Home Physical Sciences Conformations and dynamic behaviors of confined wormlike chains in a pressure-driven flow
Article Open Access

Conformations and dynamic behaviors of confined wormlike chains in a pressure-driven flow

  • Shaofeng Xu EMAIL logo , Ziheng Wang , Yifan Yu , Qiaohui Zhu and Xuechang Zhang
Published/Copyright: November 3, 2022
Become an author with De Gruyter Brill

Abstract

The conformations and dynamic behaviors of wormlike chains confined by a slit in a pressure-driven flow were investigated using dissipative particle dynamics method. The wormlike chains exhibit varying conformations due to the varying shear stresses across the slit. The wormlike chain solution can be well described by the power-law fluid, and the power-law index decreases with the increase in chain rigidity. We also presented that the wormlike chain undergoes tumbling motion in the vicinity of the wall in the presence of pressure-driven flow. We also found that the wormlike chains can migrate both away from the wall and slightly away from the slit center, and the migration away from the slit center increases as the chain rigidity is increased because of hydrodynamic interactions induced in a more rigid wormlike chain.

1 Introduction

The dynamic behaviors of flexible or semiflexible polymer molecules in confined geometries undergoing a pressure-driven flow is replete with interest. Over the past two decades, DNA or RNA manipulation and analysis based on microfluidic devices further have fueled the interest in the dynamics of confined polymer solutions (1). The in-depth understanding of the flow behaviors of confined polymers can guide the design of related microfluidic devices and contributes to revealing the transport phenomena of biomacromolecules such as the passage of genetic material through nuclear pores, ejection of viral DNA into the host, and protein transport through membrane micropores in artificial kidney or liver system (2,3,4). Meanwhile, a deep insight into the dynamic behaviors of confined polymers is highly needed in a wide range of engineering fields, including polymer processing (5), polymer materials separation (6,7), adsorption (8), lubrication (9), enhanced oil recovery (10), etc., to name a few.

It is known that macroscopically flow behaviors of confined polymers in a flow field arise from microscopic, flow-induced conformational changes in polymer chains. For example, the shear thinning behavior and the cross-stream migration of polymer chains are closely related conformational changes of confined polymer chains. The conformations of confined polymer chains in a flow field can vary due to the viscous drag, chain entropy elastic force, Brownian random force, hydrodynamic interactions (HIs), excluded-volume (EV) interactions, chain-wall interactions, and the external force (11). The “coil-to-stretch” conformational transitions of polymers in the flow field under confinement have been extensively discussed for a long time (12). Since the 1990s, conformations of the polymer chain (DNA), such as kinked, folded, coiled, and extended, were experimentally observed in the elongational and shear flow by the use of fluorescence microscopy (13,14,15). These experimental conformations were also obtained by Larson et al. (16) who used the Brownian dynamics to simulate the dynamics of a DNA molecule in an extensional flow. These studies indicate that the polymer molecules display rich conformations in the presence of flow field. The dynamic behaviors of confined polymer solutions should depend on the polymer conformations, which have been comprehensively investigated in theories, experiments, and simulations. An interesting topic of long-term research is the cross-stream migration behavior of confined polymer chains in a pressure-driven flow (17). The early kinetic theory (18) showed that the gradient of polymer diffusivities across the channel causes polymer chains to migrate away from the channel center in a pressure-driven flow. However, the experimental observation (19,20) showed that polymer chains migrate away from the wall, towards the channel center. Note that the early kinetic theory ignores HIs between the polymer chain and the wall, and these chain-wall HIs should play an important role in the cross-stream migration of chains. Ma and Graham (21) developed a kinetic theory, indicating a migration away from the wall due to the chain-wall HI, which agrees with the experimental results. The results of most simulation methods, such as molecular dynamics (22), Brownian dynamics (23), lattice-Boltzmann methods (24), and dissipative particle dynamics (DPD) (25,26), also show that polymer chains migrate away from the wall. Another interesting topic is molecular motion of confined polymers with different architectures in the presence of pressure-driven flow (27). Fan et al. (28) found that DNA molecule does not rotate as a whole but is folded and its rear then creeps forward relative to its front. However, Smith et al. (15,29) directly observed that DNA molecule, as a whole, indeed undergoes end-over-end tumbling motion. Therefore, research is still needed to shed light on the molecular motion of confined polymer chain.

Flexible polymer solution should exhibit different dynamic behaviors with semiflexible or rod-like polymer solution, since the conformation of a more rigid polymer chain is determined not only by the flow field but also by the chain rigidity. Intuitively, a more rigid polymer chain would prefer a more expanded conformation. Steinhauser et al. (30) directly observed conformational shapes, such as an elongated manner, parabolically bent, as well as tumbling, of individual semiflexible actin filaments in pressure-driven microfluidic channel flow using fluorescence microscopy, and they also observed a strong center-of-mass migration toward the channel walls due to the gradient of chain diffusivity across the channel. Wen et al. (31) showed that the semiflexible polymer migrates away from the two flat planes at high shear rates taking into consideration HIs between polymers and solvent molecules, but the HIs between the wall and the solvent are not considered in their simulation. Chelakkot et al. (32) used multi-particle collision dynamics to study the flow behavior of a semiflexible polymer in microchannels and showed that the competition between a hydrodynamic lift force and steric repulsion from the wall leads to migration away from the wall, and a locally varying flow-induced orientation drives the polymer away from the channel center and towards the wall. However, Reddig and Stark (33) theoretically studied the cross-stream migration of a semiflexible polymer in a pressure drive flow and found that the migration away from the channel center is due to HIs in the chain and the gradient of chain diffusivity becomes less important with the increase in chain rigidity. Thus, the migration mechanism of a more rigid polymer chain under confinement in the presence of pressure-driven flow still need to be revealed.

Computational simulation is a powerful tool for studying the dynamic behaviors of confined polymer solutions. DPD (34,35,36) is a particle-based mesoscopic simulation method, which employs soft potential and then allows for larger integration time increments than in a molecular dynamic typically using Lennard-Jones potential. The DPD particles represent clusters of molecules moving off-lattice, and the interaction between the particles is symmetrical to ensure momentum conservation. DPD thereby is reasonable for studying dynamics of many complex fluids, such as polymer solutions (26,37,38), multiphase fluids (39), colloid suspensions (40), droplets (41), biomacromolecules (42,43), blood (44,45), and other soft matter system (46,47,48,49). In the current work, we employ DPD method to present the detailed simulation results of conformational distributions and dynamic behaviors of wormlike chain solutions in a slit, and here we focus on the pressure-driven flow since the flow condition in most microfluidic devices for (bio)macromolecule manipulation is the pressure-driven flow. We must also emphasize that the DPD model explicitly includes polymer particles, solvent particles, and wall particles, and hence the simulated wormlike chains naturally incorporate HIs and EV interactions in our DPD simulation.

This article is organized as follows. First, we will describe the model and simulation approach in Section 2. Then, in Section 3, we will present the conformational distributions, the rheological properties, and the cross-stream migration behaviors in a slit in the presence of pressure-driven flow as well as the molecular motion of the wormlike chain. Effects of chain rigidity on conformations and dynamic behaviors are also discussed. Finally, the results are summarized in Section 4.

2 Model and simulation method

2.1 DPD method

In the DPD approach, a fluid system can be simulated by a set of interacting particles whose time evolution is governed by Newton’s second law. For particle i, such an equation of motion is

(1)   d r i d t = v i , d v i d t = 1 m j i F i j + F ext  

where r i and v i denote the position and the velocity vectors of particle i, and m is the mass of a single DPD particle. Here the masses of the particles are assumed identical, and each of the mass, m, is made the unit mass, namely, m = 1 (the DPD mass unit); F ext is the external force, and F ij is the pairwise interaction force exerted on particle i by particle j, consisting of conservative force F i j C , dissipative force F i j D , and random force F i j R , acting within a certain cutoff radius r c .

(2) F i j = F i j C + F i j D + F i j R

We choose r c to be the unit length, namely, r c = 1 (the DPD unit). The conservative force F i j C is the soft repulsive force given by:

(3) F i j C = a i j ( 1 r i j ) e i j r i j < r c 0 r i j r c

where a ij is the conservative force coefficient representing the maximum repulsion between particles i and j; and r ij = r i r j , r ij = | r ij |, e ij = r ij /| r ij |.

The dissipative force is:

(4) F i j D = γ w D ( r i j ) ( e i j · v i j ) e i j

where γ is friction coefficient, w D(r ij ) is the weight function of the dissipative force characterized by r ij = r i r j , which is zero for r ij r c, and v ij = v i v j is the relative motion between particles i and j. The dissipative force is also called the frictional or drag force because it can reduce the relative velocity between the pair particles and acts as a resistance against motion.

The random force is:

(5) F i j R = σ w R ( r i j ) θ i j e i j = σ w R ( r i j ) ζ i j Δ t 1 2 e i j  

where σ is the noise amplitude, w R(r ij ) is the random force weight function which tends to be zero for r ij r c, and θ ij is a random function with a Gaussian distribution, and for ij, kl:

θ i j ( t ) = 0 ,

(6) θ i j ( t ) θ k l ( t ) = ( δ i k δ j l + δ i l δ j k ) δ ( t t )  

with for the ensemble average, ζ ij = ζ ji for random numbers with zero mean and a unit variance, and Δt for time step.

