Contents
-
Publicly AvailableFrontmatterJanuary 3, 2025
- New Crystal Structures
-
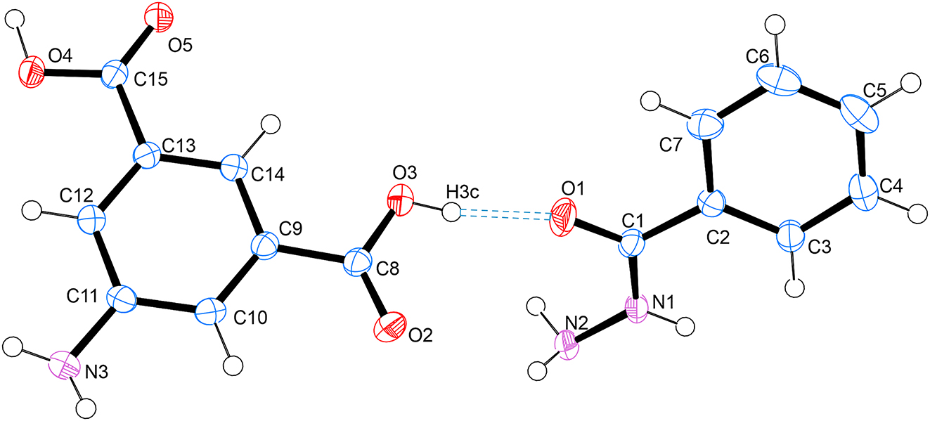
Open AccessCrystal structure of the co-crystal 2,4,6-triamino-1,3,5-triazine-1,3-dioxide — acetic acid (1/2) C7H14N6O6October 29, 2024
-
-
November 26, 2024
-
October 29, 2024
-
Open AccessCrystal structure of 9-fluoro-4-(6-methoxypyridin-2-yl)-5,6-dihydrobenzo[h]quinazolin-2-amine, C18H15FN4OOctober 29, 2024
-
November 26, 2024
-
November 27, 2024
-
October 31, 2024
-
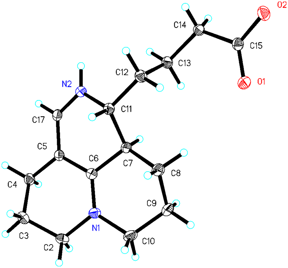
Open AccessCrystal structure of (−)-flavesine H, C15H22N2O2October 30, 2024
-
October 30, 2024
-
October 29, 2024
-
November 6, 2024
-
December 23, 2024
-
Open AccessThe crystal structure of (9H-thioxanthen-9- ylidene)hydrazine monohydrate, C13H11N2SO0.5October 31, 2024
-
Open AccessCrystal structure of the hydrogen storage active high entropy phase Tb0.82Sm0.18Ni0.83Co0.17MgNovember 11, 2024
-
Open AccessSynthesis and crystal structure of methyl 4-(2-ethoxy-2-oxoethoxy)-3,5-dimethoxybenzoate, C14H18O7November 14, 2024
-
December 9, 2024
-
December 9, 2024
-
Open AccessThe crystal structure of 1,1,1,2,2,2-hexakis(2-methyl-2-phenylpropyl)distannane,C60H78Sn2November 14, 2024
-
Open AccessThe crystal structure of (2,7-dimethoxynaphthalene-1,8-diyl)bis((3-nitrophenyl)methanone), C26H18N2O8November 26, 2024
-
November 19, 2024
-
Open AccessCrystal structure of CaPtZnNovember 19, 2024
-
Open AccessCrystal structure of 3-chloro-5-(trifluoromethyl)pyridine-2-carboxylic acid, C7H3ClF3NO2November 14, 2024
-
Open AccessThe crystal structure of (3′-(2-bromophenyl)-2-phenyl-[2,2′-bioxiran]-3-yl)(phenyl)methanone, C92H68O12Br4December 23, 2024
-
November 26, 2024
-
November 27, 2024
-
December 9, 2024
-
November 27, 2024
-
Open AccessCrystal structure of {[(4-fluorophenyl)methyl]triphenylphosphonium}dibromocopper(I), [C25H21FP]+[CuBr2]−December 23, 2024