Abstract
A collapsible soil is composed essentially of a packing of mineral particles and a set of interparticle bonds holding the system together. Failure requires the bond system to fail and the soil structure to collapse. A natural hazard is presented. The soil structure may collapse inwards (consolidate), as in loess failure, or it may collapse outwards (disperse, disintegrate), as in the failure of quick-clays, some collapsing sands, some silty estuarine deposits, and in wind erosion of silty soils by saltating sand grains. Generalising about bonding systems allows two types of interparticle bond to be recognized: long range bonds and short range bonds. Long range bonds are found in clay mineral systems and allow the occurrence of plasticity. They are represented by c in the standard Coulomb equation. Short range bonds are found in inactive particle systems. These are soil systems where the constituent particles do not have a significant electrical charge. A slight deformation of a short-range bonded system causes much loss of strength. It is short range bonds which tend to dominate in collapsing soil systems, although in the complex case of loess the bond failure is initially mediated by long range bonds at the interparticle contact regions. A collapse failure involves a large scale remaking of the soil structure, and thus total failure of the bonding system.
Generalising again- it can be claimed that five types of particle make up engineering soils: A active clay mineral particles (the smectites), B inactive clay mineral particles (e.g. kaolinite, illite), C very small inactive primary mineral particles (close to the comminution limit in size- mostly in the quick-clays), D silt (usually quartz silt), and E sand (usually quartz sand). The nature of type D particles contributes to the collapse of loess soils, the most widespread of the collapsing soil phenomena. The nature of type C particles controls the behaviour of quick-clays. C and D systems are essentially dominated by short-range bonds.
1 Introduction
Collapsible soils can be divided into two types: a) those in which an open structure collapses into a more compact structure(perhaps these are the classic, default collapsible soils), and b) those in which a soil structure disintegrates into a totally dispersed system. Type (a) is the widely accepted form of collapsible soil, and the most widespread, but since the NATO Conference on Collapsible soils in 1994 type (b) variants have been accepted within the definition of collapsible soil [1]. The particle packing structure of collapsible soils has recently been considered by Assadi-Langroudi et al. [2]. Here we are concerned with the interparticle bonds which have to be broken for the system to collapse; it would also be useful to clarify the nature of the various types of collapsing soil and to define some of the collapse actions and consequences. There have not been many studies of interparticle bonding in engineering soils, perhaps the most perceptive was that by Osipov [3]. This topic falls within the field of ‘engineering soil science’ which has always been more thoroughly pursued in Russia than in other countries, so most of the literature on engineering soil bonding and collapse problems in engineering soils is in Russian (see, in particular Sergeev et al. [4], Trofimov [5], Kriger [6], Kriger et al. [7] and for a review of early studies Drashevska [8] – which is highly recommended).
Loess collapses; loess ground possesses collapsibility; loess is the major collapsing soil and the development of collapsibility and the dynamics of loess collapse have been much studied. Perceptive investigations are still appearing, see, in particular, Xie et al. [9] and Milodowski et al. [10]. Loess collapses to form a more compact system; this may cause subsidence in the engineering environment. The terms subsidence and collapse have to be observed carefully, particularly in translated literature as subtle distinctions are often lost in translation. No doubt that loess is the critical collapsible soil. Terzaghi et al. [11] listed other soils in the collapsible category, these were quick-clays, estuarine deposits and collapsing sands. It should be noted that these additional systems tend to collapse by disintegration or dispersion, the initial, somewhat compact material is dispersed into a totally disaggregated mass with a much larger volume. In quick-clay failure solid turns to liquid and in the case of wind erosion by particle impact solid turns to vapour. Thatmaybe a little exaggerated but this is the essence of the alternative collapsing systems. Perhaps the most important of the disintegrating systems is that operating when soil is eroded by saltating sand grains – the classic form of wind erosion – which reached it apotheosis in the ‘dust bowl’ of the nineteen thirties. Each impacting sand grain causes the collapse (disintegration) of a discrete volume of soil which is carried away by the wind. The impact + collapse event is the soil erosion event. The tensile strength of the material in the collapsing, impact zone is overcome [12].
Collapse is allowed because the bonds are breakable, and in most cases this is a ‘short-range’ bond, which needs to be defined and discussed. And to provide a reasonably comprehensive setting we need to discuss the various soil particle types which are involved in the relevant collapsible soils. The aim of this paper is to provide a simple recognition and definition of soil particle types, and of the basic bond types that operate in soil systems. Mechanisms of soil collapse can be described in terms of particle type and bonding type and the various collapsible soils described and discussed.
2 The bond/weight ratio R
The strength of the interparticle bond divided by the weight of the particle gives the bond/weight ratio, sometimes called R [13, 14, 15].
This is a useful concept and it allows the various types of particle in engineering soils to be identified. Figure 1 shows the variation of R with particle size for ideal soil systems.

The R-size diagram. The bond/weight ratio R is plotted against particle size. The demarcated regions are A active clays, B inactive clays, C very small primary mineral particles, D silt, E sand. At R = 1 the interparticle bond force is equal to the weight force. At R > 1 cohesive; at R < 1 cohesionless (ideally). Typical values of PI plasticity index are shown.
Five ideal soil materials are demarcated on Figure 1: region A, with a very high R value, is the active clays, the smectites, very small particle size, very high surface area c.800m2/ g. Region B is the inactive clay zone, clays with a low activity, kaolinites, illites, halloysite etc. Region C is a contentious region, one which is not traditionally defined but this is where the very fine primary mineral particles, often very fine quartz, occur; the material for quick-clays. Region D is silt, the region where R = 1, where the transition from cohesive to cohesionless occurs, where strange properties are observed, where loess is. Region E is sand, quartz sand by default, where R is very small, where the gravitational force represented by the weight of the particle far outweighs the short range interparticle bond force.
To generalise: particlesAand B have electrical charges and are involved in long-range bonding- action at a distance; particles C, D and E do not have electrical charges and are involved in short-range bonding – contact bonds which lose strength on disturbance. Soil systems with charged particles have plasticity – the ability to deform without a significant loss of strength. By and large it is the short range bonded systems which can respond to stress by great losses of strength, and by structural collapse.