If the pairwise interaction force group only consists of the conservative force without the dissipative and random forces, the DPD system is a Hamiltonian system, which will relax to a Gibbs–Boltzmann equilibrium distribution (35). When including the dissipative and the random force components, we still hope that the equilibrium distribution is a Gibbs–Boltzmann. To satisfy this, the dissipative and random forces should be balanced. Espanol and Warren (35) proved that the balance condition requires

(7) w D ( r i j ) = [ w R ( r i j ) ] 2  

(8) σ 2 = 2 γ k B T  

where k B is the Boltzmann constant and T is the system temperature. We choose k B T to be the unit energy, namely, k B T = 1 (the DPD unit). The dissipative and random forces act like a thermostat in the molecular dynamics to keep the system temperature constant. Espanol and Warren (35) also showed that one of the two weight functions can be chosen arbitrarily. The usual choice for the weight functions is

(9) w D ( r i j ) = [ w R ( r i j ) ] 2 = ( 1 r i j ) s r i j < r c 0 r i j r c

where the exponent s = 2 for the conventional DPD method. The Schmidt number, which is defined as the ratio between the speed of momentum diffusion and that of mass diffusion, is lower than that in a real fluid in the conventional DPD method. A lower Schmidt number implies that HI may not be fully developed in DPD, leading to a suppression of the HI between the polymeric monomers and the wall. Fan et al. (28) found that a smaller s obtains a larger viscosity of the DPD fluid, and hence a larger Schmidt number. Therefore, in the current work, we choose the exponent s to be 1/2, with which HI would be well developed for DPD fluids.

2.2 Wormlike chain model

Though many polymer molecules which can take up an enormous number of conformations are flexible, there is a large class of polymer molecules, such as semiflexible and rodlike polymer molecules, which are not flexible. For example, DNA and actin filaments are typical semiflexible polymers. Understanding flow behaviors of semiflexible polymers is important for the study of many biopolymers. To describe the properties of semiflexible polymers, Kratky and Porod (50) proposed a continuous space curve model, namely, the wormlike chain model. Locally, semiflexible polymer molecules are well described by the wormlike chain. It was found that the statistical mechanics of the wormlike chain model lead to a force law that is well approximated by the Marko–Siggia spring force law (51,52).

In the current work, the wormlike chain model in our DPD simulations is based on the well-known bead–spring polymer chain model. Specifically, the wormlike chain is used to model the polymer molecule, such as DNA. Each bead in a wormlike chain is a DPD particle which is subject to the three DPD forces in Eq. 2. In addition, two adjacent beads connected by the Marko–Siggia spring interact through a nonlinear spring force expressed as

(10) F i j W L C = k B T 4 λ p e f f [ ( 1 r i j / l max ) 2 + 4 r i j / l max 1 ] r ˆ i j

where λ p eff is the effective persistence length of the chain and l max is the maximum spring extension between two connected beads and r ˆ i j = r i j / r i j . An important conformational parameter λ p eff is included in the wormlike chain model. The effective persistence length λ p eff can quantitatively reflect the local rigidity of the wormlike chain. When modeling the wormlike chain by the use of DPD method, the introduction of beads increases the molecular flexibility, since the beads do not transmit a bending moment. However, Larson (52) showed that the increase in the chain flexibility can effectively be compensated by slightly increasing the persistence length λ p. For stained 21 µm long lambda phage DNA, with λ p = 0.066 µm, Larson (52) recommended that λ p eff must be set to 0.096 even for only a 20-bead representation and showed that counteracting the increased flexibility merely by increasing λ p eff begins to become inaccurate with more than 20 beads for lambda phage DNA. Hence, in the current work, 20 beads are used to form a wormlike chain with λ p eff = 0.096 .

It should be pointed out that the DPD model explicitly includes chain particles, solvent particles, and wall particles, and hence the simulated wormlike chains naturally incorporate HIs and EV interactions. The HI is the disturbance to the flow field produced by one bead of the chain that influences the drag on another bead, and the EV interaction is the repulsive force between chain beads that prevent their overlap. Although the DPD model employs soft potential, Symeonidis et al. (53) and Jiang et al. (54) showed that there is no need to introduce additional repulsive interactions between polymer chain beads in order to enforce excluded volume interaction. We also choose the exponent s to be 1/2 for Eq. 9 to ensure that both chain bead–bead HI and wall–chain HI would be well developed.

2.3 Simulation details

Figure 1 shows the schematic of our DPD simulation system for the pressure-driven flow in a slit. Wormlike chains are confined between two parallel planar walls. For clarity, only two wormlike chains and none of the solvent particles are shown in Figure 1. The periodic boundary conditions are applied in the x and y directions, and three layers of frozen particles are located in the z direction to form the wall. The distances from these three layers of wall particles to the solid–fluid interface are 0.15r c, 0.35r c, and 0.75r c, respectively. The first layer with distance 0.15r c, set very close to the solid–fluid interface, helps prevent most fluid particles to penetrate into the wall, and the other two layers are to provide a uniform wall repulsive force to the near-wall fluid particles, and thus to control density fluctuation. Furthermore, a bounce-forward reflection is used to obtain the no-slip boundary condition. As described below, the proposed wall model can obtain an excellent no-slip boundary condition and eliminate the density and temperature fluctuations near the wall.

Figure 1 
                  Schematic of the simulation system for the pressure-driven flow in a slit, only two wormlike chains and none of the solvent particles are shown for clarity.
Figure 1

Schematic of the simulation system for the pressure-driven flow in a slit, only two wormlike chains and none of the solvent particles are shown for clarity.

The physical dimensions of simulation domain L x × L y × L z were set to be 20r c × 20r c × 9r c. The cut-off radius r c was chosen to be the unit length, and thus the simulation domain size was 20 × 20 × 9 in the DPD units. The origin of the Cartesian coordinate was at the center of the domain, so the solid wall boundaries were placed at z = −4.5 and z = 4.5. Both L x and L y are more than 2L z in order to ensure no dependence of the results from the domain size. All the wall, solvent and chain particles were assumed to have the same mass (m = 1) for simplicity. The number density ρ of the solution which includes solvent and chain particles was set to be 4.0, and thus the total number of solvent and chain particles was 14,400. A wormlike chain contains 20 beads and 24 wormlike chains with planar zigzag initial conformations randomly set in the simulation domain. Hence, the volume fraction of wormlike chains is ϕ = 0.033 and the wormlike chain solution is dilute. The parameters of the wormlike chain were taken to be λ p eff = 0.096 , and l max = 1.106. All the solvent particles were initially located at the sites of a face-centered cubic (FCC) lattice. We use s, p, and w to designate a solvent, a polymeric wormlike chain, and a wall particle, respectively, and the repulsive force coefficients a ss, a pp, and a ps were taken to be a pp = a ss = a ps = 18.75. This means that solvent–solvent interaction, chain–chain interaction, and chain–solvent interaction are the same and hence solvent quality leads to a thermal solvent. According to ref. (28), the repulsive force coefficient of wall–wall interaction was chosen to be a ww = 5.0, and the repulsive force coefficients of wall–solvent interaction and wall–chain interaction are calculated by the formula a ws = a wp = a ww a ss = a ww a pp = 9.68 . With the parameters a ws and a wp calculated by this formula, our DPD model could eliminate the density fluctuation near the wall. The temperature of the system was chosen to be k B T = 1, and the initial velocities of the solvent and chain particles were set randomly corresponding to this temperature. The friction coefficient is γ = 4.5, and the noise amplitude is σ = 3.0.

An external force was applied on every solution particle in the x direction to drive the pressure-driven flow. The time evolutions of particle positions and velocities were obtained by integrating the equations of motion (Eqs. 1–9) using the modified velocity-Verlet algorithm suggested by Groot and Warren (36). The Marko–Siggia force law has a singularity at full extension, see Eq. 10, and hence small time steps must be taken. We choose time step to be Δt = 0.005, which is smaller than the commonly used value in DPD. The cell subdivision and neighbor-list methods (55) were employed to calculate the forces between particles to reduce the computational time.

3 Results and discussion

3.1 Pressure-driven flow of simple DPD fluids

In this subsection, simulations of the pressure-driven flow of simple DPD fluids were performed to test the validity of our DPD program. On the other hand, it is useful to investigate the flow of simple DPD fluids to provide a comparison with the flow of wormlike chain solutions.

The pressure-driven flow of simple DPD fluids with no chains in a slit was simulated by using our DPD simulation program. The simulation was run for some time at first in order for the system to reach the thermodynamic equilibrium state, and then an external force, f = 0.1, is applied on every fluid particle in the x direction to drive the flow. The slit was subdivided into 90 bins in the z direction to obtain the spatial distributions of velocity, density, and temperature, by averaging the sampled data over 5 × 105 time steps in each bin after reaching the steady state.

Figure 2 shows the DPD simulation results compared to the Navier–Stokes solutions. The velocity profile in Figure 2a clearly presents the same characteristic as that given by the Navier–Stokes solution for a typical pressure-driven flow in the x direction (the flow direction), expressed by

(11) v x ( z ) = v x max [ 1 ( z h ) 2 ]  

where v x max x is the maximum velocity and h = L z 2 = 4.5 is the half gap of the slit. The velocity distribution well matches the analytical solution, as shown in Figure 2a. Clearly, there is no slip near the walls. As can be seen from Figure 2b, the density and temperature distributions across the slit are uniform, and agree well with analytical solutions, indicating our wall model eliminates the density and temperature fluctuations near the wall and verifies the validity of our DPD program.

