Abstract
This study was aimed to explore the composition and diurnal variation analyses of floral scent emission from Rosa rugosa Thunb. and Tulipa gesneriana L. The floral scent from the fresh flower were collected at different time points (9:00, 12:00, 15:00, 18:00, and 21:00) using dynamic headspace collection and were analyzed using autothermal desorber-gas chromatography/mass spectrometry (ATD-GC/MS). The results showed that a total of 62 volatile flavor compounds were detected from Rosa rugosa Thunb and a total of 70 volatile flavor compounds were detected from Tulipa gesneriana L. They were identified with eight functional categories: alcohols, fatty hydrocarbons, terpenes, aldehydes, ketones, esters, and other substances. The total release amount first decreased, and then increased with time, and arrived at the lowest at 15:00. The release amounts of different categories present distinct change patterns. Among the components, phenylethyl alcohol, citronellol, methylene chloride, hexane, and acetone showed relatively higher release amounts and were thought as the main components in floral scent of Rosa rugosa Thunb. Alpha-Farnesene, ethanol, pentadecane, beta-ocimene, longifolene, caryophyllene, and acetone showed relatively higher release amounts and were thought as the main components in floral scent of Tulipa gesneriana L. Research of roses and tulips in aromatic in the garden provides a theoretical basis and research and improvement of the aroma components of aroma.
1 Introduction
The release of flower fragrance is an important characteristic of flowering plants, and it is also the main ornamental character. It is an important factor to form and influence the ornamental value of flowers. Floral scent is widely used for perfumes, cosmetics, flavorings, and therapeutic applications [1,2]. Floral scent is a composite character determined by a complex mixture of low-molecular-weight volatile molecules [3,4,5,6] and is one of the main factors that make up and influence the ornamental value of flowers [7]. As an important part of plant volatile compounds, the floral scent plays a key role in plant ecophysiology and represents a decisive communication channel between plants and animals [8,9]. To achieve this, the floral scent is often developmentally and rhythmically regulated to be associated with the activity of corresponding pollinators. As insect pollinator exhibit rhythmic activities, the flowers emit scent on specific timing in a day. Light directly affects floral scent emission. Diurnal variations of floral scent emission have been observed in numerous plant species [10]. The release of flower scent of Prunus davidiana [11], Gardenia jasminoides from grandiflora [12], Chrysanthemum, and Siberia kirilowii [13] showed obvious diurnal variations.
With the development of society, aromatherapy has been gradually moving to people’s lives, and the establishment of the aromatic botanical garden, night garden, and blind botanical garden and so on, with the characteristics of plant aroma, has the health care effect of green space. Rose and tulip with high ornamental value have attracted more and more attention because of their unique fragrance and curative effect widely used in landscaping. Experiments proved that aromatic plant volatiles can alleviate depression, anti-inflammatory and analgesic activities, and regulate the human nervous system, and it has a health function on the human body [14,15]. Roses are the most important crop in the floriculture industry and used as cut flowers, pot plants, and garden ornamentals. They are also a source of natural fragrances. Rose is used in producing rose water, attar of rose, and essential oils in the perfume industry. Tulip is world-famous flowers with bright colors, unique shape, and delightful scent. It is called “the queen of flowers”. Tulip bulbs and roots can be used as a medicine, have a sedative effect, and can be used in the treatment of dirty mania.
The collection and adsorption of plant volatiles or flower fragrance are one of the key links in the identification of flower fragrance components. Automated thermal desorption (ATD), also known as thermal desorption, is based on the design principle of dynamic headspace. It completes the whole process of sampling, enrichment, concentration, and injection by thermal desorption instruments. It is a more comprehensive sample of pretreatment technology. Because the thermal desorption method is more direct and close to nature in the collection of volatile components, the biggest advantage of the thermal desorption method is that it can directly collect the volatiles of living plants and fully retain the original state of the samples. The sensitivity of this technology is high, and the detection limit can reach 10−9 levels [16,17,18]. ATD-gas chromatography/mass spectrometry (GC/MS) is a kind of experimental techniques that can be used to collect, absorb, and analyze the volatile components of living plants [19]. It can effectively eliminate the interference of external volatile components and reflect the components and their release amount of flower fragrance more truly. It is suitable for the qualitative and quantitative analyses of plant volatile components in the near-natural state [20]. Therefore, the study takes the living rose and tulip flowers as materials, collects, and analyzes the chemical components of the volatiles, summarizes the main aromatic characteristics of the rose and tulip, explores the significance of landscape value, and provides a clear reference for rational utilization.
Therefore, in this study, rose and tulip are used as experimental materials. These were collected using dynamic headspace collection method and ATD-GC/MS analysis technique combines the research and analysis of the diurnal variation of the aroma for further development and application research of roses and tulips in aromatic in the garden and provides a theoretical basis and research and improvement of the aroma components of aroma.
2 Experimental section
2.1 Materials
Selecting healthy, growing white tulip and red rose plants, used in this experiment was verified at the flowering stage as experimental materials cultivated in Xinjiang Academy of Forestry Shuixigou planting base in May 2018. The temperature range ranged from 19–31°C and relative humidity of 20–35%. The soil physical and chemical properties were weak alkaline (pH = 8.1) with organic matter of 36.06 g kg−1, and contained total N 2.7 g kg−1, CEC 15.49 cmol kg−1, and conductivity 2.24 s mol−1, soil mechanical composition: clay 15.24%, sand 21.34, and silt 63.42%. Sampling was done at different time points (9:00, 12:00, 15:00, 18:00, and 21:00), and each time point was done 3 times for the test.
2.2 Floral scent collection
A dynamic headspace method was used to collect the volatiles released from roses and tulip. An individual flower was put in a sampling bag (355 mm × 355 mm; Reynolds, USA), which releases and absorbs a few volatiles. A stainless-steel tube (0.25 × 3.5; USA) containing Tenax-TA (60–80 mesh) was used as the volatile trap, which avoided touching the flower. A Portable air sampler (QC 1; Beijing Municipal Institute of Labor Protection, China) served as the pump, and air filtered through a drying column filled with charcoal was pumped into the bag. In a short time, extract the air in the sampling bag, connect the adsorption tube, and then fill the bag with the air filtered by activated carbon. When the air in the bag reaches 3/4 full, stop filling and start to enter the headspace circulation sampling. The collected volatile substances are absorbed into the stainless steel adsorption tube containing Tenax-TA adsorption material. The volatiles were collected for 15 min at a flow rate of 300 mL to min−1 for each flower. Each variety was sampled 3 times during the same test session. Empty bags served as control samples. Afterward, the stainless steel tubes were sealed and placed in a refrigerator.
2.3 Floral scent analysis
2.3.1 Thermal desorption conditions
The ATD-GC/MS technique was used to analyze the floral scent. Install the adsorption tube with volatile components on the thermal desorption device. The floral scent collected in the stainless steel tube was desorbed by heating in an ATD (TurboMatrix 350; PerkinElmer Corp. Norwalk, CT, USA). Set the first desorption temperature as 250°C and the first desorption time as 10 min on the thermal desorption device, so that the volatile components absorbed in the adsorption tube can be resolved and brought into the cold well by carrier gas for condensation and concentration. The temperature of cold hydrazine is −30°C, the second desorption temperature is 300°C, and the second desorption time is 5 min, vaporize the concentrated volatiles in the cold trap and directly enter the gas chromatographic column head of GC-MS, the injection time is 1 min. Carrier gas (helium) pressure: 20 kPa, sample inlet temperature: 260°C.
2.3.2 Chromatographic conditions
The GC (7890 A Network GC System; Agilent Technologies, Santa Clara, CA, USA) was equipped with a capillary TR-5MS column (60 m × 0.25 mm, with a 0.25 µm film thickness). Carrier gas: high purity helium (purity ≥ 99.999%); programmed temperature rise: initial temperature 40°C, hold for 2 min, rise to 280°C at the rate of 6°C/min, hold for 3 min; inlet temperature: 250°C; split ratio: 1:1.
2.3.3 Mass spectrometry conditions
The MS (5975C Network MSD; Agilent Technologies, Santa Clara, CA, USA) was operated in EI source energy: 70 eV; MS interface temperature: 250°C; ion source temperature: 250°C; quadruple temperature: 150°C; sampling mode: full scan; EM voltage: 1576 V; mass scanning range: M/Z 40–500.
