Home Plant description, phytochemical constituents and bioactivities of Syzygium genus: A review
Article Open Access

Plant description, phytochemical constituents and bioactivities of Syzygium genus: A review

  • Ei Ei Aung , Alfinda Novi Kristanti EMAIL logo , Nanik Siti Aminah , Yoshiaki Takaya and Rico Ramadhan
Published/Copyright: October 13, 2020

Abstract

This article attempts to report native growth, plant description, phytochemical constituents and bioactivities of Syzygium aqueum, S. aromaticum, S. cumini, S. guineense and S. samarangense. Those are the large public species in the Syzygium genus and some of them have been used as traditional medicines. Different parts (leaves, seeds, fruits, barks, stem barks and flower buds) of each species plant are rich in phytochemical constituents such as flavonoids, terpenoids, tannins, glycosides and phenolics. Antioxidant, antidiabetic, anticancer, toxicity, antimicrobial, anti-inflammatory and anthelmintic activities are reported in various extracts (methanol, ethanol and aqueous) from different parts of Syzygium sp. The bioactivities were studied by using 1,1-diphenyl-2-picrylhydrazyl and ferric reducing antioxidant power assays for antioxidant, 5-(3-carboxymethoxyphenyl)-2-(4,5-dimethyl-thiazoly)-3-(4-sulfophenyl) tetrazolium and 3-(4,5-dimethylthiazol-2-yl)-2-5-diphenyltetrazolium bromide assays for anticancer, α-glucosidase and α-amylase inhibition assays for antidiabetic, agar well diffusion method for antimicrobial and brine shrimp lethality assay for toxicity. Moreover, this review shows that phytochemical constituents of each species significantly presented various bioactivities. Therefore, this review suggests that there is great potential for obtaining the lead drug from these species.

1 Introduction

Natural products are resources derived from living organisms, such as plants, animals and microorganisms. The chemicals produced by plants may be defined as “phytochemicals” [1,2]. Phytochemicals in plants have undoubtedly been a resource of medicinal treatment for human diseases for a long time. They played a key role in primary health care of nearly 75–80% of the world’s population according to the World Health Organization [3]. Phytochemicals in a plant can be explored by using various methods such as extraction, separation, purification, identification, structure elucidation, determination of physical and chemical properties, biosynthesis and quantification [4]. The phytochemicals could be classified as primary and secondary metabolites. Primary metabolites involved natural sugars, amino acids, proteins, purines and pyrimidines of nucleic acids and chlorophyll. Secondary metabolites are the remaining plant chemicals such as glycosides, alkaloids, terpenoids, flavonoids, lignans, steroids, curcumines, saponins and phenolics [5].

The secondary metabolites are primary for plants to protect themselves from environmental hazards such as pollution, UV exposure, stress, drought and pathogenic attack, as well as researchers have reported that phytochemicals can protect them from human diseases [5,6]. The secondary metabolites have biological properties such as antioxidant activity, anticancer property, antimicrobial effect, anti-inflammatory and stimulant to the immune system [7]. Bioactive secondary metabolites, more than a thousand known and many unknown, come from all parts of plants such as stems, fruits, roots, flowers, seeds, barks and pulps. [7,8]

The eighth-largest family in herbal plants is Myrtaceae that comprised about 140 genera and 3,800–5,800 species [9]. Syzygium is the 16th largest genus of flowering plants in Myrtaceae family [10] that includes high diversity cultivated for many purposes such as colorful, edible and fleshy fruits [11,12]. There are 1,100–1,200 species of Syzygium [13,14,15,16]. Species of Syzygium are distributed in the tropical and sub-tropical regions of the world [17,18]. They have a native range that extends from Africa and Madagascar through southern East Asia and the Pacific [13,17]. The enormous diversity of species takes place in South East Asia such as Indonesia, Malaysia, East India [11], Myanmar, Philippines and Thailand [13]. The Syzygium genus is widely grown in rainforests such as coastal forests, swamp forests, resembled monsoons, bamboo forests and peat swamp forests [14].

Syzygium genus contains abundant secondary metabolites such as terpenoids, chalcones, flavonoids, lignans, alkyl phloroglucinols, hydrolysable tannins and chromone derivatives [19], which exhibits bioactivities such as antidiabetic, antifungal, anti-inflammatory, antibacterial, antioxidant, cytotoxic [20], anti-HIV, antidiarrheal, anthelmintic and antivirus activities [16]. S. aqueum, S. aromaticum, S. cumini, S. guineense and S. samarangense are five large public species in this genus [14]. Some of them have been used as a traditional medicine to treat several disorders (such as hemorrhage, dysentery and gastrointestinal disorders), diabetes, inflammation such as antifungal, antimicrobial, antihypertensive, analgesic and antiviral [15] bronchitis, thirst, dysentery and ulcers [16].

Most researchers have reported their rich sources of phytochemical constituents and bioactivities. Native growth and plant description of five species have been already reviewed by many reviewers [21,22,23,24,25]. S. cumini, one known species, has been overviewed by some authors [26,27]. And then, phytochemical constituents and bioactivities of both S. aromaticum [28,29] and S. cumini [30,31] have been already reported in review articles. However, phytochemical constituents and bioactivities of S. aqueum, S. guineense and S. samarangense have not yet been discussed by any reviewers. Moreover, most of the authors have reviewed only phytochemicals or bioactivities of one species in each review article.

Therefore, this review aims to provide detailed reports of five large public species in Syzygium genus. Rich phytochemicals and bioactivities of five species have been recorded by reviewing many international public articles and most of the review articles by authors. All of native growths, plant descriptions, phytochemical constituents and bioactivities from different parts of plants (five species) are studied in this review article (Table 1).

Table 1

Common name and distribution of five Syzygium species

Species nameFamilyGenusCommon nameDistributionRef.
S. aqueumMyrtaceaeSyzygiumWater apple, bell fruit, water cherry and water rose appleIndia, Malaysia, Asia and Philippines[13,32,33]
S. samarangenseMyrtaceaeSyzygiumJava apple, markopa, Java rose apple, Samarang apple, wax jambu and wax appleMalaysia, Indonesia, Thailand, Cambodia, Laos, Vietnam, India, Australia and Taiwan[13,34,35]
S. aromaticumMyrtaceaeSyzygiumClove, Lavang and Laung (Hindi)Indonesia, Madagascar, Pakistan, India, Sri Lanka and China[13,28,36]
S. cuminiMyrtaceaeSyzygiumJambul, Jambolan, black plum, duhat plum and Java plumIndia, Malaysia, Myanmar, Philippines, Sri Lanka and Thailand[13,30,37]
S. guineenseMyrtaceaeSyzygiumWater berry, water boom and woodland Roof of AfricaAustralia, Asia and Horn of Africa[13,38]

2 Description of plants

2.1 Syzygium aqueum

The tree of S. aqueum is cultivated well in heavy and fertile soils and is sensitive to frost. It grows up to a height of 8–10 m with branching near the base. Leaves are 4.5–23 cm long, 1.5–11 cm wide and oblong to elliptic. The leafstalk is 1–5 mm long. Flowers are yellowish-white or pinkish and are 2–3 cm long. They produced terminal or axillary cymes and moreover the flowering season occurs in February–March and fruits mature during May–June. Fruits are pale rose or white. They are watery, small bell-shaped with shinning skin, spongy and slightly fragrant. They are about 1 inch long and are ½ inch wide [39,40,41].

2.2 Syzygium samarangense

The tree of S. samarangense is grown in a rather long dry period and relatively moist tropical sea level area up to 1,200 m. It grows up to a height of 3–15 m with branching near the base. Leaves are 10–25 cm × 5–12 cm, petiole is thick and the shape of leaves is opposite and oblong to elliptic. Flowers are white to yellowish-white, 2.5 cm in diameter and the flowering season is early or late in the dry period. Fruits are bell-shaped, oval and their sizes are 3.5–5.5 cm × 4.5–5.5 cm. The skin color of fruits splits from white to pale green to dark green, from pink to red to pink-red [21,22].

2.3 Syzygium aromaticum

S. aromaticum is also known as clove, which is an aromatic dried flower bud of a plant in the Myrtaceae family. The clove is composed of buds and leaves (the commercial part of the plant). The flowering bud production begins 4 years after plantation, and they are collected by hand or using a natural phytohormone in the pre-flowering period [29,42].

2.4 Syzygium cumini

S. cumini is an evergreen tree and the height is 25 m. Leaves are slightly leathery and from oblong-ovate to elliptical or obovate-elliptic. The length of leaf is 6–12 cm long and the stalk of a leaf is 3 cm long. Flowers are fragrant, white to pink or greenish-white, about 1 cm in cross, branched clusters at the stem tips. The calyx is about 4 mm long, four toothed and funnel-shaped. The very numerous stamens are as long as the calyx. The ovoid fruits are 1.5–3.5 cm long berries, dark purple or nearly black, dark purplish-red, shiny, with white to lavender flesh. The fruit contains a single large seed, 2 cm long [17,23,37].

2.5 Syzygium guineense

S. guineense prefers moist soils on high water tables in lowland riverine forest or wooded grassland and lower montane forests, from sea level to 2,100 m. It is a sizeable evergreen tree in the forest and the height is from 10 to 15 m or 25 m. It has a broad trunk and fluted with dense rounded thick crown, branches drooping. The more the age of the plant, the more the bark is rough and flaking. Leaves are opposite, smooth on both surfaces, shiny and with short stalks. The color of leaves is from purple-red to dark green. Flowers have white, showy stamens, with fragrant smell and in dense clusters. Fruits are oval shaped, 3 cm long, shiny, purple-black in color and one-seeded [24].

3 Phytochemical constituents

3.1 Flavonoids

Phloretin (1), myrigalone-G (2), myrigalone B (3) [43], 2′,4′-dihydroxy-6′-methoxy-3′-methyldihydrochalcone (4), 2′-hydroxy-4′,6′-dimethoxy-3′-methyldihydrochalcone (5), 2′,4′-dihydroxy-6′-methoxy3′,5′-dimethyldihydrochalcone (6) [46,47], 2′,4′-dihydroxy-6′-methoxy-3′-methylchalcone or stercurensin (7), 2′-hydroxy-4′,6′-dimethoxy-3′-methylchalcone (8) [46,47], 2′,4′-dihydroxy-6′-methoxy-3′,5′dimethylchalcone (9) [44], 2′,4′-dihydroxy-3′,5′-dimethyl-6′-methoxychalcone (10), 2′,4′-dihydroxy-6′-methoxchalcone or cardamonin (11) [51], pinocembrin (12), (−)-strobopinin (13), 8-methylpinocembrin (14), demethoxymatteutcinol (15), 7-hydroxy-5-methoxy-6,8-dimethylfoavanone (16) [48], 7,8,3′,4′-tetrahydroxy-3,5-dimethoxyflavone (17) [45], 7-hydroxy-5-methoxy-6,8-dimethylflavanone (18), quercetin (19) [49,50], kaempferol (20) [54], gallocatechin (21), myricetin (22) [51], (−)-epigallocatechin (23), (−)-epigallocatechin 3-O-gallate (24), samarangenin A (25), samarangenin B (26), prodelphinidin B-2 3″-O-gallate (27) and prodelphinidin B-2 3,3″-O-gallate (28) [52] are presented in Figure 1.

Figure 1 Flavonoids from various parts of S. aqueum, S. samarangense, S. aromaticum, S. cumini and S. guineense.
Figure 1

Flavonoids from various parts of S. aqueum, S. samarangense, S. aromaticum, S. cumini and S. guineense.

3.2 Flavonoid glycosides

Myricetin-3-O-rhamnoside (29) [43,45], europetin-3-rhamnoside (30) [43], mearnsitrin (31) [53], reynoutrin (32), hyperin (33), quercitrin (34), guaijaverin (35) [49], tamarixetin 3-O-β-d-glucopyranoside (36), ombutin 3-O-β-d-glucopyranoside (37) [50], quercetin 3-O-α-l-rhamnopyranoside (38), kaempferol 3-O-β-d-glucuronopyranoside (39), myricetin 3-O-β-d-glucuronopyranoside (40), mearnsetin 3-O-(4″-O-acetyl)-α-l-rhamnopyranoside (41), myricetin 3-O-(4″-O-acetyl)-α-l-rhamnopyranoside (42), myricetin 4′-methyl ether 3-O-α-l-rhamnopyranoside (43), myricetrin 4″-O-acetyl-2″-O-gallate (44) [54], myricetin-3-O-glucoside (45), myricetin-3-O-rhamnoside (46), myricetin-3-O-glucoronide (47) and myricetin-3-O-β-d-(6″-galloyl) galactoside (48) [51] are shown in Figure 2.

Figure 2 Flavonoid glycosides from various parts of S. aqueum, S. samarangense, S. aromaticum, S. cumini and S. guineense.
Figure 2

Flavonoid glycosides from various parts of S. aqueum, S. samarangense, S. aromaticum, S. cumini and S. guineense.

3.3 Chromone glycosides

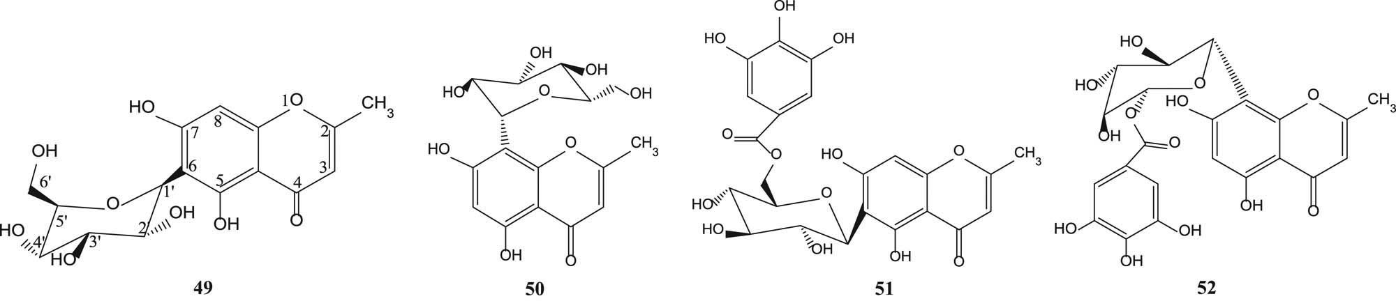
Biflorin (49), isobiflorin (50), 6-C-β-d-(6′-O-galloyl) glucosylnoreugenin (51) and 8-C-β-d-(6′-O-galloyl)glucosylnoreugenin (52) [55] are shown in Figure 3.

