison of slipping and non-slipping solutions. Appl Sci. Dec. 2021;11(23):11477. 10.3390/APP112311477.Search in Google Scholar

[11] Boyko E, Stone HA. Pressure-driven flow of the viscoelastic Oldroyd-B fluid in narrow non-uniform geometries: analytical results and comparison with simulations. J Fluid Mech. Apr. 2022;936:A23. 10.1017/JFM.2022.67.Search in Google Scholar

[12] Ibrahim W, Sisay G, Gamachu D. Mixed convection flow of Oldroyd-B nano fluid with Cattaneo-Christov heat and mass flux model with third order slip. AIP Adv. Dec. 2019;9(12):125023. 10.1063/1.5126301.Search in Google Scholar

[13] Ramesh K. Effects of slip and convective conditions on the peristaltic flow of couple stress fluid in an asymmetric channel through porous medium. Comput Methods Prog Biomed. Oct. 2016;135:1–14. 10.1016/J.CMPB.2016.07.001.Search in Google Scholar

[14] Zhang L, Bhatti MM, Michaelides EE. Thermally developed coupled stress particle–fluid motion with mass transfer and peristalsis. J Therm Anal Calorim. Feb. 2021;143(3):2515–24. 10.1007/S10973-020-09871-W.Search in Google Scholar

[15] Abd-Alla AM, Abo-Dahab SM, Thabet EN, Abdelhafez MA. Impact of inclined magnetic field on peristaltic flow of blood fluid in an inclined asymmetric channel in the presence of heat and mass transfer. Waves Random Complex Media. 2022. 10.1080/17455030.2022.2084653.Search in Google Scholar

[16] Nadeem S, Akbar NS, Bibi N, Ashiq S. Influence of heat and mass transfer on peristaltic flow of a third order fluid in a diverging tube. Commun Nonlinear Sci Numer Simul. Oct. 2010;15(10):2916–31. 10.1016/J.CNSNS.2009.11.009.Search in Google Scholar

[17] Ogulu A. Effect of heat generation on low Reynolds number fluid and mass transport in a single lymphatic blood vessel with uniform magnetic field. Int Commun Heat Mass Transf. Jul. 2006;33(6):790–9. 10.1016/J.ICHEATMASSTRANSFER.2006.02.002.Search in Google Scholar

[18] Shafiq A, Lone SA, Sindhu TN, Al-Mdallal QM, Rasool G. Statistical modeling for bioconvective tangent hyperbolic nanofluid towards stretching surface with zero mass flux condition. Sci Rep . Jul. 2021;11(1):1–11. 10.1038/s41598-021-93329-y.Search in Google Scholar PubMed PubMed Central

[19] Wakif A, Animasaun IL, Sehaqui R. A brief technical note on the onset of convection in a horizontal nanofluid layer of finite depth via Wakif-Galerkin weighted residuals technique (WGWRT). Defect Diffus Forum. 2021;409:90–4. 10.4028/WWW.SCIENTIFIC.NET/DDF.409.90.Search in Google Scholar

[20] Iqbal MS, Ghaffari A, Riaz A, Mustafa I, Raza M. Nanofluid transport through a complex wavy geometry with magnetic and permeability effects. Invent. 2022;7(1):7. 10.3390/INVENTIONS7010007. Dec. 2021.Search in Google Scholar

[21] Iqbal MS, Mustafa I, Ghaffari A, Usman. A computational analysis of dissipation effects on the hydromagnetic convective flow of hybrid nanofluids along a vertical wavy surface. Heat Transf. Dec. 2021;50(8):8035–51. 10.1002/HTJ.22265.Search in Google Scholar

[22] Yasmeen S, Okechi NF, Anjum HJ, Asghar S. Peristaltic motion of magnetohydrodynamic viscous fluid in a curved circular tube. Results Phys. Jan. 2017;7:3307–14. 10.1016/J.RINP.2017.08.044.Search in Google Scholar

[23] Srinivas S, Kothandapani M. The influence of heat and mass transfer on MHD peristaltic flow through a porous space with compliant walls. Appl Math Comput. Jul. 2009;213(1):197–208. 10.1016/J.AMC.2009.02.054.Search in Google Scholar

[24] Reddy MG. Heat and mass transfer on magnetohydrodynamic peristaltic flow in a porous medium with partial slip. Alexandria Eng J. 2016;55(2):1225–34. doi: 10.1016/J.AEJ.2016.04.009.Search in Google Scholar

