Abstract
In this study, the performance of a boron-rich Si-B system containing ~ 2–25 mol% Si is reviewed as a high-temperature thermoelectric material. In this review, both thermodynamic stability and transport properties are evaluated to understand the high-temperature thermoelectric performance of the Si-B system. The thermodynamic properties, such as Gibbs energy and activity coefficient, of the Si-B system were calculated and compared to the literature data. Thermoelectric properties such as Seebeck coefficient, electrical conductivity, and thermal conductivity were reviewed for the Si-B system. It is found that the composition and processing techniques are critical for obtaining higher thermoelectrical properties and thus also true for the figure of merit ZT. The entropy (degree of randomness) of a system has a remarkable effect on ZT. The highest ZT obtained for this system is approximately 0.2 at 90% B (SiB6 + SiBn) containing SiBn phase, shows the lowest entropy (~32 J/mol*K) in this system at 1100 K.
Introduction
Industrial civilization relies heavily on energy consumption in various forms. According to the U.S. Energy Information Administration (EIA), the annual global energy consumption in 2012 was 524 quadrillions Btu, which is equivalent to 150 trillion KWh [1]. The world’s overall energy consumption demand is increasing every day. Alternate sources of energy, such as solar energy, wind power and ocean wave energy, have already been exploited to a good extent to meet an ever-increasing demand for world-wide energy consumption. Some of these sources are currently used in various systems, either in the experimental stage or the industrial production. Fossil fuels are the primary source of energy. Fossil fuels are burnt to generate heat and also to produce energy. This causes the greenhouse effect and the consequent catastrophic climate change. On the other hand, heat is also generated from many other mechanical and electrical systems during the industrial operation. In addition, all automotive systems generate an enormous amount of heat. Some of our household work also requires medium to quite high temperatures, such as the use of kitchen equipment. The heat from these sources can be utilized as renewable sources of energy, which can prevent further worsening of climate due to the greenhouse effect by reducing the demand for fossil fuels.
Industrial waste heat is not measured precisely. However, several studies have anticipated that about 20–50% of industrial energy consumption is eventually left as waste heat. This waste heat can be utilized through several recovery techniques such as the use of a regenerator, recuperator, waste heat boiler, or thermoelectric generator [2]. Most of the industrial processes need high-temperature thermoelectric generators, whereas most of the efficient thermoelectric generators are operated at lower temperature [3]. The better utilization of industrial waste heat requires a high-temperature thermoelectric generator.
Thermoelectric materials generate electricity by converting the temperature difference of the system into current. The heat difference can be utilized through the application of proper materials to generate the electricity. Thermoelectric materials can also be employed for transforming waste or additional heat generated by many sources such as solar radiation, industrial processes, automotive systems, and household appliances to produce electricity [4, 5]. A typical thermoelectric device is made of solid state materials. This process of generating electricity overcomes the shortcomings of the conventional electricity generator in many ways, including the use of non-moving parts, and being silent, reliable, scalable and, ideal for small, distributed power generation [5].
Backgrounds of thermoelectric effect
Thomas Johann Seebeck first introduced the concept of thermoelectric effect in 1823 [6]. He studied the voltage difference across the conductor’s hot and cold junctions. This phenomenon is known as Seebeck effect. The thermoelectric potential gradient (ΔV) generated in the circuit (Figure 1) between the cold (T) and the hot junction (T + ΔT). This thermoelectric potential is called Seebeck electromotive force. The thermoelectric potential gradient (ΔV) is directly proportional to the temperature gradient (ΔT) between the hot and the cold junction. The ratio of the thermoelectric potential gradient and temperature gradient is known as Seebeck coefficient (α) (eq. (1)) [4]

Illustration of seebeck effect.
The thermoelectric efficiency is measured by the dimensionless thermoelectric figure of merit (ZT). ZT depends on the material’s Seebeck coefficient (α), electrical conductivity (σ) and thermal conductivity (κ) [7, 8] and is given by eq. (2).
A high ZT value endorses a more efficient conversion of heat to electricity, with T being the absolute operating temperature of the thermoelectric device. The thermal conductivity of these material has three parts containing contributions from lattice vibration (κl), photons (κp) and electrons (κe) [9].
At room temperature (300 K), the best thermoelectric materials are currently telluride-based materials, such as Bi2Te3(ZT ~ 1) and Bi2Te3/Sb2Te3 (ZT ~ 2.2) [8, 10]. In the mid-range temperature (400 K–800 K) region, several studies have found higher ZT existing in BiSbTe (ZTmax ~ 1.5), PbTe (ZTmax ~ 1.6), PbTeSe (ZTmax ~ 1.7), and CoSb3 (ZTmax ~ 1.6) [5, 11]. ZT increases with an increase in temperature for this temperature region [10]. After that, ZT decreases with the subsequent increase in temperature. These thermoelectric materials are not good candidates for a very high-temperature application because of the reduced value of ZT, as well as low thermal stability at the higher temperature. For high-temperature applications, GeSi (ZTmax(1123K) ~ 2) is used for the generation of space power [5, 12, 13]. Although
In this review article, the boron-rich Si-B semiconductor system is discussed for high-temperature thermoelectric materials. It has a very high thermal stability (~1543–2293 K) depending on the molar ratio [14]. Moreover, the literature suggests an increasing trend of ZT up to 1273 K. All of the aforementioned criteria make Si-B system a feasible choice for high-temperature thermoelectric materials. A detailed discussion of thermodynamic stability and thermoelectric properties is presented here based on calculations and literature data.
Thermodynamic stability of Si-B system
In the Si-B system, the boron-rich composition has drawn a wide attention among researchers in recent years due to its advantages for high-temperature thermoelectric materials [15]. Several studies have dealt with the thermodynamic properties of the Si-B system [16, 17, 18, 19, 20, 21, 22]. The thermodynamic stability of the boron-rich Si-B system is evaluated from the Si-B phase diagram and its thermodynamic properties, including activity and Gibbs energy calculation. The Si-B phase diagram, illustrated in Figure 2, is obtained from the thermodynamic modeling software Thermo-Cal [23]. In addition, experimental data indicates the presence of these three binary phases, namely SiB3, SiB6 and SiBn [24]. The main phases in the boron-rich Si-B systems are summarized in Table 1.
![Figure 2: Si-B phase diagram [22].](/document/doi/10.1515/htmp-2018-0077/asset/graphic/j_htmp-2018-0077_fig_002.jpg)
Si-B phase diagram [22].
Boron-rich phases in the Si-B system.
| Phases | Composition (Mol. % Si) | Stoichiometry | |
|---|---|---|---|
| Thermo-Cal [23] | Literature [14, 21] | ||
| Silicon triboride | ~27–25 | ~21.5–26 | SiB3 |
| Silicon hexaboride | ~13.7–13.85 | 14.2 | SiB6 |
| Silicon n-boride | ~6–2 | ~6–2 | SiBn (n=12–50) |
Although the composition is slightly different from that found in the literature, the calculated phase diagram shows a good consistency with the literature [14, 21]. Only the silicon hexaboride (SiB6) phase shows a small difference in the phase diagram. In the literature [24], it shows only one single composition, whereas this calculation provides a small (~13.7–13.85 mol% Si) range of the composition for this phase. Thermodynamic properties of these three phases are reviewed here to determine their suitability for high-temperature thermoelectric applications.
Silicon tri boride (Sib3):
SiB3 is one of the single binary phases found in the Si-B system. Although Moissan and Stokes mentioned SiB3 phase in 1900 [25], they did not confirm the single phase. In 1955, it was first reported that SiB3 single phase could be prepared from the elements by hot pressing at a temperature range of 1873–2073 K [26]. According to Thermo-Calc software modeling (Figures 2 and 3) and literature, the range of this single phase exists between 21 and 27 mol% of Si (Table 1). The invariant reaction for the SiB3 phase can be found in Figure 2 at 1542 K. This invariant reaction (eq. (3)) for the rhombohedral α-SiB3 phase is also reported in the literature [20, 24]. The alternative orthorhombic phase of β-SiB3 is confirmed in another study [27]. A further compound named SiB4 is also reported in several other studies [28, 29, 30]. SiB3 has a wider homogeneity range (SiB2.8–4.0) and it is closer to SiB3 than SiB4 [31].

The change in Gibbs-free energy (ΔG) with the function of mol % of Si at 1100 K.
The change in Gibbs energy for this phase is summarized from different literatures in Table 2. In Figure 3, the change in Gibbs energy of SiB3 at 1100 K was illustrated with increasing mol % of Si. This data is acquired from the thermodynamic modeling of Si-B system by using Thermo-Calc software. It can be inferred from the figure that the most favorable condition for this phase is ~ 27 mol % of Si in Si-B system. The lowest value for formation Gibbs energy (ΔGo) for this binary phase is calculated to be −27.28 KJ/mol at 1100 K from the current thermodynamic modeling, thus inferring from the current model that SiB3 binary phase is more stable than SiB6. The formation Gibbs energy of this phase at 1800 K from different studies is also tabulated in Table 2. The activities of Si and B are also calculated by using Thermo-Calc (Figure 4). As seen in Figure 4, the range of activity for Si and B was found as ~ 0.53–0.99 and ~ 0.6–0.48 respectively in SiB3 phase.

Activity of B and Si in a liquid Si melt at 1100 K.
