Abstract
This experiment is based on the 7-year-old dwarf and densely planted pear jujube in northern Shaanxi. The effects of applying organic fertilizer on water use, photosynthetic characteristics, and fruit quality of pear jujube are studied. The test has been carried out for two consecutive years. The results showed that fertilization treatments could promote soil moisture retention and utilization. Compared with the control (CK) in 2011, the average soil water content (SWC) of soybean cake fertilizer (SC) and sheep manure (SM) increased by 3.69 and 3.18 percentage points, respectively. The effect of SC on chlorophyll content was most significant. Fertilization can effectively improve the canopy structure of pear jujube. The transmittance of SC and SM decreased by 20.20% and 17.38%, respectively, in 2012. The gap scores were opposite to the leaf area index (LAI). Continuous application of organic fertilizer can significantly increase the net photosynthetic rate and stomatal conductance of pear jujube. The instantaneous water use efficiency of chemical fertilizer (CF), SC, SM, and biogas fertilizer (BM) increased by 0.44, 1.33, 0.96, and 0.61 percentage points, respectively. Organic fertilizer effectively increased the fruit setting rate, yield, and quality of fruits. After fertilization for two consecutive years, the quality of pear jujube fruit improved significantly. It indicated that long-term fertilization could effectively promote the growth and development, increase yield, and significantly improve the fruit quality of pear jujube in the loess hilly region of northern Shaanxi. The effect of soybean cake fertilizer was the most significant.
1 Introduction
Pear jujube (Ziziphus jujuba Mill.) is a plant, which belongs to Rhamnaceae family. Pear jujube is a valuable variety of jujube fresh food. It has rich nutritional value. Jujube is resistant to drought and sorghum. It has strong adaptability to soil. It is resistant to barrenness, salt, and alkali. In the hilly and gully regions of the Loess Plateau in northern Shaanxi, the large number of pear jujube planted can not only green the barren hills, maintain water and soil, improve the ecological environment, but also increase the farmers’ economic income. Therefore, pear jujube has become the main fruit tree as returning farmland to forest and economic forest in northern Shaanxi [1]. Due to the climatic conditions of northern Shaanxi, the jujube is evenly colored, beautiful in appearance, and high in quality and commodity value. The pear jujube is obviously superior to the origin or other jujube areas. A good water and fertilizer environment can guarantee the long-term sustainable development of mountain jujube forest. However, chemical fertilizer is used to supply fertility for pear jujube, pesticide control pests and diseases in north Shaanxi. This will bring serious environmental pollution and affect the soil structure and the nutritional quality of pear jujube [2,3]. The organic fertilizer can improve soil fertility, provide comprehensive nutrition for long-term crops, improve soil physical and chemical properties, enhance soil water storage capacity, and improve crop quality [4–9]. Studies have shown that organic fertilizer can improve soil moisture content and improve crop water use efficiency [10,11]. The application of organic fertilizer can improve the variety of the fruit, including increasing the sweetness, hardness, and vitamin content of the fruit [12,13]. Wu [14] found that organic fertilizer can promote the growth, yield, and quality of the upper part of the Huangguan pear. The research by Wang et al. [15] showed that the organic fertilizer can significantly increase the content of available nitrogen, phosphorus, potassium, and organic matter in the soil of peach forest and increase the porosity of soil capillary. The content of chlorophyll a was significantly increased in peach leaves. Wang et al. [16] also showed that organic fertilizer can improve the net photosynthetic rate and water use efficiency of jujube leaves. At present, there are few reports on the effects of organic fertilizer application on the growth, photosynthetic physiological characteristics, and water use of pear jujube in the hilly and gully regions of the Loess Plateau. Therefore, this study takes the pear jujube in the loess hilly region as the research object. Different organic fertilizer treatments were carried out during the flowering and fruiting period. The comprehensive effects of organic manure on vegetative growth, reproductive growth, photosynthetic characteristics, and water use of pear jujube were analyzed. Explore the source of organic fertilizer suitable for the growth and development of pear jujube. Provide theoretical basis and technical support for the production of organic red dates.
2 Materials and methods
2.1 Overview of the test area
The experiment was carried out in 2011–2012 in the jujube microirrigation technology demonstration base in Mizhi County, Yulin City, Shaanxi Province. The site is located at 37.78′N, 110.23′E, at an altitude of 870 m. It belongs to the typical hilly and gully region of the Loess Plateau. It is medium temperature with a semiarid climate. The annual average temperature is 8.5°C. The annual average precipitation is 451.6 mm, mainly concentrated in July to September. The soil is dominated by loessial soil. The bulk density is 1.21 g/cm3. Soil fertility was low. The available nitrogen, phosphorus, and potassium contents were 34.73, 2.90, and 101.9 mg/kg. The organic matter content is 2.1 g/kg. The soil pH is 8.6 [17]. The irrigation quota was 135 m3/hm2 during the test period. The irrigation time during the test period was May 15 and June 10 [18].
2.2 Test design
The 7-year-old mountain dwarf densely planted pear jujube with uniform tree body and good growth was selected as the research object. The study site is a horizontal terrace on the slope. The soil water and fertilizer and other factors along the contour line are basically the same. The test area is 300 m2. The planting density is 2 m × 3 m. Fertilization treatments were set under drip irrigation conditions: (1) control (CK): no fertilization; (2) conventional chemical fertilizer (CF): urea application (N 46%) 0.48 kg/plant, superphosphate (P2O5 12%) 1.35 kg/plant, potassium sulfate (K2O 50%) 0.61 kg/plant [19]; (3) fermented and decomposed soybean cake fertilizer (SC): 5 kg/plant; (4) decomposed sheep manure (SM): 15 kg/plant; (5) biogas fertilizer (BM): 100 kg/plant. The amount of fertilizer applied is calculated based on the content of nutrients in the organic fertilizer and the amount of chemical fertilizer. Individual plants are treated as one treatment. Set five repetitions per process. Fertilization method: centering on the tree pole, the annular groove is dug in the outer edge of the canopy vertical projection. The groove is 30 cm wide and the groove is 45 cm deep. Mix the fertilizer with the soil and fill it into the ditch (10–45 cm). Soybean cake is oil residue. It was sealed and fermented for 35 days under the condition of relative humidity reaching 70%, which is the decomposed soybean cake fertilizer. BM is a mixture of biogas slurry and biogas residue fermented by biogas. SM is a mixture of pulverized straw and sheep manure buried in a puddle and subjected to microbial anaerobic fermentation. The nutrient content of each organic fertilizer is shown in Table 1.
Nutrient content of the experimental organic fertilizers
Organic fertilizer type | Moisture content (%) | Organic matter (%) | Total N (%) | Total P (%) | Total K (%) |
---|---|---|---|---|---|
Soybean cake fertilizer | 22.74 | 7.69 | 4.13 | 0.91 | 1.57 |
Sheep manure | 8.23 | 24.72 | 0.95 | 0.73 | 2.25 |
Biogas manure | 99.43 | 0.17 | 0.21 | 0.096 | 0.11 |
2.3 Measurement items and methods
Organic fertilizer is applied at the beginning of April 10 each year. On May 31, June 6, June 14, June 22, and July 1, take the fixed eight-point bearing branch in different directions of jujube trees. The number of flowers and fruits was recorded in the flowering and fruiting stages, respectively. Fruit set rate = number of fruits/number of flowers × 100%.
Each jujube hang is fixed to select the fifth leaf at the top. Chlorophyll content, photosynthetic index, canopy index, and soil water content (SWC) were measured in June 15.
Yield: after the fruit is mature, the single-receipt method is adopted. Every time the fruit is picked, it is recorded until the fruit picking is completed. Calculate individual yield and convert to total yield. Mature fruits were collected for quality determination.
SWC [20]: the soil was taken by conventional soil drilling. The sampling location was 30 cm from the tree. The measured depth was 0–100 cm soil layer. The sampling interval was 20 cm. The soil samples were baked to constant weight at 105 ± 2°C to calculate the moisture content.
The chlorophyll content was determined by the acetone method [21]. The photosynthesis index was measured by LI-6400 portable photosynthetic analyzer. The instantaneous water use efficiency (WUEp) was calculated by the leaf net photosynthetic rate (Pn)/transpiration rate (Tr).
The canopy index was determined by WinsCanopy2005a canopy analysis, including leaf area index, gap fraction (GFR), total radiant flux on the canopy, and total radiant flux under the canopy. Canopy light interception density = average photosynthetically active radiation density above the canopy − average total photosynthetically active radiation density below the canopy [22].
Soluble solids (TSS) were measured using a 2WAJ-Abbe refractometer. The titratable acid (TA) was titrated by 0.1 mol/l NaOH standard solution [23]. Reduced vitamin C was titrated with 2,6-dichlorophenol [24]. The total flavonoid content was determined by NaNO2–Al(NO3)3 spectrophotometry [25].
The test data were statistically analyzed using Microsoft Excel 2003 and DPS 7.05 software.
Ethical approval: The conducted research is not related to human or animal use.
