Abstract
C20H17BrO6S2, triclinic,
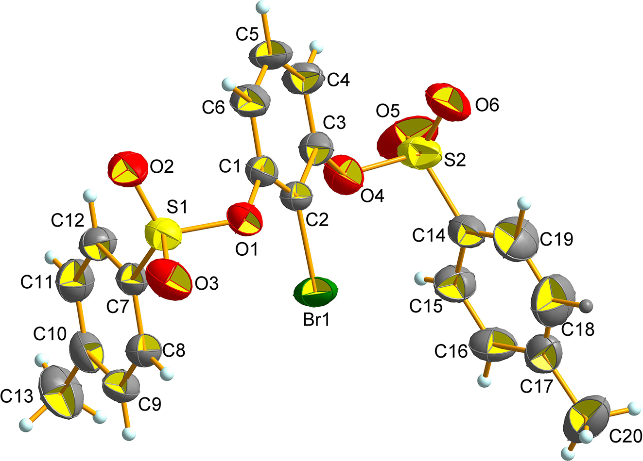
The molecular structure is shown in the figure. Table 1 contains crystallographic data and Table 2 contains the list of the atoms including atomic coordinates and displacement parameters.

Data collection and handling.
| Crystal: | Block |
| Size: | 0.46 × 0.35 × 0.31 mm |
| Wavelength: | Mo Kα radiation (0.71073 Å) |
| μ: | 2.19 mm−1 |
| Diffractometer, scan mode: | Bruker APEX-II, φ and ω |
| θ max, completeness: | 25.0°, >99% |
| N(hkl)measured, N(hkl)unique, R int: | 10,043, 3690, 0.037 |
| Criterion for I obs, N(hkl)gt: | I obs > 2 σ(I obs), 3105 |
| N(param)refined: | 265 |
| Programs: | Bruker [1], SHELX [2, 3] |
Fractional atomic coordinates and isotropic or equivalent isotropic displacement parameters (Å2).
| Atom | x | y | z | U iso*/U eq |
|---|---|---|---|---|
| Br1 | 0.58469 (4) | 0.41524 (4) | 0.30305 (2) | 0.06418 (16) |
| C1 | 0.8819 (3) | 0.5111 (3) | 0.32777 (15) | 0.0419 (6) |
| C2 | 0.7880 (3) | 0.4714 (3) | 0.27009 (15) | 0.0408 (6) |
| C3 | 0.8486 (4) | 0.4736 (3) | 0.18829 (16) | 0.0453 (6) |
| C4 | 0.9986 (4) | 0.5116 (4) | 0.16383 (18) | 0.0581 (8) |
| H4 | 1.036823 | 0.514470 | 0.108638 | 0.070* |
| C5 | 1.0921 (4) | 0.5457 (4) | 0.22257 (19) | 0.0630 (8) |
| H5 | 1.195066 | 0.569513 | 0.206479 | 0.076* |
| C6 | 1.0352 (4) | 0.5450 (4) | 0.30442 (18) | 0.0555 (7) |
| H6 | 1.099477 | 0.567051 | 0.343449 | 0.067* |
| C7 | 0.5654 (3) | 0.7888 (3) | 0.43539 (15) | 0.0430 (6) |
| C8 | 0.4152 (4) | 0.7517 (4) | 0.46346 (17) | 0.0504 (7) |
| H8 | 0.417639 | 0.666776 | 0.500784 | 0.060* |
| C9 | 0.2625 (4) | 0.8410 (4) | 0.43579 (19) | 0.0561 (7) |
| H9 | 0.161559 | 0.815742 | 0.454598 | 0.067* |
| C10 | 0.2559 (4) | 0.9677 (4) | 0.38052 (19) | 0.0579 (8) |
| C11 | 0.4076 (5) | 1.0040 (4) | 0.35355 (19) | 0.0630 (8) |
| H11 | 0.404604 | 1.089871 | 0.316708 | 0.076* |
| C12 | 0.5628 (4) | 0.9155 (4) | 0.38025 (17) | 0.0540 (7) |
| H12 | 0.663902 | 0.940519 | 0.361511 | 0.065* |
| C13 | 0.0861 (5) | 1.0662 (5) | 0.3514 (3) | 0.0883 (12) |
| H13A | 0.106327 | 1.143018 | 0.310536 | 0.132* |
| H13B | 0.007953 | 1.129968 | 0.396621 | 0.132* |
| H13C | 0.036120 | 0.988358 | 0.328566 | 0.132* |
| C14 | 0.6797 (4) | 0.1736 (4) | 0.08991 (16) | 0.0505 (7) |
| C15 | 0.5093 (4) | 0.2265 (4) | 0.0773 (2) | 0.0615 (8) |
