Abstract
Solute transport through the clay liner is a significant process in many waste landfills or unmanaged landfills. At present, researchers mainly focus on the test study about semi-membrane property of clay material, however, the influence of chemical osmosis caused by membrane effect on solute transport and fluid velocity is insufficient. In this investigation, based on the classical advection-diffusion equation, a one-dimensional solute transport model for low-permeable clay material has been proposed, in which the coupled fluid velocity related with hydraulic gradient and concentration gradient is introduced, and the semi-membrane effect is embodied in the diffusion mechanism. The influence of chemical osmosis on fluid velocity and solute transport has been analyzed using COMSOL Multiphysics software. The simulated results show that chemical osmosis has a significant retarded action on fluid velocity and pollutant transport. The proposed model can effectively reveal the change in process of coupled fluid velocity under dual gradient and solute transport, which can provide a theoretical guidance for similar fluid movement in engineering.
1 Introduction
It is well known that clay materials can exhibit semipermeable membrane behavior, which has been proven by large amount of indoor and on-site experiments [1, 2, 3, 4, 5, 6, 7, 8, 9, 10, 11] Technical researchers typically pay more attention to the influence of clay membrane behavior on practical engineering, i.e. solid waste landfill, geothermal exploitation, nuclear waste disposal, intrusion of saltwater, and so on. When different concentrated chemicals exist on both sides of clay soils, due to the permeable membrane behavior of clay, it only allows the passage of water molecules while preventing chemicals under the concentration gradient to dislocate. The water molecules in low concentration solution will move to the high concentration solution to maintain bilateral concentration balance. The process of water flow due to concentration gradient is called chemical osmosis. The osmotic efficiency coefficient ɷ is usually used to demonstrate the ideal condition of clay as a semi-membrane material.
The concept of the osmotic efficiency coefficient was first proposed by Staverman [12], which was defined by the ratio of osmosis pressure measured value and the theoretically calculated value, under constant temperature. , This concept has since been used to explain the osmotic mechanism in engineering practices. The investigation of Garavito [3] and Cruchaudet [4] showed that the osmotic efficiency coefficient decreases with the increase of solution concentration. Shackelford’s research group [8, 9, 10] conducted research on the measurement of the osmotic efficiency coefficient, the influence factors such as solution ions, solution concentration, clay mineral types and other factors. In addition, Zuo and Wu et al. [13, 14, 15, 16] conducted some indoor experiments with clay materials to study the osmotic efficiency coefficient in different areas in China. Some researchers focussed on the influence of the osmotic efficiency coefficient on contaminant transport [17, 18, 19, 20]. Their results indicated that chemical movement was hindered when ω value increased. Baechler [21] performed numerical simulations on the chemical migration with viewing ω value as the function of solute concentration. The simulated results showed that the relationship between ω value and solute concentration had a significant influence on solute transport. Liu et al. [22] proposed a coupling dynamic model of solute transport, considering the effect of membrane behavior and cation exchange, the results indicated that the chemiosmosis in geo-synthetic clay liner (GCL) could effectively delay the solute transport velocity. It is noteworthy that in the process of solute transport, the retardation effect due to chemiosmosis increases with the decrease of the solute concentration. Sun et al. [16] proposed that chemical osmosis was the key factor affecting the pore water movement and it even exceed hydraulic head. Thus chemical osmosis is of significance to control the concentration distribution with time and space of contaminant and it will change the breakthrough flux of solute. However, the influence mechanism of chemical osmosis to pore water flow has not been analyzed by researchers. Most importantly, there is less quality evaluation of results and discussion about the intrinsic mechanism of the chemical osmosis effect on contaminant transport process.
The aim of the study is to propose a 1D contaminant transport model for low permeability clay media based on the classical convection-diffusion equation. The combined driving action of hydraulic gradient and concentration gradient is taken into consideration, and the coupled fluid velocity caused by the hydraulic gradient and the concentration gradient is introduced. Furthermore, the diffusion mechanism incorporates the semi-membrane effect of clay material. The COMSOL Multiphysics software is used to conduct a numerical simulation to investigate the chemical osmosis on pore fluid flow and solute transport. The numerical results can afford a theoretical support for multi-physics fields coupled process.
2 Modified solute transport model
The classical 1D convection-diffusion model of solute transport can be described by the following equation,
where R d is the retardation factor of clay to chemicals. It can be expressed as
When the semi-permeability membrane of clay media is taken into account, the solute flux due to convection can be given by the following,
where vf is the true velocity of pore fluid across the clay. The relationship between true velocity and average velocity is given as the following,
where n is the porosity and v is the average velocity or Darcy velocity. If the hydraulic gradient and chemical concentration gradient exist simultaneously, the flow of pore fluid will be driven by dual gradient.
where k h is the hydraulic coefficient; i h is the fluid hydraulic gradient; k c is the chemical hydraulic coefficient and i c is the chemical concentration gradient. The chemical hydraulic coefficient and chemical concentration gradient can be written as
where γ w is the unit weight of pore water and π is the osmotic pressure.
For the contaminant with anionic and cationic valency 1:1, the osmotic pressure can be approximately expressed by Vander Hoff formula when the concentration value of contaminant is less than 1 M/L.
where R is the universal gas constant and T is the absolute temperature.
Because the pore channels of clay are different in shape, the diffusion coefficient of contaminant is generally less than that in free water. In general, the effective diffusion coefficient of contaminant in soil can be written as [8]
where τ is the tortuosity factor [23]; D0 is the diffusion coefficient of contaminant in free water and m is the empirical coefficient.
Model parameter.
| Parameter | D0 (m2/s) | Kd (L/kg) | R (J/mol/K) | T (K) | ρs (kg/m3) | γw (N/m3) | kh (cm/s) | n | ω |
|---|---|---|---|---|---|---|---|---|---|
| Value | 5.0×10-9 | 0.8142 | 8.314 | 298 | 2600 | 1.0×104 | 1.0×10-7 | 0.5 | 0.05 |
Note: Kd value is from [26].
Substituting Eqs.(2)-(9) into Eq.(1) yields,
where M is the molar mass of contaminants.
Eq.(10) is the convection-diffusion equation of 1D contaminant transport considering chemical osmosis effect under the combined action of a hydraulic gradient and concentration gradient.
3 Numerical simulation
3.1 Transport system of solute in clay liner
Figure 1 shows a schematic representation of clay liner. It can be seen that the leachate produced by the waste decomposition will leak into the clay soils, and further break through the clay liner into the ground water, which will result in a potential danger of ground water contamination.

A schematic of clay liner.
3.2 Solution conditions and model parameters
The model simulations were carried out using COMSOL Multiphysics software. The research object is the clay liner with depth 1m. Sodium chloride (NaCl) solution is taken as the contaminated source with constant concentration.
The Cauchy boundary condition is occupied in the numerical simulation as follows:
Initial conditions: c(z,0) = 0, (0 < z <1m)
Boundary conditions: c ( 0,t ) = c0 , ( z = 0,t ≥ 0 ) ;
where λ and μ are the Cauchy condition parameters. In this study, μ/λ=0.1m-1 [24], λ=17.37m [25].
