Abstract
Organic carbon content is one of the major proxies of aquatic primary production and implication of environmental changes. However, there is a scarcity of information regarding the decadal variation of organic carbon production in inner-shelf of South China Sea (SCS) and East China Sea (ECS). To bridge this gap of information two sediment cores were collected from the inner shelf of SCS (Leizhou Peninsula) and ECS. Then, Total Organic Carbon (TOC), Total Inorganic Carbon (TIC) and Total Nitrogen (TN) content were examined. The TOC content in the Leizhou Peninsula averaged 0.56% and varied from 0.35% to 0.81%. At decadal time scale, the TOC content of Leizhou Peninsula erratically increased in the last century, and it distinctly peaked after 1990’s. This is related to increased primary production due to the increased input of anthropogenic nutrients and rainfall level. The TOC content of the inner shelf of ECS averaged 0.5% and varied narrowly from 0.46% to 0.53%. The TOC:TN ratio of ECS averaged 5.65 and varied from 4.42 to 7.85, indicating there is high degree of organic matter degradations. The TN:TP ratios were below 10 for the periods before late-1990’s, indicating that there had been a potential nitrogen limitation in the inner shelf of ECS. Generally, this study showed that the TOC and TIC of ECS and SCS inner-shelf had undergone substantial changes in the last century.
1 Introduction
In coastal and marine systems, the deposition of organic matter and the ratio of TOC:TN is mainly influenced by both the supply of organic matter from overlaying water mass, settlement velocity of organic matter onto sea floor and diagenetic process that acting on the organic matter after settlement/deposition [1]. The relationship between Total Organic Carbon (TOC) content (wt%) and Total Nitrogen (TN) content (wt%) has been used as an indicator of marine Organic Matter (OM) productivity as well terrestrial OM input for more than half a century [2]. High TOC:TN (molar weight), values greater than 20, are characteristic of terrestrial vegetation due to carbon-rich (and nitrogen-poor) biochemical classes (i.e., lignin and cellulose) [3]. Whereas, marine algae typically have TOC:TN ratios between 4 and 8, due to their cell content is rich in proteins and lack cellulose [3].
The East China Sea and South China Seas are being among the largest marginal western Pacific seas located in South East Asia; they are more prone to human perturbations and climate changes. Furthermore, the impact of disturbances highly aggravated because they are found in one of the most densely populated areas of the world with fast economic growth and urbanization. As consequent of this, high nutrient inputs especially nitrogen from agricultural and aquaculture activities [4, 5, 6] and construction of dams [7, 8] were reported in ECS and SCS. These ultimately resulted in changes of Chlorophyll a concentrations [9], nutrient levels [10], sediment supply to coastal zones and water discharges [8], eutrophication and hypoxia [11], red tide frequency [12], primary production [13] and probably organic matter content as well. However, there are limited scientific research reports on the decadal changes of the organic matter content in the inner shelf of ECS and SCS. Thus, this research was aimed to bridge this gap of knowledge by setting two main objectives: 1) To analyze the decadal variation of total organic carbon content and total nitrogen in the inner shelf of ECS and SCS and 2) To examine the decadal change of the ratio of total organic carbon to total nitrogen content of the inner shelf of ESC and SCS. For this purpose, two sediment core samples were collected from the inner-shelf of ECS and SCS followed by the analysis of total organic carbon and total nitrogen content of the sediments; then the data were correlated with climate change and anthropogenic impact variables.
2 Material and methods
2.1 Study area
The East China Sea (ECS) is the largest continental marginal sea in the Western North Pacific [14, 15] and is one of the most developed shelf areas in the world. The wide and shallow continental shelf favors primary production through frequent replenishment of nutrients to the euphotic zone from a deeper layer [16]. The study site was located in the inner-shelf area of ECS, which is characterized by the distribution of fine-grained sediments manifested by the dispersal of a plume from the Yangtze [17]. An immense amount of terrigenous and anthropogenic material flows into ECS from different river basins, and as a result, it supports high biological production [16] (Figure 1). The South China Sea is one of the largest continental marginal seas of the Pacific Ocean, found in the western North Pacific surrounded by lands and islands which provide an ample amount of terrigenous material. The surface circulation is governed by East Asia monsoon systems which drive the cyclonic gyre during winter and anticyclonic gyre in summer. Consequently, there is strong seasonality in primary productivity and the organic material reaching the sea floor. Although this area is regarded as one of the less-developed coastal areas of China until the last decade or so, recent data showed evident environmental contamination and degradation along the coast [18]. Particularly, rapid expansion and booming of land and marine aquaculture, increasing of agricultural crop production by using excessive artificial fertilizer, industrialization and untreated sewage disposal are among the main causes of the problems [19]. The detail description of ECS and SCS has been explored [20, 21] (Figure 1).

Location of the study site of the East China Sea and the South China Sea, and description of the legend depicted on the bottom of the right side
2.2 Sediment process and dating
To assess recent decadal changes of sediment organic matter; two sediment cores were collected from the inner-shelf of ECS and SCS. The first sediment core was collected from the inner-shelf of northwestern SCS (Leizhou, Zhanjiang) Peninsula coast at 20∘85.765′ N and 111∘18.16833′E, from about 38m water depth, in 2012. Leizhou Peninsula is surrounded by Hainan Island from south next to Qiongzhou Strait, the coast of China from north and SCS from south, and is drained by two large rivers, mainly the Red River from the southwest and Pearl River from the northeast. The second sediment core was collected from inner-shelf ECS near to Yangtze River Estuary (YRE) at N 28∘26.1591′ and E 122∘11.0745′, from 43m water depth, in 2011. The sediment samples were collected by gravity corer onboard the R/ V Dongfanghong II. The sediment core showed gray to black color. After collection, the sediment sample slabs were extruded and sliced at 2 cm intervals and approximately 0.5 cm of the outer rim of each sediment slab was trimmed off to minimize contamination between layers. Sediment dating was made by the α-spectrometry 210Pb (via 210Po) method [14, 22]. The detail of processing of the sediments and dating the chronologies has been reported [20, 21].
2.3 Analyses of TOC, TN, Sulphur and Phosphorus
In the laboratory, 1 g of sediment subsamples were pretreated; dried for 48 hours at 65∘C and finely ground. To measure the TOC, pre-treated samples were transferred into glass vials and acidified with 1M of HCl at room temperature for 12h to remove carbonates [23]. Then, the samples re-dried and finely ground. Separate unacidified samples were used to measure TN, TC and total sulphur (TS). To measure the TC, TOC, TN and TS contents, approximately 25 mg of samples were weighed, foiled by tin capsules and loaded into CHNS elemental analyser (Vario EL III, ElementarAnalysensysteme GmbH), with analysis accuracy of ≤ 0.3% absolute (5mg benzene sulfonic acid)and ≤ 0.5% absolute (3mg benzoic acid). The total inorganic carbon (TIC) was determined by subtracting the TOC from TC [24]. To analyse extractable (P) 1 g of pre-treated samples were digested with 0.5M NaHCO3 (pH 8.5) shaking for 30 minutes at room temperature. To analyse total phosphorus (TP) 1 g of pre-treated samples were digested with HClO4:HNO3 (50:50 v/v) at high temperature until dark organic materials disappeared. After digestions solutions were filtered through Whatman No. 42 filter paper (0.45 μm Milli-pore filter paper) and the concentration of P and TP were analyzed by Ascorbic Acid method [25]. Duplicate samples were used to analyse the parameters.
3 Result
3.1 Dating the chronology of the sediment cores
The 210Pb dating of the SCS sediment core revealed an average sedimentation rate of 0.53 cm/year. Based on this sedimentation rate, each centimeter represents about two years of sediment accumulation. According to the calculated sedimentation rate, the 43 cm long sediment core spans approximately 81 years from 1931-2012 AD (Figure 2).
