Assessing the recycling potential of thermosetting polymer waste in high-density polyethylene composites for safety helmet applications
-
Diwahar Periasamy
, Prakalathan Karuppiah
, Bharathi Manoharan , Felix Sahayaraj Arockiasamy , Sathish Kannan , Vinayagam Mohanavel , Palanivel Velmurugan , Natarajan Arumugam , Abdulrahman I. Almansour and Subpiramaniyam Sivakumar
Abstract
The rising demand for thermosetting polymers has resulted in the production of large amounts of industrial waste. Environmental issues due to waste landfills and increased raw material costs for new product development have led to the development of innovative recycling methods. This study focuses on the development of a product (helmet shell) by reinforcing thermosetting polymer waste (TPW) as a filler in a high-density polyethylene (HDPE) matrix. The HDPE and TPW were converted into extrudates using a twin-screw extruder. Then, the extrudate was pelletized to use as raw material for the injection molding machine. The HDPE/TPW composites were fabricated using injection molding. Maleic anhydride-grafted polyethylene was employed as a compatibilizer. In the composite, the TPW volume was reinforced at various weight percentages, ranging from 0 to 35 wt%. The mechanical, thermal, and viscoelastic properties of the composites can be enhanced by uniformly dispersing TPW in the HDPE matrix. However, it is difficult to achieve uniform dispersion at higher TPW volumes owing to the agglomeration effect. According to these findings, the mechanical properties were enhanced by up to 30 wt% addition of TPW. The findings suggest that the proposed composite has sufficient mechanical properties to be suitable for the fabrication of helmet shells.
Graphical abstract

1 Introduction
Thermosetting polymers are in high demand among industries owing to their superior properties, such as high strength-to-weight ratio, impact strength, and durability (1). These materials are frequently used in automobile components, construction machine parts, and home appliances (2). However, the high volume of production has led to an increase in end-of-life waste (3). Furthermore, the disposal of solid waste is a major issue faced by many countries. Burning of these wastes results in an increased carbon footprint (4). Despite the benefits of thermosetting polymers, disposal of obsolete composite materials causes serious environmental issues and threatens human health. Reinforcing the non-degradable material in thermoplastics has been a hot topic among researchers in recent days (5).
Couvreur et al. (6) investigated the reinforcing of silica-filled thermoset wastes in polyurethane foams for fabricating automotive parts. Consequently, the addition of thermosets enhanced the tensile and compression properties of closed-loop recycled components. Chen et al. (7) suggested bicycle parts fabricated by reinforcing regenerated carbon fiber in a thermoplastic matrix. This study confirms that the incorporation of regenerated carbon fiber enhances the load-bearing ability of the composite. Kazemi et al. (8) reviewed the recycling potential of thermoplastics and thermosetting plastics, particularly focusing on construction machinery parts. Yagci et al. (9) studied the recyclable polypropylene and high-density polyethylene (HDPE) composites with the addition of waste urea formaldehyde for making cost-effective products. In addition, they varied the filler at weight percentages ranging from 10% to 30% to determine the optimum volume. Jagadeesh et al. (10) reviewed the recycling potential of natural and synthetic-based composites used in various applications such as construction, transportation, food and packaging, and building interior components.
Dasari et al. (11) analyzed the waste short glass fibers as secondary reinforcement in glass fiber composites with various temperature conditions. Kang et al. (12) explored the novel composite with waste epoxy resin power, and graphite nanosheet-reinforced composites were fabricated through a facile processing strategy. Liu et al. (13) reported that the use of aerospace waste carbon fiber was recycled using a mild chemical recycling process. Liu et al. (14) studied the waste thermoset epoxy resin coated in melamine foam for oil absorption applications. Yousef et al. (15) examined the mechanical and thermal behaviors of recycled products from waste-printed electronic circuits.
Thamizh Selvan et al. (16) studied various recycling technologies involved in the use of carbon fiber, glass fiber, and thermoset waste in aerospace applications. Lucignano et al. (17) reported the recycling of epoxy and polyester powders in foam production by varying the filler in 0–10 wt%. Saccani et al. (18) studied the potential of various waste reinforcements in polymer matrices. Dangtungee et al. (19) explored the morphological properties of waste epoxy/glass fiber as filler for producing printed circuit boards. Khan et al. (20) did a study on low-temperature synthesis processes for producing products from textile wastes.
The aforementioned studies inferred that there is a huge potential and demand for recycled products without affecting the environment. Hence, this study focuses on the mechanical and viscoelastic properties of HDPE reinforced with thermosetting polymer waste (TPW) for prospective use as shell material in safety helmets. Better blending can be achieved using a compatibilizer, which increases the bonding of the filler to the polymer. Compatibilizers have been used to improve the dispersion of fillers, the adhesion between the reinforcement and matrix, and compatibility. In this work, polyethylene-crafted maleic anhydride (PE-g-MAH) is used as a compatibilizer to enhance the compatibility between HDPE and TPW. The current work aims to improve the existing manufacturing process by reducing the amount of industrial waste through the recycling process. Furthermore, it focuses on material proportion to improve mechanical properties and interfacial bonding between HDPE and TPW. Because it reuses thermoset waste at a reduced cost and reduces pollution and health hazards, it can be stated that the effort taken satisfies the needs of both the public and entrepreneurs. Figure 1 shows the process of new product development from the plastic wastes.

Recycling of plastic waste for new product development.
In this study, composites were fabricated by injection molding, and the mechanical properties of recycled TPW composites were evaluated. Density, tensile, flexural, impact, and hardness tests were conducted to examine the mechanical properties. Furthermore, dynamic mechanical analysis (DMA) was conducted to analyze the thermal properties of the specimens.
2 Materials and methods
2.1 Materials
The raw material TPW was obtained from Concord Helmet & Safety Products Pvt., Ltd. Trichy, Tamil Nadu, India. The epoxy-based thermoset resin, which is used for the helmet manufacturing process, mainly comprises glass fibers and epoxy. So we have chosen epoxy-based TPW (epoxy and glass fibers) for this research work. The grain size maintained for this process is 1–2 mm. HDPE (Grade: M6008), which was manufactured by M/S ONGC Petro Additions Ltd, Gujarat, India, procured from Sun Polymers, Chennai District, Tamil Nadu, India, was used as a matrix. PE-g-MAH, purchased from Adarsh Chemicals, Chennai, Tamil Nadu, India, was used as a compatibilizer to enhance the blending behavior (21).
2.2 Composite fabrication
The fabrication process consists of three steps. In the first stage, the TPW waste (epoxy + glass fiber) collected from the industry was converted into powder using a scrap grinder. The raw materials were dried at 60°C in an oven for 2 h to remove moisture. The HDPE granules used for the processing are shown in Figure 2(a). HDPE and TPW were mixed in weight ratios ranging from 0 to 35 wt%. PE-g-MAH was used as a compatibilizer and was maintained at 6 wt% throughout the process. The main purpose of adding PE-g-MAH was to enhance the blending behavior of HDPE and TPW.

