A New fatty acid and some triterpenoids from propolis of Nkambe (North-West Region, Cameroon) and evaluation of the antiradical scavenging activity of their extracts
-
Abakar Ali Mahamat
, Jean Noël Nyemb, Isaac Silvère Gade
, Alfred Tamfu Ngenge , Emmanuel Talla , Henoumont Céline , Laurent Sophie und Joseph Tanyi Mbafor
Abstract
The aim of this work was to evaluate in vitro antiradical scavenging activity of propolis from Nkambe (North-West, Cameroon). The polyphenol content of the acetone extract was evaluated using the Folin-Ciocalteu reagent as 0.166±0.008 gGAE/100 gRM. Antiradical scavenging activity of hexane and acetone extracts was carried out on DPPH using ascorbic acid as standard. The results showed that the extracts possess antiradical activity with IC50 of 141 μg/mL and 267 μg/mL for acetone and hexane extracts, respectively. The column chromatography separation on silica gel of the hexane fractionyielded compounds 1 to 3. The structures of these compounds were elucidated by NMR and mass spectrometry data as Lupenone (1), a mixture of α and ß-Amyrin (2) and lastly Hexatriacontanoic acid (3) which was described for the first time from propolis.
1 Introduction
Propolis is a resinous, sticky and balsamic substance of viscous consistency, produced by bees principally collected from resin of buds and exudates of plants and their secretions [1]. This substance has important pharmacological activities such as antiplasmodial [2], analgesic [3], antimicrobial [4,5], vasodilatory [1], anti-inflammatory [6], antifugal [7], antioxidant [8], anti-ulcer [9], ostrogenic [10], antiviral, antiprotozoal, antiparastic, antitumor, hepatoprotective and cardioprotective properties [11]. In Cameroun, propolis is used locally to treat illnesses such as dysentery, stomachache, asthma, infertility, ulcers, tooth aches, fever, burns and different forms of inflammation [3,9]. Many studies on different samples show that propolis chemical composition is difficult to standardize because it is highly dependent on a number of factors such as local flora and environmental conditions of the site of collection of resin from plants for production of propolis. This is why propolis from areas not yet studied seems to be a promising source of new bioactive molecules [12]. From different botanical and geographical origins of the world, more than 300 compounds including volatile organic compounds, flavonoid aglycones, phenolic acids and their esters, phenolic aldehydes, alcohols and ketones, sesquiterpenes, quinones, coumarins, steroids, amino acids were reported to have been isolated from propolis [8, 13]. Amongst these compounds, 241 of them were reported for the first time from the year 2000 to 2012 [14]. Despite the chemical variability of propolis, it always possesses promising and considerable biological activities [15].
This present study consisted of evaluating the in vitro antiradical activity of the hexane and acetone extracts of propolis from Nkambe and to purify the hexane extract in order to obtain pure compounds which will be identified based on their spectroscopic data (1H NMR, 13C NMR and MS).
2 Materials and Methods
The propolis sample under investigation was harvested during the month of April 2014 by a bee farmer in Njap village, Nkambe central subdivision, Donga-Mantung division, the North-West Region of Cameroon.
2.1 Extraction and isolation
To extract secondary metabolites, 1 kg of propolis was extracted with 5 L of acetone by maceration with intermittent stirring at intervals of 3 hours during 72 hours after which it was filtered on a N°1 Whatman filter paper and evaporated using a rotary evaporator to near dryness to obtain a crude acetone extract. This process was repeated three times in order to optimize the extraction process. The acetone extract obtained was partitioned using liquid-liquid extraction with hexane to obtain the hexane extract. 60 g of this hexane extract was subjected to column chromatography on 360 g of silica gel with the gradient eluting system hexane (Hex)-dichloromethane (CH2Cl2) (100:0 → 0:100) followed by CH2Cl2-methanol (MeOH) (100:0 → 70:30). Fractions of 100 mL where collected regularly and concentrated on a rotavapor. This process yielded three compounds: Lupenone (1, 200 mg) [16], a mixture of α-amyrin (2a) and β-amyrin (2b) (85 mg) [17] and hexatriacontanoic acid (3, 25 mg).
Lupenone (C30H48O) (1): White crystals; 13C NMR (CDCl3, 150 MHz) δ (ppm): 38.7 (C-1); 27.4 (C-2); 218.2 (C-3); 38.8 (C-4); 54.9 (C-5); 19.7 (C-6); 34.2 (C-7); 40.8 (C-8); 49.7 (C-9); 37.1 (C-10); 20.9 (C-11); 25.1 (C-12); 30.1 (C-13); 42.8 (C-14); 27.4 (C-15); 35.5(C-16); 43.1 (C-17); 48.2 (C-18); 47.9 (C-19); 150.9 (C-20); 29.8 (C-21); 40.0 (C-22); 26.6 (C-23); 21.1 (C-24); 15.9 (C-25); 15.8 (C-26); 14.4 (C-27); 18.1 (C-28); 109.4 (C-29) and 19.3 (C-30). 1H NMR (CDCl3, 500 MHz) δ (ppm): 4.58 (1H, d, H-29a); 4.72 (1H, d, H-29b); 2.55 (1H, m, H-2a); 2.40 (1H, m, H-2b); 1.10 (3H, s, H-23); 1.08 (3H, s, H-24); 1.06 (3H, s, H-26); 0.96 (3H, s, H-25); 0.98 (3H, s, H-27); 0.80 (3H, s, H-28) and 1.72 (3H, s, H-30) [16].
α-amyrin (C30H50O) (2a): White powder; 13C NMR (CDCl3, 150 MHz) δ (ppm): 38.7 (C-1); 27.4 (C-2); 79.1 (C-3); 38.8 (C-4); 55.3 (C-5); 18.4 (C-6); 32.8 (C-7); 40.8 (C-8); 49.7 (C-9); 36.9 (C-10); 23.3 (C-11); 121.7 (C-12); 145.2 (C-13); 42.1 (C-14); 28.4 (C-15); 26.6 (C-16); 33.8 (C-17); 59.1 (C-18); 39.8 (C-19); 40.1 (C-20); 31.3 (C-21); 41.6 (C-22); 28.6 (C-23); 15.4 (C-24); 15.6 (C-25); 16.8 (C-26); 23.1 (C-27); 28.4 (C-28); 17.4 (C-29) and 21.3 (C-30). 1H NMR (CDCl3, 500 MHz) δ (ppm): 3.15 (1H, dd, H-3); 5.15 (1H, t, H-12); 0.84 (3H, d, J=5.6 Hz, H-29); 0.90 (3H, d, J=7.6 Hz, H-30); 0.72 (3H, s); 0.78 (3H, s); 0.93 (3H, s); 0.95 (3H, s); 0.99 (3H, s) and 1.07 (3H, s) [17].