![Figure 2 Activity-depth profiles of 210Pbex of inner-shelf of SCS sediment core [21]](/document/doi/10.1515/geo-2019-0082/asset/graphic/j_geo-2019-0082_fig_002.jpg)
Activity-depth profiles of 210Pbex of inner-shelf of SCS sediment core [21]
The average sedimentation rate of the ECS sediment core was 0.94 cm/year, which indicated that each centimeter represents about one year of accumulation of sediment. According to the calculated sedimentation rate, the age of 47 cm long sediment core becomes about 50 years old, from 1961-2011AD (Figure 3). On average 70% of the sediment was covered by clay-sized (<63μm) sediments in inner-shelf of ECS sample. The colour of the sediments was greyish to black, except on the top 10 cm it was greyish to brown. The core showed no evidence of sediment rework or disturbance such as burrow and fragments of animal remains. Furthermore, the declining gradient of 210Pb activity down to the core depth indicates the absence of substantial sediment mixing and rework. The details of this part has been reported previously [20, 21].
![Figure 3 Core profile of excess Pb210 concentration for the age model of East China Sea inner-shelf [20]](/document/doi/10.1515/geo-2019-0082/asset/graphic/j_geo-2019-0082_fig_003.jpg)
Core profile of excess Pb210 concentration for the age model of East China Sea inner-shelf [20]
3.2 TOC and TN in inner-shelf of SCS and ECS
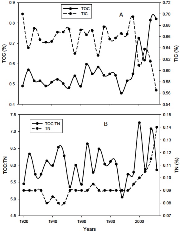
The TOC content of SCS averaged 0.56% and varied narrowly from 0.45% to 0.82%. Generally, the TOC of SCS increased throughout the 20th century. The values of TOC content were lower before the 1960’s, then increased since the 1960’s and peaked after the 1990‘s. The TIC relatively decreased after 1990’s (Figure 4A). The correlation between TOC and TIC was negative and very strong (r = −0.8, p<0.05). The TN content averaged 0.09% and varied from 0.07%to 0.14%. At the decadal scale, TN content increased after late-1990‘s (Figure 4B). The TOC:TN (%) ratio averaged 6.1 and varied narrowly from 5.05 to 7.07. The longterm ratios of TOC:TN increased erratically starting from early 20th century to the end of the century (Figure 4B), this pattern coincided with the decadal changes in the TOC and regional climatic conditions.

Decadal variation in (A) total organic (TOC) and Inorganic carbon (TIC) content, and (B) total nitrogen (TN) and total organic carbon:total nitrogen (TOC:TN) in SCS
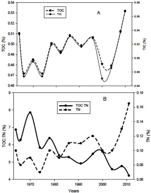
The TOC and TN of ECS remained low throughout the period, ranging from 0.47% to 0.59% and from 0.07% to 0.17% and averaged 0.5% and 0.11%, respectively (Figure 5). The values of TOC and TN erratically increased after late-1970’s while its values were dropped in 1998-2004 and re-increased after 2004. The TOC and TN had strong and positive correlations (Table 1). The correlation between TOC and TIC was strong and positive (r> 0.98, p<0.05). The ratio of TOC:TN (%) ranged from 4.2 to 7.85 and averaged 5.65. At a decadal scale, the TOC:TN ratio erratically decreased since the 1960‘s (Figure 5B). The values of TOC:TN were negatively and more strongly correlated to TN (r = −0.92, p<0.05) than the TOC (r = −0.7, p<0.05).

Decadal variation in (A) total organic (TOC) and Inorganic carbon (IC) content, and (B) total nitrogen (TN) and total organic carbon:total nitrogen (TOC:TN) in ECS
Correlation coefficient of sediment chemical variables (p<0.005)
| TN | TOC | TS | TP | |
|---|---|---|---|---|
| TOC | 0.9 | |||
| TS | 0.77 | 0.69 | ||
| TP | −0.57 | −0.3 | −0.56 | |
| TOC:TS | −0.61 | −0.46 | −0.93 | 0.67 |
3.3 Phosphorus and Sulphur concentrations in inner-shelf of ECS sediment core
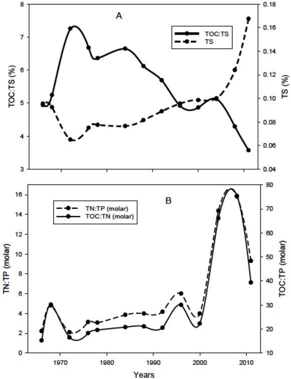
The TP varied from 5.9 to 25.83 μmol/gdw and averaged 16.8 μmol/gdw. The cconcentration of extractable phosphorus had been increasing until late-1990’s, however together with TP its concentration conspicuously decreased after 2000 coinciding with the construction of Three Gorgeous Dam (TGD) (Figure 6).

Decadal variation of extractable (P) and total phosphorus (TP)
The TOC was positively and negatively correlated to TN and TP, respectively (Table 1). The TN:TP (molar) ratio showed decadal variation, it increased slowly since the 1970’s and elevated after 1990’s (Figure 7). The decadal TOC:TP (molar) ratio showed wide variation and negative correlations with TN:TP (r = −0.65). The correlation coefficient between TOC:TN and TN (r = −0.92) was negative and higher than that of TOC:TN and TOC (r = −0.7). The correlation between TOC:TP and TP (r = −0.9, p<0.05) was negative and stronger than that the correlation between TOC:TP and TOC (r= 0.4, p<0.05). Total sulfur (TS) varied from 0.035% to 0.17% and averaged 0.093%. The total sulfur content showed a consistent rise starting from the last half a century. The long-term trend of the TOC:TS (%) also consistently decreased throughout the time, showing an inverse pattern with total sulfur (Figure 7).

Decadal variation of (A) total Sulphur (TS) and total organic carbon: total Sulphur (TOC:TS), and (B) total nitrogen: total phosphorus (TN:TP) and total organic carbon: total phosphorus (TOC:TP)
4 Discussion
4.1 TOC, TIC and TN in ECS and SCS
The strong correlation between TOC and TIC in both ECS and SCS inner-shelfs indicates that there was potential relation between the two parameters. As the chemical changes induced in the water column during organic matter production often leads to precipitation of carbonates [26], the increased ratio of TOC:TIC in both ECS and SCS inner-shelf areas could be related to the changed primary production [20, 21]. The conspicuous decline of TIC after 1990’s in the inner-shelf of SCS likely related to the increased rainfall in eastern and southern part of China from early-1990’s-2007 [27, 28, 29], as carbonates can precipitate due to excess dissolution, which most often occurs when fresh carbonate-rich water mix with saline water [30]. The observed low level of TOC and TIC during 1998-2004 in inner-shelf of ECS could be related to the construction of the Three Gorges Dam, as it blocked large volumes of terrestrial sediments. The three gorges dam (TGD) are very large dams constructed on Changjiang (Yangtze) River. Yangtze River is one of the largest rivers in the world in terms of both water and sediment discharge. It accounts about 90% of freshwater discharge and sediment load of the total riverine input in to East China Sea [31]. In 2003 Chinese Government built TGD on the upper part of the basin, the world largest hydroelectric power dam, for the supply of demanding hydroelectric power in the country. Then, terrigenous sediment supply [8], silicate ratio to other nutrients and primary productivity [13] happened to be decreased due to TGD construction.
Generally, TOC levels in the surface sediment of most estuaries systems in China are lower than that of South Asia, Southeast Asia, Europe, North America and South America [26]. The TOC of Leizhou Peninsula was higher than that of the inner-shelf area of ECS, which is attributed to the presence of high organic matter production since it is in upwelling area [32], and shallowness of the system facilitated quick burial of organic matter. The present TOC of inner-shelf area of ECS is higher than previously reported values from the surface sediment of the same sampling area [0.3-0.36%; 18], and from mid and outer shelf of ECS [0-0.4%; 33] and comparable with coastal shelf area of ECS [0.49%; 34]. The TOC of the Leizhou Peninsula is comparable with values from the surface sediment of Pearl River estuary and surrounding SCS coastal systems [0.54%; 35]. Nevertheless, it is lower than the values from the surface sediment of the Leizhou Peninsula [0.64%; 36], and from Pearl River estuary and adjacent costal sediment [1.2%; 37]. Moreover, Li et al. [18] reported the concentration of TOC that ranged from 0.01% to 1.35%, with an average of 0.41%, near to the most coastal part of Leizhou Peninsula.