3 Results and analysis
3.1 Effects of different organic fertilizers on water use of pear jujube during flowering and fruiting period
3.1.1 Effect of different organic fertilizers on SWC of flowering and fruiting period of pear Jujube
The SWC of each treatment in different years increases rapidly with the depth of the soil layer and then tends to be slow in Figure 1. The SWC of organic fertilizer treatment is significantly higher than CF and CK. The moisture change of SC and SM is most significant. The reason is that the organic fertilizer can make the soil absorb a large amount of water and prevent the infiltration of water. In 2011, the average SWC of SC, SM, BM, and CF increase by 3.69, 3.18, 1.11, and 0.40 percentage points, respectively, compared with CK (9.37%). The SWC in 2012 is significantly higher than in 2011. On the one hand, it is due to external factors such as rainfall; on the other hand, the organic fertilizer is conducive to increasing the water content of the soil. The increase of SC is the largest, and the difference is significant compared with CK (probability P < 0.05).

Effects of different fertilizer treatments on SWC.
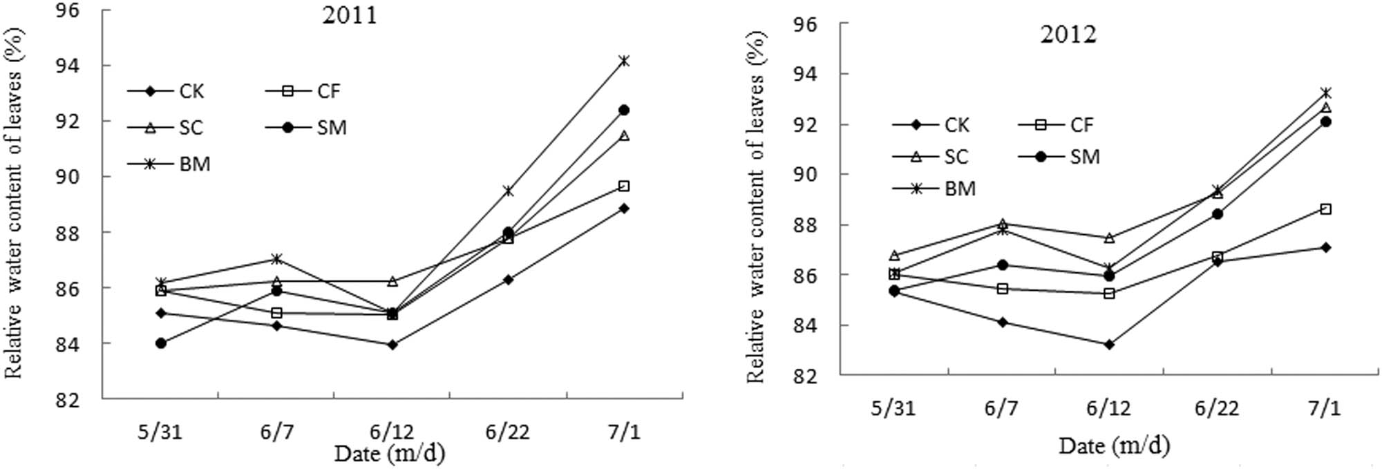
3.1.2 Effects of different organic fertilizers on leaf water content of flowering and fruiting period of pear jujube
Pear jujube maintains a high leaf water content (RWC) which plays an important role in seating fruit and photosynthesis of pear jujube. Figure 2 shows that RWC of organic fertilizer treatment is higher than CK and CF in 2012. This may be because long-term application of organic fertilizer can improve soil moisture and protect the water requirements of plant leaves. On June 12, RWC decreased slightly. And the downward trend in the second year of fertilization has slowed down significantly. This may be due to the fact that the jujube tree enters the fruiting period in mid-June and requires a lot of water. Application of organic fertilizer can increase the RWC of pear jujube leaves. It can supply the water needed for flowering to the fruiting period then slowed down the trend of moisture. The RWC of each treated reached the highest in July 1. RWC of BM, SM, and SC are 94.20%, 92.40%, and 91.47% in 2011. They are significantly different from CK (P < 0.05). Therefore, application of organic fertilizer can increase the RWC of the pear jujube. RWC of BM, SM, and SC is increased by 4.52, 2.72, and 1.79 percentage points, respectively, compared with CF. The RWC gap between treatments decreased after 2 years of application of organic fertilizer. Among them, the change of SC is the most obvious.

Effects of different fertilizer treatments on the relative leaf water content of pear jujube.
3.2 Effects of different organic fertilizers on photosynthetic effects of flowering and fruiting stage of pear jujube
3.2.1 Effects of different organic fertilizers on the chlorophyll content of pear jujube flowering fruit
The content of chlorophyll affects the absorption and conversion of light energy. The ratio of chlorophyll a to chlorophyll b (chl a/b) can reflect the photosynthetic activity of the leaves and the amount of light energy utilization by plants [26]. The photosynthetic performance of pear jujube directly affects the supply of nutrients required for flowering fruit of pear jujube. It is of great significance to the final production. Figure 3 shows that the total chlorophyll content of fertilization treatment is significantly higher than CK. In 2011, the total chlorophyll content of CF, SC, SM, and BM increased by 22.86%, 26.73%, 39.31%, and 43.01%, respectively, compared with CK. The organic fertilizer can significantly increase the content of chlorophyll a in plants. The chlorophyll b content was consistent with the total content. However, the chlorophyll content of each organic fertilizer treatment was not significant. Figure 3 shows that the CK-treated chl a/b is the highest, and the BM, SC, and CF are significantly smaller than CK. It may be that the effect of BM, SC, and CF treatment on chlorophyll b synthesis is greater than that of chlorophyll a, which significantly increases the absorption of blue-green light and enhances the photosynthetic activity of leaves. Among them, the effect of SC treatment on chlorophyll content in 2012 was the most significant. Total chlorophyll was 10.72 mg/dm2 and Chl a/b only was 3.16.

Effects of different fertilizer treatments on the chlorophyll contents of pear jujube.
3.2.2 Effects of different organic fertilizers on canopy structure and canopy optical properties of pear jujube flowering
Table 2 shows that the canopy structure of fertilization in the flowering and fruiting period has been found to be significantly changed for two consecutive years. Canopy photosynthetically active radiation is the most important indicator for evaluating canopy transmittance and light interception ability. The canopy light interception density of different treatments was significantly higher than CK. The canopy transmittance was consistent in 2011 and 2012. In 2012, the light transmittance of each treatment reduced by 25.17%, 20.20%, 17.38%, and 8.16%, respectively. Fertilization treatments were significantly different from CK (P < 0.05). However, the difference in organic fertilizer treatment was not significant. The LAI of pear jujube after fertilization for 2 years was significantly higher than CK. In 2012, the SC is increased by 31.49% compared with CK. The gap scores of different treatments were opposite to those of LAI. The canopy structure of pear jujube changed significantly after application of organic fertilizer for 2 years. This change is more conducive to photosynthesis of pear jujube. It provides adequate nutritional support for fruit setting.
Effects of different fertilizer treatments on canopy characteristics of pear jujube
Year | Treatment | Transmittance (%) | Gap fraction (%) | The density of light (%) | LAI |
---|---|---|---|---|---|
2011 | CK | 27.53 ± 2.04 a | 27.41 ± 1.44 a | 33.06 ± 1.57 c | 1.74 ± 0.17 c |
CF | 25.15 ± 1.35 ab | 24.91 ± 1.03 b | 36.87 ± 2.06 ab | 2.01 ± 0.21 b | |
SC | 23.46 ± 1.07 bc | 27.49 ± 1.62 a | 35.98 ± 1.95 b | 1.96 ± 0.15 b | |
SM | 21.58 ± 1.28 c | 24.97 ± 1.53 b | 35.69 ± 1.38 b | 2.02 ± 0.11 b | |
BM | 18.13 ± 0.97 d | 21.64 ± 1.02 c | 38.06 ± 2.00 a | 2.17 ± 0.09 a | |
2012 | CK | 26.34 ± 1.47 a | 26.55 ± 1.04 a | 34.45 ± 1.53 b | 1.81 ± 0.10 c |
CF | 24.19 ± 1.58 b | 23.72 ± 1.11 b | 36.71 ± 1.53 ab | 2.22 ± 0.07 b | |
SC | 21.76 ± 1.33 c | 25.31 ± 2.03 ab | 37.26 ± 1.53 a | 2.38 ± 0.09 ab | |
SM | 21.02 ± 1.08 c | 23.89 ± 1.47 b | 37.08 ± 1.53 a | 2.31 ± 0.11 b | |
BM | 19.71 ± 1.85 c | 21.77 ± 1.16 c | 37.98 ± 1.53 a | 2.57 ± 0.08 a |
Note: Values followed by different letters in a column are significant among treatment at the 5% level. The two treatments have the same letter to indicate that the difference is not significant, and the different letters indicate significant differences. It was the same as below.
