Synthesis and characterization of antioxidant-enriched Moringa oil-based edible oleogel
-
Nazia Yaqoob
, Muhammad Mohsin
, Yousef A. Bin Jardan
Abstract
This study aims to formulate and optimize Moringa oleifera (Moringa) oil oleogels using pectin (PC) and chitosan (CS) as gelling agents. These include monogelator oleogels, utilizing either PC or CS as a single gelling agent, and binary gelator oleogels, incorporating a combination of both PC and CS. Among the binary gelator oleogel compositions, the most stable oleogel OPCCS2 was further studied with the addition of antioxidants. The important antioxidant compounds of gallic acid equivalents (GAEs)/Moringa antioxidant extracts (MAEs) were quantified by the use of various assays. The oil-binding capacity (OBC) of the most stable oleogel MCPC1.5% was 99.94 ± 0.05. The lower peroxide value of antioxidant-rich oleogels at 1.5% concentration of GAEs (4.34 ± 0.025) and MAEs (4.32 ± 0.03) suggested its richness of phenols to retard the lipid peroxidation of oil. The opaque appearances of the formulations were studied via polarizing light microscopy. The molecular interaction study through FTIR analysis revealed the hydrogen bond interactions between the carboxyl groups of fatty acids and hydroxyl groups of polysaccharide chains. The differential scanning calorimeter analysis further confirmed the presence of strong interactions between polysaccharide chains and the oil phase. These findings indicate that the optimized oleogel formulations have the potential for imminent advances by exhibiting improved texture, biocompatibility, enhanced OBC, and stability.
Graphical abstract

Nomenclature
- OPC27
-
Moringa oil–pectin oleogel
- OCS30
-
Moringa oil–chitosan oleogel
- OPCCS2
-
Moringa oil–chitosan–pectin oleogel
- MCPC1.5%
-
Moringa oil–chitosan–pectin oleogel with 1.5% Moringa antioxidant extract addition
- GCPC1.5%
-
Moringa oil–chitosan–pectin oleogel with 1.5% grapefruit antioxidant extract addition
- GAE
-
Grapefruit peel antioxidant extract
- MAE
-
Moringa seed antioxidant extract
1 Introduction
Solid fats are indispensable ingredients widely used in bakery products and significantly influence food qualities such as aroma, flavor, texture, and shelf life [1]. However, these solid fats contain saturated and trans fats; their excessive intake has been discouraged due to the development of cardiovascular diseases [2]. The prevention of cardiovascular diseases prostrates in eliminating trans fats from processed food. In this regard, the oleogelation approach presents a promising alternative oil structuring technique to deliver healthy lipid phases in the macroscopic semi-solid network [3].
Oleogelation has been a hot topic in recent research to stabilize healthy solid fats. Conventionally, oleogelation is accomplished by the gelation of liquid oil with different hydrophobic structuring agents such as glycerol, resins, and waxes [1]. It has been established as an efficient physical technique by using food-grade hydrophilic polymers to convert the liquid oil phase into a solid-like gel without influencing the chemical properties of the oil. Polymers such as polysaccharides, cellulose, and its derivatives have been applied to prepare healthy solid fats using healthy and balanced fatty acid profiles of vegetable oils [4,5]. However, there is limited literature on developing emulsion template oleogels using citrus pectin (PC) and chitosan (CS). Based on this, it would be interesting to produce ideal oleogels with CS and PC polymers using emulsion templates. The use of unique antioxidant extracts of grapefruit peels (gallic acid equivalents [GAEs]) and M. oleifera (Moringa antioxidant extracts [MAEs]) seed residues, which otherwise remain unutilized, in formulating antioxidant-enriched oleogels has not been encountered yet.
CS is a biodegradable, eco-friendly, and amphiphilic polymer that readily dissolves in acidic media due to amino group protonation at the C position [6]. PC is a plant-based heteropolysaccharide, bio-economic hydrocolloid, and a commercial organic surfactant commonly used to make stable jams and jellies without affecting the flavor of the base material. It is present in citrus fruit peels such as lemons and oranges [7]. It possesses an excellent emulsifying and gel-forming capacity and acts as a surface-active agent [8]. Previous research studies [8,9,10] demonstrated its gelation ability in the water phase and stabilization of the oil–water interface, thus highlighting its potential use in oleogelation.
Stabilizers are components that are added during the formation of oleogel to guarantee homogeneous mixing of the polymer and oil. In this work, xanthan gum (XG) and tween-80 were employed to stabilize the PC and CS emulsions. Coupling the stabilizing agent with amphiphilic polysaccharide is convenient for stabilizing oil in water emulsion to develop oleogel. XG, a heteropolysaccharide, is produced by fermentation microorganisms Xanthomonas campestris. It exists in branched form with a cellulose backbone and exhibits a negative charge due to the presence of a carboxylic group in its structure. It can link various positively charged molecules [11].
Moringa seed oil, a healthy edible oil, is a rich source of various antioxidants such as tocopherols, β-sitosterols, catechin, moringine, quercetin, zeatin, and ferulic acid. Its fatty acid profile is identical to olive oil [12]. The healthy monounsaturated fatty acids to saturated fatty acid MUFA/SFA fatty acid profile, along with a lower amount of polyunsaturated fatty acids (PUFA) of this characteristic oil, is associated with lowering the risk of cardiovascular diseases and sterol fractions, and are known to involve in the cholesterol metabolism [13,14]. The oil derived from the seeds of M. oleifera can serve as a good liquid phase for emulsion template oleogel formulation. However, the presence of unsaturated fatty acids in large amounts in oils causes rapid oxidation [15].
Synthetic antioxidants have been encouraged to impart long-term stability to foods. Commercially available artificial antioxidants include butylated hydroxyanisole, butylated hydroxytoluene, and tertiary butylhydroquinone [16]. However, health concerns have been raised over time due to the high uptake of synthetic antioxidants [17]. In recent years, interest has been focused on natural antioxidants to provide stability and increase consumer propensity. Dietary polyphenols are natural antioxidants present in plants and protect against damage caused by free radicals [18].
The citrus peels contain larger amounts of flavonoids than those of the other components of the fruit. Citrus flavonoids are reported to possess valuable biological activities such as antiviral, anti-inflammatory, and anticancer activities, helping reduce the fragility of blood capillaries [11]. Epidemiological studies prove that the fiber derived from grapefruit peels lowers the risk of gastrointestinal disorders and promotes physiological functions by reducing total serum cholesterol [19]. The phytoconstituents present in seeds of M. oleifera exhibit anti-ulcer, anti-inflammatory, and antimicrobial properties [20]. These have good antioxidant properties due to flavonoids like catechin, quercetin, and phenolic acids such as cinnamic and ferulic acids [21]. However, the high amount of active phenolic hydroxyl present in polyphenols of plants with high antioxidant activities can reduce their solubility in oil. For a practical purpose, these polyphenols are employed in biopolymers where these polyphenols interact with polysaccharides to develop colloidal complexes [22]. It contributes a feasible approach to include polyphenolic extracts into emulsion template oleogels.
In this research, the emulsion-based oleogels were prepared and divided into three portions: mono-gelator oleogels and binary-gelator oleogels without the addition of antioxidants, binary-gelator oleogels containing antioxidant extracts. According to the emulsion template method, Moringa oil was chosen as the oil phase, CS and PC as oil structuring agents, and XG and tween-80 as emulsion stabilizers to prepare the edible Moringa oil-based oleogels. Then, the antioxidant extracts of grapefruit peels (GAEs) and M. oleifera seeds (MAEs) were applied further to increase the stability of oil in the oleogels. The water phase of resultant emulsions was removed through a drying oven and freeze dryer to observe the most effective drying method. The dried products were further sheared to obtain the final Moringa oil oleogels. The optimization of oleogels was done at minimal concentrations of gelling agents to increase the oil-binding capacity (OBC) and obtain the desired gel strength. The final oleogels were evaluated by microstructure, OBC, oxidative stability, molecular interactions, and thermal behavior.
2 Materials and methods
2.1 Collection of materials
The M. oleifera seeds were purchased from local seed markets of Tehsil Gojra and Faisalabad (Pakistan). The seed's wings and coats were removed from the mature seed pods. Good-quality dried seeds were selected and powdered to uniform particle size using an electric grinder.
The grape fruits were purchased from local fruit shops in District Sheikhupura and Faisalabad. The cleaned peels were then dried in shade for 7 days. Good quality dried peels were selected and powdered to uniform particle size using an electric grinder. M. oleifera taxonomic classification is as follows:
Kingdom | Plantae |
Division | Magnoliophyta |
Class | Magnoliopsida |
Order | Capparales |
Family | Moringaceae |
Genus | Moringa |
Species | oleifera |
2.2 Chemicals
Acetic acid (1%), potassium phosphate buffer (0.2 M, pH 6.6), potassium ferricyanide (1%), trichloro acetic acid (10%), ferric chloride (FeCl₃·6H₂O) (0.1%), Na₂CO₃ (20%), AlCl₃ (10%), gallic acid, NaNO₂, (5%), 1 M NaOH, Folin–Ciocalteu reagent, 2,2-diphenyl-1-picrylhydrazyl (DPPH) reagent, ABTS (2,2′-azino-di-[3-ethyl benzthiazoline sulfate (6)]) reagent, distilled water, n-hexane solvent, acetone, methanol, ethanol, CS powder, PC powder, gum Arabic, sodium sulfate, XG, Tween 80, and M. oleifera seed oil.
2.3 Extraction of oil
Dried seeds were powered to uniform particle size. The sample-to-solvent ratio was kept constant for all the methods. About 50 g of the seed powder was pre-weighed for oil extraction that was carried out in Soxhlet apparatus (Model EMEA3) by 250–300 ml n-hexane (96% purity) as a solvent at 60°C. The extraction process was repeated for 4–6 runs to obtain a reasonable quantity of oil for 2–6 h. After extraction, the oil was recovered by evaporating the solvent under a vacuum in a rotary evaporator (Model 503) at 65°C [23]. The seed residues obtained after the defatting process were used to extract the antioxidants. The same protocol was repeated for grapefruit peel defatting.
2.4 Extraction of antioxidants
For antioxidant extraction, 30 g of seed residue (in each batch) was soaked in 60 ml of 80% methanol at room temperature for 24 h. After 30 min successful sonication, the samples were allowed to homogenize on an orbital shaker (120 rpm) for 7–8 h. The extracts were separated from the residues through the Whatman No. 1 filter paper. The residues were rinsed twice with fresh solvent. The filtrates were heated in a water bath at 45°C to evaporate the solvent for 2–4 h. The concentrated extracts were allowed to stand in the air to evaporate any residual solvent for a maximum 24 h. The concentrated extracts were weighed to calculate the yield and then at 4°C until further use [24] (Figure 1). The same protocol was followed to obtain the antioxidant extracts of grapefruit peels (Figure 2).

Extraction of oil from M. oleifera seeds.

Extraction of antioxidants from grapefruit peel/Moringza seed residues.
2.5 Dispersion and emulsion preparation
The emulsions were prepared according to the method described in the literature with some modifications [25,26]. The oil in water (O/W) emulsions of Moringa seed oil (3 ml) and distilled water (2 ml) were prepared by stirring at room temperature. Aqueous dispersions of PC (0.15 g) and XG (0.1 g) were made in distilled water (Tables 1 and 2). The CS polymer stock solution was prepared by adding the exact amount of CS (0.15 g) powder into 1% acetic acid solution under mixing to disperse the particles uniformly. These dispersions were stirred separately for 1 h at room temperature. These aqueous solutions of PC, CS, and XG were added separately into final O/W emulsions at 800 rpm for 3 h using a mechanical stirrer. For antioxidant oleogels, the extracts of GAEs/MAEs (0.5, 1, and 1.5%) were substantially dispersed in the O/W emulsions (Table 3). The final emulsions were refrigerated at 4°C for 24 h to ensure complete hydration.