3 Quartz sand
Most sand is quartz sand. Since ‘sand’ is an accepted size range definition in most systems of soil classification it is inevitable that other minerals falling within the defineable range will be classified as sand – but the ‘default’ sand is quartz sand. There is an large amount of quartz sand in the systems we know as sediments and soils, its very ubiquity has led to its scientific neglect and a widespread failure to appreciate many interesting qualities and properties. There are a few perceptive general studies on sand; Moss [16] is pre-eminent but there are offerings from Siever [17], Welland [18], Pettijohn et al. [19], Kuenen [20] and Krinsley & Smalley [21].
The default crustal rock is granite, and it is the weathering and breakdown of granite which delivers sand into the sedimentary system.
There are controls that operate on the nature of sand particles and the majority of these operate within the natal granite. There are two significant events which take place while the granite is forming that have great influence on the eventual sand grains. These are a eutectic like reaction (Figure 2), essentially between feldspar and quartz, which produces a typical eutectic type product of small individual units of quartz and feldspar. This reaction sets the size of the sand particles- this is the important size control, much more important than any postweathering activity. The quartz particles are formed as high quartz, the less dense variety of quartz, but as the system cools they undergo a displacive change into low quartz, with a higher density (Figure 3). This change occurs within the solid matrix of the granite rock and since the low quartz has a higher density than the high quartz there is an essential mechanical constraint. The quartz unit wishes to contract, some defects are formed and some internal tensile stresses are introduced. The eutectic reaction controls the size range and the high-low transformation introduces the stresses which enable the sand grains to weather efficiently from the decomposing granite [22]. This accounts for the limited size range of quartz sand particles in sediments and soils; the mode size range is around 200-500μm, the classification size range is usually 60-2000μm.

Sand. The essential eutectic phase diagram. The end members here are feldspar(F) and quartz(Q), T is temperature; the dotted line is the position of a model granite. The granite structure will be primary feldspar crystals and a eutectic mix of quartz and feldspar. The quartz particles become sand.

Sand. The high/low transition in quartz. As the temperature falls the low density high quartz is transformed into the more stable high density low quartz. In a granite system this causes widespread tensile stresses to develop. The c/a ratio in quartz changes significantly as the high-low transition proceeds.
4 Quartz silt
There are large amounts of silt in the soil/ sediment system [14]. How the silt was made is still being discussed, largely because in loess deposits the amount of silt required is so vast. The other interesting question is: why is silt silt? What are the controls which restrict quartz silt to a size range where the particle mode is around 20-50 μm?
Quartz silt is controlled by the defects introduced into the quartz crystals at the sand stage [16, 23, 24, 25] For convenience these are called ‘Moss’ defects after A.J.Moss a major investigator. The distribution of the Moss defects controls quartz silt production and establishes the limits on the size distribution. The initial size control introduced by the eutectic reaction at the sand stage influences the level of stress which is developed at the high-low transition. To generalize – each sand particle in the granite system is about the same size so that as the high-low transition occurs roughly the same amount of stress is developed in each sand grain, and thus the breakage control which is exerted has the effect of producing roughly the same size of silt particles in each instance of silt formation.
Thus there is an obvious mode in the size distribution of quartz silt particles, probably at around 20—50 μm. The ‘official’ size distribution of silt is 2-60 μm.
5 Clay size; clay mineral
For convenience of classification it was decided that all soil particles less than 2um should be called clay (this is the case in most soil classification systems). This size barrier does effectively separate the clay minerals from the primary minerals, but there are exceptions which have caused problems. It would be useful to clearly distinguish between clay-size and clay-mineral. A clay mineral particle has an electrical charge and this determines its special nature and influence on ground properties. The distinction of soil particles into charged and uncharged is fundamental. It essentially establishes the division into cohesive and cohesionless. It is where there is straying across these arbitrary barriers that soil problems can arise.
The possession of electrical charge by clay mineral particles confers on relevant systems the remarkable property of plasticity. In general plasticity is the consequence of long-range bonding. A system dominated by short-range bonds will have a low plasticity. Some values of plasticity index PI are indicated on Figure 1.
6 Bonds
The ‘long’ and ‘short’ range bondswere first thoroughly demarcated by Cabrera & Smalley [26] in their study of quick-clays. They needed to describe a system where strength was lost on disturbance, which could account for the behaviour of quick-clays. Quick-clays are very sensitive soils where the undisturbed strength is vastly greater than the remoulded strength [27, 28]. Some confusion was caused in the investigation of the quick-clays by the semantic accident of their being referred to as clays. This tended to focus thought in the direction of clay minerals and clay mineral properties when, in fact, the quick-clays are composed mostly of primary mineral particles. Exceptional geological circumstances deliver very fine primary mineral material which forms a clay size soil but one without clay mineral properties. The quick-clay, by and large, has short range bonds, the sort of bonds that lose strength on disturbance, which nicely explains the high sensitivity. The validity of the short range approach depended heavily on a mineral analysis of a typical quick-clay and this was provided by tests on the St Jean Vianney quick-clay [29]. The St Jean Vianney slide of 1971 was a classic quick-clay event causing much damage and some loss of life. The first application of thermogravimetric analysis to quick-clays showed convincingly that the clay mineral content was low, less than 10%, and that the small amount of clay mineral material was of a low-activity nature (point B) on Figure 1. The bulk of the St Jean Vianney material was very fine primary mineral material produced by glacial grinding, at point C on Figure 1. The required glacial connection means that quick-clays have a limited geographical distribution; there is a glacierization requirement so northern Canada (Quebec), parts of Scandinavia, Alaska are typical quick-clay regions.
Quick-clays were reviewed by Maerz & Smalley [28]; for more recent views see L’Heureux et al. [30].
7 Short-range bonds
In a sand dune there are interactions between the particles; these are classic short range bonds. The bond/weight ratio R is very small; the weight of the sand grains is a much more significant force than any possible attraction between the sand grains- if the system is dry. In a wet sand system considerable cohesion develops because of meniscus bonds between the particles. But a dry sand system is very close to a cohesionless state.
There are forces between dry quartz particles but they only become apparent when the particle size is greatly reduced, when R is increasing towards 1.0.
The development of cohesion can be demonstrated by determining the flow-stick transition in the granular system [31, 32]. The graphs in Figures 4 & 5 show the change in flow rate for granular materials flowing through an orifice; the experiments were variations on the original Bingham & Wikoff [33] studies on the rheology of granular systems.