β-amyrin (C30H50O) (2b): White powder; 13C NMR (CDCl3, 150 MHz) δ (ppm): 38.7 (C-1); 27.4 (C-2); 79.1 (C-3); 38.8 (C-4); 55.3 (C-5); 18.4 (C-6); 32.8 (C-7); 40.8 (C-8); 49.7 (C-9); 36.9 (C-10); 23.3 (C-11); 121.7 (C-12); 145.2 (C-13); 42.1 (C-14); 28.4 (C-15); 26.6 (C-16); 33.8 (C-17); 59.1 (C-18); 39.8 (C-19); 40.1 (C-20); 31.3 (C-21); 37.2 (C-22); 28.6 (C-23); 15.4 (C-24); 15.6 (C-25); 16.8 (C-26); 26.0 (C-27); 28.4 (C-28); 33.6 (C-29) and 23.7 (C-30). 1H NMR (CDCl3, 500 MHz) δ (ppm): 3.15 (1H, dd, H-3); 5.15 (1H, t, H-12); 0.72 (3H, s); 0.78 (3H, s); 0.84 (3H, s); 0.90 (3H, s); 0.93 (3H, s); 0.95 (3H, s); 0.99 (3H, s) and 1.07 (3H, s) [17].
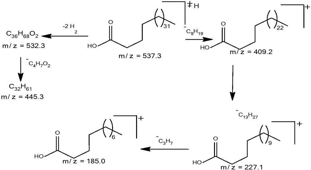
Hexatriacontanoic acid (C36H72O2) (3): White powder: ESI TOF-MS: [M+H]+m/z 537.3, Key fragment ions m/z = 185.0; 227.1; 409.2; 445.3 and 532.3 (see figure 2). 13C NMR (CDCl3, 150 MHz) δ (ppm): 178.8 (C-1); 33.8 (C-2); 24.7 (C-3); 31.9 (C-34); 22.7 (C-35); 14.1 (C-36) and 29.4 (C-4 → C-33); 1H NMR (CDCl3, 500 MHz) δ (ppm): 0.80 (3H, t, 3H-36); 1.50 (2H, m, 2H-3); 2.30 (2H, t, 2H-2); 1.20-1.32 [(CH2)32, brs] and 10.70 (1H, s, OH).

Structures of the compounds isolated.

Proposed fragmentation pattern of compound 3.
2.2 Total polyphenol content
This was done according to the method described elsewhere [18]. A 100 µL of extract (200 μg/mL) were added to 200 µL of Folin-Ciocalteu followed by addition of 2000 µL of distilled water. The mixture was agitated for 3 minutes. After this, 1000 µL Na2CO3 (20%) was added to the mixture and incubated in a dark cupboard at room temperature for 1 hour. The absorbance of the resulting solution was then measured at 760 nm on a spectrophotometer, with a methanol solution used as negative control. The preparation of the positive control, gallic acid (200 μg/mL) was subjected to the same treatment as the test sample. The results were expressed in term of gram equivalent of gallic acid per 100 g of raw matter (gGAE/100 gRM). The quantification of polyphenolic compounds was done with respect to a linear standardization curve obtained at different concentrations (20 to 120 μg/mL) of gallic acid in the form y=2.428x+0.033 whose correlation coefficient R was 0.994.
2.3 Evaluation of DPPH antiradical scavenging activity
The DPPH (1,1-diphenyl-2-picrylhydrazyl) antiradical scavenging activity of the extracts was done according to the method described elsewhere [12] with slight modifications. To 2 mL of the solution of the test sample prepared at different concentrations, 1 mL of a methanol solution of DPPH (100 μg/mL) was added. The mixture obtained was then stored at room temperature for 1 hour after which the absorbance was then measured at 517 nm against a negative control (6 mL of MeOH and 1 mL of DPPH solution) on a spectrophotometer. The positive control was ascorbic acid. A mother solution of sample at the concentration of 120 μg/mL was prepared by dissolving 5000 μg of extract 41.6 mL of MeOH. From this, five other solution concentrations were obtained from the mother solution making a total of six solutions at six concentrations: 120, 100, 80, 60, 40 and 20 μg/mL. The test at each concentration was done in triplicates, the absorbance was mesured and the percentage inhibition calculated according to the following equation [12].
Where At0 = absorbance of negative control (without any anti-oxidant substance); At1 = absorbance of tested samples.
Ethical approval: The conducted research is not related to either human or animal use.
3 Results and Discussion
3.1 Isolation and structural elucidation of compounds
The Hexane fraction of propolis of Nkambe was separated by column chromatography of silica gel yielded four compounds (1-3) among which one new compound (3). The structures of known compounds Lupenone (1), α-Amyrin (2a), and β-Amyrin (2b) were elucidated by comparison of their spectral data with those described in the literature [16, 17].
Compound 3 was obtained has a white powder from the Hex/CH2Cl2 9:1 fraction. Its molecular formula was established as C36H72O2 by TOF-MS-ESI+ analysis which showed a quasi-molecular ion peak at m/z 537.3 [M+H]+. In its 1H NMR spectrum a signal of three protons triplet at δH 0.80 (3H, t, J = 6.0 Hz) indicates the presence of a terminal methyl group. A signal at δH 1.20-1.32 (6H, brs, -(CH2)32-) indicated the presence of a straight chain of 32 carbon atoms. The spectrum displayed a signal at δH 2.30 (2H, t, -CH2-COOH) for methylene protons attached to a carboxylic group. On the basis of the NMR spectra it was inferred that compound 3 is an aliphatic acid. The 13C NMR spectrum of compound 3 confirmed this suggestion by exhibiting important signals for carboxylic carbon at δC 180.1 and methyl carbon at δC 14.3 (C-36). The remaining methylene carbon resonated between δC 34.1-29.0. Mass spectral studies offered further support to the above assignment. The molecular ion peak at m/z 537.3 gave the molecular formula C 36H 72O2. The peak at m/z 532.3 was due to the loss of two H2 from molecular ion. The loss of an C9H19 radical from the parent ion gave an ion which appeared at m/z 409.2 and this ion underwent successive loss of C13H27● and C3H7● units to give ions appearing at m/z 227.1 and 185.0 successively (Figure 2). The isolated aliphatic acid was therefore identified as Hexatriacontanoic acid.
3.2 Total polyphenol content and antiradical activity
The total polyphenol content was performed only on the acetone extract since phytochemical screening indicated that no phenolic compound was present in hexane extract. These results indicated the presence of polyphenolic compounds in the ethyl acetate extract and the total phenolic content of the said acetone extract was found to be 0.166±0.008 gGAE/100gRM. This value is less that that obtained by Talla and co-workers for propolis of Ngaoundal 2.32 ± 0.37-8.64 ± 0.47 gGAE/100gRM [18] and also those of Njintang and co-workers 10.99 ± 2.56-12.12 ± 2.24 g/100g [19] for some Cameroonian samples. This difference could be explained the difference in environmental conditions and local flora of site of collection of the propolis samples.
According to Melo and co-workers [20], anti-oxidant activity can be classified based on the performance of crude extracts as follows: good activity (IC50 < 69 µg/mL); moderate activity (69 µg/mL < IC50 < 161 µg/mL); low activity (IC50 > 161 µg/mL) [20]. The percentage inhibition was dose-dependent or concentration-dependent. The IC50 were deduced by graphical means and presented in table 1 and higher values imply low activity and vice versa. The acetone extract had a higher activity with IC50 of 141 μg/mL compared to hexane extract with IC50 267 μg/mL. This could be explained by the absence of polyphenols in the hexane extract because the higher activity of acetone extract corroborates with its polyphenol content 0.166 ± 0.008 gGAE/100gRM. Ascorbic acid (vitamin C) possesses higher anti-radical activity (IC50 = 9 μg/mL) than the tested samples.