Figure 3 Chromone glycosides from various parts of S. aromaticum.
Figure 3

Chromone glycosides from various parts of S. aromaticum.

3.4 Terpenoids

Sysamarin A (53), sysamarin B (54), sysamarin C (55), sysamarin D (56), sysamarin E (57) [56], lupenyl stearate (58) [57], lupeol (59) [46,57], betulin (60), betulinic acid (61) [46,63], oleanolic acid (62) [55,58,59], arjunolic acid (63) [58,61,62], corosolic acid (64) [58] asiatic acid (65) [58,61,62], maslinic acid (66) [55], 12-oleanen-3-ol-3β acetate (67) [60], 2-hydroxyoleanolic acid (68), 2-hydroxyursolic acid (69), terminolic acid (70), 6-hydroxy asiatic acid (71) [61,62], limonin (72) [50], caryolane-1,9β-diol (73), clovane-2,9β-diol (74), α-humulene (75), humulene epoxide α (76), β-caryophyllene (77) and β-caryophyllene oxide (78) [55] are shown in Figure 4.

Figure 4 Terpenoids and steroids from various parts of S. samarangense, S. aromaticum, S. cumini and S. guineense.
Figure 4

Terpenoids and steroids from various parts of S. samarangense, S. aromaticum, S. cumini and S. guineense.

3.5 Steroids

Lupenyl stearate cycloartenyl stearate (79), β-sitosteryl stearate (80), 24-methylenecycloartenyl stearate (81) [57], β-sitosterol (82) [57,59] and stigmasterol (83) [60] are shown in Figure 5.

Figure 5 Steroids from various parts of S. aromaticum and S. cumini.
Figure 5

Steroids from various parts of S. aromaticum and S. cumini.

3.6 Steroid glycoside and terpenoid glycosides

β-Sitosterol-3-O-β-d-glucoside (84) [55], arjunolic acid 28-β-glycopyranosyl ester (85) and asiatic acid 28-β-glycopyranosyl ester (86) [61,62] are displayed in Figure 6.

Figure 6 Steroid glycosides and terpenoid glycosides from various parts of S. aromaticum and S. guineense.
Figure 6

Steroid glycosides and terpenoid glycosides from various parts of S. aromaticum and S. guineense.

3.7 Tannins

3,3′,4′-Tri-O-methylellagic acid (87) [55], ellagic acid (88) [49,64], ellagitannin-3-O-methylellagic acid 3′-O-β-d-glucopyranoside (89), ellagic acid 4-O-α-l-2″-acetylhamnopyranoside (90) [64], 3-O-methylellgic acid 3′-O-α-l-rhamnopyranoside (91), gallotannins 1,2,3,6-tetra-O-galloyl-β-d-glucose (92), 1,2,3,4,6-penta-O-galloyl-β-d-glucose (93), casuarictin (94) and casuarinin (95) [51] are depicted in Figure 7.

Figure 7 Tannins from various parts of S. aromaticum, S. cumini and S. guineense.
Figure 7

Tannins from various parts of S. aromaticum, S. cumini and S. guineense.

3.8 Phenols

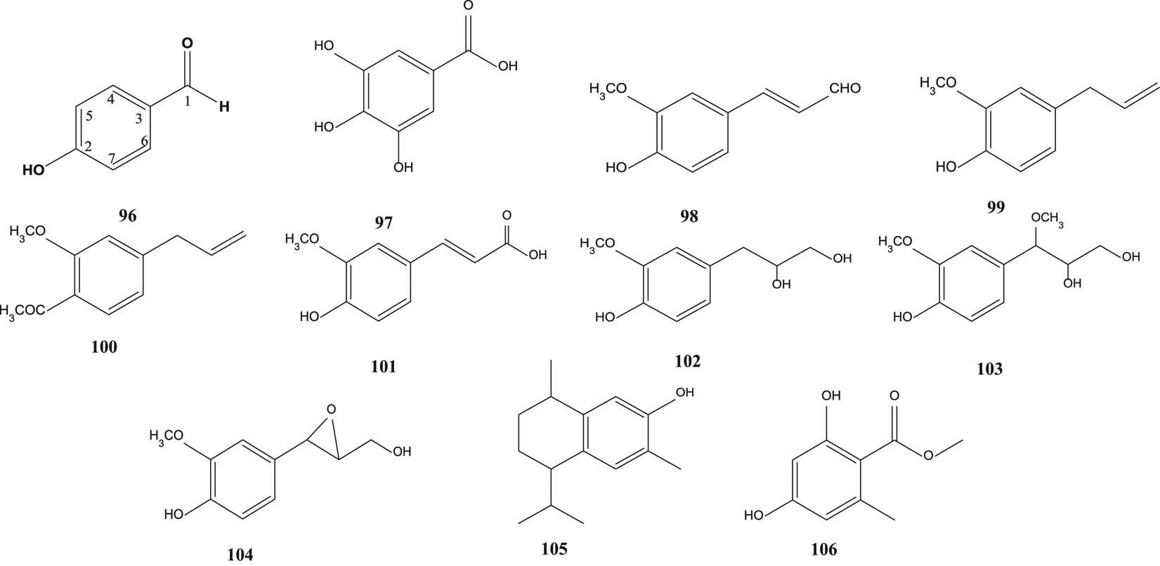
Hydroxybenzaldehyde (96) [43], gallic acid (97) [49,64], ferulic aldehyde (98) [50], eugenol (99), eugenyl acetate (100), trans-coniferylaldehyde (101), 3-(4-hydroxy-3-methoxy-phenyl) propane-1,2-diol (102), 1-O-methyl-guaiacylglycerol (103), epoxiconiferyl alcohol (104) [55], 7-hydroxycalamenene (105) and methyl-β-orsellinate (106) [59] are shown in Figure 8.

Figure 8 Phenyls of S. aqueum, S. samarangense and S. aromaticum.
Figure 8

Phenyls of S. aqueum, S. samarangense and S. aromaticum.

3.9 Phenyl glycosides

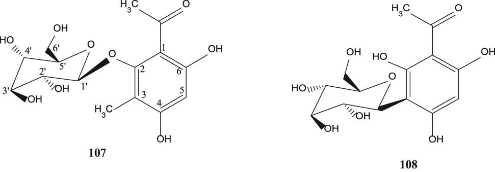
2,4,6-Trihydroxy-3-methylacetophenone-2-O-β-d-glycoside (107) and 2,4,6-trihydroxy-3-methylaceto-phenone-2-C-β-d-glycoside (108) [55] are shown in Figure 9.

Figure 9 Phenyl glycosides of S. aromaticum.
Figure 9

Phenyl glycosides of S. aromaticum.

3.10 Acylphloroglucinol derivatives

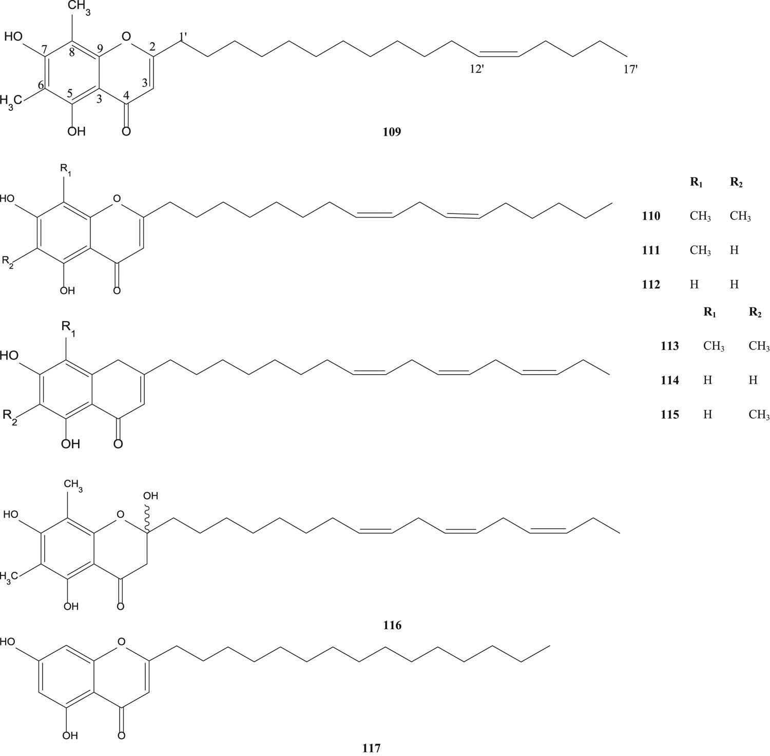
Samarone A (109), samarone B (110), samarone C (111), jambone G (112), samarone D (113), jambone E (114), jambone F (115), jamunone B (116) and 2-pentadecyl-5,7-didydroxychromone (117) [65] are illustrated in Figure 10.

Figure 10 Acylphloroglucinol derivatives from S. samarangense.
Figure 10

Acylphloroglucinol derivatives from S. samarangense.

4 Bioactivities

4.1 Antioxidant activity

Antioxidant activity of methanol extract of S. aqueum leaves was investigated by using β-carotene bleaching and 2,2′-azinobis(3-ethylbenzothiazoline-6-sulfonic acid) (ABTS) free radical scavenging assays. Fresh and dried leaves of sample were extracted with methanol:water (1:10). The percentage of antioxidant activity of the fresh sample was higher than that of the dried sample for both β-carotene bleaching and ABTS assays [32].

Fruits of S. aqueum were mashed with citrate buffer, pH 4.2. Then, the extract was investigated using 1,1-diphenyl-2-picrylhydrazyl (DPPH) assay. Vitamin C was used as a positive control. The absorbance was measured at 517 nm. IC50 (µg/mL) values of both standard and sample were nearly the same, and they had powerful antioxidant activity because the IC50 value was less than 50 µg/mL [66].

S. aqueum leaves were extracted with 50% acetone (v/v). The extract was investigated by using DPPH radical scavenging and ferric reducing antioxidant power (FRAP) assays. In the DPPH assay, the percentage scavenging of acetone extract was higher than that of water extract. In the FRAP assay, µM Fe(ii)/g of water extract was higher than that of acetone extract [67].

Leaves of S. aqueum were extracted with 100% methanol. The antioxidant activity of the extract was investigated using DPPH radical scavenging, FRAP, ABTS radical scavenging and total antioxidant capacity assays. (epi) Gallocatechin gallate (EGCG) and vitamin C were used as standards when compared with the sample for all assay methods. Radical scavenging activity (µg/mL) of the extract is nearly the same as standards for all methods [33].

S. samarangense seeds were extracted with methanol, and then the antioxidant activity of the extract was determined using DPPH and FRAP assays. Gallic acid was selected as a positive control. The methanol extract showed moderate activity by the DPPH assay as well as by the FRAP assay [49].

The antioxidant activity of fruits of each S. samarangense tree cultivar (red, pink and green) was studied using DPPH radical scavenging. Ascorbic acid was used as a standard. The red cultivar showed the highest antioxidant activity and the green cultivar exhibited the lowest antioxidant activity [68].

Extraction of the roots of S. samarangense was carried out with three kinds of solvents (ethyl acetate, methanol and water) using the Soxhlet extraction method. The antioxidant activity of root extracts was evaluated using DPPH radical scavenging and ascorbic acid was used as a standard. The highest percentage of scavenging was shown by the methanol extract [69].

S. aromaticum (clove) was extracted with methanol and distilled water. The antioxidant activity of two extracts was determined using the DPPH assay and quercetin was chosen as a positive control. The highest percent scavenging was shown by quercetin, followed by the distilled water extract and the methanol extract was the lowest. [70].

S. aromaticum flower buds were extracted with ethanol and distilled water. The sample was also extracted to obtain the essential oil. Different percentages of oil (0.1%, 0.5% and 1%) and dried ethanol extract (5.0%) were dissolved in aqueous ethanol solu-tion (1:1). The antioxidant activities of ethanol extract, distilled water extract and three different percentages of essential oil in aqueous ethanol were determined using the DPPH assay. Ascorbic acid was used as a standard. The best inhibition was presented by the ethanol extract which had the EC50 (µg/mL) value nearly the same as that of the standard [71].

S. cumini leaves were extracted with ethanol. The antioxidant activity of the extract was determined using the DPPH assay, and the result showed that IC50 = 9.85 ± 0.51 µg/mL. Ascorbic acid was used as a positive control [72].

S. cumini seeds were extracted with methanol. The antioxidant activity of the extract was determined using DPPH and FRAP assays. Vitamin C, butylated hydroxyanisole (BHA) and quercetin were used as positive controls. This methanol extract expressed strong antioxidant activity. At certain concentration, this extract showed a stronger percentage of DPPH scavenging than that of BHA. Likewise with the reducing power in the FRAP assay, vitamin C showed weaker antioxidant activity than the methanol extract. The authors stated that the high tannins present in the methanol extract contributed to the strong antioxidant activity [73].

S. cumini leaves were extracted with methanol. The antioxidant activity of the extract was determined using the DPPH assay. Butyl hydroxyl toluene (BHT) and ascorbic acid were used as standards. The IC50 value of the extract obtained showed a potent scavenging activity when compared with BTH and ascorbic acid [74].

S. guineense leaves were extracted with 80% methanol. The antioxidant activity of the extract was determined using the DPPH assay. The leaf extract did not show the antioxidant activity [75].