3.2.3 Effects of different organic fertilizers on photosynthetic characteristics and leaf water use efficiency of flowering and fruiting period of pear jujube
It can be seen from Table 3 that application of organic fertilizer can significantly increase the net photosynthetic rate (Pn) and stomatal conductance (Gs) of pear jujube. In 2011, BM processed the highest Pn and Gs. In 2012, the Pn of SC reached the maximum. The intercellular CO2 concentration (Ci) of fertilization was less than CK. The Ci for each fertilization treatment decreased in 2012 compared with 2011. The concentration of Ci treated by SC was the largest. Transpiration and photosynthesis are regulated by many factors. Stomatal transpiration was the main mode of transpiration [27]. In 2012, the Tr of BM reached a maximum. This may be related to a higher LAI. The application of organic fertilizer can effectively improve the instantaneous water use efficiency of pear jujube. The effect is more significant after continuous fertilization. In 2012, the instantaneous water use efficiency of SC treatment was the highest. The instantaneous water use efficiency (WUEp) of CF, SC, SM, and BM increased by 0.44, 1.33, 0.96, and 0.61, respectively, percentage points compared with CK. Fertilization treatment was significantly different from CK (P < 0.05). The WUEp of leaves with SC, SM, and BM was higher than CF. They were increase by 0.89, 0.52, and 0.17 percentage points, respectively.
Effects of different organic fertilizers on photosynthetic characters of pear jujube
Year | Treatment | Pn [µmol/(m2 s)] | Gs [mmol/(m2 s)] | Ci (µmol/mol) | Tr (µmol/mol) | WUEp (%) |
---|---|---|---|---|---|---|
2011 | CK | 18.30 ± 1.87 c | 0.401 ± 0.030 c | 270.2 ± 3.16 a | 8.54 ± 0.31 a | 2.14 ± 0.12 d |
CF | 20.80 ± 1.61 b | 0.455 ± 0.046 b | 255.3 ± 4.67 bc | 8.30 ± 0.45 a | 2.51 ± 0.17 c | |
SC | 22.19 ± 0.90 a | 0.491 ± 0.032 a | 252.0 ± 4.11 c | 6.57 ± 0.33 c | 3.38 ± 0.26 a | |
SM | 22.37 ± 0.49 a | 0.499 ± 0.035 a | 255.9 ± 3.57 b | 7.67 ± 1.06 b | 2.92 ± 0.19 b | |
BM | 22.38 ± 0.97 a | 0.501 ± 0.033 a | 240.8 ± 3.74 d | 8.66 ± 0.20 a | 2.58 ± 0.13bc | |
2012 | CK | 18.16 ± 0.78 c | 0.399 ± 0.021 c | 278.1 ± 2.59 a | 8.67 ± 0.24 a | 2.09 ± 0.12 d |
CF | 21.10 ± 1.24 b | 0.462 ± 0.035 b | 257.5 ± 3.22 bc | 8.33 ± 0.35 ab | 2.53 ± 0.17 c | |
SC | 23.65 ± 0.86 a | 0.514 ± 0.019 a | 243.7 ± 2.98 cd | 6.91 ± 0.33 c | 3.42 ± 0.26 a | |
SM | 23.49 ± 1.02 a | 0.516 ± 0.044 a | 247.2 ± 3.10 c | 7.71 ± 1.06 b | 3.05 ± 0.19 b | |
BM | 23.47 ± 0.99 a | 0.517 ± 0.027 a | 238.6 ± 3.08 d | 8.68 ± 0.13 a | 2.70 ± 0.13bc |
Note: Values followed by different letters in a column are significant among treatment at the 5% level. The two treatments have the same letter to indicate that the difference is not significant, and the different letters indicate significant differences.
3.3 Effects of different organic fertilizers on reproductive growth of pear
Table 4 shows that the total number of flowers of SC, SM, and BM increased by 73.1%, 26.9%, and 39.1%, respectively, in 2012. The yield per plant was increased by 195.8%, 102.7%, and 152.0%, respectively, compared with CK. In 2012, fruit setting rate of BM and SC have increased by 2.17 and 1.90 percentage points, respectively. The difference was not significant. The yield of different fertilization treatments was significantly higher than CK. The different organic fertilizers have different effects on the reproductive growth of pear jujube. Based on the above indicators, SC has the most significant effect on the reproductive growth of pear jujube.
Effects of different fertilizer treatments on reproductive growth of pear jujube
Year | Treatment | Flower no. (no./plant) | Fruit no. (no./plant) | Fruit setting rate (%) | Yield (kg/hm2) |
---|---|---|---|---|---|
2011 | CK | 14,790 ± 1,061 c | 383 ± 19 c | 2.59 ± 0.20 c | 8,040 ± 568 d |
CF | 21,564 ± 1,660 b | 748 ± 81 b | 3.47 ± 0.65 b | 11,797 ± 741 c | |
SC | 27,629 ± 4,552 a | 985 ± 121 a | 3.57 ± 0.20 b | 19,177 ± 836 a | |
SM | 18,246 ± 2,044 bc | 646 ± 51 b | 3.54 ± 0.58 b | 12,025 ± 891 c | |
BM | 21,232 ± 5,072 bc | 951 ± 132 a | 4.48 ± 0.61 a | 14,142 ± 812 b | |
2012 | CK | 15,045 ± 1,201 c | 404 ± 20 c | 2.69 ± 0.14 d | 8,428 ± 479 d |
CF | 22,785 ± 1,217 b | 814 ± 51 b | 3.57 ± 0.52 c | 12,356 ± 511 c | |
SC | 26,047 ± 3,218 a | 1,195 ± 102 a | 4.59 ± 0.49 ab | 22,018 ± 422 a | |
SM | 19,094 ± 1,984 bc | 819 ± 48 b | 4.29 ± 0.57 bc | 14,479 ± 567 c | |
BM | 20,925 ± 2,108 bc | 1018 ± 94 a | 4.86 ± 0.61 a | 17279 ± 601 b |
Note: Values followed by different letters in a column are significant among treatment at the 5% level. The two treatments have the same letter to indicate that the difference is not significant, and the different letters indicate significant differences.
3.4 Effects of different organic fertilizers on the nutritional quality of pear jujube
Table 5 shows that each fertilization treatment can significantly improve the quality of pear jujube fruits. The water content of fruit (FWC) of SM in 2011 was slightly lower than CK. The FWC was higher than CK after continuing fertilization. The FWC of SC and BM increased by 9.54 and 8.87 percentage points, respectively, compared with CK; TA of SC is 0.28 percentage points lower than CK. The indexes of soluble solids (TSS), solid acid ratio (TSS/TA), vitamin c (Vc), and total flavonoids were higher than CK. The Vc and total flavonoid content of SC are increased by 82.6% and 45.6% than CK. The application of organic fertilizer significantly improved the quality indicators of pear jujube. After applying organic fertilizer for two consecutive years, the quality of pear jujube fruit is better.
Effects of different fertilizer treatments on nutrient quality of pear jujube
Year | Treatment | FWC (%) | TSS (%) | TA (%) | TSS/TA | Vc (mg/kg) | Total flavones (mg/kg) |
---|---|---|---|---|---|---|---|
2011 | CK | 77.15 b | 15.45 c | 0.69 a | 22.39 c | 25.81 c | 11.52 c |
SC | 86.30 a | 18.48 a | 0.46 c | 40.17 a | 46.18 a | 14.35 a | |
SM | 76.32 b | 16.63 bc | 0.53 b | 31.38 b | 37.00 b | 13.48 b | |
BM | 85.41 a | 17.05 b | 0.51 b | 33.43 b | 41.19 b | 12.58 b | |
2012 | CK | 78.01 b | 15.91 c | 0.72 a | 22.10 c | 25.92 c | 11.01 c |
SC | 87.55 a | 20.14 a | 0.44 c | 45.78 a | 47.33 a | 16.03 a | |
SM | 79.21 b | 17.55 bc | 0.50 b | 35.10 b | 39.71 b | 14.98 b | |
BM | 86.88 a | 18.67 b | 0.47 b | 39.72 b | 43.52 b | 14.11 b |
Note: Values followed by different letters in a column are significant among treatment at the 5% level. The two treatments have the same letter to indicate that the difference is not significant, and the different letters indicate significant differences.
4 Discussions
The jujube flowering and fruiting period lasts longer. The vegetative and reproductive growth are coexisting in this period. It is sensitive to nutrition and water status. Whether the nutrient supply is sufficient is directly related to the growth and yield of jujube. Therefore, scientific fertilization and soil fertility are necessary. Organic fertilizer can activate nutrients in the matrix, improve soil physical and chemical properties, promote plant nutrient absorption, and increase nutrient content [28]. It provides the nutrients needed for dry matter accumulation, promote vegetative growth, and reproductive growth [6,29].
In this study, organic fertilizer significantly improves the SWC in the rhizosphere, especially in roots widest distribution layer (40–80 cm). The SWC of SC and SM was significantly higher than CK and CF. The reason is that organic fertilization can increase SWC and reduce soil water loss rate [30]. Organic fertilizer increased the relative water content of the leaves during flowering. The reason may be that organic fertilizer can improve soil total porosity and nutrient status [31,32]. It ensures the absorption and utilization of water by the roots of plants. Both SM and SC have higher SWC. However, the comprehensive utilization efficiency of water in SC is the best. Therefore, the soybean cake fertilizer can significantly improve water utilization, achieve water retention holding water, and meet the water demand of pear jujube flowering period.