IC50 values of tested samples.
| Sample | IC50 (μg/mL) | Percentage inhibition (%) |
|---|---|---|
| AE | 141 | 50.37 |
| HE | 267 | 38.75 |
| Vitamin C | 9 | 85.63 |
AE: Acetone extract. HE: Hexane extract.
4 Conclusion
Evaluation of antiradical activity carried out on the acetone extract showed a moderate one with percentage inhibition of 50.37% with an IC50 of 140 μg/mL while that of the hexane hexane extract showed low antiradical activity with percentage inhibition of 38.75% and IC50 of 267 μg/mL. The acetone extract has low polyphenols content of 0.166 ± 0.008 gGAE/100gRM. Column chromatographic separation on silica gel of the hexane extract yielded compounds 1 to 3. The structures of these compounds were elucidated based on NMR and mass spectroscopic data lup-20(29)-en-3-one (1), a mixture of α and ß-amyrin (2) and lastly hexatriacontanoic acid (3) which is described for the first time from propolis.
Conflict of interest: Authors declare no conflict of interest.
References
[1] Ntchapda F, Talla E, Sakava P, Tanzi F, Tchuenguem FF, Mbafor TJ, et al. Nitric oxide-dependent vasodilation and Ca2+ signalling induced by erythrodiol in rat aorta. APJTD. 2015;05:1–10.10.1016/S2222-1808(15)60892-1Suche in Google Scholar
[2] Kaewmuangmoon J, Pawornrat N, Atsalek R, Winayanuwattikun P, Chanchao C. Preliminary screening for various bioactivities in honey and propolis extracts from Thai bees. EJMP. 2012;02(2):74–92.10.9734/EJMP/2012/941Suche in Google Scholar
[3] Talla E, Dabole B, Taïwe GS, Ngo-Bum E, Mbafor JT, Atchade AD, et al. Antinociceptive pentacyclic triterpenoids from the cameroonian brown propolis. Pharmacologia. 2013;04(3):218– 27.10.5567/pharmacologia.2013.218.227Suche in Google Scholar
[4] Sakava P, Talla E, Matchawe C, Tchinda TA, Zeuko’o ME, Laurent S, et al. Pentacyclic triterpenes and crude extracts with antimicrobial activity from cameroonian brown propolis samples. J Appl Pharm Sci. 2014;04(7):1–9.Suche in Google Scholar
[5] Segueni N, Kadour B, Bousseboua H, Fairouz M, Amar Z, Mesbah L, et al. Antibacterial activity of two algerians propolis. IJPSRR. 2014;25:106–10.Suche in Google Scholar
[6] Valenzuela-Barra G, Castro C, Figueroa C, Barriga A, Silva X, de Las Heras B, et al. Anti-inflammatory activity and phenolic profile of propolis from two locations in Región Metropolitana de Santiago, Chile. J Ethnopharmacol. 2015 Jun;168:37–44.10.1016/j.jep.2015.03.050Suche in Google Scholar PubMed
[7] Irlan AF, Severino MA, Pedro LR. A pharmacological perspective on the use of Brazilian red propolis and its isolated compounds against human diseases. Eur J Med Chem. 2016;01:1–25.Suche in Google Scholar
[8] Zina M, Salim O, Abderezak T. Antioxydant activity of some algerian honey and propolis. Ind Crops Prod. 2016;01:1–6.Suche in Google Scholar
[9] Tamfu AN, Domgnim ME, Talla E, Tan PV, Mbafor TJ, Popova M, et al. Chemical Constituents and Anti-ulcer Activity of Propolis from the North-West Region of Cameroon. Res J Phytochem. 2016;10(2):45–57.10.3923/rjphyto.2016.45.57Suche in Google Scholar
[10] Zingue S, Nde CB, Michel T, Ndinteh DT, Tchatchou J, Adamou M, et al. Ethanol-extracted Cameroonian propolis exerts estrogenic effects and alleviates hot flushes in ovariectomized Wistar rats. BMC Complement Altern Med. 2017 Jan;17(1):65.10.1186/s12906-017-1568-8Suche in Google Scholar PubMed PubMed Central
[11] Khalil ML. Biological activity of bee propolis in health and disease. Asian Pac J Cancer Prev. 2006 Jan-Mar;7(1):22–31.Suche in Google Scholar
[12] Talla E, Tamfu NA, Gade SI, Yanda L, Mbafor TJ, Laurent S, et al. New mono-ether of glycerol and triterpenes with DPPH radical scavenging activity from Cameroonian propolis. Nat Prod Res. 2016;01:1–12.10.1080/14786419.2016.1253077Suche in Google Scholar PubMed
[13] Gülçin I, Elias R, Gepdiremen A, Chea A, Topal F. Antioxidant activity of bisbenzylisoquinoline alkaloids from Stephania rotunda: cepharanthine and fangchinoline. J Enzyme Inhib Med Chem. 2010 Feb;25(1):44–53.10.3109/14756360902932792Suche in Google Scholar PubMed
[14] Huang S, Zhang CP, Wang K, Li GQ, Hu FL. Recent advances in the chemical composition of propolis. Molecules. 2014;19(12):19610–32.10.3390/molecules191219610Suche in Google Scholar PubMed PubMed Central
[15] Bankova V, Popova M, Trusheva B. New emerging fields of application of propolis. Maced J Chem Chem Eng. 2016;35(1):1– 11.10.20450/mjcce.2016.864Suche in Google Scholar
[16] Venkata VS, Indra P. Isolation and structural characterization of lupane triterpenes from Polypodium vulgare. Res. J. Pharmaceutical. Sci. 2012;01:23–7.Suche in Google Scholar
[17] Vázquez LH, Palazon J, Navarro-Ocaña A. The Pentacyclic Triterpenes α,β-amyrins: A Review of Sources and Biological Activities, Phytochemicals - A Global Perspective of Their Role in Nutrition and Health, Dr Venketeshwer Rao (Ed.), ISBN: 978953-51-0296-0, InTech; 2012. http://www.intechopen.com/books/phytochemicals-a-global-perspective-of-their-role-in-nutrition-and-health/the-pentacyclic-triterpenes-amyrins-a-review-of-sources-and-biological-activitiesSuche in Google Scholar
[18] Talla E, Ngenge TA, Biyanzi P, Sakava P, Asobo FP, Mbafor TJ, et al. Phytochemical screening, antioxidant activity, total polyphenols and flavonoids content of different extracts of propolis from Tekel (Ngaoundal, Adamawa region, Cameroon). J. Phytopharmacol. 2014;03:321–9.10.31254/phyto.2014.3504Suche in Google Scholar
[19] Njintang YN, Tatsadjieu NL, Ngakou A, Danra D, Tchuenguem-Fohouo FN. Antiradical activity and polyphenol content of ethanolic extracts of Propolis. Int J Biosci. 2012;2(4):56–63.Suche in Google Scholar
[20] Gomes de Melo J, de Sousa Araújo TA, Thijan Nobre de Almeida e Castro V, Lyra de Vasconcelos Cabral D, do Desterro Rodrigues M, Carneiro do Nascimento S, et al. Antiproliferative activity, antioxidant capacity and tannin content in plants of semi-arid northeastern Brazil. Molecules. 2010 Nov;15(12):8534–42.10.3390/molecules15128534Suche in Google Scholar PubMed PubMed Central
© 2020 Abakar Ali Mahamat et al., published by De Gruyter
This work is licensed under the Creative Commons Attribution 4.0 International License.