(a) HDPE granules, (b) blending of HDPE and TPW, (c) HDPE/TPW pellets, and (d) HDPE/TPW composite test specimens.
In the second stage, HDPE, TPW, and PE-g-MAH were premixed using a high-speed mixture (Twist Engineering Works, Model: HM-35) to obtain uniform dispersion, as shown in Figure 2(b). Consequently, the compounding process was carried out in a twin-screw extruder (Man Mach Machines, Coimbatore) used to prepare the HDPE/TPW composite at temperatures from 180°C to 220°C, and the extruder speed was maintained at 400–450 rpm (22). Increasing the TPW content increases the revolutions per minute (RPM) as shown in Table 1. The materials used as TPW, such as cured epoxy resin with glass fiber, do not have a melt phase where they become fluid. Twin screw extruder process support for increase the RPM level from 400–500. So the extrusion flow is properly occurring. After compounding, the string extrudate was cooled in a water bath. Finally, HDPE/TPW granules were obtained, as shown in Figure 2(c). In the third stage, the granules were fed into an injection molding machine to fabricate composite products. The injection molding procedure was executed utilizing a Battenfeld Plus 250 Injection Machine set to a temperature of 190°C and an injection pressure of 1,057 bars. Various tests were performed on the fabricated composites to evaluate their mechanical, morphological, and viscoelastic properties. The test specimens used to assess the properties of the fabricated samples are shown in Figure 2(d). A safety-helmet shell was also produced based on the optimum composition, as shown in Figure 3.
Fabricated sample designations
| S No | Sample ID | Sample mixtures | PE-g-MAH (Wt.) | TPW (Wt.) | RPM in twin screw extruder | Temperature (°C) |
|---|---|---|---|---|---|---|
| 1. | S1 | HDPE + TPW 0% | 6 | 0 | 400 | 180–220 |
| 2. | S2 | HDPE + TPW 5% | 6 | 5 | 410 | 180–220 |
| 3. | S3 | HDPE + TPW 10% | 6 | 10 | 410 | 180–220 |
| 4. | S4 | HDPE + TPW 15% | 6 | 15 | 420 | 180–220 |
| 5. | S5 | HDPE + TPW 20% | 6 | 20 | 430 | 180–220 |
| 6. | S6 | HDPE + TPW 25% | 6 | 25 | 435 | 180–220 |
| 7. | S7 | HDPE + TPW 30% | 6 | 30 | 440 | 180–220 |
| 8. | S8 | HDPE + TPW 35% | 6 | 35 | 450 | 180–220 |

Fabricated helmet shell from HDPE/TPW composite in Concord Helmet & Safety Products Pvt. Ltd.
2.3 Testing and characterization
2.3.1 Density measurement
The density of the materials was determined according to American Society for Testing and Materials (ASTM) D 792 using an analytical balance equipped with stationary support for the immersion vessel (23). The densities of the samples were measured using Eq. 1:
where A represents the weight in air, and B represents the weight in liquid.
2.3.2 Mechanical properties
Tensile tests were conducted using a universal testing machine (Make: Instron, model number: 3382) according to the ASTM D 638 standard (24). Standard specimens with the dimension of 13.5 × 163 × 4 mm were cut away from the fabricated composite to determine the tensile behavior. Flexural testing was also performed on the same machine according to the ASTM D790 standard (12.7 × 127 mm) (25). Angular Izod impact tests were conducted to assess the impact strength of the specimens in accordance with ASTM D256 (26,27). To analyze the Izod impact strength, specimens with the dimension of 12.7 × 63 mm along with a 2 mm “V” notch and 45°angle were taken as per standard. Notching the samples introduces a controlled stress concentration point, which simulates a point of weakness or flaw in the material. This helps the test method to be sensitive to the material’s ability to absorb energy and resist fracture in the presence of such stress concentrations. The notch affects the stress distribution within the sample during impact. It creates a localized stress concentration at the notch tip, which influences how the material responds to the impact load. This allows the test to evaluate how the material behaves when subjected to sudden impact or shock. Hardness was evaluated using a Shore-D Hardness tester. For each sample, the value of Shore-D was recorded as the average of three indentations (28,29).
2.3.3 Melt flow index (MFI)
Using the MFI test, a material’s melt flow behavior is examined. MFI is the weight in grams of the extruded polymer pressed through a die in 600 s, which is used to identify polymer processability [B. Y. Lim]. HDPE has thermoplastic characteristics, which means it can soften, melt, and flow when heated. Mixing it with thermoset waste allows the resulting blend to have some thermoplastic properties. This can enhance the flowability of the mixture when subjected to heat, as observed in the lower MFI values in comparison with neat HDPE. It is observed that the HDPE’s ability to melt and flow lowers the mixture’s viscosity (2). Despite not melting, the thermoset waste can help the mixture flow more easily by allowing the thermoplastic chains around it to move around slightly.
2.3.4 Viscoelastic properties
The temperature-dependent viscoelastic properties of the polymer composites were examined using DMA (30). When a filler is added to the matrix, the matrix and filler interfacial regions may be anisotropic in nature. The viscoelastic properties of the composites may be affected by their interphase properties. This is because changes made in the interphase regions result in increased matrix–filler bonding.
DMA was conducted over a temperature range of 30–150°C at a constant frequency of 1 Hz to determine the storage and loss modulus and loss tangent. Furthermore, the glass transition temperature T g was estimated from the loss tangent. Generally, the storage modulus describes the viscoelastic component of material under thermomechanical loading and is used to determine the load-bearing ability of the material. The dispersal of energy by a composite resulting from deformation is known as the loss modulus. Damping (loss tangent) is the proportion of the storage and loss moduli.
2.3.5 Morphological properties
The morphology of the matrix/filler interface of the developed composite laminates was examined using scanning electron microscope (SEM) (ZEISS EVO) (31,32). As these are polymer-based specimens, to improve the conductivity of these specimens of polymer composites, gold coating of samples was performed before the micrographs were captured.
3 Results and discussions
3.1 Density
One of the most important characteristics of polymer composites is their density. Table 2 lists the densities of the fabricated samples with the addition of TPW. The void content increases progressively when filler TPW is added, which might be due to gas bubbles at the filler interfacial region during blending owing to agglomeration. As shown in table, the density of the HDPE sample with 0% TPW was 0.94 g·cm−3, and when the percentage of filler increased, the density of the composites with different percentages of TPW also increased. The HDPE composite with 35% TPW exhibited the highest density (1.55 g·cm−3). Therefore, TPW played a significant role in the density of the composite.
