Contents
-
Publicly AvailableFrontmatterMay 5, 2025
- New Crystal Structures
-
Open AccessCrystal structure of 5,5′-bis(2,4,6-trinitrophenyl)-2,2′-bi(1,3,4-oxadiazole), C16H4N10O14March 26, 2025
-
February 21, 2025
-
Open AccessThe crystal structure of benzyl 2,2,5,5-tetramethylthiazolidine-4-carboxylate, C15H21NO2SFebruary 21, 2025
-
Open AccessCrystal structure of 2-hydroxyethyl-triphenylphosphonium tetracyanidoborate, C24H20BN4OPApril 15, 2025
-
Open AccessThe crystal structure of 1-methyl-3-(N-methylnitrous amide–N-methylene) imidazolidine-2,4,5-trioneFebruary 21, 2025
-
February 19, 2025
-
Open AccessCrystal structure of [(4-bromobenzyl)triphenylphosphonium] tetrabromoantimony(III), [C25H21BrP]+[SbBr4]−February 17, 2025
-
Open AccessCrystal structure of [(4-bromobenzyl)triphenylphosphonium] tetrabromidoindium(III), [C25H21BrP]+[InBr4]−February 17, 2025
-
February 18, 2025
-
February 27, 2025
-
Open AccessThe crystal structure of dichlorido(η6-p-cymene)(triphenylarsine)ruthenium(II), C28H29AsCl2RuFebruary 18, 2025
-
March 11, 2025
-
Open AccessThe crystal structure of 10-(1-bromoethyl)-14-(bromomethyl)dibenzo[a, c]acridine, C24H17NBr2February 28, 2025
-
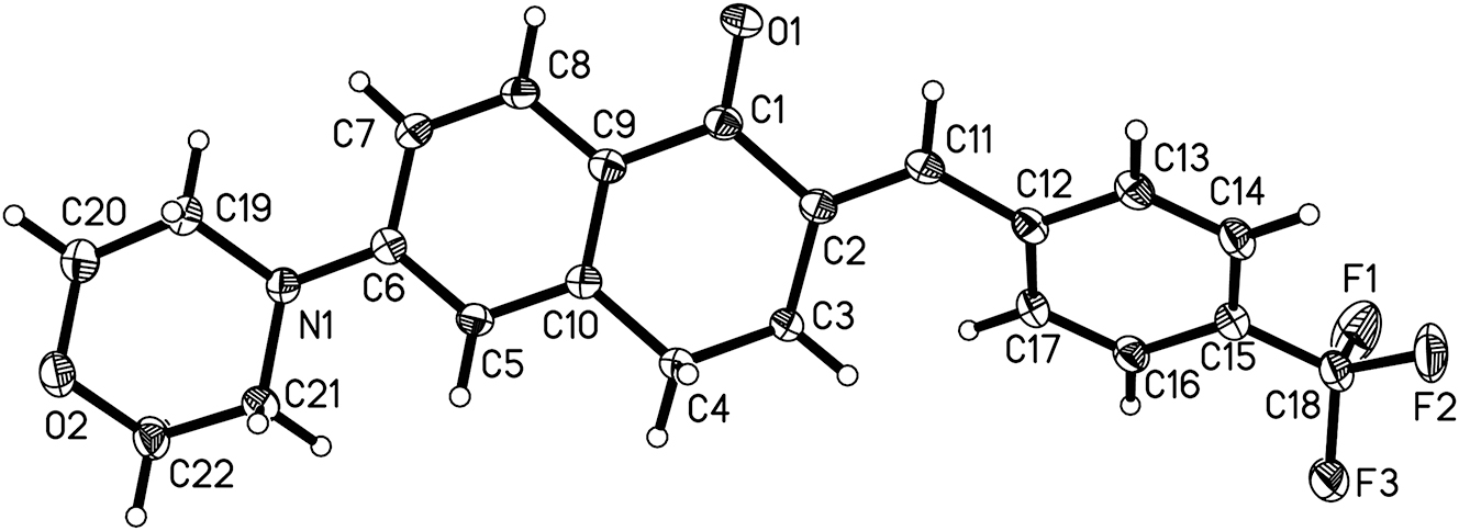
Open AccessSynthesis and crystal structure of ethyl 4-((4-trifluoromethylbenzyl)amino)benzo, C17H16F3NO2March 14, 2025