3.3 Simulation results
In order to study the influence of chemical osmosis on contaminant transport, the proposed convection-diffusion equation is solved by COMSOL Multiphysics software. The results include two cases (considering chemical osmosis and ignoring chemical osmosis), in which the convection-diffusion equation ignoring chemical osmosis is as following:
3.3.1 Influence of chemical osmosis on solute transport and fluid velocity
The NaCl concentration at the upper boundary of clay liner is 0.04 mol/L, the hydraulic gradient is 3 [27]. The concentration distributions results of NaCl with depth considering chemical osmosis and ignoring chemical osmosis are shown in Figure 2. It can be seen that at the same transport time and any soil depth, the contaminant concentration considering chemical osmosis is obviously smaller than that ignoring chemical osmosis, which shows that the chemical osmosis has a significant retardation effect on contaminant transport. The main reason is that the NaCl concentration in the pore fluid of soil is less than that of the external concentration of the soil. The concentration difference inside and outside clay will cause semi-permeable membrane effect, thus the pore water will flow from a low concentration to high concentration area under the driving force of a concentration gradient. It is noteworthy that the water movement under the concentration gradient is opposite to that of water movement under the hydraulic gradient, which can delay the contaminant migration.

Distribution of solute concentration with depth.
The evolution of NaCl concentration with time on the bottom boundary of the clay liner has been shown in Figure 3. It can be seen that the accumulated concentration values, considering chemical osmosis effect, are less than those ignoring chemical osmosis effect at any time. Furthermore, the concentration difference caused by considering chemical osmosis versus ignoring chemical osmosis increases with the time elapsed. For example, the concentration difference reaches 0.006 mol/L when transport time reaches 20 years, which is 16% of input NaCl concentration. According to the quality standard for ground water of People’s Republic of China, the drinking water standard III for chloride is 0.25 g/L. The breakthrough time of NaCl ignoring chemical osmosis is 10.18 years, however, it reaches 12.24 years when considering chemical osmosis. The results show that the breakthrough time considering chemical osmosis reduces by 20% under the same simulated condition.

Distribution of solute concentration with time at the bottom boundary.
The distributions of pore fluid velocity with soil depth at different transport time are shown in Figure 4.

Distribution of pore fluid velocity with depth.
It can be seen from Figure 4 that chemical osmosis has a significant effect on seepage velocity. Over time, due to weaker chemical osmosis, the effect of the reduction gradually decreases with the decrease of concentration difference between internal and external clay soil. When the chemical osmosis effect is not considered, the pore fluid movement is only caused by the hydraulic gradient, thereby the velocities are determined and controlled by hydraulic conductivity and head difference. The hydraulic conductivity coefficient kh is constant when soil structure is stable. Then the seepage velocity will keep constant under the fixed hydraulic gradient. The calculated seepage velocity reaches 9.5 cm/year as illustrated in Figure 4 (green line). It is noteworthy that the seepage velocities change under the chemical osmosis effect. At the early stage (i.e. 1 year) the seepage velocity at 0.1 m soil depth is negative (shown with black line), which indicates the chemical osmosis at the upper soil is more intense. The main reason is that most of the contaminant ions have not entered into the soil layer at the early stage, the concentration difference between internal and external of the upper soil reaches the extreme state, which means that the difference reaches the maximum value. Therefore, the chemical osmosis effect induced by the concentration gradient is strongest. According to the membrane effect, the water will flow from low concentration to high concentration, and the water velocity from internal to external soil is even more than the water velocity flowing into the internal soil caused by head difference, so the overall apparent velocity appears negative. As the time goes on, the contaminant ions enter the soil continuously, which leads to concentration difference; the internal and external concentration of soil gradually decreases. At the macroscopic scale, the downward flow velocity induced by hydraulic gradient becomes the dominate factor, thereby the overall velocity values are positive. It can be seen that at different simulated migration times (1 year, 5 years, 10 years and 20 years), the total velocity is less than that obtained when ignoring chemical osmosis. The results show that the inhibitory effect of the concentration gradient on velocity is still present in soil, and the influence weakens gradually as the time elapses. In addition, the inhibitory action of chemical osmosis on total flow velocity gradually decreases with the increase of soil depth, which means the values of chemical osmosis velocity induced by concentration difference of internal and external soil layer decrease gradually.
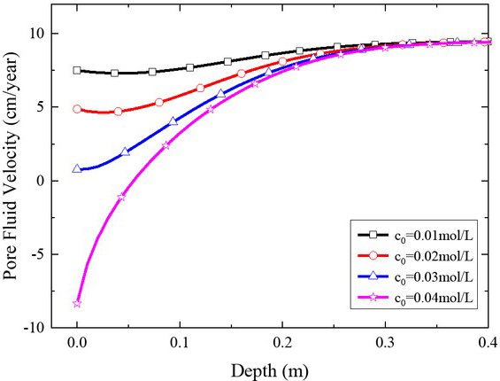
3.3.2 Influence of contaminant concentration on solute transport and fluid velocity
The concentration difference is a necessary condition for the chemical osmotic flow. The contaminant concentration values of the upper boundary of the soil layer will directly affect the contaminant concentration difference between internal and external soil layer, and further affect the exertion of the chemical osmosis effect. In order to quantitatively evaluate the influence of the initial input concentration of contaminant on fluid velocity and contaminant migration, 4 cases with different solute concentrations (0.01 mol/L, 0.02 mol/L, 0.03 mol/L and 0.04 mol/L) at the upper boundary of soil were studied. Since the initial contaminant concentration was different, the ordinate was chosen to be dimensionless in order to obtain the consistent simulation results. It can be seen in Figure 5 that the cumulative values of contaminant concentration show a decreasing trend with the increase of initial concentration of contaminant. The higher the contaminant concentration, the larger the concentration difference between inside and outside of the soil. Thereby the stronger the chemical osmosis effect induced by contaminant concentration, the more obvious the reverse inhibition action on velocity. In the end the strong inhibition action to contaminant transport causes the downward flux of contaminant to decrease (shown in Figure 6). Figure 6 shows that the seepage velocities of pore fluid are positive when initial concentration is less than 0.03 mol/L, which indicates that the seepage direction of pore fluid is consistent with the contaminant migration, and the promoting action of hydraulic gradient on contaminant migration is greater than that of slowing down of chemical osmosis on contaminant migration.

Distribution of pollutant concentration with time at the lower boundary.

Distribution of pore water velocity with depth (1 year).
In this investigation, the breakthrough condition of contaminant is c/c0×100% =10% according to the judgement standard put forward by Zhang et al [24]. The calculated breakthrough times of contaminant with 4 kinds of concentration are shown in Table 2. The results show that the time for contaminant to break through clay liner increases with the increase of initial concentration of contaminant. When the contaminant concentrations at the upper boundary reach 0.02 mol/L, 0.03 mol/L and 0.04 mol/L, the elongation ratio of breakthrough time reaches 4%, 9% and 15%, respectively, individually compared with the upper boundary concentration 0.01 mol/L.