Density and void content of fabricated samples
| S No | Sample ID | Density (g·cm−3) |
|---|---|---|
| 1. | S1 | 0.94 |
| 2. | S2 | 0.97 |
| 3. | S3 | 0.99 |
| 4. | S4 | 1.12 |
| 5. | S5 | 1.30 |
| 6. | S6 | 1.42 |
| 7. | S7 | 1.50 |
| 8. | S8 | 1.55 |
3.2 Hardness
Conducting a hardness test in accordance with the ASTM D 6220 standard allows for the determination of the hardness, which is an important surface property of the composites. The mechanical properties of the composites can be improved by determining their surface toughness. From Figure 4, it can be observed that HDPE + 0% TPW exhibits a hardness value of 58.3S d,, and when the percentage of TPW increased from 5% to 30%, the hardness value increased gradually. The HDPE with the 30% TPW composite exhibited a hardness value of 68.3S d. Further addition of TPW decreased the hardness of the composites. The composite with 35% TPW exhibited a hardness value of 66.3S d. The hardness of the composites increased owing to the gradual addition of TPW because it possessed a higher modulus of elasticity and strength than the filler material. The decrease in hardness may be due to poor bonding between the reinforcement and the matrix. HDPE to glass fibre based prepared composite material enhances hardness and impact strength under certain conditions. The presence of TPW (epoxy and glass fibers) can enhance the overall structural integrity of the composite by providing resistance to deformation and improving load-bearing capacity. This reinforcement effect can lead to an increase in hardness because the composite becomes more resistant to indentation and deformation.

Hardness of the fabricated HDPE/TPW samples.
TPW (epoxy and glass fibers), when properly dispersed and aligned within the HDPE matrix, can act as energy-dissipating elements during impact. The fibers absorb and distribute impact energy, preventing the propagation of cracks and reducing the risk of brittle fracture. As a result, the composite can exhibit higher impact strength compared to the unreinforced HDPE. The combination of ductile HDPE matrix and the energy-absorbing nature of the glass fibers can contribute to improved impact resistance.
The interaction between HDPE and TPW (epoxy and glass fibers) can lead to synergistic effects, where the combination of HDPE’s ductility and TPW (epoxy and glass fibers) reinforcement can lead to a material with enhanced toughness, hardness, and impact resistance. Proper fiber dispersion, alignment, and adhesion to the matrix are crucial for achieving the desired improvements in hardness and impact strength, as shown in Figures 5 and 8.

Tensile strength of the fabricated HDPE/TPW samples.

Flexural strength of the fabricated HDPE/TPW samples.
3.3 Tensile properties
The maximum stress that a composite material can withstand when a load is applied in the longitudinal direction is known as tensile strength. Tests were performed with various filler loading percentages of TPW, and the results are shown in Figure 5. Tensile testing was performed on the HDPE/TPW composite to assess the tensile properties and impact of TPW addition. Error bars represent the calculated standard deviations for each composite type. From the results, it was observed that 30 wt% TPW addition to HDPE yielded the maximum tensile strength of 28.3 MPa. The tensile strength of the S7 is 36.19% higher compared to the neat HDPE sample. Up to 30 wt%, the composites appeared to be cured entirely, with no evidence of porosity.
The uniform distribution of the TPW filler enhanced the tensile strength. Stirring increased the matrix–filler adhesion, and the load-carrying capacity of the samples improved significantly. Furthermore, filler addition reduced the void fraction considerably, resulting in improved stiffness of the developed composites. Hence, filler addition enhances the interfacial bonding between HDPE and TPW. When a tensile load is applied to the sample, stress is transferred from HDPE to TPW, increasing its strength. Even though the addition of the TPW filler was higher than 30 wt% reduced the tensile strength, excess filler addition causes particle-to-particle interactions that lead to agglomeration. Furthermore, the filler content exceeding 30 wt% increases the microvoids; the agglomeration of TPW filler causes improper dispersion, resulting in poor tensile properties at a higher amount of TPW addition.
3.4 Flexural properties
Flexural strength is a measure of the ability of a composite material to withstand the highest stress when a load is applied transversely. The flexural strength of the composite samples (S1–S8) with the addition of TPW is shown in Figure 6. The three-point flexural test was carried out on the HDPE/TPW composite to assess the flexural properties. The results exhibited that the addition of 30 wt% of TPW to the HDPE shows the maximum flexural strength of 37.4 MPa, which is 56.93% higher than the neat HDPE sample. The results inferred that the improved flexural properties due to uniform dispersion of TPW filler in the HDPE matrix create excellent matrix–filler adhesion, and this may increase the load-transferring property, resulting in delayed crack propagation.

Impact strength of the fabricated HDPE/TPW samples.
3.5 Impact properties
Impact strength is the capacity of a material to withstand high-stress levels. The total toughness of composite materials is closely correlated with their impact quality. The interlaminar and interfacial strength characteristics influence the fracture toughness of the composites. Figure 7 shows the impact strength results of HDPE composite with TPW addition. The results inferred that 30 wt% TPW addition to the HDPE matrix yielded the maximum impact strength of 628.97 J·m−1, which is 61.69% higher than neat HDPE samples. Furthermore, excellent matrix–filler adhesion contributed to the stiffness of the HDPE/TPW composites. This variation in impact strength could be related to the size effect on energy dissipation. Typically, a rougher microstructure results in composites with a higher impact strength.

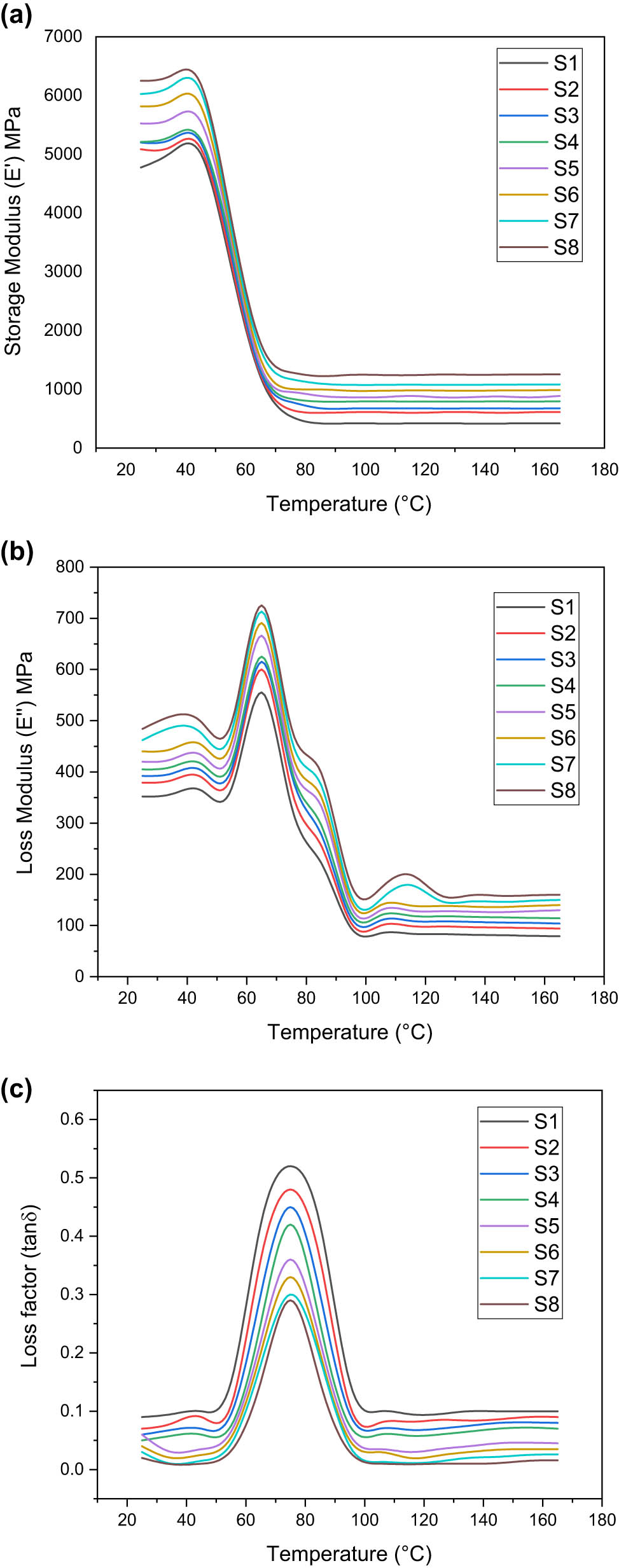
(a) Storage modulus (E′) vs temperature of HDPE/TPW composites in the frequency range of 1 Hz, (b) loss modulus (E″) vs temperature of HDPE/TPW composites in the frequency range of 1 Hz, and (c) loss factor vs temperature of HDPE/TPW composites in the frequency range of 1 Hz.