Despite the high primary production in the inner-shelf of ECS [38] and SCS [32], the observed low concentration of TOC in the sediment indicates that the organic matter has been subjected to a considerable level of degradations. Apart from organic matter degradation, Oguri et al. [39] speculated that the low organic matter in sediment could be related to current wash, as they observed high primary production was conjunct with low sediment organic matter preservation in shelf and mid-shelf area of ECS. The mean values of TN content of ECS inner-shelf slightly higher than the TN content reported from the shelf area of ECS [0.1%; 40]. In the present study, the TN of Leizhou Peninsula and inner-shelf of ECS are lower than the average values of world shelf [0.75%; 41] and the inner-shelf area of ECS [0.75%; 40]. Relatively higher TN content reported from the surface sediment of Pearl River estuary and surrounding of SCS coastal systems [35] and [0.9%; 37].
4.2 Temporal variation of TOC and TN in SCS
The concentration of TOC and TN in the coastal SCS has been increased erratically for the last century, with a dramatic increase occurred after late-1980‘s. The rise in TN after the middle of the 20th century could be explained by the increase of nitrogen inputs from maricultural waste, agricultural fertilizer and municipal sewages. This is due to the rapid economic development of China, expansion of urbanization, increasing of nitrogen containing fertilizers in Pearl River estuary [42]. Furthermore, Ning et al. [42] reported that in the northern SCS the dissolved inorganic nitrogen (DIN) has been increasing while the phosphorus and silica concentration has been decreasing since 1976, as consequent of this the ratio of DIN:P and DIN:Silica (DIN:Si) increased.
In northern SCS, the sea surface temperature increased from 1976 to 2004 coinciding with changed ecological proxies [42]. The ecological proxies such as chlorophyll a concentration, primary production, phytoplankton abundance and benthic biomass increased in in the northern SCS [42]. These responses were likely associated with climate change that was reflected by the change in the sea surface and atmospheric temperatures [42]. Long-term temperature change also reported in the Northern Hemisphere [Houghton et al., 1996; Fu et al., 2006 cited in 42]. The regional rainfall and river run-off have a noticeable impact on coastal water nutrient concertation, as the rainfall increases it enhance the river run-off and ultimately increase nutrient loading in the coastal waters. This, in turn, determines phytoplankton production and TOC content. Similarly, Yu et al. [1] discussed freshwater runoff controls the spatial and temporal variation of the δ13C signature of the estuarine particulate organic carbon in SCS. Coinciding with increased TOC, there had been increased rainfall in eastern and southern part of China from early-1990’s to 2007 [27, 28, 29]. Therefore, it is possible to inferr that the rise of TOC content after late-1980’s most probably associated with the increased nutrient loading from rainfall and artificial fertilizers.
Abate et al. [21] indicated that the climate shift that occurred during the early 1970’s brought significant changes in diatom production and species composition of the Leizhou Peninsula. The diatom production increased and it is dominated by upwelling and high productivity indicator cosmopolitan species such as Thalassionema nitzschioides and Paralia sulcata [21]. As diatoms are the major primary producers of coastal water bodies, their production directly interplays with the TOC concentration of the system. Thus, the rise of TOC content after late-1980’s could be attributed to the increased production of phytoplankton, particularly diatoms. Furthermore, phytoplankton community change and enhanced primary production have been reported in Pearl River Estuary and northern SCS since the last three decades [43].
4.3 Temporal variation of TOC, TN, TS and TP in ECS
The observed low TN:TP ratio values (less than 15) and stronger correlation between TN and TOC than between TP and TOC indicates there could be a potential nitrogen limitation for the periods before late-1990’s. However, the ratio of TN:TP and the concentration of TN considerably increased after late-1990’s. The economic and human population explosion could be the reason for observed increasing trend of TN in ECS. Since the second half of 20th century the loading of nitrogen containing fertilizers in the inland and marine aquacultures [44, 45], and nitrogen containing house hold products and industrial wastes has been increased. Similar to the present study low concentration of nitrogen was reported before the 1980’s in ECS [44, 45]. The concentration of dissolved inorganic nitrogen increased by 2-fold in Yangtze River since the 1980’s [31]. Depletion of dissolved inorganic phosphorus (DIP) in the coastal zone and reduction of DIN and/or Si in the farther off shore area, particularly during summer periods have been documented in ECS [31, 46, 47].
The concentration of NO3and NH4increased in the Yangtze River since the 1980’s, while the concentration of phosphate and silicate showed no systematic trends, and as result of this, the ratios of N:P and N:Si increased in this basin [48]. The long-term increasing trend of N:P ratio due to an increasing of DIN and decreasing of P concentration was reported in the northern SCS [42] as well. Similarly, long-term record from northern Pacific gyre [49] showed the tendency of the shift from nitrogen to phosphorus limitation. The rise of anthropogenic originated input of nutrients pool (N and P) in coastal zones and following change in phytoplankton growth and bloom trend has been reported from North Sea [50]. Thus, the long-term TN:TP discrepancies in the present study showed mainly related to changes in the influx of nitrogen containing fertilizers [5, 44, 45], that subsequently resulted in a decadal change in the molar ratios of limiting nutrients.
The positive and strong correlation between TOC and TS indicates there could be a potential relation between the two variables. The decreased ratio of TOC:TS in the recent years could indicate the increased phytoplankton production, probably bloom formation and consequent hypoxia. Similarly, for the period 1979 to 2005, Li et al. [45] reported a significant correlation of fucoxanthin with low-oxygen indicative foraminiferal assemblages in Yangtze River large delta-front estuaries, implying that there had been a linkage between diatom production and low oxygen conditions. However, a dramatic increase in anthropogenic emission of sulfur especially in East Asia [51] and its ultimate loading into the sea would also play a major role in the long-term discrepancies of total sulfur concentration.
Considering the high primary productivity of inner-shelf of ECS [13], low concentration TOC in the sediment shows that sediment preservation of phytoplankton remains is poor. Similarly, Abate et al. [20] reported low level of diatom valve count. The possible explanation for the low concentration of sediment preserved phytoplankton remains would be the fact that major primary producers are picophytoplankton which are easily removed from the water column before their quick burial [9, 52]. As previous study [20] showed that the decreasing and increasing pattern of Chlorophyll a tightly coincided with the increasing or decreasing trend of both peridinin and fucoxanthin, this pattern in turn, is influenced by the shift in regional climatic condition [53], anthropogenic nutrient inputs and TGD construction [20].
4.4 The implication of TOC:TN in the Leizhou Peninsula and East China Sea inner-shelf
The ratio of TOC:TN recorded in ECS and SCS were low which indicates that there was considerable level of organic matter degradation. The Yangtze and Pearl River estuaries receive a large amount of terrestrial organic matter, however, regardless of the exported organic matter into these systems, and the high primary production in ECS and SCS, the previous [35, 40, 54] and the present studies indicates very low level of TOC:TN ratio. Degradation of organic matter along the southward direction from Yangtze River estuary of ECS has been reported by Zhu et al. [34]. However, apart from organic matter degradation, side way transportation might have also played a significant role in lowering the sediment organic content. In previous studies, relatively lower TOC:TN were reported from the surface sediment of the Pearl River estuary and surrounding SCS coastal systems [35]. The present value of TOC:TN in the Leizhou Peninsula is lower than the values previously recorded in Pearl River estuary of South China Sea [9.7-14.1; 1]. The higher TOC:TN ratio that reported from Pear River estuary is most probably attributed to the introduction of a large amount of terrestrial organic matter.
