Abstract
In this study, we focused on the influencing factors of renal anaemia in patients with IgA nephropathy and constructed a nomogram model. We divided 462 patients with IgA nephropathy diagnosed by renal biopsy into anaemic and non-anaemic groups. Then, the influencing factors of renal anaemia in patients with IgA nephropathy were analysed by least absolute shrinkage and selection operator (LASSO) regression and multivariable logistic regression, and a nomogram model for predicting renal anaemia was established. Eventually, nine variables were obtained, which are easy to apply clinically. The areas under the receiver operating characteristic (ROC) curve and precision-recall (PR) curve reached 0.835 and 0.676, respectively, and the C-index reached 0.848. The calibration plot showed that the model had good discrimination, accuracy, and diagnostic efficacy. In addition, the C-index of the model following internal validation reached 0.823. Decision curve analysis suggested that the model had a certain degree of clinical significance. This new nomogram model of renal anaemia combines the basic information, laboratory findings, and renal biopsy results of patients with IgA nephropathy, providing important guidance for predicting and clinically intervening in renal anaemia.
1 Introduction
IgA nephropathy is currently the most common glomerular disease worldwide, with a high incidence in the Asia-Pacific region [1], and is the most common cause of chronic kidney disease (CKD) in China [2]. Renal anaemia is a common diagnostic complication in patients with CKD, in whom it can occur at the early stage (stages 2 and 3 according to the KDIGO guidelines). The level of haemoglobin decreases when the estimated glomerular filtration rate (eGFR) is approximately 70 mL/min/1.73 m2 in males and 50 mL/min/1.73 m2 in females; however, most commonly, renal anaemia appears in stage 4 CKD and worsens as the disease progresses. Among patients with more advanced disease and those on dialysis, approximately 90% have anaemia [3,4].
The pathogenesis of renal anaemia is complex; the primary mechanism is the reduced production of erythropoietin (EPO) by the paratubular apparatus. In addition, excessive expression of hepcidin, a persistent microinflammatory state, and uraemic toxins have an effect on anaemia [5,6,7,8]. Anaemia because of CKD not only affects the quality of life of the patients but also increases the incidence of and mortality from cardiovascular complications, which may lead to further deterioration of renal function and form a vicious cycle called “cardiac anaemia syndrome” [9]. In addition, renal anaemia has been identified as an independent risk factor of heart failure in CKD patients [10].
Therefore, the early diagnosis of and intervention for renal anaemia is necessary, but the individualized prediction of IgA nephropathy complicated by renal anaemia has been rarely reported and is an urgent problem to be solved. The aim of this study was to establish the first nomogram model for the personalized prediction of the risk of IgA nephropathy complicated by renal anaemia to guide clinical screening of high-risk groups and develop more targeted clinical decisions.
2 Methods
2.1 Study sample collection and management
A total of 658 patients with IgA nephropathy diagnosed by renal biopsy were enrolled from January 2015 to January 2016. The method of inclusion and exclusion was based on a previous study [11]. Finally, 462 patients were enrolled, including 132 patients with anaemia and 320 patients without anaemia. All patients who underwent renal biopsy signed a study protocol informed consent form for the renal clinical database at the time of admission, agreeing that their data would be used for the clinical study. The study protocol was approved by the hospital ethics committee (EC No.: S2019-309-01).
2.2 Definition of clinical measures
According to WHO recommendations, anaemia can be diagnosed in males aged ≥15 years with haemoglobin <130 g/L or in adult non-pregnant females with haemoglobin <120 g/L in regions at sea level [12].
To evaluate renal function, we referred to the National Kidney Foundation Kidney Disease Outcomes Quality Initiative clinical practice guidelines for classifying subjects into different stages of CKD based on eGFR [13], which was calculated using the Chronic Kidney Disease Epidemiology Collaboration (CKD-EPI) equation for Asian populations (CKD stage 1: eGFR ≥ 90 mL/min/1.73 m2; CKD stage 2: eGFR: 60–89 mL/min/1.73 m2; CKD stage 3: eGFR: 30–59 mL/min/1.73 m2; CKD stage 4: eGFR: 15–29 mL/min/1.73 m2; and CKD stage 5: eGFR < 15 mL/min/1.73 m2) [14]. In this study, CKD stages 1–2, 3, and 4–5 were used as a group, respectively.
The 2017 updated Oxford pathological evaluation criteria [15] were used to identify the type of IgA nephropathy as follows: mesangial hypercellularity (M, M0 ≤ 0.5, M1 > 0.5), endocapillary hypercellularity (E, E0: no, E1: yes), segmental glomerulosclerosis (S, S0: no, S1: yes), tubular atrophy/interstitial fibrosis (T, T0: 0–25%, T1: 26–50%, T2: >50%), and cellular/fibrocellular crescent (C, C0: no, C1: <25% of the glomeruli, C2: ≥25% of the glomeruli).
2.3 Statistical analysis
The study design and statistical analysis of this study were carried out in strict accordance with the TRIPOD statement for prediction models [16]. All data analysis was performed using R software (version 3.6.3; https://www.R-project.org). All clinically collected data (basic patient information, laboratory tests, pathological stage for renal biopsy) were enumeration data and are expressed as frequency (%). Least absolute shrinkage and selection operator (LASSO) regression was performed by the “glmnet” package in R software, the “rms” package was used to draw the nomogram and calibration curve, the “pROC” package was used to illustrate the receiver operating characteristic (ROC) curve, the coords function was used to return the values of the variables used in the calculation of the ROC curve, the “modEvA” package was used for plotting the precision-recall (PR) curve, and the “rmda” package was used to draw the decision curve analysis (DCA) curve. LASSO regression is a compression estimation regression method. Its greatest advantage lies in the fact that by performing penalized regression on all variable coefficients, the coefficient of the most relatively insignificant independent variable becomes zero, so that it is excluded from the modelling, improving the modelling stability, and solving the problem of having highly correlated variables in the traditional model [17]. Therefore, LASSO regression was used to screen for possible factors of renal anaemia in IgA patients. Multivariable logistic regression analysis was performed by entering the variables screened by the LASSO regression, and the β regression coefficient, 95% confidence interval, odds ratio (OR), and P-value were calculated (statistical significance was assessed bilaterally). A nomogram prediction model was developed based on the results of logistic regression analysis [18], and all potential predictors were used in the development of the model [19]. A calibration curve was drawn to assess the calibration of the renal anaemia prediction model, where a fit closer to the ideal model indicated a better prediction. The predictive accuracy and diagnostic performance of the validated model were quantified using the areas under the ROC and PR curves (AUCs) and Harrell’s concordance index (C-index) [20]. The DCA curve was used to quantify the net benefit at different threshold probabilities in IgA nephropathy cohorts and determine the clinical role of the nomogram in avoiding the possibility of false positives and false negatives [21]. The nomogram model was internally validated by repeating bootstrap resampling 1,000 times [22], and the relative corrected C-index was calculated. For all statistical data, P < 0.05 was considered statistically significant. As there were a few missing values for some variables in the data, we assumed that the data were missing at random. In R software, we performed multiple interpolations for the missing values by chained equations [23].
3 Results
3.1 General information
A total of 462 patients with IgA nephropathy were divided into an anaemia group (132 cases) and a non-anaemia group (330 cases). Table 1 presents all data of the patients in both groups, including demographic information and clinical laboratory tests and pathological examination results.
Differences between demographic and clinical characteristics of anaemia and non-anaemia groups
| Demographic characteristics | n (%) | ||
|---|---|---|---|
| Anaemia (n = 132) | Non-anaemia (n = 330) | Total (n = 462) | |
| Age (years) | |||
| 18–44 | 92 (69.7) | 258 (78.2) | 350 (75.8) |
| 45–59 | 31 (23.5) | 67 (20.3) | 98 (21.2) |
| ≥60 | 9 (6.8) | 5 (1.5) | 14 (3.0) |
| Sex | |||
| Male | 58 (43.9) | 214 (64.8) | 272 (58.9) |
| Female | 74 (56.1) | 116 (35.2) | 190 (41.1) |
| BMI (kg/m 2 ) | |||
| <24 | 74 (56.1) | 135 (40.9) | 209 (45.2) |
| 24–27.9 | 42 (31.8) | 131 (39.7) | 173 (37.4) |
| ≥28 | 16 (12.1) | 64 (19.4) | 80 (17.3) |
| Systolic (mm Hg) | |||
| 90–109 | 16 (12.1) | 24 (7.3) | 40 (8.7) |
| 110–119 | 17 (12.9) | 54 (16.4) | 71 (15.4) |
| 120–129 | 34 (25.8) | 81 (24.5) | 115 (24.9) |
| 130–139 | 18 (13.6) | 67 (20.3) | 85 (18.4) |
| 140–149 | 19 (14.4) | 57 (17.3) | 76 (16.5) |
| ≥150 | 28 (21.2) | 47 (14.2) | 75 (16.2) |
| Diastolic (mm Hg) | |||
| <70 | 14 (10.6) | 14 (4.2) | 28 (6.1) |
| 70–89 | 33 (25.0) | 70 (21.2) | 103 (22.3) |
| 80–89 | 35 (26.5) | 124 (37.6) | 159 (34.4) |
| 90–99 | 27 (20.5) | 68 (20.6) | 95 (20.6) |
| ≥100 | 23 (17.4) | 54 (16.4) | 77 (16.7) |
| Serum albumin (g/L) | |||
| ≤30 | 8 (6.1) | 2 (0.6) | 10 (2.2) |
| >30 | 124 (93.9) | 328 (99.4) | 452 (97.8) |
| 24 h protein excretion (g/day) | |||
| <1 | 37 (28.0) | 151 (45.8) | 188 (40.7) |
| ≥1 | 95 (72.0) | 179 (54.2) | 274 (59.3) |
| Cholesterol (mmol/L) | |||
| <5.72 | 118 (89.4) | 295 (89.4) | 413 (89.4) |
| ≥5.72 | 14 (10.6) | 35 (10.6) | 49 (10.6) |
| Triglyceride (mmol/L) | |||
| <1.7 | 87 (65.9) | 170 (51.5) | 257 (55.6) |
| ≥1.7 | 45 (34.1) | 160 (48.5) | 205 (44.4) |
| Serum uric acid (μmol/L) | |||
| <420 | 83 (62.9) | 216 (65.5) | 299 (64.7) |
| ≥420 | 49 (37.1) | 114 (34.5) | 163 (35.3) |
| BUN (mmol/L) | |||
| ≤7.5 | 100 (75.8) | 258 (78.2) | 358 (77.5) |
| >7.5 | 32 (24.2) | 72 (21.8) | 104 (22.5) |
| CKD stages | |||
| 1–2 | 57 (43.2) | 263 (79.7) | 320 (69.3) |
| 3 | 48 (36.4) | 64 (19.4) | 112 (24.2) |
| 4–5 | 27 (20.5) | 3 (0.9) | 30 (6.5) |
| M a | |||
| M0 | 57 (43.2) | 203 (61.5) | 260 (56.3) |
| M1 | 75 (56.8) | 127 (38.5) | 202 (43.7) |
| E b | |||
| E0 | 117 (88.6) | 277 (83.9) | 394 (85.3) |
| E1 | 15 (11.4) | 53 (16.1) | 68 (14.7) |
| S c | |||
| S0 | 32 (24.2) | 110 (33.3) | 142 (30.7) |
| S1 | 100 (75.8) | 220 (66.7) | 320 (69.3) |
| T d | |||
| T0 | 35 (26.5) | 185 (56.1) | 220 (47.6) |
| T1 | 28 (21.2) | 96 (29.1) | 124 (26.8) |
| T2 | 69 (52.3) | 49 (14.8) | 118 (25.5) |
| C e | |||
| C0 | 72 (54.5) | 197 (59.7) | 269 (58.2) |
| C1 | 50 (37.9) | 125 (37.9) | 175 (37.9) |
| C2 | 10 (7.6) | 8 (2.4) | 18 (3.9) |
- a
M, mesangial hypercellularity;
- b
E, endocapillary hypercellularity;
- c
S, segmental glomerulosclerosis.