[25] Shahzad H, Ain QU, Pasha AA, Irshad K, Shah IA, Ghaffari A, et al. Double-diffusive natural convection energy transfer in magnetically influenced Casson fluid flow in trapezoidal enclosure with fillets. Int Commun Heat Mass Transf. Oct. 2022;137:106236. 10.1016/J.ICHEATMASSTRANSFER.2022.106236.Search in Google Scholar

[26] Hayat T, Shafiq A, Alsaedi A, Awais M. MHD axisymmetric flow of third grade fluid between stretching sheets with heat transfer. Comput Fluids. Nov. 2013;86:103–8. 10.1016/J.COMPFLUID.2013.07.003.Search in Google Scholar

[27] Hayat T, Shafiq A, Alsaedi A. MHD axisymmetric flow of third grade fluid by a stretching cylinder. Alex Eng J. Jun. 2015;54(2):205–12. 10.1016/J.AEJ.2015.03.013.Search in Google Scholar

[28] Hayat T, Shafiq A, Alsaedi A, Asghar S. Effect of inclined magnetic field in flow of third grade fluid with variable thermal conductivity. AIP Adv. Aug. 2015;5(8):087108. 10.1063/1.4928321.Search in Google Scholar

[29] Rasool G, Wakif A. Numerical spectral examination of EMHD mixed convective flow of second-grade nanofluid towards a vertical Riga plate using an advanced version of the revised Buongiorno’s nanofluid model. J Therm Anal Calorim. Feb. 2021;143(3):2379–93. 10.1007/S10973-020-09865-8/METRICS.Search in Google Scholar

[30] Wakif A, Shah NA. Hydrothermal and mass impacts of azimuthal and transverse components of Lorentz forces on reacting Von Kármán nanofluid flows considering zero mass flux and convective heating conditions. Waves Random Complex Media. 2022. 10.1080/17455030.2022.2136413.Search in Google Scholar

[31] Wakif A, Chamkha A, Thumma T, Animasaun IL, Sehaqui R. Thermal radiation and surface roughness effects on the thermo-magneto-hydrodynamic stability of alumina–copper oxide hybrid nanofluids utilizing the generalized Buongiorno’s nanofluid model. J Therm Anal Calorim. Mar. 2020;143(2):1201–20. 10.1007/S10973-020-09488-Z.Search in Google Scholar

[32] Kothandapani M, Prakash J. Effects of thermal radiation parameter and magnetic field on the peristaltic motion of Williamson nanofluids in a tapered asymmetric channel. Int J Heat Mass Transf. Feb. 2015;81:234–45. 10.1016/J.IJHEATMASSTRANSFER.2014.09.062.Search in Google Scholar

[33] Mebarek-Oudina F. Convective heat transfer of Titania nanofluids of different base fluids in cylindrical annulus with discrete heat source. Heat Transf Res. Jan. 2019;48(1):135–47. 10.1002/HTJ.21375.Search in Google Scholar

[34] Farooq S, Ijaz Khan M, Waqas M, Hayat T, Alsaedi A. Transport of hybrid type nanomaterials in peristaltic activity of viscous fluid considering nonlinear radiation, entropy optimization and slip effects. Comput Methods Prog Biomed. Feb. 2020;184:105086. 10.1016/J.CMPB.2019.105086.Search in Google Scholar

[35] Hayat T, Noreen S, Alsaedi A. Effect of an induced magnetic field on peristaltic flow of non-Newtonian fluid in a curved channel. J Mech Med Biol. Oct. 2012;12(3):1250058. 10.1142/S0219519411004721.Search in Google Scholar

[36] Hayat T, Imtiaz M, Alsaedi A. Impact of magnetohydrodynamics in bidirectional flow of nanofluid subject to second order slip velocity and homogeneous–heterogeneous reactions. J Magn Magn Mater. Dec. 2015;395:294–302. 10.1016/J.JMMM.2015.07.092.Search in Google Scholar

[37] Malik MY, Salahuddin T, Hussain A, Bilal S, Awais M. Homogeneous-heterogeneous reactions in Williamson fluid model over a stretching cylinder by using Keller box method. AIP Adv. Oct. 2015;5(10):107227. 10.1063/1.4934937.Search in Google Scholar

[38] Tanveer A, Hayat T, Alsaedi A, Ahmad B. Mixed convective peristaltic flow of Sisko fluid in curved channel with homogeneous-heterogeneous reaction effects. J Mol Liq. May 2017;233:131–8. 10.1016/J.MOLLIQ.2017.03.001.Search in Google Scholar