Breakthrough time of pollutant under different initial pollutant concentration.
| c0 (mol/L) | 0.01 | 0.02 | 0.03 | 0.04 |
|---|---|---|---|---|
| Breakthrough time (year) | 10.41 | 10.85 | 11.38 | 11.97 |
4 Conclusions
Based on the classical convection-diffusion equation, the 1D contaminant transport model for low-permeability clay medium has been proposed. The chemical osmosis mechanism due to the semi-permeable membrane of clay, linear adsorption pattern, and the coupled fluid velocity under the combining driving action of hydraulic and concentration gradient, are considered. A series of numerical simulations have been carried out using COMSOL Multiphysics software. The results suggest that:
Compared with pore fluid velocity induced by the hydraulic gradient, the chemical osmosis effect has obvious reverse inhibition action on fluid velocity.
The direction of fluid velocity produced by chemical osmosis is opposite to that produced by water head, which plays an inhibited action on solute transport and causes the prolongation of the breakthrough time.
The higher the upper boundary contaminant concentration, the stronger the chemical osmosis effect and the lower the contaminant migration velocity.
Acknowledgements
This work was supported by Key Program of Beijing Natural Science Foundation of China (No.8171001). Financial support is gratefully acknowledged.
Conflict of interest: Authors declare no conflict of interest.
References
[1] Neuzil CE. Osmotic generation of ‘anomalous’ fluid pressures in geological environments. Nature. 2000 Jan;403(6766):182–4.10.1038/35003174Search in Google Scholar
[2] Noy DJ. (British Geological Survey, Kingsley Dunham Centre). An experimental and modeling study of chemico-osmotic effects in the Opalinus clay of Switzerland. Final report. Bern: Swiss Geological Survey (Switzerland), Federal Office for Water and Geology; 2004 Jan. Report No.: Geology Series No. 6. Contract No.: 804.606.eng.Search in Google Scholar
[3] Garavito AM, De Cannière P, Kooi H. In situ chemical osmosis experiment in the Boom Clay at the Mol underground research laboratory. Phys Chem Earth Parts ABC. 2006 Oct;32(1):421– 33.10.1016/j.pce.2006.01.004Search in Google Scholar
[4] Cruchaudet M, Croisé J, Lavanchy JM. In situ osmotic experiment in the Callovo-Oxfordian argillaceous formation at the Meuse/Haute-Marne URL (France): data and analysis. Phys Chem Earth Parts ABC. 2008 Oct;33(33 Suppl):S114–24.10.1016/j.pce.2008.10.045Search in Google Scholar
[5] Malusis MA, Shackelford CD. Chemico-Osmotic Efficiency of a Geosynthetic Clay Liner. J GEOTECH GEOENVIRON. 2002 Feb;128(2):97–106.10.1061/(ASCE)1090-0241(2002)128:2(97)Search in Google Scholar
[6] Henning JT, Evans JC, Shackelford CD. Membrane Behavior of Two Backfills from Field-Constructed Soil-Bentonite Cutoff Walls. J GEOTECH GEOENVIRON. 2006 Oct;132(10):1243–9.10.1061/(ASCE)1090-0241(2006)132:10(1243)Search in Google Scholar
[7] Kang JB, Shackelford CD. Membrane behavior of compacted clay liners. J GEOTECH GEOENVIRON. 2010 Sep;136(10):1368– 82.10.1061/(ASCE)GT.1943-5606.0000358Search in Google Scholar
[8] Shackelford CD, editor. Persistence of Semipermeable Membrane Behavior for a Geosynthetic Clay Liner. Proceedings of the 7th International Society for Mechanics and Geotechnical Engineering; 2014.Nov 11-14; Melbourne, Australia.Search in Google Scholar
[9] Shackelford CD, Meier A, Sample-Lord KM. Limiting membrane and diffusion behavior of a geosynthetic clay liner. GEOTEXT GEOMEMBRANES. 2016 Jun;44(5):707–18.10.1016/j.geotexmem.2016.05.009Search in Google Scholar
[10] Shackelford CD. International Workshop on Advances in Laboratory Testing and Modelling of Soils and Shales;2017 Jan18-20; Cham; Springer, 2017.Search in Google Scholar
[11] Sample-Lord KM, Shackelford CD. Membrane Behavior of Unsaturated Sodium Bentonite. J GEOTECH GEOENVIRON. 2018 Jan;144(1):04017102.10.1061/(ASCE)GT.1943-5606.0001803Search in Google Scholar
[12] Staverman AJ. Non-equilibrium thermodynamics of membrane processes. Trans Faraday Soc. 1951 Aug;48:176–85.10.1039/tf9524800176Search in Google Scholar
[13] Zuo WZ, Xu YJ, Wang Y, Li MY. Experimental Studies on the Membrane Behavior of the Cohesive Soil [China.]. ION EXCHANGE ADSORPT. 2013 Dec;29(6):551–60.Search in Google Scholar
[14] Zuo WZ, Xu YJ, Wang Y, Li MY. Experimental Study on Membrane Performance of Cohesive Undisturbed Soil Salty Area of Eastern China [China.]. Shuitu Baochi Tongbao. 2014 Apr;34(2):69–72.Search in Google Scholar
[15] Sun XM, Wu JF, Shi XQ, Wu JC. Experimental and numerical modeling of chemical osmosis in the clay samples of the aquitard in the North China Plain. Environ Earth Sci. 2016 Dec;75(1):59.10.1007/s12665-015-4921-6Search in Google Scholar
[16] Sun XM, Wu JF. Review on advances in chemical osmosis in clayey sediments [China.]. Diqiu Kexue Jinzhan. 2017 Jan;32(1):56–65.Search in Google Scholar
[17] Manassero M, Dominijanni A. Modelling the osmosis effect on pollutant migration through porous media. Geotechnique. 2003 Jun;53(5):481–92.10.1680/geot.2003.53.5.481Search in Google Scholar
[18] Peters GP, Smith DW. The influence of advective transport on coupled chemical and mechanical consolidation of clays. Mech Mater. 2004 May;36(5):467–86.10.1016/S0167-6636(03)00072-3Search in Google Scholar
[19] Chen G, Gallipoli D, Ledesma A. Chemo-hydro-mechanical coupled consolidation for a poroelastic clay buffer in a radioactive waste repository. TRANSPORT POROUS MED. 2007 Jan;69(2):189–213.10.1007/s11242-006-9083-2Search in Google Scholar
[20] Li ZZ, Sheng XW, Qian C. Coupled modeling and mechanism of solute transport in porous media under hydraulic, electric and osmotic gradients. Yantu Lixue. 2011 Aug;32(2):279–83.Search in Google Scholar
[21] Baechler S, Croisé J, Altmann S. Modelling coupled chemico-osmotic and advective–diffusive transport of nitrate salts in the Callovo-Oxfordian Clay. Adv Water Resour. 2012 Dec;49:76–85.10.1016/j.advwatres.2012.07.011Search in Google Scholar
[22] Liu L, Xue Q, Zhao Y. Chemosmosis performance of solute permeating into geosynthetic clay liners [China.]. Yantu Lixue. 2012 Oct;33(10):3025–30.Search in Google Scholar
[23] Liu JG, Wang HT, Nie YF. Fractal model for predicting effective diffusion coefficient of solute in porous media [China.]. Adv Water Resour. 2004 Jul;15(14):458–62.Search in Google Scholar
[24] Zhang WJ, Huang YY, Zhang GG. Analytical solution for 1D advection-diffusion-adsorption transport of landfill contaminants through a soil layer with finite thickness [China.]. Chinese J. GEOTECH ENG. 2013 Jul;35(7):1197–201.Search in Google Scholar
[25] Wang P, Hu FS, Han ZT, Kong XK. Experiment study on Dispersion of Saline water Flowing through clay-bearing Soil [China.]. South-to-North Trans WATER SCI TECHNOL. 2014 Feb;12(1):101–4.Search in Google Scholar
[26] Zhang ZH. Research on transport rule of dredged sludge contaminant through clay impermeable layer [dissertation]. Beijing: Beijing Jiaotong University;2007.Search in Google Scholar
[27] Zhang W, Chen YM, Zhan LT. Transport of leachate through vertical curtain grouting in landfills [China.]. Acta Scien. Circum. 2008 May;28(5):925–9.Search in Google Scholar
© 2020 Zhihong Zhang, Gailei Tian, Lin Han, published by De Gruyter
This work is licensed under the Creative Commons Attribution 4.0 International License.