| H15 | 0.461932 | 0.331302 | 0.054696 | 0.074* |
| C16 | 0.4090 (4) | 0.1227 (5) | 0.0984 (2) | 0.0692 (9) |
| H16 | 0.292710 | 0.159441 | 0.090391 | 0.083* |
| C17 | 0.4752 (5) | −0.0330 (4) | 0.1307 (2) | 0.0666 (9) |
| C18 | 0.6452 (6) | −0.0803 (5) | 0.1438 (3) | 0.0945 (13) |
| H18 | 0.692034 | −0.184010 | 0.167450 | 0.113* |
| C19 | 0.7492 (5) | 0.0199 (5) | 0.1234 (3) | 0.0839 (11) |
| H19 | 0.865007 | −0.016134 | 0.132131 | 0.101* |
| C20 | 0.3675 (7) | −0.1490 (6) | 0.1512 (3) | 0.1011 (14) |
| H20A | 0.406313 | −0.245908 | 0.113677 | 0.152* |
| H20B | 0.248119 | −0.088736 | 0.147105 | 0.152* |
| H20C | 0.379334 | −0.186599 | 0.205809 | 0.152* |
| O1 | 0.8242 (2) | 0.5010 (2) | 0.41043 (10) | 0.0475 (4) |
| O2 | 0.8814 (3) | 0.7616 (3) | 0.45482 (14) | 0.0657 (6) |
| O3 | 0.7281 (3) | 0.6049 (3) | 0.54689 (11) | 0.0651 (6) |
| O4 | 0.7436 (3) | 0.4525 (3) | 0.13082 (12) | 0.0599 (5) |
| O5 | 0.7567 (4) | 0.3889 (4) | −0.01083 (13) | 0.0994 (10) |
| O6 | 0.9835 (3) | 0.2145 (4) | 0.06552 (18) | 0.0986 (10) |
| S1 | 0.75925 (9) | 0.67132 (9) | 0.46918 (4) | 0.0485 (2) |
| S2 | 0.80853 (11) | 0.30332 (12) | 0.06104 (5) | 0.0649 (3) |
1 Source of material
To 2-bromobenzene-1,3-diol (2.35 g, 12.5 mmol) in THF (15 mL) was added 10% K2CO3 (6.50 g, 47.1 mmol) as an aqueous solution. After the resulting solution was cooled to 0 °C with an ice-water bath, a solution of Tosylchloride (TsCl) (4.82 g, 25.3 mmol) in THF (35 mL) was slowly added over 15 min at 0 °C. After the addition of TsCI, the ice-water-bath was removed and the reaction mixture was stirred for 2 h. To the mixture was then added EtOAc (100 mL). The two-phase mixture was separated. The organic layer was washed with H2O and dried (MgSO4). Removal of solvent under reduced pressure gave the crude aryl tosylate. The crude product was purified by column chromatography over silica gel with CH2Cl2 to afford the title compound (5.50 g, 89% yield). The product was dissolved by CH2Cl2 and the crystals of the title compound were obtained by slow evaporation within 1 day.
2 Experimental details
All hydrogen atoms were identified in difference Fourier syntheses. The U iso values of the methyl groups were set to 1.5 U eq (C) and the U iso values of all other hydrogen atoms were set to 1.2 U eq(C).