Wang [33] showed that organic fertilizer can significantly increase the chlorophyll content of wheat leaves. The soil and plant analyzer development (SPAD) value is 58% higher than CK. Liu et al. [34] showed that organic fertilizer increased the net photosynthetic rate of golden pear. The transpiration rate of the leaves is adjusted. These are consistent with the results of this pilot study. The total content of chlorophyll in the fruiting period of pear jujube was significantly higher than CK. The change trend of Pn and Gs was consistent with the chlorophyll content. The intercellular CO2 concentration was opposite to Pn and Gs. This may be due to nonporosity factors that reduce the utilization of CO2, resulting in the accumulation of CO2 [31–33]. Therefore, organic fertilizer significantly increased the chlorophyll content of the fruiting period. Photosynthesis intensity was enhanced. It also reduced intercellular CO2 concentration and accelerated the synthesis and accumulation of photosynthesis products [31].
The total number of flowers CF was higher than SM and BM, while the fruit setting rate was lower than SM and BM. The reason is that chemical fertilizer could guarantee the nutrient supply during flowering period and promote flowering of plants, but the subsequent lack of fertility, water, and other factors affect the fruiting of pear jujube. These reasons ultimately affect the yield of pear jujube. The water content, solid acid ratio, and other qualities of the fruit directly affect the taste of pear jujube. After application of organic fertilizer, the water content of the fruit is significantly increased. SC and CK reached significant difference (P < 0.05). The soluble solids, solid-acid ratio, Vc, and total flavonoids were all higher than CK. The titratable acid was lower than CK. Zhu [35] through the study of citrus showed that organic fertilizer can increase the ratio of soluble solids and solid acid in citrus. Luo et al. [36] shows that organic fertilizer can increase the Vc content of Feicheng peach and reduce the content of titratable acid. The sustained slow release of organic fertilizers is conducive to synchronizing with the physiological needs of crops. It can effectively promote the balance of nutrient metabolism in crops. Thereby, it can ensure the high yield and quality of crops [37].
5 Conclusions
Organic fertilizers can promote the vegetative growth, reproductive growth, quality improvement, and water utilization of pear jujube. Soybean cake fertilizer is relatively effective. It can provide theoretical basis and reference for scientific fertilization of organic pear jujube in the loess hilly region. In future, we need further research about the amount of organic fertilizer added. Applying organic fertilizer will bring comprehensive effect. Long-term application of organic fertilizers will produce cumulative effects and effect on soil fertility.
Conflict of interest: Authors declare no conflict of interest.
References
[1] Wu PT, Wang YK, Xin XG, Zhu DL. Integration and demonstration of the date micro-irrigation technology in the hilly of Shanbei. Agric Res Arid Areas. 2008;26(4):1–6.Search in Google Scholar
[2] Ramos C, Agut A, Lidon AL. Nitrate leaching in important crops of the valencian community region. Environ Pollut. 2002;118:215–23.10.1016/S0269-7491(01)00314-1Search in Google Scholar
[3] Sheng DL, Cao FM, Li L. Development status and prospect of microbial organic fertilizer in China. China Soils Fertilizer. 2007;6:1–5.Search in Google Scholar
[4] Lu WT, Jia ZK, Zhang P, Cai TY, Li R, et al. Effects of organic fertilization on winter wheat photosynthetic characteristics and water use efficiency in semi-arid areas of southern Ningxia. Plant Nutr Fertilizer Sci. 2011;17(5):1066–74.Search in Google Scholar
[5] Sebastiana M, Juan C, Ruiz P. Chemical and biochemical properties in a silty loam soil under conventional and organic management. Soil Tillage Res. 2009;60:162–70.Search in Google Scholar
[6] Li JJ, Song DT, Zou GY, Zhang Q, Nie JH, et al. Effect of different organic fertilizers on growth and quality of tomato. Chin Agric Sci Bull. 2008;24(10):300–5.Search in Google Scholar
[7] Ma FF, Xing SB, Gan MQ, Liu PS, Huang Y, Gan XY, et al. Effects of substituting organic fertilizers for chemical fertilizers on rice yield, soil fertility and nitrogen and phosphorus loss in farmland. Crops. 2019;5:89–96.Search in Google Scholar
[8] Yan PK, Chang SG, Sun Q, Wang R. Effects of application of bio-organic fertilizer on yield, quality and soil fertility of alfalfa. China Soil Fertilizer. 2019;5:112–8.Search in Google Scholar
[9] Chen HJ, Zhang RL, Wu CY. Improved fertilization effect of long-term application of organic fertilizer on rice fields. Zhejiang Agric Sci. 2019;60(8):1356–9.Search in Google Scholar
[10] Yin JD, Hou HZ, Zhang XC. Effects of enhanced application of organic fertilizer on water use and yield of spring wheat with full-film covered Soil. J Triticeae Crop. 2019;39(2):179–85.Search in Google Scholar
[11] Wang XL. Density and organic manure improve the physiological basis of water use efficiency of covered spring maize. Yangling, China: Graduate School of Chinese Academy of Sciences (Center for Soil and Water Conservation and Eco-Environmental Research, Ministry of Education); 2016.Search in Google Scholar
[12] Zhang HM, Li WG, Zhang CJ, Han X, Xi CL. Effects of different fertilizers on fruit quality of Hongfeng peach. Shanxi Agric Sci. 2019;47(5):845–8+853.Search in Google Scholar
[13] Wu H, He Yh, Xu Zy, Ni Ll, Wei J. Effects of organic fertilizer on fruit and mineral nutrition content of sand pear. J Yangzhou Univ (Agric Life Sci). 2017;38(4):112–5.Search in Google Scholar
[14] Wu CC. Effects of continuous application of bio-organic fertilizer on growth and soil properties of Huangguan pear. Nanjing: Nanjing Agricultural University; 2016.Search in Google Scholar
[15] Wang ZY, Zhang GN, Yu JX, Zhen YQ, Xu XH. Effects of EM bacteria combined with organic materials on soil physical and chemical properties and photosynthetic characteristics of peach leaves. J Ecol. 2018;37(9):2657–62.Search in Google Scholar
[16] Yan YD, Jiang ZB, Xu WL, Wang YK, Zhou C. Analysis of soil texture and fertility status of jujube orchards in slopes of the Loess Plateau. Agric Res Arid Areas. 2008;27(3):174–8.Search in Google Scholar
[17] Wang CF, Pati GL, Su LM, Jing SB, Dou XJ, Huang J, Fu YB, Wang ZG. Effects of different base fertilizers on photosynthetic fluorescence characteristics and yield of Jujube. Xinjiang Agric Sci. 2017;54(7):1250–8.Search in Google Scholar
[18] Ye SL, Liu TC. Effects of different drip irrigation systems on yield and water use efficiency of Lizao Jujube in northern Shaanxi. J Irrig Drain. 2018;37(1):28–34.Search in Google Scholar
[19] Yang Y. Study on effect of fertilization on Jujube growth and yield in northern shanxi under different water management. Shaanxi: Ms thesis, Institute of Soil and Water Conservation, Chinese Academy of Science and Ministry of Water Resources; 2011.Search in Google Scholar
[20] Shi DL. Dtermination and comparison on the dry matter and water content in fruit of jujube varieties. Anim Husb Feed Sci. 2009;30(1):17–8.Search in Google Scholar
[21] Shu Z, Zhang XS, Chen J, Chen GY, Xu DQ, et al. The simplification of chlorophyll content measurement. Plant Physiol Commun. 2010;46(4):399–402.Search in Google Scholar
[22] Gao DT, Han MY, Li BZ, Zhang LS, Bai R. The characteristic of light distribution in apple tree canopy using WinsCanopy2004a. Acta Agric Boreali-Occidentials Sin. 2006;15(3):166–70.Search in Google Scholar
[23] Zhao SJ, Shi GA, Dong XC. Plant physiology experimentguide. 1st ed. Beijing: China Agricultural Science and Technology Press; 2002. p. 84.Search in Google Scholar
[24] Gao JF. Plant physiology experimentguid. Beijing: Higher Education Press; 2006.Search in Google Scholar
[25] Li MF, Xi F, Li QL, Zhu HH. The extraction of flavonoids from red date and its analytical method. Acta Agric Univ Jiangxiensis. 2009;06:1156–9.Search in Google Scholar
[26] Hui HX, Xu X, Li QR. Effects of NaCl stress on betaine, chlorophyll fluorescence andchloroplast pigment of leaves of Lycium Barbarum L. Agric Res Arid Areas. 2004;22(3):109–14.Search in Google Scholar
[27] Ding SS, Su PX, Yan QD, Gao S, Zhang LM, et al. Photosynthetic characteristics of Chinese jujube under different intercropping conditions. Agric Res Arid Areas. 2009;27(1):184–9.Search in Google Scholar
[28] Wang XD, Wang HB, Qin D, Zhai H. Biological effects of organic manures on Potted Grapevines. Chin Agric Sci Bull. 2007;23(4):260–4.Search in Google Scholar
[29] Tang XM. Effects of manure on soil water-conversation and fertilizer betterment winter wheat yield in Loess Plateau Dryland. Res Soil Water Conserv. 2003;10(1):131–2.Search in Google Scholar
[30] Su Q, Jia ZK, Han QH, Li YP, Wang JP, et al. Effects of organic fertilization on soil moisture and crop productivity in semi-arid areas of southern Ningxia. Plant Nutr Fert Sci. 2009;15(6):1466–9.Search in Google Scholar
[31] Wang XJ, Jia ZK, Liang LY, Ding RX, Wang M, et al. Effects of organic fertilizer application rate on leaf photosynthetic characteristics and grain yield of dryland maize. Chin J Appl Ecol. 2012;23(2):419–25.Search in Google Scholar
[32] Angers D, Chantigny M, MacDonald J. Differential retention of carbon, nitrogen and phosphorus in grassland soil profiles with long-term manure application. Nutr Cycl Agroecol Syst. 2010;86(2):225–910.1007/s10705-009-9286-3Search in Google Scholar
[33] Wang JL. The effect on long–term fertilization to chlorophyll content of winterwheat (Triticum aestivum) and summer corn (Zea mays). Chin Agric Sci Bull. 2010;26(6):182–4.Search in Google Scholar
[34] Liu Y, Gao XH, Yao XC. Research on nutrient effect of different botanical organic fertilizers on young pear plant [Pyrus pyrifolia (Burm.f.) Nakai] in sandy soil. Sci Agric Sin. 2008;41(8):2546–53.Search in Google Scholar
[35] Zhu CB, Wu SH, Zhang XY, Zhou DP, Fan JQ, et al. Effects of organic fertilizer application on soil fertility and leaf nutrients and fruit quality of citrus. Acta Agric Shanghai. 2012;8(1):65–8.Search in Google Scholar
[36] Luo H, Li M, Hu DG, Song HR, Hao YJ, et al. Effects of organic fertilization on fruit yield and quality of Feicheng peach. Plant Nutr Fert Sci. 2012;18(4):955–64Search in Google Scholar
[37] Wang YP, Liu YH, Ruan RS. Study on the effect of organic manure on improving the quality of farm products. Chin Agric Sci Bull. 2011;7(9):51–6.Search in Google Scholar
© 2020 Shenglan Ye et al., published by De Gruyter
This work is licensed under the Creative Commons Attribution 4.0 International License.