- d
T, tubular atrophy/interstitial fibrosis;
- e
C, cellular/fibrocellular crescent.
3.2 Screening for factors associated with renal anaemia in patients with IgA nephropathy
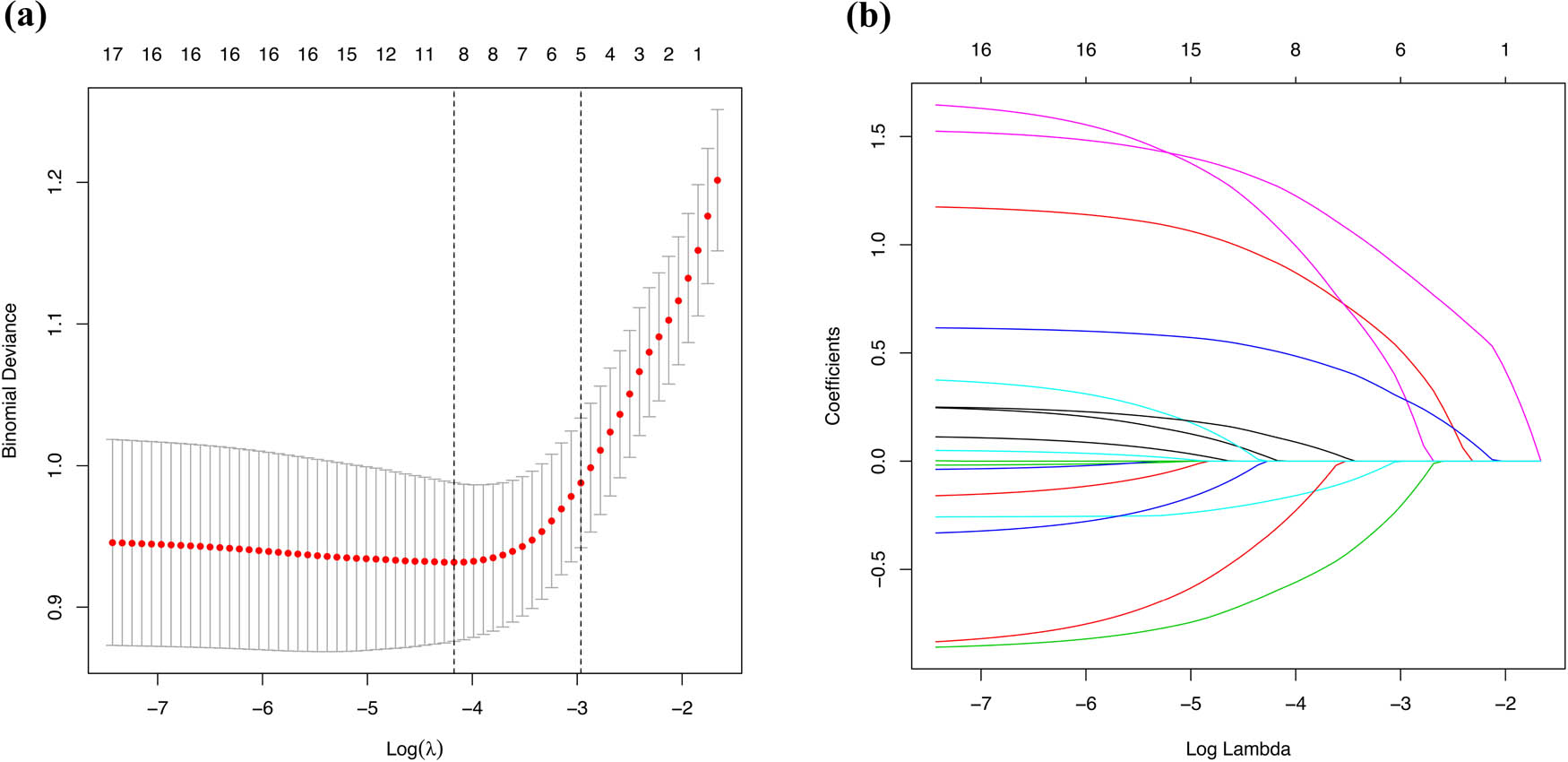
A total of 17 potential risk factors for renal anaemia were included in this study. The 17 variables were reduced by the LASSO regression reducing dimension algorithm, and representative risk factors for renal anaemia were selected. The lambda parameter value with the smallest 10-fold cross-validation error was used as the optimal value for the model, and the number of variables with a non-zero regression coefficient was also counted (Figure 1a and b). The results of the LASSO regression revealed the following nine variables as risk factors affecting the development of renal anaemia in patients with IgA nephropathy: age, sex, diastolic blood pressure (DBP), serum albumin (ALB), cholesterol (CHOL), triglyceride (TG), CKD stage, mesangial hypercellularity (M), and tubular atrophy/interstitial fibrosis (T).

Demographic information, clinical laboratory tests, and pathological examination selection using the LASSO binary logistic regression model. (a) Optimal parameter (lambda) selection in the LASSO model used 10-fold cross-validation via minimum criteria. The partial likelihood deviance (binomial deviance) curve was plotted versus log (lambda). Dotted vertical lines were drawn at the optimal values using the minimum criteria and the 1 SE of the minimum criteria (the 1-SE criterium). (b) LASSO coefficient profiles of the 17 features. A coefficient profile plot was produced against the log (lambda) sequence. Vertical line was drawn at the value selected using 10-fold cross-validation, where the optimal lambda resulted in nine features with non-zero coefficients. Abbreviations: LASSO, least absolute shrinkage and selection operator; SE, standard error.
3.3 Logistic regression analysis
The results of logistic regression analysis using age, sex, DBP, ALB, CHOL, TG, CKD stage, M, and T are shown in Table 2.
Prediction factors for anaemia in IgA nephropathy
| Intercept and variable | Prediction model | ||
|---|---|---|---|
| β | Odds ratio (95% CI) | P-value | |
| Intercept | −1.5434 | 0.214 (0.072–0.604) | 0.004 |
| Age (years) | |||
| 18–44 | |||
| 45–59 | 0.0006 | 1.001 (0.516–1.894) | 0.998 |
| ≥60 | 1.6285 | 5.096 (1.293–21.958) | 0.022 |
| Sex | |||
| Male | |||
| Female | 1.143 | 3.136 (1.822–5.516) | <0.001 |
| Diastolic (mm Hg) | |||
| <70 | |||
| 70–89 | −0.2236 | 0.780 (0.291–2.262) | 0.667 |
| 80–89 | −1.0336 | 0.356 (0.131–0.988) | 0.043 |
| 90–99 | −0.8154 | 0.442 (0.152–1.304) | 0.135 |
| ≥100 | −1.3312 | 0.264 (0.078–0.881) | 0.03 |
| Serum albumin (g/L) | |||
| >30 | |||
| ≤30 | 1.6019 | 1.602 (0.967–37.905) | 0.074 |
| Cholesterol (mmol/L) | |||
| <5.72 | |||
| ≥5.72 | −0.8782 | 0.416 (0.156–1.013) | 0.064 |
| Triglyceride (mmol/L) | |||
| <1.7 | |||
| ≥1.7 | −0.8493 | 0.428 (0.241–0.742) | 0.003 |
| CKD stages | |||
| 1–2 | |||
| 3 | 1.1118 | 3.040 (1.511–6.176) | 0.002 |
| 4–5 | 3.7456 | 42.333 (10.943–220.631) | <0.001 |
| M a | |||
| M0 | |||
| M1 | 0.2739 | 1.315 (0.770–2.237) | 0.313 |
| T b | |||
| T0 | |||
| T1 | 0.182 | 1.200 (0.595–2.380) | 0.605 |
| T2 | 1.425 | 4.158 (1.838–9.546) | 0.001 |
- a
M, mesangial hypercellularity;
- b
T, tubular atrophy/interstitial fibrosis.