Formulation trials screened to find stable oleogel emulsions with PC as the oleogelator
Sample code | MO (ml) | DW (ml) | CS (g) | PC (g) | AG (g) | XG (g) | Tween 80 (μl) | Stability status |
---|---|---|---|---|---|---|---|---|
OPCAG1 | 5 | 3.5 | — | 0.05 | 0.05 | — | — | Broken |
OPCAG2 | 5 | 3.5 | — | 0.05 | 0.1 | — | 100 | Broken |
OPCAG3 | 5 | 3.5 | — | 0.1 | 0.1 | — | 100 | Broken |
OPCXG1 | 5 | 3.5 | — | 0.05 | — | 0.1 | 100 | Stable (4 days) |
OPCXG2 | 5 | 3.5 | — | 0.1 | — | 0.1 | 100 | Stable (one week) |
Composition of the synthesized oleogels without the addition of antioxidant
Sample code | MO (ml) | PC (g) | CS (g) | XG (g) | Tween 80 (μl) | DW (ml) |
---|---|---|---|---|---|---|
OPC27 | 3 | 0.15 | — | 0.1 | 100 | 2 |
OCS30 | 3 | — | 0.45 | 0.1 | 100 | 2 |
OPCCS1 | 3 | 0.23 | 0.075 | 0.1 | 100 | 2 |
OPCCS2 | 3 | 0.075 | 0.23 | 0.1 | 100 | 2 |
OPCCS3 | 3 | 0.15 | 0.15 | 0.1 | 100 | 2 |
Composition of synthesized oleogels with antioxidant extracts
Sample Code | MO (g) | MAEs (%) | GFAEs (%) | PC (g) | CS (g) | XG (g) | DW (ml) |
---|---|---|---|---|---|---|---|
MCPC 0.5% | 3 | 0.5% | — | 0.075 | 0.23 | 0.1 | 2 |
MCPC 1% | 3 | 1% | — | 0.075 | 0.23 | 0.1 | 2 |
MCPC 1.5% | 3 | 1.5% | — | 0.075 | 0.23 | 0.1 | 2 |
GCPC 0.5% | 3 | — | 0.5% | 0.075 | 0.23 | 0.1 | 2 |
GCPC 1% | 3 | — | 1% | 0.075 | 0.23 | 0.1 | 2 |
GCPC 1.5% | 3 | — | 1.5% | 0.075 | 0.23 | 0.1 | 2 |
2.6 Emulsion-template oleogel preparation
The emulsions were dried using a lyophilizer (freeze drier) at 4°C for 24 h and a hot air oven at 50°C for 24–48 h to remove the water phase. The drying process was monitored until reaching a constant weight. The dried samples were ground with a domestic grinder for 5 s to obtain oleogels [4] (Figure 3).

Schematic for the synthesis of emulsion template oleogel.
2.7 Determination of OBC
The OBC of oleogels was measured using the centrifuge method. The weight of an empty (1.5 ml) Eppendorf tube was measured. Approximately 1 g of oleogel sample was refrigerated for 1 h. Then, the weight of the filled Eppendorf tube was measured and was centrifuged at 8,000 rpm for 5 min. The supernatant as released liquid oil was drained completely by turning over the tubes on the filter paper for 30 min. The weight of the Eppendorf tube after the complete removal of oil was measured. The oil loss values were calculated using equation (1) [27]:
2.8 Determination of antioxidant activity
The radical scavenging activity of Moringa seeds and grapefruit peel methanolic extracts against the DPPH radical was determined according to Yaqoob et al. [28]. About 50 μl of the extract for each six samples of Moringa and ten samples of grapefruit was taken separately in 4.5 ml of ethanol. About 0.5 ml of freshly prepared solution of DPPH was added to the reaction mixture, and the absorbance value was measured at 517 nm after 10 and 30 min. Radical scavenging activity was calculated using the following equation:
2.9 Determination of total phenolic content (TPC)
The TPC of grapefruit peel/Moringa seed extracts was determined following the procedure of Yaqoob et al. [28]. The TPC of the extracts was determined using the Folin–Ciocalteu reagent. About 50 mg from each Moringa and grapefruit extract was taken separately, containing 0.5 ml of freshly prepared diluted Folin–Ciocalteu reagent. The reaction mixture was diluted to 7.5 ml with deionized water. These mixtures were kept at room temperature for 10 min. Then, 1.5 ml of 20% sodium carbonate (w/v) was added to the mixture. Afterward, the mixture was heated at 40°C for 20 min and cooled in the ice bath. The absorbance was measured at 755 nm on a UV spectrophotometer. The amount of total phenolics was calculated by using a calibration curve for gallic acid (R 2 = 0.9988). The results are expressed as gallic acid (mg/10 g) of extract.
2.10 Determination of total flavonoid content (TFC)
TFC was determined following the procedure by Sultana et al. [29]. 1 ml of aqueous containing 0.1 g/ml of the grapefruit peel/Moringa seed extract was taken in 5 ml of distilled water, followed by the addition of 0.3 ml of 5% NaNO₂. After 5 min, 0.6 ml of 10% AlCl3 was added to the reaction mixture. After another 5 min, 2 ml of 1 M NaOH was added, and the volume was made up with distilled water. The solution was homogenized, and finally, absorbance was measured at 510 nm. TFC was expressed as catechol equivalents per grapefruit peel/Moringa seed extract.
2.11 Determination of reducing power
The reducing power of the grapefruit peel/Moringa seed extracts was determined by Sultana et al. [29]. About 10 mg of seed extracts was added to 5 ml of sodium phosphate buffer (0.2 M, pH 6.6) and 5 ml of potassium ferricyanide (1%). The mixture was shaken for 20 min at 50°C. Then, 5 ml of 10% trichloroacetic acid was added, and finally, 1.0 ml of ferric chloride (0.1%) was added to the reaction mixture. The absorbance was measured at 700 nm.
2.12 Characterization of oleogels
The microstructure of emulsion template oleogels was visualized with a scanning electron microscope (SEM). Scanning electron microscopy (JSM IT-100 Jeol, Japan) was employed to obtain the micrographs of the samples. The textural properties were studied using a compound light microscope. A small drop of heated sample was placed onto a microscope glass slide and conditioned at 4°C overnight. The samples were analyzed at 25°C using a 20× magnification [30].
2.13 FTIR analysis
The IR spectra of oleogels were obtained using a Spectrum 65 FTIR spectrophotometer equipped with an attenuated total reflection sampling accessory. All the measurements were recorded between the wavelengths of 4,000 and 600 cm−1 [27].
2.14 Thermal analysis
Thermal measurements of 8–9 mg of the oleogel sample were carried out using a differential scanning calorimeter (DSC; DSC 250, TA Instruments, USA). The oleogel samples in sealed aluminum pans were heated from 30 to 150°C at a heating rate of 5°C/min under N2 atmosphere.
2.15 Determination of oxidative stability
The primary lipid oxidation of oleogel samples was determined by peroxide value (PV) measurements. Oxidative stability during the storage period of oleogels at 3–4°C was determined following the AOCS method [31]. The PVs (meq O2 kg−1) of the oleogel samples were measured by the acetic acid–chloroform method and potassium iodide solution.
2.16 Statistical analysis
All measurements were taken in triplicates of the oleogel samples. The results are represented as mean values with standard deviations. The data were analyzed by ANOVA, the significance level (α) was 0.05, and the multiple comparisons of the means were accomplished by Tukey’s test using SPSS statistics.
3 Results and discussion
3.1 DPPH antioxidant activity and ferric reducing power (FRAP) assay
The extracts prepared with 80% aqueous methanol were the most effective scavengers of DPPH. The methanolic extracts of grapefruit peels and M. oleifera seed extracts were analyzed to determine their radical scavenging power. In the current analysis, ten extracts that were taken from the peel powder of grapefruit showed the highest DPPH radical scavenging activity. The GAEskp1, GAEskp2, GAEskp4, GAEskp5, GAEfsd6, GAEfsd7, and GAEfsd8 samples showed maximum antioxidant activity with percentages of 80, 82, 90, 88, 84, 80 and 86%, respectively, as shown in Figure 4a.

DPPH scavenging activities (%) of methanolic grapefruit peel extracts collected from two different regions and methanolic extracts of M. oleifera seed using DPPH.
Similarly, M. oleifera seed extracts were also analyzed for their radical scavenging power. Out of six seed extracts, MAE3, MAE5, and MAE6 exhibited 84.52, 83.25, and 82.16% radical inhibition, respectively. The remaining samples also showed good scavenging activity (Figure 4b). However, the results revealed that all the samples from grapefruit peels and M. oleifera seed extracts have high and significant antioxidant capacities. Thus, plant peels and seeds are a good source of antioxidants. In previous studies, it was reported that grapefruit, lemon, and orange peels significantly showed the highest radical scavenging powers of 76.4, 73.2, and 70.5%, respectively (Table 4).
Antioxidant activities of grapefruit peels (collected from Sheikhupura and Faisalabad) and M. oleifera seed (collected from Gojra and Faisalabad) residue extracts (values are mean ± standard deviation, n = 3)
Antioxidant extracts | DPPH scavenging activity (%) | FRAP | TFC (mg CE/g-dw) | TPC (mg GAE/g-dw) |
---|---|---|---|---|
GAESkp1 | 70.57 ± 1.97abc | 1.06 ± 0.03c | 1.61 ± 0.03i | 14.13 ± 0.02i |
GAESkp2 | 86.55 ± 1.51fg | 1.36 ± 0.02f | 1.33 ± 0.04ef | 13.96 ± 0.03h |
GAESkp3 | 88.30 ± 0.61g | 1.24 ± 0.02def | 1.54 ± 0.01hi | 13.90 ± 0.02gh |
GAESkp4 | 85.43 ± 0.92fg | 1.04 ± 0.03bc | 1.42 ± 0.03fg | 13.79 ± 0.02 |
GAESkp5 | 78.39 ± 1.76de | 1.30 ± 0.04ef | 1.45 ± 0.02gh | 13.73 ± 0.03ef |
GAEFsd1 | 86.75 ± 1.88fg | 0.92 ± 0.03ab | 1.48 ± 0.02gh | 13.68 ± 0.03def |
GAEFsd2 | 68.61 ± 2.00ab | 1.64 ± 0.02gh | 1.41 ± 0.02fg | 13.61 ± 0.03cde |
GAEFsd3 | 82.41 ± 1.45efg | 0.89 ± 0.01a | 1.43 ± 0.03g | 13.55 ± 0.04bcd |
GAEFsd4 | 82.43 ± 1.45efg | 1.02 ± 0.01bc | 1.22 ± 0.02bcd | 13.48 ± 0.02bc |
GAEFsd5 | 66.48 ± 2.02a | 1.13 ± 0.09cd | 1.32 ± 0.01e | 13.44 ± 0.03b |
MAEGoj1 | 77.91 ± 1.82de | 1.65 ± 0.05gh | 1.16 ± 0.05bc | 7.74 ± 0.02a |
MAEGoj2 | 74.45 ± 1.06bcd | 1.56 ± 0.07g | 1.06 ± 0.05a | 7.72 ± 0.01a |
MAEGoj3 | 84.89 ± 3.75fg | 1.99 ± 0.05i | 1.24 ± 0.02cde | 7.67 ± 0.01a |
MAEFsd4 | 75.06 ± 1.70cd | 1.21 ± 0.02de | 1.14 ± 0.04ab | 7.65 ± 0.02a |
MAEFsd5 | 83.25 ± 2.75efg | 1.66 ± 0.05gh | 1.30 ± 0.03de | 7.64 ± 0.01a |
MAEFsd6 | 82.16 ± 2.62ef | 1.73 ± 0.03h | 1.31 ± 0.01de | 7.62 ± 0.02a |
All experiments were performed in triplicate, and the results are reported as mean ± SD. ANOVA was performed along with Tukey’s test to compute the significant difference between different groups. Different lowercase alphabets in a column present significant statistical difference between samples.