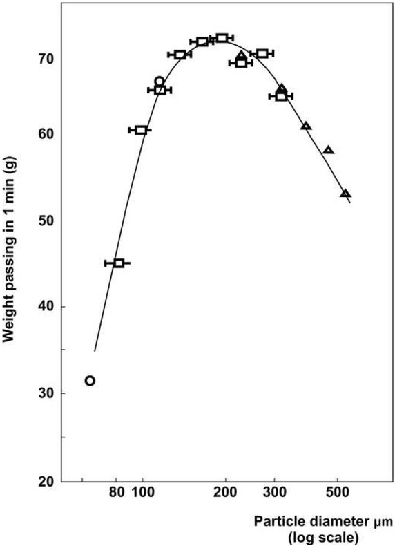
![Figure 4 Flow-stick. The Jones-Pilpel [32] results; flow of dry magnesia powder through a variety of orifices. Cohesion becomes dominant at about 50μm; cohesion starts to become effective at about 250μm. The interparticle bonds are classic short range bonds.](/document/doi/10.1515/geo-2019-0064/asset/graphic/j_geo-2019-0064_fig_004.jpg)
Flow-stick. The Jones-Pilpel [32] results; flow of dry magnesia powder through a variety of orifices. Cohesion becomes dominant at about 50μm; cohesion starts to become effective at about 250μm. The interparticle bonds are classic short range bonds.
![Figure 5 Flow-stick. The flow-stick transition for granular quartz, after Smalley [31]. Dry quartz powder flowing through a 3mm orifice: B is blockage, T is turnover from free-flowing towards cohesive, S is flow failure due to dominance of cohesive forces- at about 50 μm.](/document/doi/10.1515/geo-2019-0064/asset/graphic/j_geo-2019-0064_fig_005.jpg)
Flow-stick. The flow-stick transition for granular quartz, after Smalley [31]. Dry quartz powder flowing through a 3mm orifice: B is blockage, T is turnover from free-flowing towards cohesive, S is flow failure due to dominance of cohesive forces- at about 50 μm.
The first determination of the flow-stick transition point is shown in Figure 4; here the orifice had a 3mm diameter and the granular material was crushed quartz sand. When the particles are large the orifice is blocked and no flow is possible, point B on Figure 4. As the particle size is reduced flow begins and grows quicker as the particle size is reduced, the smaller grains flow more quickly. The flow rate increases until cohesive forces start to be felt; at point T, at about 150 μm, flow reaches a maximum rate and then decreases as the particle size is further reduced until flow stops at about 50 μm, point F. At this size the flow forces and the stick forces balance and flow stops. This would be at R = 1 on the R/ size diagram (Figure 1).
These original flow-stick experiments were repeated on a larger scale by Jones &Pilpel [32] using magnesia powder and a variety of orifice diameters (Figure 5). Flow-stick forces equated at about 50 μm as in the original experiments but the enlargement of the orifices showed that the turnover pioint where cohesive forces began to be apparent was at about 250 m. At the smaller orifice sizes there was a distinct ‘orifice’ effect which affected the turnover point. The Smalley [31] and the Jones & Pilpel [32] results were totally reconcilable and appear to establish 50 μm as a reasonable setting for the R = 1 point; nicely in the silt range in Figure 1. (see Castellanos [34] for more, perceptive discussion on this topic).
8 Types of collapse
Figure 6 is a cartoon version of types of collapse; L is loess, where the original soil suffers from hydrocollapse and the collapsed material occupies a smaller volume than the original; collapse as compaction. QC is quick-clay where the failure is a total dispersion of the original material, the solid ground turns into a liquid flowslide. S is sand, a small scale part of the collapsible soil collection, residual material, highly weathered sands in which the structure can collapse when loaded or disturbed. Es is estuary- silty deposits usually in estuary situations; and Er is soil erosion by sand grain impact – classic wind erosion.

Five types of failure in collapsible soil systems; a very simple cartoon overview. L loess, QC quick-clay, S sand, Est estuarine silts, Er wind erosion of a silty soil. L fails by compaction, the others are disintegrative, dispersive failures.
The QC and Er events have certain similarities. In each case a soil composed of an open structure of primary mineral particles is disturbed, perhaps by an earthquake or an impacting sand grain, and the rigid short range bonded system disintegrates, the particles are dispersed into a fluid medium which supports them in suspension, in water and in air. The QC failure mechanism was explained by Cabrera & Smalley [26]; the early studies on QCs have been gathered by Maerz&Smalley [28]; the Er erosion event was described and discussed by Jefferson & Smalley [15]. The S and Est events are minor events in the collection of collapsible soil occurrences, for adequate outlines see Terzaghi et al. [11].
The most significant form of collapse is loess collapse. This has been discussed to a great extent and over a considerable time (see Rogers et al. [35] for review, also Kriger [6], Trofimov [5], Xie et al. [9], Milodowski et al. [10].
It has turned out that loess collapse is a complex process, and to provide a proper explanation it is necessary to invoke both long and short range bonds. Milodowski et al. [10] have produced a vision of a stepwise process which can explain the formation of bonding in loess ground and subsequent collapse (see also Smalley & Markovic [36]). Soon after the initial deposition of the loess material there is deposition of calcium carbonate needles (calcite and aragonite) at particle contacts. The short range contacts are reinforced by carbonate deposition. The networks of carbonate needles serve to trap clay mineral particles so the nature of the bond region changes again, and the bonding takes on a long-range aspect. So the essential metastable loess ground is in place but the properties are mediated by the presence of clay mineral material at the interparticle bond points. When the system is loaded and wetted failure develops by the weakening of the long range regions; eventually there is enough initial deformation for the metastable structure to collapse. Once the bonds lose enough strength the system is in effect a simple short range bonded system, which can undergo proper loess collapse, as voids ratio changes from about 1.0 to about 0.6.
9 Soil erosion as a collapse process (Figure 7)
![Figure 7 Erosion Er. Factors involved in wind erosion by saltating sand grains impacting into an ideal loess soil. For explanation see text. The particles in a small volume are completely dispersed; all the bonds are broken, it is a total tensile failure (Smalley [12]).](/document/doi/10.1515/geo-2019-0064/asset/graphic/j_geo-2019-0064_fig_007.jpg)
Erosion Er. Factors involved in wind erosion by saltating sand grains impacting into an ideal loess soil. For explanation see text. The particles in a small volume are completely dispersed; all the bonds are broken, it is a total tensile failure (Smalley [12]).