3 Comment
p-Toluenesulfonates have rich biological activities, such as monitoring the merging of lipids, studying membrane fusion during acrosome reaction, development of technology for linking photosensitizers to model monoclonal antibodies and so on [4], [5], [6], [7]. Meanwhile, p-toluenesulfonates are often used in organic synthesis [8].
Herein, a novel resorcinol p-toluenesulfonate compound was synthesized and characterized by single-crystal X-ray diffraction [1], [2], [3]. The crystal structure is composed of three structural units containing a central benzene ring connecting these moieties with each other by S–O bonds. The bond lengths of S(1)–O(1), S(1)–O(3), S(1)–O(2), S(2)–O(4), S(2)–O(6) and S(2)–O(6) are 1.6183(19), 1.421(2), 1.418(2), 1.606(2), 1.422(3) and 1.403(3) Å, respectively. The bond angles of O(1)–S(1)–C(7), O(3)–S(1)–C(7) and O(2)–S(1)–O(1) are 103.79(11), 110.82(13) and 108.55(11), indicating the S(1) atom is in the sp3 unequal hybridization state. Similarly, S(2) atom is also in the sp3 unequal hybridization [9].
-
Author contributions: All the authors have accepted responsibility for the entire content of this submitted manuscript and approved submission.
-
Research funding: Natural Science Foundation of Hunan Province of China (2021JJ30291), the Scientific Research Fund of Hunan Provincial Education Department (21A0518, 21C0691), National undergraduate training program for innovation and entrepreneurship (202210551005X, 202210551011X), Undergraduate Training Program for Innovation and Entrepreneurship of Hunan Province of China ([2022]174–4207, [2022]174–4213), Yongzhou Guiding Science and Technology Plan Project (2021).
-
Conflict of interest statement: The authors declare no conflicts of interest regarding this article.
References
1. Bruker. APEX3, SAINT–Plus, XPREP; Bruker AXS Inc.: Madison, Wisconsin, USA, 2016.Search in Google Scholar
2. Sheldrick, G. M. SHELXTL – integrated space-group and crystal-structure determination. Acta Crystallogr. 2015, A71, 3–8.10.1107/S2053273314026370Search in Google Scholar PubMed PubMed Central
3. Sheldrick, G. M. Crystal structure refinement with SHELXL. Acta Crystallogr. 2015, C71, 3–8; https://doi.org/10.1107/s2053229614024218.Search in Google Scholar
4. Yachi, K., Sugiyama, Y., Sawada, Y., Iga, T., Ikeda, Y., Toda, G., Hanano, M. Characterization of Rose Bengal binding to sinusoidal and bile canalicular plasma membrane from rat liver. Biochim. Biophys. Acta 1989, 978, 1–7; https://doi.org/10.1016/0005-2736(89)90490-2.Search in Google Scholar PubMed
5. Spungin, B., Levinshal, T., Rubenstein, S., Breitbart, H. A cell free system reveals that capacitation is a prerequisite for membrane fusion during the acrosome reaction. FEBS Lett. 1992, 311, 155–160; https://doi.org/10.1016/0014-5793(92)81388-3.Search in Google Scholar PubMed
6. Jiang, F. N., Jiang, S., Liu, D., Richter, A., Levy, J. G. Development of technology for linking photosensitizers to a model monoclonal antibody. J. Immunol. Methods 1990, 134, 139–149; https://doi.org/10.1016/0022-1759(90)90122-c.Search in Google Scholar PubMed
7. Vembu, N., Nallu, M., Garrison, J., Youngs, W. J. Benzene 1,3,5-tris(p-toluenesulfonate): supramolecular aggregation through extensive C–H···O, C–H···π and π-π interactions. Acta Crystallogr. 2003, E59, o1019–o1021; https://doi.org/10.1107/s1600536803013291.Search in Google Scholar
8. Krupa, M., Chodyński, M., Ostaszewska, A., Cmoch, P., Dams, I. A novel convergent synthesis of the potent antiglaucoma agent Tafluprost. Molecules 2017, 22, 217–234; https://doi.org/10.3390/molecules22020217.Search in Google Scholar PubMed PubMed Central
9. Zukiewicz, B. J., Weck, C., Nauha, E., Gruber, T. Cyclic C–H···O motifs as general supramolecular synthon in aromatic sulfonester trimers. J. Mol. Struct. 2020, 1217, 128275; https://doi.org/10.1016/j.molstruc.2020.128275.Search in Google Scholar
© 2023 the author(s), published by De Gruyter, Berlin/Boston
This work is licensed under the Creative Commons Attribution 4.0 International License.