3.2 FRAP
The results of the reducing power assay confirmed that three extracts, GAEskp2, GAEskp4, and GAEfsd7, showed maximum reducing powers of 1.388, 1.337, and 1.677, respectively, as shown in Figure 5(a). GAEskp1, GAEskp3, GAEfsd9, and GAEfsd10 have also shown high reducing powers but less than those of GAEskp2, GAEskp4, and GAEfsd7. These results were found to be in close agreement with those of Babbar et al. [32], in which Kinnow peel extracts showed a 1.60 value of reducing power.

Ferric reducing power of grapefruit peel extracts and of M. oleifera seed extracts (data represent the mean ± SD (n = 3).
The FRAP values of MAE3, MAE5, and MAE6 extracts were higher among the total six samples of seed extracts of M. oleifera, as shown in Figure 5(b). The extracts with higher reducing power were further chosen to be used in the synthesis of antioxidant oleogels because these extracts have a good ability to prevent the oxidation process.
3.3 Total flavonoid and phenolic content
The TFCs in Citrus paradisi peel extract range from 1.32 to 1.61 mg/g. Grapefruit peels taken from the Sheikhupura region have shown the highest TFC values. According to previously reported research, the methanolic extract of Citrus grandis exhibited 1.04 mg QE/g TFC [33]. Flavonoids and polyphenols are good hydrogen donors, and their antioxidant ability varies from one compound to another. The rate of flavonoid and phenolic content is affected by numerous factors like the presence of certain chemical groups (organic acids, aromatic amines, ascorbic acid, and sugars) that may also react with the Folin–Ciocalteu reagent. The difference in values of TFC as compared to previously reported values may be described on the basis of the nature of soil and agro-climatic conditions, different chemical compositions, and the efficiency of solvent to extract bioactive compounds. The methanolic extracts of M. oleifera seeds were analyzed for TFC determination. Catechol equivalent (mg CAE/g of aqueous extract) was used as a standard to access the flavonoid content (Figure S1). The amount of flavonoid recorded was 1.61 ± 0.01 mg CAE/g of aqueous extract from the total antioxidant content of Moringa seeds. The values ranged from 1.24 ± 0.02 to 1.61 ± 0.01 mg CAE/g of aqueous extract, as shown in Table 1. The amount of TFC was found to be lower than the study reported by Mohammed and Manan [34]. As is known, flavonoids are polyphenolic compounds whose structures consist of aromatic rings with multiple hydroxyl groups. They are mostly polar in nature; therefore, they show more solubility in polar solvents like ether. The lower amount of TFC in the case of methanolic extracts of Moringa seeds is in close agreement with a previous study [35].
The TPCs in Citrus paradisi peel extracts ranged from 13.44 (±0.03) to 14.03 (±0.02) mg/g. The grapefruit peel taken from the Sheikhupura region shows the highest TPC values compared to other extracts. These values indicated that 1 g of the peel extract contains a phenol amount approximately equivalent to 13.44–14.03 mg of pure gallic acid (Figure S1). A previous study reported that Kinnow peel has 17.5 mg GAE/g-dw of phenols [32]. The TPC of the Moringa extracts recorded was 7.74 ± 0.02 mg GAE/ml of aqueous extract of the total antioxidant content in M. oleifera seeds. The TPC was much higher than TFC, which indicated the richness of phenolic over flavonoids in the methanolic extracts of M. oleifera seed [34]. They reported a TPC of 10.179 ± 2.984 mg of GAE/g of dry matter of total antioxidant content of M. oleifera seed extract. The concentration of total phenolics can be affected or vary by cultivar, region, storage time, and methods of extraction and drying.
3.4 Determination of OBC
The OBCs of prepared oleogels ranged from 79.36 ± 0.1 to 99.94 ± 0.05. The drying process was observed by recording the fraction weight loss of emulsions periodically until it reached a constant value (Figure S3). The time required for the complete drying of emulsions in a hot air oven at 50°C ranged from 28 to 48 and 24 h at 4°C for lyophilization (Figure S4). The OBC of oleogels was not significantly influenced by the drying methods of emulsions (oven and freeze-drying). However, the freeze-drying (lyophilization) method was preferred over oven drying (Figure S5). The addition of MAEs and GAEs at 0.5, 1, and 1.5% also showed a reduction in oil loss from oleogels. This behavior can be considered due to the formation of stable concentrated emulsions because of the developing thick double layer on the oil droplets and enhancement of continuous phase viscosity in the presence of XG as a stabilizer, resulting in closely packed oleogel network and enhancement in oil entrapment [4]. The increase in the concentrations of MAEs/GAEs above 2% made the hydrophilic groups insufficient to interact with XG to form a stable double-layer interface at O/W emulsion. Therefore, 1.5 wt% was the suitable concentration for MAEs and GAEs to prepare stable oleogel. In fact, it is known that oleogelator compounds play an effective role in oil inhibition and make them stable (Figure 6). Hence, stable oleogel retaining the liquid oil was obtained with MAEs/GAEs, CS, and PC as structuring materials, which met the standard requirements of oleogels.

OBC (%) of lyophilized antioxidant oleogels.
3.5 Microstructure observation
The microstructure of oleogel samples under a compound light microscope is shown in Figure S6. The polymeric entanglement in the OPCCS2 oleogel had branched chain-like networks, while in the case of antioxidant (MCPC 1.5%) oleogels, the polymeric chains appeared in bulk; the network became denser, revealing the oil phase as dark sheets. It can relate to the presence of a larger amount of tocopherol and polyphenolic content in MCPC1.5% oleogels. Also, the appearance of compact structures occurs due to the lower extent of coalescence resulting from the immobilization by the polysaccharide chain entanglements.
The morphological observation of binary component oleogels with or without antioxidant extract (MCPC) incorporation was acquired by cryo-SEM. It clearly revealed the compact aggregates, rough surfaces, and irregular morphology of the polymeric network of oleogels (Figure S7). A more inhomogeneous and rougher surface compared to non-emulsified CS and PC was mainly due to the hydrophobic patches of oleic acid. In particular, it was possible to observe a few structural changes due to the collapse of the structure during the dehydration process. Because the drying method prevents the collapsing of the colloidal network during water removal. Furthermore, the interface structured by surface-active and non-surface-active polysaccharides around the oil droplets contributed to preventing the isolation of oil droplets. A large number of oil droplets appear to be dispersed in the continuous phase of polysaccharides through close packing of oil droplets without internal contact.
3.6 FTIR analysis
The information about the chemical bond interactions in the oleogel samples was obtained by FTIR spectroscopy, which covered the wave range of 4,000–500 cm−1. A significant similarity was observed in the IR spectrum of polysaccharides. In view of the molecular nature of various components present in the oleogel samples, the IR spectra of oven-dried and lyophilized oleogels were expected to be almost identical, with peaks at nearly the same wavelengths as indicated in the FTIR spectra. There were some spectral differences between oleogels (without antioxidants) and antioxidants containing oleogels. The oven-dried oleogels of the OPC27 oleogel showed a broad peak in the region 3,283–3,468 cm−1, and the OCS30 oleogel showed peak broadening behavior at around 3,271–3,395 cm−1 (Figures 7a and S8). The OPCCS series of oleogel samples also showed broad peaks at around 3,217–3,468 cm−1 (Figures 7b and S9).

(a) FTIR spectra of oven-dried single oleogelator oleogel OPC27, OCS12, and OCS30. (b) FTIR spectra of oven-dried oleogelator blend oleogels OPCCS1, OPCCS2, and OPCCS3. (c) FTIR spectra of M. oleifera seed antioxidant oleogels MCPC0.5%, MCPC 1%, and MCPC 1.5%, MCPC 1%, and MCPC 1.5%. (d) FTIR spectra of grapefruit peel antioxidant oleogels GCPC0.5%, GCPC 1%, and GCPC 1.5%.
A very small peak at 3,471 cm−1 in the spectra of pure Moringa oil was observed (Figure S10).
From the spectra of polysaccharides (Figure S11), broad peaks in the 3,226–3,422 cm−1 wave range were also observed. This peak-broadening behavior corresponds to –OH stretching vibrations that are related to intermolecular or intramolecular hydrogen bonding within the chains of polysaccharides. In antioxidant-enriched oleogels, these –OH stretching peaks (Figure 7c and d) ranged from 3,217 to 3,485 cm−1. These peaks suggested the presence of intermolecular hydrogen bonding interactions in the oleogel samples due to the presence of hydroxyl groups of hydrophilic polysaccharide chains, as evident from the deformations in the 3,200–3,400 cm−1 range bands. In the formation of polymer oleogels, hydrogen bonding is considered the main interaction force. The crystal network of the ethyl-cellulose (EC) oleogel was also formed due to hydrogen bonding with the polymer chains [36].
The other peaks observed in the spectra of oleogels can also be explained by comparing them with pure Moringa oil (Figure S12) and polysaccharides. For instance, the peaks observed at 2,924 and 1,746 cm−1 revealed the abundance of triglycerides in the samples. The peaks observed at 2,924 cm−1 from pure oil and polysaccharides powder indicated C–H stretching of –CH2. Similarly, the oven-dried (2,912 cm−1), lyophilized (2,926 cm−1), and antioxidant-enriched lyophilized oleogels also showed C–H stretching vibrations of CH2 at 2,926 cm−1. The sharp intensity absorption peaks at 1,743 cm−1 were observed in Moringa oil, polysaccharides, and all oleogel samples. It confirmed the presence of C═O stretching vibrations of esters. The presence of fatty acids was confirmed by peaks at 1,631 cm−1 that relate to C═C stretching of disubstituted cis-olefins, and the intensity of this peak was used to determine the total unsaturation. The overlapped peaks identified at 1,462 and 1,354 cm−1 represented the C–H stretching of CH3 and CH2 groups, respectively, from Moringa oil and polysaccharides. At lower frequencies, the band near 726 cm−1 is assigned to the CH2 group rocking vibrations and deformation of –CH2 in cis-substituted olefins that build up the long-chain mono and PUFA of the Moringa seed oil. The appearance of peaks at 1,087 and 671 cm−1 corresponds to the C–O stretching of C–O–C and C–X bending of halo compounds.
The results revealed that oleogelation does not affect the chemical properties of the oil, and different molecular arrangements occur due to the self-assemblies of polymeric oleogelators and the oil. The appearance of spectra can be affected by oleogelation techniques and the oil. It can be noticed that there was no variability in the appearance of peaks or shifts for the oleogels in comparison to the polysaccharides and the oil, which indicates the presence of physical interactions and no changes in the chemical structures, are the reasons for oleogel formation.
3.7 DSC analysis
The DSC thermographs of Moringa-oil-structured single-component and multicomponent oleogels in the range of 30–100°C are shown in Figure S13. The heat flow (W g−1) versus temperature for the heating cycle was analyzed to determine the melting behavior of different oleogel samples. All oleogel samples exhibited single exothermic peaks. The mono-component oleogels, namely OPC27 and OCS30, had peak melting temperatures at 47 and 53°C, respectively. The overall melting behavior of XG-stabilized PC oleogel was apparently different from CS oleogel, which was probably due to the heterogeneous nature of structuring agents employed, as melting peak behavior depends mainly on their concentration and type rather than the liquid oil phase used. Therefore, the differences in thermal properties may be attributed to the properties of oleogelators. A previous study proved this thermal curve behavior of oleogel samples by using three different vegetable oils. These melting temperatures of oleogels were lower than the pure polymers.
The melting profiles of oleogels prepared with different blends (CS 75: PC 25) displayed a eutectic system. They had DSC melting peaks in between the melting peaks of mono-component oleogels. The combined features of CS and PC are presented. The OPCCS2 oleogel showed a melting exothermic peak at 43°C, whereas the melting behavior of MCPC1.5% was quite interesting. The results showed a decrease in T onst when the antioxidant extract was added to the OPCCS2-based oleogel. It had a significantly lower temperature at 42°C. These lower melting temperatures suggest the strong interactions between the structuring polymers in this proportion; the visible difference is observed in gel networks and the formation of mechanically stable gels.
