Contents
-
Publicly AvailableFrontmatterApril 28, 2023
- New Crystal Structures
-
Open AccessCrystal structure of poly[diaqua-bis(μ 2-1,4-diaminobutane-N:N′)cobalt(II)] dichloride, C8H28Cl2CoN4O2February 24, 2023
-
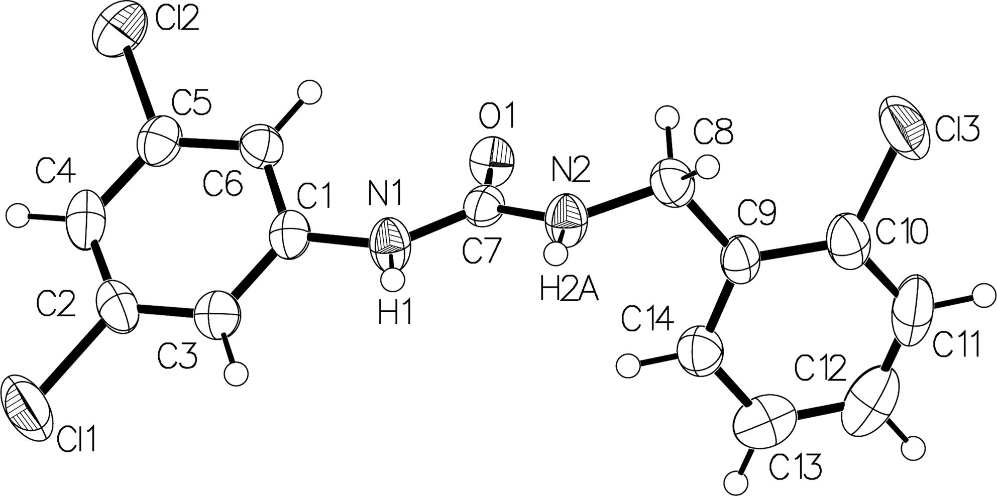
February 24, 2023
-
Open AccessThe crystal structure of 4–(4,4,5,5–tetramethyl–1,3,2–dioxaborolan–2–yl)morpholine, C10H20BNO3February 22, 2023
-
February 28, 2023
-
February 28, 2023
-
Open AccessThe crystal structure of 2-bromo-1,3-phenylene bis(4-methylbenzenesulfonate), C20H17BrO6S2March 6, 2023
-
March 8, 2023
-
March 23, 2023
-
Open AccessCrystal structure of 4-chloro-N′-[(1E)-pyridin-3-ylmethylidene]benzohydrazide, C13H10ClN3OMarch 8, 2023
-
March 30, 2023
-
Open AccessCrystal structure of potassium bis(pentaselenido-κ 2 Se 1,Se 5)palladate(II), K2[Pd(Se5)2]March 27, 2023
-
March 23, 2023
-
Open AccessCrystal structure of Eu2Pd3.37(1)Zn13.63(1)March 21, 2023
-
Open AccessCrystal structure of 2-methoxy-4-(methoxy-carbonyl)phenyl 2-chloro-4-fluorobenzoate, C16H12ClFO5April 19, 2023
-
April 5, 2023
-
April 13, 2023