Analysis result of floral composition and relative content of rose
| No. | Retention time | Main component | Relative content/% | ||||
|---|---|---|---|---|---|---|---|
| 9:00 | 12:00 | 15:00 | 18:00 | 21:00 | |||
| Alcohol | |||||||
| 1 | 3.92 | Ethanol, 2-(methylamino)- | 0.294 | 1.434 | 1.237 | ||
| 2 | 4.104 | Ethanol | 0.281 | 0.786 | 1.482 | ||
| 3 | 10.593 | 3-Hexen-1-ol, (Z)- | 0.746 | 1.111 | |||
| 4 | 15.421 | 1-Hexanol, 2-ethyl- | 1.12 | ||||
| 5 | 15.952 | Benzyl alcohol | 0.421 | 1.523 | 0.999 | ||
| 6 | 18.139 | Phenylethyl alcohol | 29.432 | 59.474 | 49.44 | 12.831 | 1.623 |
| 7 | 20.699 | Citronellol | 17.976 | 13 | 18.301 | 0.725 | 0.623 |
| 8 | 21.245 | Geraniol | 16.147 | 5.321 | 2.808 | ||
| 9 | 23.502 | Propyl mercaptan | 0.909 | ||||
| Fatty hydrocarbon | |||||||
| 10 | 4.564 | Methylene chloride | 7.307 | 1.482 | 1.191 | 14.277 | 28.56 |
| 11 | 4.721 | Pentane, 2-methyl- | 1.197 | 0.567 | 1.363 | 1.891 | |
| 12 | 4.856 | Pentane, 3-methyl- | 1.004 | 0.934 | 1.065 | ||
| 13 | 5.018 | n-Hexane | 7.82 | 3.893 | 1.047 | 8.956 | 16.69 |
| 14 | 5.489 | Trichloromethane | 1.923 | 2.104 | 5.607 | ||
| 15 | 5.922 | Hexane, 2-methyl- | 0.519 | 0.547 | |||
| 16 | 6.003 | Cyclohexane | 0.499 | ||||
| 17 | 6.074 | Hexane, 3-methyl- | 0.706 | ||||
| 18 | 9.127 | Hexanal | 1.23 | 0.634 | |||
| 19 | 17.132 | Undecane | 0.29 | 0.771 | 1.295 | ||
| 20 | 19.714 | Dodecane | 0.693 | ||||
| 21 | 22.144 | Tridecane | 0.499 | 0.905 | 0.663 | ||
| 22 | 23.833 | Dodecane, 2,6,10-trimethyl- | 0.563 | ||||
| 23 | 24.428 | Tetradecane | 0.962 | 0.597 | 2.754 | 1.737 | |
| 24 | 25.678 | Tetradecane, 4,11-dimethyl- | 0.411 | 1.079 | 1.147 | 1.067 | |
| 25 | 25.781 | Heneicosane | 0.751 | 0.582 | |||
| 26 | 26.577 | Pentadecane | 1.301 | 5.158 | 3.406 | ||
| 27 | 28.612 | Hexadecane | 0.892 | 0.639 | 3.669 | 1.03 | |
| 28 | 28.607 | Octadecane | 3.669 | ||||
| 29 | 29.451 | Hentriacontane | 0.731 | ||||
| 30 | 30.528 | Heptadecane | 1.536 | ||||
| Terpenes | |||||||
| 31 | 12.775 | Alpha-pinene | 0.561 | ||||
| 32 | 15.546 | d-Limonene | 0.541 | 0.502 | |||
| 33 | 15.849 | Beta-Ocimene | 0.328 | ||||
| 34 | 23.427 | 2,6-Octadiene-2,6-dimethyl- | 0.673 | 3.218 | |||
| 35 | 25.381 | Longifolene | 2.382 | 1.431 | 2.33 | 0.785 | |
| 36 | 26.847 | Alpha-Farnesene | 1.842 | 0.625 | |||
| Aldehydes | |||||||
| 37 | 6.653 | Acetaldehyde | 1.465 | ||||
| 38 | 14.804 | Octanal | 0.882 | ||||
| 39 | 17.554 | Nonanal | 0.527 | 2.519 | |||
| 40 | 20.168 | Decanal | 1.363 | ||||
| 41 | 21.088 | 2,6-Octadienal, 3,7-dimethyl-, (Z)- | 0.433 | ||||
| 42 | 21.792 | Citral | 1.018 | ||||
| Ketones | |||||||
| 43 | 4.277 | Acetone | 2.791 | 0.757 | 0.67 | 7.507 | 10.642 |
| 44 | 14.247 | 5-Hepten-2-one, 6-methyl- | 0.861 | 0.514 | 0.501 | 2.566 | 0.64 |
| 45 | 16.953 | Acetophenone | 1.685 | 0.436 | |||
| Esters | |||||||
| 46 | 4.472 | Acetic acid, methyl ester | 0.594 | ||||
| 47 | 5.278 | Ethyl acetate | 1.348 | 0.917 | 2.744 | 3.314 | |
| 48 | 21.576 | Acetic acid, 2-phenylethyl ester | 0.716 | 1.281 | 2.274 | ||
| 49 | 24.119 | Geranyl acetate | 0.304 | 0.605 | 0.709 | ||
| Arenes | |||||||
| 50 | 6.058 | Benzene | 1.522 | 1.822 | |||
| 51 | 8.298 | Toluene | 0.567 | 1.171 | 1.577 | ||
| 52 | 10.821 | Ethylbenzene | 0.758 | 1.146 | 1.284 | ||
| 53 | 11.081 | p-Xylene | 1.105 | 0.646 | 1.75 | 2.174 | |
| 54 | 11.768 | Benzene, 1,3-dimethyl- | 0.545 | 1.132 | 1.561 | ||
| Others | |||||||
| 55 | 6.62 | Mercaptamine | 0.761 | ||||
| 56 | 14.047 | Benzaldehyde | 2.537 | 0.742 | |||
| 57 | 19.205 | Benzoic acid | 0.497 | 2.12 | |||
| 58 | 20.228 | Naphthalene | 0.954 | ||||
| 59 | 21.576 | ||||||
| 60 | 22.956 | Naphthalene, 2-methyl | 0.55 | ||||
| 61 | 23.946 | Eugenol | 1.74 | 9.696 | |||
2.4 Data analysis
Data processing and mass spectrometry retrieval: using the NIST 11 and WIEIY Library in the TurboMass Version 5.4.2 software of GC-MS, we can automatically retrieve and analyze the mass spectrum data of the components, and search all the results and refer to the relevant standard maps for checking and supplemental retrieval. The composition of each volatile matter is qualitative, and the relative percentage content of the components in the total volatiles is calculated by the method of the total ion flow peak area normalization.
Ethical approval: The conducted research is not related to either human or animal use.
3 Results and discussion
3.1 Analysis of the composition of floral scent
Figure 1 showed the chromatographic profiles of the floral scent emitted from rose and tulip at different time points, and a significant difference was found.
According to Table 2, 70 volatile compounds were identified in five time points. They were divided into eight kinds, including alcohols, fatty hydrocarbon, terpenes, aldehydes, ketones, esters, and other substances. The variety and release of volatile substances of flower fragrance at different time periods were different. Of all the ingredients, the volatilization of alpha-Farnesene was the largest, and at 21:00 it accounted for 30.7% of the total flower fragrance release. Followed by ethanol, pentadecane, beta-ocimene, longifolene, caryophyllene, and acetone, these may be the main sources of the smell of tulip. The composition of volatile substances in the diurnal variation showed a law that decreased first and then increased. At 15:00, the least volatile substances were detected (26 species), and the most volatile substances released at 9:00 were 44 species. Among the aroma components of the tulip, the number of fatty hydrocarbons (20 species) is the largest, and the number of terpenes is the least, only three kinds of compounds. The proportion of terpenes, arenes, and fatty hydrocarbons accounts for most of the results.