Figure 2 
                  DPD simulation results compared to the analytical solutions for the pressure-driven slit flow of simple DPD fluids: (a) velocity profiles and (b) density and temperature profiles.
Figure 2

DPD simulation results compared to the analytical solutions for the pressure-driven slit flow of simple DPD fluids: (a) velocity profiles and (b) density and temperature profiles.

It should also be pointed out that the velocity profile of a Newtonian fluid under pressure-driven flow is parabolic and can be obtained by Eq. 11. Therefore, we can conclude that the simple DPD fluid is a Newtonian fluid.

3.2 Conformations of wormlike chains in pressure-driven slit flow

Now we turn to the pressure-driven slit flow of wormlike chain solution in our DPD simulation. All the following simulations were run for 2.2 × 106 time steps. The simulation system was first run 2 × 105 time steps, which is sufficient to reach the thermodynamic equilibrium state. Then, an external force f was applied equally to both the solvent and chain particles in the x direction to drive the pressure-driven flow. After applying the driving force, the simulations were run for 5 × 105 time steps, which is sufficient to reach the fully developed pressure-driven flow, and the remaining time was used for the collection of data. The slit was subdivided into 90 bins in the z direction to obtain the varying spatial distributions.

The flow strength can be effectively described by a dimensionless number known as the Peclet number which is defined as Pe = γ ̇ R g 2 / D , where γ ̇ is the mean shear rate and in the pressure-driven flow γ ̇ = 2 v x max / L z , R g is the polymer chains’ radius of gyration at equilibrium, and D is the polymer center-of-mass diffusion coefficient measured in equilibrium. According to ref. (25), the Peclet number is proportional to the external driving force f since the shear rate is proportional to the external force, and hence we use the driving force to describe the flow strength for simplicity in this work.

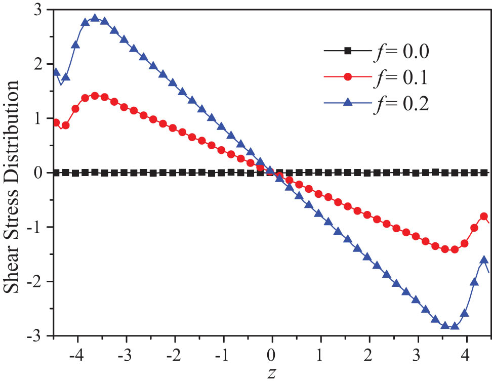
The physical properties of wormlike chains change considerably in the presence of pressure-driven flow and hence wormlike chains should display rich conformations. The snapshots of Figure 3 illustrate the conformations of wormlike chains along the flow direction for varying values of the driving force f = 0, 0.1, and 0.2 at the last time step. In Figure 3, different chains are shown in different colors, and we can see that the wormlike chains exhibit varying conformations under pressure-driven flow, such as contracted, extended, folded, kinked, dumbbell, and half-dumbbell, which are consistent with the experimental observations of Perkins et al. (13). The snapshots of Figure 3 also show that the wormlike chains become more stretched along the flow direction as the flow strength is increased. This is owing to the increase in shear stresses with the increase in the driven force f, Figure 4, showing the shear stress distribution across the slit for varying values of the driving force f = 0, 0.1, and 0.2. For f = 0, there is no shear stress, and the wormlike chains prefer contracted conformations but not spherical shapes. This implies that the wormlike chain has a certain rigidity. When in the presence of pressure-driven flow, the wormlike chains are strongly stretched near the wall due to the large shear force, while the chains contract near the slit center because of the very small shear force, Figure 3b and c. As can be seen from these snapshots, interestingly, the wormlike chains become more depleted from the walls vicinity as the flow strength is increased. Because of this depletion layer, the shear stress shows an oscillating behavior near the wall but is linearly distributed across most part of the slit, Figure 4.

Figure 3 
                  Snapshots for wormlike chains for varying values of the driving force at the last time step: (a) f = 0, (b) f = 0.1, and (c) f = 0.2. Here different chains are shown in different colors.
Figure 3

Snapshots for wormlike chains for varying values of the driving force at the last time step: (a) f = 0, (b) f = 0.1, and (c) f = 0.2. Here different chains are shown in different colors.

Figure 4 
                  The shear stress distribution across the slit for varying values of the driving force: f = 0, f = 0.1, and f = 0.2.
Figure 4

The shear stress distribution across the slit for varying values of the driving force: f = 0, f = 0.1, and f = 0.2.

The conformations of polymer chains can be fully characterized by spatial properties such as mean square end-to-end distance and mean square radius of gyration, due to their experimental relevance. Here the gyration tensor was used to characterize the conformational properties of the polymeric wormlike chains in the pressure-driven flow. Elements of the gyration tensor G have the form

(12) G α β = 1 N i = 1 N ( r i α r ¯ α ) ( r i β r ¯ β )  

where α, β ∈ (x, y, z), and N are the number of beads for a wormlike chain, and r ¯ α and r ¯ β are the α, β components of the center of mass r ¯ . The three eigenvalues of G are denoted by the largest eigenvalue G 1, the middle G 2, and the smallest G 3; their sum is just mean square radius of gyration R g 2 . The ratios G 2/G 1 and G 3/G 1 can reflect the shape of the chain because if they are not equal to unity it means that the shape is non-spherical. The diagonal components G xx , G yy , and G zz are the three components of the squared radius of gyration.

In this study, the conformational distribution of the wormlike chains across the slit are systematically investigated through the mean square end-to-end distance 〈h 2〉, the mean square radius of gyration R g 2 , the eigenvalue ratios 〈G 2/G 1〉 and 〈G 3/G 1〉, and three diagonal elements of the gyration tensor 〈G xx 〉, 〈G yy 〉, and 〈G zz 〉. Because these conformational distributions are symmetric about z = 0, all these conformational distributions only show half of the distribution profiles for z = 0–4.5.

Figure 5 shows the wormlike chains’ mean square end-to-end distance 〈h 2〉 and mean square radius of gyration R g 2 distributions across the slit for the driving force f = 0, 0.1, and 0.2, and for equilibrium simulation in a large enough periodic domain (i.e., bulk solution at equilibrium). 〈h 2〉 and R g 2 , obtained from bulk solutions at equilibrium, are about 11.34 and 1.73, respectively. As shown in Figure 5, though the wormlike chain is confined in a slit, the mean square end-to-end distance or the mean square radius of gyration for f = 0 is almost the same as that for bulk solution. The confinement can be described by the ratio between the slit’s height L z and the chains radius of gyration 〈R g〉 obtained from bulk solutions at equilibrium. Here the ratio is L z R g = 9 / 1.73 6.84 . According to ref. (17), for this ratio 6.84, the confinement is in weakly confined regime, implying that the equilibrium conformational statistics of the polymer chain are largely unchanged from bulk values. When in the presence of pressure-driven flow, both 〈h 2〉 and R g 2 increase as the driving force is increased, implying that the wormlike chain is stretched under the pressure-driven flow. Furthermore, Figure 5 also shows that the chains’ stretching increases with the increase in |z|, and the chains’ stretching for f = 0.1 and 0.2 is almost the same as that for f = 0 in the midsection. This is due to the fact that the resulting stresses are lowest in the midsection and largest in the vicinity of the wall, Figure 4. More detailed shapes of the wormlike chain can be described by the eigenvalue ratios 〈G 2/G 1〉 and 〈G 3/G 1〉, where G 1, G 2, and G 3 are the largest eigenvalue G 1, the middle G 2 and the smallest G 3 of the gyration tensor G , respectively. Figure 6 shows the average eigenvalue ratio distribution across the slit for the driving force f = 0, 0.1, and 0.2, and for bulk solution at equilibrium. As shown in Figure 6, the wormlike chain is not be spherical since the eigenvalue ratios are not equal to unity. Figure 6 provides clear evidence that the shape of the wormlike chain is far from spherical, and the values of the eigenvalue ratios are very small near the wall under pressure-driven flow, implying that the shape of wormlike chain is more like a stretched curve.

Figure 5 
                  The wormlike chains’ mean square end-to-end distance 〈h
                     2〉 and mean square radius of gyration 
                        
                           
                           
                              〈
                              
                                 
                                    R
                                 
                                 
                                    g
                                 
                                 
                                    2
                                 
                              
                              〉
                           
                           \langle {R}_{\text{g}}^{2}\rangle 
                        
                      distribution across the slit for the driving force f = 0, 0.1, and 0.2, and for equilibrium simulation in large enough periodic domain (i.e., bulk solution at equilibrium): (a) 〈h
                     2〉 distribution and (b) 
                        
                           
                           
                              〈
                              
                                 
                                    R
                                 
                                 
                                    g
                                 
                                 
                                    2
                                 
                              
                              〉
                           
                           \langle {R}_{\text{g}}^{2}\rangle 
                        
                      distribution.
Figure 5

The wormlike chains’ mean square end-to-end distance 〈h 2〉 and mean square radius of gyration R g 2 distribution across the slit for the driving force f = 0, 0.1, and 0.2, and for equilibrium simulation in large enough periodic domain (i.e., bulk solution at equilibrium): (a) 〈h 2〉 distribution and (b) R g 2 distribution.

Figure 6 
                  The average eigenvalue ratio distribution across the slit for the driving force f = 0, 0.1, and 0.2, and for bulk solution at equilibrium: (a) 〈G
                     2/G
                     1〉 and (b) 〈G
                     3/G
                     1〉.
Figure 6

The average eigenvalue ratio distribution across the slit for the driving force f = 0, 0.1, and 0.2, and for bulk solution at equilibrium: (a) 〈G 2/G 1〉 and (b) 〈G 3/G 1〉.