Artikel in diesem Heft
- Regular Articles
- Electrochemical antioxidant screening and evaluation based on guanine and chitosan immobilized MoS2 nanosheet modified glassy carbon electrode (guanine/CS/MoS2/GCE)
- Kinetic models of the extraction of vanillic acid from pumpkin seeds
- On the maximum ABC index of bipartite graphs without pendent vertices
- Estimation of the total antioxidant potential in the meat samples using thin-layer chromatography
- Molecular dynamics simulation of sI methane hydrate under compression and tension
- Spatial distribution and potential ecological risk assessment of some trace elements in sediments and grey mangrove (Avicennia marina) along the Arabian Gulf coast, Saudi Arabia
- Amino-functionalized graphene oxide for Cr(VI), Cu(II), Pb(II) and Cd(II) removal from industrial wastewater
- Chemical composition and in vitro activity of Origanum vulgare L., Satureja hortensis L., Thymus serpyllum L. and Thymus vulgaris L. essential oils towards oral isolates of Candida albicans and Candida glabrata
- Effect of excess Fluoride consumption on Urine-Serum Fluorides, Dental state and Thyroid Hormones among children in “Talab Sarai” Punjab Pakistan
- Design, Synthesis and Characterization of Novel Isoxazole Tagged Indole Hybrid Compounds
- Comparison of kinetic and enzymatic properties of intracellular phosphoserine aminotransferases from alkaliphilic and neutralophilic bacteria
- Green Organic Solvent-Free Oxidation of Alkylarenes with tert-Butyl Hydroperoxide Catalyzed by Water-Soluble Copper Complex
- Ducrosia ismaelis Asch. essential oil: chemical composition profile and anticancer, antimicrobial and antioxidant potential assessment
- DFT calculations as an efficient tool for prediction of Raman and infra-red spectra and activities of newly synthesized cathinones
- Influence of Chemical Osmosis on Solute Transport and Fluid Velocity in Clay Soils
- A New fatty acid and some triterpenoids from propolis of Nkambe (North-West Region, Cameroon) and evaluation of the antiradical scavenging activity of their extracts
- Antiplasmodial Activity of Stigmastane Steroids from Dryobalanops oblongifolia Stem Bark
- Rapid identification of direct-acting pancreatic protectants from Cyclocarya paliurus leaves tea by the method of serum pharmacochemistry combined with target cell extraction
- Immobilization of Pseudomonas aeruginosa static biomass on eggshell powder for on-line preconcentration and determination of Cr (VI)
- Assessment of methyl 2-({[(4,6-dimethoxypyrimidin-2-yl)carbamoyl] sulfamoyl}methyl)benzoate through biotic and abiotic degradation modes
- Stability of natural polyphenol fisetin in eye drops Stability of fisetin in eye drops
- Production of a bioflocculant by using activated sludge and its application in Pb(II) removal from aqueous solution
- Molecular Properties of Carbon Crystal Cubic Structures
- Synthesis and characterization of calcium carbonate whisker from yellow phosphorus slag
- Study on the interaction between catechin and cholesterol by the density functional theory
- Analysis of some pharmaceuticals in the presence of their synthetic impurities by applying hybrid micelle liquid chromatography
- Two mixed-ligand coordination polymers based on 2,5-thiophenedicarboxylic acid and flexible N-donor ligands: the protective effect on periodontitis via reducing the release of IL-1β and TNF-α
- Incorporation of silver stearate nanoparticles in methacrylate polymeric monoliths for hemeprotein isolation
- Development of ultrasound-assisted dispersive solid-phase microextraction based on mesoporous carbon coated with silica@iron oxide nanocomposite for preconcentration of Te and Tl in natural water systems
- N,N′-Bis[2-hydroxynaphthylidene]/[2-methoxybenzylidene]amino]oxamides and their divalent manganese complexes: Isolation, spectral characterization, morphology, antibacterial and cytotoxicity against leukemia cells
- Determination of the content of selected trace elements in Polish commercial fruit juices and health risk assessment
- Diorganotin(iv) benzyldithiocarbamate complexes: synthesis, characterization, and thermal and cytotoxicity study
- Keratin 17 is induced in prurigo nodularis lesions
- Anticancer, antioxidant, and acute toxicity studies of a Saudi polyherbal formulation, PHF5
- LaCoO3 perovskite-type catalysts in syngas conversion
- Comparative studies of two vegetal extracts from Stokesia laevis and Geranium pratense: polyphenol profile, cytotoxic effect and antiproliferative activity
- Fragmentation pattern of certain isatin–indole antiproliferative conjugates with application to identify their in vitro metabolic profiles in rat liver microsomes by liquid chromatography tandem mass spectrometry
- Investigation of polyphenol profile, antioxidant activity and hepatoprotective potential of Aconogonon alpinum (All.) Schur roots
- Lead discovery of a guanidinyl tryptophan derivative on amyloid cascade inhibition
- Physicochemical evaluation of the fruit pulp of Opuntia spp growing in the Mediterranean area under hard climate conditions
- Electronic structural properties of amino/hydroxyl functionalized imidazolium-based bromide ionic liquids
- New Schiff bases of 2-(quinolin-8-yloxy)acetohydrazide and their Cu(ii), and Zn(ii) metal complexes: their in vitro antimicrobial potentials and in silico physicochemical and pharmacokinetics properties
- Treatment of adhesions after Achilles tendon injury using focused ultrasound with targeted bFGF plasmid-loaded cationic microbubbles
- Synthesis of orotic acid derivatives and their effects on stem cell proliferation
- Chirality of β2-agonists. An overview of pharmacological activity, stereoselective analysis, and synthesis
- Fe3O4@urea/HITh-SO3H as an efficient and reusable catalyst for the solvent-free synthesis of 7-aryl-8H-benzo[h]indeno[1,2-b]quinoline-8-one and indeno[2′,1′:5,6]pyrido[2,3-d]pyrimidine derivatives
- Adsorption kinetic characteristics of molybdenum in yellow-brown soil in response to pH and phosphate
- Enhancement of thermal properties of bio-based microcapsules intended for textile applications
- Exploring the effect of khat (Catha edulis) chewing on the pharmacokinetics of the antiplatelet drug clopidogrel in rats using the newly developed LC-MS/MS technique
- A green strategy for obtaining anthraquinones from Rheum tanguticum by subcritical water
- Cadmium (Cd) chloride affects the nutrient uptake and Cd-resistant bacterium reduces the adsorption of Cd in muskmelon plants
- Removal of H2S by vermicompost biofilter and analysis on bacterial community
- Structural cytotoxicity relationship of 2-phenoxy(thiomethyl)pyridotriazolopyrimidines: Quantum chemical calculations and statistical analysis
- A self-breaking supramolecular plugging system as lost circulation material in oilfield
- Synthesis, characterization, and pharmacological evaluation of thiourea derivatives
- Application of drug–metal ion interaction principle in conductometric determination of imatinib, sorafenib, gefitinib and bosutinib
- Synthesis and characterization of a novel chitosan-grafted-polyorthoethylaniline biocomposite and utilization for dye removal from water