The essential oil was extracted from S. guineense leaves by using the hydro-distillation method. The antioxidant activity of essential oil was determined using the DPPH radical scavenging assay. BHT was used as a standard. The authors reported that this essential oil exhibited the high antioxidant activity [76].

4.2 Anticancer activity

S. aqueum leaves were extracted with methanol for the determination of cytotoxicity using sulforhodamine B (SRB) assay. The activity was tested on human breast cancer cell (MDA-MB-231) and compared with that of doxorubicin (standard cytotoxic drug). The extract was less toxic on cancer cell line (IC50 > 100 µg/mL) [86].

Pulp of S. samarangense was extracted with methanol and then the extract was tested on SW-480 human colon cancer cell line using the MTT (3-(4,5-dimethylthiazol-2-yl)-2-5-diphenyltetrazolium bromide) assay. EGCG was treated as a positive control. Methanolic extract and EGCG were highly toxic on cancer cell line according to data [49].

S. cumini seeds were extracted with ethyl acetate. The extract was separated using column chromatography with an eluent mixture of chloroform:ethyl acetate:methanol (30:50:20) to obtain a single compound, flavopiridol. The anticancer activity of the isolated compound was evaluated on MCF7, A2780, PC-3 and H460 cell lines using the MTS (5-(3-carboxymethoxyphenyl)-2-(4,5-dimethyl-thiazoly)-3-(4-sulfophenyl) tetrazolium) assay. Flavopiridol was used as a positive control. The S. cumini seed extract proved the highest activity against A2780 cell line (IC50 = 49 μg/ml), whereas showed the least activity against H460 cell line [77].

S. guineense’s leaves and bark were extracted with ethanol, water and the mixture of ethanol–water. All extracts were tested on HeLa cell line and SiHa cell line for anticancer activity using the SRB assay. Adriamycin was used as a positive control on both cell lines. The aqueous extract of bark showed the best inhibition of cancer cell growth on both cell lines. The ethanol extract of leaves exhibited more efficient inhibition than other leaf extracts on both cell lines [78].

The ethanol leaf extract of S. cumini was tested on human keratinocyte cells (HaCaT cell line) by using the MTT assay. From this study, it was known that the ethanol extract was not toxic at concentrations of 500–250 µg/mL [72].

S. aqueum leaves were extracted with methanol. The cytotoxicity of the extract was detected on breast cancer cell line MCF-7 using the SRB assay. Doxorubicin was used as the standard. The results showed that the extract had high activity against MCF-7 cell line (IC50 < 100 µg/mL). This activity is caused by the content of phenolic compounds which act as phytoestrogens in the Syzygium extract under study [86].

4.3 Antimicrobial activity

S. samarangense fruits were extracted by using three solvents (petroleum ether, ethyl acetate and methanol). All extracts were tested against certain bacterial and fungal strains using the disc diffusion method. Gram-positive bacteria (Bacillus cereus, Staphylococcus aureus and Candida albicans) and Gram-negative bacteria (Escherichia coli, Pseudomonas aeruginosa and Klebsiella pneumoniae) were used in this study. Ampicillin, kanamycin, tetracycline and vancomycin were used as standards. The method used was a microdilution using a 96-well microtiter plate. The result of this study showed that the Gram-positive and Gram-negative bacteria were sensitive to fruit extracts. Among the three extracts, the methanol extract showed a higher activity than other extracts [79].

The ethanol extract of S. samarangense leaves was examined for antibacterial activity by using the broth microdilution method. The extract was tested against E. coli, B. cereus, Enterobacter aerogenes, Salmonella enterica and Kocuria rhizophila. The minimum inhibitory concentration (MIC) value was determined to be the lowest concentration of the extract capable of inhibiting microorganism growth. The leaf extract of the sample was more effective against B. cereus and S. enterica than others when compared with chloramphenicol [35].

Leaves, bark and fruits of S. samarangense tree cultivars (red, pink and green) were extracted with methanol and ethanol. All extracts were evaluated against four bacteria, including two Gram-positive (B. cereus and S. aureus) and two gram-negative bacteria (E. coli and P. aeruginosa), by using the disc diffusion method. Tetracycline was used as a positive control. All the extracts showed the antimicrobial activity. However, the ethanolic extracts showed higher antimicrobial activities than the methanolic extracts. All the bark extracts of three cultivars exhibited higher antimicrobial activities followed by fruit and leaf extracts [68].

S. samarangense root was extracted by using three kinds of solvents (ethyl acetate, methanol and water) by using the Soxhlet extraction method. The root extracts were evaluated against Salmonella typhi, E. coli, P. aeruginosa and Bacillus subtilis by using the agar well diffusion method. The methanolic extract presented high inhibitory effect on S. typhi, the ethyl acetate extract showed potent inhibitory effect on P. aeruginosa and the aqueous extract exhibited strong inhibitory effect on S. typhi [69].

The antibacterial and antifungal activities of S. aromaticum oil were determined by using the agar well diffusion method against S. aureus, E. coli and P. aeruginosa bacteria and C. albicans, Aspergillus flavus and Penicillium. Ciprofloxacin and ketoconazole were used as positive controls. S. aromaticum oil had a high inhibitory effect on bacteria and fungi when compared with positive control [70].

S. aromaticum (clove) was extracted with 70% ethanol and 80% methanol. The two extracts were tested on S. aureus, P. aeruginosa and E. coli in comparison with the selected antibiotic (tetracycline) using the agar well diffusion method. The highest activity against P. aeruginosa was presented by the ethanol extract and against S. aureus was shown by the methanol extract. [80].

S. aromaticum (cloves) was extracted with 80% methanol. The 1% of six metals (Zn++, Cu++, Pb++, Ca++, Mg++ and Fe++) was added in the extract and the antibacterial properties were tested using the agar well diffusion method. For S. aureus, the maximum zone of inhibition was presented by zinc, for E. coli by magnesium and for P. aeruginosa by lead [80].

S. cumini seeds were extracted with ethyl acetate. The extract was separated and purified to obtain a single compound. This compound showed antibacterial activity against E. coli, P. aeruginosa, S. aureus and B. subtilis using the agar cup method. The largest zone of inhibition was observed in E. coli [77].

S. cumini (leaves, pulps and seeds) was extracted with methanol. The extract was examined against E. coli and S. aureus using the agar well diffusion assay. Leaf extract exhibited antibacterial activity both on E. coli and S. aureus, whereas pulp and seed extracts did not show any antibacterial activity [81].

The essential oil was isolated from S. guineense leaves by using the hydrodistillation method. The MIC of essential oil on microorganisms (P. aeruginosa, K. pneumonia, E. coli, S. aureus, C. albicans and Mycobacterium bovis [BCG]) was determined using the microbroth dilution method. Essential oil of S. guineense exhibited strong antimicrobial activities against the tested microorganisms when compared with ciprofloxacin, fluconazole and isoniazid [76].

S. guineense seeds were extracted with ethanol. The MIC on microorganisms (E. coli, K. pneumonia, S. typhi, S. aureus and C. albicans) of the extract was determined by using the broth microdilution method. Gentamicin sulfate and fluconazole were used as standard drugs. The extract showed weak to moderate antibacterial activity and lower than standard drugs [82].

4.4 Antidiabetic activity

S. samarangense root was extracted by using three kinds of solvents (ethyl acetate, methanol and water) by using the Soxhlet extraction method. The antidiabetic activity of all extracts was determined using alpha-amylase inhibition. Water extract showed the highest percentage of alpha-amylase inhibition, followed by methanol and ethyl acetate extracts [69].

S. cumini seeds were extracted with methanol. The antidiabetic activity of extract was determined by using alpha-amylase enzyme. The percentage of inhibition varied from 38.6% to 95.4%. It was concluded that the sample possessed significant antidiabetic activity [84].

S. guineense leaves were extracted with 80% methanol. The antidiabetic activity of the extract was determined using alpha-glucosidase enzyme. IC50 obtained from that study was 6.15 μg/mL, which was the best inhibition for antidiabetic activity [75].

4.5 Toxicity

The toxicity of the ethanolic leaf extract of S. cumini was tested by using the brine shrimp lethality assay. Thymol was used as a standard. Ten brine shrimp larvae were added in each concentration of extract (1,000–10 μg/mL). The absence of brine shrimp death in the sample was calculated to obtain the LC50 value. The result of the test showed that the extract did not have high toxicity compared to thymol as a standard [72].

S. guineense seeds were extracted with ethanol and the toxicity of the obtained was tested using the brine shrimp lethality assay. Cyclophosphamide was used as a standard. Ten brine shrimps larvae were added in different concentrations of extract (240, 120, 80, 40 and 24 μg/mL). The absence of brine shrimp death in the sample was calculated to obtain the LC50 value. The extract did not have the toxicity (LC50 value was above100 µg/mL) [85].

4.6 Anti-inflammatory activity

The anti-inflammatory activity of the methanolic extract of S. aqueum leaves was determined. For this study, the ability of the extract to inhibit lipoxygenase (LOX) using an LOX inhibitor screening assay kit was established as well as ovine COX-1 and COX-2 inhibition using an enzyme immunoassay kit. Celecoxib, indomethacin and diclofenac were used as standards. The extract showed more potent inhibitory effect than diclofenac on COX-2 as well as on LOX. Celecoxib was less active than the extract on COX-1 [33].

Different kinds of solvents (ethyl acetate, methanol and water) were used for extraction of S. samarangense root. All extracts of root were evaluated for anti-inflammatory activity by the albumin denaturation assay. The methanol extract showed the highest percentage of albumin denaturation, followed by water and ethyl acetate extracts [69].

4.7 Anthelmintic activity

S. guineense seeds were extracted with ethanol. The anthelmintic activity of the extract was tested on adult roundworms (Ascaris suum) by using the protocol described by Nilani’s team. Albendazole was received as a standard drug. All tested concentrations of the extract required a longer time to cause paralysis and death than albendazole. To give the 100% death effect, the time requirement of the extract was slightly higher than that of negative control (normal saline) at concentrations of 50 and 30 mg/mL, but at a concentration of 100 mg/mL, the time requirement was 6% higher than that of the standard drug. This study resulted in a conclusion that at higher concentration, the extract exhibits reasonably high anthelmintic activity compared to albendazole [82]. Another paper gave a similar result (Table 2) [85].