[39] Bejan A. Entropy generation minimization: The new thermodynamics of finite-size devices and finite-time processes. J Appl Phys. Feb. 1996;79(3):1191–1218. 10.1063/1.362674.Search in Google Scholar

[40] Khan WA, Ali M. Recent developments in modeling and simulation of entropy generation for dissipative cross material with quartic autocatalysis. Appl Phys A. Jun. 2019;125(6). 10.1007/S00339-019-2686-6.Search in Google Scholar

[41] Rashidi MM, Bhatti MM, Abbas MA, Ali MES. Entropy generation on MHD blood flow of nanofluid due to peristaltic waves. Entropy. Apr. 2016;18(4):117. 10.3390/E18040117.Search in Google Scholar

Received: 2022-12-16
Revised: 2023-03-02
Accepted: 2023-03-16
Published Online: 2023-07-19

© 2023 the author(s), published by De Gruyter

This work is licensed under the Creative Commons Attribution 4.0 International License.

Articles in the same Issue

  1. Regular Articles
  2. Dynamic properties of the attachment oscillator arising in the nanophysics
  3. Parametric simulation of stagnation point flow of motile microorganism hybrid nanofluid across a circular cylinder with sinusoidal radius
  4. Fractal-fractional advection–diffusion–reaction equations by Ritz approximation approach
  5. Behaviour and onset of low-dimensional chaos with a periodically varying loss in single-mode homogeneously broadened laser
  6. Ammonia gas-sensing behavior of uniform nanostructured PPy film prepared by simple-straightforward in situ chemical vapor oxidation
  7. Analysis of the working mechanism and detection sensitivity of a flash detector
  8. Flat and bent branes with inner structure in two-field mimetic gravity
  9. Heat transfer analysis of the MHD stagnation-point flow of third-grade fluid over a porous sheet with thermal radiation effect: An algorithmic approach
  10. Weighted survival functional entropy and its properties
  11. Bioconvection effect in the Carreau nanofluid with Cattaneo–Christov heat flux using stagnation point flow in the entropy generation: Micromachines level study
  12. Study on the impulse mechanism of optical films formed by laser plasma shock waves
  13. Analysis of sweeping jet and film composite cooling using the decoupled model
  14. Research on the influence of trapezoidal magnetization of bonded magnetic ring on cogging torque
  15. Tripartite entanglement and entanglement transfer in a hybrid cavity magnomechanical system
  16. Compounded Bell-G class of statistical models with applications to COVID-19 and actuarial data
  17. Degradation of Vibrio cholerae from drinking water by the underwater capillary discharge
  18. Multiple Lie symmetry solutions for effects of viscous on magnetohydrodynamic flow and heat transfer in non-Newtonian thin film
  19. Thermal characterization of heat source (sink) on hybridized (Cu–Ag/EG) nanofluid flow via solid stretchable sheet
  20. Optimizing condition monitoring of ball bearings: An integrated approach using decision tree and extreme learning machine for effective decision-making
  21. Study on the inter-porosity transfer rate and producing degree of matrix in fractured-porous gas reservoirs
  22. Interstellar radiation as a Maxwell field: Improved numerical scheme and application to the spectral energy density
  23. Numerical study of hybridized Williamson nanofluid flow with TC4 and Nichrome over an extending surface
  24. Controlling the physical field using the shape function technique
  25. Significance of heat and mass transport in peristaltic flow of Jeffrey material subject to chemical reaction and radiation phenomenon through a tapered channel
  26. Complex dynamics of a sub-quadratic Lorenz-like system
  27. Stability control in a helicoidal spin–orbit-coupled open Bose–Bose mixture
  28. Research on WPD and DBSCAN-L-ISOMAP for circuit fault feature extraction
  29. Simulation for formation process of atomic orbitals by the finite difference time domain method based on the eight-element Dirac equation
  30. A modified power-law model: Properties, estimation, and applications
  31. Bayesian and non-Bayesian estimation of dynamic cumulative residual Tsallis entropy for moment exponential distribution under progressive censored type II
  32. Computational analysis and biomechanical study of Oldroyd-B fluid with homogeneous and heterogeneous reactions through a vertical non-uniform channel
  33. Predictability of machine learning framework in cross-section data
  34. Chaotic characteristics and mixing performance of pseudoplastic fluids in a stirred tank
  35. Isomorphic shut form valuation for quantum field theory and biological population models
  36. Vibration sensitivity minimization of an ultra-stable optical reference cavity based on orthogonal experimental design