3.4 Construction of the nomogram prediction model and judgement of diagnostic efficacy
A model containing the above independent predictors was developed and presented as a nomogram (Figure 2). To apply the nomogram model, the scores of different variables are first obtained on the vertical line on the nomogram. Then, the scores of all variables are added to obtain the total score, which finally allows determination of the corresponding predicted risk value by connecting the prediction line to the total score line at the bottom of the nomogram. The calibration curve for the nomogram used to predict the development of renal anaemia in patients with IgA nephropathy showed good consistency in this cohort (Figure 3a). The C-index of the cohort was 0.848 (95% confidence interval: 0.811–0.885), while the area under the ROC curve was 0.835 (Figure 3b), the sensitivity was 0.72, the specificity was 0.79, the positive predictive value (PPV) was 0.58, the negative predictive value (NPV) was 0.88, and the area under the PR curve was 0.676 (Figure 4a), suggesting that the model has good discrimination and diagnostic efficacy. An internal validation set was evaluated by bootstrap resampling, and the calculated corrected C-index reached 0.823, suggesting that the good predictive accuracy of the model was preserved. For this nomogram, visualization of the prediction model can indicate a better predictive value.

Developed IgA nephropathy patients complicated with renal anaemia nomogram. The renal anaemia nomogram was developed in the cohort, with nine variables, age, sex, DBP, ALB, CHOL, TG, CKD stage, M, and T. Abbreviations: CKD 1, stages 1–2 CKD; CKD 2, stage 3 CKD; CKD 3, stages 4–5 CKD; DBP, diastolic blood pressure; ALB, serum albumin; CHOL, cholesterol; TG, triglyceride; CKD stage, chronic kidney disease stage; M, mesangial hypercellularity; T, tubular atrophy/interstitial fibrosis.

Calibration curve and ROC curve for the renal anaemia nomogram prediction in the cohort. (a) Calibration curve. The x-axis represents the predicted renal anaemia risk. The y-axis represents the actual diagnosed renal anaemia. The diagonal dotted line represents a perfect prediction by an ideal model. The solid line represents the performance of the nomogram, of which a closer fit to the diagonal dotted line represents a better prediction. (b) ROC curve. It showed that the AUC of this model for predicting renal anaemia was 0.835. The optimal cut-off value of the ROC curve was 0.317, corresponding to a specificity and sensitivity of 0.788 and 0.720, respectively. Abbreviations: ROC curve, receiver operating characteristic curve; AUC, area under the curve.

PR curve and decision curve analysis (DCA) for the renal anaemia nomogram. (a) PR curve. It showed that the AUC of this model for predicting renal anaemia was 0.676. (b) DCA. The y-axis measures the net benefit. The blue solid line represents the renal anaemia nomogram. The solid grey line represents the assumption that all patients with IgA nephropathy developed renal anaemia. The solid black line represents the assumption that none of the patients with IgA nephropathy developed renal anaemia. The decision analysis curve showed that the net benefit rate was >0 at the high-risk threshold of 1–84%, which was clinically significant. Abbreviations: PR curve, precision-recall curve; AUC, area under the curve.
3.5 Clinical application
The DCA of the renal anaemia nomogram is shown in Figure 4b. DCA showed that the net benefit rate was >0 at a high-risk threshold between 1 and 84%, which was clinically significant, and that the smaller the threshold was between 1 and 84%, the higher the net benefit rate.
4 Discussion
With the change in the medical model from evidence-based medicine to precision medicine, the latter has rapidly become the focus of attention of the global medical community. The era of big data provides unlimited possibilities for the realization of individualized medicine, in which treatment plans can be tailored according to the individual characteristics of each patient. Clinical prediction models are increasingly widely used in clinical diagnosis, treatment decisions, and patient prognosis management through comprehensive statistical analyses of various clinical data and have become increasingly important as the value of clinical risk prediction and benefit assessment has increased [24]. The nomogram is a graph with high- and low-score lines based on multiple clinical indicators; it is based on multivariable regression analysis, can be used to predict a certain clinical outcome or adverse event rate, and is one of the most widely used statistical methods in clinical research [25]. Moreover, it has visual and mathematical advantages and facilitates the probability calculation of risk factors or other predictor variables in clinical practice [26]. This study is the first to apply a nomogram to the risk study of IgA nephropathy complicated by renal anaemia.
We obtained nine variables that are easy to apply clinically and used them to develop and validate a new tool to predict the risk of IgA nephropathy complicated by renal anaemia. Risk factors extracted from among demographic characteristics, laboratory findings, and pathological findings were included in the nomogram for the individualized prediction of disease occurrence. Internal validation of the cohort data showed that the model had good discrimination and calibration ability, especially via its high C-index, indicating that the model can be widely and accurately used in a large number of clinical samples. These nine variables were age, sex, DBP, ALB, CHOL, TG, CKD stage, M, and T, which were associated with IgA nephropathy complicated by renal anaemia. The nomogram suggests that age ≥60 years (score = 43), female sex (score = 31), DBP ≤69 mm Hg (score = 36), ALB ≤30 g/L (score = 43), serum CHOL <5.72 mmol/L (score = 23), serum TGs <1.7 mmol/L (score = 23), CKD stage 3 or higher (score = 30 for CKD stage 3 and score = 100 for CKD stages 4–5), mesangial hypercellularity (M1, score = 7), and tubular atrophy/interstitial fibrosis (score = 5 for T1 and score = 38 for T2) may be key factors in determining renal anaemia in patients with IgA nephropathy.
In this study, we found that age ≥60 years was an independent predictor of renal anaemia in patients with IgA nephropathy, similar to the study by Melissa E. Stauffer, in which the incidence of anaemia tended to increase with increasing age in elderly CKD patients [4]. The reason for this is two-fold. First, with age, the kidney changes morphologically and functionally. Renal ageing is morphologically characterized by the gradual loss of nephrons, glomerulosclerosis, tubular atrophy, renal interstitial fibrosis, and arteriosclerosis, while functional changes mainly consist of reduced renal effective plasma flow and decreased eGFR [27,28]. Second, elderly patients have notably poor prognostic factors, such as decreased eGFR, massive proteinuria, a high number of comorbidities, and relatively severe renal chronicity [29]. Another independent risk factor we identified was female sex. Oh et al. found that in IgA nephropathy, female sex was strongly associated with decreased haemoglobin [30]. Poudel et al. also found a high incidence of anaemia in women with CKD [31]. The specific reasons for the difference in anaemia between sexes are still unclear; one possibility is that hepcidicin, which is increased in postmenopausal women and constant with age in men, aggravates chronic disease-related anaemia at high levels [32]. Therefore, doctors should pay special attention to female patients with anaemia in clinical work, and sex should also be considered in the clinical observation and intervention of patients with renal anaemia. In terms of blood pressure, we found that a lower DBP was associated with anaemia, which is speculated to be related to the frequent occurrence of increased pulse pressure in patients with vascular calcification in CKD. Vascular calcification is also another common complication of CKD [33]. Liu et al. also found that orthostatic hypotension in CKD is closely related to haemoglobin reduction [34]. Lower ALB, serum CHOL, and TGs are key factors in anaemia and may represent a state of malnutrition in the body, which is also closely related to anaemia because of chronic inflammation in CKD [7,35]. Investigation of the interaction between nutritional markers and inflammatory cytokines or adipokines is necessary to understand the development of anaemia in CKD.
In the nomogram model, the other two factors accounting for the higher weight score and that were independent predictors of concurrent renal anaemia in patients with IgA nephropathy were patients with CKD stages 3–5 and pathological findings of more severe tubular atrophy/interstitial fibrosis (T2). We demonstrated that the prevalence of anaemia increases with CKD stage, similar to previous studies [11]. We also found that patients with stage 3 CKD need to be monitored for renal anaemia and possibly undergo intervention. This is in line with the results of the study by Jha et al., who found that patients with stage 3 CKD complicated by anaemia (<13 g/dL in men or <11 g/dL in women) had an equivalent risk of progression to end-stage renal disease to non-anaemic patients with stage 4 CKD, further indicating the need for early intervention in patients with CKD complicated by anaemia [36]. The reason for this may be related to the fact that tubular atrophy/interstitial fibrosis injury can reach more than 50% (T2) in patients with IgA nephropathy, which is the link between patients with stages 3–5 CKD and renal anaemia. In further analysis, an important cause of renal anaemia is the insufficient production of EPO by cells called erythropoietin-producing cells (REPs). Numerous studies have shown that REPs are intrinsically renal interstitial fibroblasts [37,38,39], and hypoxia is a switch for their activation, regulating EPO production through the PHD2-HIF2α-EPO signalling pathway [5]. More interestingly, it has been found that REPs transform into myofibroblasts upon kidney injury, leading to the development of renal interstitial fibrosis [40]. Renal interstitial fibrosis in CKD is closely related to renal anaemia, which inspires us to slow the further progression of CKD by targeting and regulating the cellular characteristics of REPs while preventing renal anaemia.
In addition, we analysed ROC and PR curves to validate the nomogram model and evaluated the clinical usability and benefits of the prediction tool through DCA, which suggested that this model can be applied to larger clinical samples. However, this study has some limitations. First, our study is a single-centre study, and the model may require further external validation through a multicentre sample study. Second, the risk factors did not include all potential factors affecting renal anaemia, and thus the model may be somewhat biased.
In conclusion, we constructed a nomogram model for predicting the risk of renal anaemia in patients with IgA nephropathy. The model achieved a reasonable accuracy, discrimination, and predictive ability, indicating its potential usefulness for the clinical screening of high-risk patients and the development of more targeted intervention strategies.
-
Funding information: This research was funded by National Natural Science Foundation of China (2018YFC1704203).
-
Conflict of interest: The authors declare no conflict of interest.
-
Data availability statement: The available datasets generated during and/or analysed during the current study are available from the corresponding author on reasonable request.