Articles in the same Issue
- Frontmatter
- New Crystal Structures
- Crystal structure of phenyl(3,3-dichloro-1,3-dihydro-2H-pyrrolo[2,3-b]pyridin-2-one)methanone, C7H4Cl2N2O
- Crystal structure of poly[diaqua-bis(μ 2-1,4-diaminobutane-N:N′)cobalt(II)] dichloride, C8H28Cl2CoN4O2
- Synthesis and crystal structure of (4aR,7S)-7-hydroxy-7-isopropyl-1,1-dimethyldecahydro-2H,6H-8a,4a-(epoxymethano)phenanthren-12-one, C20H32O3
- The crystal structure of 1-(2-chlorobenzyl)-3-(3,5-dichlorophenyl)urea, C14H11Cl3N2O
- Crystal structure of tetrapropylammonium-1,3,5-thiadiazole-5-amido-2-carbamate – 1,2,4-thiadiazole-3,5-diamine – water (1/1/1), C17H37N9O3S2
- Tetrabutylammonium 1,3,5-thiadiazole-5-amido-2-carbamate—1,2,4-thiadiazole-3,5-diamine— water (1/1/1), C21H45N9O3S2
- The crystal structure of ((E)-2,4-dichloro-6-(((2-hydroxy-5-nitrophenyl)imino)methyl)phenolato-κ 3 N,O,O′)tris(pyridine-κN)manganese(II), C28H21Cl2MnN5O4
- The crystal structure of aqua-bis{2-bromo-6-((2-(2-phenylacetyl)hydrazineylidene)methyl)phenolato-κ3 N,O,O′}-dimethylformamide-κ1 O-erbium(III) chloride – dimethylformamide – water (1/2/1), C39H49N7O9Br2ClEr
- Crystal structure of (diaqua-bis(phenanthroline-K 2 N,N′)-tetrakis(m 2-3,4,5,6-tetrafluorophthalato-K 4 O,O:O′:O″;K 2 O:O′)dierbium (III) phenanthroline (1/2), C80H38Er2F16N8O18
- Crystal structure of (E)-7-methoxy-2-(4-methoxy-2-(trifluoromethyl)benzylidene)-3,4-dihydronaphthalen-1(2H)-one, C20H17F3O3
- The crystal structure of 4–(4,4,5,5–tetramethyl–1,3,2–dioxaborolan–2–yl)morpholine, C10H20BNO3
- The crystal structure of catena–poly[aqua(1-naphthoato-κ 2 O,O′)-(μ-1-naphthoato-κ 4 O:O,O′:O′)lead(II)], C22H16O5Pb
- The crystal structure of 1-(4-chlorophenyl)-3-cycloheptylurea, C14H19ClN2O
- The crystal structure of 4-(pyren-1-yl)butyl-4-nitrobenzoate, C27H21NO4
- Crystal structure of cyclo-(bis(µ2-3,3′-(1H-imidazole-3-ium-1,3-diyl)dipropionato-κ4 O,O′:O″,O″′)-dinitrato-κ2 O,O′-tetraoxido-diuranium(VI) C18H22N6O18U2
- The crystal structure of catena-[nitrato-κ 2 O,O′-(μ 3-3-iodobenzene-1,2-dicarboxylato-κ 4 O:O′:O″,O‴)-(2,2′:6′,2″-terpyridine-κ 3 N,N′,N″)lanthanum(III)], C23H14IN4O7La
- Redetermination of crystal structure of [bis(pyridin-2-ylmethyl)amine-κ 3 N,Nʹ,Nʺ]chloridopalladium(II) chloride monohydrate
- Crystal structure of catena-poly[triaqua-[bis(m2-4-(1H-1,2,4-triazol-1-yl)benzoato-k2O:O')-(4-(1H-1,2,4-triazol-1-yl)benzoato-k1O)-praseodymium (III) monohydrate], C27H26N9O10Pr