Table 2

Isolated compounds and their bioactivities reported from Syzygium genus

NoCompound nameBioactivitiesPlant species (parts of plant)Ref.
1PhloretinAntidiabetic activity (EC50 µM)S. aqueum (leaves)[43,83]
(20 ± 2.2) for α-glucosidase inhibition and (31 ± 5.5) for α-amylase inhibition, positive control (acarbose)-(43 ± 1.6) for α-glucosidase and (19 ± 1.6) for α-amylase
2Myrigalone-GAntidiabetic activity (EC50 µM)S. aqueum (leaves)[43,83]
(7 ± 1.4) for α-glucosidase inhibition and (33 ± 6.6) for α-amylase inhibition, positive control (acarbose)-((43 ± 1.6) for α-glucosidase and (19 ± 1.6) for α-amylase
3Myrigalone BAntidiabetic activity (EC50 µM)S. aqueum (leaves)[43,83]
(19 ± 1.0) for α-glucosidase inhibition and (8.3 ± 1.3) for α-amylase inhibition, positive control (acarbose) – ((43 ± 1.6) for α-glucosidase and (19 ± 1.6) for α-amylase
42′,4′-Dihydroxy-6′-methoxy-3′-methyldihydrochalconeTrypsin inhibition assayS. samarangense (leaves)[46,47]
IC50 31.9 ± 0.25 mM to compared with Leupeptin (IC50 0.026 ± 0.001 µM)
Thrombin inhibition assay
IC50 14.9 ± 0.25 mM to compared with Leupeptin (IC500.045 ± 0.003 µM)
Prolyl endopeptidase inhibition assay
IC50 12.5 ± 0.2 µM to compared with Bacitracin (IC50 129.26 ± 3.28 µM)
52′-Hydroxy-4′,6′-dimethoxy-3′-methyldihydrochalconeTrypsin inhibition assayS. samarangense (leaves)[46,47]
IC50 2.7 ± 0.5 mM to compared with Leupeptin (IC50 0.026 ± 0.001 µM)
Thrombin inhibition assay
IC50 10.0 ± 0.5 mM to compared with Leupeptin (IC500.045 ± 0.003 µM)
Prolyl endopeptidase inhibition assay
IC50 158.5 ± 0.1 µM to compared with Bacitracin (IC50 129.26 ± 3.28 µM)
62′,4′-Dihydroxy-6′-methoxy3′,5′-dimethyldihydrochalconeTrypsin inhibition assayS. samarangense (leaves)[46,47]
IC50 38.2 ± 0.25 mM to compared with Leupeptin (IC500.045 ± 0.003 µM)
Thrombin inhibition assay
IC50 62.1 ± 0.25 mM to compared with Leupeptin (IC50 0.026 ± 0.001 µM)
Prolyl endopeptidase inhibition assay
IC50 98.3 ± 0.8 µM to compared with Bacitracin (IC50 129.26 ± 3.28 µM)
72′,4′-Dihydroxy-6′-methoxy-3′-methylchalcone or stercurensinTrypsin inhibition assayS. samarangense (fruit and leaves)[46,47,49]
IC50 5.6. ± 0.125 mM to compared with Leupeptin (IC50 0.026 ± 0.001 µM)
Prolyl endopeptidase inhibition assay
IC50 37.5 ± 1.0 µM to compared with Bacitracin (IC50 129.26 ± 3.28 µM)
Anticancer activity (MTT assay)
IC50 35 µM for compound and IC50 50 µM for EGCG as positive control on SW-480 human colon cancer cell line
Antioxidant activity
(IC50 141 ± 2.3 µM) by DPPH assay and (IC50 191 ± 0.1 µM) by FRAP assay
IC50 25.0 ± 0.1 µM for gallic acid (positive control) by DPPH
82′-Hydroxy-4′,6′-dimethoxy-3′-methylchalconeTrypsin inhibition assayS. samarangense (leaves)[46,47]
IC50 15.8 ± 0.25 mM to compared with Leupeptin (IC50 0.026 ± 0.001 µM)
Thrombin inhibition assay
IC50 30.7 ± 0.25 mM to compared with Leupeptin (IC500.045 ± 0.003 µM)
Prolyl endopeptidase inhibition assay
IC50 > 200 µM to compared with Bacitracin (IC50 129.26 ± 3.28 µM)
92′,4′-Dihydroxy-6′-methoxy-3′,5′ dimethylchalconeAnticancer activity (IC50 µM)S. aqueum (leaves) and S. samarangense (leaves)[44,46,47]
Inhibition of the proliferation of the breast cancer (MCF-7) cell lines by using MTT assay, IC50 values 270 µM (24 h) and 250 µM (48 hr)
Thrombin inhibition assay
IC50 1.8 ± 0.25 mM to compared with Leupeptin (IC500.045 ± 0.003 µM)
Prolyl endopeptidase inhibition assay
IC50 149.8 ± 7.1 µM to compared with Bacitracin (IC50 129.26 ± 3.28 µM)
102′,4′-Dihydroxy-3′,5′-dimethyl-6′-methoxychalconeAnticancer activity (MTT assay)S. samarangense (fruits)[49]
IC5010 µM for compound and IC50 50 µM for EGCG as positive control on SW-480 human colon cancer cell line
Antioxidant activity
(IC50 205 ± 1.2 µM) by DPPH assay and (IC50 196 ± 0.0 µM) by FRAP assay
IC50 25.0 ± 0.1 µM for gallic acid (positive control) by DPPH
112′,4′-Dihydroxy-6′-methoxchalcone or cardamoninAnticancer activity (MTT assay)S. samarangense (fruits)[49]
IC50 35 µM for compound and IC50 50 µM for EGCG as positive control on SW-480 human colon cancer cell line
Antioxidant activity
(IC50 141 ± 3.4 µM) by DPPH assay and (IC50 173 ± 0.0 µM) by FRAP assay
IC50 25.0 ± 0.1 µM for gallic acid (positive control) by DPPH
12PinocembrinAnticancer activity (MTT assay)S. samarangense (fruit and leaves)[48,49]
IC50 60 µM for compound and IC50 50 µM for EGCG as positive control on SW-480 human colon cancer cell line
Antioxidant activity
(IC50 199 ± 0.8 µM) by DPPH assay and (IC50 196 ± 0.0 µM) by FRAP assay
IC50 25.0 ± 0.1 µM for gallic acid (positive control) by DPPH
13(—)-StrobopininS. samarangense (leaves)[48]
148-MethylpinocembrinS. samarangense (leaves)[48]
15DemethoxymatteutcinolS. samarangense (leaves)[48]
167-Hydroxy-5-methoxy-6,8-dimethyl-foavanoneS. samarangense (leaves)[48]
177,8,3′,4′-Tetrahydroxy-3,5-dimethoxyflavoneAntioxidant activity (EC50 µg/mL)S. samarangense (leaves)[45]
(3.89 µg/mL) for DPPH assay whenby compareding with ascorbic acid (2.94 µg/mL)
(21.08 µg/mL) for FRAP assay whenby compareding with quercetin (23.18 µg/mL)
187-Hydroxy-5-methoxy-6,8-dimethylflavanoneTrypsin inhibition assayS. samarangense (leaves)[46,47]
IC50 7.4 ± 0.1 mM to compared with Leupeptin (IC50 0.026 ± 0.001 µM)
Prolyl endopeptidase inhibition assay
13.9% inhibition at 0.5 mM to compared with Bacitracin (IC50 129.26 ± 3.28 µM)
19QuercetinS. samarangense (fruits) and S. aromaticum (flower buds)[49,50]
20KaempferolS. cumini (leaves)[54]
21GallocatechinAntioxidant (DPPH)S. guineense (leaves)[51]
IC50 17 ± 3 µM for compound and IC50 12± 0.2 µM for quercetin (positive control)
15-lipoxygenase (15-LO) inhibition
IC50 112 ± 4 µM for compound and IC50 72±7 µM for quercetin (positive control)
Xanthine oxidase (OX) inhibition
IC50>167 µM for compound and IC50 3.0±0.6 µM for quercetin (positive control)
22MyricetinAntioxidant (DPPH)S. guineense (leaves)[51]
IC50 41±6 µM for compound and IC50 12±0.2 µM for quercetin (positive control)
15-Lipoxygenase (15-LO) inhibition
IC50>83 µM for compound and IC50 72±7 µM for quercetin (positive control)
Xanthine oxidase (OX) inhibition
IC50 8±1 µM for compound and IC50 3.0±0.6 µM for quercetin (positive control)
23(—)-EpigallocatechinS. aqueum (leaves) and S. samarangense (leaves)[52]
24(—)-Epigallocatechin 3-O-gallateS. aqueum (leaves) and S. samarangense (leaves)[52]
25Samarangenins AS. aqueum (leaves) and S. samarangense (leaves)[52]
26Samarangenins BS. aqueum (leaves) and S. samarangense (leaves)[52]
27Prodelphinidin B-2 3″-O-gallateS. aqueum (leaves) and S. samarangense (leaves)[52]
28Prodelphinidin B-2 3,3″-O-gallateS. aqueum (leaves) and S. samarangense (leaves)[52]
29Myricetin-3-O-rhamnosideAntidiabetic activity (EC50 µM)S. aqueum (leaves) and S. samarangense (leaves)[43,45,83]
(1.1 ±0.06 µM) for compound and (43±1.6 µM) for acarbose by using α-glucosidase (1.9 ± 0.02 µM) for compound and (19± 1.6 µM) for acarbose by using α-amylase
Antioxidant activity (EC50 µg/mL)
(3.21 µg/mL) for DPPH assay whenby compareding with ascorbic acid (2.94 µg/mL), (22.9 µg/mL) for FRAP assay bywhen compareding with quercetin (23.18 µg/mL)
30Europetin-3-OrhamnosideAntidiabetic activity (EC50 µM)S. aqueum (leaves)[43,84]
(1.9 ± 0.06) for α-glucosidase inhibition and (2.3 ± 0.04) for α-amylase inhibition, (43 ± 1.6) for α-glucosidase inhibition and (19± 1.6) for α-amylase inhibition in the positive control (acarbose)
31MearnsitrinS. samarangense (leaves)[53]
32ReynoutrinS. samarangense (fruits)[49]
33HyperinS. samarangense (fruits)[49]
34QuercitrinS. samarangense (fruits)[49]
35GuaijaverinS. samarangense (fruits)[49]
36Tamarixetin 3-O-β-D-glucopyranosideS. aromaticum (flower buds)[50]
37Ombutin 3-O-β-d glucopyranosideS. aromaticum (flower buds)[50]
38Quercetin 3-O-α-l-rhamnopyranosiderhamnopyronsideS. cumini (leaves)[54]
39Kaempferol 3-O-β-d-glucuronopyranosideS. cumini (leaves)[54]
40Myricetin 3-O-β-d-glucuronopyranosideS. cumini (leaves)[54]
41Mearnsetin 3-O-(4″-O-acetyl)-α-l-rhamnopyranosideS. cumini (leaves)[54]
42Myricetin 3-O-(4″-O-acetyl) -α-l-rhamnopyranosideS. cumini (leaves)[54]
43Myricetin 4′-methyl ether 3-O-α-l-rhamnopyranosideS. cumini (leaves)[54]
40Myricetrin 4″-O-acetyl-2″-O-gallateS. cumini (leaves)[54]
45Myricetin-3-O-glucosideAntioxidant (DPPH)S. guineense (leaves)[51]
IC50 11±2 µM for compound and IC50 12±0.2 µM for quercetin (positive control)
15-Lipoxygenase (15-LO) inhibition
IC50 42±4 µM for compound and IC50 72± 7 µM for quercetin (positive control)
Xanthine oxidase (OX) inhibition
IC50 38 ± 4 µM for compound and IC50 3.0 ± 0.6 µM for quercetin (positive control)
46Myricetin-3-O-rhamnosideAntioxidant (DPPH)S. guineense (leaves)[51]
IC50 28 ± 3 µM for compound and IC50 12 ± 0.2 µM for quercetin (positive control)
15-Lipoxygenase (15-LO) inhibition
IC50 138 ± 11 µM for compound and IC50 72± 7 µM for quercetin (positive control)
Xanthine oxidase (OX) inhibition
IC50 > 167 µM for compound and IC50 3.0 ± 0.6 µM for quercetin (positive control)
47Myricetin-3-O-glucoronideAntioxidant (DPPH)S. guineense (leaves)[51]
IC50 85 ± 33 µM for compound and IC50 12 ± 0.2 µM for quercetin (positive control)
15-lipoxygenase (15-LO) inhibition
IC50 > 83 µM for compound and IC50 72 ± 7 µM for quercetin (positive control)
Xanthine oxidase (OX) inhibition
IC50 > 83 µM for compound and IC50 3.0 ± 0.6 µM for quercetin (positive control)
48Myricetin-3-O-β-d-(6″-galloyl) galactosideAntioxidant (DPPH)S. guineense (leaves)[51]
IC50 10 ± 3 µM for compound and IC50 12 ± 0.2 µM for quercetin (positive control)
15-Lipoxygenase (15-LO) inhibition
IC50 75 ± 7 µM for compound and IC50 72 ± 7 µM for quercetin (positive control)
Xanthine oxidase (OX) inhibition
IC50 > 167 µM for compound and IC50 3.0 ± 0.6 µM for quercetin (positive control)
49Biflorin Cytotoxicity (MTT assay)S. aromaticum (cloves)[55]
IC50 > 100 µM against human ovarian cancer cells (A2780) whenby compareding with Cisplatin (IC50 6.96 ± 2.60 µM) as positive control
50Isobiflorin Cytotoxicity (MTT assay)S. aromaticum (cloves)[55]
(IC50 > 100 µM) against human ovarian cancer cells (A2780) whenby compareding with Cisplatin (IC50 6.96 ± 2.60 µM) as positive control
516-C-β-d-(6′-O-galloyl) glucosylnoreugeninCytotoxicity (MTT assay)S. aromaticum (cloves)[55]
(IC50 66.78 ± 5.49 µM) against human ovarian cancer cells (A2780) whenby compareding with Cisplatin (IC50 6.96 ± 2.60 µM) as positive control
52 8-C-β-d-(6′-O-galloyl) glucosylnoreugeninCytotoxicity (MTT assay)S. aromaticum (cloves)[55]
(IC50 87.50 ± 1.56 µM) against human ovarian cancer cells (A2780) whenby compareding with Cisplatin (IC50 6.96 ± 2.60 µM) as positive control
53Sysamarin AS. samarangense (leaves)[56]
54Sysamarin BS. samarangense (leaves)[56]
55Sysamarin CS. samarangense (leaves)[56]
56Sysamarin DS. samarangense (leaves)[56]
57Sysamarin ES. samarangense (leaves)[56]
58Lupenyl stearateS. samarangense (leaves)[57]
57Lupeol Thrombin inhibition assayS. samarangense (leaves) and S. cumini (leaves)[46,57,60]
IC50 49.2 ± 0.2 mM to compared with Leupeptin (IC50 0.026 ± 0.001 µM)
Prolyl endopeptidase inhibition assay
IC50 65.0 ± 3.2 µM to compared with Bacitracin (IC50 129.26 ± 3.28 µM)
60Betulin Trypsin inhibition assayS. samarangense (leaves) and S. guineense(stem bark)[46,57,63]