In order to obtain a better understanding of the conformational properties, the three diagonal elements of the gyration tensor were examined. Figure 7 shows the distributions of the three diagonal elements of the gyration tensor, namely, 〈G xx 〉, 〈G yy 〉, and 〈G zz 〉, for the driving force f = 0, 0.1, and 0.2. In Figure 7a, 〈G xx 〉 is the component of the gyration radius in the x direction, i.e., the flow field direction. The mean wormlike chain extensions under pressure-driven flow can be described by 〈G xx 〉. As shown in Figure 7a, the extension of wormlike chains increases as the driving force is increased along the flow direction. Figure 7a also shows that the extension along the flow direction is lowest at the midsection of the slit and increases with the increase in |z|. Figure 7b and c show the distributions of 〈G yy 〉, i.e., the component of the gyration radius in the y direction, and 〈G zz 〉, i.e., the component of the gyration radius in the z direction. For f = 0, Figure 7 shows that 〈G zz 〉 rapidly decreases to a smaller value than that of 〈G xx 〉 or 〈G yy 〉 near the walls. This is due to steric interactions with the walls. As can be seen from Figure 7b and c, both 〈G yy 〉 and 〈G zz 〉 decrease with the increase in |z|. Since the shear stress is zero in the y or z direction, the extension of wormlike chains in the x direction are accompanied by shrinking in the y and z directions.

Figure 7 
                  Distribution of the three diagonal elements of the gyration tensor across the slit for the driving force f = 0, 0.1, and 0.2: (a) 〈G
                     
                        xx
                     〉, (b) 〈G
                     
                        yy
                     〉, and (c) 〈G
                     
                        zz
                     〉.
Figure 7

Distribution of the three diagonal elements of the gyration tensor across the slit for the driving force f = 0, 0.1, and 0.2: (a) 〈G xx 〉, (b) 〈G yy 〉, and (c) 〈G zz 〉.

3.3 Dynamic behaviors of wormlike chains in pressure-driven slit flow

We now turn our attention to dynamic behaviors of the wormlike chains in the pressure-driven slit flow. The wormlike chains’ conformational distributions obtained in the Section 3.2 would undoubtedly contribute to the analysis of the flow behaviors, since macroscopically dynamic behavior usually arise from flow-induced conformational changes in the chains. In the current work, we are going to focus on the rheological property, the cross-stream migration, and molecular motion of the wormlike chain.

Figure 8 shows the velocity profiles across the slit at the driving force f = 0.1 for the wormlike chain solution and the simple DPD fluid. As mentioned above, the simple DPD fluid is a Newtonian fluid with a quadratic velocity profile in the presence of pressure-driven flow. Figure 8 shows that the velocity profile of the wormlike chain solution particularly deviates from the quadratic profile in the middle region of the slit. This implies that the wormlike chain solution is a not a Newtonian fluid and should exhibit nonlinear and non-Newtonian rheological properties. In the vicinity of the wall, however, the two velocity profiles are the same, due to the fact that the wormlike chains are depleted from the wall regions, as shown in Figure 3b and c. Furthermore, we find that the wormlike chain solution can be described by a power-law fluid, which is

(13) v x = v x max 1 z h n + 1 n v x max = n n + 1 h n + 1 n ρ f κ 1 n

where n is the power-law index and κ is the power-law shear stress coefficient, i.e., the consistency index. These two parameters can be determined by the use of numerical fitting. Here the volume fraction of the wormlike chains is ϕ = 0.033, and the fitted value of n is 0.93. n < 1 describes a non-Newtonian fluid with shear thinning. Figure 9 shows the comparison of the velocity profile of the wormlike chain solution and the power-law fluid with n = 0.93. It is remarkable that the velocity profile for the wormlike chain solution can be approximated by the power-law curve well.

Figure 8 
                  The velocity profiles across the slit at the driving force f = 0.1 for the wormlike chain solution and the simple DPD fluid.
Figure 8

The velocity profiles across the slit at the driving force f = 0.1 for the wormlike chain solution and the simple DPD fluid.

Figure 9 
                  The velocity profile of the wormlike chain solution with ϕ = 0.033 compared to that of the power-law fluid with n = 0.93.
Figure 9

The velocity profile of the wormlike chain solution with ϕ = 0.033 compared to that of the power-law fluid with n = 0.93.

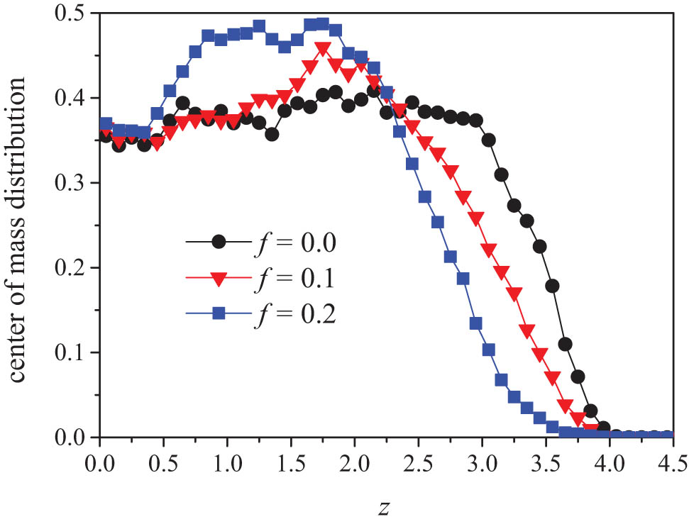
In this work, we use the chains’ center of mass distribution across the slit to analyze the cross-stream migration of wormlike chains. Because of symmetry, Figure 10 shows one half of the wormlike chains’ center of mass distribution across the slit for the driving force f = 0, 0.1, and 0.2. For f = 0 at equilibrium condition, this figure shows that the chains’ center of mass distribution is essentially uniform at z ≈ 0–3 and depletion layer is observed near the wall due to steric wall repulsion. For f = 0.1 and f = 0.2, the wormlike chain concentration is lower than that for f = 0 near the wall region at z ≈ 2.25–4.0, while the average concentration is higher than that for f = 0 in the central portion of the slit at z ≈ 0–2.25. This indicates that the wormlike chains migrate away from the wall towards the slit center. The migration of wormlike chains away from the wall increase as the driving force is increased. In addition, the distribution exhibits a local minimum at the midsection of the slit for f = 0.1 and f = 0.2, indicating that the wormlike chains can slightly migrate away from the slit center. These migration behaviors were observed in many articles when studying the cross-stream migration of both flexible polymers and semiflexible polymers (17,42). We attribute the migration away from the wall to the HIs between the chains and the wall (17,26). Here we briefly summarize this chain-wall hydrodynamic interaction. The results of conformational distribution in the previous subsection show that the wormlike chains located nearer the wall are stretched more. When a wormlike chain near the wall is stretched, a point force F which is balanced by the stretched spring force would act on the solvent, and then the point force F will induce an asymmetrical hydrodynamic local flow which can be described by Oseen tensor (26), Figure 11. This asymmetrical local flow caused by the chain-wall HIs tends to carry the wormlike chain away from the wall. A larger driving force leads to a stronger stretched wormlike chain, and thus a larger point force leads to a stronger chain-wall HI. Hence, a stronger migration of wormlike chains away from the wall was observed with a larger driving force, as shown in Figure 10. As for the chains migration away from the slit center, we attribute the migration to the different Brownian diffusivities across the slit. The strength of Brownian motion for chains with the contracted conformation is higher than that for chains with the stretched conformation. As mentioned in the previous subsection, the wormlike chains located near the wall are stretched more, while the chains prefer to exhibit contracted conformations in the central part of the slit due to low shear stresses. Therefore, the chains also migrate away from the slit center undergoing the pressure-driven flow.

Figure 10 
                  The wormlike chains’ center of mass distribution across the slit for varying values of the driving force: f = 0, 0.1, and 0.2.
Figure 10

The wormlike chains’ center of mass distribution across the slit for varying values of the driving force: f = 0, 0.1, and 0.2.

Figure 11 
                  The velocity vector field of an asymmetrical local flow induced by a point force 
                        F
                      acting close to the wall.
Figure 11

The velocity vector field of an asymmetrical local flow induced by a point force F acting close to the wall.

Molecular motion of confined polymer chain is one of the most interesting topics because of its comprehensive application fields. DPD method can provide detailed information on molecular motion of polymer chains, such as the chain conformation evolution. Here we are interested in the near-wall motion of the wormlike chain. Figure 12 shows five snapshots of the conformation of a wormlike chain near the wall at t = 10,000, 10,250, 10,500, 10,750, and 11,000 for the driving force f = 0.1. These snapshots show that the near-wall wormlike chain continually undergoes stretching, flipping, and coiling while moving with the flow, indicating that the near-wall wormlike chain undergoes end-over-end tumbling, i.e., rotating as a whole, under pressure-driven flow. However, Fan et al. (28) found that the wormlike chain molecule does not rotate as a whole but is folded and its rear then creeps forward relative to its front. Note that Fan et al. used 81 beads to simulate a wormlike chain for their DPD simulation, and thus such a long wormlike chain is so long that the chain cannot rotate as a whole with the local fluid element. Here we use 20 beads to model a wormlike chain, and the shear rate (i.e., the shear stress) gradient is large enough to generate end-over-end tumbling motion of the wormlike chain. As shown in Figure 12, the arrows shown in each snapshot denote the shear rate gradient, which is believed to generate the tumbling motion. Our DPD simulation results are in agreement with the experimental results of Smith et al. (15) who directly observed the stretching, tumbling, and coiling of lambda phage DNA in a simple shearing flow.