Comparison of the thermodynamic properties of the Si-B system.
| Phases | ΔGfo(KJ/mol) at 1800 K (*1757 K,**1100 K) | ||||||
|---|---|---|---|---|---|---|---|
| [32] | [33] | [34] | [35] | [21]* | Current model [23] | ||
| SiB3 | – | −24.098 | −31.98 | −17.978 | −56.87 | −27.28** | |
| SiB6 | −54 ± 15 | −46.310 | −66.619 | −40.659 | −68.6 ± 1.2 | −54.405 | −25.02** |
| SiBn | −108 ± 32.8 (n=15) | −56.102 (n=12) | – | −57.37 (n=14) | −105.5 ± 3 | −51.20 | −22.69** |
Furthermore, entropy is calculated to confirm the degree of randomness in this phase. Figure 5 provides the entropy change of the Si-B system at 1100 K. SiB3 shows the highest entropy (34.9 J/mol*K) among these three phases.

The change in entropy (ΔS) with the function of mol % of Si at 1100 K.
Silicon hexaboride (Sib6)
Moissan and Stokes first introduced SiB6 binary phase in 1900 [25]. They obtained a mixture of SiB6 and SiB3. Afterward, several studies were done to confirm the single phase of SiB6 [36, 37, 38, 39] but were not successful. Cline finally reported the single binary phase of SiB6 in 1958–59 [40, 41]. The SiB6 is considered as a line compound in the previous literature [24]. However, the current modeling by using Thermo-Calc shows a small range of composition at around ~ 13.7–14.28 mol% of Si (Figure 2). The invariant peritectic reaction (eq. (4)) for this phase is found at 2122 K, as shown in Figure 2, which is also consistent with the existing literature [20].
The lowest value of Gibbs energy for formation of this compound is found to be −25.02 kJ/mol at 1100 K for the same compositional range (Figure 3). This confirms the stability of the SiB6 phase in this compositional range. Table 2 presents the Gibbs energy for this phase at 1800 K as found in different studies. In Figure 4, a sharp slope of activity for B and Si is observed for this phase region at 1100 K. This indicates the drastic change in Si and B activity level at 1100 K for this phase. In addition, the slope confirms that the SiB6 is not a single line compound. The Si activity increases from 0.0865 to 0.53 in SiB6 phase region, but remains constant (Figure 4) at the two other phase regions: SiBn + SiB6 or SiB6 + SiB3.
The entropy for this phase is calculated at 1100 K in Figure 5. The highest entropy of the SiB6 phase (~38 J/mol*K) is lower than the highest entropy of the SiB3 phase (~42 J/mol*K). However, the entropy of the SiB6 phase is higher than the SiBn phase (~32 J/mol*K).
Silicon n boride (Sibn)
In the boron-rich Si-B system, a compound named SiBn is introduced where boron content is higher than ~ 94%. Different studies show the existence of SiBn, where n lies between 12 and 50 [42, 43, 44]. Both the literature data (Table 2) and the current model (Figures 2 and 3) have outlined the thermodynamic stability of this compound.
As presented in Figure 2, the invariant reaction (eq. (5)) for this phase is found at 2310 K, which is consistent with the existing literature [20].
It shows a highly negative Gibbs energy (ΔGfo=−22.69 KJ/mol) at 1100 K for the high-boron content region. This indicates a higher stability of this phase in this composition range. The formation of Gibbs energy of this phase at 1800 K, as found in different studies, is presented in Table 2. The activity of Si and B are also calculated at 1100 K for this region, as shown in Figure 4. The activity of Si increases with an increase in mol% of Si in this high-boron content region. The activity of Si increases from 0.001 to 0.086 at 1100 K in this compositional range (mol% of Si 2–6%). The entropy calculated for this phase is the lowest in the boron-rich Si-B system. The highest entropy for this phase is ~ 32.89 J/mol*K at 1100 K. This indicates that the degree of randomness is the lowest in SiBn system.
Both the Gibbs energy calculation and the literature data indicate that these three phases are thermodynamically stable at a higher temperature range (Table 2 and Figure 3). All the invariant reactions (eq. 3–5) for different phases suggest that the phases are thermally stable at a very high temperature. The activity calculation confirms the formation of these phases and their regions (mol % based) in the phase diagram, an important step to obtain a single or dual phase compound. In addition, the activity calculation shows a non-ideal behavior of the Si-B system. Apart from these, the degree of randomness is predicted from the entropy calculation of these three phases. For high-temperature thermoelectric materials, the lower degree of randomness is required but, on the other hand, makes it more challenging. A lower degree of randomness contributes to lower thermal vibrations, higher phonon scattering at high temperatures, and generates a lower thermal conductivity towards obtaining a higher ZT.
Thermoelectric properties of Si-B systems
The main three phases in the Si-B system discussed in the previous section are considered as the main candidates for high-temperature thermoelectric materials, particularly due to their relatively high thermal stability. Two other phase regions (such as a mixture of SiB6 and SiBn) are also found in the literature. Among these phases, SiB3 has the lowest Seebeck coefficient, as shown in Figure 6, based on findings from different studies. The SiBn and SiB6 phases have comparatively higher Seebeck coefficients. The wide range of non-stoichiometric, chemical compositions of SiBn is the reason for this higher Seebeck coefficient [49]. Figure 6 shows not only the temperature dependence of Seebeck coefficient for different phases/compositions, but also the effect of the processing method. Hot pressing (HP), sintering, plasma melting, arc melting (AM), spark plasma sintering (SPS), and chemical vapor deposition (CVD) for different phases are also presented in Figure 6 in order to compare the effect of the processing methods on the Seebeck coefficient. Among the various methods, SPS is the most effective one in producing a very high Seebeck coefficient. This is due to the fact that SPS process can generate a highly dense stacking fault in the system [45].
![Figure 6: Effect of processing method on seebeck coefficient with reciprocal temperature: SPS SiB6 + SiBn [45], SPS SiBn [45], AM SiB6 + SiBn [45], AM SiBn [45], AM-SiB6 [46], AM- SiB4 + SiB6 [46], Sintering [47], CVD SiB6 [48], CVD SiB4 [48], CVD SiBn(B/Si=60) [49], CVD SiBn(B/Si=48), SPS SiB6 [50], HP SiB6 [50], Plasma melting [49], SPS Si92B8 [51].](/document/doi/10.1515/htmp-2018-0077/asset/graphic/j_htmp-2018-0077_fig_006.jpg)
Effect of processing method on seebeck coefficient with reciprocal temperature:
SPS SiB6 + SiBn [45],
SPS SiBn [45],
AM SiB6 + SiBn [45],
AM SiBn [45],
AM-SiB6 [46],
AM- SiB4 + SiB6 [46],
Sintering [47],
CVD SiB6 [48],
CVD SiB4 [48],
CVD SiBn(B/Si=60) [49],
CVD SiBn(B/Si=48),
SPS SiB6 [50],
HP SiB6 [50],
Plasma melting [49],
SPS Si92B8 [51].
This large increment of the Seebeck coefficient results from the phonon-assisted tunneling (hopping) conduction proposed by Wood and Emin [48, 52, 53] for boron-rich borides. According to the hopping conduction mechanism, the Seebeck coefficient depends on two terms (eq. (6)). First is the average entropy change (ΔS) in the system and average vibrational energy (ET) transported with the carrier [53].
This equation is simply modified when the average energy (E) is associated with the insertion of charge q and its chemical potential η [53],
In conventional transport, where low-temperature phonon drag is ignored, only the first term is considered. On the other hand, the second part is contributed if the variable range hopping conduction occurs. In the case of boron or boron-rich borides, the latter part is considered in the literature since it follows the variable range hopping conduction, while the other part remains constant [54]. Figure 6 represents the Seebeck coefficient based on the phonon-assisted hopping conduction (eq. (7)) mechanism for different processing techniques. Average vibration energies (ET) are calculated from the linear curve fitting (R-square>90) of Figure 6 and summarized in Table 3. As seen from the calculated data (Table 3), higher average vibration energy (ET) represents a higher Seebeck coefficient.
Summary of average vibrational energy, band gap, thermal and mobility activation energy.
| Average vibrational energy ET (×10–14), Joule/mole | Mobility activation energy, Ea (×10–20), Joule/mole | Band Gap, Eg, eV | Thermal Activation Energy, ED (×103), Joule/mole | |
|---|---|---|---|---|
| SPS-SiB6 + SiBn | 5.61 ± 0.1 | 6.25 ± 0.28 | 0.65 ± 0.03 | 3.19 ± 0.14 |
| SPS-SiBn | 1.00 ± 0.1 | 0.74 ± 0.02 | 0.025 ± 0.01 | 2.91 ± 0.22 |
| AM-SiB6 + SiBn | 2.15 ± 0.16 | 3.54 ± 0.26 | 0.33 ± 0.03 | 2.20 ± 0.12 |
| AM-SiBn | 2.17 ± 0.21 | 0.65 ± 0.02 | 0.04 ± 0.004 | 1.53 ± 0.10 |
| AM SiB6 | 2.3 ± 0.22 | 1.59 ± 0.11 | 0.1 ± 0.01 | 9.78 ± 0.94 |
| AM-SiB4 + SiB6 | 0.55 ± 0.1 | 0.79 ± 0.07 | 0.01 ± 0.002 | 1.62 ± 0.10 |
| Sintering SiB6 | 1.29 ± 0.2 | 6.54 ± 0.73 | 0.67 ± 0.082 | 3.87 ± 0.11 |
| CVD SiB6 | 1.17 ± 0.14 | 1.16 ± 0.05 | 0.056 ± 0.001 | 2.02 ± 0.17 |
| CVD SiB4 | 0.62 ± 0.04 | 0.41 ± 0.01 | 0.04 ± 0.0003 | 1.44 ± 0.17 |
| CVD SiBn(B/Si=60) | 3.43 ± 0.25 | 2.04 ± 0.14 | 0.15 ± 0.014 | – |
| CVD SiBn(B/Si=48) | 0.82 ± 0.11 | 4.88 ± 0.16 | 0.5 ± 0.017 | – |
| SPS-SiB6 | 2.59 ± 0.26 | 7.06 ± 0.70 | 0.71 ± 0.08 | – |
| HP-SiB6 | 1.57 ± 0.06 | 7.03 ± 0.06 | 0.71 ± 0.07 | – |
| Plasma melting (SiBn) | 7.91 ± 0.14 | 5.62 ± 0.33 | 0.58 ± 0.04 | – |
| Si92B8 | 0.5 ± 0.05 | 0.19 ± 0.01 | 0.064 ± 0.01 | 1.37 ± 0.12 |
The Seebeck coefficient also depends on the microstructure, i.e. grain size and the amount of twin boundaries, of the system [49]. The grain size and twin boundaries are, of course, different in different procedures, causing the differences in the Seebeck coefficient. These grains/twin boundaries from stacking faults provide a potential barrier between the grains and in effect increases the average vibrational carrier energy (ET), thereby increasing the Seebeck coefficient [55].