IC50 24.4 ± 0.125 mM to compared with Leupeptin (IC500.045 ± 0.003 µM)
Prolyl endopeptidase inhibition assay
IC50 101.6 3.2 µM to compared with Bacitracin (IC50 129.26 ± 3.28 µM)
Antibacterial activityMinimum Inhibition Concentration
61Betulinic acid (Prolyl endopeptidase inhibition assayS. samarangense (leaves) and S. guineense(stem bark)[46,63]
64.4% inhibition at 0.5 mM to compared with Bacitracin (IC50 129.2 6 ± 3.28 µM) Antibacterial activity
Minimum Inhibition Concentration
62Oleanolic acid (Cytotoxicity (MTT assay)S. aromaticum (flower buds) and S. cumini (seeds)[55,58,59]
(IC50 24.30 ± 0.30 µM) against on human ovarian cancer cells (A2780) by when compareding with Cisplatin (IC50 6.96 ± 2.60 µM) as positive control
63Arjunolic acid Antibacterial activityS. aromaticum (flower buds) and S. guineense (leaves and roots)[58,61,62]
(IC50 3 µg/mL) against Escherichia coli, (IC50 0.5 µg/mL) against Bacillus subtilis, and (IC50 30 µg/mL) against Shigella saonnei
Chloramphenicol as Ppositive control against Escherichia coli (IC50 0.3 µg/mL), Bacillus subtilis (IC500.1 µg/mL) and Shigella soannei (IC50 2 µg/mL)
64Corosolic acidS. aromaticum (flower buds)[58]
65Asiatic acid Antibacterial activityS. aromaticum (flower buds) and S. guineense (leaves and roots)[58,61,62]
(IC50 5 µg/mL) against Escherichia coli, (IC50 0.75 µg/mL) against Bacillus subtilis, and (IC50 30 µg/mL) against Shigella saonnei
Chloramphenicol as Ppositive control against Escherichia coli (IC50 0.3 µg/mL), Bacillus subtilis (IC500.1 µg/mL) and Shigella saonnei (IC50 2 µg/mL)
66Maslinic acidCytotoxicity (MTT assay)S. aromaticum (flower buds)[55]
(IC50 29.61 ± 4.68 µM) against human ovarian cancer cells (A2780) whenby compareding with Cisplatin (IC50 6.96 ± 2.60 µM) as positive control
6712-Oleanen-3-ol-3β acetateS. cumini (leaves)[60]
682-Hydroxyoleanolic acid Not observed Aantibacterial activity (Escherichia coli and Bacillus subtilis)S. guineense (leaves and roots)[61,62]
692-Hydroxyursolic acid Not observed Aantibacterial activity (Escherichia coli and Bacillus subtilis)S. guineense (leaves and roots)[61,62]
70Terminolic acid Antibacterial activityS. guineense (leaves and roots)[61,62]
(IC50 6 µg/mL) against Escherichia coli, (IC50 3 µg/mL) against Bacillus subtilis, and (IC50 50 µg/mL) against Shigella saonnei
Chloramphenicol as Ppositive control against Escherichia coli (IC50 0.3 µg/mL), Bacillus subtilis (IC500.1 µg/mL) and Shigella saonnei (IC50 2 µg/mL)
716-Hydroxy asiatic acid S. guineense (leaves and roots)[61,62]
72LimoninS. aromaticum (flower buds)[50]
73Caryolane-1,9β-diol Cytotoxicity (MTT assay)S. aromaticum (cloves)[55]
(IC50 > 100 µM) against human ovarian cancer cells (A2780) whenby compareding with Cisplatin (IC50 6.96 ± 2.60 µM) as positive control
74Clovane-2,9-β-diol Cytotoxicity (MTT assay)S. aromaticum (cloves)[55]
(IC50 > 100 µM) against human ovarian cancer cells (A2780) whenby compareding with Cisplatin (IC50 6.96 ± 2.60 µM) as positive control
75α-HumuleneCytotoxicity (MTT assay)S. aromaticum (cloves)[55]
(IC50 21.03 ± 5.53 µM) against human ovarian cancer cells (A2780) whenby compareding with Cisplatin (IC50 6.96 ± 2.60 µM) as positive control
76Humulene epoxide α Cytotoxicity (MTT assay)S. aromaticum (cloves)[55]
(IC50 > 100 µM) against human ovarian cancer cells (A2780) whenby compareding with Cisplatin (IC50 6.96 ± 2.60 µM) as positive control
77β-Caryophyllene Cytotoxicity (MTT assay)S. aromaticum (cloves)[55]
(IC50 60.70 ± 1.44 µM) against human ovarian cancer cells (A2780) whenby compareding with Cisplatin (IC50 6.96 ± 2.60 µM) as positive control
78β-Caryophyllene oxide Cytotoxicity (MTT assay)S. aromaticum (cloves)[55]
(IC50 > 100 µM) against human ovarian cancer cells (A2780) whenby compareding with Cisplatin (IC50 6.96 ± 2.60 µM) as positive control
79Lupenyl stearate cycloartenyl stearateS. samarangense (leaves)[57]
80β-Sitosteryl stearateS. samarangense (leaves)[57]
8124-Methylenecycloartenyl stearateS. samarangense (cloves)[57]
82β-SitosterolS. samarangense and S. cumini (leaves and seeds)[57,59,60]
83StigmasterolS. cumini (leaves)[60]
84β-Sitosterol-3-O-β-d-glucoside Cytotoxicity (MTT assay)S. aromaticum (flower buds)[55]
(IC50 > 100 µM) against human ovarian cancer cells (A2780) whenby compareding with Cisplatin (IC50 6.96 ± 2.60 µM) as positive control
85ArjunolicArjulonic acid 28-β-glycopyranosyl esterNot observed Aantibacterial activity (Escherichia coli and Bacillus subtilis)S. guineense (leaves and roots)[61,62]
86Asiatic acid 28-β-glycopyranosyl esterNot observed Aantibacterial activity (Escherichia coli and Bacillus subtilis)S. guineense (leaves and roots)[61,62]
873,3′,4′-Tri-O-methylellagic acid Cytotoxicity (MTT assay)S. aromaticum (flower buds)[55]
(IC50 87.64 ± 1.70 µM) against human ovarian cancer cells (A2780) by when compareding with Cisplatin (IC50 6.96 ± 2.60 µM) as positive control
88Ellagic acidS. samarangense (fruits) and S. cumini (stem bark)[49,64]
89Ellagitannin-3-O-methylellagic acid 3′-O-β-d-glucopyranosideS. cumini (stem bark)[64]
90Ellagic acid 4-O-α-l-2″-acetylhamnopyranosideS. cumini (stem bark)[64]
913-O-Methylellgic acid 3′-O-α-l-rhamnopyranosideS. cumini (stem bark)[64]
92Gallotannins 1,2,3,6-tetra-O-galloyl-β-d-glucoseS. guineense (leaves)[51]
931,2,3,4,6-Penta-O-galloyl-β-d-glucoseAntioxidant (DPPH)S. guineense (leaves)[51]
IC50 5 ± 1 µM for compound and IC50 12 ± 0.2 µM for quercetin (positive control)
15-lipoxygenase (15-LO) inhibition
IC50 25 ± 4 µM for compound and IC50 72 ± 7 µM for quercetin (positive control)
Xanthine oxidase (OX) inhibition
IC50 8 ± 1 µM for compound and IC50 3.0 ± 0.6 µM for quercetin (positive control)
94CasuarictinAntioxidant (DPPH)S. guineense (leaves)[51]
IC50 3.9 ± 0.1 µM for compound and IC50 12 ± 0.2 µM for quercetin (positive control)
15-lipoxygenase (15-LO) inhibition
IC50 36 ± 3 µM for compound and IC50 72 ± 7 µM for quercetin (positive control)
Xanthine oxidase (OX) inhibition
IC50 86 ± 3 µM for compound and IC50 3.0 ± 0.6 µM for quercetin (positive control)
95CasuarininAntioxidant (DPPH)S. guineense (leaves)[51]
IC50 4.5 ± 0.3 µM for compound and IC50 12 ± 0.2 µM for quercetin (positive control)
15-lipoxygenase (15-LO) inhibition
IC50 39 ± 2 µM for compound and IC50 72 ± 7 µM for quercetin (positive control)
Xanthine oxidase (OX) inhibition
IC50 105 ± 3 µM for compound and IC50 3.0 ± 0.6 µM for quercetin (positive control)
964-HydroxybenzaldehydeAntidiabetic activity (EC50 µM)S. aqueum (leaves)[43,83]
(9 ± 4.9) for α-glucosidase inhibition and (20 ± 8.2) for α-amylase inhibition, (43 ± 1.6) for α-glucosidase inhibition and (19 ± 1.6) for α-amylase inhibition in the positive control (acarbose)
97Gallic acidS. cumini (stem bark) and S. samarangense (fruits) [49,64]
98Ferulic aldehydeS. aromaticum (cloves)[50]
99Eugenol Cytotoxicity (MTT assay)S. aromaticum (cloves)[55]
(IC50 > 100 µM) against human ovarian cancer cells (A2780) whenby compareding with Cisplatin (IC50 6.96 ± 2.60 µM) as positive control
100Eugenyl acetate Cytotoxicity (MTT assay)S. aromaticum (cloves)[55]
(IC50 > 100 µM) against human ovarian cancer cells (A2780) bywhen compareding with Cisplatin (IC50 6.96 ± 2.60 µM) as positive control
101trans-Coniferylaldehyde Cytotoxicity (MTT assay)S. aromaticum (cloves)[55]
(IC50 78.45 ± 5.01 µM) against human ovarian cancer cells (A2780) whenby compareding with Cisplatin (IC50 6.96 ± 2.60 µM) as positive control
1023-(4-Hydroxy-3-methoxy-phenyl) propane-1,2-diol Cytotoxicity (MTT assay)S. aromaticum (cloves)[55]
(IC50 > 100 µM) against human ovarian cancer cells (A2780) whenby compareding with Cisplatin (IC50 6.96 ± 2.60 µM) as positive control
1031-O-Methyl-guaiacylglycerol Cytotoxicity (MTT assay)S. aromaticum (cloves)[55]
(IC50 > 100 µM) against human ovarian cancer cells (A2780) whenby compareding with Cisplatin (IC50 6.96 ± 2.60 µM) as positive control
104Epoxy iconiferyl alcohol Cytotoxicity (MTT assay)S. aromaticum (cloves)[55]
(IC50 > 100 µM) against human ovarian cancer cells (A2780) whenby compareding with Cisplatin (IC50 6.96 ± 2.60 µM) as positive control
1057-HydroxycalameneneS. cumini (seeds)[59]
106Methyl-β-orsellinateS. cumini (seeds)[59]
1072,4,6-Trihydroxy-3-methylacetophenone-2-O-β-d-glycoside Cytotoxicity (MTT assay)S. aromaticum (cloves)[55]
(IC50 > 100 µM) against human ovarian cancer cells (A2780) whenby compareding with Cisplatin (IC50 6.96 ± 2.60 µM) as positive control
1082,4,6-Trihydroxy-3-methylacetophenone-2-C-β-glycosideCytotoxicity (MTT assay)S. aromaticum (cloves)[55]
(IC50 > 100 µM) against human ovarian cancer cells (A2780) whenby compareding with Cisplatin (IC50 6.96 ± 2.60 µM) as positive control
109Samarone ACytotoxicity (MTT assay)S. samarangense (leaves)[65]
(IC50 32.90 ± 3.17 µM) against HepG2 whenby compareding with Doxorubicin (IC50 0.30 ± 0.023 µM) as positive control
(IC50 26.57 ± 2.16 µM) against on MDA-MB-231 whenby compareding with Doxorubicin (IC50 1.53 ± 0.13 µM) as positive control
110Samarone BCytotoxicity (MTT assay)S. samarangense (leaves)[65]
(IC50 3.9 ± 3.17 µM) against HepG2 whenby compareding with Doxorubicin (IC50 0.30 ± 0.023 µM) as positive control
(IC50 27.57 ± 4.76 µM) against on MDA-MB-231 whenby compareding with Doxorubicin (IC50 1.53 ± 0.13 µM) as positive control
111Samarone CCytotoxicity (MTT assay)S. samarangense (leaves)[65]
(IC50 5.56 ± 1.17 µM) against HepG2 by when compareding with Doxorubicin (IC50 0.30 ± 0.023 µM) as positive control
(IC50 28.26 ± 4.52 µM) against on MDA-MB-231 bywhen compareding with Doxorubicin (IC50 1.53 ± 0.13 µM) as positive control
112Jambones GCytotoxicity (MTT assay)S. samarangense (leaves)[65]
(IC50 1.73 ± 0.66 µM) against HepG2 whenby compareding with Doxorubicin (IC50 0.30 ± 0.023 µM) as positive control
(IC50 4.02 ± 0.87 µM) against on MDA-MB-231 whenby compareding with Doxorubicin (IC50 1.53 ± 0.13 µM) as positive control
113Samarone DS. samarangense (Leaves)[65]
114Jambone ECytotoxicity (MTT assay)S. samarangense (leaves)[65]
(IC50 7.78 ± 1.78 µM) against HepG2 by when comparing compared with Doxorubicin (IC50 0.30 ± 0.023 µM) as positive control
(IC50 28.26 ± 3.15 µM) against on MDA-MB-231 by when comparing compared with Doxorubicin (IC50 1.53 ± 0.13 µM) as positive control
115Jambone FCytotoxicity (MTT assay)S. samarangense (leaves)[65]
(IC50 7.70 ± 1.78 µM) against HepG2 by when comparing compared with Doxorubicin (IC50 0.30 ± 0.023 µM) as positive control
(IC50 12.01 ± 1.31 µM) against on MDA-MB-231 by when comparing compared with Doxorubicin (IC50 1.53 ± 0.13 µM) as positive control
116Jamunone BCytotoxicity (MTT assay)S. samarangense (leaves)[65]
(IC50 13.55 ± 2.33 µM) against HepG2 by when comparing compared with Doxorubicin (IC50 0.30 ± 0.023 µM) as positive control
(IC50 37.83 ± 3.42 µM) against on MDA-MB-231 by when comparing compared with Doxorubicin (IC50 1.53 ± 0.13 µM) as positive control
1172-Pentadecyl-5,7-didydroxychromoneCytotoxicity (MTT assay)S. samarangense (leaves)[65]
(IC50 14.00 ± 1.68 µM) against HepG2 by when comparing compared with Doxorubicin (IC50 0.30 ± 0.023 µM) as positive control
(IC50 7.196 ± 1.75 µM) against on MDA-MB-231 by when comparing compared with Doxorubicin (IC50 1.53 ± 0.13 µM) as positive control