3.6 MFI
Table 3 presents the MFI data for a range of sample combinations containing HDPE and TPW at varying proportions. MFI measurements have been conducted at two distinct temperatures, namely, 190°C and 200°C. From the table, it is found that the blend exhibits lower MFI values compared to neat HDPE and indicates reduced flowability or higher viscosity.
MFI of fabricated samples
| S No | Sample ID | Sample mixtures | TPW (Wt.) | MFI (g·10 min−1) | |
|---|---|---|---|---|---|
| 190°C | 200°C | ||||
| 1. | S1 | HDPE + TPW 0% | 0 | 9.1 | 12.4 |
| 2. | S2 | HDPE + TPW 5% | 5 | 8.6 | 11.7 |
| 3. | S3 | HDPE + TPW 10% | 10 | 8.2 | 11.2 |
| 4. | S4 | HDPE + TPW 15% | 15 | 7.8 | 10.7 |
| 5. | S5 | HDPE + TPW 20% | 20 | 7.4 | 10.3 |
| 6. | S6 | HDPE + TPW 25% | 25 | 7.0 | 9.9 |
| 7. | S7 | HDPE + TPW 30% | 30 | 6.7 | 9.5 |
| 8. | S8 | HDPE + TPW 35% | 35 | 6.2 | 9.1 |
A consistent trend of declining MFI values at both 190°C and 200°C is noted when the percentage of TPW increases from S1 to S8. This indicates that when more TPW is added to HDPE, the mixtures lose flowability or increase in viscosity at these temperatures. From the lower MFI values, it can be observed that the blend flows less easily than neat HDPE when subjected to the same conditions. This observation supports the concept that the presence of thermoset waste influences the flow characteristics of the blend, resulting in reduced fluidity when compared to pure HDPE.
3.7 DMA
Storage modulus is based on temperature and frequency. The storage modulus, loss modulus, and loss tangent were determined by DMA. It is well known that a lower loss tangent is preferable for a composite to function effectively. This work also determined the glass transition temperature (T g), which indicates that the polymer transitions from a glassy state to a rubbery state. In this study, T g based on the loss modulus curves (drawn at various frequencies) and loss tangent curves (drawn at various frequencies) was noted by observing the peaks of the curves.
3.7.1 Storage modulus (E′)
Figure 8(a) shows how viscoelastic properties can be understood by examining the storage modulus. As the temperature increased from low to high, the storage modulus decreased exponentially until it reached 66°C. On the other hand, the storage modulus shows an increasing trend when the TPW percentage is increased from 0% to 35%. It can be deduced that an increase in the TPW loading causes a corresponding increase in the stiffness of the composites and that HDPE and TPW bonding also played a significant role in bringing about this trend.
3.7.2 Loss modulus (E″)
Figure 8(b) shows that the effect of temperature on the loss moduli (E″) of five distinct composites with varying TPW wt% of all eight composites decreased when the temperature was raised. Additionally, it should be noted that all composite materials with higher CSA loadings had higher loss moduli at a frequency of 1 Hz. TPW 35 wt% showed a maximum amount of energy loss that is transmitted as heat as a result of friction.
3.7.3 Loss factor (tan δ)
The mechanical loss factor, denoted by tan δ, showed a pattern of increase in magnitude as the temperature increased, as shown in Figure 8(c). At 76°C, the tan δ value decreases as the temperature increases; the moment at which this change occurs is referred to as the dampening peak. In addition, this loss factor decreases when a larger volume of TPW 35% reinforcement is used, as opposed to a smaller quantity of TPW 0% reinforcement. This dampening peak of the resin portion is caused by a reduction in the crystallinity of the material.
3.8 Morphological studies
SEM analyses were performed on the tensile-fractured HDPE/TPW composite to evaluate the failure mode and assess the matrix–filler bonding. Failures such as crushed resin, matrix–filler fracture, tear, microcracks, and voids were revealed by SEM analysis. Micrograph images of the developed HDPE/TPW composite samples with and without TPW filler are shown in Figure 9(a–c). The micrographs show that the strength of the developed composite depends mainly on the matrix–filler adhesion. From Figure 9(a), it is clear that the interfacial bonding of HDPE composite with 5 wt% TPW addition results in the matrix-rich area, leads to brittle matrix fracture, and results in poor mechanical properties. Meanwhile, further addition of TPW at 30 wt% shows excellent interfacial bonding between HDPE and TPW, as shown in Figure 9(b). Excellent interfacial bonding shows maximum load-bearing strength, resulting in superior mechanical performance. From Figure 9(c), the agglomeration of the TPW addition in the HDPE matrix at a higher weight percentage (35 wt%) shows the glass fiber pull-out from the matrix. The large volume of TPW addition limits its interaction with the matrix. Furthermore, S8 shows that microvoids due to agglomerations led to poor matrix–filler adhesion, which was also a key factor for reduced mechanical properties.

(a) Morphological studies of 5 wt% HDPE/TPW composites, (b) morphological studies of 35 wt% HDPE/TPW composites, and (c) morphological studies of 30 wt% HDPE/TPW composites.