Yet again, the Seebeck coefficient in the boron-rich Si-B system is mostly positive irrespective of the processing methods. This confirms the p-type semiconducting behavior of the Si-B system. The only exceptions are identified for SiB6 at 573 K. At this temperature or below, SiB6 phase shows only n-type semiconducting behavior for both HP and SPS processes.
Figures 7–9 shows the electronic transport properties of the boron-rich silicon system. The electrical conductivity of boron-rich silicon system is extrapolated here to compare its dependency on various processing methods and phases. Increasing electrical transport property in a particular system exclusively depends on carrier concentration tuning [56, 57, 58, 59] and/or band structure engineering [56, 57, 58, 60, 61]. As seen in Figure 7, the electrical conductivity increases with an increase in temperature for every processing method. This behavior suggests the degenerated performance of the Si-B system [62] resulting from its semiconductor-like behavior at a high temperature [49]. A high temperature causes small polar ion hopping to produce an Arrhenius type relationship which is a thermally activated conductivity with a temperature dependent prefactor for semiconductor properties [63]. Explicitly,
![Figure 7: A semi log (Arrhenius-type) plot of ln (σ) versus T−1: SPS SiB6 + SiBn [45], SPS SiBn [45], AM SiB6 + SiBn [45], AM SiBn [45], AM-SiB6 [46], AM- SiB4 + SiB6 [46], Sintering [47], CVD SiB6 [48], CVD SiB4 [48], CVD SiBn(B/Si=60) [49], CVD SiBn(B/Si=48), SPS SiB6 [50], HP SiB6 [50], Plasma melting [49], SPS Si92B8 [51].](/document/doi/10.1515/htmp-2018-0077/asset/graphic/j_htmp-2018-0077_fig_007.jpg)
A semi log (Arrhenius-type) plot of ln (σ) versus T−1:
SPS SiB6 + SiBn [45],
SPS SiBn [45],
AM SiB6 + SiBn [45],
AM SiBn [45],
AM-SiB6 [46],
AM- SiB4 + SiB6 [46],
Sintering [47],
CVD SiB6 [48],
CVD SiB4 [48],
CVD SiBn(B/Si=60) [49],
CVD SiBn(B/Si=48),
SPS SiB6 [50],
HP SiB6 [50],
Plasma melting [49],
SPS Si92B8 [51].
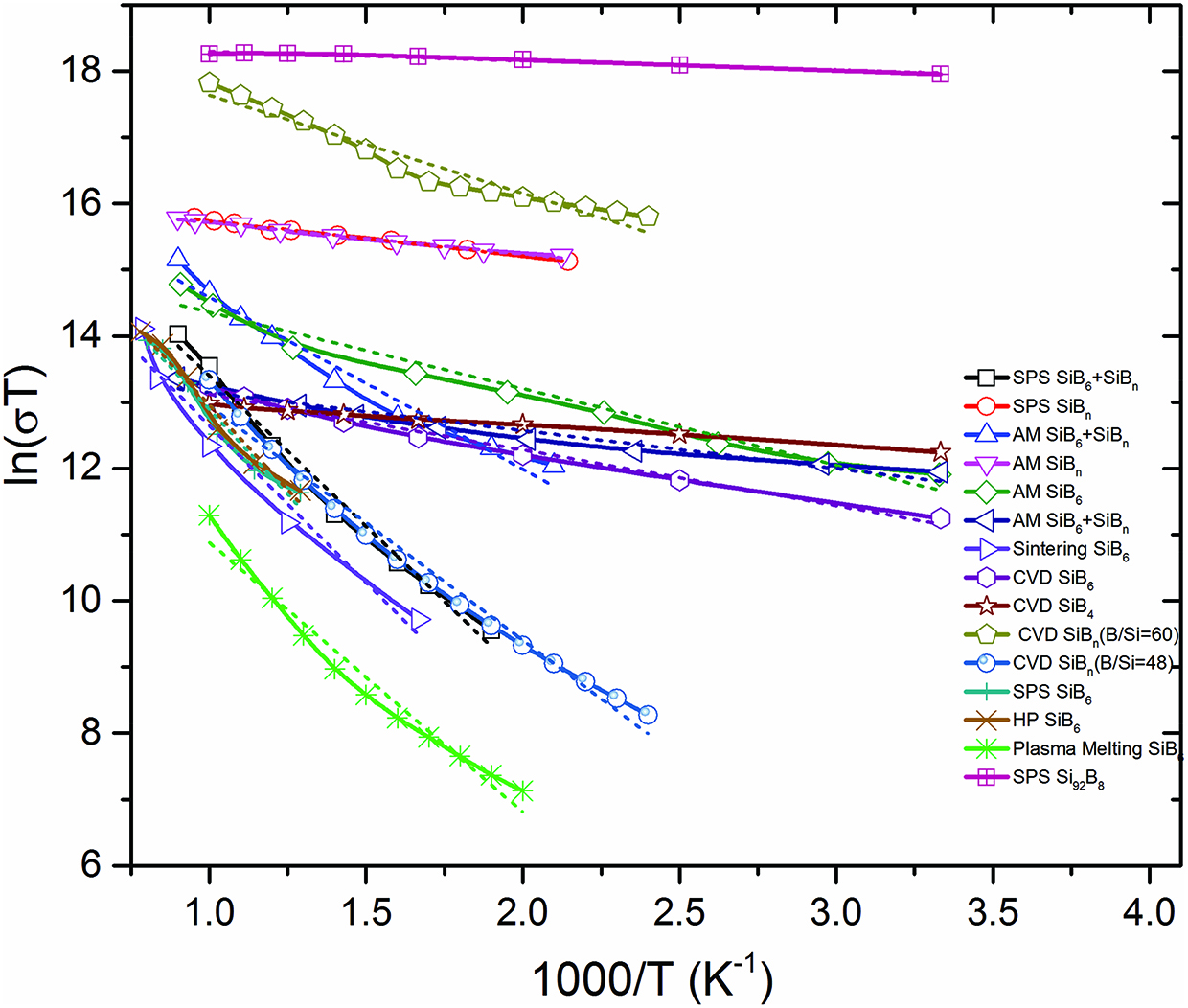
![Figure 8: A semi log (Arrhenius-type) plot of ln σT versus T−1: SPS SiB6 + SiBn [45], SPS SiBn [45], AM SiB6 + SiBn [45], AM SiBn [45], AM-SiB6 [46], AM- SiB4 + SiB6 [46], Sintering [47], CVD SiB6 [48], CVD SiB4 [48], CVD SiBn(B/Si=60) [49], CVD SiBn(B/Si=48), SPS SiB6 [50], HP SiB6 [50], Plasma melting [49], SPS Si92B8 [51].](/document/doi/10.1515/htmp-2018-0077/asset/graphic/j_htmp-2018-0077_fig_008.jpg)
A semi log (Arrhenius-type) plot of ln σT versus T−1:
SPS SiB6 + SiBn [45],
SPS SiBn [45],
AM SiB6 + SiBn [45],
AM SiBn [45],
AM-SiB6 [46],
AM- SiB4 + SiB6 [46],
Sintering [47],
CVD SiB6 [48],
CVD SiB4 [48],
CVD SiBn(B/Si=60) [49],
CVD SiBn(B/Si=48),
SPS SiB6 [50],
HP SiB6 [50],
Plasma melting [49],
SPS Si92B8 [51].
Here, EA is the mobility activation energy, k is the Boltzmann constant, and T is the absolute temperature. Besides, the generalized temperature dependent Arrhenius type conductivity expression is simply [64],
where Eg is the band gap. By taking logarithm of each side of eqs. (8) and (9), we obtain
which indicates that ln (σT) vs. T−1 and ln σ vs T−1 give a straight line with a slope of –EA/k and –Eg/2k, respectively. Figure 7 and 8 exhibit this linearity (R square>~94) with the literature data and plotted in an Arrhenius plot. The mobility activation energy (EA) and the band gap (Eg) are calculated from this Arrhenius plot and summarized in Table 3.
Both EA and Eg values correlate with each other. The lower the EA and Eg values, the higher the conductivity. For example, with an identical processing (SPS) route, SiB6 has higher EA (7.06×10–20 J) and Eg (0.71 eV) values than those of SiBn (EA ~ 0.74×10–20 J, Eg ~ 0.025 eV) phases.
This indicates that the boron content increases the carrier concentration in the valence band which pulls the fermi level down to the conduction band and therefore, the material behaves more like an intrinsic semiconductor. It helps the thermal excitation of electrons from the valence band to conduction band more easily due to the convergence of the band gap, and shows higher conductivity at higher temperatures [56, 57, 58, 60, 61]. In addition, the CVD process shows extraordinary electrical conductivity for boron-rich Si-B systems compared to other melting processes. This confirms the fact that the electrical conductivity is affected by melting, which creates micro-cracks or inner porosity during the solidification [49].