5 Conclusion

The information of Syzygium species was collected from global publication papers and review articles. S. aqueum, S. aromaticum, S. cumini, S. guineense and S. samarangense are rich sources of phytochemical constituents. Various parts (leaves, seeds, fruits, barks, stem barks and flower buds) of Syzygium species are reported for the treatment of antioxidant, anticancer, toxicity, antimicrobial and antidiabetic activities. The review highlights on the information about plant native growth, botanical description, phytochemical constituents and bioactivities of five known species of Syzygium genus. According to the literature, Syzygium genus is a source of bioactivity in the Myrtaceae family. Therefore, this review suggests that there is great potential for obtaining the lead drug from phytochemical constituents with various bioactivities from those species, whose benefits have been widely used since ancient times without knowing their chemical components.


tel: +62-31-593-6501, fax: +62-31-593-6502

Acknowledgments

This study was supported by ADS (Academic Development Scholarship) scholarship form Faculty of Science and Technology, Universitas Airlangga in Indonesia.

  1. Conflict of interest: The authors declare no conflict of interest.

References

[1] Rehmanav MU, Abdullah, Khan F, Niaz K. Introduction to natural products analysis. In: Recent Advances in Natural Products Analysis: Chapter 1. Pakistan, Bahawalpur; 2020. p. 3–15. 10.1016/B978-0-12-816455-6.00001-9.Search in Google Scholar

[2] Abdel-Razek AS, Othman SI, El-Naggar ME, Allam A, Morsy OM. Microbial natural products in drug discovery. Processes. 2020;8(4):1–19. 10.3390/PR8040470.Search in Google Scholar

[3] Stalin N, Swamy PS. Screening of phytochemical and pharmacological activities of Syzygium caryophyllatum (L.) Alston. Clin Phytosci. 2018;4(3):2–13. 10.1186/s40816-017-0059-2.Search in Google Scholar

[4] Anulika NP, Ignatius EO, Raymond ES, Osasere O, Abiola AH. The chemistry of natural product: plant secondary metabolites. Int J Technol Enhanc Merg Eng Res. 2016;4(8):1–8.Search in Google Scholar

[5] Saxena M, Saxena J, Nema R, Singh D, Gupta A. Phytochemistry of medicinal plants. J Pharmacogn Phytochem. 2013;1(6):168–82.Search in Google Scholar

[6] Nyamai DW, Arika W, Ogola PE, Njagi ENM, Ngugi MP. Medicinally important phytochemicals: an untapped research avenue. Res Rev J Pharmacogn Phytochem. 2016;4(1):35–49.Search in Google Scholar

[7] Loganathan V, Devi KM, Selvakumar P. A study of the physico-chemical and phytochemical parameters of leaves of Mallotus rhamnifolius. Int J Pharmacogn Phytochem Res. 2017;9(6):858–63. 10.25258/phyto.v9i6.8191.Search in Google Scholar

[8] Jamshidi-Kia F, Lorigooini Z, Amini-Khoei H. Medicinal plants: past history and future perspective. J Herb Med Pharmacol. 2018;7(1):1–7. 10.15171/jhp.2018.01.Search in Google Scholar

[9] Ranghoo-Sanmukhiya VM, Chellana Y, Govinden-Soulangea J, Lambrechts IA, Stapelberg J, Crampton B, et al.Biochemical and phylogenetic analysis of Eugenia and Syzygium species from Mauritius. J Appl Res Med Aroma. 2019;12:21–9. 10.1016/j.jarmap.2018.10.004.Search in Google Scholar

[10] Soh WK. Chapter 1: Taxonomy of Syzygium Gaertner. In: Nair KN, editor. Taxonomy of Syzygium: Syzygium cumini and other underutilized species. New York: CRC Press; 2017. 10.1201/9781315118772-2.Search in Google Scholar

[11] Tukiran T, Wardana AP, Hidayati N, Shimizu K. An ellagic acid derivative and its antioxidant activity of chloroform extract of stem bark of Syzygium polycephalum Miq. (Myrtaceae). Indones J Chem. 2018;18(1):26–34. 10.22146/ijc.25467.Search in Google Scholar

[12] Rabeta MS, Chan S, Neda GD, Lam KL, Ong MT. Anticancer effect of underutilized fruits. Int Food Res J. 2013;20(2):551–6.Search in Google Scholar

[13] Nigam V, Nigam R, Singh A. Distribution and medicinal properties of Syzygium species. Curr Res Pharm Sci. 2012;2:73–80.Search in Google Scholar

[14] Mudiana D. Syzygium diversity in gunung baung, east java. Indonesia Biodiversitas. 2016;17(2):733–40. 10.13057/biodiv/d170248.Search in Google Scholar

[15] Sobeh M, Esmat A, Petruk G, Abdelfattah M, Dmirieh M, Monti DM, et al. Phenolic compounds from Syzygium jambos (Myrtaceae) exhibit distinct antioxidant and hepatoprotective activities in vivo. J Funct Foods. 2018;41:223–31. 10.1016/j.jff.2017.12.055.Search in Google Scholar

[16] Abera B, Adane L, Mamo F. Phytochemical investigation the root extract of Syzygium guineense and isolation of 2,3,23-trihydroxy methyl oleanate. J Pharmacogn Phytochem. 2018;7(3):104–3111.Search in Google Scholar

[17] Ayyanar M, Subash-Babu P. Syzygium cumini (L.) Skeels: a review of its phytochemical constituents and traditional uses. Asian Pac J Trop Biomed. 2012;2(3):240–6. 10.1016/S2221-1691(12)60050-1.Search in Google Scholar

[18] Craven LA, Biffin E. An infrageneric classification of Syzygium (Myrtaceae). Blumea. 2010;55:94–99. 10.3767/000651910X499303.Search in Google Scholar

[19] Memon AH, Ismail Z, Al-Suede FSR, Aisha AFA, Hamil MSR, Saeed, et al. Isolation, characterization, crystal structure elucidation of two flavanones and simultaneous RP-HPLC determination of five major compounds from Syzygium campanulatum Korth. Molecules. 2015;20:14212–33. 10.3390/molecules200814212.Search in Google Scholar PubMed PubMed Central

[20] Annadurai G, Masilla BRP, Jothiramshekar S, Palanisami E, Puthiyapurayil S, Parida AK. Antimicrobial, antioxidant, anticancer activities of Syzygium caryophyllatum (L.) Alston. Int J Green Pharm. 2012;285–8. 10.4103/0973-8258.108210.Search in Google Scholar

[21] Khandaker MM, Boyce AN. Growth, distribution and physiochemical properties of wax apple (Syzygium samarangense): a review. J Crop Sci. 2016;10(12):1640–8. 10.21475/ajcs.2016.10.12.PNE306.Search in Google Scholar

[22] Shü1 Z, Lin T, Lai J, Huang C, Wang D, Pan H. The industry and progress review on the cultivation and physiology of wax apple – with special reference to ‘pink’ Variety, Asian Australas. J Biosci Biotechnol. 2007;1(2):48–53.Search in Google Scholar

[23] Sharma S, Mehta BK, Mehta D, Mishra NHA. A review on pharmacological activity of Syzygium cumini extracts using different solvent and their effective dose. Int Res J Pharm. 2012;3(12):54–58.Search in Google Scholar

[24] Dharani N. A review of traditional uses and phytochemical constituents of indigenous Syzygium species in east Africa. Pharm J Kenya. 2016;22(4):123–7.Search in Google Scholar

[25] Chua LK, Lim CL, Ling APK, Chye SM, Koh RY. Anticancer potential of Syzygium species: a review. Plant Foods Hum Nutr. 2019;18–27. 10.1007/s11130-018-0704-z.Search in Google Scholar PubMed

[26] Agarwal P, Gaur PK, Tyagi N, Puri D, Kumar N, Kumar S. An overview of phytochemical, therapeutic, pharmacological and traditional importance of Syzygium cumini. Asian J Pharmacogn. 2019;3(1):5–17.Search in Google Scholar

[27] Sah AK, Verma VK. Syzygium cumini: an overview. J Chem Pharm Res. 2011;3(3):108–13.Search in Google Scholar

[28] Mittal M, Gupta N, Parashar P, Mehra V, Khatri M. Phytochemical evaluation and pharmacological activity of Syzygium aromaticum: a comprehensive review. Int J Pharm Pharm Sci. 2014;6(8):4–9.Search in Google Scholar

[29] Batiha GE, Alkazmi LM, Wasef LG, Beshbishy AM, Nadwa EH, Rashwan EK. Syzygium aromaticum L. (Myrtaceae): traditional uses, bioactive chemical constituents, pharmacological and toxicological activities. Biomolecules. 2020;10(202):2–16. 10.3390/biom10020202.Search in Google Scholar PubMed PubMed Central

[30] Pradhan M. Phytochemistry, pharmacology and novel delivery applications of Syzygium cumini (L.). Int J Pharm Pharm Res. 2016;7(1):659–75.Search in Google Scholar

[31] Katiyar D, Singh V, Ali M. Recent advances in pharmacological potential of Syzygium cumini: a review. Adv Appl Sci Res. 2016;7(3):1–12.Search in Google Scholar

[32] Osman H, Rahim AA, Isa NM, Bakhir NM. Antioxidant activity and phenolic content of paederia foetida and Syzygium aqueum. Molecules. 2009;14:970–8. 10.3390/molecules14030970.Search in Google Scholar PubMed PubMed Central

[33] Sobeh M, Mahmoud MF, Petruk G, Rezq S, Ashour ML, Youssef FS, et al. Syzygium aqueum: a polyphenol-rich leaf extract exhibits activities in animal models. Front Pharmacol. 2018;9(3):1–14. 10.3389/fphar.2018.Search in Google Scholar

[34] Rosnah S, Wong WK, Noraziah M, Osman H. Chemical composition changes of two water apple (Syzygium samarangense). Int Food Res J. 2012;19(1):167–74.Search in Google Scholar

[35] Choironi NA, Fareza MS. Phytochemical screening and antibacterial activity of ethanolic extract of Syzygium samarangense leaves. J Kartika Kimia. 2018;1(1):1–4. 10.26874/jkk.vlil.2.Search in Google Scholar

[36] Cortés-Rojas DF, Souza CRFd, Oliveira WP. Asian Pac J Trop Biomed. 2014;4(2):90–96. 10.1016/S2221-1691(14)60215-X.Search in Google Scholar

[37] Jadhav VM, Kamble SS, Kadam VJ. Herbal medicine: Syzygium cumini: a review. J Pharm Res. 2009;2(7):1212–9.Search in Google Scholar

[38] Tadesse SA, Wubneh ZB. Antimalarial activity of Syzygium guineense during early and established plasmodium infection in rodent models. BMC Complement Altern Med. 2017;17(21):1–7. 10.1186/s12906-016-1538-6.Search in Google Scholar

[39] Markose AM. Evaluation and value addition of watery rose apple rose apple (Syzygium aqueum (Burm) Alston) and malay apple (Syzygium malaccense (L.) Mernil and Perry). India: Review of Literature; 2008.Search in Google Scholar

[40] Sonawane MS. Dietary benefits of watery rose apple (Syzygium aqueum (Burm.f.) Alston). Int Arch App Sci Tech. 2018;9(4):126–9. 10.15515/iaast.09764828.9.4.126129.Search in Google Scholar

[41] Verdcourt B. Syzygium aqueum (Burm.f.) Alston [family Myrtaceae], Flora of Tropical East Africa. JSTOR. 2001. 10.5555/al.ap.flora.ftea005205.Search in Google Scholar

[42] Fayemiwo KA, Adeleke MA, Okoro OP, Awojide SH, Awoniyi IO. Larvicidal efficacies and chemical composition of essential oils of pinus sylvestris and Syzygium aromaticum against mosquitoes. Asian Pac J Trop Biomed. 2014;4(1):30–4. 10.1016/S22211691(14)60204-5.Search in Google Scholar

[43] Manaharan T, Appleton D, Cheng HM, Palanisamy UD. Flavonoids isolated from Syzygium aqueum leaf extract as potential antihyperglycaemic agents. Food Chem. 2012;132(4):1802–7. 10.1016/j.foodchem.2011.11.147.Search in Google Scholar

[44] Subarnas A, Diantini A, Abdulah R, Zuhrotun A, Ahadisapurti YE, Puspitasari IM, et al. Apoptosis induced in MCF-7 human breast cancer cells by 2′,4′-dihydroxy-6-methoxy-3,5-dimethylchalcone isolated from Eugenia aquea Burm f. leaves. Oncol Lett. 2015;9:2303–6. 10.3892/ol.2015.2981.Search in Google Scholar PubMed PubMed Central

[45] Sobeh M, Petruk G, Osman S, El RA, Imbimbo P, Monti DM, et al. Isolation of myricitrin and 3,5-di-O-methyl gossypetin from Syzygium samarangense and evaluation of their involvement in protecting keratinocytes against oxidative stress via activation of the Nrf-2 pathway. Molecules. 2019;24(1839):1–14. 10.3390/molecules24091839.Search in Google Scholar PubMed PubMed Central

[46] Amor EC, Villasenor IM, Yasin A, Choudhary MI Prolyl endopeptidase inhibitors from Syzygium samarangense (Blume) Merr. & L. M. Perry. Z Naturforsch. 2004;59c:86–92.10.1515/znc-2004-1-218Search in Google Scholar PubMed

[47] Amor EC, Villaseñor IM, Nawaz SA, Hussain MS, Choudhary MI. A dihydrochalcone from Syzygium samarangense with anticholinesterase activity. Philipp J Sci. 2005;2:105–11.Search in Google Scholar

[48] Kuo Y, Yang L, Lin L-C. Isolation and immunomodulatory effect of flavonoids from Syzygium samarangense. Planta Meda. 2004;70:1237–9.10.1055/s-2004-835859Search in Google Scholar PubMed

[49] Simirgiotis MJ, Adachi S, To S, Yang H, Reynertson K, Basile MJ, et al. Cytotoxic chalcones and antioxidants from the fruits of Syzygium samarangense (Wax Jambu). Food Chem. 2008;107:813–9. 10.1016/j.foodchem.2007.08.086.Search in Google Scholar

[50] Nassar MI, Gaara AH, El-Ghorab AH, Farrag AH, et al. Chemical constituents of clove (Syzygium aromaticum, Fam.Myrtaceae) and their antioxidant activity. Rev Latinoamer Quím. 2007;35(3):47–57.Search in Google Scholar

[51] Nguyen TL, Rusten A, Bugge MS, Malterud KE, Diallo D, Paulsen BS, et al. Flavonoids, gallotannins and ellagitannins in Syzygium guneese and the traditional use among malian healers. J Ethnopharmacol. 2016;192:450–8. 10.1016/j.jep.2016.09.035.Search in Google Scholar

[52] Nonaka G, Arko Y, Aritake K, Nishioka I. Samarangenins A and B, novel proanthocyanidins with doubly bonded structures, from Syzygium samarangens and S. aqeuem. Chem Pharm Bull. 1992;40(10):1671–2673. 10.1248/cpb.40.2671.Search in Google Scholar

[53] Naira AGR, Krishnana S, Ravikrishnaa C, Madhusudanan KP. New and rare flavonol glycosides from leaves of Syzygium samarangense. Fitoterapia. 1999;70:148–51.10.1016/S0367-326X(99)00013-1Search in Google Scholar

[54] Mahmoud I, Marzouk MSA, Moharram FA, El-Gindi MR, Hassan AMK. Acylated flavonol glycosides from Eugenia jambolana leaves. Phytochemistry. 2001;58:1239–44.10.1016/S0031-9422(01)00365-XSearch in Google Scholar