-
March 7, 2025
-
March 12, 2025
-
March 7, 2025
-
March 7, 2025
-
March 14, 2025
-
April 9, 2025
-
Open AccessCrystal structure of Ce9Ir37Ge25April 11, 2025
-
Open AccessThe crystal structure of ethyl 6-(2-nitrophenyl)imidazo[2,1-b]thiazole-3-carboxylate, C14H11N3O4SApril 10, 2025
-
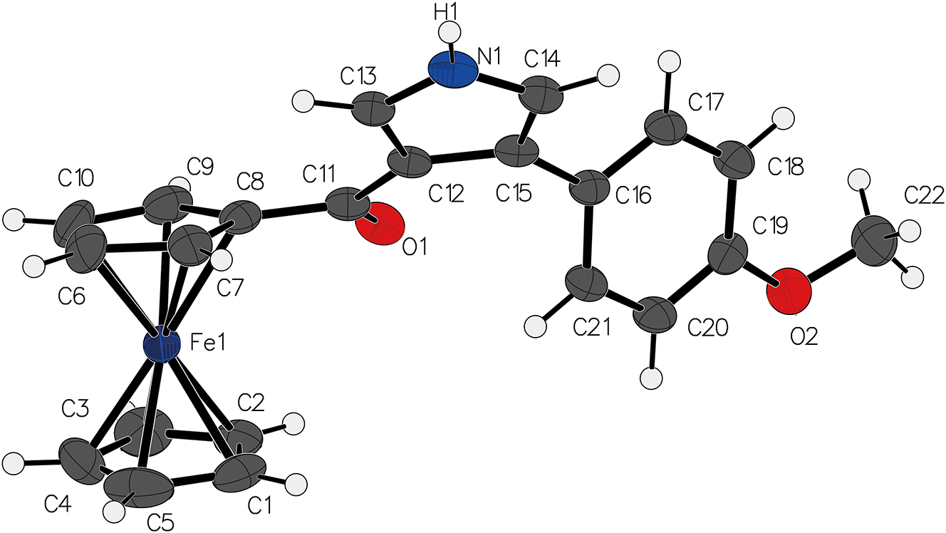
Open AccessCrystal structure of (4-(4-isopropylphenyl)-1H-pyrrol-3-yl)(ferrocenyl)methanone, C24H23FeNOApril 10, 2025
-
April 2, 2025
-
April 2, 2025
-
April 3, 2025
-
Open AccessTiNiSi-type EuPdBiApril 2, 2025
-
Open AccessCrystal structure of 1-(p-tolylphenyl)-4-(2-thienoyl)-3-methyl-1H-pyrazol-5-ol, C16H14N2O2SApril 8, 2025
-
April 2, 2025
-
Open AccessCrystal structure of bis(DL-1-carboxy-2-(1H-indol-3-yl)ethan-1-aminium) oxalate — acetic acid (1/2)April 23, 2025
-
April 18, 2025
-
Open AccessThe crystal structure of actarit, C10H11NO3April 15, 2025
-
Open AccessThe crystal structure of bicyclol, C19H18O9April 15, 2025
-
Open AccessThe crystal structure of topiroxostat, C13H8N6April 15, 2025
-
Open AccessCrystal structure of 2,2-dichloro-N-methyl-N-(4-p-tolylthiazol-2-yl)acetamide, C13H12Cl2N2OSApril 15, 2025
-
Open AccessCrystal structure of 4-(trifluoromethyl)-7-coumarinyl trifluoromethanesulfonate C11H4F6O5SApril 24, 2025
-
April 15, 2025
-
April 15, 2025