Figure 12 
                  Snapshots of the conformation of a wormlike chain near the wall at t = 10,000, 10,250, 10,500, 10,750, and 11,000 for the driving force f = 0.1, where the arrows in each snapshot denote the shear rate (i.e., the shear stress) gradient.
Figure 12

Snapshots of the conformation of a wormlike chain near the wall at t = 10,000, 10,250, 10,500, 10,750, and 11,000 for the driving force f = 0.1, where the arrows in each snapshot denote the shear rate (i.e., the shear stress) gradient.

3.4 Effect of chain rigidity

The wormlike chain model includes an important conformational parameter, the effective persistence length λ p eff , Eq. 10, which can be used to measure the rigidity of the wormlike chain. Thus, the wormlike chain model is capable of covering an extensive range of chain rigidity, from the flexible chain to the rigid chain, by tuning the effective persistence length directly. It should be pointed out that λ p eff = 0.096 is the most common choice for studying the conformations and dynamics of lambda phage DNA. This means that the properties of the Marko–Siggia wormlike chain with λ p eff = 0.096 can well match that of lambda phage DNA. When tuning the effective persistence length, we do not know which polymer molecule can match the Marko–Siggia wormlike chain with a different λ p eff . Here we just investigate the effects of chain rigidity on conformations and dynamic behaviors of wormlike chain in the pressure-driven slit flow. The DPD simulation parameters of this subsection are the same as those of the previous subsections, except for the effective persistence length.

To validate that the effective persistence length can be used to measure the rigidity of the wormlike chain, an equilibrium simulation of bulk solution including a single wormlike chain with λ p eff = 0.5 was made, and thus λ p eff was about five times of 0.096 used earlier. For λ p eff = 0.5 , the mean square end-to-end distance 〈h 2〉 and mean square radius of gyration R g 2 are about 13.43 and 2.26, respectively, while these two values are 11.34 and 1.73 for λ p eff = 0.096 . This implies that a larger λ p eff leads to a greater chain rigidity since the values of 〈h 2〉 and R g 2 for λ p eff = 0.5 are larger than those for λ p eff = 0.096 . Clearly, the wormlike chain would exhibit a more expanded conformation with a larger λ p eff . The snapshots of Figure 13 illustrate conformations of wormlike chains with λ p eff = 0.5 along the flow direction for varying values of the driving force f = 0, 0.1, and 0.2 at the last time step. Figure 13 shows that conformations of the wormlike chains are, as expected, more expanded for λ p eff = 0.5 than those for λ p eff = 0.096 under the same driving force. As can be seen from Figure 13b and c, in the presence of pressure-driven flow, most wormlike chains exhibit stretched conformations. Even in the middle regions where the shear stresses are low, the chains prefer expanded conformations such as extended, folded, and half-dumbbell. Those conformations are consistent with the experimental observations of semiflexible polymers in pressure-driven channel flow (30). Interestingly, the thickness of depletion layers in the vicinity of the walls for λ p eff = 0.5 is smaller than that for λ p eff = 0.096 , as shown in Figures (13b and 3b) and (13c and 3c). To better understand the dependence of conformations on the effective persistence length, we show the wormlike chains mean square radius of gyration distributions across the slit for the driving force f = 0, 0.1, and 0.2 with λ p eff = 0.096 and 0.5 in Figure 14. The values of R g 2 across the slit for λ p eff = 0.5 are much larger than those for λ p eff = 0.096 under the pressure-driven flow, as shown in Figure 14. Even without the flow (f = 0), the values of R g 2 across the slit for λ p eff = 0.5 are close to those for λ p eff = 0.096 at the driving force f = 0.1, indicating that the wormlike chain with λ p eff = 0.5 has enough rigidity to maintain a more expanded conformation.

Figure 13 
                  Snapshots for wormlike chains with 
                        
                           
                           
                              
                                 
                                    λ
                                 
                                 
                                    p
                                 
                                 
                                    eff
                                 
                              
                              
                              =
                              
                              0.5
                           
                           {\lambda }_{\text{p}}^{\text{eff}}\hspace{.0em}=\hspace{.0em}0.5
                        
                      for varying values of the driving force at the last time step: (a) f = 0, (b) f = 0.1, and (c) f = 0.2.
Figure 13

Snapshots for wormlike chains with λ p eff = 0.5 for varying values of the driving force at the last time step: (a) f = 0, (b) f = 0.1, and (c) f = 0.2.

Figure 14 
                  The wormlike chains’ mean square radius of gyration 
                        
                           
                           
                              〈
                              
                                 
                                    R
                                 
                                 
                                    g
                                 
                                 
                                    2
                                 
                              
                              〉
                           
                           \langle {R}_{\text{g}}^{2}\rangle 
                        
                      distribution across the slit for the driving force f = 0, 0.1, and 0.2 with 
                        
                           
                           
                              
                                 
                                    λ
                                 
                                 
                                    p
                                 
                                 
                                    eff
                                 
                              
                              
                              =
                              
                              0.096
                           
                           {\lambda }_{\text{p}}^{\text{eff}}\hspace{.0em}=\hspace{.0em}0.096
                        
                      and 0.5.
Figure 14

The wormlike chains’ mean square radius of gyration R g 2 distribution across the slit for the driving force f = 0, 0.1, and 0.2 with λ p eff = 0.096 and 0.5.

Since the conformations of the wormlike chains are different with different effective persistence lengths, the effective persistence length does have an effect on dynamic behaviors. Figure 15 shows the velocity profiles across the slit under the driving force f = 0.1 for the wormlike chain solution with λ p eff = 0.096 and 0.5, and for the simple DPD fluid. The velocity profiles of wormlike chain solutions deviate from the quadratic profile of the simple DPD fluids, indicating that the chains can reduce the velocity of the solution. Furthermore, the mean streaming velocity for λ p eff = 0.5 is less than that for λ p eff = 0.096 . As shown in Figure 16, the velocity profile of the wormlike chain solution with ϕ = 0.033 for λ p eff = 0.5 well matches with the power-law fluid with the power-law index n = 0.91, which is lower than n = 0.93 for λ p eff = 0.096 . This implies that the more rigid the chain is, the stronger non-Newtonian the solution is.

Figure 15 
                  The velocity profiles across the slit under the driving force f = 0.1 for the wormlike chain solution with 
                        
                           
                           
                              
                                 
                                    λ
                                 
                                 
                                    p
                                 
                                 
                                    eff
                                 
                              
                              
                              =
                              
                              0.096
                           
                           {\lambda }_{\text{p}}^{\text{eff}}\hspace{.0em}=\hspace{.0em}0.096
                        
                      and 0.5, and for the simple DPD fluid.
Figure 15

The velocity profiles across the slit under the driving force f = 0.1 for the wormlike chain solution with λ p eff = 0.096 and 0.5, and for the simple DPD fluid.

Figure 16 
                  The velocity profile of the wormlike chain solution with ϕ = 0.033 for 
                        
                           
                           
                              
                                 
                                    λ
                                 
                                 
                                    p
                                 
                                 
                                    eff
                                 
                              
                              
                              =
                              
                              0.5
                           
                           {\lambda }_{\text{p}}^{\text{eff}}\hspace{.0em}=\hspace{.0em}0.5
                        
                      compared to that of the power-law fluid with n = 0.91.
Figure 16

The velocity profile of the wormlike chain solution with ϕ = 0.033 for λ p eff = 0.5 compared to that of the power-law fluid with n = 0.91.