[55] Ryu B, Kim HM, Woo J, Choi J, Jang DS. A new acetophenone glycoside from the flower buds of Syzygium aromaticum (cloves). Fitoterapia. 2016;115:46–51. 10.1016/j.fitote.2016.09.021.Search in Google Scholar PubMed

[56] Hua Y, Wanga L, Li Y, Li M, Xu W, Zhao Y, et al. Phytochemistry letters five new triterpenoids from Syzygium samarangense (Bl.) Merr. et Perry. Phytochem Lett. 2018;25:147–51. 10.1016/j.phytol.2018.04.018.Search in Google Scholar

[57] Ragasa CY, Franco Jr FC, Raga DD, Shen C. Chemical constituents of Syzygium samarangense. Der Pharma Chem. 2014;6(3):256–60.Search in Google Scholar

[58] Kuroda M, Mimaki Y, Ohtomo T, Yamada J, Nishiyama T, Mae T, et al. Hypoglycemic effects of clove (Syzygium aromaticum flower buds) on genetically diabetic KK-A y mice and identification of the active ingredients. J Nat Med. 2012;66:394–9. 10.1007/s11418-011-0593-z.Search in Google Scholar PubMed

[59] Sikder MAA, Kaisar MA, Rahman MS, Hasan CM, Al-Rehaily, et al. Secondary metabolites from seed extracts of Syzygium Cumini (L.). J Phys Sci. 2012;23(1):83–87.Search in Google Scholar

[60] Alam M, Rahman AB, Moniruzzama M, Kadir MF, Haque MA, Alvi MR, et al. Evaluation of antidiabetic phytochemicals in Syzygium cumini (L.) skeels (Family: Myrtaceae). J Appl Pharm Sci. 2012;2(10):094–8. 10.7324/JAPS.2012.21019.Search in Google Scholar

[61] Djoukeng JD, Abou-Mansoura E, Tabacchi R, Tapondjou AL, Bouda H, Lontsi D Antibacterial triterpenes from Syzygium guineense (Myrtaceae). J Ethnopharmacol. 2005;101(1–3):283–6. 10.1016/j.jep.2005.05.008.Search in Google Scholar PubMed

[62] Abera B, Adane L, Mamo F. Phytochemical investigation the root extract of Syzygium guineense and isolation of 2,3,23-trihydroxy methyl oleanate. J Pharmacogn Phytochem. 2018;7(2):3104–11.Search in Google Scholar

[63] Oladosu IA, Lawson L, Aiyelaagbe OO, Emenyonu N, Afieroh OE. Anti-tuberculosis lupane-type isoprenoids from Syzygium guineense wild DC. (Myrtaceae) stem bark. Fut J Pharm Sci. 2017;3(2):148–52. 10.1016/j.fjps.2017.05.002.Search in Google Scholar

[64] Simoes-Pires CA, Vargas S, Marston A, Iosets JR, Paulo MQ, Matheeussen A, et al. Ellagic acid derivatives from Syzygium cumini stem bark: investigation of their antiplasmodial activity. Nat Prod Commun. 2009;4(10):1371–6.10.1177/1934578X0900401012Search in Google Scholar

[65] Yanga J, Lei JSX, Huanga X, Zhang D, Ye W, Wang Y. Acylphloroglucinol derivatives from the leaves of Syzygium samarangense and their cytotoxic activities. Fitoterapia. 2018;129:1–6. 10.1016/j.fitote.2018.06.002.Search in Google Scholar PubMed

[66] Saptarinli N, Herawati IE. Antioxidant activity of water apple (Syzygium aqueum) fruit and fragrant mango (Mangifera odorata) fruit. Asian J Pharm Clin Res. 2017;54–56. 10.22159/ajpcr.2017.v10s2.19487.Search in Google Scholar

[67] Lim ASL, Rabeta MS. Proximate analysis, mineral content and antioxidant capacity of milk apple, malay apple and water apple. Int Food Res J. 2013;20(2):673–9.Search in Google Scholar

[68] Khandaker MA, Sarwar MJ, Mat N, Boyce AN. Bioactive constituents, antioxidant and antimicrobial activities of three cultivars of wax apple (Syzygium samarangense L.) fruits. Res J Biotech. 2015;10(1):7–16.Search in Google Scholar

[69] Madhavi M, Ram MR. Phytochemical screening and evaluation of biological activity of root extracts of Syzygium samarangense. Int J Res Pharm chem. 2015;5(4):753–63.Search in Google Scholar

[70] Jimoh SO, Arowolo LA, Alabi KA. Phytochemical screening and antimicrobial evaluation of Syzygium aromaticum extract and essential oil. Int J Curr Microbiol App Sci. 2017;6(7):4557–67. 10.20546/ijcmas.2017.607.476.Search in Google Scholar

[71] Singh V, Pahuja C, Ali M, Sultana S. Analysis and bioactivities of essential oil of the flower buds of Syzygium aromaticum (L.) Merr.et LM Perry. J Med Plants Stud. 2018;6(6):79–83.Search in Google Scholar

[72] Lima RM, Polonini HC, Brandao MAF, Raposo FJ, Dutra RC, Raposo NRB. In vitro assessment of anti-aging properties of Syzygium cumini (L.) leaves extract. Biomed J Sci & Tech Res. 2019;13(4):10185–1019. 10.26717/BJSTR.2019.13.002447.Search in Google Scholar

[73] Rohadi R, Santoso U, Raharjo S, Falah II. Determination of antioxidant activity and phenolic compounds of methanolic extract of java plum (Syzygium cumini Linn.) seed. Indonesian Food Nutr Prog (IFNP). 2017;14(1)::49–20.10.22146/ifnp.24279Search in Google Scholar

[74] Kumar A, Kalakoti M. Phytochemical and antioxidant screening of leaf extract of Syzygium cumini. Int J Adv Res. 2015;3(1):371–8.Search in Google Scholar

[75] Ezenyi IC, Mbamalu ON, Balogun L, Omorogbe L, Ameh FS, Salawu OA. Antidiabetic potentials of Syzygium guineense methanol leaf extract. J Phytopharmacol. 2019;5(4):150–6.10.31254/phyto.2016.5406Search in Google Scholar

[76] Okhale SE, Buba CI, Oladosu P, Ugbabe GE, Ibrahim JA, Egharevba HO, et al. Chemical characterization, antioxidant and antimicrobial activities of the leaf essential oil of Syzgium guineense (Willd.) DC. var. Guineense (Myrtaceae) from Nigeria. Int J Pharmacogn Phytochem Res. 2018;10(11):41–349. 10.25258/phyto.10.11.1.Search in Google Scholar

[77] Yadav SS, Meshram G, Shinde D, Patil R, Manohar SM, Upadhye MV. Antibacterial and anticancer activity of bioactive fraction of Syzygium cumini L. Seeds. Hayati J Biosci. 2011;18(3):118–22. 10.4308/hjb.18.3.118.Search in Google Scholar

[78] Francine TN, Anatole PC, Kode J, Pradhan T, Bruno LN, Jeanne NY, et al. Extracts from Syzygium guineense inhibit cervical cancer cells proliferation through cell cycle arrest and triggering apoptosis. Acad J Med Plants (AJMP). 2019;7(2):042–54. 10.15413/ajmp.2018.0200.Search in Google Scholar

[79] Ratnam KV, Raju RRV. In vitro antimicrobial screening of the fruit extracts of two Syzygium Species (Myrtaceae). Adv Biol Res. 2008;2(1–2):17–20.Search in Google Scholar

[80] Pandey A, Singh P. Antibacterial activity of Syzygium aromaticum (clove) with metal ion effect against food borne pathogens. Asian J Plant Sci. 2011;1(2):69–80.Search in Google Scholar

[81] Margaret E, Shailaja AM, Rao VV. Original research article evaluation of antioxidant activity in different parts of Syzygium cumini (Linn.). Int J Curr Microbiol App Sci. 2015;4(9):372–9.Search in Google Scholar

[82] Maregesi SM, Mwakalukwa R, Kassamali MH. Phytochemicals and biological testing of Syzygium guineense seeds extract against Ascaris suum and five pathogenic microbes. World J Pharm Res. 2016;44(8):180–4.Search in Google Scholar

[83] Palanisamy UD, Manaharan T. Syzygium aqueum leaf extracts for possible antidiabetic Treatment. Medicinal Plants and Natural Products. 2015. 13–22. 10.17660/ActaHortic.2015.1098.1.Search in Google Scholar

[84] Prabakaran K, Shanmugavel G. Antidiabetic activity and phytochemical constituents of Syzygium cumini seeds in Puducherry region, South India. Int J Pharmacogn Phytochem Res. 2017;9(7):7–11. 10.25258/phyto.v9i07.11168.Search in Google Scholar

[85] Maregesi S, Kagashe G, Messo CW, Mugaya L. Determination of mineral Content, cytotoxicity and anthelmintic activity of Syzygium guineense fruits. Saudi J Med Pharm Sci. 2016;2(5):95–9.Search in Google Scholar

[86] Rocchetti G, Lucini L, Ahmed SR, Saber FR. In vitro cytotoxic activity of six Syzygium leaf extracts as related to their phenolic profiles: an untargeted UHPLC-QTOF-MS approach. Food Res Int. 2019;126:1–32. 10.1016/j.foodres.2019.108715.Search in Google Scholar PubMed

Received: 2020-05-27
Revised: 2020-08-26
Accepted: 2020-08-29
Published Online: 2020-10-13

© 2020 Ei Ei Aung et al., published by De Gruyter

This work is licensed under the Creative Commons Attribution 4.0 International License.