References
[1] Rodrigues JC, Haas M, Reich HN. IgA nephropathy. Clin J Am Soc Nephrol. 2017;12(4):677–86.10.2215/CJN.07420716Search in Google Scholar PubMed PubMed Central
[2] Xie Y, Chen X. Epidemiology, major outcomes, risk factors, prevention and management of chronic kidney disease in China. Am J Nephrol. 2008;28(1):1–7.10.1159/000108755Search in Google Scholar PubMed
[3] McFarlane SI, Chen S-C, Whaley-Connell AT, Sowers JR, Vassalotti JA, Salifu MO, et al. Prevalence and associations of anemia of CKD: Kidney early evaluation program (KEEP) and national health and nutrition examination survey (NHANES) 1999–2004. Am J Kidney Dis. 2008;51(4 Suppl 2):S46–55.10.1053/j.ajkd.2007.12.019Search in Google Scholar PubMed
[4] Stauffer ME, Fan T. Prevalence of anemia in chronic kidney disease in the United States. PloS One. 2014;9(1):e84943.10.1371/journal.pone.0084943Search in Google Scholar PubMed PubMed Central
[5] Suzuki N. Erythropoietin gene expression: developmental-stage specificity, cell-type specificity, and hypoxia inducibility. Tohoku J Exp Med. 2015;235(3):233–40.10.1620/tjem.235.233Search in Google Scholar PubMed
[6] Akchurin O, Sureshbabu A, Doty SB, Zhu Y-S, Patino E, Cunningham-Rundles S, et al. Lack of hepcidin ameliorates anemia and improves growth in an adenine-induced mouse model of chronic kidney disease. Am J Physiol Renal Physiol. 2016;311(5):F877–9.10.1152/ajprenal.00089.2016Search in Google Scholar PubMed PubMed Central
[7] Raj DS, Pecoits-Filho R, Kimmel PL. Chapter 17 – Inflammation in chronic kidney disease. In: Kimmel PL, Rosenberg ME, editors. Chronic renal disease. San Diego: Academic Press; 2015. p. 199–212.10.1016/B978-0-12-411602-3.00017-2Search in Google Scholar
[8] Lau WL, Savoj J, Nakata MB, Vaziri ND. Altered microbiome in chronic kidney disease: systemic effects of gut-derived uremic toxins. Clin Sci. 2018;132(5):509–22.10.1042/CS20171107Search in Google Scholar PubMed
[9] Besarab A, Levin A. Defining a renal anemia management period. Am J Kidney Dis. 2000;36(6 Suppl 3):S13–23.10.1053/ajkd.2000.19927Search in Google Scholar PubMed
[10] He J, Shlipak M, Anderson A, Roy JA, Feldman HI, Kallem RR, et al. Risk factors for heart failure in patients with chronic kidney disease: the CRIC (Chronic Renal Insufficiency Cohort) study. J Am Heart Assoc. 2017;6(5):e005336.10.1161/JAHA.116.005336Search in Google Scholar PubMed PubMed Central
[11] Wang Y, Wei RB, Su TY, Huang MJ, Li P, Chen XM. Clinical and pathological factors of renal anaemia in patients with IgA nephropathy in Chinese adults: a cross-sectional study. BMJ Open. 2019;9(1):e023479.10.1136/bmjopen-2018-023479Search in Google Scholar
[12] Kliger AS, Foley RN, Goldfarb DS, Goldstein SL, Johansen K, Singh A, et al. KDOQI US commentary on the 2012 KDIGO clinical practice guideline for anemia in CKD. Am J Kidney Dis. 2013;62(5):849–59.10.1053/j.ajkd.2013.06.008Search in Google Scholar
[13] Levin A, Stevens PE, Bilous RW, Coresh J, Winearls CG. Kidney disease: improving global outcomes (KDIGO) CKD work group. KDIGO 2012 clinical practice guideline for the evaluation and management of chronic kidney disease. Kidney Int Suppl. 2013;3(1):1–150.Search in Google Scholar
[14] Stevens LA, Claybon MA, Schmid CH, Chen J, Horio M, Imai E, et al. Evaluation of the chronic kidney disease epidemiology collaboration equation for estimating the glomerular filtration rate in multiple ethnicities. Kidney Int. 2011;79(5):555–62.10.1038/ki.2010.462Search in Google Scholar
[15] Trimarchi H, Barratt J, Cattran DC, Cook HT, Coppo R, Haas M, et al. Oxford classification of IgA nephropathy 2016: an update from the IgA nephropathy classification working group. Kidney Int. 2017;91(5):1014–21.10.1016/j.kint.2017.02.003Search in Google Scholar
[16] Collins GS, Reitsma JB, Altman DG, Moons KGM. Transparent reporting of a multivariable prediction model for individual prognosis or diagnosis (TRIPOD). Ann Intern Med. 2015;162(10):735–6.10.7326/L15-5093-2Search in Google Scholar
[17] Wang L, You Y, Lian H. Convergence and sparsity of Lasso and group Lasso in high-dimensional generalized linear models. Stat Papers. 2015;56(3):819–28.10.1007/s00362-014-0609-3Search in Google Scholar
[18] Iasonos A, Schrag D, Raj GV, Panageas KS. How to build and interpret a nomogram for cancer prognosis. J Clin Oncol. 2008;26(8):1364–70.10.1200/JCO.2007.12.9791Search in Google Scholar
[19] Balachandran VP, Gonen M, Smith JJ, DeMatteo RP. Nomograms in oncology: more than meets the eye. Lancet Oncol. 2015;16(4):e173–80.10.1016/S1470-2045(14)71116-7Search in Google Scholar
[20] Harrell FE, Lee KL, Mark DB. Multivariable prognostic models: issues in developing models, evaluating assumptions and adequacy, and measuring and reducing errors. Stat Med. 1996;15(4):361–87.10.1002/(SICI)1097-0258(19960229)15:4<361::AID-SIM168>3.0.CO;2-4Search in Google Scholar
[21] Vickers AJ, Elkin EB. Decision curve analysis: a novel method for evaluating prediction models. Med Decis Making. 2006;26(6):565–74.10.1177/0272989X06295361Search in Google Scholar
[22] Guo W, Peddada S. Adaptive choice of the number of bootstrap samples in large scale multiple testing. Stat Appl Genet Mol Biol. 2008;7(1):Article 13.10.2202/1544-6115.1360Search in Google Scholar PubMed PubMed Central
[23] Enders CK. Multiple imputation as a flexible tool for missing data handling in clinical research. Behav Res Ther. 2017;98:4–18.10.1016/j.brat.2016.11.008Search in Google Scholar PubMed
[24] Ranstam J, Cook JA, Collins GS. Clinical prediction models. Br J Surg. 2016;103(13):1886.10.1002/bjs.10242Search in Google Scholar PubMed
[25] Zhou H, Zhang Y, Qiu Z, Chen G, Hong S, Chen X, et al. Nomogram to predict cause-specific mortality in patients with surgically resected stage I non-small-cell lung cancer: a competing risk analysis. Clin Lung Cancer. 2018;19(2):e195–e203.10.1016/j.cllc.2017.10.016Search in Google Scholar PubMed
[26] Grimes DA. The nomogram epidemic: resurgence of a medical relic. Ann Intern Med. 2008;149(4):273–5.10.7326/0003-4819-149-4-200808190-00010Search in Google Scholar PubMed
[27] Presta P, Lucisano G, Fuiano L, Fuiano G. The kidney and the elderly: why does the risk increase? Int Urol Nephrol. 2012;44(2):625–32.10.1007/s11255-011-0063-2Search in Google Scholar PubMed
[28] Sobamowo H, Prabhakar SS. The kidney in aging: physiological changes and pathological implications. Prog Mol Biol Transl Sci. 2017;146:303–40.10.1016/bs.pmbts.2016.12.018Search in Google Scholar PubMed
[29] Lin J, Cheng Z, Qian Q. Elderly patients with glomerular diseases and IgA nephropathy. Nephrology (Carlton). 2017;22(Suppl 4):20–6.10.1111/nep.13144Search in Google Scholar PubMed
[30] Oh TR, Song SH, Choi HS, Kim CS, Han SH, Kang KP, et al. The association between serum hemoglobin and renal prognosis of IgA nephropathy. J Clin Med. 2021;10(2):363.10.3390/jcm10020363Search in Google Scholar PubMed PubMed Central
[31] Poudel B, Yadav BK, Jha B, Raut KB, Pandeya DR. Prevalence and association of anemia with CKD: a hospital based crosssectional study from Nepal. Biomed Res. 2013;24(1):99–103.Search in Google Scholar
[32] Galesloot TE, Vermeulen SH, Geurts-Moespot AJ, Klaver SM, Kroot JJ, Tienoven DV, et al. Serum hepcidin: reference ranges and biochemical correlates in the general population. Blood. 2011;117(25):e218–25.10.1182/blood-2011-02-337907Search in Google Scholar PubMed
[33] Ryu SR, Park SK, Jung JY, Kim YH, Oh YK, Yoo TH, et al. The prevalence and management of anemia in chronic kidney disease patients: result from the Korean cohort study for outcomes in patients with chronic kidney disease (KNOW-CKD). J Korean Med Sci. 2017;32(2):249–56.10.3346/jkms.2017.32.2.249Search in Google Scholar PubMed PubMed Central
[34] Liu W, Wang L, Huang X, He W, Song Z, Yang J. Impaired orthostatic blood pressure stabilization and reduced hemoglobin in chronic kidney disease. J Clin Hypertens (Greenwich). 2019;21(9):1317–24.10.1111/jch.13658Search in Google Scholar PubMed PubMed Central
[35] Huang L, Zhou J, Zhao YJ, Hu GC. Vitamin D and micro-inflammatory state in hemodialysis patients: a mini review and meta-analysis. J Biol Regul Homeost Agents. 2016;30(3):827–31.Search in Google Scholar
[36] Jha V, Yi S-W, Moon SJ, Yi J-J. Low-normal hemoglobin levels and anemia are associated with increased risk of end-stage renal disease in general populations: a prospective cohort study. Plos One. 2019;14(4):e0215920.10.1371/journal.pone.0215920Search in Google Scholar PubMed PubMed Central
[37] Bachmann S, Le Hir M, Eckardt KU. Co-localization of erythropoietin mRNA and ecto-5’-nucleotidase immunoreactivity in peritubular cells of rat renal cortex indicates that fibroblasts produce erythropoietin. J Histochem Cytochem. 1993;41(3):335–41.10.1177/41.3.8429197Search in Google Scholar PubMed
[38] Obara N, Suzuki N, Kim K, Nagasawa T, Imagawa S, Yamamoto M. Repression via the GATA box is essential for tissue-specific erythropoietin gene expression. Blood. 2008;111(10):5223–32.10.1182/blood-2007-10-115857Search in Google Scholar PubMed
[39] Pan X, Suzuki N, Hirano I, Yamazaki S, Minegishi N, Yamamoto M. Isolation and characterization of renal erythropoietin-producing cells from genetically produced anemia mice. PloS one. 2011;6(10):e25839.10.1371/journal.pone.0025839Search in Google Scholar PubMed PubMed Central
[40] Souma T, Suzuki N, Yamamoto M. Renal erythropoietin-producing cells in health and disease. Front Physiol. 2015;6:167.10.3389/fphys.2015.00167Search in Google Scholar PubMed PubMed Central
© 2021 Fei Li et al., published by De Gruyter
This work is licensed under the Creative Commons Attribution 4.0 International License.