- Crystal structure of trans-diaqua-bis(methyl methylcarbamohydrazonothioato-κ2 N,N′) nickel(II) iodide semihydrate, C6H22N6O2NiS2I2·0.5H2O
- The crystal structure of 2-(2-fluoro-4-methyl-5-((2,2,2-trifluoroethyl)thio)phenyl)isoindolin-1-one, C17H13F4NOS
- The crystal structure of di-μ-1-naphthylacetato-κ 3 O,O′:O;κ 3 O:O,O′-bis[(1-naphthylacetato-κ 2 O,O′)(2,2′-bipyridine-κ 2 N,N′)lead(II)] monohydrate, C68H54N4O9Pb2
- Crystal structure of tetrapropylammonium guanidinium 4,4′-sulfonyldibenzoate monohydrate, C27H44N4O7S
- Crystal structure of bis(tetrapropylammonium) terephthalate – 1-(diaminomethylene)thiourea – water (1/2/4) C18H40N5O4S
- Crystal structure of (E)-7-fluoro-2-(4-morpholinobenzylidene)-3,4-dihydronaphthalen-1(2H)-one, C21H20FNO2
- The crystal structure of poly[diaqua-bis(μ 3-5-bromobenzene-1,3-dicarboxylato-κ 3 O,O,O′)-(μ 2-1,3-bis-(4-pyridyl)-propane-κ 2 N,N′)-dizinc(II))] – 5-bromobenzene-1,3-dicarboxylic acid [2/1], C37H29Br3N2O14Zn2
- The crystal structure of 2-bromo-1,3-phenylene bis(4-methylbenzenesulfonate), C20H17BrO6S2
- Crystal structure of europium dichromium icosaaluminum, EuCr2Al20
- The crystal structure of N′1,N′3-di((E)-benzylidene) isophthalohydrazide dihydrate, C 22 H 22 N 4 O 4
- Crystal structure of 7α,11α-dihydroxy-15-oxo-ent-kauran-16-en-19,6β-olide, C20H26O5
- Crystal structure of 4-chloro-N′-[(1E)-pyridin-3-ylmethylidene]benzohydrazide, C13H10ClN3O
- The crystal structure of (Z)-3-(1-(2-((E)-4-isopropylbenzylidene)hydrazinyl)ethylidene) chroman-2,4-dione, C21H20N2O3
- Crystal structure of E-7-fluoro-2-(2-(trifluoromethyl)benzylidene)-3,4-dihydronaphthalen-1(2H)-one, C18H12F4O
- Crystal structure of bis(6-aminopyridine-2-carboxylato–k2O,N)-bis(N,N-dimethylformamide-k1 O)zinc(II), C18H24N6O6Zn
- Crystal structure of 5-(adamantan-1-yl)-3-[(4-{[2-(trifluoromethyl)phenyl]-methyl}piperazin-1-yl)methyl]-1,3,4-oxadiazole-2(3H)-thione, C25H31F3N4OS
- Crystal structure of tetrapropylammonium bicarbonate–1-(diaminomethylene)thiourea – water (2/2/1), C30H72N10O7S2
- Crystal structure of tris(2,2′-bipyridine-κ2 N,N′)iron(II) triiodide – dichloromethane (2/1), C61H50Cl2Fe2I12N12
- Crystal structure of 2-amino-3-[2-(1,3,3-trimethyl-1,3-dihydro-indol-2-ylidene)-ethylideneamino]-but-2-enedinitrile, C17H17N5
- The crystal structure of 1-(2-chlorophenyl)-3-cycloheptylurea, C14H19ClN2O
- Crystal structure of potassium bis(pentaselenido-κ 2 Se 1,Se 5)palladate(II), K2[Pd(Se5)2]