Analysis result of floral composition and relative content of tulip
| No. | Retention time | Main component | Relative content/% | ||||
|---|---|---|---|---|---|---|---|
| 9:00 | 12:00 | 15:00 | 18:00 | 21:00 | |||
| Alcohol | |||||||
| 1 | 3.909 | Glycidol | 0.387 | 0.925 | 1.67 | 2.16 | |
| 2 | 4.077 | Ethanol | 2.335 | 3.661 | 4.075 | 11.356 | 6.46 |
| 3 | 4.71 | 1-Propanol, 3-ethoxy- | 2.011 | 0.734 | 1.445 | 0.829 | |
| 4 | 6.415 | Silanediol, dimethyl- | 0.904 | 1.284 | |||
| 5 | 10.442 | 3-Hexen-1-ol, (E)- | 0.659 | 1.054 | |||
| 6 | 10.61 | 3-Hexen-1-ol | 0.847 | 13.548 | 22.217 | 4.288 | 1.138 |
| 7 | 15.432 | 1-Hexanol, 2-ethyl- | 0.388 | ||||
| 8 | 19.248 | 1-Nonanol | 0.696 | ||||
| Fattyhydrocarbon | |||||||
| 9 | 4.542 | Methylene chloride | 11.847 | 2.239 | 2.437 | 9.487 | 4.193 |
| 10 | 5.013 | n-Hexane | 10.425 | 1.485 | 0.858 | 5.985 | |
| 11 | 5.468 | Trichloromethane | 3.544 | ||||
| 12 | 5.895 | Hexane, 2-methyl- | 0.599 | ||||
| 13 | 6.599 | Propane | 1.17 | ||||
| 14 | 8.634 | 1-Octene | 0.716 | ||||
| 15 | 8.818 | Octane | 0.515 | 1.375 | |||
| 16 | 11.568 | Nonane | 0.348 | 0.824 | 0.747 | ||
| 17 | 17.127 | Undecane | 0.352 | ||||
| 18 | 24.423 | Tetradecane | 0.349 | 0.654 | 1.17 | ||
| 19 | 25.651 | Hentriacontane | 0.8 | ||||
| 20 | 25.765 | Decane, 3,8-dimethyl- | 0.649 | ||||
| 21 | 26.572 | Pentadecane | 1.063 | 1.656 | 1.337 | 3.056 | 1.058 |
| 22 | 28.612 | Hexadecane | 0.556 | 0.623 | 0.77 | 1.917 | 0.629 |
| 23 | 29.435 | Heneicosane | 1.623 | 0.585 | |||
| 24 | 30.463 | 2-Hexene, 2,5,5-trimethyl- | 2.528 | 7.101 | 7.287 | 3.343 | |
| 25 | 30.512 | Heptadecane | 1.332 | ||||
| 26 | 33.511 | Eicosane | 1.187 | ||||
| 27 | 33.992 | Heptadecane | 0.933 | ||||
| 28 | 36.12 | Nonadecane | 1.534 | ||||
| Terpenes | |||||||
| 29 | 15.546 | Alpha-pinene | 0.643 | ||||
| 30 | 15.86 | Beta-ocimene | 0.768 | 7.755 | 5.065 | 1.084 | 3.069 |
| 31 | 25.37 | Longifolene | 1.03 | 1.693 | 3.075 | 4.487 | 1.033 |
| 32 | 25.473 | Caryophyllene | 1.279 | 1.594 | 1.973 | 1.265 | 0.872 |
| 33 | 26.853 | Alpha-Farnesene | 12.008 | 20.056 | 23.752 | 12.985 | 30.734 |
| Aldehydes | |||||||
| 34 | 4.84 | Methacrolein | 1.548 | 0.796 | |||
| 35 | 6.675 | Acetaldehyde | 1.236 | 2.62 | 1.48 | ||
| 36 | 6.702 | Pentanal | 1.36 | ||||
| 37 | 9.116 | Hexanal | 0.65 | 1.103 | 1.029 | ||
| 38 | 14.025 | Benzaldehyde | 1.322 | 0.65 | 1.424 | 4.114 | |
| 39 | 14.804 | Octanal | 0.446 | 0.7 | 0.661 | ||
| 40 | 16.293 | Benzeneacetaldehyde | 0.385 | ||||
| 41 | 20.168 | Decanal | 1.118 | 0.898 | 1.042 | 1.716 | |
| Ketones | |||||||
| 42 | 4.255 | Acetone | 7.674 | 5.135 | 2.363 | 5.411 | 5.298 |
| 43 | 5.089 | 2-Butanone | 1.201 | 0.9 | 0.854 | 1.292 | |
| 44 | 11.876 | 3-Nonanone | 0.291 | ||||
| 45 | 14.274 | 5-Hepten-2-one, 6-methyl- | 1.436 | 1.838 | 1.408 | 0.637 | |
| 46 | 16.921 | Acetophenone | 0.779 | 0.859 | 1.439 | ||
| 47 | 33.592 | Megestrol acetate | 0.572 | ||||
| Esters | |||||||
| 48 | 5.257 | Ethyl acetate | 1.316 | 0.777 | |||
| 49 | 17.581 | Benzoic acid, methyl ester | 2.469 | 6.116 | 2.692 | 2.944 | 2.289 |
| 50 | 20.212 | Methyl salicylate | 0.984 | ||||
| 51 | 35.508 | Dibutyl phthalate | 0.971 | ||||
| 52 | 38.782 | 2-Propenoic acid, 3-(4-methoxyphenyl)-, 2-ethylhexyl ester | 0.83 | 1.45 | |||
| 53 | 41.105 | 2-Propenoic acid, 3-(4-methoxyphenyl)-, 2-ethylhexyl ester | 0.962 | ||||
| Arenes | |||||||
| 54 | 6.042 | Benzene | 0.833 | ||||
| 55 | 8.288 | Toluene | 14.262 | 2.598 | 1.065 | 0.803 | |
| 56 | 10.815 | Ethylbenzene | 0.59 | ||||
| 57 | 11.07 | p-Xylene | 1.202 | ||||
| 58 | 11.757 | Benzene, 1,3-dimethyl- | 0.48 | ||||
| 59 | 19.362 | Benzene, 1,4-dimethoxy- | 1.904 | 3.23 | 3.472 | 2.652 | 1.839 |
| 60 | 21.895 | 3,5-Dimethoxytoluene | 7.38 | 6.833 | 5.888 | 8.912 | 6.159 |
| Others | |||||||
| 61 | 4.932 | Acetic acid | 0.858 | 0.632 | 0.885 | ||
| 62 | 4.997 | 2-Nonenoic acid | 0.85 | ||||
| 63 | 14.22 | Phenol | 1.263 | ||||
| 64 | 14.734 | 3-Hexen-1-ol, acetate, (E)- | 1.511 | 2.126 | |||
| 65 | 16.629 | 5H-Naphtho[2,3-c]carbazole | 0.488 | ||||
| 66 | 19.178 | Benzoic acid | 0.733 | 2.039 | |||
| 67 | 23.492 | Phthalic anhydride | 0.582 | 1.259 | |||
| 68 | 31.27 | 1-Methyl-1,3,3-triphenylindane | 0.51 | ||||
| 69 | 34.366 | 2,6-Diphenylpyridine | 0.933 | ||||
| 70 | 40.358 | [1,1′:3′,1″-Terphenyl]-2′-ol | 0.941 | ||||

Total ion chromatography profiles of floral scent emitted from rose and tulip during the daytime ((a) Rose, (b) Tulip, (A) 9:00, (B) 12:00, (C) 15:00, (D) 18:00, (E) 21:00).
3.2 Analysis of diurnal variation of floral scent
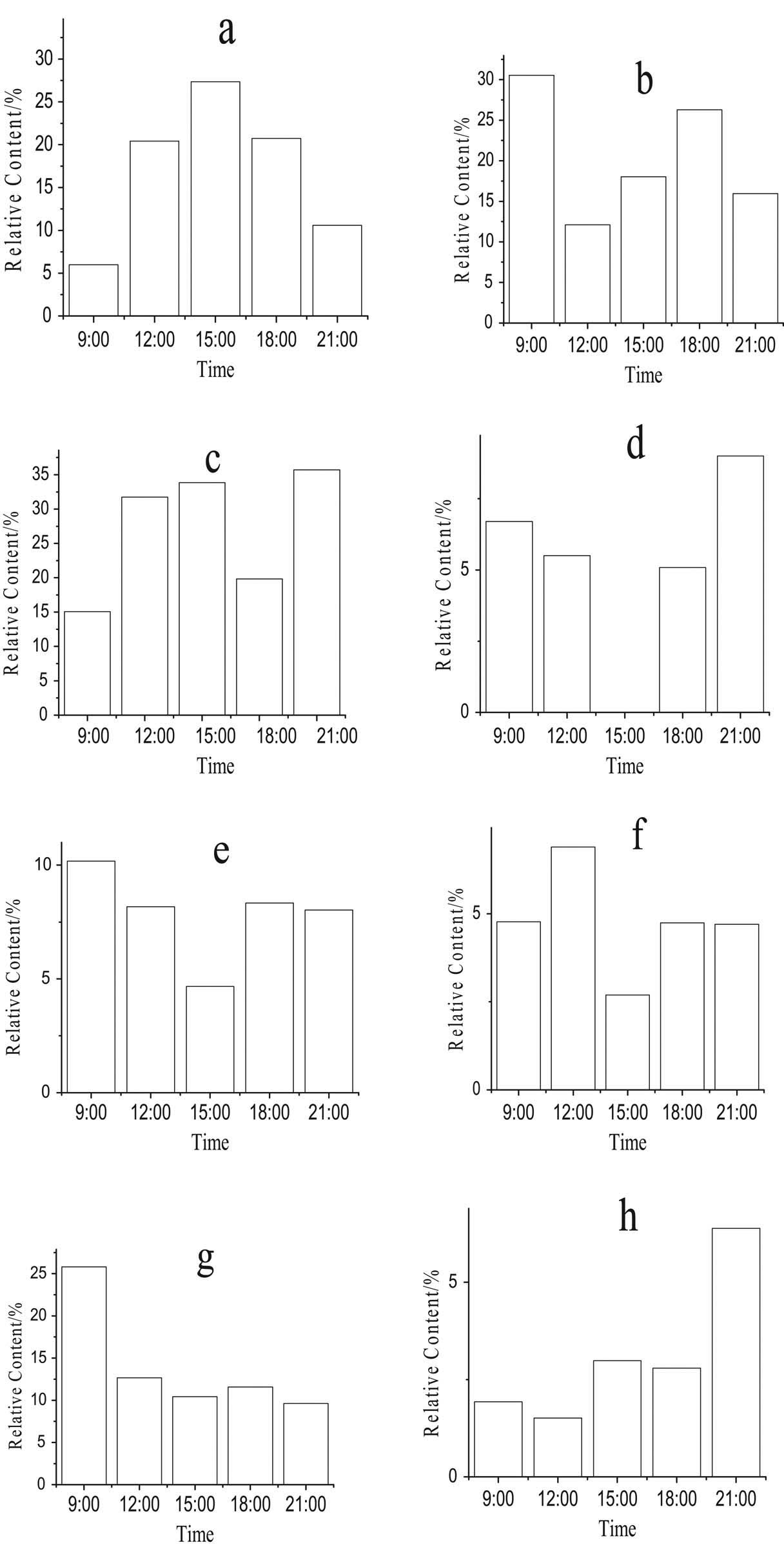
There is a significant difference in the release of the aroma at different periods of the day in a rose (as shown in Table 1 and Figure 2). Among all volatile species, alcohols exhibited the highest release amount in volatile substances at 9:00, 12:00, and 15:00, and the highest release number of fatty hydrocarbons in volatile substances in 18:00 and 21:00 for two periods. At 15:00, the light is the strongest, but the aroma of the aroma is the least, which may be affected by transpiration. Terpenes, aldehydes, aromatic hydrocarbons, and other classes showed significant differences at 15:00, and aldehydes and aromatic hydrocarbons were released at 15:00 at zero. Fatty hydrocarbons, aldehydes, ketones, and aromatic hydrocarbons, and the total release rate of volatile substances is V type at 9:00, 12:00, 15:00, 18:00, and 21:00, that is to say, descend first and then rise.