Articles in the same Issue
- Regular Articles
- Electrochemical antioxidant screening and evaluation based on guanine and chitosan immobilized MoS2 nanosheet modified glassy carbon electrode (guanine/CS/MoS2/GCE)
- Kinetic models of the extraction of vanillic acid from pumpkin seeds
- On the maximum ABC index of bipartite graphs without pendent vertices
- Estimation of the total antioxidant potential in the meat samples using thin-layer chromatography
- Molecular dynamics simulation of sI methane hydrate under compression and tension
- Spatial distribution and potential ecological risk assessment of some trace elements in sediments and grey mangrove (Avicennia marina) along the Arabian Gulf coast, Saudi Arabia
- Amino-functionalized graphene oxide for Cr(VI), Cu(II), Pb(II) and Cd(II) removal from industrial wastewater
- Chemical composition and in vitro activity of Origanum vulgare L., Satureja hortensis L., Thymus serpyllum L. and Thymus vulgaris L. essential oils towards oral isolates of Candida albicans and Candida glabrata
- Effect of excess Fluoride consumption on Urine-Serum Fluorides, Dental state and Thyroid Hormones among children in “Talab Sarai” Punjab Pakistan
- Design, Synthesis and Characterization of Novel Isoxazole Tagged Indole Hybrid Compounds
- Comparison of kinetic and enzymatic properties of intracellular phosphoserine aminotransferases from alkaliphilic and neutralophilic bacteria
- Green Organic Solvent-Free Oxidation of Alkylarenes with tert-Butyl Hydroperoxide Catalyzed by Water-Soluble Copper Complex
- Ducrosia ismaelis Asch. essential oil: chemical composition profile and anticancer, antimicrobial and antioxidant potential assessment
- DFT calculations as an efficient tool for prediction of Raman and infra-red spectra and activities of newly synthesized cathinones
- Influence of Chemical Osmosis on Solute Transport and Fluid Velocity in Clay Soils
- A New fatty acid and some triterpenoids from propolis of Nkambe (North-West Region, Cameroon) and evaluation of the antiradical scavenging activity of their extracts
- Antiplasmodial Activity of Stigmastane Steroids from Dryobalanops oblongifolia Stem Bark
- Rapid identification of direct-acting pancreatic protectants from Cyclocarya paliurus leaves tea by the method of serum pharmacochemistry combined with target cell extraction
- Immobilization of Pseudomonas aeruginosa static biomass on eggshell powder for on-line preconcentration and determination of Cr (VI)
- Assessment of methyl 2-({[(4,6-dimethoxypyrimidin-2-yl)carbamoyl] sulfamoyl}methyl)benzoate through biotic and abiotic degradation modes
- Stability of natural polyphenol fisetin in eye drops Stability of fisetin in eye drops
- Production of a bioflocculant by using activated sludge and its application in Pb(II) removal from aqueous solution
- Molecular Properties of Carbon Crystal Cubic Structures
- Synthesis and characterization of calcium carbonate whisker from yellow phosphorus slag
- Study on the interaction between catechin and cholesterol by the density functional theory
- Analysis of some pharmaceuticals in the presence of their synthetic impurities by applying hybrid micelle liquid chromatography
- Two mixed-ligand coordination polymers based on 2,5-thiophenedicarboxylic acid and flexible N-donor ligands: the protective effect on periodontitis via reducing the release of IL-1β and TNF-α
- Incorporation of silver stearate nanoparticles in methacrylate polymeric monoliths for hemeprotein isolation
- Development of ultrasound-assisted dispersive solid-phase microextraction based on mesoporous carbon coated with silica@iron oxide nanocomposite for preconcentration of Te and Tl in natural water systems
- N,N′-Bis[2-hydroxynaphthylidene]/[2-methoxybenzylidene]amino]oxamides and their divalent manganese complexes: Isolation, spectral characterization, morphology, antibacterial and cytotoxicity against leukemia cells
- Determination of the content of selected trace elements in Polish commercial fruit juices and health risk assessment
- Diorganotin(iv) benzyldithiocarbamate complexes: synthesis, characterization, and thermal and cytotoxicity study
- Keratin 17 is induced in prurigo nodularis lesions
- Anticancer, antioxidant, and acute toxicity studies of a Saudi polyherbal formulation, PHF5
- LaCoO3 perovskite-type catalysts in syngas conversion
- Comparative studies of two vegetal extracts from Stokesia laevis and Geranium pratense: polyphenol profile, cytotoxic effect and antiproliferative activity
- Fragmentation pattern of certain isatin–indole antiproliferative conjugates with application to identify their in vitro metabolic profiles in rat liver microsomes by liquid chromatography tandem mass spectrometry
- Investigation of polyphenol profile, antioxidant activity and hepatoprotective potential of Aconogonon alpinum (All.) Schur roots
- Lead discovery of a guanidinyl tryptophan derivative on amyloid cascade inhibition
- Physicochemical evaluation of the fruit pulp of Opuntia spp growing in the Mediterranean area under hard climate conditions
- Electronic structural properties of amino/hydroxyl functionalized imidazolium-based bromide ionic liquids
- New Schiff bases of 2-(quinolin-8-yloxy)acetohydrazide and their Cu(ii), and Zn(ii) metal complexes: their in vitro antimicrobial potentials and in silico physicochemical and pharmacokinetics properties
- Treatment of adhesions after Achilles tendon injury using focused ultrasound with targeted bFGF plasmid-loaded cationic microbubbles
- Synthesis of orotic acid derivatives and their effects on stem cell proliferation
- Chirality of β2-agonists. An overview of pharmacological activity, stereoselective analysis, and synthesis
- Fe3O4@urea/HITh-SO3H as an efficient and reusable catalyst for the solvent-free synthesis of 7-aryl-8H-benzo[h]indeno[1,2-b]quinoline-8-one and indeno[2′,1′:5,6]pyrido[2,3-d]pyrimidine derivatives
- Adsorption kinetic characteristics of molybdenum in yellow-brown soil in response to pH and phosphate
- Enhancement of thermal properties of bio-based microcapsules intended for textile applications
- Exploring the effect of khat (Catha edulis) chewing on the pharmacokinetics of the antiplatelet drug clopidogrel in rats using the newly developed LC-MS/MS technique
- A green strategy for obtaining anthraquinones from Rheum tanguticum by subcritical water
- Cadmium (Cd) chloride affects the nutrient uptake and Cd-resistant bacterium reduces the adsorption of Cd in muskmelon plants
- Removal of H2S by vermicompost biofilter and analysis on bacterial community
- Structural cytotoxicity relationship of 2-phenoxy(thiomethyl)pyridotriazolopyrimidines: Quantum chemical calculations and statistical analysis
- A self-breaking supramolecular plugging system as lost circulation material in oilfield
- Synthesis, characterization, and pharmacological evaluation of thiourea derivatives
- Application of drug–metal ion interaction principle in conductometric determination of imatinib, sorafenib, gefitinib and bosutinib
- Synthesis and characterization of a novel chitosan-grafted-polyorthoethylaniline biocomposite and utilization for dye removal from water
- Optimisation of urine sample preparation for shotgun proteomics
- DFT investigations on arylsulphonyl pyrazole derivatives as potential ligands of selected kinases
- Treatment of Parkinson’s disease using focused ultrasound with GDNF retrovirus-loaded microbubbles to open the blood–brain barrier
- New derivatives of a natural nordentatin
- Fluorescence biomarkers of malignant melanoma detectable in urine
- Study of the remediation effects of passivation materials on Pb-contaminated soil
- Saliva proteomic analysis reveals possible biomarkers of renal cell carcinoma
- Withania frutescens: Chemical characterization, analgesic, anti-inflammatory, and healing activities
- Design, synthesis and pharmacological profile of (−)-verbenone hydrazones
- Synthesis of magnesium carbonate hydrate from natural talc
- Stability-indicating HPLC-DAD assay for simultaneous quantification of hydrocortisone 21 acetate, dexamethasone, and fluocinolone acetonide in cosmetics
- A novel lactose biosensor based on electrochemically synthesized 3,4-ethylenedioxythiophene/thiophene (EDOT/Th) copolymer
- Citrullus colocynthis (L.) Schrad: Chemical characterization, scavenging and cytotoxic activities
- Development and validation of a high performance liquid chromatography/diode array detection method for estrogen determination: Application to residual analysis in meat products