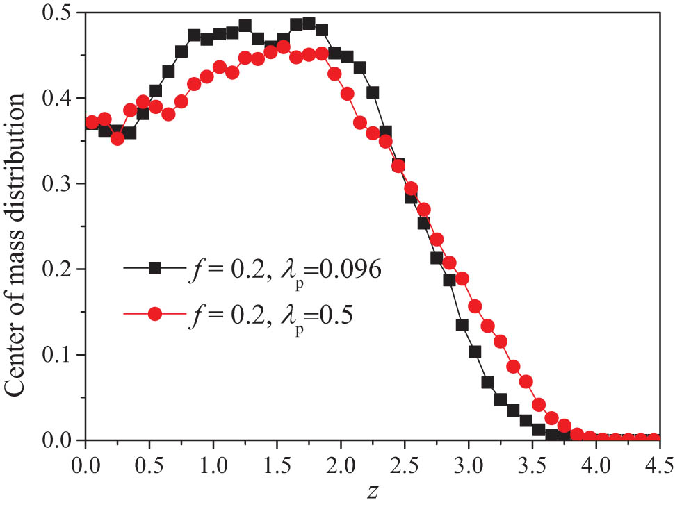
Figure 17 shows the wormlike chains’ center of mass distribution across the slit for the driving force f = 0.2 with λ p eff = 0.096 and 0.5. There is the depletion layer in the vicinity of the wall due to the chain-wall HIs. As shown in Figure 17, the wormlike chain concentration for λ p eff = 0.5 is higher than that for λ p eff = 0.096 near the wall region at z ≈ 2.5–4, while the average concentration is lower in the central portion of the slit at z ≈ 0–2.5. This indicates that the wormlike chains tend to migrate away from the slit center towards the wall as the chain rigidity increases. As mentioned above, for λ p eff = 0.096 , the wormlike chain conformations vary across the slit due to the varying shear stresses, and thus we attribute the chains’ migration away from the slit center to the gradient of Brownian diffusivities across the slit. Here our DPD simulation shows that a more rigid wormlike chain with λ p eff = 0.5 also has a tendency to migrate away from the slit center. Our DPD simulation results are consistent with the experimental observations of Steinhauser et al. (30) and kinetic theory results of Reddig and Stark (33). Steinhauser et al. (30) attributed the migration away from the channel center to a gradient in chain Brownian mobility of the semiflexible polymers in their experimental study. From the above results of our conformational study, we see that the wormlike chains with λ p eff = 0.096 exhibit stretched conformations near the walls and prefer contracted conformations in the central part of the slit, while most wormlike chains with λ p eff = 0.5 prefer expanded conformations such as extended, folded, bent, and half-dumbbell in the slit. Hence, the gradient of chain Brownian diffusivity across the slit decreases with the increase in chain rigidity. Thus, for a more rigid wormlike chain with λ p eff = 0.5 , we cannot attribute the migration away from the slit center to the gradient of chain Brownian diffusivity. In fact, the wormlike chain with λ p eff = 0.5 has enough rigidity to be bent or stretched by the pressure-driven flow even in the central regions of the slit, Figure 13b and c. The kinetic theory (33) showed that when a bent or stretched chain relaxes and moves with the flow, the chain beads interact hydrodynamically along the wormlike chain. These HIs, which are similar with the chain-wall HIs, cause the more rigid wormlike chain to migrate away from the slit center. Our results indicate that polymer chains with different chain rigidities show different migration behaviors in the pressure-driven channel flow, which may lead to a new technology for the separation and purification of polymer chains. More specifically, the more rigid the polymer chain is, the closer the polymer chain is to the wall, and thus we propose a new method for the separation and purification of polymer chains with different chain rigidities using pressure-driven microfluidic device.

Figure 17 
                  The wormlike chains’ center of mass distributions across the slit for the driving force f = 0.2, with 
                        
                           
                           
                              
                                 
                                    λ
                                 
                                 
                                    p
                                 
                                 
                                    eff
                                 
                              
                              
                              =
                              
                              0.096
                           
                           {\lambda }_{\text{p}}^{\text{eff}}\hspace{.0em}=\hspace{.0em}0.096
                        
                     , and 0.5.
Figure 17

The wormlike chains’ center of mass distributions across the slit for the driving force f = 0.2, with λ p eff = 0.096 , and 0.5.

4 Conclusion

In this work, we used DPD method to investigate the dynamic behaviors of wormlike chain solutions in a pressure-driven slit flow. The wormlike chain model is based on the well-known bead–spring polymer chain representation, using the Marko–Siggia spring to connect two consecutive beads. The results of the conformational distribution, rheological properties, and migration behaviors were presented, and molecular motion of the wormlike chain and effect of chain rigidity were also analyzed. Our simulation results may provide help for designing microfluidic device of polymer separation and purification, and for revealing the transport phenomena of biomacromolecules under confinement. The following conclusions have been obtained:

  1. In the presence of pressure-driven flow, the wormlike chains exhibit rich conformations, such as coil, extended, folded, kinked, dumbbell, and half-dumbbell. The shape of wormlike chain is more like a stretched curve near the wall, while the chain exhibits contracted conformations but not spherical shapes near the slit center. The extension of wormlike chains in the x direction (flow direction) is accompanied by shrinking in the y and z directions.

  2. The wormlike chain solutions exhibit non-Newtonian rheological properties, which can be well described by the power-law fluid. The power-law index n decreases with the increase in chain rigidity, and thus the more rigid the wormlike chain is, the stronger non-Newtonian the wormlike chain solution is.

  3. The wormlike chain undergoes end-over-end tumbling motion under pressure-driven flow in the vicinity of the wall, due to the fact that the near-wall wormlike chain continually undergoes stretching, flipping, and coiling while moving with the flow.

  4. The wormlike chains migrate away from the wall due to the chain-wall HIs, while the wormlike chains can also slightly migrate away from the slit center due to the gradient of chain Brownian diffusivity. The migration away from the slit center increases with the increase in chain rigidity. For λ p eff = 0.5 , most wormlike chains exhibit stretched conformations, even in the middle regions, the chains prefer expanded conformations. The HIs between the beads are induced in the chain located at the middle regions due to stretched or bent conformation, which cause the more rigid wormlike chain to migrate away from the slit center.

  1. Funding information: This work was supported by Zhejiang Provincial Natural Science Foundation of China (Key Program, Grant No. LZ21A020001) and the National Natural Science Foundation of China (Grant No. 51605432), and Science and Technology Innovation 2025 Major Project of Ningbo of China (Grant Nos. 2020Z112 and 2022Z007).

  2. Author contributions: Shaofeng Xu: conceptualization, methodology, investigation, writing – original draft, project administration, and funding acquisition; Ziheng Wang: investigation, visualization, and formal analysis; Yifan Yu: visualization and formal analysis; Qiaohui Zhu: investigation and validation; Xuechang Zhang: investigation and writing – review and editing.

  3. Conflict of interest: Authors state no conflict of interest.

  4. Data availability statement: The data that support the findings of this study are available from the corresponding author upon reasonable request.

References

(1) Cunha ML, da Silva SS, Stracke MC, Zanette DL, Aoki MN, Blanes L. Sample preparation for lab-on-a-chip cystems in molecular diagnosis: A review. Anal Chem. 2022;94:41–58.10.1021/acs.analchem.1c04460Search in Google Scholar PubMed

(2) Ding MM, Li LW. Flow-induced translocation and conformational transition of polymer chains through nanochannels: recent advances and future perspectives. Macromolecules. 2021;54:9773–93.10.1021/acs.macromol.1c00909Search in Google Scholar

(3) Briggs K, Madejski G, Magill M, Kastritis K, de Haan HW, McGrath JL, et al. DNA translocations through nanopores under nanoscale preconfinement. Nano Lett. 2018;18:660–8.10.1021/acs.nanolett.7b03987Search in Google Scholar PubMed PubMed Central

(4) Misra AC, Eckhoff D. The development of artificial livers. Curr Opin Organ Tran. 2021;26(5):468–73.10.1097/MOT.0000000000000907Search in Google Scholar PubMed

(5) Padding J, Briels WJ. Systematic coarse-graining of the dynamics of entangled polymer melts: the road from chemistry to rheology. J Phys Condens Mat. 2011;23:233101.10.1088/0953-8984/23/23/233101Search in Google Scholar PubMed

(6) Ding MM, Duan X, Shi T. Flow-induced polymer separation through a nanopore: effects of solvent quality. Soft matter. 2017;13:7239–43.10.1039/C7SM00784ASearch in Google Scholar PubMed

(7) Yang J, Zheng T, Umair A, Li L. “Dead-end” ultrafiltration: a powerful technique utilizing “coil-to-stretch” transition for polymer separation/fractionation. Macromolecules. 2020;53:2396–2405.10.1021/acs.macromol.9b02753Search in Google Scholar

(8) Vo MD, Papavassiliou DV. Physical adsorption of polyvinyl pyrrolidone on carbon nanotubes under shear studied with dissipative particle dynamics simulations. Carbon. 2016;100:291–301.10.1016/j.carbon.2015.12.105Search in Google Scholar

(9) Palmer TL, Baardsen G, Skartlien RJ. Reduction of the effective shear viscosity in polymer solutions due to crossflow migration in microchannels: effective viscosity models based on DPD simulations. Dispersion Sci Technol. 2018;39:190–206.10.1080/01932691.2017.1306784Search in Google Scholar

(10) Rellegadla S, Prajapat G, Agrawal A. Polymers for enhanced oil recovery: fundamentals and selection criteria. Appl Microbiol Biotechnol. 2017;101:4387–402.10.1007/s00253-017-8307-4Search in Google Scholar PubMed

(11) Schroeder CMJ. Single polymer dynamics for molecular rheology. J Rheol. 2018;62:371–403.10.1122/1.5013246Search in Google Scholar

(12) de Gennes P. Flexible polymers in nanopores. Adv Polym Sci. 1999;138:91–105.10.1007/3-540-69711-X_2Search in Google Scholar

(13) Perkins TT, Smith DE, Larson RG, Chu S. Stretching of a single tethered polymer in a uniform-flow. Science. 1995;268:83–7.10.1126/science.7701345Search in Google Scholar PubMed

(14) Smith DE, Chu S. Response of flexible polymers to a sudden elongational flow. Science. 1998;281:1335–40.10.1126/science.281.5381.1335Search in Google Scholar PubMed

(15) Smith DE, Babcock HP, Chu S. Single-polymer dynamics in steady shear flow. Science. 1999;283:1724–7.10.1126/science.283.5408.1724Search in Google Scholar PubMed

(16) Larson RG, Hu H, Smith DE, Chu S. Brownian dynamics simulations of a DNA molecule in an extensional flow field. J Rheol. 1999;43:267–304.10.1122/1.550991Search in Google Scholar

(17) Graham MD. Fluid dynamics of dissolved polymer molecules in confined geometries. Annu Rev Fluid Mech. 2011;43:273–98.10.1146/annurev-fluid-121108-145523Search in Google Scholar

(18) Brunn P, Grisafi S. Linear polymers in nonhomogeneous flow fields. I. translational diffusion coefficient. J Polym Sci Polym. 1985;23:73–87.10.1002/pol.1985.180230107Search in Google Scholar