- Optimisation of urine sample preparation for shotgun proteomics
- DFT investigations on arylsulphonyl pyrazole derivatives as potential ligands of selected kinases
- Treatment of Parkinson’s disease using focused ultrasound with GDNF retrovirus-loaded microbubbles to open the blood–brain barrier
- New derivatives of a natural nordentatin
- Fluorescence biomarkers of malignant melanoma detectable in urine
- Study of the remediation effects of passivation materials on Pb-contaminated soil
- Saliva proteomic analysis reveals possible biomarkers of renal cell carcinoma
- Withania frutescens: Chemical characterization, analgesic, anti-inflammatory, and healing activities
- Design, synthesis and pharmacological profile of (−)-verbenone hydrazones
- Synthesis of magnesium carbonate hydrate from natural talc
- Stability-indicating HPLC-DAD assay for simultaneous quantification of hydrocortisone 21 acetate, dexamethasone, and fluocinolone acetonide in cosmetics
- A novel lactose biosensor based on electrochemically synthesized 3,4-ethylenedioxythiophene/thiophene (EDOT/Th) copolymer
- Citrullus colocynthis (L.) Schrad: Chemical characterization, scavenging and cytotoxic activities
- Development and validation of a high performance liquid chromatography/diode array detection method for estrogen determination: Application to residual analysis in meat products
- PCSK9 concentrations in different stages of subclinical atherosclerosis and their relationship with inflammation
- Development of trace analysis for alkyl methanesulfonates in the delgocitinib drug substance using GC-FID and liquid–liquid extraction with ionic liquid
- Electrochemical evaluation of the antioxidant capacity of natural compounds on glassy carbon electrode modified with guanine-, polythionine-, and nitrogen-doped graphene
- A Dy(iii)–organic framework as a fluorescent probe for highly selective detection of picric acid and treatment activity on human lung cancer cells
- A Zn(ii)–organic cage with semirigid ligand for solvent-free cyanosilylation and inhibitory effect on ovarian cancer cell migration and invasion ability via regulating mi-RNA16 expression
- Polyphenol content and antioxidant activities of Prunus padus L. and Prunus serotina L. leaves: Electrochemical and spectrophotometric approach and their antimicrobial properties
- The combined use of GC, PDSC and FT-IR techniques to characterize fat extracted from commercial complete dry pet food for adult cats
- MALDI-TOF MS profiling in the discovery and identification of salivary proteomic patterns of temporomandibular joint disorders
- Concentrations of dioxins, furans and dioxin-like PCBs in natural animal feed additives
- Structure and some physicochemical and functional properties of water treated under ammonia with low-temperature low-pressure glow plasma of low frequency
- Mesoscale nanoparticles encapsulated with emodin for targeting antifibrosis in animal models
- Amine-functionalized magnetic activated carbon as an adsorbent for preconcentration and determination of acidic drugs in environmental water samples using HPLC-DAD
- Antioxidant activity as a response to cadmium pollution in three durum wheat genotypes differing in salt-tolerance
- A promising naphthoquinone [8-hydroxy-2-(2-thienylcarbonyl)naphtho[2,3-b]thiophene-4,9-dione] exerts anti-colorectal cancer activity through ferroptosis and inhibition of MAPK signaling pathway based on RNA sequencing
- Synthesis and efficacy of herbicidal ionic liquids with chlorsulfuron as the anion
- Effect of isovalent substitution on the crystal structure and properties of two-slab indates BaLa2−xSmxIn2O7
- Synthesis, spectral and thermo-kinetics explorations of Schiff-base derived metal complexes
- An improved reduction method for phase stability testing in the single-phase region
- Comparative analysis of chemical composition of some commercially important fishes with an emphasis on various Malaysian diets
- Development of a solventless stir bar sorptive extraction/thermal desorption large volume injection capillary gas chromatographic-mass spectrometric method for ultra-trace determination of pyrethroids pesticides in river and tap water samples
- A turbidity sensor development based on NL-PI observers: Experimental application to the control of a Sinaloa’s River Spirulina maxima cultivation
- Deep desulfurization of sintering flue gas in iron and steel works based on low-temperature oxidation
- Investigations of metallic elements and phenolics in Chinese medicinal plants
- Influence of site-classification approach on geochemical background values
- Effects of ageing on the surface characteristics and Cu(ii) adsorption behaviour of rice husk biochar in soil
- Adsorption and sugarcane-bagasse-derived activated carbon-based mitigation of 1-[2-(2-chloroethoxy)phenyl]sulfonyl-3-(4-methoxy-6-methyl-1,3,5-triazin-2-yl) urea-contaminated soils
- Antimicrobial and antifungal activities of bifunctional cooper(ii) complexes with non-steroidal anti-inflammatory drugs, flufenamic, mefenamic and tolfenamic acids and 1,10-phenanthroline
- Application of selenium and silicon to alleviate short-term drought stress in French marigold (Tagetes patula L.) as a model plant species
- Screening and analysis of xanthine oxidase inhibitors in jute leaves and their protective effects against hydrogen peroxide-induced oxidative stress in cells
- Synthesis and physicochemical studies of a series of mixed-ligand transition metal complexes and their molecular docking investigations against Coronavirus main protease
- A study of in vitro metabolism and cytotoxicity of mephedrone and methoxetamine in human and pig liver models using GC/MS and LC/MS analyses
- A new phenyl alkyl ester and a new combretin triterpene derivative from Combretum fragrans F. Hoffm (Combretaceae) and antiproliferative activity
- Erratum
- Erratum to: A one-step incubation ELISA kit for rapid determination of dibutyl phthalate in water, beverage and liquor
- Review Articles
- Sinoporphyrin sodium, a novel sensitizer for photodynamic and sonodynamic therapy
- Natural products isolated from Casimiroa
- Plant description, phytochemical constituents and bioactivities of Syzygium genus: A review
- Evaluation of elastomeric heat shielding materials as insulators for solid propellant rocket motors: A short review
- Special Issue on Applied Biochemistry and Biotechnology 2019
- An overview of Monascus fermentation processes for monacolin K production
- Study on online soft sensor method of total sugar content in chlorotetracycline fermentation tank
- Studies on the Anti-Gouty Arthritis and Anti-hyperuricemia Properties of Astilbin in Animal Models
- Effects of organic fertilizer on water use, photosynthetic characteristics, and fruit quality of pear jujube in northern Shaanxi
- Characteristics of the root exudate release system of typical plants in plateau lakeside wetland under phosphorus stress conditions
- Characterization of soil water by the means of hydrogen and oxygen isotope ratio at dry-wet season under different soil layers in the dry-hot valley of Jinsha River
- Composition and diurnal variation of floral scent emission in Rosa rugosa Thunb. and Tulipa gesneriana L.