This eutectic behavior can also positively correlate with the increase in oil retention of the corresponding oleogels. It is, however, interesting to note that the melting temperature of PC oleogel was lower among all the oleogel samples. Thus, the thermal behavior of all oleogel samples was acceptable for developing desirable oleogels.
3.8 Oxidative stability of the oleogel samples
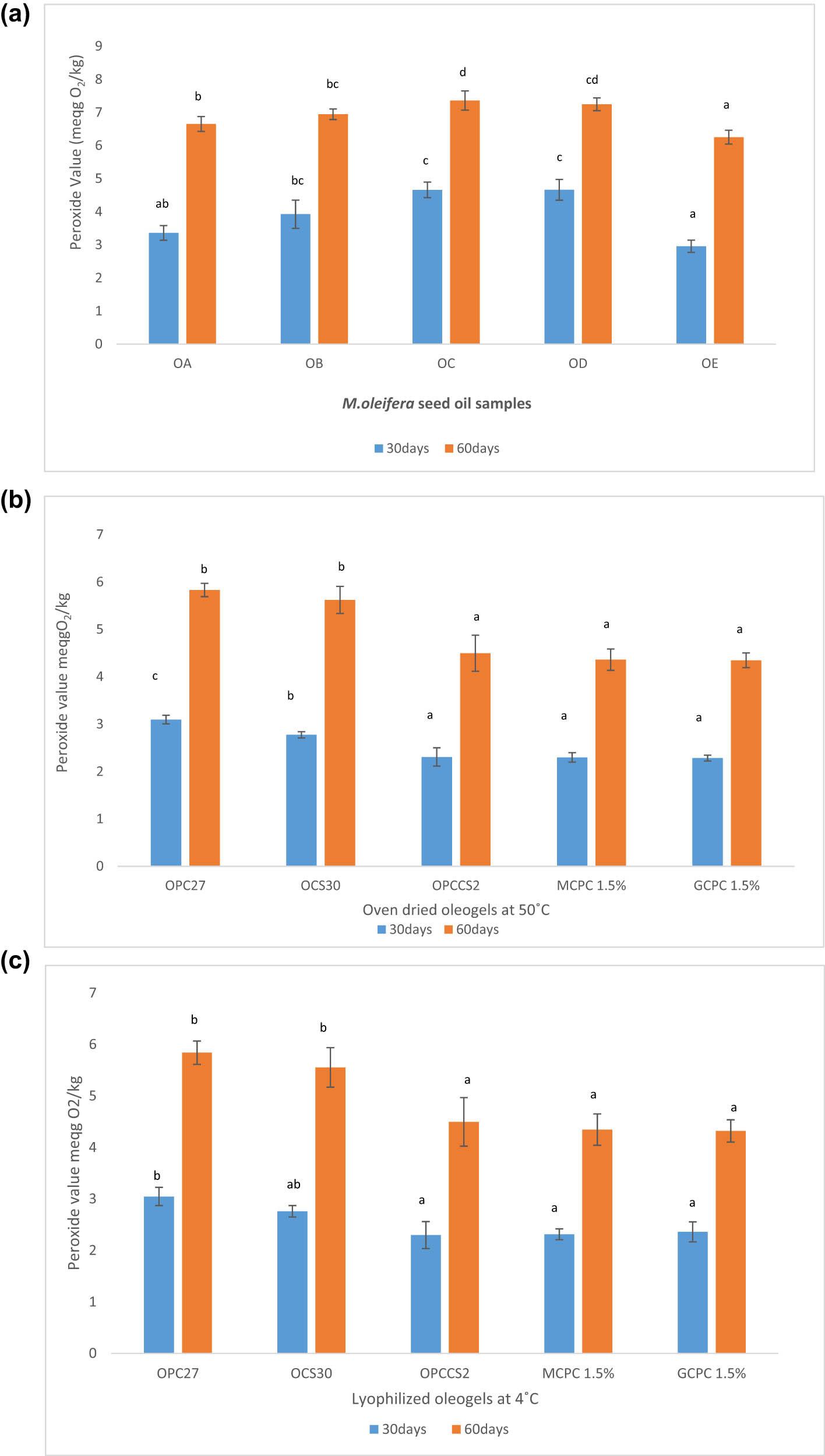
The PV of the samples was found to be in line with the standard value (<10 meq O2/kg) for fresh vegetable oil. The oxidation rate of M. oleifera oil samples was found to increase with an increase in temperature. The PV values of oil samples, named OA, OB, OC, OD, and OE, were recorded as 3.36 ± 0.02, 3.92 ± 0.42, 4.66 ± 0.23, 4.66 ± 0.32, and 2.95 ± 0.18, respectively. It was suggested that the heating process caused the rapid deterioration of fatty acids, as can be observed by comparing the values with reference oil PVs. At maximum heating temperature (80°C) during this study, the value of peroxide started to decline or became constant (Figure 8(a)). This result was closely consistent with the report of Adejuma et al. [37], who also noticed a decrease in the PV of M. oleifera oil with the increase in temperature.

(a) PVs of M. oleifera seed oil samples heated at 50, 60, 70, and 80°C; each value is an average of three determinations, mean ± SD. (b) PVs of the oleogel samples; each value is an average of three determinations, mean ± SD. (c) PVs of lyophilized oleogel samples; each value is an average of three determinations, mean ± SD.
For oleogel samples, the oxidation rate was found to be lower than the original oil. All oleogel samples were heated at 80°C, and the changes in their PV were observed each month. As expected, the oleogel samples had effectively inhibited the oxidation of oil. The PV of oven-dried and freeze-dried oleogel samples were calculated separately, and a slight increase in PV of oven-dried samples was noticed. This may be associated with the previous heating process of emulsions during the water phase removal, which clarified that the PVs of oleogels stored at higher temperatures are always higher than those at lower temperatures; this result was consistent with the previous report [27]. The oven-dried OPC27 oleogel had a higher PV of 3.09 ± 0.09 – 5.85 ± 0.06, and the freeze-dried OPC27 oleogel had a PV of 3.04 ± 0.17 – 5.84 ± 0.11 during the 2-month storage, as shown in Figure 11(b) and (c). The oven-dried OCS30 oleogel had a higher PV of 2.71 ± 0.11 − 5.59 ± 0.38, and the freeze-dried OCS30 oleogel had a PV of 2.77 ± 0.06 – 5.62 ± 0.28. The oven-dried OPCCS2 oleogel had a higher PV of 2.28 ± 0.10 to 4.47 ± 0.10, and the freeze-dried OPCCS2 oleogel had a PV of 2.23 ± 0.06 – 4.36 ± 0.22 during 30 and 60 days of storage, respectively.
The addition of antioxidants (GAEs/MAEs) also played an important role in improving the oxidative stability of the oleogel samples. At higher concentrations (1.5%) of GAEs/MAEs, oleogels exhibited lower PV compared to the other oleogel (without extract) samples (Figures S11–S13). It ranged from 2.28 ± 0.10 to 4.35 ± 0.30 and 2.26 ± 0.19 to 4.34 ± 0.22 for GAE/MAE oleogels during 30 and 60 days, respectively.
The oleogelation of M. oleifera oil with polysaccharides and MAEs/GAEs caused inhibition of the oil phase due to its immobilization in the gel network. The stability of oleogels against the oxidation process may be attributed to the polysaccharide gel network, which entrapped the liquid oil, thereby retarding the oxidation process. The other reason for lower oxidative damage to oleogels was the addition of antioxidant extract (GAEs/MAEs), which played an essential role in improving the antioxidant activity.
4 Conclusions
These contemporary investigations substantiate the optimal formulation of Moringa oil-structured emulsion template oleogels. The biopolymers CS, PC, and XG were used at minimal concentrations to formulate mono-component and multicomponent semi-solid structures binding in the healthy liquid oil. Incorporating natural antioxidants from grapefruit peel and Moringa seed residues into these lipid systems presented a possible way to prevent oxidative damage. They exhibited better shelf-life during storage due to the antioxidant contents derived from the plant sources. Both mono- and multicomponent-formulated oleogels showed no noteworthy chemical change as confirmed by FTIR results and DSC results exhibited improved melting points of the multicomponent oleogel. The oleogels have tightly packed structures of oil droplets in the matrix of polysaccharides, adequate to prevent the coalescence of oil during water evaporation. The multicomponent oleogels prepared with varying concentrations of polysaccharides had good gel stability and OBCs. This provides insight into new dimensions of commercial food research owing to the better OBC, stability, and compatibility with the respective polymers. Further research should focus on the addition of other health-beneficial plant antioxidants, new gelling agents, and lipids in the formation of novel oleogels. Future directions include investigations regarding the long-term stability and storage of the edible oleogels within a wide range of conditions such as temperature, light, and change in active functionalities/parameters with time and the effects of these parameters on the quality and integrity of oleogels.
Acknowledgements
The authors are thankful to the Government College, University Faisalabad, for providing the facility to conduct this study. The authors also extend their appreciation to the Researchers Supporting Project number (RSP2024R457), King Saud University, Riyadh, Saudi Arabia.
-
Funding information: This paper is financially supported with the Researchers Supporting Project number (RSP2024R457), King Saud University, Riyadh, Saudi Arabia.
-
Author contributions: Conceptualization, original draft writing, reviewing, and editing: Nazia Yaqoob, Saima Rehman, and Nusrat Shafiq. Formal analysis, investigations, funding acquisition, reviewing, and editing: Muhammad Mohsin, Aleena Akbar, and Samir Ibenmoussa. Resources, data validation, data curation, and supervision: Gezahign Fentahun Wondmie, Yousef A. Bin Jardan, and Mohammed Bourhia.
-
Conflict of interest: The authors declare no potential conflicts of interest with respect to the research, authorship, and/or publication of this article.
-
Ethical approval: The conducted research is not related to either human or animal use.
-
Data availability statement: Data will be available upon request from the corresponding author.