In Figure 9, thermal conductivity is illustrated with respect to temperature for various processing methods. Thermal conductivity decreases with an increase in temperature. Higher amounts of free Si causes a higher thermal conductivity [45, 46, 48, 49, 65]. For example, Si92B8 shows higher thermal conductivity than the other phases. A highly dense system or multiphase system has higher phonon scattering at a higher temperature than a low density system [66, 67, 68, 69]. Thermal energy is mainly transmitted through the movement of phonons (lattice thermal diffusion), photons (radiation), and electrons. So, an effective thermal conductivity is represented by the eq. (12) [5, 9],
The effect of photonic thermal transport within solids is negligible. But the other two components (eq. (12)) are significant towards controlling/reducing the thermal conductivity through the movement of phonons or electronic scattering [5]. It can be depressed by hierarchical architectures [66, 67, 68, 69] (atomic/nano/mesostructures, complex phase structures) which provide anharmonic phonon (lattice)/electronic scattering [70].
To understand the thermal conductivity, thermal diffusivity terms (eq. (13)) need to be considered [71].
where D is the thermal diffusivity, ρ is the density and Cp is the specific heat capacity.
Maxwell and Boltzmann’s distribution indicates that the thermal diffusion of individual atoms varies over a wide range. And this variation occurs exponentially with a change in the temperature level. Therefore,
where D0 is the pre-exponential factor and ED is the thermal activation energy for diffusion. By taking logarithm on each side of eq. (15), we obtain
which indicates that ln (k) vs. T−1 gives a straight line with a slope of –ED/R. Figure 9 demonstrates this linearity (R-square>~92) with the literature data and plotted in a semilog plot (Arrhenius type). The diffusional-thermal activation energy (ED) is calculated from this Arrhenius plot and summarized in Table 3.
From the calculated ED, it can be inferred that the higher the activation energy, the lower the thermal conductivity in different processing routes and phases. This indicates that higher energies are needed when the phonon or the electron scattering occurs due to having different phases, impurities, cracks, grains and grain boundaries. Sintering and SPS exhibit higher diffusional activation energy. In SPS, higher stacking fault with a highly dense system creates the phonon and electron scattering and can obtain a higher activation energy for the SPS process. On the other hand, pores are the main reasons for scattering in the sintering process, and thereby increase the activation energy. The latter process is not suitable for TE materials since these pores are the cause for the low electrical conductivity and Seebeck coefficient.
For a higher ZT, lower thermal conductivity is desired. However, higher density is still preferred due to the resultant high Seebeck coefficient and electrical conductivity, which overcomes the effect of the increased thermal conductivity. Moreover, all of the boron-rich Si-B systems show a decreasing trend of thermal conductivity with an increase in temperature. This advantage makes it a better candidate for high temperature thermoelectric materials.
Figure 10 compares the ZT values found in different studies on the boron-rich silicon borides system. Depending on different processing routes, ZT values differ significantly. The denser the structure, the higher the ZT value of the same phase. The SPS specimen having 90 at.% B (SiB6 + SiBn) shows ZT=~0.2 in the boron-rich Si-B system [45]. Moreover, arc melted SiBn shows almost the same ZT at around 1200 K. However, SiB6 via CVD has a lower ZT (~0.01) value at around 1100 K [46]. The Si-rich Si-B system is also discussed in the literature [51]. This phase shows higher ZT (~0.29) than boron-rich borides, as an excess amount of the free Si is present in this system. Though the ZT value is a little higher at 1100 K for Si-rich borides, it has lower thermal stability (Figure 2) than boron-rich borides. All the thermoelectric properties of the boron-rich silicon system are summarized in Table 4.
Summary of the thermoelectric properties of Si-B system in the temperature range around 500–1100 K (* different temperature range).
| Phases | Preparation | Seebeck coefficient (µV/K) | Thermal conductivity (W/m*K) | Electrical conductivity (S/m) | Figure of Merit (ZT)max |
|---|---|---|---|---|---|
| SiBn | SPS [45] | ~397–316 | ~7.96–5.2 | ~8207–7101 | 0.013 |
| AM [46] | ~135–287 | ~7.18–5.6 | ~7924–6144 | 0.096 | |
| CVD [49] | ~50–250 | – | ~18,233–54,102* (1000 K) | – | |
| SiBn+SiB6 | SPS [45] | ~450–910 | ~8.5–5.2 | ~15–1077 | 0.2 |
| AM [45] | 120–282 | ~9.11–6.6 | ~315–3196 | 0.04 | |
| SiB6 | AM [46] | ~168–453*(1023 K) | ~6.5–5.72 | ~932–2393 | 0.099 |
| CVD [48] | ~220–309* (900 K) | ~1.70–1.31 | ~377–522 | 0.01 | |
| Sintering [47] | ~ −26–66 | ~5.33–2.62 | ~25–338 | 0.001 | |
| SiB3 | CVD [48] AM | ~86–125*(950 K) | ~1.55–1.26 | ~806–750 | 0.008 |
| SiB3+SiB6 | [46] | 115–230 | 13.08–7.81 | ~515–573 | 0.03 |
Figure 11 indicates the dependence of ZT with an increasing boron concentration in the boron-rich borides at a constant temperature. It is observed that SiB6 + SiBn composite phase shows the maximum ZT at 1100 K. From Figures 10 and 11, it can also be inferred that ZT depends on both boron concentration and the processing routes for B rich borides system. In addition, it can be determined from Figure 5 that ZT also depends on the entropy of the system. Among these three boron-rich Si-B systems, SiBn shows the lowest degree of randomness. The SiB6 + SiBn (90 at.% B) composite phase has a higher phonon scattering, since it comprises different phases which give a higher Seebeck coefficient. Due to its lower degree of randomness, phonon/electron scattering and phonon-assisted hopping conduction cause high electrical conductivity and lower thermal conductivity. And this leads to a high ZT of this boron-rich boride system.

Boron content dependence of figure of merit (ZT).
Additionally, different studies claim that every material has its peak temperature for ZT [4]. Above that temperature, ZT decreases with an increase in temperature. For example, GeSi is reported to show its peak (ZT=2) at 1100 K [13], though it can be thermally stable up to around 1600 K. The thermoelectric power generation efficiency is higher at that peak temperature. For the boron-rich Si-B system, the peak has not been found in the literature yet. From Figure 10, it is observed that all the ZT values are still on an increasing trend. This observation leads to inspiration for further studies to examine up to 2310 K (melting point of SiBn) to find a super high ZT for an extremely high-temperature condition.
Conclusion
The boron-rich Si-B system is investigated in this study as a potential high-temperature thermoelectric materials. Both thermodynamic stability and thermoelectric transport properties are reviewed based on the existing literature. Thermodynamic stability of Si-B system is assessed through both the current calculation of Thermo-Calc thermodynamic modeling software and the literature data. The discussion also touches upon other relevant literature on the boron-rich Si-B system. Three single binary phases are identified in the Si-B system. Among these phases, SiBn and SiB6 show very high melting points of 2310 K and 2122 K, respectively. The high negative formation Gibbs energy of these phases also confirms the thermodynamic stability of the phases. The transport properties, including electrical and thermal conductivity and the Seebeck coefficient of the Si-B system, largely depend on the processing routes and the boron content of the system. This results in a dependence of ZT on those variables. Furthermore, the degree of randomness (entropy) of a system play a vital role on the ZT. In this study, SiBn exhibits the lowest entropy, and the composite phase (SiB6 + SiBn) that contains SiBn shows the highest ZT value within the boron-rich Si-B system. In addition, it can be concluded that no peak ZT value has been reported yet for the Si-B system. A further study can be done to investigate the maximum ZT value at extremely high temperatures for the boron-rich silicon borides system.
Acknowledgements
The authors gratefully acknowledge the financial support, Grant No. DMR-1310072, of the National Science Foundation (NSF). The authors want to acknowledge the financial support from American Cast Iron Pipe Company (ACIPCO) and Department of Metallurgical and Materials Engineering at the University of Alabama.