Articles in the same Issue

  1. Regular Articles
  2. Electrochemical antioxidant screening and evaluation based on guanine and chitosan immobilized MoS2 nanosheet modified glassy carbon electrode (guanine/CS/MoS2/GCE)
  3. Kinetic models of the extraction of vanillic acid from pumpkin seeds
  4. On the maximum ABC index of bipartite graphs without pendent vertices
  5. Estimation of the total antioxidant potential in the meat samples using thin-layer chromatography
  6. Molecular dynamics simulation of sI methane hydrate under compression and tension
  7. Spatial distribution and potential ecological risk assessment of some trace elements in sediments and grey mangrove (Avicennia marina) along the Arabian Gulf coast, Saudi Arabia
  8. Amino-functionalized graphene oxide for Cr(VI), Cu(II), Pb(II) and Cd(II) removal from industrial wastewater
  9. Chemical composition and in vitro activity of Origanum vulgare L., Satureja hortensis L., Thymus serpyllum L. and Thymus vulgaris L. essential oils towards oral isolates of Candida albicans and Candida glabrata
  10. Effect of excess Fluoride consumption on Urine-Serum Fluorides, Dental state and Thyroid Hormones among children in “Talab Sarai” Punjab Pakistan
  11. Design, Synthesis and Characterization of Novel Isoxazole Tagged Indole Hybrid Compounds
  12. Comparison of kinetic and enzymatic properties of intracellular phosphoserine aminotransferases from alkaliphilic and neutralophilic bacteria
  13. Green Organic Solvent-Free Oxidation of Alkylarenes with tert-Butyl Hydroperoxide Catalyzed by Water-Soluble Copper Complex
  14. Ducrosia ismaelis Asch. essential oil: chemical composition profile and anticancer, antimicrobial and antioxidant potential assessment
  15. DFT calculations as an efficient tool for prediction of Raman and infra-red spectra and activities of newly synthesized cathinones
  16. Influence of Chemical Osmosis on Solute Transport and Fluid Velocity in Clay Soils
  17. A New fatty acid and some triterpenoids from propolis of Nkambe (North-West Region, Cameroon) and evaluation of the antiradical scavenging activity of their extracts
  18. Antiplasmodial Activity of Stigmastane Steroids from Dryobalanops oblongifolia Stem Bark
  19. Rapid identification of direct-acting pancreatic protectants from Cyclocarya paliurus leaves tea by the method of serum pharmacochemistry combined with target cell extraction
  20. Immobilization of Pseudomonas aeruginosa static biomass on eggshell powder for on-line preconcentration and determination of Cr (VI)
  21. Assessment of methyl 2-({[(4,6-dimethoxypyrimidin-2-yl)carbamoyl] sulfamoyl}methyl)benzoate through biotic and abiotic degradation modes
  22. Stability of natural polyphenol fisetin in eye drops Stability of fisetin in eye drops
  23. Production of a bioflocculant by using activated sludge and its application in Pb(II) removal from aqueous solution
  24. Molecular Properties of Carbon Crystal Cubic Structures
  25. Synthesis and characterization of calcium carbonate whisker from yellow phosphorus slag
  26. Study on the interaction between catechin and cholesterol by the density functional theory
  27. Analysis of some pharmaceuticals in the presence of their synthetic impurities by applying hybrid micelle liquid chromatography
  28. Two mixed-ligand coordination polymers based on 2,5-thiophenedicarboxylic acid and flexible N-donor ligands: the protective effect on periodontitis via reducing the release of IL-1β and TNF-α
  29. Incorporation of silver stearate nanoparticles in methacrylate polymeric monoliths for hemeprotein isolation
  30. Development of ultrasound-assisted dispersive solid-phase microextraction based on mesoporous carbon coated with silica@iron oxide nanocomposite for preconcentration of Te and Tl in natural water systems
  31. N,N′-Bis[2-hydroxynaphthylidene]/[2-methoxybenzylidene]amino]oxamides and their divalent manganese complexes: Isolation, spectral characterization, morphology, antibacterial and cytotoxicity against leukemia cells
  32. Determination of the content of selected trace elements in Polish commercial fruit juices and health risk assessment
  33. Diorganotin(iv) benzyldithiocarbamate complexes: synthesis, characterization, and thermal and cytotoxicity study
  34. Keratin 17 is induced in prurigo nodularis lesions
  35. Anticancer, antioxidant, and acute toxicity studies of a Saudi polyherbal formulation, PHF5
  36. LaCoO3 perovskite-type catalysts in syngas conversion
  37. Comparative studies of two vegetal extracts from Stokesia laevis and Geranium pratense: polyphenol profile, cytotoxic effect and antiproliferative activity
  38. Fragmentation pattern of certain isatin–indole antiproliferative conjugates with application to identify their in vitro metabolic profiles in rat liver microsomes by liquid chromatography tandem mass spectrometry
  39. Investigation of polyphenol profile, antioxidant activity and hepatoprotective potential of Aconogonon alpinum (All.) Schur roots
  40. Lead discovery of a guanidinyl tryptophan derivative on amyloid cascade inhibition
  41. Physicochemical evaluation of the fruit pulp of Opuntia spp growing in the Mediterranean area under hard climate conditions
  42. Electronic structural properties of amino/hydroxyl functionalized imidazolium-based bromide ionic liquids
  43. New Schiff bases of 2-(quinolin-8-yloxy)acetohydrazide and their Cu(ii), and Zn(ii) metal complexes: their in vitro antimicrobial potentials and in silico physicochemical and pharmacokinetics properties
  44. Treatment of adhesions after Achilles tendon injury using focused ultrasound with targeted bFGF plasmid-loaded cationic microbubbles
  45. Synthesis of orotic acid derivatives and their effects on stem cell proliferation
  46. Chirality of β2-agonists. An overview of pharmacological activity, stereoselective analysis, and synthesis
  47. Fe3O4@urea/HITh-SO3H as an efficient and reusable catalyst for the solvent-free synthesis of 7-aryl-8H-benzo[h]indeno[1,2-b]quinoline-8-one and indeno[2′,1′:5,6]pyrido[2,3-d]pyrimidine derivatives
  48. Adsorption kinetic characteristics of molybdenum in yellow-brown soil in response to pH and phosphate
  49. Enhancement of thermal properties of bio-based microcapsules intended for textile applications
  50. Exploring the effect of khat (Catha edulis) chewing on the pharmacokinetics of the antiplatelet drug clopidogrel in rats using the newly developed LC-MS/MS technique
  51. A green strategy for obtaining anthraquinones from Rheum tanguticum by subcritical water
  52. Cadmium (Cd) chloride affects the nutrient uptake and Cd-resistant bacterium reduces the adsorption of Cd in muskmelon plants
  53. Removal of H2S by vermicompost biofilter and analysis on bacterial community
  54. Structural cytotoxicity relationship of 2-phenoxy(thiomethyl)pyridotriazolopyrimidines: Quantum chemical calculations and statistical analysis
  55. A self-breaking supramolecular plugging system as lost circulation material in oilfield
  56. Synthesis, characterization, and pharmacological evaluation of thiourea derivatives
  57. Application of drug–metal ion interaction principle in conductometric determination of imatinib, sorafenib, gefitinib and bosutinib
  58. Synthesis and characterization of a novel chitosan-grafted-polyorthoethylaniline biocomposite and utilization for dye removal from water
  59. Optimisation of urine sample preparation for shotgun proteomics
  60. DFT investigations on arylsulphonyl pyrazole derivatives as potential ligands of selected kinases
  61. Treatment of Parkinson’s disease using focused ultrasound with GDNF retrovirus-loaded microbubbles to open the blood–brain barrier
  62. New derivatives of a natural nordentatin
  63. Fluorescence biomarkers of malignant melanoma detectable in urine
  64. Study of the remediation effects of passivation materials on Pb-contaminated soil
  65. Saliva proteomic analysis reveals possible biomarkers of renal cell carcinoma
  66. Withania frutescens: Chemical characterization, analgesic, anti-inflammatory, and healing activities
  67. Design, synthesis and pharmacological profile of (−)-verbenone hydrazones
  68. Synthesis of magnesium carbonate hydrate from natural talc
  69. Stability-indicating HPLC-DAD assay for simultaneous quantification of hydrocortisone 21 acetate, dexamethasone, and fluocinolone acetonide in cosmetics
  70. A novel lactose biosensor based on electrochemically synthesized 3,4-ethylenedioxythiophene/thiophene (EDOT/Th) copolymer
  71. Citrullus colocynthis (L.) Schrad: Chemical characterization, scavenging and cytotoxic activities
  72. Development and validation of a high performance liquid chromatography/diode array detection method for estrogen determination: Application to residual analysis in meat products
  73. PCSK9 concentrations in different stages of subclinical atherosclerosis and their relationship with inflammation
  74. Development of trace analysis for alkyl methanesulfonates in the delgocitinib drug substance using GC-FID and liquid–liquid extraction with ionic liquid
  75. Electrochemical evaluation of the antioxidant capacity of natural compounds on glassy carbon electrode modified with guanine-, polythionine-, and nitrogen-doped graphene
  76. A Dy(iii)–organic framework as a fluorescent probe for highly selective detection of picric acid and treatment activity on human lung cancer cells
  77. A Zn(ii)–organic cage with semirigid ligand for solvent-free cyanosilylation and inhibitory effect on ovarian cancer cell migration and invasion ability via regulating mi-RNA16 expression
  78. Polyphenol content and antioxidant activities of Prunus padus L. and Prunus serotina L. leaves: Electrochemical and spectrophotometric approach and their antimicrobial properties
  79. The combined use of GC, PDSC and FT-IR techniques to characterize fat extracted from commercial complete dry pet food for adult cats
  80. MALDI-TOF MS profiling in the discovery and identification of salivary proteomic patterns of temporomandibular joint disorders
  81. Concentrations of dioxins, furans and dioxin-like PCBs in natural animal feed additives
  82. Structure and some physicochemical and functional properties of water treated under ammonia with low-temperature low-pressure glow plasma of low frequency
  83. Mesoscale nanoparticles encapsulated with emodin for targeting antifibrosis in animal models
  84. Amine-functionalized magnetic activated carbon as an adsorbent for preconcentration and determination of acidic drugs in environmental water samples using HPLC-DAD
  85. Antioxidant activity as a response to cadmium pollution in three durum wheat genotypes differing in salt-tolerance
  86. A promising naphthoquinone [8-hydroxy-2-(2-thienylcarbonyl)naphtho[2,3-b]thiophene-4,9-dione] exerts anti-colorectal cancer activity through ferroptosis and inhibition of MAPK signaling pathway based on RNA sequencing
  87. Synthesis and efficacy of herbicidal ionic liquids with chlorsulfuron as the anion
  88. Effect of isovalent substitution on the crystal structure and properties of two-slab indates BaLa2−xSmxIn2O7
  89. Synthesis, spectral and thermo-kinetics explorations of Schiff-base derived metal complexes
  90. An improved reduction method for phase stability testing in the single-phase region
  91. Comparative analysis of chemical composition of some commercially important fishes with an emphasis on various Malaysian diets
  92. Development of a solventless stir bar sorptive extraction/thermal desorption large volume injection capillary gas chromatographic-mass spectrometric method for ultra-trace determination of pyrethroids pesticides in river and tap water samples
  93. A turbidity sensor development based on NL-PI observers: Experimental application to the control of a Sinaloa’s River Spirulina maxima cultivation
  94. Deep desulfurization of sintering flue gas in iron and steel works based on low-temperature oxidation
  95. Investigations of metallic elements and phenolics in Chinese medicinal plants
  96. Influence of site-classification approach on geochemical background values
  97. Effects of ageing on the surface characteristics and Cu(ii) adsorption behaviour of rice husk biochar in soil
  98. Adsorption and sugarcane-bagasse-derived activated carbon-based mitigation of 1-[2-(2-chloroethoxy)phenyl]sulfonyl-3-(4-methoxy-6-methyl-1,3,5-triazin-2-yl) urea-contaminated soils
  99. Antimicrobial and antifungal activities of bifunctional cooper(ii) complexes with non-steroidal anti-inflammatory drugs, flufenamic, mefenamic and tolfenamic acids and 1,10-phenanthroline
  100. Application of selenium and silicon to alleviate short-term drought stress in French marigold (Tagetes patula L.) as a model plant species
  101. Screening and analysis of xanthine oxidase inhibitors in jute leaves and their protective effects against hydrogen peroxide-induced oxidative stress in cells
  102. Synthesis and physicochemical studies of a series of mixed-ligand transition metal complexes and their molecular docking investigations against Coronavirus main protease
  103. A study of in vitro metabolism and cytotoxicity of mephedrone and methoxetamine in human and pig liver models using GC/MS and LC/MS analyses
  104. A new phenyl alkyl ester and a new combretin triterpene derivative from Combretum fragrans F. Hoffm (Combretaceae) and antiproliferative activity
  105. Erratum
  106. Erratum to: A one-step incubation ELISA kit for rapid determination of dibutyl phthalate in water, beverage and liquor
  107. Review Articles
  108. Sinoporphyrin sodium, a novel sensitizer for photodynamic and sonodynamic therapy
  109. Natural products isolated from Casimiroa
  110. Plant description, phytochemical constituents and bioactivities of Syzygium genus: A review
  111. Evaluation of elastomeric heat shielding materials as insulators for solid propellant rocket motors: A short review
  112. Special Issue on Applied Biochemistry and Biotechnology 2019
  113. An overview of Monascus fermentation processes for monacolin K production
  114. Study on online soft sensor method of total sugar content in chlorotetracycline fermentation tank
  115. Studies on the Anti-Gouty Arthritis and Anti-hyperuricemia Properties of Astilbin in Animal Models
  116. Effects of organic fertilizer on water use, photosynthetic characteristics, and fruit quality of pear jujube in northern Shaanxi
  117. Characteristics of the root exudate release system of typical plants in plateau lakeside wetland under phosphorus stress conditions
  118. Characterization of soil water by the means of hydrogen and oxygen isotope ratio at dry-wet season under different soil layers in the dry-hot valley of Jinsha River
  119. Composition and diurnal variation of floral scent emission in Rosa rugosa Thunb. and Tulipa gesneriana L.
  120. Preparation of a novel ginkgolide B niosomal composite drug
  121. The degradation, biodegradability and toxicity evaluation of sulfamethazine antibiotics by gamma radiation
  122. Special issue on Monitoring, Risk Assessment and Sustainable Management for the Exposure to Environmental Toxins
  123. Insight into the cadmium and zinc binding potential of humic acids derived from composts by EEM spectra combined with PARAFAC analysis
  124. Source apportionment of soil contamination based on multivariate receptor and robust geostatistics in a typical rural–urban area, Wuhan city, middle China
  125. Special Issue on 13th JCC 2018
  126. The Role of H2C2O4 and Na2CO3 as Precipitating Agents on The Physichochemical Properties and Photocatalytic Activity of Bismuth Oxide
  127. Preparation of magnetite-silica–cetyltrimethylammonium for phenol removal based on adsolubilization
  128. Topical Issue on Agriculture
  129. Size-dependent growth kinetics of struvite crystals in wastewater with calcium ions
  130. The effect of silica-calcite sedimentary rock contained in the chicken broiler diet on the overall quality of chicken muscles
  131. Physicochemical properties of selected herbicidal products containing nicosulfuron as an active ingredient
  132. Lycopene in tomatoes and tomato products
  133. Fluorescence in the assessment of the share of a key component in the mixing of feed
  134. Sulfur application alleviates chromium stress in maize and wheat
  135. Effectiveness of removal of sulphur compounds from the air after 3 years of biofiltration with a mixture of compost soil, peat, coconut fibre and oak bark
  136. Special Issue on the 4th Green Chemistry 2018
  137. Study and fire test of banana fibre reinforced composites with flame retardance properties
  138. Special Issue on the International conference CosCI 2018
  139. Disintegration, In vitro Dissolution, and Drug Release Kinetics Profiles of k-Carrageenan-based Nutraceutical Hard-shell Capsules Containing Salicylamide
  140. Synthesis of amorphous aluminosilicate from impure Indonesian kaolin
  141. Special Issue on the International Conf on Science, Applied Science, Teaching and Education 2019
  142. Functionalization of Congo red dye as a light harvester on solar cell
  143. The effect of nitrite food preservatives added to se’i meat on the expression of wild-type p53 protein
  144. Biocompatibility and osteoconductivity of scaffold porous composite collagen–hydroxyapatite based coral for bone regeneration
  145. Special Issue on the Joint Science Congress of Materials and Polymers (ISCMP 2019)
  146. Effect of natural boron mineral use on the essential oil ratio and components of Musk Sage (Salvia sclarea L.)
  147. A theoretical and experimental study of the adsorptive removal of hexavalent chromium ions using graphene oxide as an adsorbent
  148. A study on the bacterial adhesion of Streptococcus mutans in various dental ceramics: In vitro study
  149. Corrosion study of copper in aqueous sulfuric acid solution in the presence of (2E,5E)-2,5-dibenzylidenecyclopentanone and (2E,5E)-bis[(4-dimethylamino)benzylidene]cyclopentanone: Experimental and theoretical study
  150. Special Issue on Chemistry Today for Tomorrow 2019
  151. Diabetes mellitus type 2: Exploratory data analysis based on clinical reading
  152. Multivariate analysis for the classification of copper–lead and copper–zinc glasses
  153. Special Issue on Advances in Chemistry and Polymers
  154. The spatial and temporal distribution of cationic and anionic radicals in early embryo implantation
  155. Special Issue on 3rd IC3PE 2020
  156. Magnetic iron oxide/clay nanocomposites for adsorption and catalytic oxidation in water treatment applications
  157. Special Issue on IC3PE 2018/2019 Conference
  158. Exergy analysis of conventional and hydrothermal liquefaction–esterification processes of microalgae for biodiesel production
  159. Advancing biodiesel production from microalgae Spirulina sp. by a simultaneous extraction–transesterification process using palm oil as a co-solvent of methanol
  160. Topical Issue on Applications of Mathematics in Chemistry
  161. Omega and the related counting polynomials of some chemical structures
  162. M-polynomial and topological indices of zigzag edge coronoid fused by starphene
Downloaded on 2.12.2025 from https://www.degruyterbrill.com/document/doi/10.1515/chem-2020-0175/html
Scroll to top button