- The crystal structure of 5,10-bis(2-methoxyethyl)-5,10-dihydro-[1,2,3,4]tetrathiocino[5,6-b:8, 7-b′]diindole, C22H22N2O2S4
- The crystal structure of 4-(4-iodophenyl)-5H-1,2,3-dithiazole-5-thione, C8H4INS3
- Crystal structure of bis{μ2-(4-acetyl-phenoxy)acetato-κ2 O:O′}-bis{μ2-(4-acetyl-phenoxy)acetato-κ3 O,O′:O)- bis{(4-acetyl-phenoxy)acetato-κ2 O,O′}-bis(phenanthrolin-κ2 N,N′)didysprosium(III) tetrahydrate, C84H78N4O28Dy2
- Crystal structure of Eu2Pd3.37(1)Zn13.63(1)
- Crystal structure of 2-methoxy-4-(methoxy-carbonyl)phenyl 2-chloro-4-fluorobenzoate, C16H12ClFO5
- Crystal structure of catena-poly[bis(μ2-dicyanamide-κ2 N:N′)-bis(4-vinylpyridine-κN)-copper(II)], C18H14CuN8
- The crystal structure of iguratimod-dimethylformamide (1/1), C17H14N2O6S·C3H7NO
- Synthesis and crystal structure of 1-((3R,10S,13S,17S)-10,13-dimethyl-3-(m-tolylamino)hexadecahydro-1H-cyclopenta[α]phenanthren-17-yl)ethan-1-one, C28H41NO
- The crystal structure of diaqua-bis(4-bromo-2-formylphenoxy)zinc(II), C14H12Br2O6Zn
- The crystal structure of tetra(1-ethylimidazole-κ 1 N)-[μ 4-imidazole-4,5-dicarboxylato-κ 4 O, N, O′, N′]-trioxido-divanadium, C25H33N10O7V2
- The crystal structure of (E)-N′-(1-(4-fluorophenyl)propylidene)-2-hydroxybenzohydrazide, C16H15FN2O2
Articles in the same Issue
- Frontmatter
- New Crystal Structures
- Crystal structure of phenyl(3,3-dichloro-1,3-dihydro-2H-pyrrolo[2,3-b]pyridin-2-one)methanone, C7H4Cl2N2O
- Crystal structure of poly[diaqua-bis(μ 2-1,4-diaminobutane-N:N′)cobalt(II)] dichloride, C8H28Cl2CoN4O2
- Synthesis and crystal structure of (4aR,7S)-7-hydroxy-7-isopropyl-1,1-dimethyldecahydro-2H,6H-8a,4a-(epoxymethano)phenanthren-12-one, C20H32O3
- The crystal structure of 1-(2-chlorobenzyl)-3-(3,5-dichlorophenyl)urea, C14H11Cl3N2O
- Crystal structure of tetrapropylammonium-1,3,5-thiadiazole-5-amido-2-carbamate – 1,2,4-thiadiazole-3,5-diamine – water (1/1/1), C17H37N9O3S2
- Tetrabutylammonium 1,3,5-thiadiazole-5-amido-2-carbamate—1,2,4-thiadiazole-3,5-diamine— water (1/1/1), C21H45N9O3S2
- The crystal structure of ((E)-2,4-dichloro-6-(((2-hydroxy-5-nitrophenyl)imino)methyl)phenolato-κ 3 N,O,O′)tris(pyridine-κN)manganese(II), C28H21Cl2MnN5O4
- The crystal structure of aqua-bis{2-bromo-6-((2-(2-phenylacetyl)hydrazineylidene)methyl)phenolato-κ3 N,O,O′}-dimethylformamide-κ1 O-erbium(III) chloride – dimethylformamide – water (1/2/1), C39H49N7O9Br2ClEr
- Crystal structure of (diaqua-bis(phenanthroline-K 2 N,N′)-tetrakis(m 2-3,4,5,6-tetrafluorophthalato-K 4 O,O:O′:O″;K 2 O:O′)dierbium (III) phenanthroline (1/2), C80H38Er2F16N8O18