References
[1] EIA, U.S. International Energy Statistics. 2016; Available from: https://www.eia.gov/cfapps/ipdbproject/iedindex3.cfm?tid=44&pid=44&aid=2&cid=ww,&syid=2008&eyid=2012&unit=QBTU.Search in Google Scholar
[2] BCS, Waste Heat Recovery: Technology and Opportunities in U.S. Industry, in US Department of Energy 2008.Search in Google Scholar
[3] X. Gou, H. Xiao and S. Yang, Modeling, experimental study and optimization on low-temperature waste heat thermoelectric generator system, Appl. Energy, 87(10) (2010) 3131–3136.10.1016/j.apenergy.2010.02.013Search in Google Scholar
[4] J.-C. Zheng, Recent advances on thermoelectric materials, Front. Phys. China, 3(3) (2008) 269–279.10.1007/s11467-008-0028-9Search in Google Scholar
[5] G.J. Snyder and E.S. Toberer, Complex thermoelectric materials, Nat. Mater., 7(2) (2008) 105–114.10.1038/nmat2090Search in Google Scholar
[6] T.J. Seebeck, Magnetische Polarisation der Metalle und Erze durch Temperatur-Differenz, Abhandlungen der Deutschen Akademie der Wissenschaften zu, Berlin (1823), pp. 265–373.Search in Google Scholar
[7] H.J. Goldsmid, Electronic Refrigeration, Pion, London, UK (1986).Search in Google Scholar
[8] G.D. Mahan and J.O. Sofo, The best thermoelectric, Proc. Natl. Acad. Sci. U.S.A., 93(15) (1996) 7436–7439.10.1073/pnas.93.15.7436Search in Google Scholar
[9] R. Eriksson and S. Seetharaman, Thermal diffusivity measurements of some synthetic CaO-Al2O3-SiO2 slags, Metall. Mater. Tran. B, 35(3) (2004) 461–469.10.1007/s11663-004-0047-zSearch in Google Scholar
[10] R. Venkatasubramanian, et al., Thin-film thermoelectric devices with high room-temperature figures of merit, Nature, 413(6856) (2001) 597–602.10.1038/35098012Search in Google Scholar
[11] G. Wu, et al., Properties of sol–Gel derived scratch-resistant nano-porous silica films by a mixed atmosphere treatment, J. Non- Cryst. Solids., 275(3) (2000) 169–174.10.1016/S0022-3093(00)00257-XSearch in Google Scholar
[12] G. Joshi, et al., Enhanced Thermoelectric Figure-of-Merit in Nanostructured p-type Silicon Germanium Bulk Alloys, Nano Lett., 8(12) (2008) 4670–4674.10.1021/nl8026795Search in Google Scholar PubMed
[13] E.K. Lee, et al., Large Thermoelectric Figure-of-Merits from SiGe Nanowires by Simultaneously Measuring Electrical and Thermal Transport Properties, Nano Lett., 12(6) (2012) 2918–2923.10.1021/nl300587uSearch in Google Scholar PubMed
[14] R.W. Olesinski and G.J. Abbaschian, The B−Si (Boron-Silicon) system, Bull. Alloy Phase Digrm., 5(5) (1984) 478–484.10.1007/BF02872900Search in Google Scholar
[15] B. Armas, et al., Fabrication and study of electrical properties of boron silicon compounds with high boron concentration, J. Less Common. Met., 47 (1976) 135–140.10.1016/0022-5088(76)90088-6Search in Google Scholar
[16] Y.O. Esin, et al., Ethalpies formation of liquid alloys of silicon with boron, J. Struct. Prop. Metall. Slag Melts., 3(2) (1978) 182–183.Search in Google Scholar
[17] A. Zaitsev and A. Kodentsov, Thermodynamic properties and phase equilibria in the Si-B system, J. Phase Equilib., 22(2) (2001) 126–135.10.1361/105497101770338987Search in Google Scholar
[18] A.K. Biletskii, et al., Metals, 3 (1988) 66–68.10.3406/rbph.1988.3617Search in Google Scholar
[19] R. Noguchi, et al., Thermodynamics of boron in a silicon melt, Metall. Mater. Tran. B, 25(6) (1994) 903–907.10.1007/BF02662772Search in Google Scholar
[20] J. Wu, et al., Thermodynamic description of Si-B binary system, Procedia Eng., 31 (2012) 297–301.10.1016/j.proeng.2012.01.1027Search in Google Scholar
[21] A.I. Zaitsev and A.A. Kodentsov, Thermodynamic properties and phase equilibria in the Si-B system, J. Phase Equilib., 22(2) (2001) 126–135.10.1361/105497101770338987Search in Google Scholar
[22] B. Armas, et al., A study of the thermal decomposition of gaseous Si-B bromides under reduced pressure, J. Less Common. Met., 67(2) (1979) 449–453.10.1016/0022-5088(79)90026-2Search in Google Scholar
[23] J.-O. Andersson, et al., Thermo-Calc & DICTRA, computational tools for materials science, Calphad, 26(2) (2002) 273–312.10.1016/S0364-5916(02)00037-8Search in Google Scholar
[24] R.W. Cahn, Binary Alloy Phase Diagrams, Adv. Mater., 3(12) (1991) 628–629.10.1002/adma.19910031215Search in Google Scholar
[25] H. Moissan and A. Stock, Preparation and Properties of Two Silicon Borides: SiB3 and SiB6, C. R. Acad. Sci. (Paris), 131 (1900) 139–143.Search in Google Scholar
[26] G.V. Samsonov and V.P. Latysheva, Doklady Akad, Nauk SSSR, 405 (1955) 104–108.Search in Google Scholar
[27] J.R. Salvador, et al., Stabilization of beta-SiB3 from liquid Ga: A boron-rich binary semiconductor resistant to high-temperature air oxidation, Angew Chem., 42(17) (2003) 1929–1932.10.1002/anie.200219986Search in Google Scholar PubMed
[28] C. Brosset and B. Magnusson, The silicon-boron system, Nature, 187 (1960) 54–55.10.1038/187054a0Search in Google Scholar
[29] C.F. Cline and D.E. Sands, A New Silicon Boride, SiB4, Nature, 185 (1960) 456–456.10.1038/185456a0Search in Google Scholar
[30] V. Matkovich, A new form of boron silicide, B4Si, Acta Crystallogr., 13(8) (1960) 679–680.10.1107/S0365110X6000159XSearch in Google Scholar
[31] M. Vlasse, et al., The crystal structure of SiB6, J. Solid State Chem., 63(1) (1986) 31–45.10.1016/0022-4596(86)90149-0Search in Google Scholar
[32] B. Armas, et al., Determination of the boron-rich side of the B-Si phase diagram, J. Less Common. Met., 82 (1981) 245–254.10.1016/0022-5088(81)90225-3Search in Google Scholar
[33] L. Kaufman, et al., Coupled pair potential, thermochemical and phase diagram data for transition metal binary systems-VII, Calphad, 8(1) (1984) 25–66.10.1016/0364-5916(84)90026-9Search in Google Scholar
[34] N.A. Arutyunyan, A.I. Zaitsev and N.G. Shaposhnikov, Analyzing the phase composition of Si-B and Si-B-Ti alloys based on silicon, Russ J. Phys. Chem. A, 86(3) (2012) 339–341.10.1134/S0036024412030028Search in Google Scholar
[35] R.R. Dirkx and K.E. Spear, Optimization of thermodynamic data for silicon borides, Calphad, 11(2) (1987) 167–175.10.1016/0364-5916(87)90011-3Search in Google Scholar
[36] O.P. Watts, An Investigation of the Borides and the Silicides, Madison, WI: University of Wisconsin (1906).Search in Google Scholar
[37] E. Colton, On the boron-silicon reaction, J. Inorg. Nucl. Chem., 17(1) (1961) 108–111.10.1016/0022-1902(61)80193-0Search in Google Scholar
[38] L. Brewer, et al., J. Am. Ceram. Soc., 34 (1951) 173–179.10.1111/j.1151-2916.1951.tb11631.xSearch in Google Scholar
[39] J.A. Stavrolakis, H.N. Barr and H.H. Rice, Investigation of Boride Cermets, J. Am. Ceram. Soc. Bull., 35(2) (1956) 47–52.Search in Google Scholar
[40] C.F. Cline, Preliminary Investigations of the Silicon Boride, SiB6, Nature, 181 (1958) 470–477.10.1038/181476b0Search in Google Scholar
[41] C.F. Cline, An Investigation of the Compound Silicon Boride (SiB6), J. Electrochem. Soc., 106(4) (1959) 322–325.10.1149/1.2427339Search in Google Scholar
[42] W. Dietze, M. Miller and E. Amberger, Electron. Technol., 3(1–2) (1970) 73–79.Search in Google Scholar
[43] H. Nowotny, E. Dimakopoulou and H. Kudielka, Untersuchungen in den Dreistoffsystemen: Molybdän-Silizium-Bor, Wolfram-Silizium-Bor und in dem System: VSi2−TaSi2, Monatshefte für Chemie und verwandte Teile anderer Wissenschaften, 88(2) (1957) 180–192.10.1007/BF00901624Search in Google Scholar
[44] V. Matkovich, R. Giese and J. Economy, Packing of B12 groups in boron and boride structures, Zeitschrift für Kristallographie-Crystalline Materials, 122(1–6) (1965) 116–130.10.1524/zkri.1965.122.1-2.116Search in Google Scholar
[45] L. Chen, et al., Synthesis and thermoelectric properties of boron-rich silicon borides, Mater. Trans. JIM, 37(5) (1996) 1182–1185.10.2320/matertrans1989.37.1182Search in Google Scholar
[46] L. Chen, et al. Microstructure and thermoelectric properties of arc-melted silicon borides. in Thermoelectrics, 1997. Proceedings ICT ‘97. XVI International Conference on. 1997.10.1109/ICT.1997.667084Search in Google Scholar
[47] N. Takashima, Y. Azuma and J.-I. Matsushita. High-Temperature Thermoelectric Properties of Silicon Boride Ceramics as a Smart Material. in MRS Proceedings. 1999. Cambridge Univ Press.10.1557/PROC-604-233Search in Google Scholar
[48] M. Mukaida, T. Goto and T. Hirai, Thermoelectrical Properties of Si-Ti-B In Situ Composite Plates Prepared by Chemical Vapor Deposition, Mater. Manuf. Process, 7(4) (1992) 625–647.10.1080/10426919208947445Search in Google Scholar
[49] M. Mukaida, et al. Influence of structures and compositions on thermoelectric properties of silicon borides. in Thermoelectrics, 2001. Proceedings ICT 2001. XX International Conference on. 2001. IEEE.10.1109/ICT.2001.979874Search in Google Scholar
[50] S.-H. Shim, et al., Thermoelectric characteristics of the spark plasma-sintered silicon boride ceramics, J. Korean Cryst. Growth Cryst. Technol., 15(2) (2005) 75–78.Search in Google Scholar