The ratios of TOC:TN in both ECS and SCS were higher than the data reported from the deep sediment of Pacific Ocean [1.3-3.9; 55] and comparable to reports from Canary Island region of South West of Africa [5, 6, 7, 8, 9, 10; 56]. There are two main possible reasons for the low concentrations of TOC:TN: The first reason is the presence of high bacterial abundance; bacteria have relatively higher protein content which results in a very low C:N ratio (3-4%). The living bacteria have a positive correlation with sediment protein, which implies a high abundance of sediment bacteria considerably lower the TOC:TN ratio because they have a relatively higher amount of nitrogen [57]. Furthermore, organic matter of old vascular plant contains a high concentration of bacterial colony that contribute a significant amount of nitrogen. Therefore, the high level of bacteria may result in to low TOC:TN ratio.
The second reason is that the low concentration of TOC content preserved in sediment, this may result from the significant effect of bacterial degradations. Chen et al. [58] reported 23-72% decomposition of primary production by bacteria and a significant correlation between Chlorophyll a concentration and bacterial production in ECS. Moreover, Zhang et al. [59] reported that diagenetic process particularly microbial degradation of organic matter would be the main reason for the observed discrepancy in sediment chemical and isotopic compositions of organic matter in SCS. These authors found that the increasing of TOC:TN values inside the estuary, whereas along the coastal zones slightly lower values of δ13C and δ15N than that of average phytoplankton values [59].
Since the TOC content in the sediment was relatively low, the contribution of inorganic nitrogen to total nitrogen become significant and this results to underestimation of TOC:TN. This become evident when there is adsorption of ammonium on low organic containing sediments. Leithold and Blair [60] speculated significant effect of the microbial process to lower C:N ratios of organic matter and the possible impact of a fine-grained component of the impure sandstone to reduce organic carbon loading or river suspension. Furthermore, fine grained mineral have higher proportions of clay minerals compared to other course sediments, this clay minerals have a negative charge and adsorb ammonium from pore waters and result in lower C:N [60]. On the other hand, low level of TOC:TN can be resulted from significant contribution of inorganic nitrogen, as in low total nitrogen and organic carbon containing sediments the input of inorganic nitrogen would significantly affect TOC:TNratio [2]. High levels of inorganic nitrogen have the effect of lowering the C:N ratio to a point where it decreases when either TN or TOC content decreases and this is especially effective when TOC content is less than 1% [2].
5 Conclusions
The present study revealed the presence of decadal change in TOC, TOC:TN, TN and TP in both ECS and SCS inner-shelf areas. These changes showed closer association with the imposed anthropogenic pressures such as aquaculture and agricultural nutrient inputs and construction of dams on tributary rivers, and climate change. Moreover, the low concentration of TN and TOC observed in 1998-2004 coincided with the construction of Three Gorges Dam on 2003. The decadal variation of TOC in SCS inner-shelf indicates there had been a distinct change in organic matter production since 1980‘s, which in turn, coincided with the 1976‘s regime shift which was followed by increased rainfall in most part of ECS and SCS. Similarly, The TOC values had been erratically increased in the past half a century in ECS. Moreover, the increasing trend of TN in both ECS and SCS inner-shelf coincided with the increase of nitrogen containing artificial fertilizers usage in China, which in turn indicates the anthropogenic loading of nitrogen could be important factors for elevated TN in the sediments. Future research on the examination of seidment core from inshore, mid-shelf and offshore sites could help to show the specific effect of changes by human or climatic variables.
Acknowledgement
This work was funded by the National Key Research and Development Program of China (No. 2016YFA0601302), China Postdoctoral Science Foundation Grant (No.2018M632580), and the National Natural Science Foundation of China (No. 41876146, 41476116).
References
[1] Yu F., Zong Y., Lloyd JM., Huang G., Leng MJ., Kendrick C, et al. Bulk organic δ13C and c/n as indicators for sediment sources in the pearl river delta and estuary, southern china. Estuarine, Coastal and Shelf Science 2010;87:618-30.10.1016/j.ecss.2010.02.018Suche in Google Scholar
[2] Lamb AL., Wilson GP., Leng MJ. A review of coastal palaeoclimate and relative sea-level reconstructions using δ13C and c/n ratios in organic material. Earth-Science Reviews 2006;75:29-57.10.1016/j.earscirev.2005.10.003Suche in Google Scholar
[3] Meyers PA. Preservation of elemental and isotopic source identification of sedimentary organic matter. Chemical Geology 1994;114:289-302.10.1016/0009-2541(94)90059-0Suche in Google Scholar
[4] Zhou M-j., Shen Z-l., Yu R-c. Responses of a coastal phytoplankton community to increased nutrient input from the changjiang (yangtze) river. Continental Shelf Research 2008;28:1483-9.10.1016/j.csr.2007.02.009Suche in Google Scholar
[5] Cheng F., Song X., Yu Z., Liu D. Historical records of eutrophication in changjiang (yangtze) river estuary and its adjacent east china sea. Biogeosciences Discussions 2012;9:6261-91.10.5194/bgd-9-6261-2012Suche in Google Scholar
[6] Yan W., Zhang S., Sun P., Seitzinger S. How do nitrogen inputs to the changjiang basin impact the changjiang river nitrate: A temporal analysis for 1968-1997. Global Biogeochemical Cycles 2003;17:1091.10.1029/2002GB002029Suche in Google Scholar
[7] Jiao N., Zhang Y., Zeng Y., Gardner WD., Mishonov AV., Richardson MJ, et al. Ecological anomalies in the east china sea: Impacts of the three gorges dam? Water Research 2007;41:1287-93.10.1016/j.watres.2006.11.053Suche in Google Scholar PubMed
[8] Wang H., Saito Y., Zhang Y., Bi N., Sun X., Yang Z. Recent changes of sediment flux to the western pacific ocean from major rivers in east and southeast asia. Earth-Science Reviews 2011;108:80-100.10.1016/j.earscirev.2011.06.003Suche in Google Scholar
[9] Song S., Sun J., Luan Q., Shen Z. Size-fractionated phytoplankton biomass in autumn of the changjiang (yangtze) river estuary and its adjacent waters after the three gorges dam construction. Chin J Ocean Limnol 2008;26:268-75.10.1007/s00343-008-0268-0Suche in Google Scholar
[10] Chai C., Yu Z., Shen Z., Song X., Cao X., Yao Y. Nutrient characteristics in the yangtze river estuary and the adjacent east china sea before and after impoundment of the three gorges dam. Science of The Total Environment 2009;407:4687-95.10.1016/j.scitotenv.2009.05.011Suche in Google Scholar PubMed
[11] Rabouille C., Conley DJ., Dai MH., Cai WJ., Chen CTA., Lansard B, et al. Comparison of hypoxia among four river-dominated ocean margins: The changjiang (yangtze), mississippi, pearl, and rhône rivers. Continental Shelf Research 2008;28:1527-37.10.1016/j.csr.2008.01.020Suche in Google Scholar
[12] Yin K. Influence of monsoons and oceanographic processes on red tides in hong kong waters. Marine Ecology Progress Series 2003;262:27-41.10.3354/meps262027Suche in Google Scholar
[13] Gong G-C., Chang J., Chiang K-P., Hsiung T-M., Hung C-C., Duan S-W, et al. Reduction of primary production and changing of nutrient ratio in the east china sea: Effect of the three gorges dam? Geophysical Research Letters 2006;33.10.1029/2006GL025800Suche in Google Scholar
[14] Huh CA., Su CC. Sedimentation dynamics in the east china sea elucidated from 210Pb, 137Cs and 239240Pu. Marine Geology 1999;160 183-96.10.1016/S0025-3227(99)00020-1Suche in Google Scholar