References
[1] Pehlivanoğlu H, Demirci M, Toker OS, Konar N, Karasu S, Sagdic O. Oleogels, a promising structured oil for decreasing saturated fatty acid concentrations: Production and food-based applications. Crit Rev Food Sci Nutr. 2018;58(8):1330–41.10.1080/10408398.2016.1256866Search in Google Scholar PubMed
[2] Demirkesen I, Mert B. Recent developments of oleogel utilizations in bakery products. Crit Rev Food Sci Nutr. 2020;60(14):2460–79.10.1080/10408398.2019.1649243Search in Google Scholar PubMed
[3] Ngan Kee N, Foster E, Marquina C, Tan A, Pang S, O'Brien TJ, et al. Production, health implications and applications of oleogels as fat replacer in food system: A review. J Am Oil Chemists Soc. 2023;100(9):681–97.10.1002/aocs.12720Search in Google Scholar
[4] Tavernier I, Patel AR, Van der Meeren P, Dewettinck K. Emulsion-templated liquid oil structuring with soy protein and soy protein: κ-carrageenan complexes. Food Hydrocoll. 2017;65:107–20.10.1016/j.foodhyd.2016.11.008Search in Google Scholar
[5] Patel AR. Oil structuring: concepts, overview and future perspectives. United Kingdom: Royal Society of Chemistry; 2017.10.1039/9781788010184-00001Search in Google Scholar
[6] Farasati Far B, Naimi-Jamal MR, Jahanbakhshi M, Rostamani H, Karimi M, Keihankhadiv S. Synthesis and characterization of chitosan/collagen/polycaprolactone hydrogel films with enhanced biocompatibility and hydrophilicity for artificial tendon applications. Int J Biol Macromol. 2023;253:127448.10.1016/j.ijbiomac.2023.127448Search in Google Scholar PubMed
[7] Ciriminna R, Fidalgo A, Delisi R, Ilharco LM, Pagliaro M. Pectin production and global market. Agro Food Ind Hi-Tech. 2016;27(5):17–20.Search in Google Scholar
[8] Verkempinck SHE, Kyomugasho C, Salvia-Trujillo L, Denis S, Bourgeois M, Van Loey AM, et al. Emulsion stabilizing properties of citrus pectin and its interactions with conventional emulsifiers in oil-in-water emulsions. Food Hydrocoll. 2018;85:144–57.10.1016/j.foodhyd.2018.07.014Search in Google Scholar
[9] Schmidt U, Schütz L, Schuchmann H. Interfacial and emulsifying properties of citrus pectin: Interaction of pH, ionic strength and degree of esterification. Food Hydrocoll. 2017;62:288–98.10.1016/j.foodhyd.2016.08.016Search in Google Scholar
[10] Chan SY, Choo WS, Young DJ, Loh XJ. Pectin as a rheology modifier: Origin, structure, commercial production and rheology. Carbohydr Polym. 2017;161:118–39.10.1016/j.carbpol.2016.12.033Search in Google Scholar PubMed
[11] Ma L, Chai C, Wu W, Qi P, Liu X, Hao J. Hydrogels as the plant culture substrates: A review. Carbohydr Polym. 2023;305:120544.10.1016/j.carbpol.2023.120544Search in Google Scholar PubMed
[12] Ahmadou F, Bourais I, Aqil Y, Shariati MA, Hlebová M, Martsynkovsky S, et al. Physiochemical characteristics and fatty acids composition of Moringa oleifera oil of far north cameroon. J Microbiol Biotechnol food Sci. 2023;13:2.10.55251/jmbfs.10250Search in Google Scholar
[13] Schwingshackl L, Hoffmann G. Monounsaturated fatty acids, olive oil and health status: a systematic review and meta-analysis of cohort studies. Lipids Health Dis. 2014;13(1):1–15.10.1186/1476-511X-13-154Search in Google Scholar PubMed PubMed Central
[14] Ras RT, Geleijnse JM, Trautwein EA. LDL-cholesterol-lowering effect of plant sterols and stanols across different dose ranges: a meta-analysis of randomised controlled studies. Br J Nutr. 2014;112(2):214–9.10.1017/S0007114514000750Search in Google Scholar PubMed PubMed Central
[15] Patel AR, Rajarethinem PS, Grędowska A, Turhan O, Lesaffer A, De Vos WH, et al. Edible applications of shellac oleogels: spreads, chocolate paste and cakes. Food & Funct. 2014;5(4):645–52.10.1039/C4FO00034JSearch in Google Scholar PubMed
[16] Mika M, Antończyk A, Wikiera A. Influence of synthetic antioxidants used in food technology on the bioavailability and metabolism of lipids - in vitro studies. Pol J Food Nutr Sci. 2023;73(1):95–107.10.31883/pjfns/161366Search in Google Scholar
[17] Engin AB, Bukan N, Kurukahvecioglu O, Memis L, Engin A. Effect of butylated hydroxytoluene (E321) pretreatment versus l-arginine on liver injury after sub-lethal dose of endotoxin administration. Environ Toxicol Pharmacol. 2011;32(3):457–64.10.1016/j.etap.2011.08.014Search in Google Scholar PubMed
[18] Borsoi FT, Neri-Numa IA, de Oliveira WQ, de Araújo FF, Pastore GM. Dietary polyphenols and their relationship to the modulation of non-communicable chronic diseases and epigenetic mechanisms: A mini-review. Food Chem: Mol Sci. 2023;6(30):100–55.10.1016/j.fochms.2022.100155Search in Google Scholar PubMed PubMed Central
[19] Haokip SW, Sheikh KA, Das S, Devi OB, Singh YD, Wangchu L, et al. Unraveling physicochemical profiles and bioactivities of citrus peel essential oils: a comprehensive review. Eur Food Res Technol. 2023;249:2821–34.10.1007/s00217-023-04330-wSearch in Google Scholar
[20] Stohs SJ, Hartman MJ. Review of the safety and efficacy of Moringa oleifera. Phytother Res. 2015;29(6):796–804.10.1002/ptr.5325Search in Google Scholar PubMed PubMed Central
[21] Singh RG, Negi PS, Radha C. Phenolic composition, antioxidant and antimicrobial activities of free and bound phenolic extracts of Moringa oleifera seed flour. J Funct foods. 2013;5(4):1883–91.10.1016/j.jff.2013.09.009Search in Google Scholar
[22] Li R, Peng S, Zhang R, Dai T, Fu G, Wan Y, et al. Formation and characterization of oil-in-water emulsions stabilized by polyphenol-polysaccharide complexes: Tannic acid and β-glucan. Food Res Int. 2019;123:266–75.10.1016/j.foodres.2019.05.005Search in Google Scholar PubMed
[23] Özcan MM, Ghafoor K, Al Juhaimi F, Ahmed I, Babiker E. Effect of cold-press and soxhlet extraction on fatty acids, tocopherols and sterol contents of the Moringa seed oils. South Afr J Botany. 2019;124:333–7.10.1016/j.sajb.2019.05.010Search in Google Scholar
[24] Fatima T, Mian AH, Khan Z, Khan AM, Anwar F, Tariq A, et al. Citrus sinensis a potential solution against superbugs. Appl Nanosci. 2020;10(12):5077–83.10.1007/s13204-020-01408-9Search in Google Scholar
[25] Abdolmaleki K, Alizadeh L, Nayebzadeh K, Hosseini SM, Shahin R. Oleogel production based on binary and ternary mixtures of sodium caseinate, xanthan gum, and guar gum: Optimization of hydrocolloids concentration and drying method. J Texture Stud. 2020;51(2):290–9.10.1111/jtxs.12469Search in Google Scholar PubMed
[26] Luo S-Z, Hu XF, Jia YJ, Pan LH, Zheng Z, Zhao YY, et al. Camellia oil-based oleogels structuring with tea polyphenol-palmitate particles and citrus pectin by emulsion-templated method: Preparation, characterization and potential application. Food Hydrocoll. 2019;95:76–87.10.1016/j.foodhyd.2019.04.016Search in Google Scholar
[27] Yılmaz E, Öğütcü M. Properties and stability of hazelnut oil organogels with beeswax and monoglyceride. J Am Oil Chemist Soc. 2014;91(6):1007–17.10.1007/s11746-014-2434-1Search in Google Scholar
[28] Yaqoob N, Zahira A, Kamal S, Almas M, Rehman S. Development of multifunctional bioactive food packaging based on silver nanoparticles/grape fruit peel extract reinforced PVA composites. Mater Today Commun. 2023;37:107529.10.1016/j.mtcomm.2023.107529Search in Google Scholar
[29] Sultana B, Anwar F, Ashraf M. Effect of extraction solvent/technique on the antioxidant activity of selected medicinal plant extracts. Molecules (Basel, Switz). 2009;14:2167–80.10.3390/molecules14062167Search in Google Scholar PubMed PubMed Central
[30] Bin Sintang MD, Rimaux T, Van de Walle D, Dewettinck K, Patel AR. Oil structuring properties of monoglycerides and phytosterols mixtures. Eur J Lipid Sci Technol. 2017;119(3):1500517.10.1002/ejlt.201500517Search in Google Scholar
[31] Millao S, Iturra N, Contardo I, Morales E, Quilaqueo M, Rubilar M. Structuring of oils with high PUFA content: Evaluation of the formulation conditions on the oxidative stability and structural properties of ethylcellulose oleogels. Food Chem. 2023;405:134772.10.1016/j.foodchem.2022.134772Search in Google Scholar PubMed
[32] Babbar N, Oberoi HS, Uppal DS, Patil RT. Total phenolic content and antioxidant capacity of extracts obtained from six important fruit residues. Food Res Int. 2011;44(1):391–6.10.1016/j.foodres.2010.10.001Search in Google Scholar
[33] Khettal B, Kadri N, Tighilet K, Adjebli A, Dahmoune F, Maiza-Benabdeslam F. Phenolic compounds from Citrus leaves: Antioxidant activity and enzymatic browning inhibition. J Complement Integr Med. 2017;14(1):20160030.10.1515/jcim-2016-0030Search in Google Scholar PubMed
[34] Mohammed S, Manan F. Analysis of total phenolics, tannins and flavonoids from Moringa oleifera seed extract. J Chem Pharm Res. 2015;7(1):132–5.Search in Google Scholar
[35] Lalas S, Tsaknis J. Extraction and identification of natural antioxidant from the seeds of the Moringa oleifera tree variety of Malawi. J Am Oil Chem Soc. 2002;79(7):677–83.10.1007/s11746-002-0542-2Search in Google Scholar
[36] Laredo T, Barbut S, Marangoni AG. Molecular interactions of polymer oleogelation. Soft Matter. 2011;7(6):2734–43.10.1039/c0sm00885kSearch in Google Scholar
[37] Adejumo B, Alakowe A, Obi D. Effect of heat treatment on the characteristics and oil yield of Moringa oleifera seeds. Int J Eng Sci. 2013;2(1):232–9.Search in Google Scholar
© 2024 the author(s), published by De Gruyter
This work is licensed under the Creative Commons Attribution 4.0 International License.
Articles in the same Issue
- Regular Articles
- Porous silicon nanostructures: Synthesis, characterization, and their antifungal activity
- Biochar from de-oiled Chlorella vulgaris and its adsorption on antibiotics
- Phytochemicals profiling, in vitro and in vivo antidiabetic activity, and in silico studies on Ajuga iva (L.) Schreb.: A comprehensive approach
- Synthesis, characterization, in silico and in vitro studies of novel glycoconjugates as potential antibacterial, antifungal, and antileishmanial agents
- Sonochemical synthesis of gold nanoparticles mediated by potato starch: Its performance in the treatment of esophageal cancer
- Computational study of ADME-Tox prediction of selected phytochemicals from Punica granatum peels
- Phytochemical analysis, in vitro antioxidant and antifungal activities of extracts and essential oil derived from Artemisia herba-alba Asso
- Two triazole-based coordination polymers: Synthesis and crystal structure characterization
- Phytochemical and physicochemical studies of different apple varieties grown in Morocco
- Synthesis of multi-template molecularly imprinted polymers (MT-MIPs) for isolating ethyl para-methoxycinnamate and ethyl cinnamate from Kaempferia galanga L., extract with methacrylic acid as functional monomer
- Nutraceutical potential of Mesembryanthemum forsskaolii Hochst. ex Bioss.: Insights into its nutritional composition, phytochemical contents, and antioxidant activity
- Evaluation of influence of Butea monosperma floral extract on inflammatory biomarkers
- Cannabis sativa L. essential oil: Chemical composition, anti-oxidant, anti-microbial properties, and acute toxicity: In vitro, in vivo, and in silico study
- The effect of gamma radiation on 5-hydroxymethylfurfural conversion in water and dimethyl sulfoxide
- Hollow mushroom nanomaterials for potentiometric sensing of Pb2+ ions in water via the intercalation of iodide ions into the polypyrrole matrix
- Determination of essential oil and chemical composition of St. John’s Wort
- Computational design and in vitro assay of lantadene-based novel inhibitors of NS3 protease of dengue virus
- Anti-parasitic activity and computational studies on a novel labdane diterpene from the roots of Vachellia nilotica
- Microbial dynamics and dehydrogenase activity in tomato (Lycopersicon esculentum Mill.) rhizospheres: Impacts on growth and soil health across different soil types
- Correlation between in vitro anti-urease activity and in silico molecular modeling approach of novel imidazopyridine–oxadiazole hybrids derivatives
- Spatial mapping of indoor air quality in a light metro system using the geographic information system method
- Iron indices and hemogram in renal anemia and the improvement with Tribulus terrestris green-formulated silver nanoparticles applied on rat model
- Integrated track of nano-informatics coupling with the enrichment concept in developing a novel nanoparticle targeting ERK protein in Naegleria fowleri
- Cytotoxic and phytochemical screening of Solanum lycopersicum–Daucus carota hydro-ethanolic extract and in silico evaluation of its lycopene content as anticancer agent
- Protective activities of silver nanoparticles containing Panax japonicus on apoptotic, inflammatory, and oxidative alterations in isoproterenol-induced cardiotoxicity
- pH-based colorimetric detection of monofunctional aldehydes in liquid and gas phases
- Investigating the effect of resveratrol on apoptosis and regulation of gene expression of Caco-2 cells: Unravelling potential implications for colorectal cancer treatment
- Metformin inhibits knee osteoarthritis induced by type 2 diabetes mellitus in rats: S100A8/9 and S100A12 as players and therapeutic targets
- Effect of silver nanoparticles formulated by Silybum marianum on menopausal urinary incontinence in ovariectomized rats
- Synthesis of new analogs of N-substituted(benzoylamino)-1,2,3,6-tetrahydropyridines
- Response of yield and quality of Japonica rice to different gradients of moisture deficit at grain-filling stage in cold regions
- Preparation of an inclusion complex of nickel-based β-cyclodextrin: Characterization and accelerating the osteoarthritis articular cartilage repair
- Empagliflozin-loaded nanomicelles responsive to reactive oxygen species for renal ischemia/reperfusion injury protection
- Preparation and pharmacodynamic evaluation of sodium aescinate solid lipid nanoparticles
- Assessment of potentially toxic elements and health risks of agricultural soil in Southwest Riyadh, Saudi Arabia
- Theoretical investigation of hydrogen-rich fuel production through ammonia decomposition
- Biosynthesis and screening of cobalt nanoparticles using citrus species for antimicrobial activity
- Investigating the interplay of genetic variations, MCP-1 polymorphism, and docking with phytochemical inhibitors for combatting dengue virus pathogenicity through in silico analysis
- Ultrasound induced biosynthesis of silver nanoparticles embedded into chitosan polymers: Investigation of its anti-cutaneous squamous cell carcinoma effects
- Copper oxide nanoparticles-mediated Heliotropium bacciferum leaf extract: Antifungal activity and molecular docking assays against strawberry pathogens
- Sprouted wheat flour for improving physical, chemical, rheological, microbial load, and quality properties of fino bread
- Comparative toxicity assessment of fisetin-aided artificial intelligence-assisted drug design targeting epibulbar dermoid through phytochemicals
- Acute toxicity and anti-inflammatory activity of bis-thiourea derivatives
- Anti-diabetic activity-guided isolation of α-amylase and α-glucosidase inhibitory terpenes from Capsella bursa-pastoris Linn.