The diurnal variation of total release amount of floral scent from rose ((a) alcohol, (b) fatty hydrocarbon, (c) terpenes, (d) aldehydes, (e) ketones, (f) esters, (g) arenes, (h) others).
Figure 3 shows the diurnal variation of the total release amount of aroma components of tulip. At different time points, the relative content of aroma components is distinct. The terpenes were at 12:00, 15:00, and 21:00 three time points, and the volatile substances showed the highest release amount. At 15:00, the light is the strongest, but the aroma of the aroma is the least, which may be affected by transpiration. The release of aldehydes at 15:00 is zero. At five time points, 9:00, 12:00, 15:00, 18:00, and 21:00, the release of alcohol substances first increased and then decreased, whereas in aldehydes, the amount of alcohol released first decreased and then increased.

The diurnal variation of total release amount of floral scent from tulip ((a) alcohol, (b) fattyhydrocarbon, (c) terpenes, (d) aldehydes, (e) ketones, (f) esters, (g) arenes, (h) others).
3.3 Discussion
Previous reports have concluded that the aroma of rose results from major volatiles with high relative contents. However, the composition of volatile organic compounds (VOCs) obtained from oils or plant organs is significantly different from those produced and emitted by living plant systems. The living plant approach better reveals the composition of volatile compounds, resulting in more accurate and reliable results [21]. The VOCs emitted from six commercial rose cultivars were collected in vivo by HS-SPME in green-houses and analyzed by gas chromatography coupled with mass spectrometry, which have abundant terpenes, aromatic hydrocarbons, and esters [22]. Linalool, a-pinene, b-pinene, and limonene, these volatile moieties were also detected by Knudsen, which is consistent with our analysis [23,24]. Used HS-SPME detected citronellol and the 2-phenylethyl alcohol, which are commonly found in the essential oil of Rosa, were detected in our study [22,25].
Oyama-Okubo [26] found two aromatics, two terpenoids and minor volatiles, which are consistent with our research. Benzyl alcohol and linalool were produced by Oriental hybrid lily flowers with a mild pleasant aroma. Although these two minor compounds were not detected in this study, the quantities of ethanol, beta-ocimene, longifolene, caryophyllene, and other compounds identified in Tulipa gesneriana L. make the fragrance for some consumers [27]. We found longifolene and caryophyllene are so-called green leaf volatiles (GLVs), which are de novo synthesized after herbivore damage as indicators of tissue disruption to the plant [28].
Our results confirmed that the emission of volatiles fluctuates in a diurnal rhythm before anthesis. This diurnal rhythm was also reported in Rosa rugosa Thunb. and Tulipa gesneriana L., producing high level of volatiles at night from flowers after anthesis. There is a significant difference in the release of the aroma at different periods of the day in rose and tulip in this study. Floral production is of great significance in plant biology and ecology. It promotes pollination through interaction with insects and other organisms, thus playing a role in reproduction, and it also provides value for many horticultural flowers with commercial value [29].
4 Conclusion
Limonene terpene compounds, α-pinene, β-pinene, and linalool alcohols can enhance the freshness of the air and can regulate the nervous system of the human body, can make people relax, has obvious sedative effect, with health effects on the human body. Roses and tulips are all aromatic plants used for landscaping. ATD-GC/MS analysis detected 62 and 70 compounds in the floral scent of rose and tulip, respectively. Volatile compounds were categorized as alcohols, fatty hydrocarbon, terpenes, aldehydes, ketones, esters, and other substances. There is a significant difference in the release of the aroma at different periods (9:00, 12:00, 15:00, 18:00, 21:00) of day in rose and tulip. Phenylethyl alcohol, citronellol, methylene chloride, hexane, and acetone may be the main source of the smell of roses. Ethanol, alpha-Farnesene, pentadecane, beta-ocimene, longifolene, caryophyllene, and acetone may be the main source of the smell of tulip. Research of roses and tulips in aromatic in the garden provides a theoretical basis and research and improvement of the aroma components of aroma.
Acknowledgments
This work was supported by special fund for basic research of forest, fruit industry (XJLG201906), and special fund for forestry science and technology of Xin Jiang China (XLK2014-049).
Conflict of interest: The authors of this paper declare that there is no conflict of interest in relation to the publication of this paper.
References
[1] Ramya M, An HR, Yun SB, Reddy KE, Park PH. Orchid floral volatiles: biosynthesis genes and transcriptional regulations. Sci Hortic. 2018;235:62–9.10.1016/j.scienta.2017.12.049Suche in Google Scholar
[2] Muhlemann JK, Klempien A, Dudareva N. Floral volatiles: from biosynthesis to function. Plant Cell Environ. 2014 Aug;37(8):1936–49.10.1111/pce.12314Suche in Google Scholar
[3] Spitzer-Rimon B, Cna’ani A, Vainstein A. Virus-aided gene expression and silencing using TRV for functional analysis of floral scent-related genes. Methods Mol Biol. 2013;975:139–48.10.1007/978-1-62703-278-0_10Suche in Google Scholar
[4] Spitzer-Rimon B, Marhevka E, Barkai O, Marton I, Edelbaum O, Masci T, et al. EOBII, a gene encoding a flower-specific regulator of phenylpropanoid volatiles’ biosynthesis in petunia. Plant Cell 2010;22(6):1961–76.10.1105/tpc.109.067280Suche in Google Scholar
[5] Ying K, Ming S, Pan HT. Advances in metabolism and regulation of floral scent. J Beijing For Univ. 2012;34(2):146–54.Suche in Google Scholar
[6] Oyamaokubo N. Plant physiological studies of floral scent in petunia. Aroma Res 2009;10(4):378–82.Suche in Google Scholar
[7] Zhang HX, Leng PS, Hu ZH, Zhao J, Wang WH, Xu F. The floral scent emitted from Lilium’Siberia’at different flowering stages and diurnal variation. Yuan Yi Xue Bao. 2013;40(4):693–702.Suche in Google Scholar
[8] Vega CD, Herrera CM, Dötterl S. Floral volatiles play a key role in specialized ant pollination. Perspect Plant Ecol Evol Syst. 2014;16(1):32–42.10.1016/j.ppees.2013.11.002Suche in Google Scholar
[9] Hendel-Rahmanim K, Masci T, Vainstein A, Weiss D. Diurnal regulation of scent emission in rose flowers. Planta 2007 Nov;226(6):1491–9.10.1007/s00425-007-0582-3Suche in Google Scholar
[10] Wang CL, Li XL, Hu ZH, Leng PS, Duan SS. Daytime variation of floral scent of Prunus davidiana Carr. Heilongjiang Nongye Kexue. 2015;(3):55–60.Suche in Google Scholar
[11] Xue D, Ai JG, Gao Y, Ding QQ, Song ZY, Yin Q. Composition and diurnal variation analysis of volatile organic compounds in Gardenia jasminoides form grandiflora. Guangxi Zhi Wu. 2012;32(4):551–6.Suche in Google Scholar
[12] Sun M, Liu H, Zhang QX, Chen HJ. Preliminary studies on major aroma ingredients of three ground-cover chrysanthemum cultivars. Shenyang Nongye Daxue Xuebao. 2008;39(1):92–5.Suche in Google Scholar
[13] Li HD, Gao Y, Jin YJ. The daily dynamic variances of the VOCs releasing from flower of Siberia kirilowii (REGEL) Maxim. Neimenggu Nongye Daxue Xuebao Ziran Kexue Ban. 2004;25(2):55–60.Suche in Google Scholar
[14] Fernandes L, Casal S, Pereira JA, Malheiro R, Rodrigues N, Saraiva JA, et al. Borage, calendula, cosmos, Johnny Jump up, and pansy flowers: volatiles, bioactive compounds, and sensory perception. Eur Food Res Technol. 2019;245(3):593–606.10.1007/s00217-018-3183-4Suche in Google Scholar
[15] Choudhary DK, Sharma AK, Agarwal P, Varma A, Tuteja N. Volatiles and Food Security. Role of Volatiles in Agro-ecosystems. Springer Nature Singapore Pte Ltd. 2017.10.1007/978-981-10-5553-9Suche in Google Scholar
[16] Mccaffrey CA, Maclachlan J, Brookes BI. Adsorbent tube evaluation for the preconcentration of volatile organic compounds in air for analysis by gas chromatography mass spectrometry. Analyst. 1994;119(5):1891–908.10.1039/AN9941900897Suche in Google Scholar
[17] Clément M, Arzel S, Le Bot B, Seux R, Millet M. Adsorption/thermal desorption-GC/MS for the analysis of pesticides in the atmosphere. Chemosphere 2000;40(1):49–56.10.1016/S0045-6535(99)00230-1Suche in Google Scholar
[18] Pankow JF, Kristensen TJ, Isabelle LM. Effects of flow rate and temperature on the thermal desorbability of polycyclic aromatic hydrocarbons and pesticides from Tenax-GC. Anal Chem. 1983;55(13):23–7.10.1021/ac00263a042Suche in Google Scholar
[19] Esteban JL, Martínez-Castro I, Morales R, Fabrellas B, Sanz J. Rapid identification of volatile compounds in aromatic plants by automatic thermal desorption-GC-MS. Chromatographia. 1996;43(1–2):63–72.10.1007/BF02272823Suche in Google Scholar
[20] Zhang Y. Analysis of Volatiles from Jacaranda mimosifoliaD. Don by ATD-GC/MS and Evaluation for Its Horticultural Fragrance. Anhui Nongye Kexue. 2013;41:4450–1.Suche in Google Scholar
[21] Avellaneda J. Behavioural responses of Frankliniella occidentalis to volatile organic compounds of rose cultivar. Master Dissertation, Universidad Militar Nueva, Granada, Bogotá, Colombia Beck JJ, Torto B, Vannette RL, 2018.Suche in Google Scholar
[22] Avellaneda J, Daíz M, Coy-Barrera E, Rodrgíuez D, Osorio C. Rose volatile compounds allow the design of new control strategies for the western fower thrips (Frankliniella occidentalis). J Pest Sci. 2019;7(18):1–28.Suche in Google Scholar