[15] Chiang KP., Chou YH., Chang J., Gong GC. Winter distribution of diatom assemblages in the east china sea. Journal of Oceanography 2004;60:1053-62.10.1007/s10872-005-0013-7Suche in Google Scholar
[16] Furuya K., Hayashi M., Yabushita Y., Ishikawa A. Phytoplankton dynamics in the east china sea in spring and summer as revealed by hplc-derived pigment signatures. Deep Sea Research Part II: Topical Studies in Oceanography 2003;50:367-87.10.1016/S0967-0645(02)00460-5Suche in Google Scholar
[17] McKee BA., Nittrouer CA., DeMaster DJ. Concepts of sediment deposition andaccumulation applied to the continental shelf near the mouth of the yangtze river. Geology 1983;11:631-3.10.1130/0091-7613(1983)11<631:COSDAA>2.0.CO;2Suche in Google Scholar
[18] Li F., Lin J-q., Liang Y-y., Gan H-y., Zeng X-y., Duan Z-p, et al. Coastal surface sediment quality assessment in leizhou peninsula (south china sea) based on sem–avs analysis. Marine Pollution Bulletin 2014;84:424-36.10.1016/j.marpolbul.2014.04.030Suche in Google Scholar
[19] Wang S-L., Xu X-R., Sun Y-X., Liu J-L., Li H-B. Heavy metal pollution in coastal areas of south china: A review. Marine pollution bulletin 2013;76:7-15.10.1016/j.marpolbul.2013.08.025Suche in Google Scholar
[20] Abate R., Gao Y., Chen C., Liang J., Mu W., Kifile D, et al. Decadal variations in diatoms and dinoflagellates on the inner shelf of the east china sea, china. Chinese Journal of Oceanology and Limnology 2017;35:1374-86.10.1007/s00343-017-6029-1Suche in Google Scholar
[21] Abate R., Gao Y., Chen C., Liang J., Chen W., Sun L, et al. Environmental change and its effects on inter-decadal variations of diatom production, species composition and frustule dissolution in a coastal marginal sea. Chinese Journal of Oceanology and Limnology 2017;35:1362-73.10.1007/s00343-017-0084-5Suche in Google Scholar
[22] Su CC., Huh CA. 210Pb, 137Cs and 239;240Pu in east china sea sediments: Sources, pathways and budgets of sediments and radionuclides. Marine Geology 2002;183 163-78.10.1016/S0025-3227(02)00165-2Suche in Google Scholar
[23] Hung J-J., Lin P-L., Liu K-K. Dissolved and particulate organic carbon in the southern east china sea. Continental Shelf Research 2000;20:545-69.10.1016/S0278-4343(99)00085-0Suche in Google Scholar
[24] Phillips SC., Johnson JE., Miranda E., Disenhof C. Improving chn measurements in carbonate-rich marine sediments. Limnology and Oceanography: Methods 2011;9:194-203.10.4319/lom.2011.9.194Suche in Google Scholar
[25] Aspila K., Agemian H., Chau A. A semi-automated method for the determination of inorganic, organic and total phosphate in sediments. Analyst 1976;101:187-97.10.1039/an9760100187Suche in Google Scholar PubMed
[26] Yu Z., Wang X., Han G., Liu X., Zhang E. Organic and inorganic carbon and their stable isotopes in surface sediments of the yellow river estuary. Scientific Reports 2018;8:10825.10.1038/s41598-018-29200-4Suche in Google Scholar PubMed PubMed Central
[27] Day JA., Fung I., Liu W. Changing character of rainfall in eastern china, 1951–2007. Proceedings of the National Academy of Sciences 2018;115:2016-21.10.1073/pnas.1715386115Suche in Google Scholar PubMed PubMed Central
[28] Wu R., Wen Z., Yang S., Li Y. An interdecadal change in southern china summer rainfall around 1992/93. Journal of Climate 2010;23:2389-403.10.1175/2009JCLI3336.1Suche in Google Scholar
[29] Nigam S., Zhao Y., Ruiz-Barradas A., Zhou T. The south-flood north-drought pattern over eastern china and the drying of the gangetic plain. Climate change: Multidecadal and beyond: World Scientific; 2016:347-59.10.1142/9789814579933_0022Suche in Google Scholar
[30] Morse JW. 7.03 - formation and diagenesis of carbonate sediments. In: Holland HD, Turekian KK, eds. Treatise on geochemistry. Oxford: Pergamon; 2003:67-85.10.1016/B0-08-043751-6/07093-6Suche in Google Scholar
[31] Zhang J., Liu SM., Ren JL., Wu Y., Zhang GL. Nutrient gradients from the eutrophic changjiang (yangtze river) estuary to the oligotrophic kuroshio waters and re-evaluation of budgets for the east china sea shelf. Progress in Oceanography 2007;74:449-78.10.1016/j.pocean.2007.04.019Suche in Google Scholar
[32] Hu J., Wang XH. Progress on upwelling studies in the china seas. Reviews of Geophysics 2016;54:653-73.10.1002/2015RG000505Suche in Google Scholar
[33] Lin S., Hsieh IJ., Huang K-M., Wang C-H. Influence of the yangtze river and grain size on the spatial variations of heavy metals and organic carbon in the east china sea continental shelf sediments. Chemical Geology 2002;182:377-94.10.1016/S0009-2541(01)00331-XSuche in Google Scholar
[34] Zhu C., Xue B., Pan J., Zhang H., Wagner T., Pancost RD. The dispersal of sedimentary terrestrial organic matter in the east china sea (ecs) as revealed by biomarkers and hydro-chemical characteristics. Organic Geochemistry 2008;39:952-7.10.1016/j.orggeochem.2008.04.024Suche in Google Scholar
[35] Hu J., Peng Pa., Jia G., Mai B., Zhang G. Distribution and sources of organic carbon, nitrogen and their isotopes in sediments of the subtropical pearl river estuary and adjacent shelf, southern china. Marine Chemistry 2006;98:274-85.10.1016/j.marchem.2005.03.008Suche in Google Scholar
[36] Zhang Y., Du J., Zhang F., Yu Y., Zhang J. Chemical characterization of humic substances isolated from mangrove swamp sediments: The qinglan area of hainan island, china. Estuarine, Coastal and Shelf Science 2011;93:220-7.10.1016/j.ecss.2010.12.025Suche in Google Scholar
[37] Zhang L., Yin K., Yang Y., Zhang D. Distribution characteristics and sources of sedimentary organic matter in the pearl river estuary and adjacent coastal waters, southern china Journal of Earth Science 2013; 2 4:262-73.10.1007/s12583-013-0327-0Suche in Google Scholar
[38] Hama T., Shin KH., Handa N. Spatial variability in the primary productivity in the east china sea and its adjacent waters. Journal of Oceanography 1997;53:41-51.10.1007/BF02700748Suche in Google Scholar
[39] Oguri K., Matsumoto E., Yamada M., Saito Y., Iseki K. Sediment accumulation rates and budgets of depositing particles of the east china sea. Deep Sea Research Part II: Topical Studies in Oceanography 2003;50:513-28.10.1016/S0967-0645(02)00465-4Suche in Google Scholar
[40] Kao S., Lin F., Liu K. Organic carbon and nitrogen contents and their isotopic compositions in surficial sediments from the east china sea shelf and the southern okinawa trough. Deep Sea Research Part II: Topical Studies in Oceanography 2003;50:1203-17.10.1016/S0967-0645(03)00018-3Suche in Google Scholar
[41] Berner RA. Burial of organic carbon and pyrite sulfur in the modern ocean; its geochemical and environmental significance. American Journal of Science 1982;282:451-73.10.2475/ajs.282.4.451Suche in Google Scholar
[42] Ning X., Lin C., Hao Q., Liu C., Le F., Shi J. Long term changes in the ecosystem in the northern south china sea during 1976–2004. Biogeosciences 2009;6:2227-43.10.5194/bg-6-2227-2009Suche in Google Scholar
[43] Jia G., Xu S., Chen W., Lei F., Bai Y., Huh C-A. 100-year ecosystem history elucidated from inner shelf sediments off the pearl river estuary, china. Marine Chemistry 2013;151:47-55.10.1016/j.marchem.2013.02.005Suche in Google Scholar
[44] Chai C., Yu Z., Song X., Cao X. The status and characteristics of eutrophication in the yangtze river (changjiang) estuary and the adjacent east china sea, china. Hydrobiologia 2006;563:313-28.10.1007/s10750-006-0021-7Suche in Google Scholar
[45] Li X., Bianchi TS., Yang Z., Osterman LE., Allison MA., DiMarco SF, et al. Historical trends of hypoxia in changjiang river estuary: Applications of chemical biomarkers and microfossils. Journal of Marine Systems 2011;86:57-68.10.1016/j.jmarsys.2011.02.003Suche in Google Scholar
[46] Wang B-d., Wang X-l., Zhan R. Nutrient conditions in the yellow sea and the east china sea. Estuarine, Coastal and Shelf Science 2003;58:127-36.10.1016/S0272-7714(03)00067-2Suche in Google Scholar
[47] Duan S., Xu F., Wang L-J. Long-term changes in nutrient concentrations of the changjiang river and principal tributaries. Biogeochemistry 2007;85:215-34.10.1007/s10533-007-9130-2Suche in Google Scholar