Articles in the same Issue
- Regular Articles
- Electrochemical antioxidant screening and evaluation based on guanine and chitosan immobilized MoS2 nanosheet modified glassy carbon electrode (guanine/CS/MoS2/GCE)
- Kinetic models of the extraction of vanillic acid from pumpkin seeds
- On the maximum ABC index of bipartite graphs without pendent vertices
- Estimation of the total antioxidant potential in the meat samples using thin-layer chromatography
- Molecular dynamics simulation of sI methane hydrate under compression and tension
- Spatial distribution and potential ecological risk assessment of some trace elements in sediments and grey mangrove (Avicennia marina) along the Arabian Gulf coast, Saudi Arabia
- Amino-functionalized graphene oxide for Cr(VI), Cu(II), Pb(II) and Cd(II) removal from industrial wastewater
- Chemical composition and in vitro activity of Origanum vulgare L., Satureja hortensis L., Thymus serpyllum L. and Thymus vulgaris L. essential oils towards oral isolates of Candida albicans and Candida glabrata
- Effect of excess Fluoride consumption on Urine-Serum Fluorides, Dental state and Thyroid Hormones among children in “Talab Sarai” Punjab Pakistan
- Design, Synthesis and Characterization of Novel Isoxazole Tagged Indole Hybrid Compounds
- Comparison of kinetic and enzymatic properties of intracellular phosphoserine aminotransferases from alkaliphilic and neutralophilic bacteria
- Green Organic Solvent-Free Oxidation of Alkylarenes with tert-Butyl Hydroperoxide Catalyzed by Water-Soluble Copper Complex
- Ducrosia ismaelis Asch. essential oil: chemical composition profile and anticancer, antimicrobial and antioxidant potential assessment
- DFT calculations as an efficient tool for prediction of Raman and infra-red spectra and activities of newly synthesized cathinones
- Influence of Chemical Osmosis on Solute Transport and Fluid Velocity in Clay Soils
- A New fatty acid and some triterpenoids from propolis of Nkambe (North-West Region, Cameroon) and evaluation of the antiradical scavenging activity of their extracts
- Antiplasmodial Activity of Stigmastane Steroids from Dryobalanops oblongifolia Stem Bark
- Rapid identification of direct-acting pancreatic protectants from Cyclocarya paliurus leaves tea by the method of serum pharmacochemistry combined with target cell extraction
- Immobilization of Pseudomonas aeruginosa static biomass on eggshell powder for on-line preconcentration and determination of Cr (VI)
- Assessment of methyl 2-({[(4,6-dimethoxypyrimidin-2-yl)carbamoyl] sulfamoyl}methyl)benzoate through biotic and abiotic degradation modes
- Stability of natural polyphenol fisetin in eye drops Stability of fisetin in eye drops
- Production of a bioflocculant by using activated sludge and its application in Pb(II) removal from aqueous solution
- Molecular Properties of Carbon Crystal Cubic Structures
- Synthesis and characterization of calcium carbonate whisker from yellow phosphorus slag
- Study on the interaction between catechin and cholesterol by the density functional theory
- Analysis of some pharmaceuticals in the presence of their synthetic impurities by applying hybrid micelle liquid chromatography
- Two mixed-ligand coordination polymers based on 2,5-thiophenedicarboxylic acid and flexible N-donor ligands: the protective effect on periodontitis via reducing the release of IL-1β and TNF-α
- Incorporation of silver stearate nanoparticles in methacrylate polymeric monoliths for hemeprotein isolation
- Development of ultrasound-assisted dispersive solid-phase microextraction based on mesoporous carbon coated with silica@iron oxide nanocomposite for preconcentration of Te and Tl in natural water systems
- N,N′-Bis[2-hydroxynaphthylidene]/[2-methoxybenzylidene]amino]oxamides and their divalent manganese complexes: Isolation, spectral characterization, morphology, antibacterial and cytotoxicity against leukemia cells
- Determination of the content of selected trace elements in Polish commercial fruit juices and health risk assessment
- Diorganotin(iv) benzyldithiocarbamate complexes: synthesis, characterization, and thermal and cytotoxicity study
- Keratin 17 is induced in prurigo nodularis lesions
- Anticancer, antioxidant, and acute toxicity studies of a Saudi polyherbal formulation, PHF5
- LaCoO3 perovskite-type catalysts in syngas conversion
- Comparative studies of two vegetal extracts from Stokesia laevis and Geranium pratense: polyphenol profile, cytotoxic effect and antiproliferative activity
- Fragmentation pattern of certain isatin–indole antiproliferative conjugates with application to identify their in vitro metabolic profiles in rat liver microsomes by liquid chromatography tandem mass spectrometry
- Investigation of polyphenol profile, antioxidant activity and hepatoprotective potential of Aconogonon alpinum (All.) Schur roots
- Lead discovery of a guanidinyl tryptophan derivative on amyloid cascade inhibition
- Physicochemical evaluation of the fruit pulp of Opuntia spp growing in the Mediterranean area under hard climate conditions
- Electronic structural properties of amino/hydroxyl functionalized imidazolium-based bromide ionic liquids
- New Schiff bases of 2-(quinolin-8-yloxy)acetohydrazide and their Cu(ii), and Zn(ii) metal complexes: their in vitro antimicrobial potentials and in silico physicochemical and pharmacokinetics properties
- Treatment of adhesions after Achilles tendon injury using focused ultrasound with targeted bFGF plasmid-loaded cationic microbubbles
- Synthesis of orotic acid derivatives and their effects on stem cell proliferation
- Chirality of β2-agonists. An overview of pharmacological activity, stereoselective analysis, and synthesis
- Fe3O4@urea/HITh-SO3H as an efficient and reusable catalyst for the solvent-free synthesis of 7-aryl-8H-benzo[h]indeno[1,2-b]quinoline-8-one and indeno[2′,1′:5,6]pyrido[2,3-d]pyrimidine derivatives
- Adsorption kinetic characteristics of molybdenum in yellow-brown soil in response to pH and phosphate
- Enhancement of thermal properties of bio-based microcapsules intended for textile applications
- Exploring the effect of khat (Catha edulis) chewing on the pharmacokinetics of the antiplatelet drug clopidogrel in rats using the newly developed LC-MS/MS technique
- A green strategy for obtaining anthraquinones from Rheum tanguticum by subcritical water
- Cadmium (Cd) chloride affects the nutrient uptake and Cd-resistant bacterium reduces the adsorption of Cd in muskmelon plants
- Removal of H2S by vermicompost biofilter and analysis on bacterial community
- Structural cytotoxicity relationship of 2-phenoxy(thiomethyl)pyridotriazolopyrimidines: Quantum chemical calculations and statistical analysis
- A self-breaking supramolecular plugging system as lost circulation material in oilfield
- Synthesis, characterization, and pharmacological evaluation of thiourea derivatives
- Application of drug–metal ion interaction principle in conductometric determination of imatinib, sorafenib, gefitinib and bosutinib
- Synthesis and characterization of a novel chitosan-grafted-polyorthoethylaniline biocomposite and utilization for dye removal from water