- PCSK9 concentrations in different stages of subclinical atherosclerosis and their relationship with inflammation
- Development of trace analysis for alkyl methanesulfonates in the delgocitinib drug substance using GC-FID and liquid–liquid extraction with ionic liquid
- Electrochemical evaluation of the antioxidant capacity of natural compounds on glassy carbon electrode modified with guanine-, polythionine-, and nitrogen-doped graphene
- A Dy(iii)–organic framework as a fluorescent probe for highly selective detection of picric acid and treatment activity on human lung cancer cells
- A Zn(ii)–organic cage with semirigid ligand for solvent-free cyanosilylation and inhibitory effect on ovarian cancer cell migration and invasion ability via regulating mi-RNA16 expression
- Polyphenol content and antioxidant activities of Prunus padus L. and Prunus serotina L. leaves: Electrochemical and spectrophotometric approach and their antimicrobial properties
- The combined use of GC, PDSC and FT-IR techniques to characterize fat extracted from commercial complete dry pet food for adult cats
- MALDI-TOF MS profiling in the discovery and identification of salivary proteomic patterns of temporomandibular joint disorders
- Concentrations of dioxins, furans and dioxin-like PCBs in natural animal feed additives
- Structure and some physicochemical and functional properties of water treated under ammonia with low-temperature low-pressure glow plasma of low frequency
- Mesoscale nanoparticles encapsulated with emodin for targeting antifibrosis in animal models
- Amine-functionalized magnetic activated carbon as an adsorbent for preconcentration and determination of acidic drugs in environmental water samples using HPLC-DAD
- Antioxidant activity as a response to cadmium pollution in three durum wheat genotypes differing in salt-tolerance
- A promising naphthoquinone [8-hydroxy-2-(2-thienylcarbonyl)naphtho[2,3-b]thiophene-4,9-dione] exerts anti-colorectal cancer activity through ferroptosis and inhibition of MAPK signaling pathway based on RNA sequencing
- Synthesis and efficacy of herbicidal ionic liquids with chlorsulfuron as the anion
- Effect of isovalent substitution on the crystal structure and properties of two-slab indates BaLa2−xSmxIn2O7
- Synthesis, spectral and thermo-kinetics explorations of Schiff-base derived metal complexes
- An improved reduction method for phase stability testing in the single-phase region
- Comparative analysis of chemical composition of some commercially important fishes with an emphasis on various Malaysian diets
- Development of a solventless stir bar sorptive extraction/thermal desorption large volume injection capillary gas chromatographic-mass spectrometric method for ultra-trace determination of pyrethroids pesticides in river and tap water samples
- A turbidity sensor development based on NL-PI observers: Experimental application to the control of a Sinaloa’s River Spirulina maxima cultivation
- Deep desulfurization of sintering flue gas in iron and steel works based on low-temperature oxidation
- Investigations of metallic elements and phenolics in Chinese medicinal plants
- Influence of site-classification approach on geochemical background values
- Effects of ageing on the surface characteristics and Cu(ii) adsorption behaviour of rice husk biochar in soil
- Adsorption and sugarcane-bagasse-derived activated carbon-based mitigation of 1-[2-(2-chloroethoxy)phenyl]sulfonyl-3-(4-methoxy-6-methyl-1,3,5-triazin-2-yl) urea-contaminated soils
- Antimicrobial and antifungal activities of bifunctional cooper(ii) complexes with non-steroidal anti-inflammatory drugs, flufenamic, mefenamic and tolfenamic acids and 1,10-phenanthroline
- Application of selenium and silicon to alleviate short-term drought stress in French marigold (Tagetes patula L.) as a model plant species
- Screening and analysis of xanthine oxidase inhibitors in jute leaves and their protective effects against hydrogen peroxide-induced oxidative stress in cells
- Synthesis and physicochemical studies of a series of mixed-ligand transition metal complexes and their molecular docking investigations against Coronavirus main protease
- A study of in vitro metabolism and cytotoxicity of mephedrone and methoxetamine in human and pig liver models using GC/MS and LC/MS analyses
- A new phenyl alkyl ester and a new combretin triterpene derivative from Combretum fragrans F. Hoffm (Combretaceae) and antiproliferative activity
- Erratum
- Erratum to: A one-step incubation ELISA kit for rapid determination of dibutyl phthalate in water, beverage and liquor
- Review Articles
- Sinoporphyrin sodium, a novel sensitizer for photodynamic and sonodynamic therapy
- Natural products isolated from Casimiroa
- Plant description, phytochemical constituents and bioactivities of Syzygium genus: A review
- Evaluation of elastomeric heat shielding materials as insulators for solid propellant rocket motors: A short review
- Special Issue on Applied Biochemistry and Biotechnology 2019
- An overview of Monascus fermentation processes for monacolin K production
- Study on online soft sensor method of total sugar content in chlorotetracycline fermentation tank
- Studies on the Anti-Gouty Arthritis and Anti-hyperuricemia Properties of Astilbin in Animal Models
- Effects of organic fertilizer on water use, photosynthetic characteristics, and fruit quality of pear jujube in northern Shaanxi
- Characteristics of the root exudate release system of typical plants in plateau lakeside wetland under phosphorus stress conditions
- Characterization of soil water by the means of hydrogen and oxygen isotope ratio at dry-wet season under different soil layers in the dry-hot valley of Jinsha River
- Composition and diurnal variation of floral scent emission in Rosa rugosa Thunb. and Tulipa gesneriana L.
- Preparation of a novel ginkgolide B niosomal composite drug
- The degradation, biodegradability and toxicity evaluation of sulfamethazine antibiotics by gamma radiation
- Special issue on Monitoring, Risk Assessment and Sustainable Management for the Exposure to Environmental Toxins
- Insight into the cadmium and zinc binding potential of humic acids derived from composts by EEM spectra combined with PARAFAC analysis
- Source apportionment of soil contamination based on multivariate receptor and robust geostatistics in a typical rural–urban area, Wuhan city, middle China
- Special Issue on 13th JCC 2018
- The Role of H2C2O4 and Na2CO3 as Precipitating Agents on The Physichochemical Properties and Photocatalytic Activity of Bismuth Oxide
- Preparation of magnetite-silica–cetyltrimethylammonium for phenol removal based on adsolubilization
- Topical Issue on Agriculture
- Size-dependent growth kinetics of struvite crystals in wastewater with calcium ions
- The effect of silica-calcite sedimentary rock contained in the chicken broiler diet on the overall quality of chicken muscles
- Physicochemical properties of selected herbicidal products containing nicosulfuron as an active ingredient
- Lycopene in tomatoes and tomato products
- Fluorescence in the assessment of the share of a key component in the mixing of feed
- Sulfur application alleviates chromium stress in maize and wheat
- Effectiveness of removal of sulphur compounds from the air after 3 years of biofiltration with a mixture of compost soil, peat, coconut fibre and oak bark
- Special Issue on the 4th Green Chemistry 2018
- Study and fire test of banana fibre reinforced composites with flame retardance properties
- Special Issue on the International conference CosCI 2018
- Disintegration, In vitro Dissolution, and Drug Release Kinetics Profiles of k-Carrageenan-based Nutraceutical Hard-shell Capsules Containing Salicylamide
- Synthesis of amorphous aluminosilicate from impure Indonesian kaolin
- Special Issue on the International Conf on Science, Applied Science, Teaching and Education 2019
- Functionalization of Congo red dye as a light harvester on solar cell
- The effect of nitrite food preservatives added to se’i meat on the expression of wild-type p53 protein
- Biocompatibility and osteoconductivity of scaffold porous composite collagen–hydroxyapatite based coral for bone regeneration
- Special Issue on the Joint Science Congress of Materials and Polymers (ISCMP 2019)
- Effect of natural boron mineral use on the essential oil ratio and components of Musk Sage (Salvia sclarea L.)