- Preparation of a novel ginkgolide B niosomal composite drug
- The degradation, biodegradability and toxicity evaluation of sulfamethazine antibiotics by gamma radiation
- Special issue on Monitoring, Risk Assessment and Sustainable Management for the Exposure to Environmental Toxins
- Insight into the cadmium and zinc binding potential of humic acids derived from composts by EEM spectra combined with PARAFAC analysis
- Source apportionment of soil contamination based on multivariate receptor and robust geostatistics in a typical rural–urban area, Wuhan city, middle China
- Special Issue on 13th JCC 2018
- The Role of H2C2O4 and Na2CO3 as Precipitating Agents on The Physichochemical Properties and Photocatalytic Activity of Bismuth Oxide
- Preparation of magnetite-silica–cetyltrimethylammonium for phenol removal based on adsolubilization
- Topical Issue on Agriculture
- Size-dependent growth kinetics of struvite crystals in wastewater with calcium ions
- The effect of silica-calcite sedimentary rock contained in the chicken broiler diet on the overall quality of chicken muscles
- Physicochemical properties of selected herbicidal products containing nicosulfuron as an active ingredient
- Lycopene in tomatoes and tomato products
- Fluorescence in the assessment of the share of a key component in the mixing of feed
- Sulfur application alleviates chromium stress in maize and wheat
- Effectiveness of removal of sulphur compounds from the air after 3 years of biofiltration with a mixture of compost soil, peat, coconut fibre and oak bark
- Special Issue on the 4th Green Chemistry 2018
- Study and fire test of banana fibre reinforced composites with flame retardance properties
- Special Issue on the International conference CosCI 2018
- Disintegration, In vitro Dissolution, and Drug Release Kinetics Profiles of k-Carrageenan-based Nutraceutical Hard-shell Capsules Containing Salicylamide
- Synthesis of amorphous aluminosilicate from impure Indonesian kaolin
- Special Issue on the International Conf on Science, Applied Science, Teaching and Education 2019
- Functionalization of Congo red dye as a light harvester on solar cell
- The effect of nitrite food preservatives added to se’i meat on the expression of wild-type p53 protein
- Biocompatibility and osteoconductivity of scaffold porous composite collagen–hydroxyapatite based coral for bone regeneration
- Special Issue on the Joint Science Congress of Materials and Polymers (ISCMP 2019)
- Effect of natural boron mineral use on the essential oil ratio and components of Musk Sage (Salvia sclarea L.)
- A theoretical and experimental study of the adsorptive removal of hexavalent chromium ions using graphene oxide as an adsorbent
- A study on the bacterial adhesion of Streptococcus mutans in various dental ceramics: In vitro study
- Corrosion study of copper in aqueous sulfuric acid solution in the presence of (2E,5E)-2,5-dibenzylidenecyclopentanone and (2E,5E)-bis[(4-dimethylamino)benzylidene]cyclopentanone: Experimental and theoretical study
- Special Issue on Chemistry Today for Tomorrow 2019
- Diabetes mellitus type 2: Exploratory data analysis based on clinical reading
- Multivariate analysis for the classification of copper–lead and copper–zinc glasses
- Special Issue on Advances in Chemistry and Polymers
- The spatial and temporal distribution of cationic and anionic radicals in early embryo implantation
- Special Issue on 3rd IC3PE 2020
- Magnetic iron oxide/clay nanocomposites for adsorption and catalytic oxidation in water treatment applications
- Special Issue on IC3PE 2018/2019 Conference
- Exergy analysis of conventional and hydrothermal liquefaction–esterification processes of microalgae for biodiesel production
- Advancing biodiesel production from microalgae Spirulina sp. by a simultaneous extraction–transesterification process using palm oil as a co-solvent of methanol
- Topical Issue on Applications of Mathematics in Chemistry
- Omega and the related counting polynomials of some chemical structures
- M-polynomial and topological indices of zigzag edge coronoid fused by starphene
Artikel in diesem Heft
- Regular Articles
- Electrochemical antioxidant screening and evaluation based on guanine and chitosan immobilized MoS2 nanosheet modified glassy carbon electrode (guanine/CS/MoS2/GCE)
- Kinetic models of the extraction of vanillic acid from pumpkin seeds
- On the maximum ABC index of bipartite graphs without pendent vertices
- Estimation of the total antioxidant potential in the meat samples using thin-layer chromatography
- Molecular dynamics simulation of sI methane hydrate under compression and tension
- Spatial distribution and potential ecological risk assessment of some trace elements in sediments and grey mangrove (Avicennia marina) along the Arabian Gulf coast, Saudi Arabia
- Amino-functionalized graphene oxide for Cr(VI), Cu(II), Pb(II) and Cd(II) removal from industrial wastewater
- Chemical composition and in vitro activity of Origanum vulgare L., Satureja hortensis L., Thymus serpyllum L. and Thymus vulgaris L. essential oils towards oral isolates of Candida albicans and Candida glabrata
- Effect of excess Fluoride consumption on Urine-Serum Fluorides, Dental state and Thyroid Hormones among children in “Talab Sarai” Punjab Pakistan
- Design, Synthesis and Characterization of Novel Isoxazole Tagged Indole Hybrid Compounds
- Comparison of kinetic and enzymatic properties of intracellular phosphoserine aminotransferases from alkaliphilic and neutralophilic bacteria
- Green Organic Solvent-Free Oxidation of Alkylarenes with tert-Butyl Hydroperoxide Catalyzed by Water-Soluble Copper Complex
- Ducrosia ismaelis Asch. essential oil: chemical composition profile and anticancer, antimicrobial and antioxidant potential assessment
- DFT calculations as an efficient tool for prediction of Raman and infra-red spectra and activities of newly synthesized cathinones
- Influence of Chemical Osmosis on Solute Transport and Fluid Velocity in Clay Soils
- A New fatty acid and some triterpenoids from propolis of Nkambe (North-West Region, Cameroon) and evaluation of the antiradical scavenging activity of their extracts
- Antiplasmodial Activity of Stigmastane Steroids from Dryobalanops oblongifolia Stem Bark
- Rapid identification of direct-acting pancreatic protectants from Cyclocarya paliurus leaves tea by the method of serum pharmacochemistry combined with target cell extraction
- Immobilization of Pseudomonas aeruginosa static biomass on eggshell powder for on-line preconcentration and determination of Cr (VI)
- Assessment of methyl 2-({[(4,6-dimethoxypyrimidin-2-yl)carbamoyl] sulfamoyl}methyl)benzoate through biotic and abiotic degradation modes
- Stability of natural polyphenol fisetin in eye drops Stability of fisetin in eye drops
- Production of a bioflocculant by using activated sludge and its application in Pb(II) removal from aqueous solution
- Molecular Properties of Carbon Crystal Cubic Structures
- Synthesis and characterization of calcium carbonate whisker from yellow phosphorus slag
- Study on the interaction between catechin and cholesterol by the density functional theory
- Analysis of some pharmaceuticals in the presence of their synthetic impurities by applying hybrid micelle liquid chromatography
- Two mixed-ligand coordination polymers based on 2,5-thiophenedicarboxylic acid and flexible N-donor ligands: the protective effect on periodontitis via reducing the release of IL-1β and TNF-α