Many soils, but in particular loess soils, suffer from wind erosion. Saltating sand grains transfer energy from the wind to the ground and the impacting sand grain disrupts a region of ground which is dispersed in suspension. The soil erosion event is essentially a collapsible soil phenomenon, and the failure of a local part of the ground surface can be seen as a tensile failure, the breaking of a certain number of interparticle bonds, plus of course, particle-particle energy transfer which lifts and disperses the eroded particles [15].
The soil collapse = soil erosion event can be portrayed by a simple functional equation:
Eim(s) is the impact energy delivered by the moving sand grain; this combines with Em, the metastable energy (potential energy) of the open structured loess soil system to cause disruption in the impact zone (the collapse region). Eim(s) delivers the trigger energy which makes the metastable stored energy available. The type of soil which suffers from wind erosion is likely to be a soil in which the Em value is significant.
The impact energy (plus metastable component) is dissipated into breaking interparticle bonds (Ebb); injecting eroded particles into the airstream (Ej); carrying the sand particle on its way (Esr) and disturbing and compacting the soil around the impact zone (Ec). It can be seen that Ebb and Ej are the important factors and the trade off between these two factors affects the nature of the erosion.
Esr and Ec are minor factors, in the consideration of the impact event, and there may be other minor factors to be eventually included. A compromise between Ebb and Ej is needed for wind erosion to proceed. If the bonding is too strong a large Ebb requirement makes erosion impossible; if the particles are too large the Ej requirement also inhibits particle movement and soil collapse. This is the compromise which is illustrated in the flow/ stick studies. distinctions. Interparticle bonds can be divided simply into long-range and short range bonds, observed between clay mineral particles and primary mineral particles; it is the short range bonds which have the major role to play in events involving collapsible soils.
10 Discussion
Classification and nomenclature have played a role in obscuring the true nature of collapsible soils and the true mechanisms of the collapse process. It needs to be established that the range of particles and particle sizes in the engineering soil universe is not a continuum. Certain defineable processes produce certain characteristic products. The soil world is complex and sometimes the modes fail to be distinguished. Lithological processes control the production of quartz sand, because of its abundance it gained a named size range – but it is a material in its own right; not just a size interval. The same applies to quartz silt, lithological processes determine the mode size and again abundance dictates nomenclature. Because the zone C particles are not produced in great numbers or are produced in particular circumstances (e.g. desert dust) they have not been named. In the world of dust and loess studies these are called ‘small dust’ and a mode of around 3μm is observed [37]. Actually small dust will include some clay mineral material of an inactive nature so its use for type C systems should be done carefully.
Quick-clays are not clays in the sense that few clay minerals are involved. They were called clays originally because of the small particle size, and, of course, size determined nomenclature. Perhaps they should be referred to as very sensitive soils.
11 Conclusions
The classic soil collapse is the hydrocollapse of loess ground under the right conditions of loading and wetting. Also included as collapsing soil systems are the very sensitive soils known as quick-clays, silty estuarine deposits, some types of collapsing sand systems, and soil erosion by wind action. Of the disintegration type of collapse failures the soil erosion is the most significant. The discontinuous nature of soil size distribution needs to be understood, as an aid to understanding collapsing soil problems. The division into active clays, inactive clays, small primary particles(small dust), silt and sand provide a useful set of initial
References
[1] Derbyshire, E., Dijkstra, T.A., Smalley, I.J.(eds.) . Genesis and Properties of Collapsible Soils. (NATO ASI series C, v.468) Kluwer Rotterdam 1995. 424p.10.1007/978-94-011-0097-7Search in Google Scholar
[2] Assadi-Langroudi, A., Ng’ambi, S., Smalley, I.J. Loess as a collapsible soil : Some basic particle packing aspects. Quaternary International, 2018. 469, 20-29.10.1016/j.quaint.2016.09.058Search in Google Scholar
[3] Osipov, V.I. Structural bonds and the properties of clays. Bulletin of the International Association of Engineering Geology 1975, 12, 13-28.10.1007/BF02635423Search in Google Scholar
[4] Sergeev, E.M., Golodkovskaya, G.A., Ziangirov, R.S., Osipov, V.I., Trofimov, V.T. Engineering Soil Science (= Gruntovedenie) Moscow University Press 1983, 389p (in Russian).Search in Google Scholar
[5] Trofimov, V.T.(ed.) Loess mantle of the Earth and its properties. Moscow University Press 2001, 464p. (in Russian).Search in Google Scholar
[6] Kriger, N.I. Loess: Origin of hydrocompaction properties. Nauka Moscow 1986. 132p. (in Russian)Search in Google Scholar
[7] Kriger, N.I., Kotel’nikova, K.A., Lavrusevich, S.I., Sevost’yanov, V.V. Principles of formation of collapse properties of loess rocks of Central Asia and southern Kazakhstan. Nauka Moscow 1981. 132p. (in Russian)Search in Google Scholar
[8] Drashevska, L. Review of recent USSR publications in selected fields of engineering soil science. Reviews in Engineering Geology (Geological Society of America) 1962. 1, 197-256.10.1130/REG1-p197Search in Google Scholar