(19) Fang L, Hsieh CC, Larson RG. Molecular imaging of shear-induced polymer migration in dilute solutions near a surface. Macromolecules. 2007;40:8490–9.10.1021/ma062630cSearch in Google Scholar

(20) Jo K, Chen YL, de Pablo JJ, Schwartz DC. Elongation and migration of single DNA molecules in microchannels using oscillatory shear flows. Lab Chip. 2009;9:2348–55.10.1039/b902292aSearch in Google Scholar PubMed PubMed Central

(21) Ma H, Graham MD. Theory of shear-induced migration in dilute polymer solutions near solid boundaries. Phys Fluids. 2005;17:083103.10.1063/1.2011367Search in Google Scholar

(22) Khare R, Graham MD, de Pablo JJ. Cross-stream migration of flexible molecules in a nanochannel. J Phys Rev Lett. 2006;96:224505.10.1103/PhysRevLett.96.224505Search in Google Scholar PubMed

(23) Jendrejack RM, Schwartz DC, de Pablo JJ, Graham MD. Shear-induced migration in flowing polymer solutions: Simulation of long-chain DNA in microchannels. J Chem Phys. 2004;120:2513–29.10.1063/1.1637331Search in Google Scholar PubMed

(24) Usta OB, Butler JE, Ladd AJ. Flow-induced migration of polymers in dilute solution. Phys Fluids. 2006;18:031703.10.1063/1.2186591Search in Google Scholar

(25) Millan JA, Laradji M. Cross-stream migration of driven polymer solutions in nanoscale channels: a numerical study with generalized dissipative particle dynamics. Macromolecules. 2009;42:803–10.10.1021/ma8014382Search in Google Scholar

(26) Xu SF, Lou YH, He P, Wang YX, Wang JG. Effect of solvent quality on Poiseuille flow of polymer solutions in microchannels: a dissipative particle dynamics study. Appl Polym Sci. 2019;136:47345.10.1002/app.47345Search in Google Scholar

(27) Chen WD, Li YQ, Zhao HC, Liu LJ, Chen JZ, An LJ. Conformations and dynamics of single flexible ring polymers in simple shear flow. Ploymer. 2015;64:93–9.10.1016/j.polymer.2015.03.034Search in Google Scholar

(28) Fan X, Phan-Thien N, Chen S, Wu X, Yong NgT. Simulating flow of DNA suspension using dissipative particle dynamics. Phys Fluids. 2006;18:063102.10.1063/1.2206595Search in Google Scholar

(29) Schroeder CM, Teixeira RE, Shaqfeh ESG, Chu S. Characteristic periodic motion of polymers in shear flow. Phys Rev Lett. 2005;95:018301.10.1103/PhysRevLett.95.018301Search in Google Scholar PubMed

(30) Steinhauser D, Koster S, Pfohl T. Mobility gradient induces cross-streamline migration of semiflexible polymer. ACS Macro Lett. 2012;1(5):541–5.10.1021/mz3000539Search in Google Scholar PubMed

(31) Wen XH, Zhang D, Zhang LX. Conformations and migration behaviors of confined semiflexible polymers under poiseuille flow. Ploymer. 2012;53:873–80.10.1016/j.polymer.2011.12.048Search in Google Scholar

(32) Chelakkot R, Winkler RG, Gompper G. Semiflexible polymer conformation, distribution and migration in microcapillary flows. J Phys Condens Mat. 2011;23(18):184117.10.1088/0953-8984/23/18/184117Search in Google Scholar PubMed

(33) Reddig S, Stark H. Cross-streamline migration of a semiflexible polymer in a pressure driven flow. J Chem Phys. 2011;135:165101.10.1063/1.3656070Search in Google Scholar PubMed

(34) Hoogerbrugge P, Koelman J. Simulating microscopic hydrodynamic phenomena with dissipative particle dynamics. Europhys Lett. 1992;19:155–6.10.1209/0295-5075/19/3/001Search in Google Scholar

(35) Espanol P, Warren P. Statistical mechanics of dissipative particle dynamics. Europhys Lett. 1995;30:191–6.10.1209/0295-5075/30/4/001Search in Google Scholar

(36) Groot RD, Warren PB. Dissipative particle dynamics: Bridging the gap between atomistic and mesoscopic simulation. J Chem Phys. 1997;107:4423–35.10.1063/1.474784Search in Google Scholar

(37) Xu SF, Wang JG. Migration mechanism of macromolecules under shear flow in micro channels and effects of macromolecular concentration. Acta Polym Sin. 2015;3:346–55.Search in Google Scholar

(38) Liu XQ, Zhou C, Xia HG, Zhou Y, Jiang WD. Dissipative particle dynamics simulation on the self-assembly of linear ABC triblock copolymers under rigid spherical confinements. e-Polymers. 2017;17(4):321–31.10.1515/epoly-2016-0306Search in Google Scholar

(39) Lei H, Baker NA, Wu L, Schenter GK, Mundy CJ, Tartakovsky AM. Smoothed dissipative particle dynamics model for mesoscopic multiphase flows in the presence of thermal fluctuations. Phys Rev E. 2016;94(2):023304.10.1103/PhysRevE.94.023304Search in Google Scholar PubMed

(40) Raman A, Jaime C, Puntes VF. Domain formation and conformational changes in gold nanoparticle conjugates studied using DPD simulations. Langmuir. 2017;33:14502–12.10.1021/acs.langmuir.7b03318Search in Google Scholar PubMed

(41) Wang Y, Chen S, Wu B. Self-driven penetration of droplets into non-wetting capillaries. Comput Fluids. 2017;154:211–5.10.1016/j.compfluid.2017.06.006Search in Google Scholar

(42) Olivia du R, Anke L, Ehssan NN, Michael JS. Dynamics of flexible fibers in viscous flows and fluids. Annu Rev Fluid Mech. 2019;51:539–72.10.1146/annurev-fluid-122316-045153Search in Google Scholar

(43) Vaiwala R, Ayappa KG. A generic force field for simulating native protein structures using dissipative particle dynamics. Soft Matter. 2021;17:9772–85.10.1039/D1SM01194DSearch in Google Scholar PubMed

(44) Fedosov D, Caswell B, Suresh S, Karniadakis G. Quantifying the biophysical characteristics of Plasmodium-falciparum-parasitized red blood cells in microcirculation. Proc Natl Acad Sci. 2011;108(1):35–9.10.1073/pnas.1009492108Search in Google Scholar PubMed PubMed Central

(45) Ye T, Phan-Thien N, Lim CT. Particle-based simulations of red blood cells-a review. JBiomech. 2016;49(11):2255–66.10.1016/j.jbiomech.2015.11.050Search in Google Scholar PubMed

(46) Ma S, Du WQ, Luo YJ. Simulation of GAP/HTPB phase behaviors in plasticizers and its application in composite solid propellant. e-Polymers. 2018;18(6):529–40.10.1515/epoly-2018-0012Search in Google Scholar

(47) Wang Y, Zhen L, Xu J, Yang C, Karniadakis G. Concurrent coupling of atomistic simulation and mesoscopic hydrodynamics for flows over soft multi-functional surfaces. Soft Matter. 2019;15:1747–57.10.1039/C8SM02170HSearch in Google Scholar

(48) Wang XY, Santo KP, Neimark AV. Modeling gas–liquid interfaces by dissipative particle dynamics: adsorption and surface tension of cetyl trimethyl ammonium bromide at the air–water interface. Langmuir. 2020;36:14686–98.10.1021/acs.langmuir.0c02572Search in Google Scholar PubMed

(49) Sgouros AP, Knippenberg S, Guillaume M, Theodorou DN. Multiscale simulations of polyzwitterions in aqueous bulk solutions and brush array configurations. Soft Matter. 2021;17:10873–90.10.1039/D1SM01255JSearch in Google Scholar

(50) Kratky O, Porod G. Rontgenuntersuchung geloster fadenmolekule. Rec Trav Chim. 1949;68:1106–22.10.1002/recl.19490681203Search in Google Scholar

(51) Marko JF, Siggia ED. Stretching DNA. Macromolecules. 1995;28:8759–70.10.1021/ma00130a008Search in Google Scholar

(52) Larson RG. The rheology of dilute solutions of flexible polymers: progress and problems. J Rheol. 2005;49(1):1–70.10.1122/1.1835336Search in Google Scholar

(53) Symeonidis V, Karniadakis G, Caswell B. Dissipative particle dynamics simulations of polymer chains: scaling laws and shearing response compared to DNA experiments. Phys Rev Lett. 2005;95:076001.10.1103/PhysRevLett.95.076001Search in Google Scholar PubMed

(54) Jiang W, Huang J, Wang Y, Laradji MJ. Hydrodynamic interaction in polymer solutions simulated with dissipative particle dynamics. J Chem Phys. 2007;126:044901.10.1063/1.2428307Search in Google Scholar PubMed

(55) Rapaport DC. The art of molecular dynamics simulation. Cambridge, UK: Cambridge University Press; 2004.10.1017/CBO9780511816581Search in Google Scholar

Received: 2022-08-26
Revised: 2022-09-18
Accepted: 2022-09-20
Published Online: 2022-11-03

© 2022 Shaofeng Xu et al., published by De Gruyter

This work is licensed under the Creative Commons Attribution 4.0 International License.