[48] Liu S., Zhang J., Chen HT., Wu Y., Xiong H., Zhang ZF. Nutrients in the changjiang and its tributaries. Biogeochemistry 2003;62:1-18.10.1023/A:1021162214304Suche in Google Scholar
[49] Maestrini SY., Bhemin C., Grzebyk D., Hummert C. Phosphorus limitation might promote more toxin content in the marine invader dinoflagellate alexandrium minutum. Plankton Biol Ecol 2000; 47 7-11.Suche in Google Scholar
[50] Riegman R., Noordeloos AM., Cadée G. Phaeocystis blooms and eutrophication of the continental coastal zones of the north sea. Marine Biology 1992;112:479-84.10.1007/BF00356293Suche in Google Scholar
[51] Ohizumi T., Fukuzaki N., Kusagabe M. Sulfur isotopic view on the sources of sulfur in atmospheric fallout along the coast of the sea. Atmospheric Environment 1997;31:1339-48.10.1016/S1352-2310(96)00278-6Suche in Google Scholar
[52] Yuh-Ling., Chen L. Comparisons of primary productivity and phytoplankton size structure in the marginal regions of southern east china sea. Continental Shelf Research 2000;20:437-58.10.1016/S0278-4343(99)00080-1Suche in Google Scholar
[53] Chen L., Liu J., Xing L., Krauss KW., Wang J., Xu G, et al. Historical changes in organic matter input to the muddy sediments along the zhejiang-fujian coast, china over the past 160years. Organic Geochemistry 2017;111:13-25.10.1016/j.orggeochem.2017.06.003Suche in Google Scholar
[54] Liu K-K., Lai Z-L., Gong G-C., Shiah F-K. Distribution of particulate organic matter in the southern east china sea: Implications in production and transport. Terrestrial, Atmospheric and Oceanic Sciences 1995;6:27-45.10.3319/TAO.1995.6.1.27(KEEP-MASS)Suche in Google Scholar
[55] Müller PJ. Cn ratios in pacific deep-sea sediments: Effect of inorganic ammonium and organic nitrogen compounds sorbed by clays. Geochimica et Cosmochimica Acta 1977;41:765-76.10.1016/0016-7037(77)90047-3Suche in Google Scholar
[56] Nave Sl., Freitas P., Abrantes F. Coastal upwelling in the canary island region: Spatial variability reflected by the surface sediment diatom record. Marine Micropaleontology 2001;42:1-23.10.1016/S0377-8398(01)00008-1Suche in Google Scholar
[57] Fabiano M., Danovaro R. Composition of organic matter in sediments facing a river estuary (tyrrhenian sea): Relationships with bacteria and microphytobenthic biomass. Hydrobiologia 1994;277:71-84.10.1007/BF00016755Suche in Google Scholar
[58] Chen B., Huang B., Xie Y., Guo C., Song S., Li H, et al. The bacterial abundance and production in the east china sea: Seasonal variations and relationships with the phytoplankton biomass and production. Acta Oceanologica Sinica 2014;33:166-77.10.1007/s13131-014-0528-0Suche in Google Scholar
[59] Zhang L., Yin K., Wang L., Chen F., Zhang D., Yang Y. The sources and accumulation rate of sedimentary organic matter in the pearl river estuary and adjacent coastal area, southern china. Estuarine, Coastal and Shelf Science 2009;85:190-6.10.1016/j.ecss.2009.07.035Suche in Google Scholar
[60] Leithold EL., Blair NE. Watershed control on the carbon loading of marine sedimentary particles. Geochimica et Cosmochimica Acta 2001;65:2231-40.10.1016/S0016-7037(01)00593-2Suche in Google Scholar
© 2019 R. Abate et al., published by De Gruyter
This work is licensed under the Creative Commons Attribution 4.0 Public License.
Artikel in diesem Heft
- Regular Articles
- 2D Seismic Interpretation of the Meyal Area, Northern Potwar Deform Zone, Potwar Basin, Pakistan
- A new method of lithologic identification and distribution characteristics of fine - grained sediments: A case study in southwest of Ordos Basin, China
- Modified Gompertz sigmoidal model removing fine-ending of grain-size distribution
- Diagenesis and its influence on reservoir quality and oil-water relative permeability: A case study in the Yanchang Formation Chang 8 tight sandstone oil reservoir, Ordos Basin, China
- Evaluation of AHRS algorithms for Foot-Mounted Inertial-based Indoor Navigation Systems
- Identification and evaluation of land use vulnerability in a coal mining area under the coupled human-environment
- Hydrocarbon Generation Potential of Chia Gara Formation in Three Selected Wells, Northern Iraq
- Source Analysis of Silicon and Uranium in uranium-rich shale in the Xiuwu Basin, Southern China
- Lithologic heterogeneity of lacustrine shale and its geological significance for shale hydrocarbon-a case study of Zhangjiatan Shale
- Characterization of soil permeability in the former Lake Texcoco, Mexico
- Detrital zircon trace elements from the Mesozoic Jiyuan Basin, central China and its implication on tectonic transition of the Qinling Orogenic Belt
- Turkey OpenStreetMap Dataset - Spatial Analysis of Development and Growth Proxies
- Morphological Changes of the Lower Ping and Chao Phraya Rivers, North and Central Thailand: Flood and Coastal Equilibrium Analyses
- Landscape Transformations in Rapidly Developing Peri-urban Areas of Accra, Ghana: Results of 30 years
- Division of shale sequences and prediction of the favorable shale gas intervals: an example of the Lower Cambrian of Yangtze Region in Xiuwu Basin
- Fractal characteristics of nanopores in lacustrine shales of the Triassic Yanchang Formation, Ordos Basin, NW China
- Selected components of geological structures and numerical modelling of slope stability
- Spatial data quality and uncertainty publication patterns and trends by bibliometric analysis
- Application of microstructure classification for the assessment of the variability of geological-engineering and pore space properties in clay soils
- Shear failure modes and AE characteristics of sandstone and marble fractures
- Ice Age theory: a correspondence between Milutin Milanković and Vojislav Mišković
- Are Serbian tourists worried? The effect of psychological factors on tourists’ behavior based on the perceived risk
- Real-Time Map Matching: A New Algorithm Integrating Spatio-Temporal Proximity and Improved Weighted Circle
- Characteristics and hysteresis of saturated-unsaturated seepage of soil landslides in the Three Gorges Reservoir Area, China
- Petrographical and geophysical investigation of the Ecca Group between Fort Beaufort and Grahamstown, in the Eastern Cape Province, South Africa
- Ecological risk assessment of geohazards in Natural World Heritage Sites: an empirical analysis of Bogda, Tianshan
- Integrated Subsurface Temperature Modeling beneath Mt. Lawu and Mt. Muriah in The Northeast Java Basin, Indonesia
- Go social for your own safety! Review of social networks use on natural disasters – case studies from worldwide
- Forestry Aridity Index in Vojvodina, North Serbia
- Natural Disasters vs Hotel Industry Resilience: An Exploratory Study among Hotel Managers from Europe
- Using Monarch Butterfly Optimization to Solve the Emergency Vehicle Routing Problem with Relief Materials in Sudden Disasters
- Potential influence of meteorological variables on forest fire risk in Serbia during the period 2000-2017
- Controlling factors on the geochemistry of Al-Shuaiba and Al-Mejarma coastal lagoons, Red Sea, Saudi Arabia
- The Influence of Kaolinite - Illite toward mechanical properties of Claystone
- Two critical books in the history of loess investigation: ‘Charakteristik der Felsarten’ by Karl Caesar von Leonhard and ‘Principles of Geology’ by Charles Lyell
- The Mechanism and Control Technology of Strong Strata Behavior in Extra-Thick Coal Seam Mining Influenced by Overlying Coal Pillar
- Shared Aerial Drone Videos — Prospects and Problems for Volunteered Geographic Information Research
- Stable isotopes of C and H in methane fermentation of agriculture substrates at different temperature conditions
- Prediction of Compression and Swelling Index Parameters of Quaternary Sediments from Index Tests at Mersin District
- Detection of old scattered windthrow using low cost resources. The case of Storm Xynthia in the Vosges Mountains, 28 February 2010