- Optimisation of urine sample preparation for shotgun proteomics
- DFT investigations on arylsulphonyl pyrazole derivatives as potential ligands of selected kinases
- Treatment of Parkinson’s disease using focused ultrasound with GDNF retrovirus-loaded microbubbles to open the blood–brain barrier
- New derivatives of a natural nordentatin
- Fluorescence biomarkers of malignant melanoma detectable in urine
- Study of the remediation effects of passivation materials on Pb-contaminated soil
- Saliva proteomic analysis reveals possible biomarkers of renal cell carcinoma
- Withania frutescens: Chemical characterization, analgesic, anti-inflammatory, and healing activities
- Design, synthesis and pharmacological profile of (−)-verbenone hydrazones
- Synthesis of magnesium carbonate hydrate from natural talc
- Stability-indicating HPLC-DAD assay for simultaneous quantification of hydrocortisone 21 acetate, dexamethasone, and fluocinolone acetonide in cosmetics
- A novel lactose biosensor based on electrochemically synthesized 3,4-ethylenedioxythiophene/thiophene (EDOT/Th) copolymer
- Citrullus colocynthis (L.) Schrad: Chemical characterization, scavenging and cytotoxic activities
- Development and validation of a high performance liquid chromatography/diode array detection method for estrogen determination: Application to residual analysis in meat products
- PCSK9 concentrations in different stages of subclinical atherosclerosis and their relationship with inflammation
- Development of trace analysis for alkyl methanesulfonates in the delgocitinib drug substance using GC-FID and liquid–liquid extraction with ionic liquid
- Electrochemical evaluation of the antioxidant capacity of natural compounds on glassy carbon electrode modified with guanine-, polythionine-, and nitrogen-doped graphene
- A Dy(iii)–organic framework as a fluorescent probe for highly selective detection of picric acid and treatment activity on human lung cancer cells
- A Zn(ii)–organic cage with semirigid ligand for solvent-free cyanosilylation and inhibitory effect on ovarian cancer cell migration and invasion ability via regulating mi-RNA16 expression
- Polyphenol content and antioxidant activities of Prunus padus L. and Prunus serotina L. leaves: Electrochemical and spectrophotometric approach and their antimicrobial properties
- The combined use of GC, PDSC and FT-IR techniques to characterize fat extracted from commercial complete dry pet food for adult cats
- MALDI-TOF MS profiling in the discovery and identification of salivary proteomic patterns of temporomandibular joint disorders
- Concentrations of dioxins, furans and dioxin-like PCBs in natural animal feed additives
- Structure and some physicochemical and functional properties of water treated under ammonia with low-temperature low-pressure glow plasma of low frequency
- Mesoscale nanoparticles encapsulated with emodin for targeting antifibrosis in animal models
- Amine-functionalized magnetic activated carbon as an adsorbent for preconcentration and determination of acidic drugs in environmental water samples using HPLC-DAD
- Antioxidant activity as a response to cadmium pollution in three durum wheat genotypes differing in salt-tolerance
- A promising naphthoquinone [8-hydroxy-2-(2-thienylcarbonyl)naphtho[2,3-b]thiophene-4,9-dione] exerts anti-colorectal cancer activity through ferroptosis and inhibition of MAPK signaling pathway based on RNA sequencing
- Synthesis and efficacy of herbicidal ionic liquids with chlorsulfuron as the anion
- Effect of isovalent substitution on the crystal structure and properties of two-slab indates BaLa2−xSmxIn2O7
- Synthesis, spectral and thermo-kinetics explorations of Schiff-base derived metal complexes
- An improved reduction method for phase stability testing in the single-phase region
- Comparative analysis of chemical composition of some commercially important fishes with an emphasis on various Malaysian diets
- Development of a solventless stir bar sorptive extraction/thermal desorption large volume injection capillary gas chromatographic-mass spectrometric method for ultra-trace determination of pyrethroids pesticides in river and tap water samples
- A turbidity sensor development based on NL-PI observers: Experimental application to the control of a Sinaloa’s River Spirulina maxima cultivation
- Deep desulfurization of sintering flue gas in iron and steel works based on low-temperature oxidation
- Investigations of metallic elements and phenolics in Chinese medicinal plants
- Influence of site-classification approach on geochemical background values
- Effects of ageing on the surface characteristics and Cu(ii) adsorption behaviour of rice husk biochar in soil
- Adsorption and sugarcane-bagasse-derived activated carbon-based mitigation of 1-[2-(2-chloroethoxy)phenyl]sulfonyl-3-(4-methoxy-6-methyl-1,3,5-triazin-2-yl) urea-contaminated soils
- Antimicrobial and antifungal activities of bifunctional cooper(ii) complexes with non-steroidal anti-inflammatory drugs, flufenamic, mefenamic and tolfenamic acids and 1,10-phenanthroline
- Application of selenium and silicon to alleviate short-term drought stress in French marigold (Tagetes patula L.) as a model plant species
- Screening and analysis of xanthine oxidase inhibitors in jute leaves and their protective effects against hydrogen peroxide-induced oxidative stress in cells
- Synthesis and physicochemical studies of a series of mixed-ligand transition metal complexes and their molecular docking investigations against Coronavirus main protease
- A study of in vitro metabolism and cytotoxicity of mephedrone and methoxetamine in human and pig liver models using GC/MS and LC/MS analyses
- A new phenyl alkyl ester and a new combretin triterpene derivative from Combretum fragrans F. Hoffm (Combretaceae) and antiproliferative activity
- Erratum
- Erratum to: A one-step incubation ELISA kit for rapid determination of dibutyl phthalate in water, beverage and liquor
- Review Articles
- Sinoporphyrin sodium, a novel sensitizer for photodynamic and sonodynamic therapy
- Natural products isolated from Casimiroa
- Plant description, phytochemical constituents and bioactivities of Syzygium genus: A review
- Evaluation of elastomeric heat shielding materials as insulators for solid propellant rocket motors: A short review
- Special Issue on Applied Biochemistry and Biotechnology 2019
- An overview of Monascus fermentation processes for monacolin K production
- Study on online soft sensor method of total sugar content in chlorotetracycline fermentation tank
- Studies on the Anti-Gouty Arthritis and Anti-hyperuricemia Properties of Astilbin in Animal Models
- Effects of organic fertilizer on water use, photosynthetic characteristics, and fruit quality of pear jujube in northern Shaanxi
- Characteristics of the root exudate release system of typical plants in plateau lakeside wetland under phosphorus stress conditions
- Characterization of soil water by the means of hydrogen and oxygen isotope ratio at dry-wet season under different soil layers in the dry-hot valley of Jinsha River
- Composition and diurnal variation of floral scent emission in Rosa rugosa Thunb. and Tulipa gesneriana L.