- GC–MS analysis of Lactobacillus plantarum YW11 metabolites and its computational analysis on familial pulmonary fibrosis hub genes
- Green formulation of copper nanoparticles by Pistacia khinjuk leaf aqueous extract: Introducing a novel chemotherapeutic drug for the treatment of prostate cancer
- Improved photocatalytic properties of WO3 nanoparticles for Malachite green dye degradation under visible light irradiation: An effect of La doping
- One-pot synthesis of a network of Mn2O3–MnO2–poly(m-methylaniline) composite nanorods on a polypyrrole film presents a promising and efficient optoelectronic and solar cell device
- Groundwater quality and health risk assessment of nitrate and fluoride in Al Qaseem area, Saudi Arabia
- A comparative study of the antifungal efficacy and phytochemical composition of date palm leaflet extracts
- Processing of alcohol pomelo beverage (Citrus grandis (L.) Osbeck) using saccharomyces yeast: Optimization, physicochemical quality, and sensory characteristics
- Specialized compounds of four Cameroonian spices: Isolation, characterization, and in silico evaluation as prospective SARS-CoV-2 inhibitors
- Identification of a novel drug target in Porphyromonas gingivalis by a computational genome analysis approach
- Physico-chemical properties and durability of a fly-ash-based geopolymer
- FMS-like tyrosine kinase 3 inhibitory potentials of some phytochemicals from anti-leukemic plants using computational chemical methodologies
- Wild Thymus zygis L. ssp. gracilis and Eucalyptus camaldulensis Dehnh.: Chemical composition, antioxidant and antibacterial activities of essential oils
- 3D-QSAR, molecular docking, ADMET, simulation dynamic, and retrosynthesis studies on new styrylquinolines derivatives against breast cancer
- Deciphering the influenza neuraminidase inhibitory potential of naturally occurring biflavonoids: An in silico approach
- Determination of heavy elements in agricultural regions, Saudi Arabia
- Synthesis and characterization of antioxidant-enriched Moringa oil-based edible oleogel
- Ameliorative effects of thistle and thyme honeys on cyclophosphamide-induced toxicity in mice
- Study of phytochemical compound and antipyretic activity of Chenopodium ambrosioides L. fractions
- Investigating the adsorption mechanism of zinc chloride-modified porous carbon for sulfadiazine removal from water
- Performance repair of building materials using alumina and silica composite nanomaterials with electrodynamic properties
- Effects of nanoparticles on the activity and resistance genes of anaerobic digestion enzymes in livestock and poultry manure containing the antibiotic tetracycline
- Effect of copper nanoparticles green-synthesized using Ocimum basilicum against Pseudomonas aeruginosa in mice lung infection model
- Cardioprotective effects of nanoparticles green formulated by Spinacia oleracea extract on isoproterenol-induced myocardial infarction in mice by the determination of PPAR-γ/NF-κB pathway
- Anti-OTC antibody-conjugated fluorescent magnetic/silica and fluorescent hybrid silica nanoparticles for oxytetracycline detection
- Curcumin conjugated zinc nanoparticles for the treatment of myocardial infarction
- Identification and in silico screening of natural phloroglucinols as potential PI3Kα inhibitors: A computational approach for drug discovery
- Exploring the phytochemical profile and antioxidant evaluation: Molecular docking and ADMET analysis of main compounds from three Solanum species in Saudi Arabia
- Unveiling the molecular composition and biological properties of essential oil derived from the leaves of wild Mentha aquatica L.: A comprehensive in vitro and in silico exploration
- Analysis of bioactive compounds present in Boerhavia elegans seeds by GC-MS
- Homology modeling and molecular docking study of corticotrophin-releasing hormone: An approach to treat stress-related diseases
- LncRNA MIR17HG alleviates heart failure via targeting MIR17HG/miR-153-3p/SIRT1 axis in in vitro model
- Development and validation of a stability indicating UPLC-DAD method coupled with MS-TQD for ramipril and thymoquinone in bioactive SNEDDS with in silico toxicity analysis of ramipril degradation products
- Biosynthesis of Ag/Cu nanocomposite mediated by Curcuma longa: Evaluation of its antibacterial properties against oral pathogens
- Development of AMBER-compliant transferable force field parameters for polytetrafluoroethylene
- Treatment of gestational diabetes by Acroptilon repens leaf aqueous extract green-formulated iron nanoparticles in rats
- Development and characterization of new ecological adsorbents based on cardoon wastes: Application to brilliant green adsorption
- A fast, sensitive, greener, and stability-indicating HPLC method for the standardization and quantitative determination of chlorhexidine acetate in commercial products
- Assessment of Se, As, Cd, Cr, Hg, and Pb content status in Ankang tea plantations of China
- Effect of transition metal chloride (ZnCl2) on low-temperature pyrolysis of high ash bituminous coal
- Evaluating polyphenol and ascorbic acid contents, tannin removal ability, and physical properties during hydrolysis and convective hot-air drying of cashew apple powder
- Development and characterization of functional low-fat frozen dairy dessert enhanced with dried lemongrass powder
- Scrutinizing the effect of additive and synergistic antibiotics against carbapenem-resistant Pseudomonas aeruginosa
- Preparation, characterization, and determination of the therapeutic effects of copper nanoparticles green-formulated by Pistacia atlantica in diabetes-induced cardiac dysfunction in rat
- Antioxidant and antidiabetic potentials of methoxy-substituted Schiff bases using in vitro, in vivo, and molecular simulation approaches
- Anti-melanoma cancer activity and chemical profile of the essential oil of Seseli yunnanense Franch
- Molecular docking analysis of subtilisin-like alkaline serine protease (SLASP) and laccase with natural biopolymers
- Overcoming methicillin resistance by methicillin-resistant Staphylococcus aureus: Computational evaluation of napthyridine and oxadiazoles compounds for potential dual inhibition of PBP-2a and FemA proteins
- Exploring novel antitubercular agents: Innovative design of 2,3-diaryl-quinoxalines targeting DprE1 for effective tuberculosis treatment
- Drimia maritima flowers as a source of biologically potent components: Optimization of bioactive compound extractions, isolation, UPLC–ESI–MS/MS, and pharmacological properties
- Estimating molecular properties, drug-likeness, cardiotoxic risk, liability profile, and molecular docking study to characterize binding process of key phyto-compounds against serotonin 5-HT2A receptor
- Fabrication of β-cyclodextrin-based microgels for enhancing solubility of Terbinafine: An in-vitro and in-vivo toxicological evaluation
- Phyto-mediated synthesis of ZnO nanoparticles and their sunlight-driven photocatalytic degradation of cationic and anionic dyes
- Monosodium glutamate induces hypothalamic–pituitary–adrenal axis hyperactivation, glucocorticoid receptors down-regulation, and systemic inflammatory response in young male rats: Impact on miR-155 and miR-218
- Quality control analyses of selected honey samples from Serbia based on their mineral and flavonoid profiles, and the invertase activity
- Eco-friendly synthesis of silver nanoparticles using Phyllanthus niruri leaf extract: Assessment of antimicrobial activity, effectiveness on tropical neglected mosquito vector control, and biocompatibility using a fibroblast cell line model
- Green synthesis of silver nanoparticles containing Cichorium intybus to treat the sepsis-induced DNA damage in the liver of Wistar albino rats
- Quality changes of durian pulp (Durio ziberhinus Murr.) in cold storage
- Study on recrystallization process of nitroguanidine by directly adding cold water to control temperature
- Determination of heavy metals and health risk assessment in drinking water in Bukayriyah City, Saudi Arabia
- Larvicidal properties of essential oils of three Artemisia species against the chemically insecticide-resistant Nile fever vector Culex pipiens (L.) (Diptera: Culicidae): In vitro and in silico studies
- Design, synthesis, characterization, and theoretical calculations, along with in silico and in vitro antimicrobial proprieties of new isoxazole-amide conjugates
- The impact of drying and extraction methods on total lipid, fatty acid profile, and cytotoxicity of Tenebrio molitor larvae
- A zinc oxide–tin oxide–nerolidol hybrid nanomaterial: Efficacy against esophageal squamous cell carcinoma
- Research on technological process for production of muskmelon juice (Cucumis melo L.)