[51] J. Xie, et al., Thermoelectric properties of Si/SiB3 sub-micro composite prepared by melt-spinning technique, J. Appl. Phys., 118(6) (2015) 065103.10.1063/1.4928463Search in Google Scholar
[52] C. Wood and D. Emin, Conduction mechanism in boron carbide, Phys. Rev. B, 29(8) (1984) 4582–4587.10.1103/PhysRevB.29.4582Search in Google Scholar
[53] D. Emin, Thermoelectric Power Due to Electronic Hopping Motion, Phys. Rev. Lett., 35(13) (1975) 882–885.10.1103/PhysRevLett.35.882Search in Google Scholar
[54] T. Nakayama, J. Shimizu and K. Kimura, Thermoelectric Properties of Metal-Doped β-Rhombohedral Boron, J. Solid State Chem., 154(1) (2000) 13–19.10.1006/jssc.2000.8804Search in Google Scholar
[55] J. Martin, et al., Enhanced Seebeck coefficient through energy-barrier scattering in PbTe nanocomposites, Phys. Rev. B, 79(11) (2009) 115311.10.1103/PhysRevB.79.115311Search in Google Scholar
[56] H. Wang, et al., Heavily Doped p‐Type PbSe with High Thermoelectric Performance: An Alternative for PbTe, Adv. Mater., 23(11) (2011) 1366–1370.10.1002/adma.201004200Search in Google Scholar PubMed
[57] H. Wang, et al., Weak electron–Phonon coupling contributing to high thermoelectric performance in n-type PbSe, Proc. Natl. Acad. Sci., 109(25) (2012) 9705–9709.10.1073/pnas.1111419109Search in Google Scholar PubMed PubMed Central
[58] Y. Pei, et al., Stabilizing the optimal carrier concentration for high thermoelectric efficiency, Adv. Mater., 23(47) (2011) 5674–5678.10.1002/adma.201103153Search in Google Scholar PubMed
[59] L.-D. Zhao, V.P. Dravid and M.G. Kanatzidis, The panoscopic approach to high performance thermoelectrics, Energy Environ. Sci., 7(1) (2014) 251–268.10.1039/C3EE43099ESearch in Google Scholar
[60] J.P. Heremans, et al., Enhancement of thermoelectric efficiency in PbTe by distortion of the electronic density of states, Science, 321(5888) (2008) 554–557.10.1126/science.1159725Search in Google Scholar PubMed
[61] Y. Pei, et al., Convergence of electronic bands for high performance bulk thermoelectrics, Nature, 473(7345) (2011) 66–69.10.1038/nature09996Search in Google Scholar PubMed
[62] T. Goto, M.M.a.T.H., Chemical Vapor Deposition of Refractory Metals and Ceramics, Mater. Res. Soc. Symp. Proc., 168 (1990) 159–168.10.1557/PROC-168-167Search in Google Scholar
[63] D. Emin, Small polarons, Phys. Today, 35(6) (1982) 34–40.10.1063/1.2938044Search in Google Scholar
[64] J.F. Shackelford, Introduction to Materials Science for Engineers, Pearson Education,Inc (2005).Search in Google Scholar
[65] J. Li, T. Goto and T. Hirai, Thermoelectric Properties of B4C-SiBn (n=4,6,14) In-situ Composites, Mater. Trans. JIM, 40(4) (1999) 314–319.10.2320/matertrans1989.40.314Search in Google Scholar
[66] K. Biswas, et al., High-performance bulk thermoelectrics with all-scale hierarchical architectures, Nature, 489(7416) (2012) 414–418.10.1038/nature11439Search in Google Scholar PubMed
[67] L. Zhao, et al., All-scale hierarchical thermoelectrics: MgTe in PbTe facilitates valence band convergence and suppresses bipolar thermal transport for high performance, Energy Environ. Sci., 6(11) (2013) 3346–3355.10.1039/c3ee42187bSearch in Google Scholar
[68] L.-D. Zhao, et al., High thermoelectric performance via hierarchical compositionally alloyed nanostructures, J. Am. Chem. Soc., 135(19) (2013) 7364–7370.10.1021/ja403134bSearch in Google Scholar PubMed
[69] L.-D. Zhao, et al., Raising the thermoelectric performance of p-type PbS with endotaxial nanostructuring and valence-band offset engineering using CdS and ZnS, J. Am. Chem. Soc., 134(39) (2012) 16327–16336.10.1021/ja306527nSearch in Google Scholar PubMed
[70] O. Delaire, et al., Giant anharmonic phonon scattering in PbTe, Nat. Mater., 10(8) (2011) 614–619.10.1038/nmat3035Search in Google Scholar PubMed
[71] J. Unsworth and F.J. Duarte, Heat diffusion in a solid sphere and Fourier theory: An elementary practical example, Am. J. Phys., 47(11) (1979) 981–983.10.1119/1.11601Search in Google Scholar
© 2019 Walter de Gruyter GmbH, Berlin/Boston
This work is licensed under the Creative Commons Attribution 4.0 Public License.
Articles in the same Issue
- Frontmatter
- Review Article
- Research on the Influence of Furnace Structure on Copper Cooling Stave Life
- Influence of High Temperature Oxidation on Hydrogen Absorption and Degradation of Zircaloy-2 and Zr 700 Alloys
- Correlation between Travel Speed, Microstructure, Mechanical Properties and Wear Characteristics of Ni-Based Hardfaced Deposits over 316LN Austenitic Stainless Steel
- Factors Influencing Gas Generation Behaviours of Lump Coal Used in COREX Gasifier
- Experiment Research on Pulverized Coal Combustion in the Tuyere of Oxygen Blast Furnace
- Phosphate Capacities of CaO–FeO–SiO2–Al2O3/Na2O/TiO2 Slags
- Microstructure and Interface Bonding Strength of WC-10Ni/NiCrBSi Composite Coating by Vacuum Brazing
- Refill Friction Stir Spot Welding of Dissimilar 6061/7075 Aluminum Alloy
- Solvothermal Synthesis and Magnetic Properties of Monodisperse Ni0.5Zn0.5Fe2O4 Hollow Nanospheres
- On the Capability of Logarithmic-Power Model for Prediction of Hot Deformation Behavior of Alloy 800H at High Strain Rates
- 3D Heat Conductivity Model of Mold Based on Node Temperature Inheritance
- 3D Microstructure and Micromechanical Properties of Minerals in Vanadium-Titanium Sinter
- Effect of Martensite Structure and Carbide Precipitates on Mechanical Properties of Cr-Mo Alloy Steel with Different Cooling Rate
- The Interaction between Erosion Particle and Gas Stream in High Temperature Gas Burner Rig for Thermal Barrier Coatings
- Permittivity Study of a CuCl Residue at 13–450 °C and Elucidation of the Microwave Intensification Mechanism for Its Dechlorination
- Study on Carbothermal Reduction of Titania in Molten Iron
- The Sequence of the Phase Growth during Diffusion in Ti-Based Systems
- Growth Kinetics of CoB–Co2B Layers Using the Powder-Pack Boriding Process Assisted by a Direct Current Field
- High-Temperature Flow Behaviour and Constitutive Equations for a TC17 Titanium Alloy
- Research on Three-Roll Screw Rolling Process for Ti6Al4V Titanium Alloy Bar
- Continuous Cooling Transformation of Undeformed and Deformed High Strength Crack-Arrest Steel Plates for Large Container Ships
- Formation Mechanism and Influence Factors of the Sticker between Solidified Shell and Mold in Continuous Casting of Steel
- Casting Defects in Transition Layer of Cu/Al Composite Castings Prepared Using Pouring Aluminum Method and Their Formation Mechanism
- Effect of Current on Segregation and Inclusions Characteristics of Dual Alloy Ingot Processed by Electroslag Remelting
- Investigation of Growth Kinetics of Fe2B Layers on AISI 1518 Steel by the Integral Method
- Microstructural Evolution and Phase Transformation on the X-Y Surface of Inconel 718 Ni-Based Alloys Fabricated by Selective Laser Melting under Different Heat Treatment
- Characterization of Mn-Doped Co3O4 Thin Films Prepared by Sol Gel-Based Dip-Coating Process
- Deposition Characteristics of Multitrack Overlayby Plasma Transferred Arc Welding on SS316Lwith Co-Cr Based Alloy – Influence ofProcess Parameters
- Elastic Moduli and Elastic Constants of Alloy AuCuSi With FCC Structure Under Pressure
- Effect of Cl on Softening and Melting Behaviors of BF Burden
- Effect of MgO Injection on Smelting in a Blast Furnace
- Structural Characteristics and Hydration Kinetics of Oxidized Steel Slag in a CaO-FeO-SiO2-MgO System
- Optimization of Microwave-Assisted Oxidation Roasting of Oxide–Sulphide Zinc Ore with Addition of Manganese Dioxide Using Response Surface Methodology
- Hydraulic Study of Bubble Migration in Liquid Titanium Alloy Melt during Vertical Centrifugal Casting Process
- Investigation on Double Wire Metal Inert Gas Welding of A7N01-T4 Aluminum Alloy in High-Speed Welding
- Oxidation Behaviour of Welded ASTM-SA210 GrA1 Boiler Tube Steels under Cyclic Conditions at 900°C in Air
- Study on the Evolution of Damage Degradation at Different Temperatures and Strain Rates for Ti-6Al-4V Alloy
- Pack-Boriding of Pure Iron with Powder Mixtures Containing ZrB2
- Evolution of Interfacial Features of MnO-SiO2 Type Inclusions/Steel Matrix during Isothermal Heating at Low Temperatures
- Effect of MgO/Al2O3 Ratio on Viscosity of Blast Furnace Primary Slag
- The Microstructure and Property of the Heat Affected zone in C-Mn Steel Treated by Rare Earth
- Microwave-Assisted Molten-Salt Facile Synthesis of Chromium Carbide (Cr3C2) Coatings on the Diamond Particles
- Effects of B on the Hot Ductility of Fe-36Ni Invar Alloy
- Impurity Distribution after Solidification of Hypereutectic Al-Si Melts and Eutectic Al-Si Melt
- Induced Electro-Deposition of High Melting-Point Phases on MgO–C Refractory in CaO–Al2O3–SiO2 – (MgO) Slag at 1773 K