- Preparation of a novel ginkgolide B niosomal composite drug
- The degradation, biodegradability and toxicity evaluation of sulfamethazine antibiotics by gamma radiation
- Special issue on Monitoring, Risk Assessment and Sustainable Management for the Exposure to Environmental Toxins
- Insight into the cadmium and zinc binding potential of humic acids derived from composts by EEM spectra combined with PARAFAC analysis
- Source apportionment of soil contamination based on multivariate receptor and robust geostatistics in a typical rural–urban area, Wuhan city, middle China
- Special Issue on 13th JCC 2018
- The Role of H2C2O4 and Na2CO3 as Precipitating Agents on The Physichochemical Properties and Photocatalytic Activity of Bismuth Oxide
- Preparation of magnetite-silica–cetyltrimethylammonium for phenol removal based on adsolubilization
- Topical Issue on Agriculture
- Size-dependent growth kinetics of struvite crystals in wastewater with calcium ions
- The effect of silica-calcite sedimentary rock contained in the chicken broiler diet on the overall quality of chicken muscles
- Physicochemical properties of selected herbicidal products containing nicosulfuron as an active ingredient
- Lycopene in tomatoes and tomato products
- Fluorescence in the assessment of the share of a key component in the mixing of feed
- Sulfur application alleviates chromium stress in maize and wheat
- Effectiveness of removal of sulphur compounds from the air after 3 years of biofiltration with a mixture of compost soil, peat, coconut fibre and oak bark
- Special Issue on the 4th Green Chemistry 2018
- Study and fire test of banana fibre reinforced composites with flame retardance properties
- Special Issue on the International conference CosCI 2018
- Disintegration, In vitro Dissolution, and Drug Release Kinetics Profiles of k-Carrageenan-based Nutraceutical Hard-shell Capsules Containing Salicylamide
- Synthesis of amorphous aluminosilicate from impure Indonesian kaolin
- Special Issue on the International Conf on Science, Applied Science, Teaching and Education 2019
- Functionalization of Congo red dye as a light harvester on solar cell
- The effect of nitrite food preservatives added to se’i meat on the expression of wild-type p53 protein
- Biocompatibility and osteoconductivity of scaffold porous composite collagen–hydroxyapatite based coral for bone regeneration
- Special Issue on the Joint Science Congress of Materials and Polymers (ISCMP 2019)
- Effect of natural boron mineral use on the essential oil ratio and components of Musk Sage (Salvia sclarea L.)
- A theoretical and experimental study of the adsorptive removal of hexavalent chromium ions using graphene oxide as an adsorbent
- A study on the bacterial adhesion of Streptococcus mutans in various dental ceramics: In vitro study
- Corrosion study of copper in aqueous sulfuric acid solution in the presence of (2E,5E)-2,5-dibenzylidenecyclopentanone and (2E,5E)-bis[(4-dimethylamino)benzylidene]cyclopentanone: Experimental and theoretical study
- Special Issue on Chemistry Today for Tomorrow 2019
- Diabetes mellitus type 2: Exploratory data analysis based on clinical reading
- Multivariate analysis for the classification of copper–lead and copper–zinc glasses
- Special Issue on Advances in Chemistry and Polymers
- The spatial and temporal distribution of cationic and anionic radicals in early embryo implantation
- Special Issue on 3rd IC3PE 2020
- Magnetic iron oxide/clay nanocomposites for adsorption and catalytic oxidation in water treatment applications
- Special Issue on IC3PE 2018/2019 Conference
- Exergy analysis of conventional and hydrothermal liquefaction–esterification processes of microalgae for biodiesel production
- Advancing biodiesel production from microalgae Spirulina sp. by a simultaneous extraction–transesterification process using palm oil as a co-solvent of methanol
- Topical Issue on Applications of Mathematics in Chemistry
- Omega and the related counting polynomials of some chemical structures
- M-polynomial and topological indices of zigzag edge coronoid fused by starphene
Articles in the same Issue
- Regular Articles
- Electrochemical antioxidant screening and evaluation based on guanine and chitosan immobilized MoS2 nanosheet modified glassy carbon electrode (guanine/CS/MoS2/GCE)
- Kinetic models of the extraction of vanillic acid from pumpkin seeds
- On the maximum ABC index of bipartite graphs without pendent vertices
- Estimation of the total antioxidant potential in the meat samples using thin-layer chromatography
- Molecular dynamics simulation of sI methane hydrate under compression and tension
- Spatial distribution and potential ecological risk assessment of some trace elements in sediments and grey mangrove (Avicennia marina) along the Arabian Gulf coast, Saudi Arabia
- Amino-functionalized graphene oxide for Cr(VI), Cu(II), Pb(II) and Cd(II) removal from industrial wastewater
- Chemical composition and in vitro activity of Origanum vulgare L., Satureja hortensis L., Thymus serpyllum L. and Thymus vulgaris L. essential oils towards oral isolates of Candida albicans and Candida glabrata
- Effect of excess Fluoride consumption on Urine-Serum Fluorides, Dental state and Thyroid Hormones among children in “Talab Sarai” Punjab Pakistan
- Design, Synthesis and Characterization of Novel Isoxazole Tagged Indole Hybrid Compounds
- Comparison of kinetic and enzymatic properties of intracellular phosphoserine aminotransferases from alkaliphilic and neutralophilic bacteria
- Green Organic Solvent-Free Oxidation of Alkylarenes with tert-Butyl Hydroperoxide Catalyzed by Water-Soluble Copper Complex
- Ducrosia ismaelis Asch. essential oil: chemical composition profile and anticancer, antimicrobial and antioxidant potential assessment
- DFT calculations as an efficient tool for prediction of Raman and infra-red spectra and activities of newly synthesized cathinones
- Influence of Chemical Osmosis on Solute Transport and Fluid Velocity in Clay Soils
- A New fatty acid and some triterpenoids from propolis of Nkambe (North-West Region, Cameroon) and evaluation of the antiradical scavenging activity of their extracts
- Antiplasmodial Activity of Stigmastane Steroids from Dryobalanops oblongifolia Stem Bark
- Rapid identification of direct-acting pancreatic protectants from Cyclocarya paliurus leaves tea by the method of serum pharmacochemistry combined with target cell extraction
- Immobilization of Pseudomonas aeruginosa static biomass on eggshell powder for on-line preconcentration and determination of Cr (VI)
- Assessment of methyl 2-({[(4,6-dimethoxypyrimidin-2-yl)carbamoyl] sulfamoyl}methyl)benzoate through biotic and abiotic degradation modes
- Stability of natural polyphenol fisetin in eye drops Stability of fisetin in eye drops
- Production of a bioflocculant by using activated sludge and its application in Pb(II) removal from aqueous solution
- Molecular Properties of Carbon Crystal Cubic Structures
- Synthesis and characterization of calcium carbonate whisker from yellow phosphorus slag
- Study on the interaction between catechin and cholesterol by the density functional theory
- Analysis of some pharmaceuticals in the presence of their synthetic impurities by applying hybrid micelle liquid chromatography
- Two mixed-ligand coordination polymers based on 2,5-thiophenedicarboxylic acid and flexible N-donor ligands: the protective effect on periodontitis via reducing the release of IL-1β and TNF-α