- Physicochemical components, antioxidant activity, and predictive models for quality of soursop tea (Annona muricata L.) during heat pump drying
- Characterization and application of Fe1−xCoxFe2O4 nanoparticles in Direct Red 79 adsorption
- Torilis arvensis ethanolic extract: Phytochemical analysis, antifungal efficacy, and cytotoxicity properties
- Magnetite–poly-1H pyrrole dendritic nanocomposite seeded on poly-1H pyrrole: A promising photocathode for green hydrogen generation from sanitation water without using external sacrificing agent
- HPLC and GC–MS analyses of phytochemical compounds in Haloxylon salicornicum extract: Antibacterial and antifungal activity assessment of phytopathogens
- Efficient and stable to coking catalysts of ethanol steam reforming comprised of Ni + Ru loaded on MgAl2O4 + LnFe0.7Ni0.3O3 (Ln = La, Pr) nanocomposites prepared via cost-effective procedure with Pluronic P123 copolymer
- Nitrogen and boron co-doped carbon dots probe for selectively detecting Hg2+ in water samples and the detection mechanism
- Heavy metals in road dust from typical old industrial areas of Wuhan: Seasonal distribution and bioaccessibility-based health risk assessment
- Phytochemical profiling and bioactivity evaluation of CBD- and THC-enriched Cannabis sativa extracts: In vitro and in silico investigation of antioxidant and anti-inflammatory effects
- Investigating dye adsorption: The role of surface-modified montmorillonite nanoclay in kinetics, isotherms, and thermodynamics
- Antimicrobial activity, induction of ROS generation in HepG2 liver cancer cells, and chemical composition of Pterospermum heterophyllum
- Study on the performance of nanoparticle-modified PVDF membrane in delaying membrane aging
- Impact of cholesterol in encapsulated vitamin E acetate within cocoliposomes
- Review Articles
- Structural aspects of Pt(η3-X1N1X2)(PL) (X1,2 = O, C, or Se) and Pt(η3-N1N2X1)(PL) (X1 = C, S, or Se) derivatives
- Biosurfactants in biocorrosion and corrosion mitigation of metals: An overview
- Stimulus-responsive MOF–hydrogel composites: Classification, preparation, characterization, and their advancement in medical treatments
- Electrochemical dissolution of titanium under alternating current polarization to obtain its dioxide
- Special Issue on Recent Trends in Green Chemistry
- Phytochemical screening and antioxidant activity of Vitex agnus-castus L.
- Phytochemical study, antioxidant activity, and dermoprotective activity of Chenopodium ambrosioides (L.)
- Exploitation of mangliculous marine fungi, Amarenographium solium, for the green synthesis of silver nanoparticles and their activity against multiple drug-resistant bacteria
- Study of the phytotoxicity of margines on Pistia stratiotes L.
- Special Issue on Advanced Nanomaterials for Energy, Environmental and Biological Applications - Part III
- Impact of biogenic zinc oxide nanoparticles on growth, development, and antioxidant system of high protein content crop (Lablab purpureus L.) sweet
- Green synthesis, characterization, and application of iron and molybdenum nanoparticles and their composites for enhancing the growth of Solanum lycopersicum
- Green synthesis of silver nanoparticles from Olea europaea L. extracted polysaccharides, characterization, and its assessment as an antimicrobial agent against multiple pathogenic microbes
- Photocatalytic treatment of organic dyes using metal oxides and nanocomposites: A quantitative study
- Antifungal, antioxidant, and photocatalytic activities of greenly synthesized iron oxide nanoparticles
- Special Issue on Phytochemical and Pharmacological Scrutinization of Medicinal Plants
- Hepatoprotective effects of safranal on acetaminophen-induced hepatotoxicity in rats
- Chemical composition and biological properties of Thymus capitatus plants from Algerian high plains: A comparative and analytical study
- Chemical composition and bioactivities of the methanol root extracts of Saussurea costus
- In vivo protective effects of vitamin C against cyto-genotoxicity induced by Dysphania ambrosioides aqueous extract
- Insights about the deleterious impact of a carbamate pesticide on some metabolic immune and antioxidant functions and a focus on the protective ability of a Saharan shrub and its anti-edematous property
- A comprehensive review uncovering the anticancerous potential of genkwanin (plant-derived compound) in several human carcinomas
- A study to investigate the anticancer potential of carvacrol via targeting Notch signaling in breast cancer
- Assessment of anti-diabetic properties of Ziziphus oenopolia (L.) wild edible fruit extract: In vitro and in silico investigations through molecular docking analysis
- Optimization of polyphenol extraction, phenolic profile by LC-ESI-MS/MS, antioxidant, anti-enzymatic, and cytotoxic activities of Physalis acutifolia
- Phytochemical screening, antioxidant properties, and photo-protective activities of Salvia balansae de Noé ex Coss
- Antihyperglycemic, antiglycation, anti-hypercholesteremic, and toxicity evaluation with gas chromatography mass spectrometry profiling for Aloe armatissima leaves
- Phyto-fabrication and characterization of gold nanoparticles by using Timur (Zanthoxylum armatum DC) and their effect on wound healing
- Does Erodium trifolium (Cav.) Guitt exhibit medicinal properties? Response elements from phytochemical profiling, enzyme-inhibiting, and antioxidant and antimicrobial activities
- Integrative in silico evaluation of the antiviral potential of terpenoids and its metal complexes derived from Homalomena aromatica based on main protease of SARS-CoV-2
- 6-Methoxyflavone improves anxiety, depression, and memory by increasing monoamines in mice brain: HPLC analysis and in silico studies
- Simultaneous extraction and quantification of hydrophilic and lipophilic antioxidants in Solanum lycopersicum L. varieties marketed in Saudi Arabia
- Biological evaluation of CH3OH and C2H5OH of Berberis vulgaris for in vivo antileishmanial potential against Leishmania tropica in murine models
Articles in the same Issue
- Regular Articles
- Porous silicon nanostructures: Synthesis, characterization, and their antifungal activity
- Biochar from de-oiled Chlorella vulgaris and its adsorption on antibiotics
- Phytochemicals profiling, in vitro and in vivo antidiabetic activity, and in silico studies on Ajuga iva (L.) Schreb.: A comprehensive approach
- Synthesis, characterization, in silico and in vitro studies of novel glycoconjugates as potential antibacterial, antifungal, and antileishmanial agents
- Sonochemical synthesis of gold nanoparticles mediated by potato starch: Its performance in the treatment of esophageal cancer
- Computational study of ADME-Tox prediction of selected phytochemicals from Punica granatum peels
- Phytochemical analysis, in vitro antioxidant and antifungal activities of extracts and essential oil derived from Artemisia herba-alba Asso
- Two triazole-based coordination polymers: Synthesis and crystal structure characterization
- Phytochemical and physicochemical studies of different apple varieties grown in Morocco
- Synthesis of multi-template molecularly imprinted polymers (MT-MIPs) for isolating ethyl para-methoxycinnamate and ethyl cinnamate from Kaempferia galanga L., extract with methacrylic acid as functional monomer
- Nutraceutical potential of Mesembryanthemum forsskaolii Hochst. ex Bioss.: Insights into its nutritional composition, phytochemical contents, and antioxidant activity
- Evaluation of influence of Butea monosperma floral extract on inflammatory biomarkers
- Cannabis sativa L. essential oil: Chemical composition, anti-oxidant, anti-microbial properties, and acute toxicity: In vitro, in vivo, and in silico study
- The effect of gamma radiation on 5-hydroxymethylfurfural conversion in water and dimethyl sulfoxide
- Hollow mushroom nanomaterials for potentiometric sensing of Pb2+ ions in water via the intercalation of iodide ions into the polypyrrole matrix
- Determination of essential oil and chemical composition of St. John’s Wort
- Computational design and in vitro assay of lantadene-based novel inhibitors of NS3 protease of dengue virus
- Anti-parasitic activity and computational studies on a novel labdane diterpene from the roots of Vachellia nilotica
- Microbial dynamics and dehydrogenase activity in tomato (Lycopersicon esculentum Mill.) rhizospheres: Impacts on growth and soil health across different soil types
- Correlation between in vitro anti-urease activity and in silico molecular modeling approach of novel imidazopyridine–oxadiazole hybrids derivatives
- Spatial mapping of indoor air quality in a light metro system using the geographic information system method
- Iron indices and hemogram in renal anemia and the improvement with Tribulus terrestris green-formulated silver nanoparticles applied on rat model
- Integrated track of nano-informatics coupling with the enrichment concept in developing a novel nanoparticle targeting ERK protein in Naegleria fowleri
- Cytotoxic and phytochemical screening of Solanum lycopersicum–Daucus carota hydro-ethanolic extract and in silico evaluation of its lycopene content as anticancer agent
- Protective activities of silver nanoparticles containing Panax japonicus on apoptotic, inflammatory, and oxidative alterations in isoproterenol-induced cardiotoxicity
- pH-based colorimetric detection of monofunctional aldehydes in liquid and gas phases
- Investigating the effect of resveratrol on apoptosis and regulation of gene expression of Caco-2 cells: Unravelling potential implications for colorectal cancer treatment
- Metformin inhibits knee osteoarthritis induced by type 2 diabetes mellitus in rats: S100A8/9 and S100A12 as players and therapeutic targets
- Effect of silver nanoparticles formulated by Silybum marianum on menopausal urinary incontinence in ovariectomized rats
- Synthesis of new analogs of N-substituted(benzoylamino)-1,2,3,6-tetrahydropyridines
- Response of yield and quality of Japonica rice to different gradients of moisture deficit at grain-filling stage in cold regions
- Preparation of an inclusion complex of nickel-based β-cyclodextrin: Characterization and accelerating the osteoarthritis articular cartilage repair
- Empagliflozin-loaded nanomicelles responsive to reactive oxygen species for renal ischemia/reperfusion injury protection
- Preparation and pharmacodynamic evaluation of sodium aescinate solid lipid nanoparticles
- Assessment of potentially toxic elements and health risks of agricultural soil in Southwest Riyadh, Saudi Arabia
- Theoretical investigation of hydrogen-rich fuel production through ammonia decomposition
- Biosynthesis and screening of cobalt nanoparticles using citrus species for antimicrobial activity
- Investigating the interplay of genetic variations, MCP-1 polymorphism, and docking with phytochemical inhibitors for combatting dengue virus pathogenicity through in silico analysis
- Ultrasound induced biosynthesis of silver nanoparticles embedded into chitosan polymers: Investigation of its anti-cutaneous squamous cell carcinoma effects
- Copper oxide nanoparticles-mediated Heliotropium bacciferum leaf extract: Antifungal activity and molecular docking assays against strawberry pathogens
- Sprouted wheat flour for improving physical, chemical, rheological, microbial load, and quality properties of fino bread
- Comparative toxicity assessment of fisetin-aided artificial intelligence-assisted drug design targeting epibulbar dermoid through phytochemicals
- Acute toxicity and anti-inflammatory activity of bis-thiourea derivatives
- Anti-diabetic activity-guided isolation of α-amylase and α-glucosidase inhibitory terpenes from Capsella bursa-pastoris Linn.