  37. Effect of dysprosium on the radiation-shielding features of SiO2–PbO–B2O3 glasses
  38. Asymptotic formulations of anti-plane problems in pre-stressed compressible elastic laminates
  39. A study on soliton, lump solutions to a generalized (3+1)-dimensional Hirota--Satsuma--Ito equation
  40. Tangential electrostatic field at metal surfaces
  41. Bioconvective gyrotactic microorganisms in third-grade nanofluid flow over a Riga surface with stratification: An approach to entropy minimization
  42. Infrared spectroscopy for ageing assessment of insulating oils via dielectric loss factor and interfacial tension
  43. Influence of cationic surfactants on the growth of gypsum crystals
  44. Study on instability mechanism of KCl/PHPA drilling waste fluid
  45. Analytical solutions of the extended Kadomtsev–Petviashvili equation in nonlinear media
  46. A novel compact highly sensitive non-invasive microwave antenna sensor for blood glucose monitoring
  47. Inspection of Couette and pressure-driven Poiseuille entropy-optimized dissipated flow in a suction/injection horizontal channel: Analytical solutions
  48. Conserved vectors and solutions of the two-dimensional potential KP equation
  49. The reciprocal linear effect, a new optical effect of the Sagnac type
  50. Optimal interatomic potentials using modified method of least squares: Optimal form of interatomic potentials
  51. The soliton solutions for stochastic Calogero–Bogoyavlenskii Schiff equation in plasma physics/fluid mechanics
  52. Research on absolute ranging technology of resampling phase comparison method based on FMCW
  53. Analysis of Cu and Zn contents in aluminum alloys by femtosecond laser-ablation spark-induced breakdown spectroscopy
  54. Nonsequential double ionization channels control of CO2 molecules with counter-rotating two-color circularly polarized laser field by laser wavelength
  55. Fractional-order modeling: Analysis of foam drainage and Fisher's equations
  56. Thermo-solutal Marangoni convective Darcy-Forchheimer bio-hybrid nanofluid flow over a permeable disk with activation energy: Analysis of interfacial nanolayer thickness
  57. Investigation on topology-optimized compressor piston by metal additive manufacturing technique: Analytical and numeric computational modeling using finite element analysis in ANSYS
  58. Breast cancer segmentation using a hybrid AttendSeg architecture combined with a gravitational clustering optimization algorithm using mathematical modelling
  59. On the localized and periodic solutions to the time-fractional Klein-Gordan equations: Optimal additive function method and new iterative method
  60. 3D thin-film nanofluid flow with heat transfer on an inclined disc by using HWCM
  61. Numerical study of static pressure on the sonochemistry characteristics of the gas bubble under acoustic excitation
  62. Optimal auxiliary function method for analyzing nonlinear system of coupled Schrödinger–KdV equation with Caputo operator
  63. Analysis of magnetized micropolar fluid subjected to generalized heat-mass transfer theories
  64. Does the Mott problem extend to Geiger counters?
  65. Stability analysis, phase plane analysis, and isolated soliton solution to the LGH equation in mathematical physics
  66. Effects of Joule heating and reaction mechanisms on couple stress fluid flow with peristalsis in the presence of a porous material through an inclined channel
  67. Bayesian and E-Bayesian estimation based on constant-stress partially accelerated life testing for inverted Topp–Leone distribution
  68. Dynamical and physical characteristics of soliton solutions to the (2+1)-dimensional Konopelchenko–Dubrovsky system
  69. Study of fractional variable order COVID-19 environmental transformation model
  70. Sisko nanofluid flow through exponential stretching sheet with swimming of motile gyrotactic microorganisms: An application to nanoengineering
  71. Influence of the regularization scheme in the QCD phase diagram in the PNJL model
  72. Fixed-point theory and numerical analysis of an epidemic model with fractional calculus: Exploring dynamical behavior
  73. Computational analysis of reconstructing current and sag of three-phase overhead line based on the TMR sensor array
  74. Investigation of tripled sine-Gordon equation: Localized modes in multi-stacked long Josephson junctions
  75. High-sensitivity on-chip temperature sensor based on cascaded microring resonators
  76. Pathological study on uncertain numbers and proposed solutions for discrete fuzzy fractional order calculus
  77. Bifurcation, chaotic behavior, and traveling wave solution of stochastic coupled Konno–Oono equation with multiplicative noise in the Stratonovich sense