- Incorporation of silver stearate nanoparticles in methacrylate polymeric monoliths for hemeprotein isolation
- Development of ultrasound-assisted dispersive solid-phase microextraction based on mesoporous carbon coated with silica@iron oxide nanocomposite for preconcentration of Te and Tl in natural water systems
- N,N′-Bis[2-hydroxynaphthylidene]/[2-methoxybenzylidene]amino]oxamides and their divalent manganese complexes: Isolation, spectral characterization, morphology, antibacterial and cytotoxicity against leukemia cells
- Determination of the content of selected trace elements in Polish commercial fruit juices and health risk assessment
- Diorganotin(iv) benzyldithiocarbamate complexes: synthesis, characterization, and thermal and cytotoxicity study
- Keratin 17 is induced in prurigo nodularis lesions
- Anticancer, antioxidant, and acute toxicity studies of a Saudi polyherbal formulation, PHF5
- LaCoO3 perovskite-type catalysts in syngas conversion
- Comparative studies of two vegetal extracts from Stokesia laevis and Geranium pratense: polyphenol profile, cytotoxic effect and antiproliferative activity
- Fragmentation pattern of certain isatin–indole antiproliferative conjugates with application to identify their in vitro metabolic profiles in rat liver microsomes by liquid chromatography tandem mass spectrometry
- Investigation of polyphenol profile, antioxidant activity and hepatoprotective potential of Aconogonon alpinum (All.) Schur roots
- Lead discovery of a guanidinyl tryptophan derivative on amyloid cascade inhibition
- Physicochemical evaluation of the fruit pulp of Opuntia spp growing in the Mediterranean area under hard climate conditions
- Electronic structural properties of amino/hydroxyl functionalized imidazolium-based bromide ionic liquids
- New Schiff bases of 2-(quinolin-8-yloxy)acetohydrazide and their Cu(ii), and Zn(ii) metal complexes: their in vitro antimicrobial potentials and in silico physicochemical and pharmacokinetics properties
- Treatment of adhesions after Achilles tendon injury using focused ultrasound with targeted bFGF plasmid-loaded cationic microbubbles
- Synthesis of orotic acid derivatives and their effects on stem cell proliferation
- Chirality of β2-agonists. An overview of pharmacological activity, stereoselective analysis, and synthesis
- Fe3O4@urea/HITh-SO3H as an efficient and reusable catalyst for the solvent-free synthesis of 7-aryl-8H-benzo[h]indeno[1,2-b]quinoline-8-one and indeno[2′,1′:5,6]pyrido[2,3-d]pyrimidine derivatives
- Adsorption kinetic characteristics of molybdenum in yellow-brown soil in response to pH and phosphate
- Enhancement of thermal properties of bio-based microcapsules intended for textile applications
- Exploring the effect of khat (Catha edulis) chewing on the pharmacokinetics of the antiplatelet drug clopidogrel in rats using the newly developed LC-MS/MS technique
- A green strategy for obtaining anthraquinones from Rheum tanguticum by subcritical water
- Cadmium (Cd) chloride affects the nutrient uptake and Cd-resistant bacterium reduces the adsorption of Cd in muskmelon plants
- Removal of H2S by vermicompost biofilter and analysis on bacterial community
- Structural cytotoxicity relationship of 2-phenoxy(thiomethyl)pyridotriazolopyrimidines: Quantum chemical calculations and statistical analysis
- A self-breaking supramolecular plugging system as lost circulation material in oilfield
- Synthesis, characterization, and pharmacological evaluation of thiourea derivatives
- Application of drug–metal ion interaction principle in conductometric determination of imatinib, sorafenib, gefitinib and bosutinib
- Synthesis and characterization of a novel chitosan-grafted-polyorthoethylaniline biocomposite and utilization for dye removal from water
- Optimisation of urine sample preparation for shotgun proteomics
- DFT investigations on arylsulphonyl pyrazole derivatives as potential ligands of selected kinases
- Treatment of Parkinson’s disease using focused ultrasound with GDNF retrovirus-loaded microbubbles to open the blood–brain barrier
- New derivatives of a natural nordentatin
- Fluorescence biomarkers of malignant melanoma detectable in urine
- Study of the remediation effects of passivation materials on Pb-contaminated soil
- Saliva proteomic analysis reveals possible biomarkers of renal cell carcinoma
- Withania frutescens: Chemical characterization, analgesic, anti-inflammatory, and healing activities
- Design, synthesis and pharmacological profile of (−)-verbenone hydrazones
- Synthesis of magnesium carbonate hydrate from natural talc
- Stability-indicating HPLC-DAD assay for simultaneous quantification of hydrocortisone 21 acetate, dexamethasone, and fluocinolone acetonide in cosmetics
- A novel lactose biosensor based on electrochemically synthesized 3,4-ethylenedioxythiophene/thiophene (EDOT/Th) copolymer
- Citrullus colocynthis (L.) Schrad: Chemical characterization, scavenging and cytotoxic activities
- Development and validation of a high performance liquid chromatography/diode array detection method for estrogen determination: Application to residual analysis in meat products
- PCSK9 concentrations in different stages of subclinical atherosclerosis and their relationship with inflammation
- Development of trace analysis for alkyl methanesulfonates in the delgocitinib drug substance using GC-FID and liquid–liquid extraction with ionic liquid
- Electrochemical evaluation of the antioxidant capacity of natural compounds on glassy carbon electrode modified with guanine-, polythionine-, and nitrogen-doped graphene
- A Dy(iii)–organic framework as a fluorescent probe for highly selective detection of picric acid and treatment activity on human lung cancer cells
- A Zn(ii)–organic cage with semirigid ligand for solvent-free cyanosilylation and inhibitory effect on ovarian cancer cell migration and invasion ability via regulating mi-RNA16 expression
- Polyphenol content and antioxidant activities of Prunus padus L. and Prunus serotina L. leaves: Electrochemical and spectrophotometric approach and their antimicrobial properties
- The combined use of GC, PDSC and FT-IR techniques to characterize fat extracted from commercial complete dry pet food for adult cats
- MALDI-TOF MS profiling in the discovery and identification of salivary proteomic patterns of temporomandibular joint disorders
- Concentrations of dioxins, furans and dioxin-like PCBs in natural animal feed additives
- Structure and some physicochemical and functional properties of water treated under ammonia with low-temperature low-pressure glow plasma of low frequency
- Mesoscale nanoparticles encapsulated with emodin for targeting antifibrosis in animal models
- Amine-functionalized magnetic activated carbon as an adsorbent for preconcentration and determination of acidic drugs in environmental water samples using HPLC-DAD
- Antioxidant activity as a response to cadmium pollution in three durum wheat genotypes differing in salt-tolerance
- A promising naphthoquinone [8-hydroxy-2-(2-thienylcarbonyl)naphtho[2,3-b]thiophene-4,9-dione] exerts anti-colorectal cancer activity through ferroptosis and inhibition of MAPK signaling pathway based on RNA sequencing
- Synthesis and efficacy of herbicidal ionic liquids with chlorsulfuron as the anion
- Effect of isovalent substitution on the crystal structure and properties of two-slab indates BaLa2−xSmxIn2O7
- Synthesis, spectral and thermo-kinetics explorations of Schiff-base derived metal complexes
- An improved reduction method for phase stability testing in the single-phase region