[23] Knudsen JT, Eriksson R, Gershenzon J, Stahl B. Diversity and distribution of floral scent. Bot Rev 2006;72(1):1–120.10.1663/0006-8101(2006)72[1:DADOFS]2.0.CO;2Suche in Google Scholar
[24] Krokou A, Stylianou M, Agapiou A, Stylianou M, Agapiou A. Assessing the volatile profile of carob tree (Ceratonia siliqua L.). Environ Sci Pollut Res Int. 2019 Dec;26(35):35365–74.10.1007/s11356-019-04664-7Suche in Google Scholar
[25] Ibrahim M, Agarwal M, Hardy G, Ren Y. Optimized method to analyze rose plant volatile organic compounds by HS-SPMEGC-FID/MSD. J Biosci Med. 2017;5:13–31.Suche in Google Scholar
[26] Oyama-Okubo N, Nakayama M, Ichimura K. Control of floral scent emission by inhibitors of phenylalanine ammonialyase in cut Flower of Lilium cv. ‘Casa Blanca’. J Jpn Soc Hortic Sci. 2011;80(2):190–9.10.2503/jjshs1.80.190Suche in Google Scholar
[27] Kim JH, Roh MS, Dickens JC, Lee AK, Suh JK, Roh M, et al. Volatiles emitted from single flower buds of a Lilium longiflorum × L. callosum interspecific hybrid and its parents. Hortic Environ Biotechnol. 2014;55(5):410–4.10.1007/s13580-014-0047-0Suche in Google Scholar
[28] Beck JJ, Alborn HT, Block AK, Christensen SA, Hunter CT, Rering CC, et al. Interactions among plants, insects, and microbes: elucidation of inter-organismal chemical communications in agricultural ecology. J Agric Food Chem. 2018 Jul;66(26):6663–74.10.1021/acs.jafc.8b01763Suche in Google Scholar
[29] Du F, Fan J, Wang T, Wu Y, Grierson D, Gao Z, et al. Identification of differentially expressed genes in flower, leaf and bulb scale of Lilium oriental hybrid ‘Sorbonne’ and putative control network for scent genes. BMC Genom. 2017 Nov;18(1):899–913.10.1186/s12864-017-4303-4Suche in Google Scholar
© 2020 Lu Yang et al., published by De Gruyter
This work is licensed under the Creative Commons Attribution 4.0 International License.
Artikel in diesem Heft
- Regular Articles
- Electrochemical antioxidant screening and evaluation based on guanine and chitosan immobilized MoS2 nanosheet modified glassy carbon electrode (guanine/CS/MoS2/GCE)
- Kinetic models of the extraction of vanillic acid from pumpkin seeds
- On the maximum ABC index of bipartite graphs without pendent vertices
- Estimation of the total antioxidant potential in the meat samples using thin-layer chromatography
- Molecular dynamics simulation of sI methane hydrate under compression and tension
- Spatial distribution and potential ecological risk assessment of some trace elements in sediments and grey mangrove (Avicennia marina) along the Arabian Gulf coast, Saudi Arabia
- Amino-functionalized graphene oxide for Cr(VI), Cu(II), Pb(II) and Cd(II) removal from industrial wastewater
- Chemical composition and in vitro activity of Origanum vulgare L., Satureja hortensis L., Thymus serpyllum L. and Thymus vulgaris L. essential oils towards oral isolates of Candida albicans and Candida glabrata
- Effect of excess Fluoride consumption on Urine-Serum Fluorides, Dental state and Thyroid Hormones among children in “Talab Sarai” Punjab Pakistan
- Design, Synthesis and Characterization of Novel Isoxazole Tagged Indole Hybrid Compounds
- Comparison of kinetic and enzymatic properties of intracellular phosphoserine aminotransferases from alkaliphilic and neutralophilic bacteria
- Green Organic Solvent-Free Oxidation of Alkylarenes with tert-Butyl Hydroperoxide Catalyzed by Water-Soluble Copper Complex
- Ducrosia ismaelis Asch. essential oil: chemical composition profile and anticancer, antimicrobial and antioxidant potential assessment
- DFT calculations as an efficient tool for prediction of Raman and infra-red spectra and activities of newly synthesized cathinones
- Influence of Chemical Osmosis on Solute Transport and Fluid Velocity in Clay Soils
- A New fatty acid and some triterpenoids from propolis of Nkambe (North-West Region, Cameroon) and evaluation of the antiradical scavenging activity of their extracts
- Antiplasmodial Activity of Stigmastane Steroids from Dryobalanops oblongifolia Stem Bark
- Rapid identification of direct-acting pancreatic protectants from Cyclocarya paliurus leaves tea by the method of serum pharmacochemistry combined with target cell extraction
- Immobilization of Pseudomonas aeruginosa static biomass on eggshell powder for on-line preconcentration and determination of Cr (VI)
- Assessment of methyl 2-({[(4,6-dimethoxypyrimidin-2-yl)carbamoyl] sulfamoyl}methyl)benzoate through biotic and abiotic degradation modes
- Stability of natural polyphenol fisetin in eye drops Stability of fisetin in eye drops
- Production of a bioflocculant by using activated sludge and its application in Pb(II) removal from aqueous solution
- Molecular Properties of Carbon Crystal Cubic Structures
- Synthesis and characterization of calcium carbonate whisker from yellow phosphorus slag
- Study on the interaction between catechin and cholesterol by the density functional theory
- Analysis of some pharmaceuticals in the presence of their synthetic impurities by applying hybrid micelle liquid chromatography
- Two mixed-ligand coordination polymers based on 2,5-thiophenedicarboxylic acid and flexible N-donor ligands: the protective effect on periodontitis via reducing the release of IL-1β and TNF-α
- Incorporation of silver stearate nanoparticles in methacrylate polymeric monoliths for hemeprotein isolation
- Development of ultrasound-assisted dispersive solid-phase microextraction based on mesoporous carbon coated with silica@iron oxide nanocomposite for preconcentration of Te and Tl in natural water systems
- N,N′-Bis[2-hydroxynaphthylidene]/[2-methoxybenzylidene]amino]oxamides and their divalent manganese complexes: Isolation, spectral characterization, morphology, antibacterial and cytotoxicity against leukemia cells
- Determination of the content of selected trace elements in Polish commercial fruit juices and health risk assessment
- Diorganotin(iv) benzyldithiocarbamate complexes: synthesis, characterization, and thermal and cytotoxicity study
- Keratin 17 is induced in prurigo nodularis lesions
- Anticancer, antioxidant, and acute toxicity studies of a Saudi polyherbal formulation, PHF5
- LaCoO3 perovskite-type catalysts in syngas conversion
- Comparative studies of two vegetal extracts from Stokesia laevis and Geranium pratense: polyphenol profile, cytotoxic effect and antiproliferative activity
- Fragmentation pattern of certain isatin–indole antiproliferative conjugates with application to identify their in vitro metabolic profiles in rat liver microsomes by liquid chromatography tandem mass spectrometry
- Investigation of polyphenol profile, antioxidant activity and hepatoprotective potential of Aconogonon alpinum (All.) Schur roots
- Lead discovery of a guanidinyl tryptophan derivative on amyloid cascade inhibition
- Physicochemical evaluation of the fruit pulp of Opuntia spp growing in the Mediterranean area under hard climate conditions
- Electronic structural properties of amino/hydroxyl functionalized imidazolium-based bromide ionic liquids
- New Schiff bases of 2-(quinolin-8-yloxy)acetohydrazide and their Cu(ii), and Zn(ii) metal complexes: their in vitro antimicrobial potentials and in silico physicochemical and pharmacokinetics properties
- Treatment of adhesions after Achilles tendon injury using focused ultrasound with targeted bFGF plasmid-loaded cationic microbubbles
- Synthesis of orotic acid derivatives and their effects on stem cell proliferation
- Chirality of β2-agonists. An overview of pharmacological activity, stereoselective analysis, and synthesis
- Fe3O4@urea/HITh-SO3H as an efficient and reusable catalyst for the solvent-free synthesis of 7-aryl-8H-benzo[h]indeno[1,2-b]quinoline-8-one and indeno[2′,1′:5,6]pyrido[2,3-d]pyrimidine derivatives
- Adsorption kinetic characteristics of molybdenum in yellow-brown soil in response to pH and phosphate
- Enhancement of thermal properties of bio-based microcapsules intended for textile applications
- Exploring the effect of khat (Catha edulis) chewing on the pharmacokinetics of the antiplatelet drug clopidogrel in rats using the newly developed LC-MS/MS technique
- A green strategy for obtaining anthraquinones from Rheum tanguticum by subcritical water
- Cadmium (Cd) chloride affects the nutrient uptake and Cd-resistant bacterium reduces the adsorption of Cd in muskmelon plants
- Removal of H2S by vermicompost biofilter and analysis on bacterial community
- Structural cytotoxicity relationship of 2-phenoxy(thiomethyl)pyridotriazolopyrimidines: Quantum chemical calculations and statistical analysis
- A self-breaking supramolecular plugging system as lost circulation material in oilfield
- Synthesis, characterization, and pharmacological evaluation of thiourea derivatives
- Application of drug–metal ion interaction principle in conductometric determination of imatinib, sorafenib, gefitinib and bosutinib
- Synthesis and characterization of a novel chitosan-grafted-polyorthoethylaniline biocomposite and utilization for dye removal from water
- Optimisation of urine sample preparation for shotgun proteomics
- DFT investigations on arylsulphonyl pyrazole derivatives as potential ligands of selected kinases
- Treatment of Parkinson’s disease using focused ultrasound with GDNF retrovirus-loaded microbubbles to open the blood–brain barrier
- New derivatives of a natural nordentatin