  78. Thermal radiation and heat generation on three-dimensional Casson fluid motion via porous stretching surface with variable thermal conductivity
  79. Numerical simulation and analysis of Airy's-type equation
  80. A homotopy perturbation method with Elzaki transformation for solving the fractional Biswas–Milovic model
  81. Heat transfer performance of magnetohydrodynamic multiphase nanofluid flow of Cu–Al2O3/H2O over a stretching cylinder
  82. ΛCDM and the principle of equivalence
  83. Axisymmetric stagnation-point flow of non-Newtonian nanomaterial and heat transport over a lubricated surface: Hybrid homotopy analysis method simulations
  84. HAM simulation for bioconvective magnetohydrodynamic flow of Walters-B fluid containing nanoparticles and microorganisms past a stretching sheet with velocity slip and convective conditions
  85. Coupled heat and mass transfer mathematical study for lubricated non-Newtonian nanomaterial conveying oblique stagnation point flow: A comparison of viscous and viscoelastic nanofluid model
  86. Power Topp–Leone exponential negative family of distributions with numerical illustrations to engineering and biological data
  87. Extracting solitary solutions of the nonlinear Kaup–Kupershmidt (KK) equation by analytical method
  88. A case study on the environmental and economic impact of photovoltaic systems in wastewater treatment plants
  89. Application of IoT network for marine wildlife surveillance
  90. Non-similar modeling and numerical simulations of microploar hybrid nanofluid adjacent to isothermal sphere
  91. Joint optimization of two-dimensional warranty period and maintenance strategy considering availability and cost constraints
  92. Numerical investigation of the flow characteristics involving dissipation and slip effects in a convectively nanofluid within a porous medium
  93. Spectral uncertainty analysis of grassland and its camouflage materials based on land-based hyperspectral images
  94. Application of low-altitude wind shear recognition algorithm and laser wind radar in aviation meteorological services
  95. Investigation of different structures of screw extruders on the flow in direct ink writing SiC slurry based on LBM
  96. Harmonic current suppression method of virtual DC motor based on fuzzy sliding mode
  97. Micropolar flow and heat transfer within a permeable channel using the successive linearization method
  98. Different lump k-soliton solutions to (2+1)-dimensional KdV system using Hirota binary Bell polynomials
  99. Investigation of nanomaterials in flow of non-Newtonian liquid toward a stretchable surface
  100. Weak beat frequency extraction method for photon Doppler signal with low signal-to-noise ratio
  101. Electrokinetic energy conversion of nanofluids in porous microtubes with Green’s function
  102. Examining the role of activation energy and convective boundary conditions in nanofluid behavior of Couette-Poiseuille flow
  103. Review Article
  104. Effects of stretching on phase transformation of PVDF and its copolymers: A review
  105. Special Issue on Transport phenomena and thermal analysis in micro/nano-scale structure surfaces - Part IV
  106. Prediction and monitoring model for farmland environmental system using soil sensor and neural network algorithm
  107. Special Issue on Advanced Topics on the Modelling and Assessment of Complicated Physical Phenomena - Part III
  108. Some standard and nonstandard finite difference schemes for a reaction–diffusion–chemotaxis model
  109. Special Issue on Advanced Energy Materials - Part II
  110. Rapid productivity prediction method for frac hits affected wells based on gas reservoir numerical simulation and probability method
  111. Special Issue on Novel Numerical and Analytical Techniques for Fractional Nonlinear Schrodinger Type - Part III
  112. Adomian decomposition method for solution of fourteenth order boundary value problems
  113. New soliton solutions of modified (3+1)-D Wazwaz–Benjamin–Bona–Mahony and (2+1)-D cubic Klein–Gordon equations using first integral method
  114. On traveling wave solutions to Manakov model with variable coefficients
  115. Rational approximation for solving Fredholm integro-differential equations by new algorithm
  116. Special Issue on Predicting pattern alterations in nature - Part I
  117. Modeling the monkeypox infection using the Mittag–Leffler kernel
  118. Spectral analysis of variable-order multi-terms fractional differential equations
  119. Special Issue on Nanomaterial utilization and structural optimization - Part I
  120. Heat treatment and tensile test of 3D-printed parts manufactured at different build orientations
Downloaded on 23.2.2026 from https://www.degruyterbrill.com/document/doi/10.1515/phys-2022-0241/html
Scroll to top button