- Remediation of Copper and Zinc from wastewater by modified clay in Asir region southwest of Saudi Arabia
- Sedimentary facies of Paleogene lacustrine dolomicrite and implications for petroleum reservoirs in the southern Qianjiang Depression, China
- Correlation between ore particle flow pattern and velocity field through multiple drawpoints under the influence of a flexible barrier
- Atmospheric refractivity estimation from AIS signal power using the quantum-behaved particle swarm optimization algorithm
- A geophysical and hydro physico-chemical study of the contaminant impact of a solid waste landfill (swl) in King Williams’ Town, Eastern Cape, South Africa
- Landscape characterization using photographs from crowdsourced platforms: content analysis of social media photographs
- A Study on Transient Electromagnetic Interpretation Method Based on the Seismic Wave Impedance Inversion Model
- Stratigraphy of Architectural Elements of a Buried Monogenetic Volcanic System
- Variable secondary porosity modeling of carbonate rocks based on μ-CT images
- Traditional versus modern settlement on torrential alluvial fans considering the danger of debris flows: a case study of the Upper Sava Valley (NW Slovenia)
- The Influence of Gangue Particle size and Gangue Feeding Rate on Safety and Service Life of the Suspended Buffer’s Spring
- Research on the Transition Section Length of the Mixed Workface Using Gangue Backfilling Method and Caving Method
- Rainfall erosivity and extreme precipitation in the Pannonian basin
- Structure of the Sediment and Crust in the Northeast North China Craton from Improved Sequential H-k Stacking Method
- Planning Activities Improvements Responding Local Interests Change through Participatory Approach
- GIS-based landslide susceptibility mapping using bivariate statistical methods in North-western Tunisia
- Uncertainty based multi-step seismic analysis for near-surface imaging
- Deformation monitoring and prediction for residential areas in the Panji mining area based on an InSAR time series analysis and the GM-SVR model
- Statistical and expert-based landslide susceptibility modeling on a national scale applied to North Macedonia
- Natural hazards and their impact on rural settlements in NE Romania – A cartographical approach
- Rock fracture initiation and propagation by mechanical and hydraulic impact
- Influence of Rapid Transit on Accessibility Pattern and Economic Linkage at Urban Agglomeration Scale in China
- Near Infrared Spectroscopic Study of Trioctahedral Chlorites and Its Remote Sensing Application
- Problems with collapsible soils: Particle types and inter-particle bonding
- Unification of data from various seismic catalogues to study seismic activity in the Carpathians Mountain arc
- Quality assessment of DEM derived from topographic maps for geomorphometric purposes
- Remote Sensing Monitoring of Soil Moisture in the Daliuta Coal Mine Based on SPOT 5/6 and Worldview-2
- Utilizing Maximum Entropy Spectral Analysis (MESA) to identify Milankovitch cycles in Lower Member of Miocene Zhujiang Formation in north slope of Baiyun Sag, Pearl River Mouth Basin, South China Sea
- Stability Analysis of a Slurry Trench in Cohesive-Frictional Soils
- Integrating Landsat 7 and 8 data to improve basalt formation classification: A case study at Buon Ma Thuot region, Central Highland, Vietnam
- Assessment of the hydrocarbon potentiality of the Late Jurassic formations of NW Iraq: A case study based on TOC and Rock-Eval pyrolysis in selected oil-wells
- Rare earth element geochemistry of sediments from the southern Okinawa Trough since 3 ka: Implications for river-sea processes and sediment source
- Effect of gas adsorption-induced pore radius and effective stress on shale gas permeability in slip flow: New Insights
- Development of the Narva-Jõesuu beach, mineral composition of beach deposits and destruction of the pier, southeastern coast of the Gulf of Finland
- Selecting fracturing interval for the exploitation of tight oil reservoirs from logs: a case study
- A comprehensive scheme for lithological mapping using Sentinel-2A and ASTER GDEM in weathered and vegetated coastal zone, Southern China
- Sedimentary model of K-Successions Sandstones in H21 Area of Huizhou Depression, Pearl River Mouth Basin, South China Sea
- A non-uniform dip slip formula to calculate the coseismic deformation: Case study of Tohoku Mw9.0 Earthquake
- Decision trees in environmental justice research — a case study on the floods of 2001 and 2010 in Hungary
- The Impacts of Climate Change on Maximum Daily Discharge in the Payab Jamash Watershed, Iran
- Mass tourism in protected areas – underestimated threat? Polish National Parks case study
- Decadal variations of total organic carbon production in the inner-shelf of the South China Sea and East China Sea
- Hydrogeothermal potentials of Rogozna mountain and possibility of their valorization
- Postglacial talus slope development imaged by the ERT method: comparison of slopes from SW Spitsbergen, Norway and Tatra Mountains, Poland
- Seismotectonics of Malatya Fault, Eastern Turkey
- Investigating of soil features and landslide risk in Western-Atakent (İstanbul) using resistivity, MASW, Microtremor and boreholes methods
- Assessment of Aquifer Vulnerability Using Integrated Geophysical Approach in Weathered Terrains of South China
- An integrated analysis of mineralogical and microstructural characteristics and petrophysical properties of carbonate rocks in the lower Indus Basin, Pakistan
- Applicability of Hydrological Models for Flash Flood Simulation in Small Catchments of Hilly Area in China
- Heterogeneity analysis of shale reservoir based on multi-stage pumping data
Artikel in diesem Heft
- Regular Articles
- 2D Seismic Interpretation of the Meyal Area, Northern Potwar Deform Zone, Potwar Basin, Pakistan
- A new method of lithologic identification and distribution characteristics of fine - grained sediments: A case study in southwest of Ordos Basin, China
- Modified Gompertz sigmoidal model removing fine-ending of grain-size distribution
- Diagenesis and its influence on reservoir quality and oil-water relative permeability: A case study in the Yanchang Formation Chang 8 tight sandstone oil reservoir, Ordos Basin, China
- Evaluation of AHRS algorithms for Foot-Mounted Inertial-based Indoor Navigation Systems
- Identification and evaluation of land use vulnerability in a coal mining area under the coupled human-environment
- Hydrocarbon Generation Potential of Chia Gara Formation in Three Selected Wells, Northern Iraq
- Source Analysis of Silicon and Uranium in uranium-rich shale in the Xiuwu Basin, Southern China
- Lithologic heterogeneity of lacustrine shale and its geological significance for shale hydrocarbon-a case study of Zhangjiatan Shale
- Characterization of soil permeability in the former Lake Texcoco, Mexico
- Detrital zircon trace elements from the Mesozoic Jiyuan Basin, central China and its implication on tectonic transition of the Qinling Orogenic Belt
- Turkey OpenStreetMap Dataset - Spatial Analysis of Development and Growth Proxies
- Morphological Changes of the Lower Ping and Chao Phraya Rivers, North and Central Thailand: Flood and Coastal Equilibrium Analyses
- Landscape Transformations in Rapidly Developing Peri-urban Areas of Accra, Ghana: Results of 30 years
- Division of shale sequences and prediction of the favorable shale gas intervals: an example of the Lower Cambrian of Yangtze Region in Xiuwu Basin
- Fractal characteristics of nanopores in lacustrine shales of the Triassic Yanchang Formation, Ordos Basin, NW China
- Selected components of geological structures and numerical modelling of slope stability
- Spatial data quality and uncertainty publication patterns and trends by bibliometric analysis
- Application of microstructure classification for the assessment of the variability of geological-engineering and pore space properties in clay soils
- Shear failure modes and AE characteristics of sandstone and marble fractures