4 Conclusions
The novel composite developed in this study may replace the existing expensive manufacturing techniques for HDPE structures because of the selection of TPW. This study specifically compares the characteristics of a material using a recycled HDPE matrix with those of a material using a pure HDPE matrix. The addition of the TPW filler significantly influenced the mechanical properties. The use of MAH-grafted polyethylene as a compatibilizer improved adhesion and enhanced the strength of the composite. Furthermore, the reduction in the mechanical properties at a certain TPW percentage is probably due to the reduction in HDPE–filler friction in the interfacial region. The mechanical and temperature-dependent viscoelastic properties of the composites were analyzed in this study. These results suggest that the tensile, flexural, and impact properties and DMA results of the composites with different percentages of TPW in HDPE are suitable for structural applications. In this study, recycled materials, such as thermoset composite waste, were converted into thermoplastic polymer composites. Using this recycling technique in the manufacturing sector, it is possible to attain an eco-friendly lifestyle and lower the overall cost of products through proper usage of recyclables. From these results, it was observed that the composite could be a potential candidate for many structural applications, particularly in helmet manufacturing industries.
Acknowledgements
The authors appreciate the supports from Concord Helmet & Safety Products Pvt., Ltd. Trichy, Tamil Nadu, India, for the fabrication and development of the product. The authors thank Central Institute of Petrochemicals Engineering & Technology (CIPET), Chennai, India, for providing assistance to complete this work. The project was funded by Researchers Supporting Project Number (RSP2024R143), King Saud University, Riyadh, Saudi Arabia.
-
Funding information: The authors have not claimed any funds for this article.
-
Author contributions: Diwahar Periasamy – conceptualization, Prakalathan Karuppiah – supervision, Bharathi Manoharan – drafting, Felix Sahayaraj Arockiasamy – writing, Sathish Kannan-Software, Vinayagam Mohanavel – visualization, Palanivel Velmurugan – data Analysis, Natarajan Arumugam – visualization, Abdulrahman I. Almansour – instrumentation, Subpiramaniyam Sivakumar – software.
-
Conflict of interest: On behalf of all authors, the corresponding author states that there is no conflict of interest.
-
Data availability statement: All the data were included within the article.
References
(1) Rajeshkumar G, Seshadri SA, Ramakrishnan S, Sanjay MR, Siengchin S, Nagaraja KC. A comprehensive review on natural fiber/nano‐clay reinforced hybrid polymeric composites: Materials and technologies. Polym Compos. 2021;42(8):3687.10.1002/pc.26110Search in Google Scholar
(2) Sanjay MR, Siengchin S, Parameswaranpillai J, Jawaid M, Pruncu CI, Khan A. Preparation, processing and characterization. Carbohydr Polym. 2019;207:108.10.1016/j.carbpol.2018.11.083Search in Google Scholar PubMed
(3) Sahayaraj AF, Muthukrishnan M, Ramesh M, Rajeshkumar L. Effect of hybridization on properties of tamarind (Tamarindus indica L.) seed nano‐powder incorporated jute‐hemp fibers reinforced epoxy composites. Polym Compos. 2021;42(12):6611.10.1002/pc.26326Search in Google Scholar
(4) Malakahmad A, Abualqumboz MS, Kutty SRM, Abunama TJ. Assessment of carbon footprint emissions and environmental concerns of solid waste treatment and disposal techniques; case study of Malaysia. Waste Manag. 2017;70:282.10.1016/j.wasman.2017.08.044Search in Google Scholar PubMed
(5) Ho MP, Wang H, Lee JH, Ho CK, Lau KT, Leng J, et al. Critical factors on manufacturing processes of natural fibre composites. Compos Part B: Eng. 2012;43(8):3549.10.1016/j.compositesb.2011.10.001Search in Google Scholar
(6) Couvreur R, Tamrakar S, Savich P, Mielewski D, Kiziltas A. Closed‐loop recycling of thermoset composites from electric motor assembly process into flexible polyurethane foams. Polym Compos. 2022;43(11):8105.10.1002/pc.26966Search in Google Scholar
(7) Chen CH, Chiang CL, Wang JX, Shen MY. A circular economy study on the characterization and thermal properties of thermoplastic composite created using regenerated carbon fiber recycled from waste thermoset CFRP bicycle part as reinforcement. Compos Sci Technol. 2022;230:109761.10.1016/j.compscitech.2022.109761Search in Google Scholar
(8) Kazemi M, Kabir SF, Fini EH. State of the art in recycling waste thermoplastics and thermosets and their applications in construction. Resour Conserv Recycl. 2021;174:105776.10.1016/j.resconrec.2021.105776Search in Google Scholar
(9) Yağci Ö, Eker Gümüş B, Taşdemir M. Thermal, structural and morphological properties of polypropylene and high density polyethylene polymer composites filled with waste urea formaldehyde. Polym Bull. 2022;80:4022.10.1007/s00289-022-04245-8Search in Google Scholar
(10) Jagadeesh P, Mavinkere Rangappa S, Siengchin S, Puttegowda M, Thiagamani SMK, Hemath Kumar GR, et al. Sustainable recycling technologies for thermoplastic polymers and their composites: A review of the state of the art. Polym Compos. 2022;43(9):5831.10.1002/pc.27000Search in Google Scholar
(11) Dasari S, Patnaik S, Ray BC, Prusty RK. Effects of in‐situ cryogenic testing temperature and ex‐situ cryogenic aging on the mechanical performance of glass fiber reinforced polymer composites with waste short carbon fibers as secondary reinforcements. Polym Compos. 2022;44(1):304.10.1002/pc.27045Search in Google Scholar