Articles in the same Issue
- Research Articles
- Identification of ZG16B as a prognostic biomarker in breast cancer
- Behçet’s disease with latent Mycobacterium tuberculosis infection
- Erratum
- Erratum to “Suffering from Cerebral Small Vessel Disease with and without Metabolic Syndrome”
- Research Articles
- GPR37 promotes the malignancy of lung adenocarcinoma via TGF-β/Smad pathway
- Expression and role of ABIN1 in sepsis: In vitro and in vivo studies
- Additional baricitinib loading dose improves clinical outcome in COVID-19
- The co-treatment of rosuvastatin with dapagliflozin synergistically inhibited apoptosis via activating the PI3K/AKt/mTOR signaling pathway in myocardial ischemia/reperfusion injury rats
- SLC12A8 plays a key role in bladder cancer progression and EMT
- LncRNA ATXN8OS enhances tamoxifen resistance in breast cancer
- Case Report
- Serratia marcescens as a cause of unfavorable outcome in the twin pregnancy
- Spleno-adrenal fusion mimicking an adrenal metastasis of a renal cell carcinoma: A case report and embryological background
- Research Articles
- TRIM25 contributes to the malignancy of acute myeloid leukemia and is negatively regulated by microRNA-137
- CircRNA circ_0004370 promotes cell proliferation, migration, and invasion and inhibits cell apoptosis of esophageal cancer via miR-1301-3p/COL1A1 axis
- LncRNA XIST regulates atherosclerosis progression in ox-LDL-induced HUVECs
- Potential role of IFN-γ and IL-5 in sepsis prediction of preterm neonates
- Rapid Communication
- COVID-19 vaccine: Call for employees in international transportation industries and international travelers as the first priority in global distribution
- Case Report
- Rare squamous cell carcinoma of the kidney with concurrent xanthogranulomatous pyelonephritis: A case report and review of the literature
- An infertile female delivered a baby after removal of primary renal carcinoid tumor
- Research Articles
- Hypertension, BMI, and cardiovascular and cerebrovascular diseases
- Case Report
- Coexistence of bilateral macular edema and pale optic disc in the patient with Cohen syndrome
- Research Articles
- Correlation between kinematic sagittal parameters of the cervical lordosis or head posture and disc degeneration in patients with posterior neck pain
- Review Articles
- Hepatoid adenocarcinoma of the lung: An analysis of the Surveillance, Epidemiology, and End Results (SEER) database
- Research Articles
- Thermography in the diagnosis of carpal tunnel syndrome
- Pemetrexed-based first-line chemotherapy had particularly prominent objective response rate for advanced NSCLC: A network meta-analysis
- Comparison of single and double autologous stem cell transplantation in multiple myeloma patients
- The influence of smoking in minimally invasive spinal fusion surgery
- Impact of body mass index on left atrial dimension in HOCM patients
- Expression and clinical significance of CMTM1 in hepatocellular carcinoma
- miR-142-5p promotes cervical cancer progression by targeting LMX1A through Wnt/β-catenin pathway
- Comparison of multiple flatfoot indicators in 5–8-year-old children
- Early MRI imaging and follow-up study in cerebral amyloid angiopathy
- Intestinal fatty acid-binding protein as a biomarker for the diagnosis of strangulated intestinal obstruction: A meta-analysis
- miR-128-3p inhibits apoptosis and inflammation in LPS-induced sepsis by targeting TGFBR2
- Dynamic perfusion CT – A promising tool to diagnose pancreatic ductal adenocarcinoma
- Biomechanical evaluation of self-cinching stitch techniques in rotator cuff repair: The single-loop and double-loop knot stitches
- Review Articles
- The ambiguous role of mannose-binding lectin (MBL) in human immunity
- Case Report
- Membranous nephropathy with pulmonary cryptococcosis with improved 1-year follow-up results: A case report
- Fertility problems in males carrying an inversion of chromosome 10
- Acute myeloid leukemia with leukemic pleural effusion and high levels of pleural adenosine deaminase: A case report and review of literature
- Metastatic renal Ewing’s sarcoma in adult woman: Case report and review of the literature
- Burkitt-like lymphoma with 11q aberration in a patient with AIDS and a patient without AIDS: Two cases reports and literature review
- Skull hemophilia pseudotumor: A case report
- Judicious use of low-dosage corticosteroids for non-severe COVID-19: A case report
- Adult-onset citrullinaemia type II with liver cirrhosis: A rare cause of hyperammonaemia
- Clinicopathologic features of Good’s syndrome: Two cases and literature review
- Fatal immune-related hepatitis with intrahepatic cholestasis and pneumonia associated with camrelizumab: A case report and literature review
- Research Articles
- Effects of hydroxyethyl starch and gelatin on the risk of acute kidney injury following orthotopic liver transplantation: A multicenter retrospective comparative clinical study
- Significance of nucleic acid positive anal swab in COVID-19 patients
- circAPLP2 promotes colorectal cancer progression by upregulating HELLS by targeting miR-335-5p
- Ratios between circulating myeloid cells and lymphocytes are associated with mortality in severe COVID-19 patients
- Risk factors of left atrial appendage thrombus in patients with non-valvular atrial fibrillation
- Clinical features of hypertensive patients with COVID-19 compared with a normotensive group: Single-center experience in China
- Surgical myocardial revascularization outcomes in Kawasaki disease: systematic review and meta-analysis
- Decreased chromobox homologue 7 expression is associated with epithelial–mesenchymal transition and poor prognosis in cervical cancer
- FGF16 regulated by miR-520b enhances the cell proliferation of lung cancer
- Platelet-rich fibrin: Basics of biological actions and protocol modifications
- Accurate diagnosis of prostate cancer using logistic regression
- miR-377 inhibition enhances the survival of trophoblast cells via upregulation of FNDC5 in gestational diabetes mellitus
- Prognostic significance of TRIM28 expression in patients with breast carcinoma
- Integrative bioinformatics analysis of KPNA2 in six major human cancers
- Exosomal-mediated transfer of OIP5-AS1 enhanced cell chemoresistance to trastuzumab in breast cancer via up-regulating HMGB3 by sponging miR-381-3p
- A four-lncRNA signature for predicting prognosis of recurrence patients with gastric cancer
- Knockdown of circ_0003204 alleviates oxidative low-density lipoprotein-induced human umbilical vein endothelial cells injury: Circulating RNAs could explain atherosclerosis disease progression
- Propofol postpones colorectal cancer development through circ_0026344/miR-645/Akt/mTOR signal pathway
- Knockdown of lncRNA TapSAKI alleviates LPS-induced injury in HK-2 cells through the miR-205/IRF3 pathway
- COVID-19 severity in relation to sociodemographics and vitamin D use
- Clinical analysis of 11 cases of nocardiosis
- Cis-regulatory elements in conserved non-coding sequences of nuclear receptor genes indicate for crosstalk between endocrine systems
- Four long noncoding RNAs act as biomarkers in lung adenocarcinoma
- Real-world evidence of cytomegalovirus reactivation in non-Hodgkin lymphomas treated with bendamustine-containing regimens
- Relation between IL-8 level and obstructive sleep apnea syndrome
- circAGFG1 sponges miR-28-5p to promote non-small-cell lung cancer progression through modulating HIF-1α level
- Nomogram prediction model for renal anaemia in IgA nephropathy patients
- Effect of antibiotic use on the efficacy of nivolumab in the treatment of advanced/metastatic non-small cell lung cancer: A meta-analysis
- NDRG2 inhibition facilitates angiogenesis of hepatocellular carcinoma
- A nomogram for predicting metabolic steatohepatitis: The combination of NAMPT, RALGDS, GADD45B, FOSL2, RTP3, and RASD1
- Clinical and prognostic features of MMP-2 and VEGF in AEG patients
- The value of miR-510 in the prognosis and development of colon cancer
- Functional implications of PABPC1 in the development of ovarian cancer
- Prognostic value of preoperative inflammation-based predictors in patients with bladder carcinoma after radical cystectomy
- Sublingual immunotherapy increases Treg/Th17 ratio in allergic rhinitis
- Prediction of improvement after anterior cruciate ligament reconstruction
- Effluent Osteopontin levels reflect the peritoneal solute transport rate
- circ_0038467 promotes PM2.5-induced bronchial epithelial cell dysfunction
- Significance of miR-141 and miR-340 in cervical squamous cell carcinoma
- Association between hair cortisol concentration and metabolic syndrome
- Microvessel density as a prognostic indicator of prostate cancer: A systematic review and meta-analysis
- Characteristics of BCR–ABL gene variants in patients of chronic myeloid leukemia
- Knee alterations in rheumatoid arthritis: Comparison of US and MRI
- Long non-coding RNA TUG1 aggravates cerebral ischemia and reperfusion injury by sponging miR-493-3p/miR-410-3p
- lncRNA MALAT1 regulated ATAD2 to facilitate retinoblastoma progression via miR-655-3p
- Development and validation of a nomogram for predicting severity in patients with hemorrhagic fever with renal syndrome: A retrospective study
- Analysis of COVID-19 outbreak origin in China in 2019 using differentiation method for unusual epidemiological events
- Laparoscopic versus open major liver resection for hepatocellular carcinoma: A case-matched analysis of short- and long-term outcomes
- Travelers’ vaccines and their adverse events in Nara, Japan
- Association between Tfh and PGA in children with Henoch–Schönlein purpura
- Can exchange transfusion be replaced by double-LED phototherapy?