- Incorporation of silver stearate nanoparticles in methacrylate polymeric monoliths for hemeprotein isolation
- Development of ultrasound-assisted dispersive solid-phase microextraction based on mesoporous carbon coated with silica@iron oxide nanocomposite for preconcentration of Te and Tl in natural water systems
- N,N′-Bis[2-hydroxynaphthylidene]/[2-methoxybenzylidene]amino]oxamides and their divalent manganese complexes: Isolation, spectral characterization, morphology, antibacterial and cytotoxicity against leukemia cells
- Determination of the content of selected trace elements in Polish commercial fruit juices and health risk assessment
- Diorganotin(iv) benzyldithiocarbamate complexes: synthesis, characterization, and thermal and cytotoxicity study
- Keratin 17 is induced in prurigo nodularis lesions
- Anticancer, antioxidant, and acute toxicity studies of a Saudi polyherbal formulation, PHF5
- LaCoO3 perovskite-type catalysts in syngas conversion
- Comparative studies of two vegetal extracts from Stokesia laevis and Geranium pratense: polyphenol profile, cytotoxic effect and antiproliferative activity
- Fragmentation pattern of certain isatin–indole antiproliferative conjugates with application to identify their in vitro metabolic profiles in rat liver microsomes by liquid chromatography tandem mass spectrometry
- Investigation of polyphenol profile, antioxidant activity and hepatoprotective potential of Aconogonon alpinum (All.) Schur roots
- Lead discovery of a guanidinyl tryptophan derivative on amyloid cascade inhibition
- Physicochemical evaluation of the fruit pulp of Opuntia spp growing in the Mediterranean area under hard climate conditions
- Electronic structural properties of amino/hydroxyl functionalized imidazolium-based bromide ionic liquids
- New Schiff bases of 2-(quinolin-8-yloxy)acetohydrazide and their Cu(ii), and Zn(ii) metal complexes: their in vitro antimicrobial potentials and in silico physicochemical and pharmacokinetics properties
- Treatment of adhesions after Achilles tendon injury using focused ultrasound with targeted bFGF plasmid-loaded cationic microbubbles
- Synthesis of orotic acid derivatives and their effects on stem cell proliferation
- Chirality of β2-agonists. An overview of pharmacological activity, stereoselective analysis, and synthesis
- Fe3O4@urea/HITh-SO3H as an efficient and reusable catalyst for the solvent-free synthesis of 7-aryl-8H-benzo[h]indeno[1,2-b]quinoline-8-one and indeno[2′,1′:5,6]pyrido[2,3-d]pyrimidine derivatives
- Adsorption kinetic characteristics of molybdenum in yellow-brown soil in response to pH and phosphate
- Enhancement of thermal properties of bio-based microcapsules intended for textile applications
- Exploring the effect of khat (Catha edulis) chewing on the pharmacokinetics of the antiplatelet drug clopidogrel in rats using the newly developed LC-MS/MS technique
- A green strategy for obtaining anthraquinones from Rheum tanguticum by subcritical water
- Cadmium (Cd) chloride affects the nutrient uptake and Cd-resistant bacterium reduces the adsorption of Cd in muskmelon plants
- Removal of H2S by vermicompost biofilter and analysis on bacterial community
- Structural cytotoxicity relationship of 2-phenoxy(thiomethyl)pyridotriazolopyrimidines: Quantum chemical calculations and statistical analysis
- A self-breaking supramolecular plugging system as lost circulation material in oilfield
- Synthesis, characterization, and pharmacological evaluation of thiourea derivatives
- Application of drug–metal ion interaction principle in conductometric determination of imatinib, sorafenib, gefitinib and bosutinib
- Synthesis and characterization of a novel chitosan-grafted-polyorthoethylaniline biocomposite and utilization for dye removal from water
- Optimisation of urine sample preparation for shotgun proteomics
- DFT investigations on arylsulphonyl pyrazole derivatives as potential ligands of selected kinases
- Treatment of Parkinson’s disease using focused ultrasound with GDNF retrovirus-loaded microbubbles to open the blood–brain barrier
- New derivatives of a natural nordentatin
- Fluorescence biomarkers of malignant melanoma detectable in urine
- Study of the remediation effects of passivation materials on Pb-contaminated soil
- Saliva proteomic analysis reveals possible biomarkers of renal cell carcinoma
- Withania frutescens: Chemical characterization, analgesic, anti-inflammatory, and healing activities
- Design, synthesis and pharmacological profile of (−)-verbenone hydrazones
- Synthesis of magnesium carbonate hydrate from natural talc
- Stability-indicating HPLC-DAD assay for simultaneous quantification of hydrocortisone 21 acetate, dexamethasone, and fluocinolone acetonide in cosmetics
- A novel lactose biosensor based on electrochemically synthesized 3,4-ethylenedioxythiophene/thiophene (EDOT/Th) copolymer
- Citrullus colocynthis (L.) Schrad: Chemical characterization, scavenging and cytotoxic activities
- Development and validation of a high performance liquid chromatography/diode array detection method for estrogen determination: Application to residual analysis in meat products
- PCSK9 concentrations in different stages of subclinical atherosclerosis and their relationship with inflammation
- Development of trace analysis for alkyl methanesulfonates in the delgocitinib drug substance using GC-FID and liquid–liquid extraction with ionic liquid
- Electrochemical evaluation of the antioxidant capacity of natural compounds on glassy carbon electrode modified with guanine-, polythionine-, and nitrogen-doped graphene
- A Dy(iii)–organic framework as a fluorescent probe for highly selective detection of picric acid and treatment activity on human lung cancer cells
- A Zn(ii)–organic cage with semirigid ligand for solvent-free cyanosilylation and inhibitory effect on ovarian cancer cell migration and invasion ability via regulating mi-RNA16 expression
- Polyphenol content and antioxidant activities of Prunus padus L. and Prunus serotina L. leaves: Electrochemical and spectrophotometric approach and their antimicrobial properties
- The combined use of GC, PDSC and FT-IR techniques to characterize fat extracted from commercial complete dry pet food for adult cats
- MALDI-TOF MS profiling in the discovery and identification of salivary proteomic patterns of temporomandibular joint disorders
- Concentrations of dioxins, furans and dioxin-like PCBs in natural animal feed additives
- Structure and some physicochemical and functional properties of water treated under ammonia with low-temperature low-pressure glow plasma of low frequency
- Mesoscale nanoparticles encapsulated with emodin for targeting antifibrosis in animal models
- Amine-functionalized magnetic activated carbon as an adsorbent for preconcentration and determination of acidic drugs in environmental water samples using HPLC-DAD
- Antioxidant activity as a response to cadmium pollution in three durum wheat genotypes differing in salt-tolerance
- A promising naphthoquinone [8-hydroxy-2-(2-thienylcarbonyl)naphtho[2,3-b]thiophene-4,9-dione] exerts anti-colorectal cancer activity through ferroptosis and inhibition of MAPK signaling pathway based on RNA sequencing
- Synthesis and efficacy of herbicidal ionic liquids with chlorsulfuron as the anion
- Effect of isovalent substitution on the crystal structure and properties of two-slab indates BaLa2−xSmxIn2O7
- Synthesis, spectral and thermo-kinetics explorations of Schiff-base derived metal complexes
- An improved reduction method for phase stability testing in the single-phase region