[9] Xie, W.L., Wang, Y.S., Ma, Z.H., Ge, R.H., Wang, J.D. Research status and prospect of loess collapsibility mechanism. Geoscience 2015, 29, 397-407 (in Chinese).Search in Google Scholar
[10] Milodowski, A.E., Northmore, K.J., Entwisle, D.C., Gunn, D.A., Nelder, L.M., Jackson, P.D., Boardman, D.I., Zoumpakis, A., Rogers, C.D.F., Dixon, N., Jefferson, I.F., Smalley, I.J., Clarke, M. The mineralogy and fabric of brickearths (loess) and their relationship to engineering properties. Bulletin of Engineering Geology and the Environment, 2015. doi 10.1007/s 10064-014-0694-5.10.1007/s10064-014-0694-5Search in Google Scholar
[11] Terzaghi, K., Peck, R.B., Mesri, G. Soil Mechanics in Engineering Practice 5th. Edition. Wiley New York 1996, 592p.Search in Google Scholar
[12] Smalley, I.J. Cohesion of soil particles and the intrinsic resistance of simple soil systems to wind erosion. [European] Journal of Soil Science 1970, 21, 154-161.10.1111/j.1365-2389.1970.tb01163.xSearch in Google Scholar
[13] Smalley, I.J. Nature of quick-clays. Nature 1971, 231, 310 only.10.1038/231310a0Search in Google Scholar
[14] Assallay, A.M., Rogers, C.D.F., Smalley, I.J., Jefferson, I.F. Silt: 2 – 62μm, 9 – 4Φ. Earth Science Reviews 45, 61-88. (1998).10.1016/S0012-8252(98)00035-XSearch in Google Scholar
[15] Jefferson, I.F., Smalley, I.J. Saltating sand erodes metastable loess: events in the impact zone. Proceedings WERU 50 Conference, ed. E.L.Skidmore, J.Tatarko. 1999. http://www.weru.ksu.edu/symposium/proceed.htmSearch in Google Scholar
[16] Moss, A.J. Origin, shaping and significance of quartz sand grains. Journal of the Geological Society of Australia, 1966, 13, 97-136.10.1080/00167616608728607Search in Google Scholar
[17] Siever, R. Sand. Scientific American New York 1988, 237p.Search in Google Scholar
[18] Welland, M. Sand: A journey through science and the imagination. Oxford University Press New York 2009, 333p.10.1525/9780520942004Search in Google Scholar
[19] Pettijohn, F.J., Potter, P.E., Siever, R. Sand and Sandstone (2nd.ed) Springer New York, 1987, 586p.10.1007/978-1-4612-1066-5Search in Google Scholar
[20] Kuenen, Ph.H. Sand: its origin, transportation, abrasion and accumulation. Geological Society of South Africa, 1959. Annex to v.62 (Alexander du Toit Memorial Lecture no.6) 1-33.Search in Google Scholar
[21] Krinsley, D.H., Smalley, I.J. Sand. American Scientist 1972. 60, 286-291.10.1016/S0002-8223(21)15032-1Search in Google Scholar
[22] Smalley, I.J. Formation of quartz sand. Nature 1966, 211, 476-479.10.1038/211476a0Search in Google Scholar
[23] Moss, A.J. Initial fluviatile fragmentation of granitic quartz. Journal of Sedimentary Petrology/Research 1972, 42, 905-916.10.1306/74D72671-2B21-11D7-8648000102C1865DSearch in Google Scholar
[24] Moss, A.J., Green, P. Sand and silt grains: predetermination of their formation and properties by microfractures in quartz. Journal of the Geological Society of Australia 1975, 22, 485-495.10.1080/00167617508728913Search in Google Scholar
[25] Moss, A.J.,Walker, P.H., Hutka, J. Fragmentation of granitic quartz in water. Sedimentology 1973, 20, 489-511.10.1111/j.1365-3091.1973.tb01627.xSearch in Google Scholar
[26] Cabrera, J.G., Smalley, I.J. Quick-clays as products of glacial action: a new approach to their nature, geology, distribution and geotechnical properties. Engineering Geology 7, 115-133. (1973).10.1016/0013-7952(73)90041-0Search in Google Scholar
[27] Rosenqvist, I.Th. Considerations on the sensitivity of Norwegian quick-clays. Geotechnique 1953, 3, 195-200.10.1680/geot.1953.3.5.195Search in Google Scholar
[28] Maerz, N.H., Smalley, I.J. The nature and properties of very sensitive clays: a descriptive bibliography. 1985. University of Waterloo Library, Waterloo Ontario 135p.Search in Google Scholar
[29] Smalley, I.J., Bentley, S.P., Moon, C.F. The St. Jean Vianney quick-clay. Canadian Mineralogist 1975, 13, 364-369.Search in Google Scholar
[30] L’Heureux, J.S., Locat, A., Leroeil, S., Demers, D., Locat, J. Landslides in sensitive clays – from geosciences to risk management. 2014. Springer Netherlands 567p.10.1007/978-94-007-7079-9Search in Google Scholar
[31] Smalley, I.J Flow-stick transition in powders. Nature 1964, 201, 173-174.10.1038/201173a0Search in Google Scholar
[32] Jones, T.M., Pilpel, N. The flow properties of granular magnesia. Journal of Pharmacy and Pharmacology 1966. 18, 81-93.10.1111/j.2042-7158.1966.tb07829.xSearch in Google Scholar
[33] Bingham, E.C.,Wikoff, R.W. The flow of dry sand through capillary tubes. Journal of Rheology 1931, 2, 395-400.10.1122/1.2116398Search in Google Scholar
[34] Castellanos, A. The relationship between attractive interparticle forces and bulk behaviour in dry and uncharged fine powders. Advances in Physics 2005, 54, 263-376.10.1080/17461390500402657Search in Google Scholar
[35] Rogers, C.D.F., Dijkstra, T.A.,Smalley, I.J. Hydroconsolidation and subsidence of loess: Studies from China, Russia, North America and Europe. Engineering Geology 1994, 37, 83-113.10.1016/0013-7952(94)90045-0Search in Google Scholar
[36] Smalley, I.J., Markovic, S.B. Loessification and hydroconsolidation: there is a connection. Catena 2014, 117, 94-99.10.1016/j.catena.2013.07.006Search in Google Scholar
[37] Stuut, J-B, Smalley, I.J., O’Hara-Dhand, K. Aeolian dust in Europe: African sources and European deposits. Quaternary International 2009, 198, 234-245.10.1016/j.quaint.2008.10.007Search in Google Scholar
© 2019 I. Smalley and S. Ng’ambi, published by De Gruyter
This work is licensed under the Creative Commons Attribution 4.0 Public License.