- Crystal structure of (E)-7-methoxy-2-(4-methoxy-2-(trifluoromethyl)benzylidene)-3,4-dihydronaphthalen-1(2H)-one, C20H17F3O3
- The crystal structure of 4–(4,4,5,5–tetramethyl–1,3,2–dioxaborolan–2–yl)morpholine, C10H20BNO3
- The crystal structure of catena–poly[aqua(1-naphthoato-κ 2 O,O′)-(μ-1-naphthoato-κ 4 O:O,O′:O′)lead(II)], C22H16O5Pb
- The crystal structure of 1-(4-chlorophenyl)-3-cycloheptylurea, C14H19ClN2O
- The crystal structure of 4-(pyren-1-yl)butyl-4-nitrobenzoate, C27H21NO4
- Crystal structure of cyclo-(bis(µ2-3,3′-(1H-imidazole-3-ium-1,3-diyl)dipropionato-κ4 O,O′:O″,O″′)-dinitrato-κ2 O,O′-tetraoxido-diuranium(VI) C18H22N6O18U2
- The crystal structure of catena-[nitrato-κ 2 O,O′-(μ 3-3-iodobenzene-1,2-dicarboxylato-κ 4 O:O′:O″,O‴)-(2,2′:6′,2″-terpyridine-κ 3 N,N′,N″)lanthanum(III)], C23H14IN4O7La
- Redetermination of crystal structure of [bis(pyridin-2-ylmethyl)amine-κ 3 N,Nʹ,Nʺ]chloridopalladium(II) chloride monohydrate
- Crystal structure of catena-poly[triaqua-[bis(m2-4-(1H-1,2,4-triazol-1-yl)benzoato-k2O:O')-(4-(1H-1,2,4-triazol-1-yl)benzoato-k1O)-praseodymium (III) monohydrate], C27H26N9O10Pr
- Crystal structure of trans-diaqua-bis(methyl methylcarbamohydrazonothioato-κ2 N,N′) nickel(II) iodide semihydrate, C6H22N6O2NiS2I2·0.5H2O
- The crystal structure of 2-(2-fluoro-4-methyl-5-((2,2,2-trifluoroethyl)thio)phenyl)isoindolin-1-one, C17H13F4NOS
- The crystal structure of di-μ-1-naphthylacetato-κ 3 O,O′:O;κ 3 O:O,O′-bis[(1-naphthylacetato-κ 2 O,O′)(2,2′-bipyridine-κ 2 N,N′)lead(II)] monohydrate, C68H54N4O9Pb2
- Crystal structure of tetrapropylammonium guanidinium 4,4′-sulfonyldibenzoate monohydrate, C27H44N4O7S
- Crystal structure of bis(tetrapropylammonium) terephthalate – 1-(diaminomethylene)thiourea – water (1/2/4) C18H40N5O4S
- Crystal structure of (E)-7-fluoro-2-(4-morpholinobenzylidene)-3,4-dihydronaphthalen-1(2H)-one, C21H20FNO2
- The crystal structure of poly[diaqua-bis(μ 3-5-bromobenzene-1,3-dicarboxylato-κ 3 O,O,O′)-(μ 2-1,3-bis-(4-pyridyl)-propane-κ 2 N,N′)-dizinc(II))] – 5-bromobenzene-1,3-dicarboxylic acid [2/1], C37H29Br3N2O14Zn2
- The crystal structure of 2-bromo-1,3-phenylene bis(4-methylbenzenesulfonate), C20H17BrO6S2
- Crystal structure of europium dichromium icosaaluminum, EuCr2Al20
- The crystal structure of N′1,N′3-di((E)-benzylidene) isophthalohydrazide dihydrate, C 22 H 22 N 4 O 4