- Comparative analysis of chemical composition of some commercially important fishes with an emphasis on various Malaysian diets
- Development of a solventless stir bar sorptive extraction/thermal desorption large volume injection capillary gas chromatographic-mass spectrometric method for ultra-trace determination of pyrethroids pesticides in river and tap water samples
- A turbidity sensor development based on NL-PI observers: Experimental application to the control of a Sinaloa’s River Spirulina maxima cultivation
- Deep desulfurization of sintering flue gas in iron and steel works based on low-temperature oxidation
- Investigations of metallic elements and phenolics in Chinese medicinal plants
- Influence of site-classification approach on geochemical background values
- Effects of ageing on the surface characteristics and Cu(ii) adsorption behaviour of rice husk biochar in soil
- Adsorption and sugarcane-bagasse-derived activated carbon-based mitigation of 1-[2-(2-chloroethoxy)phenyl]sulfonyl-3-(4-methoxy-6-methyl-1,3,5-triazin-2-yl) urea-contaminated soils
- Antimicrobial and antifungal activities of bifunctional cooper(ii) complexes with non-steroidal anti-inflammatory drugs, flufenamic, mefenamic and tolfenamic acids and 1,10-phenanthroline
- Application of selenium and silicon to alleviate short-term drought stress in French marigold (Tagetes patula L.) as a model plant species
- Screening and analysis of xanthine oxidase inhibitors in jute leaves and their protective effects against hydrogen peroxide-induced oxidative stress in cells
- Synthesis and physicochemical studies of a series of mixed-ligand transition metal complexes and their molecular docking investigations against Coronavirus main protease
- A study of in vitro metabolism and cytotoxicity of mephedrone and methoxetamine in human and pig liver models using GC/MS and LC/MS analyses
- A new phenyl alkyl ester and a new combretin triterpene derivative from Combretum fragrans F. Hoffm (Combretaceae) and antiproliferative activity
- Erratum
- Erratum to: A one-step incubation ELISA kit for rapid determination of dibutyl phthalate in water, beverage and liquor
- Review Articles
- Sinoporphyrin sodium, a novel sensitizer for photodynamic and sonodynamic therapy
- Natural products isolated from Casimiroa
- Plant description, phytochemical constituents and bioactivities of Syzygium genus: A review
- Evaluation of elastomeric heat shielding materials as insulators for solid propellant rocket motors: A short review
- Special Issue on Applied Biochemistry and Biotechnology 2019
- An overview of Monascus fermentation processes for monacolin K production
- Study on online soft sensor method of total sugar content in chlorotetracycline fermentation tank
- Studies on the Anti-Gouty Arthritis and Anti-hyperuricemia Properties of Astilbin in Animal Models
- Effects of organic fertilizer on water use, photosynthetic characteristics, and fruit quality of pear jujube in northern Shaanxi
- Characteristics of the root exudate release system of typical plants in plateau lakeside wetland under phosphorus stress conditions
- Characterization of soil water by the means of hydrogen and oxygen isotope ratio at dry-wet season under different soil layers in the dry-hot valley of Jinsha River
- Composition and diurnal variation of floral scent emission in Rosa rugosa Thunb. and Tulipa gesneriana L.
- Preparation of a novel ginkgolide B niosomal composite drug
- The degradation, biodegradability and toxicity evaluation of sulfamethazine antibiotics by gamma radiation
- Special issue on Monitoring, Risk Assessment and Sustainable Management for the Exposure to Environmental Toxins
- Insight into the cadmium and zinc binding potential of humic acids derived from composts by EEM spectra combined with PARAFAC analysis
- Source apportionment of soil contamination based on multivariate receptor and robust geostatistics in a typical rural–urban area, Wuhan city, middle China
- Special Issue on 13th JCC 2018
- The Role of H2C2O4 and Na2CO3 as Precipitating Agents on The Physichochemical Properties and Photocatalytic Activity of Bismuth Oxide
- Preparation of magnetite-silica–cetyltrimethylammonium for phenol removal based on adsolubilization
- Topical Issue on Agriculture
- Size-dependent growth kinetics of struvite crystals in wastewater with calcium ions
- The effect of silica-calcite sedimentary rock contained in the chicken broiler diet on the overall quality of chicken muscles
- Physicochemical properties of selected herbicidal products containing nicosulfuron as an active ingredient
- Lycopene in tomatoes and tomato products
- Fluorescence in the assessment of the share of a key component in the mixing of feed
- Sulfur application alleviates chromium stress in maize and wheat
- Effectiveness of removal of sulphur compounds from the air after 3 years of biofiltration with a mixture of compost soil, peat, coconut fibre and oak bark
- Special Issue on the 4th Green Chemistry 2018
- Study and fire test of banana fibre reinforced composites with flame retardance properties
- Special Issue on the International conference CosCI 2018
- Disintegration, In vitro Dissolution, and Drug Release Kinetics Profiles of k-Carrageenan-based Nutraceutical Hard-shell Capsules Containing Salicylamide
- Synthesis of amorphous aluminosilicate from impure Indonesian kaolin
- Special Issue on the International Conf on Science, Applied Science, Teaching and Education 2019
- Functionalization of Congo red dye as a light harvester on solar cell
- The effect of nitrite food preservatives added to se’i meat on the expression of wild-type p53 protein
- Biocompatibility and osteoconductivity of scaffold porous composite collagen–hydroxyapatite based coral for bone regeneration
- Special Issue on the Joint Science Congress of Materials and Polymers (ISCMP 2019)
- Effect of natural boron mineral use on the essential oil ratio and components of Musk Sage (Salvia sclarea L.)
- A theoretical and experimental study of the adsorptive removal of hexavalent chromium ions using graphene oxide as an adsorbent
- A study on the bacterial adhesion of Streptococcus mutans in various dental ceramics: In vitro study
- Corrosion study of copper in aqueous sulfuric acid solution in the presence of (2E,5E)-2,5-dibenzylidenecyclopentanone and (2E,5E)-bis[(4-dimethylamino)benzylidene]cyclopentanone: Experimental and theoretical study
- Special Issue on Chemistry Today for Tomorrow 2019
- Diabetes mellitus type 2: Exploratory data analysis based on clinical reading
- Multivariate analysis for the classification of copper–lead and copper–zinc glasses
- Special Issue on Advances in Chemistry and Polymers
- The spatial and temporal distribution of cationic and anionic radicals in early embryo implantation
- Special Issue on 3rd IC3PE 2020
- Magnetic iron oxide/clay nanocomposites for adsorption and catalytic oxidation in water treatment applications
- Special Issue on IC3PE 2018/2019 Conference
- Exergy analysis of conventional and hydrothermal liquefaction–esterification processes of microalgae for biodiesel production
- Advancing biodiesel production from microalgae Spirulina sp. by a simultaneous extraction–transesterification process using palm oil as a co-solvent of methanol
- Topical Issue on Applications of Mathematics in Chemistry
- Omega and the related counting polynomials of some chemical structures
- M-polynomial and topological indices of zigzag edge coronoid fused by starphene