(12) Kang P, Jin Z, Yang S, Wang Q. The novel upgrade recycling of waste epoxy for thermal management and electromagnetic shielding application. Compos Part A: Appl Sci Manuf. 2022;152:106710.10.1016/j.compositesa.2021.106710Search in Google Scholar
(13) Liu T, Zhang M, Guo X, Liu C, Liu T, Xin J, et al. Mild chemical recycling of aerospace fiber/epoxy composite wastes and utilization of the decomposed resin. Polym Degrad Stab. 2017;139:20.10.1016/j.polymdegradstab.2017.03.017Search in Google Scholar
(14) Liu X, Tian F, Zhao X, Du R, Xu S, Wang YZ. Recycling waste epoxy resin as hydrophobic coating of melamine foam for high-efficiency oil absorption. Appl Surf Sci. 2020;529:147151.10.1016/j.apsusc.2020.147151Search in Google Scholar
(15) Yousef S, Tatariants M, Bendikiene R, Denafas G. Mechanical and thermal characterizations of non-metallic components recycled from waste printed circuit boards. J Clean Prod. 2017;167:271.10.1016/j.jclepro.2017.08.195Search in Google Scholar
(16) Thamizh Selvan R, Vishakh Raja PC, Mangal P, Mohan N, Bhowmik S. Recycling technology of epoxy glass fiber and epoxy carbon fiber composites used in aerospace vehicles. J Compos Mater. 2021;55(23):3281.10.1177/00219983211011532Search in Google Scholar
(17) Lucignano C, Squeo EA, Guglielmotti A, Quadrini F. Recycling of waste epoxy-polyester powders for foam production. In Dynamic methods and process advancements in mechanical, manufacturing, and materials engineering. IGI Global; 2013. p. 91–101.10.4018/978-1-4666-1867-1.ch005Search in Google Scholar
(18) Saccani A, Fiorini M, Manzi S. Recycling of wastes deriving from the production of epoxy-carbo. Appl Sci. 2022;12(9):4287.10.3390/app12094287Search in Google Scholar
(19) Dangtungee R, Somchua S, Siengchin S. Recycling glass fiber/epoxy resin of waste printed circuit boards: morphology and mechanical properties. Mech Compos Mater. 2012;48(3):325.10.1007/s11029-012-9279-1Search in Google Scholar
(20) Khan A, Iftikhar K, Mohsin M, Ahmad J, Sahar N, Rovere M, Tagliaferro A. Low temperature synthesis of carbon fibres from post-consumer textile waste and their application to composites: An ecofriendly approach. Diam Relat Mater. 2022;130:109504.10.1016/j.diamond.2022.109504Search in Google Scholar
(21) Song Z, Baker WE. In situ compatibilization of polystyrene/polyethylene blends using amino‐methacrylate‐grafted polyethylene. J Appl Polym Sci. 1992;44(12):2167.10.1002/app.1992.070441213Search in Google Scholar
(22) Guha M, Ali SZ, Bhattacharya S. Twin-screw extrusion of rice flour without a die: Effect of barrel temperature and screw speed on extrusion and extrudate characteristics. J Food Eng. 1997;32(3):267.10.1016/S0260-8774(97)00028-9Search in Google Scholar
(23) Felix Sahayaraj A, Muthukrishnan M, Ramesh M. Influence of Tamarindus indica seed nano‐powder on properties of Luffa cylindrica (L.) fruit waste fiber reinforced polymer composites. Polym Compos. 2022;43(9):6442.Search in Google Scholar
(24) Hariprasad P, Kannan M, Ramesh C, Felix Sahayaraj A, Jenish I, Hussain F, et al. Mechanical and morphological studies of Sansevieria trifasciata fiber-reinforced polyester composites with the addition of SiO 2 and B 4 C. Adv Mater Sci Eng. 2022;2022:1634670. 10.1155/2022/1634670.Search in Google Scholar
(25) Manickam T, Iyyadurai J, Jaganathan M, Babuchellam A, Mayakrishnan M, Arockiasamy FS. Effect of stacking sequence on mechanical, water absorption, and biodegradable properties of novel hybrid composites for structural applications. Int Polym Process. 2022;38(1):96.10.1515/ipp-2022-4274Search in Google Scholar
(26) Kumar RP, Muthukrishnan M, Sahayaraj AF. Experimental investigation on jute/snake grass/kenaf fiber reinforced novel hybrid composites with annona reticulata seed filler addition. Mater Res Express. 2022;9(9):095304.10.1088/2053-1591/ac92caSearch in Google Scholar
(27) Bharathi M, Senthil Kumaran S, Edwin Samson P. Influence of nano silica particles on quasistatic mechanical and low velocity impact properties of carbon-glass-sunn hemp/epoxy in intra-inter ply hybrid composites. Int Res J Adv Sci Hub. 2022;4(5):120.10.47392/irjash.2022.032Search in Google Scholar
(28) Felix Sahayaraj A, Muthukrishnan M, Ramesh M. Influence of Tamarindus indica seed nano‐powder on properties of Luffa cylindrica (L.) fruit waste fiber reinforced polymer composites. Polymer Composites. 2022;43(9):6452.10.1002/pc.26957Search in Google Scholar
(29) Jenish I, Sahayaraj AF, Appadurai M, Irudaya Raj EF, Suresh P. Sea sand abrasive wear of red mud micro particle reinforced Cissus quadrangularis stem fiber/epoxy composite. J Nat Fibers. 2022;19(16):13231.10.1080/15440478.2022.2087131Search in Google Scholar
(30) Ulus H. An experimental assessment of hybrid bolted/bonded basalt fiber reinforced polymer composite joints’ temperature-dependent mechanical performances by static and dynamic mechanical analyses. Int J Adhes. 2022;114:103120.10.1016/j.ijadhadh.2022.103120Search in Google Scholar
(31) Qin S, Cao S, Yilmaz E. Employing U-shaped 3D printed polymer to improve flexural properties of cementitious tailings backfills. Constr Build Mater. 2022;320:126296.10.1016/j.conbuildmat.2021.126296Search in Google Scholar
(32) Bharathi M, Kumaran SS, Samson PE. Effect of bio nanofiller in influencing the carbon and E-glass fabric reinforced composites. Mater Res Express. 2021;8(4):045306.10.1088/2053-1591/abf530Search in Google Scholar
© 2024 the author(s), published by De Gruyter
This work is licensed under the Creative Commons Attribution 4.0 International License.