- Crystal structure of 7α,11α-dihydroxy-15-oxo-ent-kauran-16-en-19,6β-olide, C20H26O5
- Crystal structure of 4-chloro-N′-[(1E)-pyridin-3-ylmethylidene]benzohydrazide, C13H10ClN3O
- The crystal structure of (Z)-3-(1-(2-((E)-4-isopropylbenzylidene)hydrazinyl)ethylidene) chroman-2,4-dione, C21H20N2O3
- Crystal structure of E-7-fluoro-2-(2-(trifluoromethyl)benzylidene)-3,4-dihydronaphthalen-1(2H)-one, C18H12F4O
- Crystal structure of bis(6-aminopyridine-2-carboxylato–k2O,N)-bis(N,N-dimethylformamide-k1 O)zinc(II), C18H24N6O6Zn
- Crystal structure of 5-(adamantan-1-yl)-3-[(4-{[2-(trifluoromethyl)phenyl]-methyl}piperazin-1-yl)methyl]-1,3,4-oxadiazole-2(3H)-thione, C25H31F3N4OS
- Crystal structure of tetrapropylammonium bicarbonate–1-(diaminomethylene)thiourea – water (2/2/1), C30H72N10O7S2
- Crystal structure of tris(2,2′-bipyridine-κ2 N,N′)iron(II) triiodide – dichloromethane (2/1), C61H50Cl2Fe2I12N12
- Crystal structure of 2-amino-3-[2-(1,3,3-trimethyl-1,3-dihydro-indol-2-ylidene)-ethylideneamino]-but-2-enedinitrile, C17H17N5
- The crystal structure of 1-(2-chlorophenyl)-3-cycloheptylurea, C14H19ClN2O
- Crystal structure of potassium bis(pentaselenido-κ 2 Se 1,Se 5)palladate(II), K2[Pd(Se5)2]
- The crystal structure of 5,10-bis(2-methoxyethyl)-5,10-dihydro-[1,2,3,4]tetrathiocino[5,6-b:8, 7-b′]diindole, C22H22N2O2S4
- The crystal structure of 4-(4-iodophenyl)-5H-1,2,3-dithiazole-5-thione, C8H4INS3
- Crystal structure of bis{μ2-(4-acetyl-phenoxy)acetato-κ2 O:O′}-bis{μ2-(4-acetyl-phenoxy)acetato-κ3 O,O′:O)- bis{(4-acetyl-phenoxy)acetato-κ2 O,O′}-bis(phenanthrolin-κ2 N,N′)didysprosium(III) tetrahydrate, C84H78N4O28Dy2
- Crystal structure of Eu2Pd3.37(1)Zn13.63(1)
- Crystal structure of 2-methoxy-4-(methoxy-carbonyl)phenyl 2-chloro-4-fluorobenzoate, C16H12ClFO5
- Crystal structure of catena-poly[bis(μ2-dicyanamide-κ2 N:N′)-bis(4-vinylpyridine-κN)-copper(II)], C18H14CuN8
- The crystal structure of iguratimod-dimethylformamide (1/1), C17H14N2O6S·C3H7NO
- Synthesis and crystal structure of 1-((3R,10S,13S,17S)-10,13-dimethyl-3-(m-tolylamino)hexadecahydro-1H-cyclopenta[α]phenanthren-17-yl)ethan-1-one, C28H41NO
- The crystal structure of diaqua-bis(4-bromo-2-formylphenoxy)zinc(II), C14H12Br2O6Zn
- The crystal structure of tetra(1-ethylimidazole-κ 1 N)-[μ 4-imidazole-4,5-dicarboxylato-κ 4 O, N, O′, N′]-trioxido-divanadium, C25H33N10O7V2
- The crystal structure of (E)-N′-(1-(4-fluorophenyl)propylidene)-2-hydroxybenzohydrazide, C16H15FN2O2