- circ_0005962 functions as an oncogene to aggravate NSCLC progression
- Circular RNA VANGL1 knockdown suppressed viability, promoted apoptosis, and increased doxorubicin sensitivity through targeting miR-145-5p to regulate SOX4 in bladder cancer cells
- Serum intact fibroblast growth factor 23 in healthy paediatric population
- Algorithm of rational approach to reconstruction in Fournier’s disease
- A meta-analysis of exosome in the treatment of spinal cord injury
- Src-1 and SP2 promote the proliferation and epithelial–mesenchymal transition of nasopharyngeal carcinoma
- Dexmedetomidine may decrease the bupivacaine toxicity to heart
- Hypoxia stimulates the migration and invasion of osteosarcoma via up-regulating the NUSAP1 expression
- Long noncoding RNA XIST knockdown relieves the injury of microglia cells after spinal cord injury by sponging miR-219-5p
- External fixation via the anterior inferior iliac spine for proximal femoral fractures in young patients
- miR-128-3p reduced acute lung injury induced by sepsis via targeting PEL12
- HAGLR promotes neuron differentiation through the miR-130a-3p-MeCP2 axis
- Phosphoglycerate mutase 2 is elevated in serum of patients with heart failure and correlates with the disease severity and patient’s prognosis
- Cell population data in identifying active tuberculosis and community-acquired pneumonia
- Prognostic value of microRNA-4521 in non-small cell lung cancer and its regulatory effect on tumor progression
- Mean platelet volume and red blood cell distribution width is associated with prognosis in premature neonates with sepsis
- 3D-printed porous scaffold promotes osteogenic differentiation of hADMSCs
- Association of gene polymorphisms with women urinary incontinence
- Influence of COVID-19 pandemic on stress levels of urologic patients
- miR-496 inhibits proliferation via LYN and AKT pathway in gastric cancer
- miR-519d downregulates LEP expression to inhibit preeclampsia development
- Comparison of single- and triple-port VATS for lung cancer: A meta-analysis
- Fluorescent light energy modulates healing in skin grafted mouse model
- Silencing CDK6-AS1 inhibits LPS-induced inflammatory damage in HK-2 cells
- Predictive effect of DCE-MRI and DWI in brain metastases from NSCLC
- Severe postoperative hyperbilirubinemia in congenital heart disease
- Baicalin improves podocyte injury in rats with diabetic nephropathy by inhibiting PI3K/Akt/mTOR signaling pathway
- Clinical factors predicting ureteral stent failure in patients with external ureteral compression
- Novel H2S donor proglumide-ADT-OH protects HUVECs from ox-LDL-induced injury through NF-κB and JAK/SATA pathway
- Triple-Endobutton and clavicular hook: A propensity score matching analysis
- Long noncoding RNA MIAT inhibits the progression of diabetic nephropathy and the activation of NF-κB pathway in high glucose-treated renal tubular epithelial cells by the miR-182-5p/GPRC5A axis
- Serum exosomal miR-122-5p, GAS, and PGR in the non-invasive diagnosis of CAG
- miR-513b-5p inhibits the proliferation and promotes apoptosis of retinoblastoma cells by targeting TRIB1
- Fer exacerbates renal fibrosis and can be targeted by miR-29c-3p
- The diagnostic and prognostic value of miR-92a in gastric cancer: A systematic review and meta-analysis
- Prognostic value of α2δ1 in hypopharyngeal carcinoma: A retrospective study
- No significant benefit of moderate-dose vitamin C on severe COVID-19 cases
- circ_0000467 promotes the proliferation, metastasis, and angiogenesis in colorectal cancer cells through regulating KLF12 expression by sponging miR-4766-5p
- Downregulation of RAB7 and Caveolin-1 increases MMP-2 activity in renal tubular epithelial cells under hypoxic conditions
- Educational program for orthopedic surgeons’ influences for osteoporosis
- Expression and function analysis of CRABP2 and FABP5, and their ratio in esophageal squamous cell carcinoma
- GJA1 promotes hepatocellular carcinoma progression by mediating TGF-β-induced activation and the epithelial–mesenchymal transition of hepatic stellate cells
- lncRNA-ZFAS1 promotes the progression of endometrial carcinoma by targeting miR-34b to regulate VEGFA expression
- Anticoagulation is the answer in treating noncritical COVID-19 patients
- Effect of late-onset hemorrhagic cystitis on PFS after haplo-PBSCT
- Comparison of Dako HercepTest and Ventana PATHWAY anti-HER2 (4B5) tests and their correlation with silver in situ hybridization in lung adenocarcinoma
- VSTM1 regulates monocyte/macrophage function via the NF-κB signaling pathway
- Comparison of vaginal birth outcomes in midwifery-led versus physician-led setting: A propensity score-matched analysis
- Treatment of osteoporosis with teriparatide: The Slovenian experience
- New targets of morphine postconditioning protection of the myocardium in ischemia/reperfusion injury: Involvement of HSP90/Akt and C5a/NF-κB
- Superenhancer–transcription factor regulatory network in malignant tumors
- β-Cell function is associated with osteosarcopenia in middle-aged and older nonobese patients with type 2 diabetes: A cross-sectional study
- Clinical features of atypical tuberculosis mimicking bacterial pneumonia
- Proteoglycan-depleted regions of annular injury promote nerve ingrowth in a rabbit disc degeneration model
- Effect of electromagnetic field on abortion: A systematic review and meta-analysis
- miR-150-5p affects AS plaque with ASMC proliferation and migration by STAT1
- MALAT1 promotes malignant pleural mesothelioma by sponging miR-141-3p
- Effects of remifentanil and propofol on distant organ lung injury in an ischemia–reperfusion model
- miR-654-5p promotes gastric cancer progression via the GPRIN1/NF-κB pathway
- Identification of LIG1 and LIG3 as prognostic biomarkers in breast cancer
- MitoQ inhibits hepatic stellate cell activation and liver fibrosis by enhancing PINK1/parkin-mediated mitophagy
- Dissecting role of founder mutation p.V727M in GNE in Indian HIBM cohort
- circATP2A2 promotes osteosarcoma progression by upregulating MYH9
- Prognostic role of oxytocin receptor in colon adenocarcinoma
- Review Articles
- The function of non-coding RNAs in idiopathic pulmonary fibrosis
- Efficacy and safety of therapeutic plasma exchange in stiff person syndrome
- Role of cesarean section in the development of neonatal gut microbiota: A systematic review
- Small cell lung cancer transformation during antitumor therapies: A systematic review
- Research progress of gut microbiota and frailty syndrome
- Recommendations for outpatient activity in COVID-19 pandemic
- Rapid Communication
- Disparity in clinical characteristics between 2019 novel coronavirus pneumonia and leptospirosis
- Use of microspheres in embolization for unruptured renal angiomyolipomas
- COVID-19 cases with delayed absorption of lung lesion
- A triple combination of treatments on moderate COVID-19
- Social networks and eating disorders during the Covid-19 pandemic
- Letter
- COVID-19, WHO guidelines, pedagogy, and respite
- Inflammatory factors in alveolar lavage fluid from severe COVID-19 pneumonia: PCT and IL-6 in epithelial lining fluid
- COVID-19: Lessons from Norway tragedy must be considered in vaccine rollout planning in least developed/developing countries
- What is the role of plasma cell in the lamina propria of terminal ileum in Good’s syndrome patient?