- Fluorescence biomarkers of malignant melanoma detectable in urine
- Study of the remediation effects of passivation materials on Pb-contaminated soil
- Saliva proteomic analysis reveals possible biomarkers of renal cell carcinoma
- Withania frutescens: Chemical characterization, analgesic, anti-inflammatory, and healing activities
- Design, synthesis and pharmacological profile of (−)-verbenone hydrazones
- Synthesis of magnesium carbonate hydrate from natural talc
- Stability-indicating HPLC-DAD assay for simultaneous quantification of hydrocortisone 21 acetate, dexamethasone, and fluocinolone acetonide in cosmetics
- A novel lactose biosensor based on electrochemically synthesized 3,4-ethylenedioxythiophene/thiophene (EDOT/Th) copolymer
- Citrullus colocynthis (L.) Schrad: Chemical characterization, scavenging and cytotoxic activities
- Development and validation of a high performance liquid chromatography/diode array detection method for estrogen determination: Application to residual analysis in meat products
- PCSK9 concentrations in different stages of subclinical atherosclerosis and their relationship with inflammation
- Development of trace analysis for alkyl methanesulfonates in the delgocitinib drug substance using GC-FID and liquid–liquid extraction with ionic liquid
- Electrochemical evaluation of the antioxidant capacity of natural compounds on glassy carbon electrode modified with guanine-, polythionine-, and nitrogen-doped graphene
- A Dy(iii)–organic framework as a fluorescent probe for highly selective detection of picric acid and treatment activity on human lung cancer cells
- A Zn(ii)–organic cage with semirigid ligand for solvent-free cyanosilylation and inhibitory effect on ovarian cancer cell migration and invasion ability via regulating mi-RNA16 expression
- Polyphenol content and antioxidant activities of Prunus padus L. and Prunus serotina L. leaves: Electrochemical and spectrophotometric approach and their antimicrobial properties
- The combined use of GC, PDSC and FT-IR techniques to characterize fat extracted from commercial complete dry pet food for adult cats
- MALDI-TOF MS profiling in the discovery and identification of salivary proteomic patterns of temporomandibular joint disorders
- Concentrations of dioxins, furans and dioxin-like PCBs in natural animal feed additives
- Structure and some physicochemical and functional properties of water treated under ammonia with low-temperature low-pressure glow plasma of low frequency
- Mesoscale nanoparticles encapsulated with emodin for targeting antifibrosis in animal models
- Amine-functionalized magnetic activated carbon as an adsorbent for preconcentration and determination of acidic drugs in environmental water samples using HPLC-DAD
- Antioxidant activity as a response to cadmium pollution in three durum wheat genotypes differing in salt-tolerance
- A promising naphthoquinone [8-hydroxy-2-(2-thienylcarbonyl)naphtho[2,3-b]thiophene-4,9-dione] exerts anti-colorectal cancer activity through ferroptosis and inhibition of MAPK signaling pathway based on RNA sequencing
- Synthesis and efficacy of herbicidal ionic liquids with chlorsulfuron as the anion
- Effect of isovalent substitution on the crystal structure and properties of two-slab indates BaLa2−xSmxIn2O7
- Synthesis, spectral and thermo-kinetics explorations of Schiff-base derived metal complexes
- An improved reduction method for phase stability testing in the single-phase region
- Comparative analysis of chemical composition of some commercially important fishes with an emphasis on various Malaysian diets
- Development of a solventless stir bar sorptive extraction/thermal desorption large volume injection capillary gas chromatographic-mass spectrometric method for ultra-trace determination of pyrethroids pesticides in river and tap water samples
- A turbidity sensor development based on NL-PI observers: Experimental application to the control of a Sinaloa’s River Spirulina maxima cultivation
- Deep desulfurization of sintering flue gas in iron and steel works based on low-temperature oxidation
- Investigations of metallic elements and phenolics in Chinese medicinal plants
- Influence of site-classification approach on geochemical background values
- Effects of ageing on the surface characteristics and Cu(ii) adsorption behaviour of rice husk biochar in soil
- Adsorption and sugarcane-bagasse-derived activated carbon-based mitigation of 1-[2-(2-chloroethoxy)phenyl]sulfonyl-3-(4-methoxy-6-methyl-1,3,5-triazin-2-yl) urea-contaminated soils
- Antimicrobial and antifungal activities of bifunctional cooper(ii) complexes with non-steroidal anti-inflammatory drugs, flufenamic, mefenamic and tolfenamic acids and 1,10-phenanthroline
- Application of selenium and silicon to alleviate short-term drought stress in French marigold (Tagetes patula L.) as a model plant species
- Screening and analysis of xanthine oxidase inhibitors in jute leaves and their protective effects against hydrogen peroxide-induced oxidative stress in cells
- Synthesis and physicochemical studies of a series of mixed-ligand transition metal complexes and their molecular docking investigations against Coronavirus main protease
- A study of in vitro metabolism and cytotoxicity of mephedrone and methoxetamine in human and pig liver models using GC/MS and LC/MS analyses
- A new phenyl alkyl ester and a new combretin triterpene derivative from Combretum fragrans F. Hoffm (Combretaceae) and antiproliferative activity
- Erratum
- Erratum to: A one-step incubation ELISA kit for rapid determination of dibutyl phthalate in water, beverage and liquor
- Review Articles
- Sinoporphyrin sodium, a novel sensitizer for photodynamic and sonodynamic therapy
- Natural products isolated from Casimiroa
- Plant description, phytochemical constituents and bioactivities of Syzygium genus: A review
- Evaluation of elastomeric heat shielding materials as insulators for solid propellant rocket motors: A short review
- Special Issue on Applied Biochemistry and Biotechnology 2019
- An overview of Monascus fermentation processes for monacolin K production
- Study on online soft sensor method of total sugar content in chlorotetracycline fermentation tank
- Studies on the Anti-Gouty Arthritis and Anti-hyperuricemia Properties of Astilbin in Animal Models
- Effects of organic fertilizer on water use, photosynthetic characteristics, and fruit quality of pear jujube in northern Shaanxi
- Characteristics of the root exudate release system of typical plants in plateau lakeside wetland under phosphorus stress conditions
- Characterization of soil water by the means of hydrogen and oxygen isotope ratio at dry-wet season under different soil layers in the dry-hot valley of Jinsha River
- Composition and diurnal variation of floral scent emission in Rosa rugosa Thunb. and Tulipa gesneriana L.
- Preparation of a novel ginkgolide B niosomal composite drug
- The degradation, biodegradability and toxicity evaluation of sulfamethazine antibiotics by gamma radiation
- Special issue on Monitoring, Risk Assessment and Sustainable Management for the Exposure to Environmental Toxins
- Insight into the cadmium and zinc binding potential of humic acids derived from composts by EEM spectra combined with PARAFAC analysis
- Source apportionment of soil contamination based on multivariate receptor and robust geostatistics in a typical rural–urban area, Wuhan city, middle China
- Special Issue on 13th JCC 2018
- The Role of H2C2O4 and Na2CO3 as Precipitating Agents on The Physichochemical Properties and Photocatalytic Activity of Bismuth Oxide
- Preparation of magnetite-silica–cetyltrimethylammonium for phenol removal based on adsolubilization
- Topical Issue on Agriculture
- Size-dependent growth kinetics of struvite crystals in wastewater with calcium ions
- The effect of silica-calcite sedimentary rock contained in the chicken broiler diet on the overall quality of chicken muscles
- Physicochemical properties of selected herbicidal products containing nicosulfuron as an active ingredient
- Lycopene in tomatoes and tomato products
- Fluorescence in the assessment of the share of a key component in the mixing of feed
- Sulfur application alleviates chromium stress in maize and wheat
- Effectiveness of removal of sulphur compounds from the air after 3 years of biofiltration with a mixture of compost soil, peat, coconut fibre and oak bark
- Special Issue on the 4th Green Chemistry 2018
- Study and fire test of banana fibre reinforced composites with flame retardance properties
- Special Issue on the International conference CosCI 2018
- Disintegration, In vitro Dissolution, and Drug Release Kinetics Profiles of k-Carrageenan-based Nutraceutical Hard-shell Capsules Containing Salicylamide
- Synthesis of amorphous aluminosilicate from impure Indonesian kaolin
- Special Issue on the International Conf on Science, Applied Science, Teaching and Education 2019
- Functionalization of Congo red dye as a light harvester on solar cell
- The effect of nitrite food preservatives added to se’i meat on the expression of wild-type p53 protein
- Biocompatibility and osteoconductivity of scaffold porous composite collagen–hydroxyapatite based coral for bone regeneration
- Special Issue on the Joint Science Congress of Materials and Polymers (ISCMP 2019)
- Effect of natural boron mineral use on the essential oil ratio and components of Musk Sage (Salvia sclarea L.)