Articles in the same Issue
- Research Articles
- Flame-retardant thermoelectric responsive coating based on poly(3,4-ethylenedioxythiphene) modified metal–organic frameworks
- Highly stretchable, durable, and reversibly thermochromic wrapped yarns induced by Joule heating: With an emphasis on parametric study of elastane drafts
- Molecular dynamics simulation and experimental study on the mechanical properties of PET nanocomposites filled with CaCO3, SiO2, and POE-g-GMA
- Multifunctional hydrogel based on silk fibroin/thermosensitive polymers supporting implant biomaterials in osteomyelitis
- Marine antifouling coating based on fluorescent-modified poly(ethylene-co-tetrafluoroethylene) resin
- Preparation and application of profiled luminescent polyester fiber with reversible photochromism materials
- Determination of pesticide residue in soil samples by molecularly imprinted solid-phase extraction method
- The die swell eliminating mechanism of hot air assisted 3D printing of GF/PP and its influence on the product performance
- Rheological behavior of particle-filled polymer suspensions and its influence on surface structure of the coated electrodes
- The effects of property variation on the dripping behaviour of polymers during UL94 test simulated by particle finite element method
- Experimental evaluation on compression-after-impact behavior of perforated sandwich panel comprised of foam core and glass fiber reinforced epoxy hybrid facesheets
- Synthesis, characterization and evaluation of a pH-responsive molecular imprinted polymer for Matrine as an intelligent drug delivery system
- Twist-related parametric optimization of Joule heating-triggered highly stretchable thermochromic wrapped yarns using technique for order preference by similarity to ideal solution
- Comparative analysis of flow factors and crystallinity in conventional extrusion and gas-assisted extrusion
- Simulation approach to study kinetic heterogeneity of gadolinium catalytic system in the 1,4-cis-polyisoprene production
- Properties of kenaf fiber-reinforced polyamide 6 composites
- Cellulose acetate filter rods tuned by surface engineering modification for typical smoke components adsorption
- A blue fluorescent waterborne polyurethane-based Zn(ii) complex with antibacterial activity
- Experimental investigation on damage mechanism of GFRP laminates embedded with/without steel wire mesh under low-velocity-impact and post-impact tensile loading
- Preparation and application research of composites with low vacuum outgassing and excellent electromagnetic sealing performance
- Assessing the recycling potential of thermosetting polymer waste in high-density polyethylene composites for safety helmet applications
- Mesoscale mechanics investigation of multi-component solid propellant systems
- Preparation of HTV silicone rubber with hydrophobic–uvioresistant composite coating and the aging research
- Experimental investigation on tensile behavior of CFRP bolted joints subjected to hydrothermal aging
- Structure and transition behavior of crosslinked poly(2-(2-methoxyethoxy) ethylmethacrylate-co-(ethyleneglycol) methacrylate) gel film on cellulosic-based flat substrate
- Mechanical properties and thermal stability of high-temperature (cooking temperature)-resistant PP/HDPE/POE composites
- Preparation of itaconic acid-modified epoxy resins and comparative study on the properties of it and epoxy acrylates
- Synthesis and properties of novel degradable polyglycolide-based polyurethanes
- Fatigue life prediction method of carbon fiber-reinforced composites
- Thermal, morphological, and structural characterization of starch-based bio-polymers for melt spinnability
- Robust biaxially stretchable polylactic acid films based on the highly oriented chain network and “nano-walls” containing zinc phenylphosphonate and calcium sulfate whisker: Superior mechanical, barrier, and optical properties
- ARGET ATRP of styrene with low catalyst usage in bio-based solvent γ-valerolactone
- New PMMA-InP/ZnS nanohybrid coatings for improving the performance of c-Si photovoltaic cells
- Impacts of the calcinated clay on structure and gamma-ray shielding capacity of epoxy-based composites
- Preparation of cardanol-based curing agent for underwater drainage pipeline repairs
- Preparation of lightweight PBS foams with high ductility and impact toughness by foam injection molding
- Gamma-ray shielding investigation of nano- and microstructures of SnO on polyester resin composites: Experimental and theoretical study
- Experimental study on impact and flexural behaviors of CFRP/aluminum-honeycomb sandwich panel
- Normal-hexane treatment on PET-based waste fiber depolymerization process
- Effect of tannic acid chelating treatment on thermo-oxidative aging property of natural rubber
- Design, synthesis, and characterization of novel copolymer gel particles for water-plugging applications
- Influence of 1,1′-Azobis(cyclohexanezonitrile) on the thermo-oxidative aging performance of diolefin elastomers
- Characteristics of cellulose nanofibril films prepared by liquid- and gas-phase esterification processes
- Investigation on the biaxial stretching deformation mechanism of PA6 film based on finite element method
- Simultaneous effects of temperature and backbone length on static and dynamic properties of high-density polyethylene-1-butene copolymer melt: Equilibrium molecular dynamics approach
- Research on microscopic structure–activity relationship of AP particle–matrix interface in HTPB propellant
- Three-layered films enable efficient passive radiation cooling of buildings
- Electrospun nanofibers membranes of La(OH)3/PAN as a versatile adsorbent for fluoride remediation: Performance and mechanisms
- Preparation and characterization of biodegradable polyester fibers enhanced with antibacterial and antiviral organic composites
- Preparation of hydrophobic silicone rubber composite insulators and the research of anti-aging performance
- Surface modification of sepiolite and its application in one-component silicone potting adhesive
- Study on hydrophobicity and aging characteristics of epoxy resin modified with nano-MgO
- Optimization of baffle’s height in an asymmetric twin-screw extruder using the response surface model
- Effect of surface treatment of nickel-coated graphite on conductive rubber
- Experimental investigation on low-velocity impact and compression after impact behaviors of GFRP laminates with steel mesh reinforced
- Development and characterization of acetylated and acetylated surface-modified tapioca starches as a carrier material for linalool
- Investigation of the compaction density of electromagnetic moulding of poly(ether-ketone-ketone) polymer powder
- Experimental investigation on low-velocity-impact and post-impact-tension behaviors of GFRP T-joints after hydrothermal aging
- The repeated low-velocity impact response and damage accumulation of shape memory alloy hybrid composite laminates
- Exploring a new method for high-performance TPSiV preparation through innovative Si–H/Pt curing system in VSR/TPU blends
- Large-scale production of highly responsive, stretchable, and conductive wrapped yarns for wearable strain sensors
- Preparation of natural raw rubber and silica/NR composites with low generation heat through aqueous silane flocculation
- Molecular dynamics simulation of the interaction between polybutylene terephthalate and A3 during thermal-oxidative aging
- Crashworthiness of GFRP/aluminum hybrid square tubes under quasi-static compression and single/repeated impact
- Review Articles
- Recent advancements in multinuclear early transition metal catalysts for olefin polymerization through cooperative effects
- Impact of ionic liquids on the thermal properties of polymer composites
- Recent progress in properties and application of antibacterial food packaging materials based on polyvinyl alcohol
- Additive manufacturing (3D printing) technologies for fiber-reinforced polymer composite materials: A review on fabrication methods and process parameters
- Rapid Communication
- Design, synthesis, characterization, and adsorption capacities of novel superabsorbent polymers derived from poly (potato starch xanthate-graft-acrylamide)
- Special Issue: Biodegradable and bio-based polymers: Green approaches (Guest Editors: Kumaran Subramanian, A. Wilson Santhosh Kumar, and Venkatajothi Ramarao)
- Development of smart core–shell nanoparticles-based sensors for diagnostics of salivary alpha-amylase in biomedical and forensics
- Thermoplastic-polymer matrix composite of banana/betel nut husk fiber reinforcement: Physico-mechanical properties evaluation
- Special Issue: Electrospun Functional Materials
- Electrospun polyacrylonitrile/regenerated cellulose/citral nanofibers as active food packagings