Articles in the same Issue
- Regular Articles
- 2D Seismic Interpretation of the Meyal Area, Northern Potwar Deform Zone, Potwar Basin, Pakistan
- A new method of lithologic identification and distribution characteristics of fine - grained sediments: A case study in southwest of Ordos Basin, China
- Modified Gompertz sigmoidal model removing fine-ending of grain-size distribution
- Diagenesis and its influence on reservoir quality and oil-water relative permeability: A case study in the Yanchang Formation Chang 8 tight sandstone oil reservoir, Ordos Basin, China
- Evaluation of AHRS algorithms for Foot-Mounted Inertial-based Indoor Navigation Systems
- Identification and evaluation of land use vulnerability in a coal mining area under the coupled human-environment
- Hydrocarbon Generation Potential of Chia Gara Formation in Three Selected Wells, Northern Iraq
- Source Analysis of Silicon and Uranium in uranium-rich shale in the Xiuwu Basin, Southern China
- Lithologic heterogeneity of lacustrine shale and its geological significance for shale hydrocarbon-a case study of Zhangjiatan Shale
- Characterization of soil permeability in the former Lake Texcoco, Mexico
- Detrital zircon trace elements from the Mesozoic Jiyuan Basin, central China and its implication on tectonic transition of the Qinling Orogenic Belt
- Turkey OpenStreetMap Dataset - Spatial Analysis of Development and Growth Proxies
- Morphological Changes of the Lower Ping and Chao Phraya Rivers, North and Central Thailand: Flood and Coastal Equilibrium Analyses
- Landscape Transformations in Rapidly Developing Peri-urban Areas of Accra, Ghana: Results of 30 years
- Division of shale sequences and prediction of the favorable shale gas intervals: an example of the Lower Cambrian of Yangtze Region in Xiuwu Basin
- Fractal characteristics of nanopores in lacustrine shales of the Triassic Yanchang Formation, Ordos Basin, NW China
- Selected components of geological structures and numerical modelling of slope stability
- Spatial data quality and uncertainty publication patterns and trends by bibliometric analysis
- Application of microstructure classification for the assessment of the variability of geological-engineering and pore space properties in clay soils
- Shear failure modes and AE characteristics of sandstone and marble fractures
- Ice Age theory: a correspondence between Milutin Milanković and Vojislav Mišković
- Are Serbian tourists worried? The effect of psychological factors on tourists’ behavior based on the perceived risk
- Real-Time Map Matching: A New Algorithm Integrating Spatio-Temporal Proximity and Improved Weighted Circle
- Characteristics and hysteresis of saturated-unsaturated seepage of soil landslides in the Three Gorges Reservoir Area, China
- Petrographical and geophysical investigation of the Ecca Group between Fort Beaufort and Grahamstown, in the Eastern Cape Province, South Africa
- Ecological risk assessment of geohazards in Natural World Heritage Sites: an empirical analysis of Bogda, Tianshan
- Integrated Subsurface Temperature Modeling beneath Mt. Lawu and Mt. Muriah in The Northeast Java Basin, Indonesia
- Go social for your own safety! Review of social networks use on natural disasters – case studies from worldwide
- Forestry Aridity Index in Vojvodina, North Serbia
- Natural Disasters vs Hotel Industry Resilience: An Exploratory Study among Hotel Managers from Europe
- Using Monarch Butterfly Optimization to Solve the Emergency Vehicle Routing Problem with Relief Materials in Sudden Disasters
- Potential influence of meteorological variables on forest fire risk in Serbia during the period 2000-2017
- Controlling factors on the geochemistry of Al-Shuaiba and Al-Mejarma coastal lagoons, Red Sea, Saudi Arabia
- The Influence of Kaolinite - Illite toward mechanical properties of Claystone
- Two critical books in the history of loess investigation: ‘Charakteristik der Felsarten’ by Karl Caesar von Leonhard and ‘Principles of Geology’ by Charles Lyell
- The Mechanism and Control Technology of Strong Strata Behavior in Extra-Thick Coal Seam Mining Influenced by Overlying Coal Pillar
- Shared Aerial Drone Videos — Prospects and Problems for Volunteered Geographic Information Research
- Stable isotopes of C and H in methane fermentation of agriculture substrates at different temperature conditions
- Prediction of Compression and Swelling Index Parameters of Quaternary Sediments from Index Tests at Mersin District
- Detection of old scattered windthrow using low cost resources. The case of Storm Xynthia in the Vosges Mountains, 28 February 2010
- Remediation of Copper and Zinc from wastewater by modified clay in Asir region southwest of Saudi Arabia
- Sedimentary facies of Paleogene lacustrine dolomicrite and implications for petroleum reservoirs in the southern Qianjiang Depression, China
- Correlation between ore particle flow pattern and velocity field through multiple drawpoints under the influence of a flexible barrier
- Atmospheric refractivity estimation from AIS signal power using the quantum-behaved particle swarm optimization algorithm
- A geophysical and hydro physico-chemical study of the contaminant impact of a solid waste landfill (swl) in King Williams’ Town, Eastern Cape, South Africa
- Landscape characterization using photographs from crowdsourced platforms: content analysis of social media photographs
- A Study on Transient Electromagnetic Interpretation Method Based on the Seismic Wave Impedance Inversion Model
- Stratigraphy of Architectural Elements of a Buried Monogenetic Volcanic System
- Variable secondary porosity modeling of carbonate rocks based on μ-CT images
- Traditional versus modern settlement on torrential alluvial fans considering the danger of debris flows: a case study of the Upper Sava Valley (NW Slovenia)
- The Influence of Gangue Particle size and Gangue Feeding Rate on Safety and Service Life of the Suspended Buffer’s Spring
- Research on the Transition Section Length of the Mixed Workface Using Gangue Backfilling Method and Caving Method
- Rainfall erosivity and extreme precipitation in the Pannonian basin
- Structure of the Sediment and Crust in the Northeast North China Craton from Improved Sequential H-k Stacking Method
- Planning Activities Improvements Responding Local Interests Change through Participatory Approach
- GIS-based landslide susceptibility mapping using bivariate statistical methods in North-western Tunisia
- Uncertainty based multi-step seismic analysis for near-surface imaging
- Deformation monitoring and prediction for residential areas in the Panji mining area based on an InSAR time series analysis and the GM-SVR model
- Statistical and expert-based landslide susceptibility modeling on a national scale applied to North Macedonia
- Natural hazards and their impact on rural settlements in NE Romania – A cartographical approach