- A theoretical and experimental study of the adsorptive removal of hexavalent chromium ions using graphene oxide as an adsorbent
- A study on the bacterial adhesion of Streptococcus mutans in various dental ceramics: In vitro study
- Corrosion study of copper in aqueous sulfuric acid solution in the presence of (2E,5E)-2,5-dibenzylidenecyclopentanone and (2E,5E)-bis[(4-dimethylamino)benzylidene]cyclopentanone: Experimental and theoretical study
- Special Issue on Chemistry Today for Tomorrow 2019
- Diabetes mellitus type 2: Exploratory data analysis based on clinical reading
- Multivariate analysis for the classification of copper–lead and copper–zinc glasses
- Special Issue on Advances in Chemistry and Polymers
- The spatial and temporal distribution of cationic and anionic radicals in early embryo implantation
- Special Issue on 3rd IC3PE 2020
- Magnetic iron oxide/clay nanocomposites for adsorption and catalytic oxidation in water treatment applications
- Special Issue on IC3PE 2018/2019 Conference
- Exergy analysis of conventional and hydrothermal liquefaction–esterification processes of microalgae for biodiesel production
- Advancing biodiesel production from microalgae Spirulina sp. by a simultaneous extraction–transesterification process using palm oil as a co-solvent of methanol
- Topical Issue on Applications of Mathematics in Chemistry
- Omega and the related counting polynomials of some chemical structures
- M-polynomial and topological indices of zigzag edge coronoid fused by starphene
Artikel in diesem Heft
- Regular Articles
- Electrochemical antioxidant screening and evaluation based on guanine and chitosan immobilized MoS2 nanosheet modified glassy carbon electrode (guanine/CS/MoS2/GCE)
- Kinetic models of the extraction of vanillic acid from pumpkin seeds
- On the maximum ABC index of bipartite graphs without pendent vertices
- Estimation of the total antioxidant potential in the meat samples using thin-layer chromatography
- Molecular dynamics simulation of sI methane hydrate under compression and tension
- Spatial distribution and potential ecological risk assessment of some trace elements in sediments and grey mangrove (Avicennia marina) along the Arabian Gulf coast, Saudi Arabia
- Amino-functionalized graphene oxide for Cr(VI), Cu(II), Pb(II) and Cd(II) removal from industrial wastewater
- Chemical composition and in vitro activity of Origanum vulgare L., Satureja hortensis L., Thymus serpyllum L. and Thymus vulgaris L. essential oils towards oral isolates of Candida albicans and Candida glabrata
- Effect of excess Fluoride consumption on Urine-Serum Fluorides, Dental state and Thyroid Hormones among children in “Talab Sarai” Punjab Pakistan
- Design, Synthesis and Characterization of Novel Isoxazole Tagged Indole Hybrid Compounds
- Comparison of kinetic and enzymatic properties of intracellular phosphoserine aminotransferases from alkaliphilic and neutralophilic bacteria
- Green Organic Solvent-Free Oxidation of Alkylarenes with tert-Butyl Hydroperoxide Catalyzed by Water-Soluble Copper Complex
- Ducrosia ismaelis Asch. essential oil: chemical composition profile and anticancer, antimicrobial and antioxidant potential assessment
- DFT calculations as an efficient tool for prediction of Raman and infra-red spectra and activities of newly synthesized cathinones
- Influence of Chemical Osmosis on Solute Transport and Fluid Velocity in Clay Soils
- A New fatty acid and some triterpenoids from propolis of Nkambe (North-West Region, Cameroon) and evaluation of the antiradical scavenging activity of their extracts
- Antiplasmodial Activity of Stigmastane Steroids from Dryobalanops oblongifolia Stem Bark
- Rapid identification of direct-acting pancreatic protectants from Cyclocarya paliurus leaves tea by the method of serum pharmacochemistry combined with target cell extraction
- Immobilization of Pseudomonas aeruginosa static biomass on eggshell powder for on-line preconcentration and determination of Cr (VI)
- Assessment of methyl 2-({[(4,6-dimethoxypyrimidin-2-yl)carbamoyl] sulfamoyl}methyl)benzoate through biotic and abiotic degradation modes
- Stability of natural polyphenol fisetin in eye drops Stability of fisetin in eye drops
- Production of a bioflocculant by using activated sludge and its application in Pb(II) removal from aqueous solution
- Molecular Properties of Carbon Crystal Cubic Structures
- Synthesis and characterization of calcium carbonate whisker from yellow phosphorus slag
- Study on the interaction between catechin and cholesterol by the density functional theory
- Analysis of some pharmaceuticals in the presence of their synthetic impurities by applying hybrid micelle liquid chromatography
- Two mixed-ligand coordination polymers based on 2,5-thiophenedicarboxylic acid and flexible N-donor ligands: the protective effect on periodontitis via reducing the release of IL-1β and TNF-α
- Incorporation of silver stearate nanoparticles in methacrylate polymeric monoliths for hemeprotein isolation
- Development of ultrasound-assisted dispersive solid-phase microextraction based on mesoporous carbon coated with silica@iron oxide nanocomposite for preconcentration of Te and Tl in natural water systems
- N,N′-Bis[2-hydroxynaphthylidene]/[2-methoxybenzylidene]amino]oxamides and their divalent manganese complexes: Isolation, spectral characterization, morphology, antibacterial and cytotoxicity against leukemia cells
- Determination of the content of selected trace elements in Polish commercial fruit juices and health risk assessment
- Diorganotin(iv) benzyldithiocarbamate complexes: synthesis, characterization, and thermal and cytotoxicity study
- Keratin 17 is induced in prurigo nodularis lesions
- Anticancer, antioxidant, and acute toxicity studies of a Saudi polyherbal formulation, PHF5
- LaCoO3 perovskite-type catalysts in syngas conversion
- Comparative studies of two vegetal extracts from Stokesia laevis and Geranium pratense: polyphenol profile, cytotoxic effect and antiproliferative activity
- Fragmentation pattern of certain isatin–indole antiproliferative conjugates with application to identify their in vitro metabolic profiles in rat liver microsomes by liquid chromatography tandem mass spectrometry
- Investigation of polyphenol profile, antioxidant activity and hepatoprotective potential of Aconogonon alpinum (All.) Schur roots
- Lead discovery of a guanidinyl tryptophan derivative on amyloid cascade inhibition
- Physicochemical evaluation of the fruit pulp of Opuntia spp growing in the Mediterranean area under hard climate conditions
- Electronic structural properties of amino/hydroxyl functionalized imidazolium-based bromide ionic liquids
- New Schiff bases of 2-(quinolin-8-yloxy)acetohydrazide and their Cu(ii), and Zn(ii) metal complexes: their in vitro antimicrobial potentials and in silico physicochemical and pharmacokinetics properties
- Treatment of adhesions after Achilles tendon injury using focused ultrasound with targeted bFGF plasmid-loaded cationic microbubbles
- Synthesis of orotic acid derivatives and their effects on stem cell proliferation
- Chirality of β2-agonists. An overview of pharmacological activity, stereoselective analysis, and synthesis
- Fe3O4@urea/HITh-SO3H as an efficient and reusable catalyst for the solvent-free synthesis of 7-aryl-8H-benzo[h]indeno[1,2-b]quinoline-8-one and indeno[2′,1′:5,6]pyrido[2,3-d]pyrimidine derivatives
- Adsorption kinetic characteristics of molybdenum in yellow-brown soil in response to pH and phosphate
- Enhancement of thermal properties of bio-based microcapsules intended for textile applications
- Exploring the effect of khat (Catha edulis) chewing on the pharmacokinetics of the antiplatelet drug clopidogrel in rats using the newly developed LC-MS/MS technique
- A green strategy for obtaining anthraquinones from Rheum tanguticum by subcritical water
- Cadmium (Cd) chloride affects the nutrient uptake and Cd-resistant bacterium reduces the adsorption of Cd in muskmelon plants
- Removal of H2S by vermicompost biofilter and analysis on bacterial community
- Structural cytotoxicity relationship of 2-phenoxy(thiomethyl)pyridotriazolopyrimidines: Quantum chemical calculations and statistical analysis
- A self-breaking supramolecular plugging system as lost circulation material in oilfield
- Synthesis, characterization, and pharmacological evaluation of thiourea derivatives
- Application of drug–metal ion interaction principle in conductometric determination of imatinib, sorafenib, gefitinib and bosutinib
- Synthesis and characterization of a novel chitosan-grafted-polyorthoethylaniline biocomposite and utilization for dye removal from water
- Optimisation of urine sample preparation for shotgun proteomics
- DFT investigations on arylsulphonyl pyrazole derivatives as potential ligands of selected kinases
- Treatment of Parkinson’s disease using focused ultrasound with GDNF retrovirus-loaded microbubbles to open the blood–brain barrier
- New derivatives of a natural nordentatin
- Fluorescence biomarkers of malignant melanoma detectable in urine
- Study of the remediation effects of passivation materials on Pb-contaminated soil
- Saliva proteomic analysis reveals possible biomarkers of renal cell carcinoma
- Withania frutescens: Chemical characterization, analgesic, anti-inflammatory, and healing activities
- Design, synthesis and pharmacological profile of (−)-verbenone hydrazones
- Synthesis of magnesium carbonate hydrate from natural talc
- Stability-indicating HPLC-DAD assay for simultaneous quantification of hydrocortisone 21 acetate, dexamethasone, and fluocinolone acetonide in cosmetics
- A novel lactose biosensor based on electrochemically synthesized 3,4-ethylenedioxythiophene/thiophene (EDOT/Th) copolymer
- Citrullus colocynthis (L.) Schrad: Chemical characterization, scavenging and cytotoxic activities
- Development and validation of a high performance liquid chromatography/diode array detection method for estrogen determination: Application to residual analysis in meat products