- A theoretical and experimental study of the adsorptive removal of hexavalent chromium ions using graphene oxide as an adsorbent
- A study on the bacterial adhesion of Streptococcus mutans in various dental ceramics: In vitro study
- Corrosion study of copper in aqueous sulfuric acid solution in the presence of (2E,5E)-2,5-dibenzylidenecyclopentanone and (2E,5E)-bis[(4-dimethylamino)benzylidene]cyclopentanone: Experimental and theoretical study
- Special Issue on Chemistry Today for Tomorrow 2019
- Diabetes mellitus type 2: Exploratory data analysis based on clinical reading
- Multivariate analysis for the classification of copper–lead and copper–zinc glasses
- Special Issue on Advances in Chemistry and Polymers
- The spatial and temporal distribution of cationic and anionic radicals in early embryo implantation
- Special Issue on 3rd IC3PE 2020
- Magnetic iron oxide/clay nanocomposites for adsorption and catalytic oxidation in water treatment applications
- Special Issue on IC3PE 2018/2019 Conference
- Exergy analysis of conventional and hydrothermal liquefaction–esterification processes of microalgae for biodiesel production
- Advancing biodiesel production from microalgae Spirulina sp. by a simultaneous extraction–transesterification process using palm oil as a co-solvent of methanol
- Topical Issue on Applications of Mathematics in Chemistry
- Omega and the related counting polynomials of some chemical structures
- M-polynomial and topological indices of zigzag edge coronoid fused by starphene
Articles in the same Issue
- Regular Articles
- Electrochemical antioxidant screening and evaluation based on guanine and chitosan immobilized MoS2 nanosheet modified glassy carbon electrode (guanine/CS/MoS2/GCE)
- Kinetic models of the extraction of vanillic acid from pumpkin seeds
- On the maximum ABC index of bipartite graphs without pendent vertices
- Estimation of the total antioxidant potential in the meat samples using thin-layer chromatography
- Molecular dynamics simulation of sI methane hydrate under compression and tension
- Spatial distribution and potential ecological risk assessment of some trace elements in sediments and grey mangrove (Avicennia marina) along the Arabian Gulf coast, Saudi Arabia
- Amino-functionalized graphene oxide for Cr(VI), Cu(II), Pb(II) and Cd(II) removal from industrial wastewater
- Chemical composition and in vitro activity of Origanum vulgare L., Satureja hortensis L., Thymus serpyllum L. and Thymus vulgaris L. essential oils towards oral isolates of Candida albicans and Candida glabrata
- Effect of excess Fluoride consumption on Urine-Serum Fluorides, Dental state and Thyroid Hormones among children in “Talab Sarai” Punjab Pakistan
- Design, Synthesis and Characterization of Novel Isoxazole Tagged Indole Hybrid Compounds
- Comparison of kinetic and enzymatic properties of intracellular phosphoserine aminotransferases from alkaliphilic and neutralophilic bacteria
- Green Organic Solvent-Free Oxidation of Alkylarenes with tert-Butyl Hydroperoxide Catalyzed by Water-Soluble Copper Complex
- Ducrosia ismaelis Asch. essential oil: chemical composition profile and anticancer, antimicrobial and antioxidant potential assessment
- DFT calculations as an efficient tool for prediction of Raman and infra-red spectra and activities of newly synthesized cathinones
- Influence of Chemical Osmosis on Solute Transport and Fluid Velocity in Clay Soils
- A New fatty acid and some triterpenoids from propolis of Nkambe (North-West Region, Cameroon) and evaluation of the antiradical scavenging activity of their extracts
- Antiplasmodial Activity of Stigmastane Steroids from Dryobalanops oblongifolia Stem Bark
- Rapid identification of direct-acting pancreatic protectants from Cyclocarya paliurus leaves tea by the method of serum pharmacochemistry combined with target cell extraction
- Immobilization of Pseudomonas aeruginosa static biomass on eggshell powder for on-line preconcentration and determination of Cr (VI)
- Assessment of methyl 2-({[(4,6-dimethoxypyrimidin-2-yl)carbamoyl] sulfamoyl}methyl)benzoate through biotic and abiotic degradation modes
- Stability of natural polyphenol fisetin in eye drops Stability of fisetin in eye drops
- Production of a bioflocculant by using activated sludge and its application in Pb(II) removal from aqueous solution
- Molecular Properties of Carbon Crystal Cubic Structures
- Synthesis and characterization of calcium carbonate whisker from yellow phosphorus slag
- Study on the interaction between catechin and cholesterol by the density functional theory
- Analysis of some pharmaceuticals in the presence of their synthetic impurities by applying hybrid micelle liquid chromatography
- Two mixed-ligand coordination polymers based on 2,5-thiophenedicarboxylic acid and flexible N-donor ligands: the protective effect on periodontitis via reducing the release of IL-1β and TNF-α
- Incorporation of silver stearate nanoparticles in methacrylate polymeric monoliths for hemeprotein isolation
- Development of ultrasound-assisted dispersive solid-phase microextraction based on mesoporous carbon coated with silica@iron oxide nanocomposite for preconcentration of Te and Tl in natural water systems
- N,N′-Bis[2-hydroxynaphthylidene]/[2-methoxybenzylidene]amino]oxamides and their divalent manganese complexes: Isolation, spectral characterization, morphology, antibacterial and cytotoxicity against leukemia cells
- Determination of the content of selected trace elements in Polish commercial fruit juices and health risk assessment
- Diorganotin(iv) benzyldithiocarbamate complexes: synthesis, characterization, and thermal and cytotoxicity study
- Keratin 17 is induced in prurigo nodularis lesions
- Anticancer, antioxidant, and acute toxicity studies of a Saudi polyherbal formulation, PHF5
- LaCoO3 perovskite-type catalysts in syngas conversion
- Comparative studies of two vegetal extracts from Stokesia laevis and Geranium pratense: polyphenol profile, cytotoxic effect and antiproliferative activity
- Fragmentation pattern of certain isatin–indole antiproliferative conjugates with application to identify their in vitro metabolic profiles in rat liver microsomes by liquid chromatography tandem mass spectrometry
- Investigation of polyphenol profile, antioxidant activity and hepatoprotective potential of Aconogonon alpinum (All.) Schur roots
- Lead discovery of a guanidinyl tryptophan derivative on amyloid cascade inhibition
- Physicochemical evaluation of the fruit pulp of Opuntia spp growing in the Mediterranean area under hard climate conditions
- Electronic structural properties of amino/hydroxyl functionalized imidazolium-based bromide ionic liquids
- New Schiff bases of 2-(quinolin-8-yloxy)acetohydrazide and their Cu(ii), and Zn(ii) metal complexes: their in vitro antimicrobial potentials and in silico physicochemical and pharmacokinetics properties
- Treatment of adhesions after Achilles tendon injury using focused ultrasound with targeted bFGF plasmid-loaded cationic microbubbles
- Synthesis of orotic acid derivatives and their effects on stem cell proliferation
- Chirality of β2-agonists. An overview of pharmacological activity, stereoselective analysis, and synthesis
- Fe3O4@urea/HITh-SO3H as an efficient and reusable catalyst for the solvent-free synthesis of 7-aryl-8H-benzo[h]indeno[1,2-b]quinoline-8-one and indeno[2′,1′:5,6]pyrido[2,3-d]pyrimidine derivatives
- Adsorption kinetic characteristics of molybdenum in yellow-brown soil in response to pH and phosphate
- Enhancement of thermal properties of bio-based microcapsules intended for textile applications
- Exploring the effect of khat (Catha edulis) chewing on the pharmacokinetics of the antiplatelet drug clopidogrel in rats using the newly developed LC-MS/MS technique
- A green strategy for obtaining anthraquinones from Rheum tanguticum by subcritical water
- Cadmium (Cd) chloride affects the nutrient uptake and Cd-resistant bacterium reduces the adsorption of Cd in muskmelon plants
- Removal of H2S by vermicompost biofilter and analysis on bacterial community
- Structural cytotoxicity relationship of 2-phenoxy(thiomethyl)pyridotriazolopyrimidines: Quantum chemical calculations and statistical analysis
- A self-breaking supramolecular plugging system as lost circulation material in oilfield
- Synthesis, characterization, and pharmacological evaluation of thiourea derivatives
- Application of drug–metal ion interaction principle in conductometric determination of imatinib, sorafenib, gefitinib and bosutinib
- Synthesis and characterization of a novel chitosan-grafted-polyorthoethylaniline biocomposite and utilization for dye removal from water
- Optimisation of urine sample preparation for shotgun proteomics
- DFT investigations on arylsulphonyl pyrazole derivatives as potential ligands of selected kinases
- Treatment of Parkinson’s disease using focused ultrasound with GDNF retrovirus-loaded microbubbles to open the blood–brain barrier
- New derivatives of a natural nordentatin
- Fluorescence biomarkers of malignant melanoma detectable in urine
- Study of the remediation effects of passivation materials on Pb-contaminated soil
- Saliva proteomic analysis reveals possible biomarkers of renal cell carcinoma
- Withania frutescens: Chemical characterization, analgesic, anti-inflammatory, and healing activities
- Design, synthesis and pharmacological profile of (−)-verbenone hydrazones
- Synthesis of magnesium carbonate hydrate from natural talc
- Stability-indicating HPLC-DAD assay for simultaneous quantification of hydrocortisone 21 acetate, dexamethasone, and fluocinolone acetonide in cosmetics
- A novel lactose biosensor based on electrochemically synthesized 3,4-ethylenedioxythiophene/thiophene (EDOT/Th) copolymer
- Citrullus colocynthis (L.) Schrad: Chemical characterization, scavenging and cytotoxic activities
- Development and validation of a high performance liquid chromatography/diode array detection method for estrogen determination: Application to residual analysis in meat products