- Rock fracture initiation and propagation by mechanical and hydraulic impact
- Influence of Rapid Transit on Accessibility Pattern and Economic Linkage at Urban Agglomeration Scale in China
- Near Infrared Spectroscopic Study of Trioctahedral Chlorites and Its Remote Sensing Application
- Problems with collapsible soils: Particle types and inter-particle bonding
- Unification of data from various seismic catalogues to study seismic activity in the Carpathians Mountain arc
- Quality assessment of DEM derived from topographic maps for geomorphometric purposes
- Remote Sensing Monitoring of Soil Moisture in the Daliuta Coal Mine Based on SPOT 5/6 and Worldview-2
- Utilizing Maximum Entropy Spectral Analysis (MESA) to identify Milankovitch cycles in Lower Member of Miocene Zhujiang Formation in north slope of Baiyun Sag, Pearl River Mouth Basin, South China Sea
- Stability Analysis of a Slurry Trench in Cohesive-Frictional Soils
- Integrating Landsat 7 and 8 data to improve basalt formation classification: A case study at Buon Ma Thuot region, Central Highland, Vietnam
- Assessment of the hydrocarbon potentiality of the Late Jurassic formations of NW Iraq: A case study based on TOC and Rock-Eval pyrolysis in selected oil-wells
- Rare earth element geochemistry of sediments from the southern Okinawa Trough since 3 ka: Implications for river-sea processes and sediment source
- Effect of gas adsorption-induced pore radius and effective stress on shale gas permeability in slip flow: New Insights
- Development of the Narva-Jõesuu beach, mineral composition of beach deposits and destruction of the pier, southeastern coast of the Gulf of Finland
- Selecting fracturing interval for the exploitation of tight oil reservoirs from logs: a case study
- A comprehensive scheme for lithological mapping using Sentinel-2A and ASTER GDEM in weathered and vegetated coastal zone, Southern China
- Sedimentary model of K-Successions Sandstones in H21 Area of Huizhou Depression, Pearl River Mouth Basin, South China Sea
- A non-uniform dip slip formula to calculate the coseismic deformation: Case study of Tohoku Mw9.0 Earthquake
- Decision trees in environmental justice research — a case study on the floods of 2001 and 2010 in Hungary
- The Impacts of Climate Change on Maximum Daily Discharge in the Payab Jamash Watershed, Iran
- Mass tourism in protected areas – underestimated threat? Polish National Parks case study
- Decadal variations of total organic carbon production in the inner-shelf of the South China Sea and East China Sea
- Hydrogeothermal potentials of Rogozna mountain and possibility of their valorization
- Postglacial talus slope development imaged by the ERT method: comparison of slopes from SW Spitsbergen, Norway and Tatra Mountains, Poland
- Seismotectonics of Malatya Fault, Eastern Turkey
- Investigating of soil features and landslide risk in Western-Atakent (İstanbul) using resistivity, MASW, Microtremor and boreholes methods
- Assessment of Aquifer Vulnerability Using Integrated Geophysical Approach in Weathered Terrains of South China
- An integrated analysis of mineralogical and microstructural characteristics and petrophysical properties of carbonate rocks in the lower Indus Basin, Pakistan
- Applicability of Hydrological Models for Flash Flood Simulation in Small Catchments of Hilly Area in China
- Heterogeneity analysis of shale reservoir based on multi-stage pumping data
Articles in the same Issue
- Regular Articles
- 2D Seismic Interpretation of the Meyal Area, Northern Potwar Deform Zone, Potwar Basin, Pakistan
- A new method of lithologic identification and distribution characteristics of fine - grained sediments: A case study in southwest of Ordos Basin, China
- Modified Gompertz sigmoidal model removing fine-ending of grain-size distribution
- Diagenesis and its influence on reservoir quality and oil-water relative permeability: A case study in the Yanchang Formation Chang 8 tight sandstone oil reservoir, Ordos Basin, China
- Evaluation of AHRS algorithms for Foot-Mounted Inertial-based Indoor Navigation Systems
- Identification and evaluation of land use vulnerability in a coal mining area under the coupled human-environment
- Hydrocarbon Generation Potential of Chia Gara Formation in Three Selected Wells, Northern Iraq
- Source Analysis of Silicon and Uranium in uranium-rich shale in the Xiuwu Basin, Southern China
- Lithologic heterogeneity of lacustrine shale and its geological significance for shale hydrocarbon-a case study of Zhangjiatan Shale
- Characterization of soil permeability in the former Lake Texcoco, Mexico
- Detrital zircon trace elements from the Mesozoic Jiyuan Basin, central China and its implication on tectonic transition of the Qinling Orogenic Belt
- Turkey OpenStreetMap Dataset - Spatial Analysis of Development and Growth Proxies
- Morphological Changes of the Lower Ping and Chao Phraya Rivers, North and Central Thailand: Flood and Coastal Equilibrium Analyses
- Landscape Transformations in Rapidly Developing Peri-urban Areas of Accra, Ghana: Results of 30 years
- Division of shale sequences and prediction of the favorable shale gas intervals: an example of the Lower Cambrian of Yangtze Region in Xiuwu Basin
- Fractal characteristics of nanopores in lacustrine shales of the Triassic Yanchang Formation, Ordos Basin, NW China
- Selected components of geological structures and numerical modelling of slope stability
- Spatial data quality and uncertainty publication patterns and trends by bibliometric analysis
- Application of microstructure classification for the assessment of the variability of geological-engineering and pore space properties in clay soils
- Shear failure modes and AE characteristics of sandstone and marble fractures
- Ice Age theory: a correspondence between Milutin Milanković and Vojislav Mišković
- Are Serbian tourists worried? The effect of psychological factors on tourists’ behavior based on the perceived risk
- Real-Time Map Matching: A New Algorithm Integrating Spatio-Temporal Proximity and Improved Weighted Circle
- Characteristics and hysteresis of saturated-unsaturated seepage of soil landslides in the Three Gorges Reservoir Area, China
- Petrographical and geophysical investigation of the Ecca Group between Fort Beaufort and Grahamstown, in the Eastern Cape Province, South Africa
- Ecological risk assessment of geohazards in Natural World Heritage Sites: an empirical analysis of Bogda, Tianshan
- Integrated Subsurface Temperature Modeling beneath Mt. Lawu and Mt. Muriah in The Northeast Java Basin, Indonesia
- Go social for your own safety! Review of social networks use on natural disasters – case studies from worldwide
- Forestry Aridity Index in Vojvodina, North Serbia
- Natural Disasters vs Hotel Industry Resilience: An Exploratory Study among Hotel Managers from Europe