- Case Report
- Rivaroxaban triggered multifocal intratumoral hemorrhage of the cabozantinib-treated diffuse brain metastases: A case report and review of literature
- CTU findings of duplex kidney in kidney: A rare duplicated renal malformation
- Synchronous primary malignancy of colon cancer and mantle cell lymphoma: A case report
- Sonazoid-enhanced ultrasonography and pathologic characters of CD68 positive cell in primary hepatic perivascular epithelioid cell tumors: A case report and literature review
- Persistent SARS-CoV-2-positive over 4 months in a COVID-19 patient with CHB
- Pulmonary parenchymal involvement caused by Tropheryma whipplei
- Mediastinal mixed germ cell tumor: A case report and literature review
- Ovarian female adnexal tumor of probable Wolffian origin – Case report
- Rare paratesticular aggressive angiomyxoma mimicking an epididymal tumor in an 82-year-old man: Case report
- Perimenopausal giant hydatidiform mole complicated with preeclampsia and hyperthyroidism: A case report and literature review
- Primary orbital ganglioneuroblastoma: A case report
- Primary aortic intimal sarcoma masquerading as intramural hematoma
- Sustained false-positive results for hepatitis A virus immunoglobulin M: A case report and literature review
- Peritoneal loose body presenting as a hepatic mass: A case report and review of the literature
- Chondroblastoma of mandibular condyle: Case report and literature review
- Trauma-induced complete pacemaker lead fracture 8 months prior to hospitalization: A case report
- Primary intradural extramedullary extraosseous Ewing’s sarcoma/peripheral primitive neuroectodermal tumor (PIEES/PNET) of the thoracolumbar spine: A case report and literature review
- Computer-assisted preoperative planning of reduction of and osteosynthesis of scapular fracture: A case report
- High quality of 58-month life in lung cancer patient with brain metastases sequentially treated with gefitinib and osimertinib
- Rapid response of locally advanced oral squamous cell carcinoma to apatinib: A case report
- Retrieval of intrarenal coiled and ruptured guidewire by retrograde intrarenal surgery: A case report and literature review
- Usage of intermingled skin allografts and autografts in a senior patient with major burn injury
- Retraction
- Retraction on “Dihydromyricetin attenuates inflammation through TLR4/NF-kappa B pathway”
- Special Issue Computational Intelligence Methodologies Meets Recurrent Cancers - Part I
- An artificial immune system with bootstrap sampling for the diagnosis of recurrent endometrial cancers
- Breast cancer recurrence prediction with ensemble methods and cost-sensitive learning
Articles in the same Issue
- Research Articles
- Identification of ZG16B as a prognostic biomarker in breast cancer
- Behçet’s disease with latent Mycobacterium tuberculosis infection
- Erratum
- Erratum to “Suffering from Cerebral Small Vessel Disease with and without Metabolic Syndrome”
- Research Articles
- GPR37 promotes the malignancy of lung adenocarcinoma via TGF-β/Smad pathway
- Expression and role of ABIN1 in sepsis: In vitro and in vivo studies
- Additional baricitinib loading dose improves clinical outcome in COVID-19
- The co-treatment of rosuvastatin with dapagliflozin synergistically inhibited apoptosis via activating the PI3K/AKt/mTOR signaling pathway in myocardial ischemia/reperfusion injury rats
- SLC12A8 plays a key role in bladder cancer progression and EMT
- LncRNA ATXN8OS enhances tamoxifen resistance in breast cancer
- Case Report
- Serratia marcescens as a cause of unfavorable outcome in the twin pregnancy
- Spleno-adrenal fusion mimicking an adrenal metastasis of a renal cell carcinoma: A case report and embryological background
- Research Articles
- TRIM25 contributes to the malignancy of acute myeloid leukemia and is negatively regulated by microRNA-137
- CircRNA circ_0004370 promotes cell proliferation, migration, and invasion and inhibits cell apoptosis of esophageal cancer via miR-1301-3p/COL1A1 axis
- LncRNA XIST regulates atherosclerosis progression in ox-LDL-induced HUVECs
- Potential role of IFN-γ and IL-5 in sepsis prediction of preterm neonates
- Rapid Communication
- COVID-19 vaccine: Call for employees in international transportation industries and international travelers as the first priority in global distribution
- Case Report
- Rare squamous cell carcinoma of the kidney with concurrent xanthogranulomatous pyelonephritis: A case report and review of the literature
- An infertile female delivered a baby after removal of primary renal carcinoid tumor
- Research Articles
- Hypertension, BMI, and cardiovascular and cerebrovascular diseases
- Case Report
- Coexistence of bilateral macular edema and pale optic disc in the patient with Cohen syndrome
- Research Articles
- Correlation between kinematic sagittal parameters of the cervical lordosis or head posture and disc degeneration in patients with posterior neck pain
- Review Articles
- Hepatoid adenocarcinoma of the lung: An analysis of the Surveillance, Epidemiology, and End Results (SEER) database
- Research Articles
- Thermography in the diagnosis of carpal tunnel syndrome
- Pemetrexed-based first-line chemotherapy had particularly prominent objective response rate for advanced NSCLC: A network meta-analysis
- Comparison of single and double autologous stem cell transplantation in multiple myeloma patients
- The influence of smoking in minimally invasive spinal fusion surgery
- Impact of body mass index on left atrial dimension in HOCM patients
- Expression and clinical significance of CMTM1 in hepatocellular carcinoma
- miR-142-5p promotes cervical cancer progression by targeting LMX1A through Wnt/β-catenin pathway
- Comparison of multiple flatfoot indicators in 5–8-year-old children
- Early MRI imaging and follow-up study in cerebral amyloid angiopathy
- Intestinal fatty acid-binding protein as a biomarker for the diagnosis of strangulated intestinal obstruction: A meta-analysis
- miR-128-3p inhibits apoptosis and inflammation in LPS-induced sepsis by targeting TGFBR2
- Dynamic perfusion CT – A promising tool to diagnose pancreatic ductal adenocarcinoma
- Biomechanical evaluation of self-cinching stitch techniques in rotator cuff repair: The single-loop and double-loop knot stitches
- Review Articles
- The ambiguous role of mannose-binding lectin (MBL) in human immunity
- Case Report
- Membranous nephropathy with pulmonary cryptococcosis with improved 1-year follow-up results: A case report
- Fertility problems in males carrying an inversion of chromosome 10
- Acute myeloid leukemia with leukemic pleural effusion and high levels of pleural adenosine deaminase: A case report and review of literature
- Metastatic renal Ewing’s sarcoma in adult woman: Case report and review of the literature
- Burkitt-like lymphoma with 11q aberration in a patient with AIDS and a patient without AIDS: Two cases reports and literature review
- Skull hemophilia pseudotumor: A case report
- Judicious use of low-dosage corticosteroids for non-severe COVID-19: A case report
- Adult-onset citrullinaemia type II with liver cirrhosis: A rare cause of hyperammonaemia
- Clinicopathologic features of Good’s syndrome: Two cases and literature review
- Fatal immune-related hepatitis with intrahepatic cholestasis and pneumonia associated with camrelizumab: A case report and literature review
- Research Articles
- Effects of hydroxyethyl starch and gelatin on the risk of acute kidney injury following orthotopic liver transplantation: A multicenter retrospective comparative clinical study
- Significance of nucleic acid positive anal swab in COVID-19 patients
- circAPLP2 promotes colorectal cancer progression by upregulating HELLS by targeting miR-335-5p
- Ratios between circulating myeloid cells and lymphocytes are associated with mortality in severe COVID-19 patients
- Risk factors of left atrial appendage thrombus in patients with non-valvular atrial fibrillation
- Clinical features of hypertensive patients with COVID-19 compared with a normotensive group: Single-center experience in China
- Surgical myocardial revascularization outcomes in Kawasaki disease: systematic review and meta-analysis
- Decreased chromobox homologue 7 expression is associated with epithelial–mesenchymal transition and poor prognosis in cervical cancer
- FGF16 regulated by miR-520b enhances the cell proliferation of lung cancer
- Platelet-rich fibrin: Basics of biological actions and protocol modifications
- Accurate diagnosis of prostate cancer using logistic regression
- miR-377 inhibition enhances the survival of trophoblast cells via upregulation of FNDC5 in gestational diabetes mellitus
- Prognostic significance of TRIM28 expression in patients with breast carcinoma
- Integrative bioinformatics analysis of KPNA2 in six major human cancers
- Exosomal-mediated transfer of OIP5-AS1 enhanced cell chemoresistance to trastuzumab in breast cancer via up-regulating HMGB3 by sponging miR-381-3p
- A four-lncRNA signature for predicting prognosis of recurrence patients with gastric cancer
- Knockdown of circ_0003204 alleviates oxidative low-density lipoprotein-induced human umbilical vein endothelial cells injury: Circulating RNAs could explain atherosclerosis disease progression
- Propofol postpones colorectal cancer development through circ_0026344/miR-645/Akt/mTOR signal pathway
- Knockdown of lncRNA TapSAKI alleviates LPS-induced injury in HK-2 cells through the miR-205/IRF3 pathway
- COVID-19 severity in relation to sociodemographics and vitamin D use
- Clinical analysis of 11 cases of nocardiosis
- Cis-regulatory elements in conserved non-coding sequences of nuclear receptor genes indicate for crosstalk between endocrine systems
- Four long noncoding RNAs act as biomarkers in lung adenocarcinoma
- Real-world evidence of cytomegalovirus reactivation in non-Hodgkin lymphomas treated with bendamustine-containing regimens
- Relation between IL-8 level and obstructive sleep apnea syndrome
- circAGFG1 sponges miR-28-5p to promote non-small-cell lung cancer progression through modulating HIF-1α level
- Nomogram prediction model for renal anaemia in IgA nephropathy patients
- Effect of antibiotic use on the efficacy of nivolumab in the treatment of advanced/metastatic non-small cell lung cancer: A meta-analysis
- NDRG2 inhibition facilitates angiogenesis of hepatocellular carcinoma
- A nomogram for predicting metabolic steatohepatitis: The combination of NAMPT, RALGDS, GADD45B, FOSL2, RTP3, and RASD1
- Clinical and prognostic features of MMP-2 and VEGF in AEG patients
- The value of miR-510 in the prognosis and development of colon cancer
- Functional implications of PABPC1 in the development of ovarian cancer
- Prognostic value of preoperative inflammation-based predictors in patients with bladder carcinoma after radical cystectomy
- Sublingual immunotherapy increases Treg/Th17 ratio in allergic rhinitis
- Prediction of improvement after anterior cruciate ligament reconstruction
- Effluent Osteopontin levels reflect the peritoneal solute transport rate
- circ_0038467 promotes PM2.5-induced bronchial epithelial cell dysfunction
- Significance of miR-141 and miR-340 in cervical squamous cell carcinoma
- Association between hair cortisol concentration and metabolic syndrome
- Microvessel density as a prognostic indicator of prostate cancer: A systematic review and meta-analysis
- Characteristics of BCR–ABL gene variants in patients of chronic myeloid leukemia
- Knee alterations in rheumatoid arthritis: Comparison of US and MRI
- Long non-coding RNA TUG1 aggravates cerebral ischemia and reperfusion injury by sponging miR-493-3p/miR-410-3p
- lncRNA MALAT1 regulated ATAD2 to facilitate retinoblastoma progression via miR-655-3p
- Development and validation of a nomogram for predicting severity in patients with hemorrhagic fever with renal syndrome: A retrospective study
- Analysis of COVID-19 outbreak origin in China in 2019 using differentiation method for unusual epidemiological events
- Laparoscopic versus open major liver resection for hepatocellular carcinoma: A case-matched analysis of short- and long-term outcomes
- Travelers’ vaccines and their adverse events in Nara, Japan
- Association between Tfh and PGA in children with Henoch–Schönlein purpura
- Can exchange transfusion be replaced by double-LED phototherapy?