- Comparative analysis of chemical composition of some commercially important fishes with an emphasis on various Malaysian diets
- Development of a solventless stir bar sorptive extraction/thermal desorption large volume injection capillary gas chromatographic-mass spectrometric method for ultra-trace determination of pyrethroids pesticides in river and tap water samples
- A turbidity sensor development based on NL-PI observers: Experimental application to the control of a Sinaloa’s River Spirulina maxima cultivation
- Deep desulfurization of sintering flue gas in iron and steel works based on low-temperature oxidation
- Investigations of metallic elements and phenolics in Chinese medicinal plants
- Influence of site-classification approach on geochemical background values
- Effects of ageing on the surface characteristics and Cu(ii) adsorption behaviour of rice husk biochar in soil
- Adsorption and sugarcane-bagasse-derived activated carbon-based mitigation of 1-[2-(2-chloroethoxy)phenyl]sulfonyl-3-(4-methoxy-6-methyl-1,3,5-triazin-2-yl) urea-contaminated soils
- Antimicrobial and antifungal activities of bifunctional cooper(ii) complexes with non-steroidal anti-inflammatory drugs, flufenamic, mefenamic and tolfenamic acids and 1,10-phenanthroline
- Application of selenium and silicon to alleviate short-term drought stress in French marigold (Tagetes patula L.) as a model plant species
- Screening and analysis of xanthine oxidase inhibitors in jute leaves and their protective effects against hydrogen peroxide-induced oxidative stress in cells
- Synthesis and physicochemical studies of a series of mixed-ligand transition metal complexes and their molecular docking investigations against Coronavirus main protease
- A study of in vitro metabolism and cytotoxicity of mephedrone and methoxetamine in human and pig liver models using GC/MS and LC/MS analyses
- A new phenyl alkyl ester and a new combretin triterpene derivative from Combretum fragrans F. Hoffm (Combretaceae) and antiproliferative activity
- Erratum
- Erratum to: A one-step incubation ELISA kit for rapid determination of dibutyl phthalate in water, beverage and liquor
- Review Articles
- Sinoporphyrin sodium, a novel sensitizer for photodynamic and sonodynamic therapy
- Natural products isolated from Casimiroa
- Plant description, phytochemical constituents and bioactivities of Syzygium genus: A review
- Evaluation of elastomeric heat shielding materials as insulators for solid propellant rocket motors: A short review
- Special Issue on Applied Biochemistry and Biotechnology 2019
- An overview of Monascus fermentation processes for monacolin K production
- Study on online soft sensor method of total sugar content in chlorotetracycline fermentation tank
- Studies on the Anti-Gouty Arthritis and Anti-hyperuricemia Properties of Astilbin in Animal Models
- Effects of organic fertilizer on water use, photosynthetic characteristics, and fruit quality of pear jujube in northern Shaanxi
- Characteristics of the root exudate release system of typical plants in plateau lakeside wetland under phosphorus stress conditions
- Characterization of soil water by the means of hydrogen and oxygen isotope ratio at dry-wet season under different soil layers in the dry-hot valley of Jinsha River
- Composition and diurnal variation of floral scent emission in Rosa rugosa Thunb. and Tulipa gesneriana L.
- Preparation of a novel ginkgolide B niosomal composite drug
- The degradation, biodegradability and toxicity evaluation of sulfamethazine antibiotics by gamma radiation
- Special issue on Monitoring, Risk Assessment and Sustainable Management for the Exposure to Environmental Toxins
- Insight into the cadmium and zinc binding potential of humic acids derived from composts by EEM spectra combined with PARAFAC analysis
- Source apportionment of soil contamination based on multivariate receptor and robust geostatistics in a typical rural–urban area, Wuhan city, middle China
- Special Issue on 13th JCC 2018
- The Role of H2C2O4 and Na2CO3 as Precipitating Agents on The Physichochemical Properties and Photocatalytic Activity of Bismuth Oxide
- Preparation of magnetite-silica–cetyltrimethylammonium for phenol removal based on adsolubilization
- Topical Issue on Agriculture
- Size-dependent growth kinetics of struvite crystals in wastewater with calcium ions
- The effect of silica-calcite sedimentary rock contained in the chicken broiler diet on the overall quality of chicken muscles
- Physicochemical properties of selected herbicidal products containing nicosulfuron as an active ingredient
- Lycopene in tomatoes and tomato products
- Fluorescence in the assessment of the share of a key component in the mixing of feed
- Sulfur application alleviates chromium stress in maize and wheat
- Effectiveness of removal of sulphur compounds from the air after 3 years of biofiltration with a mixture of compost soil, peat, coconut fibre and oak bark
- Special Issue on the 4th Green Chemistry 2018
- Study and fire test of banana fibre reinforced composites with flame retardance properties
- Special Issue on the International conference CosCI 2018
- Disintegration, In vitro Dissolution, and Drug Release Kinetics Profiles of k-Carrageenan-based Nutraceutical Hard-shell Capsules Containing Salicylamide
- Synthesis of amorphous aluminosilicate from impure Indonesian kaolin
- Special Issue on the International Conf on Science, Applied Science, Teaching and Education 2019
- Functionalization of Congo red dye as a light harvester on solar cell
- The effect of nitrite food preservatives added to se’i meat on the expression of wild-type p53 protein
- Biocompatibility and osteoconductivity of scaffold porous composite collagen–hydroxyapatite based coral for bone regeneration
- Special Issue on the Joint Science Congress of Materials and Polymers (ISCMP 2019)
- Effect of natural boron mineral use on the essential oil ratio and components of Musk Sage (Salvia sclarea L.)
- A theoretical and experimental study of the adsorptive removal of hexavalent chromium ions using graphene oxide as an adsorbent
- A study on the bacterial adhesion of Streptococcus mutans in various dental ceramics: In vitro study
- Corrosion study of copper in aqueous sulfuric acid solution in the presence of (2E,5E)-2,5-dibenzylidenecyclopentanone and (2E,5E)-bis[(4-dimethylamino)benzylidene]cyclopentanone: Experimental and theoretical study
- Special Issue on Chemistry Today for Tomorrow 2019
- Diabetes mellitus type 2: Exploratory data analysis based on clinical reading
- Multivariate analysis for the classification of copper–lead and copper–zinc glasses
- Special Issue on Advances in Chemistry and Polymers
- The spatial and temporal distribution of cationic and anionic radicals in early embryo implantation
- Special Issue on 3rd IC3PE 2020
- Magnetic iron oxide/clay nanocomposites for adsorption and catalytic oxidation in water treatment applications
- Special Issue on IC3PE 2018/2019 Conference
- Exergy analysis of conventional and hydrothermal liquefaction–esterification processes of microalgae for biodiesel production
- Advancing biodiesel production from microalgae Spirulina sp. by a simultaneous extraction–transesterification process using palm oil as a co-solvent of methanol
- Topical Issue on Applications of Mathematics in Chemistry
- Omega and the related counting polynomials of some chemical structures
- M-polynomial and topological indices of zigzag edge coronoid fused by starphene