- PCSK9 concentrations in different stages of subclinical atherosclerosis and their relationship with inflammation
- Development of trace analysis for alkyl methanesulfonates in the delgocitinib drug substance using GC-FID and liquid–liquid extraction with ionic liquid
- Electrochemical evaluation of the antioxidant capacity of natural compounds on glassy carbon electrode modified with guanine-, polythionine-, and nitrogen-doped graphene
- A Dy(iii)–organic framework as a fluorescent probe for highly selective detection of picric acid and treatment activity on human lung cancer cells
- A Zn(ii)–organic cage with semirigid ligand for solvent-free cyanosilylation and inhibitory effect on ovarian cancer cell migration and invasion ability via regulating mi-RNA16 expression
- Polyphenol content and antioxidant activities of Prunus padus L. and Prunus serotina L. leaves: Electrochemical and spectrophotometric approach and their antimicrobial properties
- The combined use of GC, PDSC and FT-IR techniques to characterize fat extracted from commercial complete dry pet food for adult cats
- MALDI-TOF MS profiling in the discovery and identification of salivary proteomic patterns of temporomandibular joint disorders
- Concentrations of dioxins, furans and dioxin-like PCBs in natural animal feed additives
- Structure and some physicochemical and functional properties of water treated under ammonia with low-temperature low-pressure glow plasma of low frequency
- Mesoscale nanoparticles encapsulated with emodin for targeting antifibrosis in animal models
- Amine-functionalized magnetic activated carbon as an adsorbent for preconcentration and determination of acidic drugs in environmental water samples using HPLC-DAD
- Antioxidant activity as a response to cadmium pollution in three durum wheat genotypes differing in salt-tolerance
- A promising naphthoquinone [8-hydroxy-2-(2-thienylcarbonyl)naphtho[2,3-b]thiophene-4,9-dione] exerts anti-colorectal cancer activity through ferroptosis and inhibition of MAPK signaling pathway based on RNA sequencing
- Synthesis and efficacy of herbicidal ionic liquids with chlorsulfuron as the anion
- Effect of isovalent substitution on the crystal structure and properties of two-slab indates BaLa2−xSmxIn2O7
- Synthesis, spectral and thermo-kinetics explorations of Schiff-base derived metal complexes
- An improved reduction method for phase stability testing in the single-phase region
- Comparative analysis of chemical composition of some commercially important fishes with an emphasis on various Malaysian diets
- Development of a solventless stir bar sorptive extraction/thermal desorption large volume injection capillary gas chromatographic-mass spectrometric method for ultra-trace determination of pyrethroids pesticides in river and tap water samples
- A turbidity sensor development based on NL-PI observers: Experimental application to the control of a Sinaloa’s River Spirulina maxima cultivation
- Deep desulfurization of sintering flue gas in iron and steel works based on low-temperature oxidation
- Investigations of metallic elements and phenolics in Chinese medicinal plants
- Influence of site-classification approach on geochemical background values
- Effects of ageing on the surface characteristics and Cu(ii) adsorption behaviour of rice husk biochar in soil
- Adsorption and sugarcane-bagasse-derived activated carbon-based mitigation of 1-[2-(2-chloroethoxy)phenyl]sulfonyl-3-(4-methoxy-6-methyl-1,3,5-triazin-2-yl) urea-contaminated soils
- Antimicrobial and antifungal activities of bifunctional cooper(ii) complexes with non-steroidal anti-inflammatory drugs, flufenamic, mefenamic and tolfenamic acids and 1,10-phenanthroline
- Application of selenium and silicon to alleviate short-term drought stress in French marigold (Tagetes patula L.) as a model plant species
- Screening and analysis of xanthine oxidase inhibitors in jute leaves and their protective effects against hydrogen peroxide-induced oxidative stress in cells
- Synthesis and physicochemical studies of a series of mixed-ligand transition metal complexes and their molecular docking investigations against Coronavirus main protease
- A study of in vitro metabolism and cytotoxicity of mephedrone and methoxetamine in human and pig liver models using GC/MS and LC/MS analyses
- A new phenyl alkyl ester and a new combretin triterpene derivative from Combretum fragrans F. Hoffm (Combretaceae) and antiproliferative activity
- Erratum
- Erratum to: A one-step incubation ELISA kit for rapid determination of dibutyl phthalate in water, beverage and liquor
- Review Articles
- Sinoporphyrin sodium, a novel sensitizer for photodynamic and sonodynamic therapy
- Natural products isolated from Casimiroa
- Plant description, phytochemical constituents and bioactivities of Syzygium genus: A review
- Evaluation of elastomeric heat shielding materials as insulators for solid propellant rocket motors: A short review
- Special Issue on Applied Biochemistry and Biotechnology 2019
- An overview of Monascus fermentation processes for monacolin K production
- Study on online soft sensor method of total sugar content in chlorotetracycline fermentation tank
- Studies on the Anti-Gouty Arthritis and Anti-hyperuricemia Properties of Astilbin in Animal Models
- Effects of organic fertilizer on water use, photosynthetic characteristics, and fruit quality of pear jujube in northern Shaanxi
- Characteristics of the root exudate release system of typical plants in plateau lakeside wetland under phosphorus stress conditions
- Characterization of soil water by the means of hydrogen and oxygen isotope ratio at dry-wet season under different soil layers in the dry-hot valley of Jinsha River
- Composition and diurnal variation of floral scent emission in Rosa rugosa Thunb. and Tulipa gesneriana L.
- Preparation of a novel ginkgolide B niosomal composite drug
- The degradation, biodegradability and toxicity evaluation of sulfamethazine antibiotics by gamma radiation
- Special issue on Monitoring, Risk Assessment and Sustainable Management for the Exposure to Environmental Toxins
- Insight into the cadmium and zinc binding potential of humic acids derived from composts by EEM spectra combined with PARAFAC analysis
- Source apportionment of soil contamination based on multivariate receptor and robust geostatistics in a typical rural–urban area, Wuhan city, middle China
- Special Issue on 13th JCC 2018
- The Role of H2C2O4 and Na2CO3 as Precipitating Agents on The Physichochemical Properties and Photocatalytic Activity of Bismuth Oxide
- Preparation of magnetite-silica–cetyltrimethylammonium for phenol removal based on adsolubilization
- Topical Issue on Agriculture
- Size-dependent growth kinetics of struvite crystals in wastewater with calcium ions
- The effect of silica-calcite sedimentary rock contained in the chicken broiler diet on the overall quality of chicken muscles
- Physicochemical properties of selected herbicidal products containing nicosulfuron as an active ingredient
- Lycopene in tomatoes and tomato products
- Fluorescence in the assessment of the share of a key component in the mixing of feed
- Sulfur application alleviates chromium stress in maize and wheat
- Effectiveness of removal of sulphur compounds from the air after 3 years of biofiltration with a mixture of compost soil, peat, coconut fibre and oak bark
- Special Issue on the 4th Green Chemistry 2018
- Study and fire test of banana fibre reinforced composites with flame retardance properties
- Special Issue on the International conference CosCI 2018
- Disintegration, In vitro Dissolution, and Drug Release Kinetics Profiles of k-Carrageenan-based Nutraceutical Hard-shell Capsules Containing Salicylamide
- Synthesis of amorphous aluminosilicate from impure Indonesian kaolin
- Special Issue on the International Conf on Science, Applied Science, Teaching and Education 2019
- Functionalization of Congo red dye as a light harvester on solar cell
- The effect of nitrite food preservatives added to se’i meat on the expression of wild-type p53 protein
- Biocompatibility and osteoconductivity of scaffold porous composite collagen–hydroxyapatite based coral for bone regeneration
- Special Issue on the Joint Science Congress of Materials and Polymers (ISCMP 2019)
- Effect of natural boron mineral use on the essential oil ratio and components of Musk Sage (Salvia sclarea L.)
- A theoretical and experimental study of the adsorptive removal of hexavalent chromium ions using graphene oxide as an adsorbent
- A study on the bacterial adhesion of Streptococcus mutans in various dental ceramics: In vitro study
- Corrosion study of copper in aqueous sulfuric acid solution in the presence of (2E,5E)-2,5-dibenzylidenecyclopentanone and (2E,5E)-bis[(4-dimethylamino)benzylidene]cyclopentanone: Experimental and theoretical study
- Special Issue on Chemistry Today for Tomorrow 2019
- Diabetes mellitus type 2: Exploratory data analysis based on clinical reading
- Multivariate analysis for the classification of copper–lead and copper–zinc glasses
- Special Issue on Advances in Chemistry and Polymers
- The spatial and temporal distribution of cationic and anionic radicals in early embryo implantation
- Special Issue on 3rd IC3PE 2020
- Magnetic iron oxide/clay nanocomposites for adsorption and catalytic oxidation in water treatment applications
- Special Issue on IC3PE 2018/2019 Conference
- Exergy analysis of conventional and hydrothermal liquefaction–esterification processes of microalgae for biodiesel production
- Advancing biodiesel production from microalgae Spirulina sp. by a simultaneous extraction–transesterification process using palm oil as a co-solvent of methanol
- Topical Issue on Applications of Mathematics in Chemistry
- Omega and the related counting polynomials of some chemical structures
- M-polynomial and topological indices of zigzag edge coronoid fused by starphene