- circ_0005962 functions as an oncogene to aggravate NSCLC progression
- Circular RNA VANGL1 knockdown suppressed viability, promoted apoptosis, and increased doxorubicin sensitivity through targeting miR-145-5p to regulate SOX4 in bladder cancer cells
- Serum intact fibroblast growth factor 23 in healthy paediatric population
- Algorithm of rational approach to reconstruction in Fournier’s disease
- A meta-analysis of exosome in the treatment of spinal cord injury
- Src-1 and SP2 promote the proliferation and epithelial–mesenchymal transition of nasopharyngeal carcinoma
- Dexmedetomidine may decrease the bupivacaine toxicity to heart
- Hypoxia stimulates the migration and invasion of osteosarcoma via up-regulating the NUSAP1 expression
- Long noncoding RNA XIST knockdown relieves the injury of microglia cells after spinal cord injury by sponging miR-219-5p
- External fixation via the anterior inferior iliac spine for proximal femoral fractures in young patients
- miR-128-3p reduced acute lung injury induced by sepsis via targeting PEL12
- HAGLR promotes neuron differentiation through the miR-130a-3p-MeCP2 axis
- Phosphoglycerate mutase 2 is elevated in serum of patients with heart failure and correlates with the disease severity and patient’s prognosis
- Cell population data in identifying active tuberculosis and community-acquired pneumonia
- Prognostic value of microRNA-4521 in non-small cell lung cancer and its regulatory effect on tumor progression
- Mean platelet volume and red blood cell distribution width is associated with prognosis in premature neonates with sepsis
- 3D-printed porous scaffold promotes osteogenic differentiation of hADMSCs
- Association of gene polymorphisms with women urinary incontinence
- Influence of COVID-19 pandemic on stress levels of urologic patients
- miR-496 inhibits proliferation via LYN and AKT pathway in gastric cancer
- miR-519d downregulates LEP expression to inhibit preeclampsia development
- Comparison of single- and triple-port VATS for lung cancer: A meta-analysis
- Fluorescent light energy modulates healing in skin grafted mouse model
- Silencing CDK6-AS1 inhibits LPS-induced inflammatory damage in HK-2 cells
- Predictive effect of DCE-MRI and DWI in brain metastases from NSCLC
- Severe postoperative hyperbilirubinemia in congenital heart disease
- Baicalin improves podocyte injury in rats with diabetic nephropathy by inhibiting PI3K/Akt/mTOR signaling pathway
- Clinical factors predicting ureteral stent failure in patients with external ureteral compression
- Novel H2S donor proglumide-ADT-OH protects HUVECs from ox-LDL-induced injury through NF-κB and JAK/SATA pathway
- Triple-Endobutton and clavicular hook: A propensity score matching analysis
- Long noncoding RNA MIAT inhibits the progression of diabetic nephropathy and the activation of NF-κB pathway in high glucose-treated renal tubular epithelial cells by the miR-182-5p/GPRC5A axis
- Serum exosomal miR-122-5p, GAS, and PGR in the non-invasive diagnosis of CAG
- miR-513b-5p inhibits the proliferation and promotes apoptosis of retinoblastoma cells by targeting TRIB1
- Fer exacerbates renal fibrosis and can be targeted by miR-29c-3p
- The diagnostic and prognostic value of miR-92a in gastric cancer: A systematic review and meta-analysis
- Prognostic value of α2δ1 in hypopharyngeal carcinoma: A retrospective study
- No significant benefit of moderate-dose vitamin C on severe COVID-19 cases
- circ_0000467 promotes the proliferation, metastasis, and angiogenesis in colorectal cancer cells through regulating KLF12 expression by sponging miR-4766-5p
- Downregulation of RAB7 and Caveolin-1 increases MMP-2 activity in renal tubular epithelial cells under hypoxic conditions
- Educational program for orthopedic surgeons’ influences for osteoporosis
- Expression and function analysis of CRABP2 and FABP5, and their ratio in esophageal squamous cell carcinoma
- GJA1 promotes hepatocellular carcinoma progression by mediating TGF-β-induced activation and the epithelial–mesenchymal transition of hepatic stellate cells
- lncRNA-ZFAS1 promotes the progression of endometrial carcinoma by targeting miR-34b to regulate VEGFA expression
- Anticoagulation is the answer in treating noncritical COVID-19 patients
- Effect of late-onset hemorrhagic cystitis on PFS after haplo-PBSCT
- Comparison of Dako HercepTest and Ventana PATHWAY anti-HER2 (4B5) tests and their correlation with silver in situ hybridization in lung adenocarcinoma
- VSTM1 regulates monocyte/macrophage function via the NF-κB signaling pathway
- Comparison of vaginal birth outcomes in midwifery-led versus physician-led setting: A propensity score-matched analysis
- Treatment of osteoporosis with teriparatide: The Slovenian experience
- New targets of morphine postconditioning protection of the myocardium in ischemia/reperfusion injury: Involvement of HSP90/Akt and C5a/NF-κB
- Superenhancer–transcription factor regulatory network in malignant tumors
- β-Cell function is associated with osteosarcopenia in middle-aged and older nonobese patients with type 2 diabetes: A cross-sectional study
- Clinical features of atypical tuberculosis mimicking bacterial pneumonia
- Proteoglycan-depleted regions of annular injury promote nerve ingrowth in a rabbit disc degeneration model
- Effect of electromagnetic field on abortion: A systematic review and meta-analysis
- miR-150-5p affects AS plaque with ASMC proliferation and migration by STAT1
- MALAT1 promotes malignant pleural mesothelioma by sponging miR-141-3p
- Effects of remifentanil and propofol on distant organ lung injury in an ischemia–reperfusion model
- miR-654-5p promotes gastric cancer progression via the GPRIN1/NF-κB pathway
- Identification of LIG1 and LIG3 as prognostic biomarkers in breast cancer
- MitoQ inhibits hepatic stellate cell activation and liver fibrosis by enhancing PINK1/parkin-mediated mitophagy
- Dissecting role of founder mutation p.V727M in GNE in Indian HIBM cohort
- circATP2A2 promotes osteosarcoma progression by upregulating MYH9
- Prognostic role of oxytocin receptor in colon adenocarcinoma
- Review Articles
- The function of non-coding RNAs in idiopathic pulmonary fibrosis
- Efficacy and safety of therapeutic plasma exchange in stiff person syndrome
- Role of cesarean section in the development of neonatal gut microbiota: A systematic review
- Small cell lung cancer transformation during antitumor therapies: A systematic review
- Research progress of gut microbiota and frailty syndrome
- Recommendations for outpatient activity in COVID-19 pandemic
- Rapid Communication
- Disparity in clinical characteristics between 2019 novel coronavirus pneumonia and leptospirosis
- Use of microspheres in embolization for unruptured renal angiomyolipomas
- COVID-19 cases with delayed absorption of lung lesion
- A triple combination of treatments on moderate COVID-19
- Social networks and eating disorders during the Covid-19 pandemic
- Letter
- COVID-19, WHO guidelines, pedagogy, and respite
- Inflammatory factors in alveolar lavage fluid from severe COVID-19 pneumonia: PCT and IL-6 in epithelial lining fluid
- COVID-19: Lessons from Norway tragedy must be considered in vaccine rollout planning in least developed/developing countries
- What is the role of plasma cell in the lamina propria of terminal ileum in Good’s syndrome patient?
- Case Report
- Rivaroxaban triggered multifocal intratumoral hemorrhage of the cabozantinib-treated diffuse brain metastases: A case report and review of literature
- CTU findings of duplex kidney in kidney: A rare duplicated renal malformation
- Synchronous primary malignancy of colon cancer and mantle cell lymphoma: A case report
- Sonazoid-enhanced ultrasonography and pathologic characters of CD68 positive cell in primary hepatic perivascular epithelioid cell tumors: A case report and literature review
- Persistent SARS-CoV-2-positive over 4 months in a COVID-19 patient with CHB
- Pulmonary parenchymal involvement caused by Tropheryma whipplei
- Mediastinal mixed germ cell tumor: A case report and literature review
- Ovarian female adnexal tumor of probable Wolffian origin – Case report
- Rare paratesticular aggressive angiomyxoma mimicking an epididymal tumor in an 82-year-old man: Case report
- Perimenopausal giant hydatidiform mole complicated with preeclampsia and hyperthyroidism: A case report and literature review
- Primary orbital ganglioneuroblastoma: A case report
- Primary aortic intimal sarcoma masquerading as intramural hematoma
- Sustained false-positive results for hepatitis A virus immunoglobulin M: A case report and literature review
- Peritoneal loose body presenting as a hepatic mass: A case report and review of the literature
- Chondroblastoma of mandibular condyle: Case report and literature review
- Trauma-induced complete pacemaker lead fracture 8 months prior to hospitalization: A case report
- Primary intradural extramedullary extraosseous Ewing’s sarcoma/peripheral primitive neuroectodermal tumor (PIEES/PNET) of the thoracolumbar spine: A case report and literature review
- Computer-assisted preoperative planning of reduction of and osteosynthesis of scapular fracture: A case report
- High quality of 58-month life in lung cancer patient with brain metastases sequentially treated with gefitinib and osimertinib
- Rapid response of locally advanced oral squamous cell carcinoma to apatinib: A case report
- Retrieval of intrarenal coiled and ruptured guidewire by retrograde intrarenal surgery: A case report and literature review
- Usage of intermingled skin allografts and autografts in a senior patient with major burn injury
- Retraction
- Retraction on “Dihydromyricetin attenuates inflammation through TLR4/NF-kappa B pathway”
- Special Issue Computational Intelligence Methodologies Meets Recurrent Cancers - Part I
- An artificial immune system with bootstrap sampling for the diagnosis of recurrent endometrial cancers
- Breast cancer recurrence prediction with ensemble methods and cost-sensitive learning