- Ice Age theory: a correspondence between Milutin Milanković and Vojislav Mišković
- Are Serbian tourists worried? The effect of psychological factors on tourists’ behavior based on the perceived risk
- Real-Time Map Matching: A New Algorithm Integrating Spatio-Temporal Proximity and Improved Weighted Circle
- Characteristics and hysteresis of saturated-unsaturated seepage of soil landslides in the Three Gorges Reservoir Area, China
- Petrographical and geophysical investigation of the Ecca Group between Fort Beaufort and Grahamstown, in the Eastern Cape Province, South Africa
- Ecological risk assessment of geohazards in Natural World Heritage Sites: an empirical analysis of Bogda, Tianshan
- Integrated Subsurface Temperature Modeling beneath Mt. Lawu and Mt. Muriah in The Northeast Java Basin, Indonesia
- Go social for your own safety! Review of social networks use on natural disasters – case studies from worldwide
- Forestry Aridity Index in Vojvodina, North Serbia
- Natural Disasters vs Hotel Industry Resilience: An Exploratory Study among Hotel Managers from Europe
- Using Monarch Butterfly Optimization to Solve the Emergency Vehicle Routing Problem with Relief Materials in Sudden Disasters
- Potential influence of meteorological variables on forest fire risk in Serbia during the period 2000-2017
- Controlling factors on the geochemistry of Al-Shuaiba and Al-Mejarma coastal lagoons, Red Sea, Saudi Arabia
- The Influence of Kaolinite - Illite toward mechanical properties of Claystone
- Two critical books in the history of loess investigation: ‘Charakteristik der Felsarten’ by Karl Caesar von Leonhard and ‘Principles of Geology’ by Charles Lyell
- The Mechanism and Control Technology of Strong Strata Behavior in Extra-Thick Coal Seam Mining Influenced by Overlying Coal Pillar
- Shared Aerial Drone Videos — Prospects and Problems for Volunteered Geographic Information Research
- Stable isotopes of C and H in methane fermentation of agriculture substrates at different temperature conditions
- Prediction of Compression and Swelling Index Parameters of Quaternary Sediments from Index Tests at Mersin District
- Detection of old scattered windthrow using low cost resources. The case of Storm Xynthia in the Vosges Mountains, 28 February 2010
- Remediation of Copper and Zinc from wastewater by modified clay in Asir region southwest of Saudi Arabia
- Sedimentary facies of Paleogene lacustrine dolomicrite and implications for petroleum reservoirs in the southern Qianjiang Depression, China
- Correlation between ore particle flow pattern and velocity field through multiple drawpoints under the influence of a flexible barrier
- Atmospheric refractivity estimation from AIS signal power using the quantum-behaved particle swarm optimization algorithm
- A geophysical and hydro physico-chemical study of the contaminant impact of a solid waste landfill (swl) in King Williams’ Town, Eastern Cape, South Africa
- Landscape characterization using photographs from crowdsourced platforms: content analysis of social media photographs
- A Study on Transient Electromagnetic Interpretation Method Based on the Seismic Wave Impedance Inversion Model
- Stratigraphy of Architectural Elements of a Buried Monogenetic Volcanic System
- Variable secondary porosity modeling of carbonate rocks based on μ-CT images
- Traditional versus modern settlement on torrential alluvial fans considering the danger of debris flows: a case study of the Upper Sava Valley (NW Slovenia)
- The Influence of Gangue Particle size and Gangue Feeding Rate on Safety and Service Life of the Suspended Buffer’s Spring
- Research on the Transition Section Length of the Mixed Workface Using Gangue Backfilling Method and Caving Method
- Rainfall erosivity and extreme precipitation in the Pannonian basin
- Structure of the Sediment and Crust in the Northeast North China Craton from Improved Sequential H-k Stacking Method
- Planning Activities Improvements Responding Local Interests Change through Participatory Approach
- GIS-based landslide susceptibility mapping using bivariate statistical methods in North-western Tunisia
- Uncertainty based multi-step seismic analysis for near-surface imaging
- Deformation monitoring and prediction for residential areas in the Panji mining area based on an InSAR time series analysis and the GM-SVR model
- Statistical and expert-based landslide susceptibility modeling on a national scale applied to North Macedonia
- Natural hazards and their impact on rural settlements in NE Romania – A cartographical approach
- Rock fracture initiation and propagation by mechanical and hydraulic impact
- Influence of Rapid Transit on Accessibility Pattern and Economic Linkage at Urban Agglomeration Scale in China
- Near Infrared Spectroscopic Study of Trioctahedral Chlorites and Its Remote Sensing Application
- Problems with collapsible soils: Particle types and inter-particle bonding
- Unification of data from various seismic catalogues to study seismic activity in the Carpathians Mountain arc
- Quality assessment of DEM derived from topographic maps for geomorphometric purposes
- Remote Sensing Monitoring of Soil Moisture in the Daliuta Coal Mine Based on SPOT 5/6 and Worldview-2
- Utilizing Maximum Entropy Spectral Analysis (MESA) to identify Milankovitch cycles in Lower Member of Miocene Zhujiang Formation in north slope of Baiyun Sag, Pearl River Mouth Basin, South China Sea
- Stability Analysis of a Slurry Trench in Cohesive-Frictional Soils
- Integrating Landsat 7 and 8 data to improve basalt formation classification: A case study at Buon Ma Thuot region, Central Highland, Vietnam
- Assessment of the hydrocarbon potentiality of the Late Jurassic formations of NW Iraq: A case study based on TOC and Rock-Eval pyrolysis in selected oil-wells
- Rare earth element geochemistry of sediments from the southern Okinawa Trough since 3 ka: Implications for river-sea processes and sediment source
- Effect of gas adsorption-induced pore radius and effective stress on shale gas permeability in slip flow: New Insights
- Development of the Narva-Jõesuu beach, mineral composition of beach deposits and destruction of the pier, southeastern coast of the Gulf of Finland
- Selecting fracturing interval for the exploitation of tight oil reservoirs from logs: a case study
- A comprehensive scheme for lithological mapping using Sentinel-2A and ASTER GDEM in weathered and vegetated coastal zone, Southern China
- Sedimentary model of K-Successions Sandstones in H21 Area of Huizhou Depression, Pearl River Mouth Basin, South China Sea
- A non-uniform dip slip formula to calculate the coseismic deformation: Case study of Tohoku Mw9.0 Earthquake
- Decision trees in environmental justice research — a case study on the floods of 2001 and 2010 in Hungary
- The Impacts of Climate Change on Maximum Daily Discharge in the Payab Jamash Watershed, Iran
- Mass tourism in protected areas – underestimated threat? Polish National Parks case study
- Decadal variations of total organic carbon production in the inner-shelf of the South China Sea and East China Sea
- Hydrogeothermal potentials of Rogozna mountain and possibility of their valorization
- Postglacial talus slope development imaged by the ERT method: comparison of slopes from SW Spitsbergen, Norway and Tatra Mountains, Poland
- Seismotectonics of Malatya Fault, Eastern Turkey
- Investigating of soil features and landslide risk in Western-Atakent (İstanbul) using resistivity, MASW, Microtremor and boreholes methods
- Assessment of Aquifer Vulnerability Using Integrated Geophysical Approach in Weathered Terrains of South China
- An integrated analysis of mineralogical and microstructural characteristics and petrophysical properties of carbonate rocks in the lower Indus Basin, Pakistan
- Applicability of Hydrological Models for Flash Flood Simulation in Small Catchments of Hilly Area in China
- Heterogeneity analysis of shale reservoir based on multi-stage pumping data