- Microstructure and Mechanical Properties of 14Cr-ODS Steels with Zr Addition
- A Review of Boron-Rich Silicon Borides Basedon Thermodynamic Stability and Transport Properties of High-Temperature Thermoelectric Materials
- Siliceous Manganese Ore from Eastern India:A Potential Resource for Ferrosilicon-Manganese Production
- A Strain-Compensated Constitutive Model for Describing the Hot Compressive Deformation Behaviors of an Aged Inconel 718 Superalloy
- Surface Alloys of 0.45 C Carbon Steel Produced by High Current Pulsed Electron Beam
- Deformation Behavior and Processing Map during Isothermal Hot Compression of 49MnVS3 Non-Quenched and Tempered Steel
- A Constitutive Equation for Predicting Elevated Temperature Flow Behavior of BFe10-1-2 Cupronickel Alloy through Double Multiple Nonlinear Regression
- Oxidation Behavior of Ferritic Steel T22 Exposed to Supercritical Water
- A Multi Scale Strategy for Simulation of Microstructural Evolutions in Friction Stir Welding of Duplex Titanium Alloy
- Partition Behavior of Alloying Elements in Nickel-Based Alloys and Their Activity Interaction Parameters and Infinite Dilution Activity Coefficients
- Influence of Heating on Tensile Physical-Mechanical Properties of Granite
- Comparison of Al-Zn-Mg Alloy P-MIG Welded Joints Filled with Different Wires
- Microstructure and Mechanical Properties of Thick Plate Friction Stir Welds for 6082-T6 Aluminum Alloy
- Research Article
- Kinetics of oxide scale growth on a (Ti, Mo)5Si3 based oxidation resistant Mo-Ti-Si alloy at 900-1300∘C
- Calorimetric study on Bi-Cu-Sn alloys
- Mineralogical Phase of Slag and Its Effect on Dephosphorization during Converter Steelmaking Using Slag-Remaining Technology
- Controllability of joint integrity and mechanical properties of friction stir welded 6061-T6 aluminum and AZ31B magnesium alloys based on stationary shoulder
- Cellular Automaton Modeling of Phase Transformation of U-Nb Alloys during Solidification and Consequent Cooling Process
- The effect of MgTiO3Adding on Inclusion Characteristics
- Cutting performance of a functionally graded cemented carbide tool prepared by microwave heating and nitriding sintering
- Creep behaviour and life assessment of a cast nickel – base superalloy MAR – M247
- Failure mechanism and acoustic emission signal characteristics of coatings under the condition of impact indentation
- Reducing Surface Cracks and Improving Cleanliness of H-Beam Blanks in Continuous Casting — Improving continuous casting of H-beam blanks
- Rhodium influence on the microstructure and oxidation behaviour of aluminide coatings deposited on pure nickel and nickel based superalloy
- The effect of Nb content on precipitates, microstructure and texture of grain oriented silicon steel
- Effect of Arc Power on the Wear and High-temperature Oxidation Resistances of Plasma-Sprayed Fe-based Amorphous Coatings
- Short Communication
- Novel Combined Feeding Approach to Produce Quality Al6061 Composites for Heat Sinks
- Research Article
- Micromorphology change and microstructure of Cu-P based amorphous filler during heating process
- Controlling residual stress and distortion of friction stir welding joint by external stationary shoulder
- Research on the ingot shrinkage in the electroslag remelting withdrawal process for 9Cr3Mo roller
- Production of Mo2NiB2 Based Hard Alloys by Self-Propagating High-Temperature Synthesis
- The Morphology Analysis of Plasma-Sprayed Cast Iron Splats at Different Substrate Temperatures via Fractal Dimension and Circularity Methods
- A Comparative Study on Johnson–Cook, Modified Johnson–Cook, Modified Zerilli–Armstrong and Arrhenius-Type Constitutive Models to Predict Hot Deformation Behavior of TA2
- Dynamic absorption efficiency of paracetamol powder in microwave drying
- Preparation and Properties of Blast Furnace Slag Glass Ceramics Containing Cr2O3
- Influence of unburned pulverized coal on gasification reaction of coke in blast furnace
- Effect of PWHT Conditions on Toughness and Creep Rupture Strength in Modified 9Cr-1Mo Steel Welds
- Role of B2O3 on structure and shear-thinning property in CaO–SiO2–Na2O-based mold fluxes
- Effect of Acid Slag Treatment on the Inclusions in GCr15 Bearing Steel
- Recovery of Iron and Zinc from Blast Furnace Dust Using Iron-Bath Reduction
- Phase Analysis and Microstructural Investigations of Ce2Zr2O7 for High-Temperature Coatings on Ni-Base Superalloy Substrates
- Combustion Characteristics and Kinetics Study of Pulverized Coal and Semi-Coke
- Mechanical and Electrochemical Characterization of Supersolidus Sintered Austenitic Stainless Steel (316 L)
- Synthesis and characterization of Cu doped chromium oxide (Cr2O3) thin films
- Ladle Nozzle Clogging during casting of Silicon-Steel
- Thermodynamics and Industrial Trial on Increasing the Carbon Content at the BOF Endpoint to Produce Ultra-Low Carbon IF Steel by BOF-RH-CSP Process
- Research Article
- Effect of Boundary Conditions on Residual Stresses and Distortion in 316 Stainless Steel Butt Welded Plate
- Numerical Analysis on Effect of Additional Gas Injection on Characteristics around Raceway in Melter Gasifier
- Variation on thermal damage rate of granite specimen with thermal cycle treatment
- Effects of Fluoride and Sulphate Mineralizers on the Properties of Reconstructed Steel Slag
- Effect of Basicity on Precipitation of Spinel Crystals in a CaO-SiO2-MgO-Cr2O3-FeO System
- Review Article
- Exploitation of Mold Flux for the Ti-bearing Welding Wire Steel ER80-G
- Research Article
- Furnace heat prediction and control model and its application to large blast furnace
- Effects of Different Solid Solution Temperatures on Microstructure and Mechanical Properties of the AA7075 Alloy After T6 Heat Treatment
- Study of the Viscosity of a La2O3-SiO2-FeO Slag System
- Tensile Deformation and Work Hardening Behaviour of AISI 431 Martensitic Stainless Steel at Elevated Temperatures
- The Effectiveness of Reinforcement and Processing on Mechanical Properties, Wear Behavior and Damping Response of Aluminum Matrix Composites
Articles in the same Issue
- Frontmatter
- Review Article
- Research on the Influence of Furnace Structure on Copper Cooling Stave Life
- Influence of High Temperature Oxidation on Hydrogen Absorption and Degradation of Zircaloy-2 and Zr 700 Alloys
- Correlation between Travel Speed, Microstructure, Mechanical Properties and Wear Characteristics of Ni-Based Hardfaced Deposits over 316LN Austenitic Stainless Steel
- Factors Influencing Gas Generation Behaviours of Lump Coal Used in COREX Gasifier
- Experiment Research on Pulverized Coal Combustion in the Tuyere of Oxygen Blast Furnace
- Phosphate Capacities of CaO–FeO–SiO2–Al2O3/Na2O/TiO2 Slags
- Microstructure and Interface Bonding Strength of WC-10Ni/NiCrBSi Composite Coating by Vacuum Brazing
- Refill Friction Stir Spot Welding of Dissimilar 6061/7075 Aluminum Alloy
- Solvothermal Synthesis and Magnetic Properties of Monodisperse Ni0.5Zn0.5Fe2O4 Hollow Nanospheres
- On the Capability of Logarithmic-Power Model for Prediction of Hot Deformation Behavior of Alloy 800H at High Strain Rates
- 3D Heat Conductivity Model of Mold Based on Node Temperature Inheritance
- 3D Microstructure and Micromechanical Properties of Minerals in Vanadium-Titanium Sinter
- Effect of Martensite Structure and Carbide Precipitates on Mechanical Properties of Cr-Mo Alloy Steel with Different Cooling Rate
- The Interaction between Erosion Particle and Gas Stream in High Temperature Gas Burner Rig for Thermal Barrier Coatings
- Permittivity Study of a CuCl Residue at 13–450 °C and Elucidation of the Microwave Intensification Mechanism for Its Dechlorination
- Study on Carbothermal Reduction of Titania in Molten Iron
- The Sequence of the Phase Growth during Diffusion in Ti-Based Systems
- Growth Kinetics of CoB–Co2B Layers Using the Powder-Pack Boriding Process Assisted by a Direct Current Field
- High-Temperature Flow Behaviour and Constitutive Equations for a TC17 Titanium Alloy
- Research on Three-Roll Screw Rolling Process for Ti6Al4V Titanium Alloy Bar
- Continuous Cooling Transformation of Undeformed and Deformed High Strength Crack-Arrest Steel Plates for Large Container Ships
- Formation Mechanism and Influence Factors of the Sticker between Solidified Shell and Mold in Continuous Casting of Steel
- Casting Defects in Transition Layer of Cu/Al Composite Castings Prepared Using Pouring Aluminum Method and Their Formation Mechanism
- Effect of Current on Segregation and Inclusions Characteristics of Dual Alloy Ingot Processed by Electroslag Remelting
- Investigation of Growth Kinetics of Fe2B Layers on AISI 1518 Steel by the Integral Method
- Microstructural Evolution and Phase Transformation on the X-Y Surface of Inconel 718 Ni-Based Alloys Fabricated by Selective Laser Melting under Different Heat Treatment