- GC–MS analysis of Lactobacillus plantarum YW11 metabolites and its computational analysis on familial pulmonary fibrosis hub genes
- Green formulation of copper nanoparticles by Pistacia khinjuk leaf aqueous extract: Introducing a novel chemotherapeutic drug for the treatment of prostate cancer
- Improved photocatalytic properties of WO3 nanoparticles for Malachite green dye degradation under visible light irradiation: An effect of La doping
- One-pot synthesis of a network of Mn2O3–MnO2–poly(m-methylaniline) composite nanorods on a polypyrrole film presents a promising and efficient optoelectronic and solar cell device
- Groundwater quality and health risk assessment of nitrate and fluoride in Al Qaseem area, Saudi Arabia
- A comparative study of the antifungal efficacy and phytochemical composition of date palm leaflet extracts
- Processing of alcohol pomelo beverage (Citrus grandis (L.) Osbeck) using saccharomyces yeast: Optimization, physicochemical quality, and sensory characteristics
- Specialized compounds of four Cameroonian spices: Isolation, characterization, and in silico evaluation as prospective SARS-CoV-2 inhibitors
- Identification of a novel drug target in Porphyromonas gingivalis by a computational genome analysis approach
- Physico-chemical properties and durability of a fly-ash-based geopolymer
- FMS-like tyrosine kinase 3 inhibitory potentials of some phytochemicals from anti-leukemic plants using computational chemical methodologies
- Wild Thymus zygis L. ssp. gracilis and Eucalyptus camaldulensis Dehnh.: Chemical composition, antioxidant and antibacterial activities of essential oils
- 3D-QSAR, molecular docking, ADMET, simulation dynamic, and retrosynthesis studies on new styrylquinolines derivatives against breast cancer
- Deciphering the influenza neuraminidase inhibitory potential of naturally occurring biflavonoids: An in silico approach
- Determination of heavy elements in agricultural regions, Saudi Arabia
- Synthesis and characterization of antioxidant-enriched Moringa oil-based edible oleogel
- Ameliorative effects of thistle and thyme honeys on cyclophosphamide-induced toxicity in mice
- Study of phytochemical compound and antipyretic activity of Chenopodium ambrosioides L. fractions
- Investigating the adsorption mechanism of zinc chloride-modified porous carbon for sulfadiazine removal from water
- Performance repair of building materials using alumina and silica composite nanomaterials with electrodynamic properties
- Effects of nanoparticles on the activity and resistance genes of anaerobic digestion enzymes in livestock and poultry manure containing the antibiotic tetracycline
- Effect of copper nanoparticles green-synthesized using Ocimum basilicum against Pseudomonas aeruginosa in mice lung infection model
- Cardioprotective effects of nanoparticles green formulated by Spinacia oleracea extract on isoproterenol-induced myocardial infarction in mice by the determination of PPAR-γ/NF-κB pathway
- Anti-OTC antibody-conjugated fluorescent magnetic/silica and fluorescent hybrid silica nanoparticles for oxytetracycline detection
- Curcumin conjugated zinc nanoparticles for the treatment of myocardial infarction
- Identification and in silico screening of natural phloroglucinols as potential PI3Kα inhibitors: A computational approach for drug discovery
- Exploring the phytochemical profile and antioxidant evaluation: Molecular docking and ADMET analysis of main compounds from three Solanum species in Saudi Arabia
- Unveiling the molecular composition and biological properties of essential oil derived from the leaves of wild Mentha aquatica L.: A comprehensive in vitro and in silico exploration
- Analysis of bioactive compounds present in Boerhavia elegans seeds by GC-MS
- Homology modeling and molecular docking study of corticotrophin-releasing hormone: An approach to treat stress-related diseases
- LncRNA MIR17HG alleviates heart failure via targeting MIR17HG/miR-153-3p/SIRT1 axis in in vitro model
- Development and validation of a stability indicating UPLC-DAD method coupled with MS-TQD for ramipril and thymoquinone in bioactive SNEDDS with in silico toxicity analysis of ramipril degradation products
- Biosynthesis of Ag/Cu nanocomposite mediated by Curcuma longa: Evaluation of its antibacterial properties against oral pathogens
- Development of AMBER-compliant transferable force field parameters for polytetrafluoroethylene
- Treatment of gestational diabetes by Acroptilon repens leaf aqueous extract green-formulated iron nanoparticles in rats
- Development and characterization of new ecological adsorbents based on cardoon wastes: Application to brilliant green adsorption
- A fast, sensitive, greener, and stability-indicating HPLC method for the standardization and quantitative determination of chlorhexidine acetate in commercial products
- Assessment of Se, As, Cd, Cr, Hg, and Pb content status in Ankang tea plantations of China
- Effect of transition metal chloride (ZnCl2) on low-temperature pyrolysis of high ash bituminous coal
- Evaluating polyphenol and ascorbic acid contents, tannin removal ability, and physical properties during hydrolysis and convective hot-air drying of cashew apple powder
- Development and characterization of functional low-fat frozen dairy dessert enhanced with dried lemongrass powder
- Scrutinizing the effect of additive and synergistic antibiotics against carbapenem-resistant Pseudomonas aeruginosa
- Preparation, characterization, and determination of the therapeutic effects of copper nanoparticles green-formulated by Pistacia atlantica in diabetes-induced cardiac dysfunction in rat
- Antioxidant and antidiabetic potentials of methoxy-substituted Schiff bases using in vitro, in vivo, and molecular simulation approaches
- Anti-melanoma cancer activity and chemical profile of the essential oil of Seseli yunnanense Franch
- Molecular docking analysis of subtilisin-like alkaline serine protease (SLASP) and laccase with natural biopolymers
- Overcoming methicillin resistance by methicillin-resistant Staphylococcus aureus: Computational evaluation of napthyridine and oxadiazoles compounds for potential dual inhibition of PBP-2a and FemA proteins
- Exploring novel antitubercular agents: Innovative design of 2,3-diaryl-quinoxalines targeting DprE1 for effective tuberculosis treatment
- Drimia maritima flowers as a source of biologically potent components: Optimization of bioactive compound extractions, isolation, UPLC–ESI–MS/MS, and pharmacological properties
- Estimating molecular properties, drug-likeness, cardiotoxic risk, liability profile, and molecular docking study to characterize binding process of key phyto-compounds against serotonin 5-HT2A receptor
- Fabrication of β-cyclodextrin-based microgels for enhancing solubility of Terbinafine: An in-vitro and in-vivo toxicological evaluation
- Phyto-mediated synthesis of ZnO nanoparticles and their sunlight-driven photocatalytic degradation of cationic and anionic dyes
- Monosodium glutamate induces hypothalamic–pituitary–adrenal axis hyperactivation, glucocorticoid receptors down-regulation, and systemic inflammatory response in young male rats: Impact on miR-155 and miR-218
- Quality control analyses of selected honey samples from Serbia based on their mineral and flavonoid profiles, and the invertase activity
- Eco-friendly synthesis of silver nanoparticles using Phyllanthus niruri leaf extract: Assessment of antimicrobial activity, effectiveness on tropical neglected mosquito vector control, and biocompatibility using a fibroblast cell line model
- Green synthesis of silver nanoparticles containing Cichorium intybus to treat the sepsis-induced DNA damage in the liver of Wistar albino rats
- Quality changes of durian pulp (Durio ziberhinus Murr.) in cold storage
- Study on recrystallization process of nitroguanidine by directly adding cold water to control temperature
- Determination of heavy metals and health risk assessment in drinking water in Bukayriyah City, Saudi Arabia
- Larvicidal properties of essential oils of three Artemisia species against the chemically insecticide-resistant Nile fever vector Culex pipiens (L.) (Diptera: Culicidae): In vitro and in silico studies
- Design, synthesis, characterization, and theoretical calculations, along with in silico and in vitro antimicrobial proprieties of new isoxazole-amide conjugates
- The impact of drying and extraction methods on total lipid, fatty acid profile, and cytotoxicity of Tenebrio molitor larvae
- A zinc oxide–tin oxide–nerolidol hybrid nanomaterial: Efficacy against esophageal squamous cell carcinoma
- Research on technological process for production of muskmelon juice (Cucumis melo L.)
- Physicochemical components, antioxidant activity, and predictive models for quality of soursop tea (Annona muricata L.) during heat pump drying
- Characterization and application of Fe1−xCoxFe2O4 nanoparticles in Direct Red 79 adsorption
- Torilis arvensis ethanolic extract: Phytochemical analysis, antifungal efficacy, and cytotoxicity properties
- Magnetite–poly-1H pyrrole dendritic nanocomposite seeded on poly-1H pyrrole: A promising photocathode for green hydrogen generation from sanitation water without using external sacrificing agent
- HPLC and GC–MS analyses of phytochemical compounds in Haloxylon salicornicum extract: Antibacterial and antifungal activity assessment of phytopathogens
- Efficient and stable to coking catalysts of ethanol steam reforming comprised of Ni + Ru loaded on MgAl2O4 + LnFe0.7Ni0.3O3 (Ln = La, Pr) nanocomposites prepared via cost-effective procedure with Pluronic P123 copolymer
- Nitrogen and boron co-doped carbon dots probe for selectively detecting Hg2+ in water samples and the detection mechanism
- Heavy metals in road dust from typical old industrial areas of Wuhan: Seasonal distribution and bioaccessibility-based health risk assessment
- Phytochemical profiling and bioactivity evaluation of CBD- and THC-enriched Cannabis sativa extracts: In vitro and in silico investigation of antioxidant and anti-inflammatory effects
- Investigating dye adsorption: The role of surface-modified montmorillonite nanoclay in kinetics, isotherms, and thermodynamics
- Antimicrobial activity, induction of ROS generation in HepG2 liver cancer cells, and chemical composition of Pterospermum heterophyllum
- Study on the performance of nanoparticle-modified PVDF membrane in delaying membrane aging
- Impact of cholesterol in encapsulated vitamin E acetate within cocoliposomes
- Review Articles
- Structural aspects of Pt(η3-X1N1X2)(PL) (X1,2 = O, C, or Se) and Pt(η3-N1N2X1)(PL) (X1 = C, S, or Se) derivatives
- Biosurfactants in biocorrosion and corrosion mitigation of metals: An overview
- Stimulus-responsive MOF–hydrogel composites: Classification, preparation, characterization, and their advancement in medical treatments
- Electrochemical dissolution of titanium under alternating current polarization to obtain its dioxide
- Special Issue on Recent Trends in Green Chemistry
- Phytochemical screening and antioxidant activity of Vitex agnus-castus L.
- Phytochemical study, antioxidant activity, and dermoprotective activity of Chenopodium ambrosioides (L.)
- Exploitation of mangliculous marine fungi, Amarenographium solium, for the green synthesis of silver nanoparticles and their activity against multiple drug-resistant bacteria
- Study of the phytotoxicity of margines on Pistia stratiotes L.
- Special Issue on Advanced Nanomaterials for Energy, Environmental and Biological Applications - Part III
- Impact of biogenic zinc oxide nanoparticles on growth, development, and antioxidant system of high protein content crop (Lablab purpureus L.) sweet
- Green synthesis, characterization, and application of iron and molybdenum nanoparticles and their composites for enhancing the growth of Solanum lycopersicum
- Green synthesis of silver nanoparticles from Olea europaea L. extracted polysaccharides, characterization, and its assessment as an antimicrobial agent against multiple pathogenic microbes
- Photocatalytic treatment of organic dyes using metal oxides and nanocomposites: A quantitative study
- Antifungal, antioxidant, and photocatalytic activities of greenly synthesized iron oxide nanoparticles
- Special Issue on Phytochemical and Pharmacological Scrutinization of Medicinal Plants
- Hepatoprotective effects of safranal on acetaminophen-induced hepatotoxicity in rats
- Chemical composition and biological properties of Thymus capitatus plants from Algerian high plains: A comparative and analytical study
- Chemical composition and bioactivities of the methanol root extracts of Saussurea costus
- In vivo protective effects of vitamin C against cyto-genotoxicity induced by Dysphania ambrosioides aqueous extract
- Insights about the deleterious impact of a carbamate pesticide on some metabolic immune and antioxidant functions and a focus on the protective ability of a Saharan shrub and its anti-edematous property
- A comprehensive review uncovering the anticancerous potential of genkwanin (plant-derived compound) in several human carcinomas
- A study to investigate the anticancer potential of carvacrol via targeting Notch signaling in breast cancer
- Assessment of anti-diabetic properties of Ziziphus oenopolia (L.) wild edible fruit extract: In vitro and in silico investigations through molecular docking analysis
- Optimization of polyphenol extraction, phenolic profile by LC-ESI-MS/MS, antioxidant, anti-enzymatic, and cytotoxic activities of Physalis acutifolia
- Phytochemical screening, antioxidant properties, and photo-protective activities of Salvia balansae de Noé ex Coss
- Antihyperglycemic, antiglycation, anti-hypercholesteremic, and toxicity evaluation with gas chromatography mass spectrometry profiling for Aloe armatissima leaves
- Phyto-fabrication and characterization of gold nanoparticles by using Timur (Zanthoxylum armatum DC) and their effect on wound healing
- Does Erodium trifolium (Cav.) Guitt exhibit medicinal properties? Response elements from phytochemical profiling, enzyme-inhibiting, and antioxidant and antimicrobial activities
- Integrative in silico evaluation of the antiviral potential of terpenoids and its metal complexes derived from Homalomena aromatica based on main protease of SARS-CoV-2
- 6-Methoxyflavone improves anxiety, depression, and memory by increasing monoamines in mice brain: HPLC analysis and in silico studies
- Simultaneous extraction and quantification of hydrophilic and lipophilic antioxidants in Solanum lycopersicum L. varieties marketed in Saudi Arabia
- Biological evaluation of CH3OH and C2H5OH of Berberis vulgaris for in vivo antileishmanial potential against Leishmania tropica in murine models