- Using Monarch Butterfly Optimization to Solve the Emergency Vehicle Routing Problem with Relief Materials in Sudden Disasters
- Potential influence of meteorological variables on forest fire risk in Serbia during the period 2000-2017
- Controlling factors on the geochemistry of Al-Shuaiba and Al-Mejarma coastal lagoons, Red Sea, Saudi Arabia
- The Influence of Kaolinite - Illite toward mechanical properties of Claystone
- Two critical books in the history of loess investigation: ‘Charakteristik der Felsarten’ by Karl Caesar von Leonhard and ‘Principles of Geology’ by Charles Lyell
- The Mechanism and Control Technology of Strong Strata Behavior in Extra-Thick Coal Seam Mining Influenced by Overlying Coal Pillar
- Shared Aerial Drone Videos — Prospects and Problems for Volunteered Geographic Information Research
- Stable isotopes of C and H in methane fermentation of agriculture substrates at different temperature conditions
- Prediction of Compression and Swelling Index Parameters of Quaternary Sediments from Index Tests at Mersin District
- Detection of old scattered windthrow using low cost resources. The case of Storm Xynthia in the Vosges Mountains, 28 February 2010
- Remediation of Copper and Zinc from wastewater by modified clay in Asir region southwest of Saudi Arabia
- Sedimentary facies of Paleogene lacustrine dolomicrite and implications for petroleum reservoirs in the southern Qianjiang Depression, China
- Correlation between ore particle flow pattern and velocity field through multiple drawpoints under the influence of a flexible barrier
- Atmospheric refractivity estimation from AIS signal power using the quantum-behaved particle swarm optimization algorithm
- A geophysical and hydro physico-chemical study of the contaminant impact of a solid waste landfill (swl) in King Williams’ Town, Eastern Cape, South Africa
- Landscape characterization using photographs from crowdsourced platforms: content analysis of social media photographs
- A Study on Transient Electromagnetic Interpretation Method Based on the Seismic Wave Impedance Inversion Model
- Stratigraphy of Architectural Elements of a Buried Monogenetic Volcanic System
- Variable secondary porosity modeling of carbonate rocks based on μ-CT images
- Traditional versus modern settlement on torrential alluvial fans considering the danger of debris flows: a case study of the Upper Sava Valley (NW Slovenia)
- The Influence of Gangue Particle size and Gangue Feeding Rate on Safety and Service Life of the Suspended Buffer’s Spring
- Research on the Transition Section Length of the Mixed Workface Using Gangue Backfilling Method and Caving Method
- Rainfall erosivity and extreme precipitation in the Pannonian basin
- Structure of the Sediment and Crust in the Northeast North China Craton from Improved Sequential H-k Stacking Method
- Planning Activities Improvements Responding Local Interests Change through Participatory Approach
- GIS-based landslide susceptibility mapping using bivariate statistical methods in North-western Tunisia
- Uncertainty based multi-step seismic analysis for near-surface imaging
- Deformation monitoring and prediction for residential areas in the Panji mining area based on an InSAR time series analysis and the GM-SVR model
- Statistical and expert-based landslide susceptibility modeling on a national scale applied to North Macedonia
- Natural hazards and their impact on rural settlements in NE Romania – A cartographical approach
- Rock fracture initiation and propagation by mechanical and hydraulic impact
- Influence of Rapid Transit on Accessibility Pattern and Economic Linkage at Urban Agglomeration Scale in China
- Near Infrared Spectroscopic Study of Trioctahedral Chlorites and Its Remote Sensing Application
- Problems with collapsible soils: Particle types and inter-particle bonding
- Unification of data from various seismic catalogues to study seismic activity in the Carpathians Mountain arc
- Quality assessment of DEM derived from topographic maps for geomorphometric purposes
- Remote Sensing Monitoring of Soil Moisture in the Daliuta Coal Mine Based on SPOT 5/6 and Worldview-2
- Utilizing Maximum Entropy Spectral Analysis (MESA) to identify Milankovitch cycles in Lower Member of Miocene Zhujiang Formation in north slope of Baiyun Sag, Pearl River Mouth Basin, South China Sea
- Stability Analysis of a Slurry Trench in Cohesive-Frictional Soils
- Integrating Landsat 7 and 8 data to improve basalt formation classification: A case study at Buon Ma Thuot region, Central Highland, Vietnam
- Assessment of the hydrocarbon potentiality of the Late Jurassic formations of NW Iraq: A case study based on TOC and Rock-Eval pyrolysis in selected oil-wells
- Rare earth element geochemistry of sediments from the southern Okinawa Trough since 3 ka: Implications for river-sea processes and sediment source
- Effect of gas adsorption-induced pore radius and effective stress on shale gas permeability in slip flow: New Insights
- Development of the Narva-Jõesuu beach, mineral composition of beach deposits and destruction of the pier, southeastern coast of the Gulf of Finland
- Selecting fracturing interval for the exploitation of tight oil reservoirs from logs: a case study
- A comprehensive scheme for lithological mapping using Sentinel-2A and ASTER GDEM in weathered and vegetated coastal zone, Southern China
- Sedimentary model of K-Successions Sandstones in H21 Area of Huizhou Depression, Pearl River Mouth Basin, South China Sea
- A non-uniform dip slip formula to calculate the coseismic deformation: Case study of Tohoku Mw9.0 Earthquake
- Decision trees in environmental justice research — a case study on the floods of 2001 and 2010 in Hungary
- The Impacts of Climate Change on Maximum Daily Discharge in the Payab Jamash Watershed, Iran
- Mass tourism in protected areas – underestimated threat? Polish National Parks case study
- Decadal variations of total organic carbon production in the inner-shelf of the South China Sea and East China Sea
- Hydrogeothermal potentials of Rogozna mountain and possibility of their valorization
- Postglacial talus slope development imaged by the ERT method: comparison of slopes from SW Spitsbergen, Norway and Tatra Mountains, Poland
- Seismotectonics of Malatya Fault, Eastern Turkey
- Investigating of soil features and landslide risk in Western-Atakent (İstanbul) using resistivity, MASW, Microtremor and boreholes methods
- Assessment of Aquifer Vulnerability Using Integrated Geophysical Approach in Weathered Terrains of South China
- An integrated analysis of mineralogical and microstructural characteristics and petrophysical properties of carbonate rocks in the lower Indus Basin, Pakistan
- Applicability of Hydrological Models for Flash Flood Simulation in Small Catchments of Hilly Area in China
- Heterogeneity analysis of shale reservoir based on multi-stage pumping data