- PCSK9 concentrations in different stages of subclinical atherosclerosis and their relationship with inflammation
- Development of trace analysis for alkyl methanesulfonates in the delgocitinib drug substance using GC-FID and liquid–liquid extraction with ionic liquid
- Electrochemical evaluation of the antioxidant capacity of natural compounds on glassy carbon electrode modified with guanine-, polythionine-, and nitrogen-doped graphene
- A Dy(iii)–organic framework as a fluorescent probe for highly selective detection of picric acid and treatment activity on human lung cancer cells
- A Zn(ii)–organic cage with semirigid ligand for solvent-free cyanosilylation and inhibitory effect on ovarian cancer cell migration and invasion ability via regulating mi-RNA16 expression
- Polyphenol content and antioxidant activities of Prunus padus L. and Prunus serotina L. leaves: Electrochemical and spectrophotometric approach and their antimicrobial properties
- The combined use of GC, PDSC and FT-IR techniques to characterize fat extracted from commercial complete dry pet food for adult cats
- MALDI-TOF MS profiling in the discovery and identification of salivary proteomic patterns of temporomandibular joint disorders
- Concentrations of dioxins, furans and dioxin-like PCBs in natural animal feed additives
- Structure and some physicochemical and functional properties of water treated under ammonia with low-temperature low-pressure glow plasma of low frequency
- Mesoscale nanoparticles encapsulated with emodin for targeting antifibrosis in animal models
- Amine-functionalized magnetic activated carbon as an adsorbent for preconcentration and determination of acidic drugs in environmental water samples using HPLC-DAD
- Antioxidant activity as a response to cadmium pollution in three durum wheat genotypes differing in salt-tolerance
- A promising naphthoquinone [8-hydroxy-2-(2-thienylcarbonyl)naphtho[2,3-b]thiophene-4,9-dione] exerts anti-colorectal cancer activity through ferroptosis and inhibition of MAPK signaling pathway based on RNA sequencing
- Synthesis and efficacy of herbicidal ionic liquids with chlorsulfuron as the anion
- Effect of isovalent substitution on the crystal structure and properties of two-slab indates BaLa2−xSmxIn2O7
- Synthesis, spectral and thermo-kinetics explorations of Schiff-base derived metal complexes
- An improved reduction method for phase stability testing in the single-phase region
- Comparative analysis of chemical composition of some commercially important fishes with an emphasis on various Malaysian diets
- Development of a solventless stir bar sorptive extraction/thermal desorption large volume injection capillary gas chromatographic-mass spectrometric method for ultra-trace determination of pyrethroids pesticides in river and tap water samples
- A turbidity sensor development based on NL-PI observers: Experimental application to the control of a Sinaloa’s River Spirulina maxima cultivation
- Deep desulfurization of sintering flue gas in iron and steel works based on low-temperature oxidation
- Investigations of metallic elements and phenolics in Chinese medicinal plants
- Influence of site-classification approach on geochemical background values
- Effects of ageing on the surface characteristics and Cu(ii) adsorption behaviour of rice husk biochar in soil
- Adsorption and sugarcane-bagasse-derived activated carbon-based mitigation of 1-[2-(2-chloroethoxy)phenyl]sulfonyl-3-(4-methoxy-6-methyl-1,3,5-triazin-2-yl) urea-contaminated soils
- Antimicrobial and antifungal activities of bifunctional cooper(ii) complexes with non-steroidal anti-inflammatory drugs, flufenamic, mefenamic and tolfenamic acids and 1,10-phenanthroline
- Application of selenium and silicon to alleviate short-term drought stress in French marigold (Tagetes patula L.) as a model plant species
- Screening and analysis of xanthine oxidase inhibitors in jute leaves and their protective effects against hydrogen peroxide-induced oxidative stress in cells
- Synthesis and physicochemical studies of a series of mixed-ligand transition metal complexes and their molecular docking investigations against Coronavirus main protease
- A study of in vitro metabolism and cytotoxicity of mephedrone and methoxetamine in human and pig liver models using GC/MS and LC/MS analyses
- A new phenyl alkyl ester and a new combretin triterpene derivative from Combretum fragrans F. Hoffm (Combretaceae) and antiproliferative activity
- Erratum
- Erratum to: A one-step incubation ELISA kit for rapid determination of dibutyl phthalate in water, beverage and liquor
- Review Articles
- Sinoporphyrin sodium, a novel sensitizer for photodynamic and sonodynamic therapy
- Natural products isolated from Casimiroa
- Plant description, phytochemical constituents and bioactivities of Syzygium genus: A review
- Evaluation of elastomeric heat shielding materials as insulators for solid propellant rocket motors: A short review
- Special Issue on Applied Biochemistry and Biotechnology 2019
- An overview of Monascus fermentation processes for monacolin K production
- Study on online soft sensor method of total sugar content in chlorotetracycline fermentation tank
- Studies on the Anti-Gouty Arthritis and Anti-hyperuricemia Properties of Astilbin in Animal Models
- Effects of organic fertilizer on water use, photosynthetic characteristics, and fruit quality of pear jujube in northern Shaanxi
- Characteristics of the root exudate release system of typical plants in plateau lakeside wetland under phosphorus stress conditions
- Characterization of soil water by the means of hydrogen and oxygen isotope ratio at dry-wet season under different soil layers in the dry-hot valley of Jinsha River
- Composition and diurnal variation of floral scent emission in Rosa rugosa Thunb. and Tulipa gesneriana L.
- Preparation of a novel ginkgolide B niosomal composite drug
- The degradation, biodegradability and toxicity evaluation of sulfamethazine antibiotics by gamma radiation
- Special issue on Monitoring, Risk Assessment and Sustainable Management for the Exposure to Environmental Toxins
- Insight into the cadmium and zinc binding potential of humic acids derived from composts by EEM spectra combined with PARAFAC analysis
- Source apportionment of soil contamination based on multivariate receptor and robust geostatistics in a typical rural–urban area, Wuhan city, middle China
- Special Issue on 13th JCC 2018
- The Role of H2C2O4 and Na2CO3 as Precipitating Agents on The Physichochemical Properties and Photocatalytic Activity of Bismuth Oxide
- Preparation of magnetite-silica–cetyltrimethylammonium for phenol removal based on adsolubilization
- Topical Issue on Agriculture
- Size-dependent growth kinetics of struvite crystals in wastewater with calcium ions
- The effect of silica-calcite sedimentary rock contained in the chicken broiler diet on the overall quality of chicken muscles
- Physicochemical properties of selected herbicidal products containing nicosulfuron as an active ingredient
- Lycopene in tomatoes and tomato products
- Fluorescence in the assessment of the share of a key component in the mixing of feed
- Sulfur application alleviates chromium stress in maize and wheat
- Effectiveness of removal of sulphur compounds from the air after 3 years of biofiltration with a mixture of compost soil, peat, coconut fibre and oak bark
- Special Issue on the 4th Green Chemistry 2018
- Study and fire test of banana fibre reinforced composites with flame retardance properties
- Special Issue on the International conference CosCI 2018
- Disintegration, In vitro Dissolution, and Drug Release Kinetics Profiles of k-Carrageenan-based Nutraceutical Hard-shell Capsules Containing Salicylamide
- Synthesis of amorphous aluminosilicate from impure Indonesian kaolin
- Special Issue on the International Conf on Science, Applied Science, Teaching and Education 2019
- Functionalization of Congo red dye as a light harvester on solar cell
- The effect of nitrite food preservatives added to se’i meat on the expression of wild-type p53 protein
- Biocompatibility and osteoconductivity of scaffold porous composite collagen–hydroxyapatite based coral for bone regeneration
- Special Issue on the Joint Science Congress of Materials and Polymers (ISCMP 2019)
- Effect of natural boron mineral use on the essential oil ratio and components of Musk Sage (Salvia sclarea L.)
- A theoretical and experimental study of the adsorptive removal of hexavalent chromium ions using graphene oxide as an adsorbent
- A study on the bacterial adhesion of Streptococcus mutans in various dental ceramics: In vitro study
- Corrosion study of copper in aqueous sulfuric acid solution in the presence of (2E,5E)-2,5-dibenzylidenecyclopentanone and (2E,5E)-bis[(4-dimethylamino)benzylidene]cyclopentanone: Experimental and theoretical study
- Special Issue on Chemistry Today for Tomorrow 2019
- Diabetes mellitus type 2: Exploratory data analysis based on clinical reading
- Multivariate analysis for the classification of copper–lead and copper–zinc glasses
- Special Issue on Advances in Chemistry and Polymers
- The spatial and temporal distribution of cationic and anionic radicals in early embryo implantation
- Special Issue on 3rd IC3PE 2020
- Magnetic iron oxide/clay nanocomposites for adsorption and catalytic oxidation in water treatment applications
- Special Issue on IC3PE 2018/2019 Conference
- Exergy analysis of conventional and hydrothermal liquefaction–esterification processes of microalgae for biodiesel production
- Advancing biodiesel production from microalgae Spirulina sp. by a simultaneous extraction–transesterification process using palm oil as a co-solvent of methanol
- Topical Issue on Applications of Mathematics in Chemistry
- Omega and the related counting polynomials of some chemical structures
- M-polynomial and topological indices of zigzag edge coronoid fused by starphene