Articles in the same Issue
- Research Articles
- Flame-retardant thermoelectric responsive coating based on poly(3,4-ethylenedioxythiphene) modified metal–organic frameworks
- Highly stretchable, durable, and reversibly thermochromic wrapped yarns induced by Joule heating: With an emphasis on parametric study of elastane drafts
- Molecular dynamics simulation and experimental study on the mechanical properties of PET nanocomposites filled with CaCO3, SiO2, and POE-g-GMA
- Multifunctional hydrogel based on silk fibroin/thermosensitive polymers supporting implant biomaterials in osteomyelitis
- Marine antifouling coating based on fluorescent-modified poly(ethylene-co-tetrafluoroethylene) resin
- Preparation and application of profiled luminescent polyester fiber with reversible photochromism materials
- Determination of pesticide residue in soil samples by molecularly imprinted solid-phase extraction method
- The die swell eliminating mechanism of hot air assisted 3D printing of GF/PP and its influence on the product performance
- Rheological behavior of particle-filled polymer suspensions and its influence on surface structure of the coated electrodes
- The effects of property variation on the dripping behaviour of polymers during UL94 test simulated by particle finite element method
- Experimental evaluation on compression-after-impact behavior of perforated sandwich panel comprised of foam core and glass fiber reinforced epoxy hybrid facesheets
- Synthesis, characterization and evaluation of a pH-responsive molecular imprinted polymer for Matrine as an intelligent drug delivery system
- Twist-related parametric optimization of Joule heating-triggered highly stretchable thermochromic wrapped yarns using technique for order preference by similarity to ideal solution
- Comparative analysis of flow factors and crystallinity in conventional extrusion and gas-assisted extrusion
- Simulation approach to study kinetic heterogeneity of gadolinium catalytic system in the 1,4-cis-polyisoprene production
- Properties of kenaf fiber-reinforced polyamide 6 composites
- Cellulose acetate filter rods tuned by surface engineering modification for typical smoke components adsorption
- A blue fluorescent waterborne polyurethane-based Zn(ii) complex with antibacterial activity
- Experimental investigation on damage mechanism of GFRP laminates embedded with/without steel wire mesh under low-velocity-impact and post-impact tensile loading
- Preparation and application research of composites with low vacuum outgassing and excellent electromagnetic sealing performance
- Assessing the recycling potential of thermosetting polymer waste in high-density polyethylene composites for safety helmet applications
- Mesoscale mechanics investigation of multi-component solid propellant systems
- Preparation of HTV silicone rubber with hydrophobic–uvioresistant composite coating and the aging research
- Experimental investigation on tensile behavior of CFRP bolted joints subjected to hydrothermal aging
- Structure and transition behavior of crosslinked poly(2-(2-methoxyethoxy) ethylmethacrylate-co-(ethyleneglycol) methacrylate) gel film on cellulosic-based flat substrate
- Mechanical properties and thermal stability of high-temperature (cooking temperature)-resistant PP/HDPE/POE composites
- Preparation of itaconic acid-modified epoxy resins and comparative study on the properties of it and epoxy acrylates
- Synthesis and properties of novel degradable polyglycolide-based polyurethanes
- Fatigue life prediction method of carbon fiber-reinforced composites
- Thermal, morphological, and structural characterization of starch-based bio-polymers for melt spinnability
- Robust biaxially stretchable polylactic acid films based on the highly oriented chain network and “nano-walls” containing zinc phenylphosphonate and calcium sulfate whisker: Superior mechanical, barrier, and optical properties
- ARGET ATRP of styrene with low catalyst usage in bio-based solvent γ-valerolactone
- New PMMA-InP/ZnS nanohybrid coatings for improving the performance of c-Si photovoltaic cells
- Impacts of the calcinated clay on structure and gamma-ray shielding capacity of epoxy-based composites
- Preparation of cardanol-based curing agent for underwater drainage pipeline repairs
- Preparation of lightweight PBS foams with high ductility and impact toughness by foam injection molding
- Gamma-ray shielding investigation of nano- and microstructures of SnO on polyester resin composites: Experimental and theoretical study
- Experimental study on impact and flexural behaviors of CFRP/aluminum-honeycomb sandwich panel
- Normal-hexane treatment on PET-based waste fiber depolymerization process
- Effect of tannic acid chelating treatment on thermo-oxidative aging property of natural rubber
- Design, synthesis, and characterization of novel copolymer gel particles for water-plugging applications
- Influence of 1,1′-Azobis(cyclohexanezonitrile) on the thermo-oxidative aging performance of diolefin elastomers
- Characteristics of cellulose nanofibril films prepared by liquid- and gas-phase esterification processes
- Investigation on the biaxial stretching deformation mechanism of PA6 film based on finite element method
- Simultaneous effects of temperature and backbone length on static and dynamic properties of high-density polyethylene-1-butene copolymer melt: Equilibrium molecular dynamics approach
- Research on microscopic structure–activity relationship of AP particle–matrix interface in HTPB propellant
- Three-layered films enable efficient passive radiation cooling of buildings
- Electrospun nanofibers membranes of La(OH)3/PAN as a versatile adsorbent for fluoride remediation: Performance and mechanisms
- Preparation and characterization of biodegradable polyester fibers enhanced with antibacterial and antiviral organic composites
- Preparation of hydrophobic silicone rubber composite insulators and the research of anti-aging performance
- Surface modification of sepiolite and its application in one-component silicone potting adhesive
- Study on hydrophobicity and aging characteristics of epoxy resin modified with nano-MgO
- Optimization of baffle’s height in an asymmetric twin-screw extruder using the response surface model
- Effect of surface treatment of nickel-coated graphite on conductive rubber
- Experimental investigation on low-velocity impact and compression after impact behaviors of GFRP laminates with steel mesh reinforced
- Development and characterization of acetylated and acetylated surface-modified tapioca starches as a carrier material for linalool
- Investigation of the compaction density of electromagnetic moulding of poly(ether-ketone-ketone) polymer powder
- Experimental investigation on low-velocity-impact and post-impact-tension behaviors of GFRP T-joints after hydrothermal aging
- The repeated low-velocity impact response and damage accumulation of shape memory alloy hybrid composite laminates
- Exploring a new method for high-performance TPSiV preparation through innovative Si–H/Pt curing system in VSR/TPU blends
- Large-scale production of highly responsive, stretchable, and conductive wrapped yarns for wearable strain sensors
- Preparation of natural raw rubber and silica/NR composites with low generation heat through aqueous silane flocculation
- Molecular dynamics simulation of the interaction between polybutylene terephthalate and A3 during thermal-oxidative aging
- Crashworthiness of GFRP/aluminum hybrid square tubes under quasi-static compression and single/repeated impact
- Review Articles
- Recent advancements in multinuclear early transition metal catalysts for olefin polymerization through cooperative effects
- Impact of ionic liquids on the thermal properties of polymer composites
- Recent progress in properties and application of antibacterial food packaging materials based on polyvinyl alcohol
- Additive manufacturing (3D printing) technologies for fiber-reinforced polymer composite materials: A review on fabrication methods and process parameters
- Rapid Communication
- Design, synthesis, characterization, and adsorption capacities of novel superabsorbent polymers derived from poly (potato starch xanthate-graft-acrylamide)
- Special Issue: Biodegradable and bio-based polymers: Green approaches (Guest Editors: Kumaran Subramanian, A. Wilson Santhosh Kumar, and Venkatajothi Ramarao)
- Development of smart core–shell nanoparticles-based sensors for diagnostics of salivary alpha-amylase in biomedical and forensics
- Thermoplastic-polymer matrix composite of banana/betel nut husk fiber reinforcement: Physico-mechanical properties evaluation
- Special Issue: Electrospun Functional Materials
- Electrospun polyacrylonitrile/regenerated cellulose/citral nanofibers as active food packagings