- Characterization of Mn-Doped Co3O4 Thin Films Prepared by Sol Gel-Based Dip-Coating Process
- Deposition Characteristics of Multitrack Overlayby Plasma Transferred Arc Welding on SS316Lwith Co-Cr Based Alloy – Influence ofProcess Parameters
- Elastic Moduli and Elastic Constants of Alloy AuCuSi With FCC Structure Under Pressure
- Effect of Cl on Softening and Melting Behaviors of BF Burden
- Effect of MgO Injection on Smelting in a Blast Furnace
- Structural Characteristics and Hydration Kinetics of Oxidized Steel Slag in a CaO-FeO-SiO2-MgO System
- Optimization of Microwave-Assisted Oxidation Roasting of Oxide–Sulphide Zinc Ore with Addition of Manganese Dioxide Using Response Surface Methodology
- Hydraulic Study of Bubble Migration in Liquid Titanium Alloy Melt during Vertical Centrifugal Casting Process
- Investigation on Double Wire Metal Inert Gas Welding of A7N01-T4 Aluminum Alloy in High-Speed Welding
- Oxidation Behaviour of Welded ASTM-SA210 GrA1 Boiler Tube Steels under Cyclic Conditions at 900°C in Air
- Study on the Evolution of Damage Degradation at Different Temperatures and Strain Rates for Ti-6Al-4V Alloy
- Pack-Boriding of Pure Iron with Powder Mixtures Containing ZrB2
- Evolution of Interfacial Features of MnO-SiO2 Type Inclusions/Steel Matrix during Isothermal Heating at Low Temperatures
- Effect of MgO/Al2O3 Ratio on Viscosity of Blast Furnace Primary Slag
- The Microstructure and Property of the Heat Affected zone in C-Mn Steel Treated by Rare Earth
- Microwave-Assisted Molten-Salt Facile Synthesis of Chromium Carbide (Cr3C2) Coatings on the Diamond Particles
- Effects of B on the Hot Ductility of Fe-36Ni Invar Alloy
- Impurity Distribution after Solidification of Hypereutectic Al-Si Melts and Eutectic Al-Si Melt
- Induced Electro-Deposition of High Melting-Point Phases on MgO–C Refractory in CaO–Al2O3–SiO2 – (MgO) Slag at 1773 K
- Microstructure and Mechanical Properties of 14Cr-ODS Steels with Zr Addition
- A Review of Boron-Rich Silicon Borides Basedon Thermodynamic Stability and Transport Properties of High-Temperature Thermoelectric Materials
- Siliceous Manganese Ore from Eastern India:A Potential Resource for Ferrosilicon-Manganese Production
- A Strain-Compensated Constitutive Model for Describing the Hot Compressive Deformation Behaviors of an Aged Inconel 718 Superalloy
- Surface Alloys of 0.45 C Carbon Steel Produced by High Current Pulsed Electron Beam
- Deformation Behavior and Processing Map during Isothermal Hot Compression of 49MnVS3 Non-Quenched and Tempered Steel
- A Constitutive Equation for Predicting Elevated Temperature Flow Behavior of BFe10-1-2 Cupronickel Alloy through Double Multiple Nonlinear Regression
- Oxidation Behavior of Ferritic Steel T22 Exposed to Supercritical Water
- A Multi Scale Strategy for Simulation of Microstructural Evolutions in Friction Stir Welding of Duplex Titanium Alloy
- Partition Behavior of Alloying Elements in Nickel-Based Alloys and Their Activity Interaction Parameters and Infinite Dilution Activity Coefficients
- Influence of Heating on Tensile Physical-Mechanical Properties of Granite
- Comparison of Al-Zn-Mg Alloy P-MIG Welded Joints Filled with Different Wires
- Microstructure and Mechanical Properties of Thick Plate Friction Stir Welds for 6082-T6 Aluminum Alloy
- Research Article
- Kinetics of oxide scale growth on a (Ti, Mo)5Si3 based oxidation resistant Mo-Ti-Si alloy at 900-1300∘C
- Calorimetric study on Bi-Cu-Sn alloys
- Mineralogical Phase of Slag and Its Effect on Dephosphorization during Converter Steelmaking Using Slag-Remaining Technology
- Controllability of joint integrity and mechanical properties of friction stir welded 6061-T6 aluminum and AZ31B magnesium alloys based on stationary shoulder
- Cellular Automaton Modeling of Phase Transformation of U-Nb Alloys during Solidification and Consequent Cooling Process
- The effect of MgTiO3Adding on Inclusion Characteristics
- Cutting performance of a functionally graded cemented carbide tool prepared by microwave heating and nitriding sintering
- Creep behaviour and life assessment of a cast nickel – base superalloy MAR – M247
- Failure mechanism and acoustic emission signal characteristics of coatings under the condition of impact indentation
- Reducing Surface Cracks and Improving Cleanliness of H-Beam Blanks in Continuous Casting — Improving continuous casting of H-beam blanks
- Rhodium influence on the microstructure and oxidation behaviour of aluminide coatings deposited on pure nickel and nickel based superalloy
- The effect of Nb content on precipitates, microstructure and texture of grain oriented silicon steel
- Effect of Arc Power on the Wear and High-temperature Oxidation Resistances of Plasma-Sprayed Fe-based Amorphous Coatings
- Short Communication
- Novel Combined Feeding Approach to Produce Quality Al6061 Composites for Heat Sinks
- Research Article
- Micromorphology change and microstructure of Cu-P based amorphous filler during heating process
- Controlling residual stress and distortion of friction stir welding joint by external stationary shoulder
- Research on the ingot shrinkage in the electroslag remelting withdrawal process for 9Cr3Mo roller
- Production of Mo2NiB2 Based Hard Alloys by Self-Propagating High-Temperature Synthesis
- The Morphology Analysis of Plasma-Sprayed Cast Iron Splats at Different Substrate Temperatures via Fractal Dimension and Circularity Methods
- A Comparative Study on Johnson–Cook, Modified Johnson–Cook, Modified Zerilli–Armstrong and Arrhenius-Type Constitutive Models to Predict Hot Deformation Behavior of TA2
- Dynamic absorption efficiency of paracetamol powder in microwave drying
- Preparation and Properties of Blast Furnace Slag Glass Ceramics Containing Cr2O3
- Influence of unburned pulverized coal on gasification reaction of coke in blast furnace
- Effect of PWHT Conditions on Toughness and Creep Rupture Strength in Modified 9Cr-1Mo Steel Welds
- Role of B2O3 on structure and shear-thinning property in CaO–SiO2–Na2O-based mold fluxes
- Effect of Acid Slag Treatment on the Inclusions in GCr15 Bearing Steel
- Recovery of Iron and Zinc from Blast Furnace Dust Using Iron-Bath Reduction
- Phase Analysis and Microstructural Investigations of Ce2Zr2O7 for High-Temperature Coatings on Ni-Base Superalloy Substrates
- Combustion Characteristics and Kinetics Study of Pulverized Coal and Semi-Coke
- Mechanical and Electrochemical Characterization of Supersolidus Sintered Austenitic Stainless Steel (316 L)
- Synthesis and characterization of Cu doped chromium oxide (Cr2O3) thin films
- Ladle Nozzle Clogging during casting of Silicon-Steel
- Thermodynamics and Industrial Trial on Increasing the Carbon Content at the BOF Endpoint to Produce Ultra-Low Carbon IF Steel by BOF-RH-CSP Process
- Research Article
- Effect of Boundary Conditions on Residual Stresses and Distortion in 316 Stainless Steel Butt Welded Plate
- Numerical Analysis on Effect of Additional Gas Injection on Characteristics around Raceway in Melter Gasifier
- Variation on thermal damage rate of granite specimen with thermal cycle treatment
- Effects of Fluoride and Sulphate Mineralizers on the Properties of Reconstructed Steel Slag
- Effect of Basicity on Precipitation of Spinel Crystals in a CaO-SiO2-MgO-Cr2O3-FeO System
- Review Article
- Exploitation of Mold Flux for the Ti-bearing Welding Wire Steel ER80-G
- Research Article
- Furnace heat prediction and control model and its application to large blast furnace
- Effects of Different Solid Solution Temperatures on Microstructure and Mechanical Properties of the AA7075 Alloy After T6 Heat Treatment
- Study of the Viscosity of a La2O3-SiO2-FeO Slag System
- Tensile Deformation and Work Hardening Behaviour of AISI 431 Martensitic Stainless Steel at Elevated Temperatures
- The Effectiveness of Reinforcement and Processing on Mechanical Properties, Wear Behavior and Damping Response of Aluminum Matrix Composites
![Figure 9: A semi-log (Arrhenius-type) plot of ln k versus T−1: SPS SiB6 + SiBn [45], SPS SiBn [45], AM SiB6 + SiBn [45], AM SiBn [45], AM-SiB6 [46], AM- SiB4 + SiB6 [46], Sintering [47], CVD SiB6 [48], CVD SiB4 [48], SPS Si92B8 [51].](/document/doi/10.1515/htmp-2018-0077/asset/graphic/j_htmp-2018-0077_fig_009.jpg)
SPS SiB6 + SiBn [
SPS SiBn [
AM SiB6 + SiBn [
AM SiBn [
AM-SiB6 [
AM- SiB4 + SiB6 [
Sintering [
CVD SiB6 [
CVD SiB4 [
SPS Si92B8 [![Figure 10: Effect of different processing method and temperature on ZT of silicon borides: SPS SiB6 + SiBn [45], SPS SiBn [45], AM SiB6 + SiBn [45], AM SiBn [45], AM-SiB6 [46], AM- SiB4 + SiB6 [46], Sintering [47], CVD SiB6 [48], CVD SiB4 [48], SPS Si92B8 [51].](/document/doi/10.1515/htmp-2018-0077/asset/graphic/j_htmp-2018-0077_fig_010.jpg)
SPS SiB6 + SiBn [
SPS SiBn [
AM SiB6 + SiBn [
AM SiBn [
AM-SiB6 [
AM- SiB4 + SiB6 [
Sintering [
CVD SiB6 [
CVD SiB4 [
SPS Si92B8 [