Articles in the same Issue

  1. Research Articles
  2. The effect of isothermal crystallization on mechanical properties of poly(ethylene 2,5-furandicarboxylate)
  3. The effect of different structural designs on impact resistance to carbon fiber foam sandwich structures
  4. Hyper-crosslinked polymers with controlled multiscale porosity for effective removal of benzene from cigarette smoke
  5. The HDPE composites reinforced with waste hybrid PET/cotton fibers modified with the synthesized modifier
  6. Effect of polyurethane/polyvinyl alcohol coating on mechanical properties of polyester harness cord
  7. Fabrication of flexible conductive silk fibroin/polythiophene membrane and its properties
  8. Development, characterization, and in vitro evaluation of adhesive fibrous mat for mucosal propranolol delivery
  9. Fused deposition modeling of polypropylene-aluminium silicate dihydrate microcomposites
  10. Preparation of highly water-resistant wood adhesives using ECH as a crosslinking agent
  11. Chitosan-based antioxidant films incorporated with root extract of Aralia continentalis Kitagawa for active food packaging applications
  12. Molecular dynamics simulation of nonisothermal crystallization of a single polyethylene chain and short polyethylene chains based on OPLS force field
  13. Synthesis and properties of polyurethane acrylate oligomer based on polycaprolactone diol
  14. Preparation and electroactuation of water-based polyurethane-based polyaniline conductive composites
  15. Rapeseed oil gallate-amide-urethane coating material: Synthesis and evaluation of coating properties
  16. Synthesis and properties of tetrazole-containing polyelectrolytes based on chitosan, starch, and arabinogalactan
  17. Preparation and properties of natural rubber composite with CoFe2O4-immobilized biomass carbon
  18. A lightweight polyurethane-carbon microsphere composite foam for electromagnetic shielding
  19. Effects of chitosan and Tween 80 addition on the properties of nanofiber mat through the electrospinning
  20. Effects of grafting and long-chain branching structures on rheological behavior, crystallization properties, foaming performance, and mechanical properties of polyamide 6
  21. Study on the interfacial interaction between ammonium perchlorate and hydroxyl-terminated polybutadiene in solid propellants by molecular dynamics simulation
  22. Study on the self-assembly of aromatic antimicrobial peptides based on different PAF26 peptide sequences
  23. Effects of high polyamic acid content and curing process on properties of epoxy resins
  24. Experiment and analysis of mechanical properties of carbon fiber composite laminates under impact compression
  25. A machine learning investigation of low-density polylactide batch foams
  26. A comparison study of hyaluronic acid hydrogel exquisite micropatterns with photolithography and light-cured inkjet printing methods
  27. Multifunctional nanoparticles for targeted delivery of apoptin plasmid in cancer treatment
  28. Thermal stability, mechanical, and optical properties of novel RTV silicone rubbers using octa(dimethylethoxysiloxy)-POSS as a cross-linker
  29. Preparation and applications of hydrophilic quaternary ammonium salt type polymeric antistatic agents
  30. Coefficient of thermal expansion and mechanical properties of modified fiber-reinforced boron phenolic composites
  31. Synergistic effects of PEG middle-blocks and talcum on crystallizability and thermomechanical properties of flexible PLLA-b-PEG-b-PLLA bioplastic
  32. A poly(amidoxime)-modified MOF macroporous membrane for high-efficient uranium extraction from seawater
  33. Simultaneously enhance the fire safety and mechanical properties of PLA by incorporating a cyclophosphazene-based flame retardant
  34. Fabrication of two multifunctional phosphorus–nitrogen flame retardants toward improving the fire safety of epoxy resin
  35. The role of natural rubber endogenous proteins in promoting the formation of vulcanization networks
  36. The impact of viscoelastic nanofluids on the oil droplet remobilization in porous media: An experimental approach
  37. A wood-mimetic porous MXene/gelatin hydrogel for electric field/sunlight bi-enhanced uranium adsorption
  38. Fabrication of functional polyester fibers by sputter deposition with stainless steel
  39. Facile synthesis of core–shell structured magnetic Fe3O4@SiO2@Au molecularly imprinted polymers for high effective extraction and determination of 4-methylmethcathinone in human urine samples
  40. Interfacial structure and properties of isotactic polybutene-1/polyethylene blends
  41. Toward long-live ceramic on ceramic hip joints: In vitro investigation of squeaking of coated hip joint with layer-by-layer reinforced PVA coatings
  42. Effect of post-compaction heating on characteristics of microcrystalline cellulose compacts
  43. Polyurethane-based retanning agents with antimicrobial properties
  44. Preparation of polyamide 12 powder for additive manufacturing applications via thermally induced phase separation
  45. Polyvinyl alcohol/gum Arabic hydrogel preparation and cytotoxicity for wound healing improvement
  46. Synthesis and properties of PI composite films using carbon quantum dots as fillers
  47. Effect of phenyltrimethoxysilane coupling agent (A153) on simultaneously improving mechanical, electrical, and processing properties of ultra-high-filled polypropylene composites
  48. High-temperature behavior of silicone rubber composite with boron oxide/calcium silicate
  49. Lipid nanodiscs of poly(styrene-alt-maleic acid) to enhance plant antioxidant extraction
  50. Study on composting and seawater degradation properties of diethylene glycol-modified poly(butylene succinate) copolyesters
  51. A ternary hybrid nucleating agent for isotropic polypropylene: Preparation, characterization, and application
  52. Facile synthesis of a triazine-based porous organic polymer containing thiophene units for effective loading and releasing of temozolomide
  53. Preparation and performance of retention and drainage aid made of cationic spherical polyelectrolyte brushes
  54. Preparation and properties of nano-TiO2-modified photosensitive materials for 3D printing
  55. Mechanical properties and thermal analysis of graphene nanoplatelets reinforced polyimine composites
  56. Preparation and in vitro biocompatibility of PBAT and chitosan composites for novel biodegradable cardiac occluders
  57. Fabrication of biodegradable nanofibers via melt extrusion of immiscible blends
  58. Epoxy/melamine polyphosphate modified silicon carbide composites: Thermal conductivity and flame retardancy analyses
  59. Effect of dispersibility of graphene nanoplatelets on the properties of natural rubber latex composites using sodium dodecyl sulfate
  60. Preparation of PEEK-NH2/graphene network structured nanocomposites with high electrical conductivity
  61. Preparation and evaluation of high-performance modified alkyd resins based on 1,3,5-tris-(2-hydroxyethyl)cyanuric acid and study of their anticorrosive properties for surface coating applications
  62. A novel defect generation model based on two-stage GAN
  63. Thermally conductive h-BN/EHTPB/epoxy composites with enhanced toughness for on-board traction transformers
  64. Conformations and dynamic behaviors of confined wormlike chains in a pressure-driven flow
  65. Mechanical properties of epoxy resin toughened with cornstarch
  66. Optoelectronic investigation and spectroscopic characteristics of polyamide-66 polymer
  67. Novel bridged polysilsesquioxane aerogels with great mechanical properties and hydrophobicity
  68. Zeolitic imidazolate frameworks dispersed in waterborne epoxy resin to improve the anticorrosion performance of the coatings
  69. Fabrication of silver ions aramid fibers and polyethylene composites with excellent antibacterial and mechanical properties
  70. Thermal stability and optical properties of radiation-induced grafting of methyl methacrylate onto low-density polyethylene in a solvent system containing pyridine
  71. Preparation and permeation recognition mechanism of Cr(vi) ion-imprinted composite membranes
  72. Oxidized hyaluronic acid/adipic acid dihydrazide hydrogel as cell microcarriers for tissue regeneration applications
  73. Study of the phase-transition behavior of (AB)3 type star polystyrene-block-poly(n-butylacrylate) copolymers by the combination of rheology and SAXS
  74. A new insight into the reaction mechanism in preparation of poly(phenylene sulfide)
  75. Modified kaolin hydrogel for Cu2+ adsorption
  76. Thyme/garlic essential oils loaded chitosan–alginate nanocomposite: Characterization and antibacterial activities
  77. Thermal and mechanical properties of poly(lactic acid)/poly(butylene adipate-co-terephthalate)/calcium carbonate composite with single continuous morphology
  78. Review Articles
  79. The use of chitosan as a skin-regeneration agent in burns injuries: A review
  80. State of the art of geopolymers: A review
  81. Mechanical, thermal, and tribological characterization of bio-polymeric composites: A comprehensive review
  82. The influence of ionic liquid pretreatment on the physicomechanical properties of polymer biocomposites: A mini-review
  83. Influence of filler material on properties of fiber-reinforced polymer composites: A review
  84. Rapid Communications
  85. Pressure-induced flow processing behind the superior mechanical properties and heat-resistance performance of poly(butylene succinate)
  86. RAFT polymerization-induced self-assembly of semifluorinated liquid-crystalline block copolymers
  87. RAFT polymerization-induced self-assembly of poly(ionic liquids) in ethanol
  88. Topical Issue: Recent advances in smart polymers and their composites: Fundamentals and applications (Guest Editors: Shaohua Jiang and Chunxin Ma)
  89. Fabrication of PANI-modified PVDF nanofibrous yarn for pH sensor
  90. Shape memory polymer/graphene nanocomposites: State-of-the-art
  91. Recent advances in dynamic covalent bond-based shape memory polymers
  92. Construction of esterase-responsive hyperbranched polyprodrug micelles and their antitumor activity in vitro
  93. Regenerable bacterial killing–releasing ultrathin smart hydrogel surfaces modified with zwitterionic polymer brushes
Downloaded on 30.12.2025 from https://www.degruyterbrill.com/document/doi/10.1515/epoly-2022-0073/html
Scroll to top button